Laatste update :
17/12/2025
Antibioticum   Gentamicin sulfate  
injecteerbaar geneesmiddel
Oogwater
Stabiliteit in oplossing Stabiliteit in mengsels Factoren die de stabiliteit beïnvloeden Verenigbaarheden Toedieningswijze Literatuur pdf
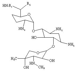
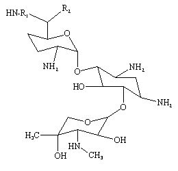
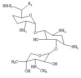
   Molecuulstructuur  

Merknamen in verschillende landen   Merknamen in verschillende landen     

Handelsnamen zijn slechts een indicatie; de samenstelling van hulpstoffen kan per land variëren afhankelijk van de fabrikant

Azupel Peru
Cidomycin Egypte, Groot Britannië, Tunisie
Dabroson Griekenland
Epigent Egypte
Garalone Portugal
Garamicina Brazilië, Colombia, Ecuador, Mexico
Garamycin Denemarken, Egypte, Griekenland, Indië, Kroatië, Nederland, Noorwegen, Polen, Verenigde Arabische Emiraten, Zwitserland
Genmisin Turkije
Gensif Turkije
Gensumycin Finland, Noorwegen, Zweden
Genta-Gobens Spanje
Gentalline Marokko
Gentamen Marokko
Genticin Groot Britannië, Ierland, Verenigde Arabische Emiraten
Gentreks Turkije
Hexamycin Denemarken
Plurisemina Argentinië
Refobacin Colombia, Duitsland, Egypte, Oostenrijk
Rupegen Argentinië
Verenigbaarheden   injecteerbaar geneesmiddel   Verenigbaarheden : Gentamicin sulfate              
In dit scherm worden de verenigbaarheden en onverenigbaarheden weergegeven. In het geval van een onverenigbaarheid wordt ook het type (neerslag, kleurverandering, modificatie van een emulsie, etc) weergegeven. De weergegeven verenigbaarheden zijn meestal alleen op uiterlijk beoordeeld, er heeft zelden een chemische beoordeling van iedere component plaatsgevonden. De verenigbaarheden betreffen gelijktijdige toediening aan de patient middels de Y-site. De data kan niet gebruikt worden in de beoordeling van verenigbaarheden van componenten in infuuszakken of spuiten. Die informatie is te vinden onder ‘stabiliteit in mengsels’.
Stof Oplosmiddel Literatuur
Verenigbaar
injecteerbaar geneesmiddel Gentamicin sulfate 1.6 mg/ml
injecteerbaar geneesmiddel Aciclovir sodium 5 mg/ml
Glucose 5% 336
Onmiddellijke neerslag Onverenigbaar
injecteerbaar geneesmiddel Gentamicin sulfate 30 mg/ml
injecteerbaar geneesmiddel Aciclovir sodium 5 mg/ml
Natriumchloride 0,9% 2335
Neerslag na 1 uur Onverenigbaar
injecteerbaar geneesmiddel Gentamicin sulfate 5 mg/ml
injecteerbaar geneesmiddel Allopurinol sodium 3 mg/ml
Natriumchloride 0,9% 307
Verenigbaar
injecteerbaar geneesmiddel Gentamicin sulfate 1 mg/ml
injecteerbaar geneesmiddel Alprostadil 15 µg/ml
3201
Verenigbaar
injecteerbaar geneesmiddel Gentamicin sulfate 5 mg/ml
injecteerbaar geneesmiddel Amifostine 10 mg/ml
Glucose 5% 3
Verenigbaar
injecteerbaar geneesmiddel Gentamicin sulfate 0.8 mg/ml
injecteerbaar geneesmiddel Amiodarone hydrochloride 4 mg/ml
Natriumchloride 0,9% 385
Verenigbaar
injecteerbaar geneesmiddel Gentamicin sulfate 0.8 mg/ml
injecteerbaar geneesmiddel Amiodarone hydrochloride 4 mg/ml
Glucose 5% 385
Niet-gespecificeerde incompatibiliteit Onverenigbaar
injecteerbaar geneesmiddel Gentamicin sulfate
injecteerbaar geneesmiddel Amoxicillin sodium
3643
Niet-gespecificeerde incompatibiliteit Onverenigbaar
injecteerbaar geneesmiddel Gentamicin sulfate
injecteerbaar geneesmiddel Amoxicillin sodium
3520
Chemische instabiliteit Onverenigbaar
injecteerbaar geneesmiddel Gentamicin sulfate
injecteerbaar geneesmiddel Amoxicillin sodium
3527
Niet-gespecificeerde incompatibiliteit Onverenigbaar
injecteerbaar geneesmiddel Gentamicin sulfate
injecteerbaar geneesmiddel Amoxicillin sodium / clavulanic acid
3643
Niet-gespecificeerde incompatibiliteit Onverenigbaar
injecteerbaar geneesmiddel Gentamicin sulfate
injecteerbaar geneesmiddel Amoxicillin sodium / clavulanic acid
3545
Niet-gespecificeerde incompatibiliteit Onverenigbaar
injecteerbaar geneesmiddel Gentamicin sulfate
injecteerbaar geneesmiddel Amoxicillin sodium / clavulanic acid
3520
Verenigbaar
injecteerbaar geneesmiddel Gentamicin sulfate 40 mg/ml
injecteerbaar geneesmiddel Amoxicillin sodium / clavulanic acid 100/10 mg/ml
3824
Onmiddellijke neerslag Onverenigbaar
injecteerbaar geneesmiddel Gentamicin sulfate 5 mg/ml
injecteerbaar geneesmiddel Amphotericin B cholesteryl sulfate complex 0,83 mg/ml
Glucose 5% 921
Niet-gespecificeerde incompatibiliteit Onverenigbaar
injecteerbaar geneesmiddel Gentamicin sulfate
injecteerbaar geneesmiddel Ampicillin sodium
3643
Niet-gespecificeerde incompatibiliteit Onverenigbaar
injecteerbaar geneesmiddel Gentamicin sulfate
injecteerbaar geneesmiddel Ampicillin sodium
3520
Niet-gespecificeerde incompatibiliteit Onverenigbaar
injecteerbaar geneesmiddel Gentamicin sulfate
injecteerbaar geneesmiddel Ampicillin sodium - sulbactam sodium
3643
Niet-gespecificeerde incompatibiliteit Onverenigbaar
injecteerbaar geneesmiddel Gentamicin sulfate
injecteerbaar geneesmiddel Ampicillin sodium - sulbactam sodium
3520
Verenigbaar
injecteerbaar geneesmiddel Gentamicin sulfate 5 mg/ml
injecteerbaar geneesmiddel Amsacrine 1 mg/ml
Glucose 5% 253
Verenigbaar
injecteerbaar geneesmiddel Gentamicin sulfate 5 mg/ml
injecteerbaar geneesmiddel Anidulafungin 0.5 mg/ml
Glucose 5% 1982
Verenigbaar
injecteerbaar geneesmiddel Gentamicin sulfate 0,8 mg/ml
injecteerbaar geneesmiddel Atosiban 0,75 mg/ml
4642
Verenigbaar
injecteerbaar geneesmiddel Gentamicin sulfate 2 mg/ml
injecteerbaar geneesmiddel Atracurium besylate 0.5 mg/ml
Glucose 5% 402
Onmiddellijke neerslag Onverenigbaar
injecteerbaar geneesmiddel Gentamicin sulfate 21 mg/ml
injecteerbaar geneesmiddel Azithromycine 2 mg/ml
Natriumchloride 0,9% 1800
Verenigbaar
injecteerbaar geneesmiddel Gentamicin sulfate 5 mg/ml
injecteerbaar geneesmiddel Aztreonam 40 mg/ml
Glucose 5% 99
Verenigbaar
injecteerbaar geneesmiddel Gentamicin sulfate 0.2 & 0.8 mg/ml
injecteerbaar geneesmiddel Aztreonam 10 & 20 mg/ml
Natriumchloride 0,9% 19
Verenigbaar
injecteerbaar geneesmiddel Gentamicin sulfate 0.2 & 0.8 mg/ml
injecteerbaar geneesmiddel Aztreonam 10 & 20 mg/ml
Glucose 5% 19
Verenigbaar
injecteerbaar geneesmiddel Gentamicin sulfate 5 mg/ml
injecteerbaar geneesmiddel Bivalirudin 5 mg/ml
Glucose 5% 1713
Verenigbaar
injecteerbaar geneesmiddel Gentamicin sulfate 10 mg/ml
injecteerbaar geneesmiddel Caffeine 10 mg/ml
Geen 3964
Verenigbaar
injecteerbaar geneesmiddel Gentamicin sulfate 10 mg/ml
injecteerbaar geneesmiddel Caffeine 10 mg/ml
Natriumchloride 0,9% 4837
Verenigbaar
injecteerbaar geneesmiddel Gentamicin sulfate 10 mg/ml
injecteerbaar geneesmiddel Caffeine citrate 20 mg/ml
Natriumchloride 0,9% 4837
Niet-gespecificeerde incompatibiliteit Onverenigbaar
injecteerbaar geneesmiddel Gentamicin sulfate
injecteerbaar geneesmiddel Calcium gluconate
3644
Onverenigbaar
injecteerbaar geneesmiddel Gentamicin sulfate
injecteerbaar geneesmiddel Calcium gluconate
4964
Verenigbaar
injecteerbaar geneesmiddel Gentamicin sulfate 5 mg/ml
injecteerbaar geneesmiddel Caspofungin acetate 0,7 mg/ml
Natriumchloride 0,9% 2247
Niet-gespecificeerde incompatibiliteit Onverenigbaar
injecteerbaar geneesmiddel Gentamicin sulfate
injecteerbaar geneesmiddel Cefalotin sodium
3520
Niet-gespecificeerde incompatibiliteit Onverenigbaar
injecteerbaar geneesmiddel Gentamicin sulfate
injecteerbaar geneesmiddel Cefalotin sodium
3643
Onmiddellijke neerslag Onverenigbaar
injecteerbaar geneesmiddel Gentamicin sulfate
injecteerbaar geneesmiddel Cefamandole nafate 2 >> 100 mg/ml
Glucose 5% 612
Niet-gespecificeerde incompatibiliteit Onverenigbaar
injecteerbaar geneesmiddel Gentamicin sulfate
injecteerbaar geneesmiddel Cefamandole nafate
3643
Niet-gespecificeerde incompatibiliteit Onverenigbaar
injecteerbaar geneesmiddel Gentamicin sulfate
injecteerbaar geneesmiddel Cefamandole nafate
3520
Niet-gespecificeerde incompatibiliteit Onverenigbaar
injecteerbaar geneesmiddel Gentamicin sulfate
injecteerbaar geneesmiddel Cefamandole nafate
3546
Onmiddellijke neerslag Onverenigbaar
injecteerbaar geneesmiddel Gentamicin sulfate
injecteerbaar geneesmiddel Cefamandole nafate 2 >> 100 mg/ml
Natriumchloride 0,9% 612
Niet-gespecificeerde incompatibiliteit Onverenigbaar
injecteerbaar geneesmiddel Gentamicin sulfate
injecteerbaar geneesmiddel Cefazolin sodium
3520
Niet-gespecificeerde incompatibiliteit Onverenigbaar
injecteerbaar geneesmiddel Gentamicin sulfate
injecteerbaar geneesmiddel Cefazolin sodium
3643
Niet-gespecificeerde incompatibiliteit Onverenigbaar
injecteerbaar geneesmiddel Gentamicin sulfate
injecteerbaar geneesmiddel Cefepime dihydrochloride
3520
Verenigbaar
injecteerbaar geneesmiddel Gentamicin sulfate 6 mg/ml
injecteerbaar geneesmiddel Cefepime dihydrochloride 125 mg/ml
Water voor injectie 2141
Niet-gespecificeerde incompatibiliteit Onverenigbaar
injecteerbaar geneesmiddel Gentamicin sulfate
injecteerbaar geneesmiddel Cefepime dihydrochloride
3548
Niet-gespecificeerde incompatibiliteit Onverenigbaar
injecteerbaar geneesmiddel Gentamicin sulfate
injecteerbaar geneesmiddel Cefepime dihydrochloride
3643
Verenigbaar
injecteerbaar geneesmiddel Gentamicin sulfate 5 mg/ml
injecteerbaar geneesmiddel Cefiderocol sulfate tosylate 20 mg/mL
Glucose 5% 4528
Verenigbaar
injecteerbaar geneesmiddel Gentamicin sulfate 5 mg/ml
injecteerbaar geneesmiddel Cefiderocol sulfate tosylate 20 mg/mL
Natriumchloride 0,9% 4528
Niet-gespecificeerde incompatibiliteit Onverenigbaar
injecteerbaar geneesmiddel Gentamicin sulfate
injecteerbaar geneesmiddel Cefmenoxime
3520
Niet-gespecificeerde incompatibiliteit Onverenigbaar
injecteerbaar geneesmiddel Gentamicin sulfate
injecteerbaar geneesmiddel Cefmenoxime
3643
Niet-gespecificeerde incompatibiliteit Onverenigbaar
injecteerbaar geneesmiddel Gentamicin sulfate
injecteerbaar geneesmiddel Cefmetazole sodium
3520
Niet-gespecificeerde incompatibiliteit Onverenigbaar
injecteerbaar geneesmiddel Gentamicin sulfate
injecteerbaar geneesmiddel Cefmetazole sodium
3643
Niet-gespecificeerde incompatibiliteit Onverenigbaar
injecteerbaar geneesmiddel Gentamicin sulfate
injecteerbaar geneesmiddel Cefonicid sodium
3643
Niet-gespecificeerde incompatibiliteit Onverenigbaar
injecteerbaar geneesmiddel Gentamicin sulfate
injecteerbaar geneesmiddel Cefonicid sodium
3520
Niet-gespecificeerde incompatibiliteit Onverenigbaar
injecteerbaar geneesmiddel Gentamicin sulfate
injecteerbaar geneesmiddel Cefoperazone sodium
3544
Niet-gespecificeerde incompatibiliteit Onverenigbaar
injecteerbaar geneesmiddel Gentamicin sulfate
injecteerbaar geneesmiddel Cefoperazone sodium
3643
Onmiddellijke neerslag Onverenigbaar
injecteerbaar geneesmiddel Gentamicin sulfate 0.8 mg/ml
injecteerbaar geneesmiddel Cefoperazone sodium 10 mg/ml
Glucose 5% 1206
Niet-gespecificeerde incompatibiliteit Onverenigbaar
injecteerbaar geneesmiddel Gentamicin sulfate
injecteerbaar geneesmiddel Cefoperazone sodium
3520
Niet-gespecificeerde incompatibiliteit Onverenigbaar
injecteerbaar geneesmiddel Gentamicin sulfate
injecteerbaar geneesmiddel Ceforanide
3643
Niet-gespecificeerde incompatibiliteit Onverenigbaar
injecteerbaar geneesmiddel Gentamicin sulfate
injecteerbaar geneesmiddel Ceforanide
3520
Niet-gespecificeerde incompatibiliteit Onverenigbaar
injecteerbaar geneesmiddel Gentamicin sulfate
injecteerbaar geneesmiddel Cefotaxime sodium
3520
Niet-gespecificeerde incompatibiliteit Onverenigbaar
injecteerbaar geneesmiddel Gentamicin sulfate
injecteerbaar geneesmiddel Cefotaxime sodium
3643
Niet-gespecificeerde incompatibiliteit Onverenigbaar
injecteerbaar geneesmiddel Gentamicin sulfate
injecteerbaar geneesmiddel Cefoxitin sodium
3643
Niet-gespecificeerde incompatibiliteit Onverenigbaar
injecteerbaar geneesmiddel Gentamicin sulfate
injecteerbaar geneesmiddel Cefoxitin sodium
3520
Verenigbaar
injecteerbaar geneesmiddel Gentamicin sulfate 1 mg/ml
injecteerbaar geneesmiddel Cefpirome sulfate 50 mg/ml
Natriumchloride 0,9% 280
Verenigbaar
injecteerbaar geneesmiddel Gentamicin sulfate 1 mg/ml
injecteerbaar geneesmiddel Cefpirome sulfate 50 mg/ml
Ringer-lactaat 280
Verenigbaar
injecteerbaar geneesmiddel Gentamicin sulfate 1 mg/ml
injecteerbaar geneesmiddel Cefpirome sulfate 50 mg/ml
Natriumchloride 0,45 % 280
Niet-gespecificeerde incompatibiliteit Onverenigbaar
injecteerbaar geneesmiddel Gentamicin sulfate
injecteerbaar geneesmiddel Cefpirome sulfate
3643
Niet-gespecificeerde incompatibiliteit Onverenigbaar
injecteerbaar geneesmiddel Gentamicin sulfate
injecteerbaar geneesmiddel Cefpirome sulfate
3677
Verenigbaar
injecteerbaar geneesmiddel Gentamicin sulfate 1 mg/ml
injecteerbaar geneesmiddel Cefpirome sulfate 50 mg/ml
Glucose 5% 280
Niet-gespecificeerde incompatibiliteit Onverenigbaar
injecteerbaar geneesmiddel Gentamicin sulfate
injecteerbaar geneesmiddel Cefpirome sulfate
3520
Verenigbaar
injecteerbaar geneesmiddel Gentamicin sulfate 5 mg/ml
injecteerbaar geneesmiddel Ceftaroline fosamil 2,22 mg/ml
Natriumchloride 0,9% 3249
Verenigbaar
injecteerbaar geneesmiddel Gentamicin sulfate 5 mg/ml
injecteerbaar geneesmiddel Ceftaroline fosamil 2,22 mg/ml
Ringer-lactaat 3249
Verenigbaar
injecteerbaar geneesmiddel Gentamicin sulfate 5 mg/ml
injecteerbaar geneesmiddel Ceftaroline fosamil 2,22 mg/ml
Glucose 5% 3249
Niet-gespecificeerde incompatibiliteit Onverenigbaar
injecteerbaar geneesmiddel Gentamicin sulfate
injecteerbaar geneesmiddel Ceftaroline fosamil
3643
Niet-gespecificeerde incompatibiliteit Onverenigbaar
injecteerbaar geneesmiddel Gentamicin sulfate
injecteerbaar geneesmiddel Ceftaroline fosamil
3520
Niet-gespecificeerde incompatibiliteit Onverenigbaar
injecteerbaar geneesmiddel Gentamicin sulfate
injecteerbaar geneesmiddel Ceftazidime
3543
Niet-gespecificeerde incompatibiliteit Onverenigbaar
injecteerbaar geneesmiddel Gentamicin sulfate
injecteerbaar geneesmiddel Ceftazidime
3520
Niet-gespecificeerde incompatibiliteit Onverenigbaar
injecteerbaar geneesmiddel Gentamicin sulfate
injecteerbaar geneesmiddel Ceftazidime
3643
Verenigbaar
injecteerbaar geneesmiddel Gentamicin sulfate 6 mg/ml
injecteerbaar geneesmiddel Ceftazidime 125 mg/ml
Water voor injectie 2141
Verenigbaar
injecteerbaar geneesmiddel Gentamicin sulfate 6 mg/ml
injecteerbaar geneesmiddel Ceftazidime 83.3 mg/ml
1759
Niet-gespecificeerde incompatibiliteit Onverenigbaar
injecteerbaar geneesmiddel Gentamicin sulfate
injecteerbaar geneesmiddel Ceftazidime
3883
Niet-gespecificeerde incompatibiliteit Onverenigbaar
injecteerbaar geneesmiddel Gentamicin sulfate
injecteerbaar geneesmiddel Ceftazidime Avibactam
3520
Niet-gespecificeerde incompatibiliteit Onverenigbaar
injecteerbaar geneesmiddel Gentamicin sulfate
injecteerbaar geneesmiddel Ceftazidime Avibactam
3643
Niet-gespecificeerde incompatibiliteit Onverenigbaar
injecteerbaar geneesmiddel Gentamicin sulfate
injecteerbaar geneesmiddel Ceftizoxime sodium
3643
Niet-gespecificeerde incompatibiliteit Onverenigbaar
injecteerbaar geneesmiddel Gentamicin sulfate
injecteerbaar geneesmiddel Ceftizoxime sodium
3520
Niet-gespecificeerde incompatibiliteit Onverenigbaar
injecteerbaar geneesmiddel Gentamicin sulfate
injecteerbaar geneesmiddel Ceftobiprole medocaril sodium
3643
Niet-gespecificeerde incompatibiliteit Onverenigbaar
injecteerbaar geneesmiddel Gentamicin sulfate
injecteerbaar geneesmiddel Ceftobiprole medocaril sodium
4650
Onmiddellijke neerslag Onverenigbaar
injecteerbaar geneesmiddel Gentamicin sulfate 5 mg/ml
injecteerbaar geneesmiddel Ceftobiprole medocaril sodium 2 mg/ml
Glucose 5% 2269
Onmiddellijke neerslag Onverenigbaar
injecteerbaar geneesmiddel Gentamicin sulfate 5 mg/ml
injecteerbaar geneesmiddel Ceftobiprole medocaril sodium 2 mg/ml
Ringer-lactaat 2269
Onmiddellijke neerslag Onverenigbaar
injecteerbaar geneesmiddel Gentamicin sulfate 5 mg/ml
injecteerbaar geneesmiddel Ceftobiprole medocaril sodium 2 mg/ml
Natriumchloride 0,9% 2269
Niet-gespecificeerde incompatibiliteit Onverenigbaar
injecteerbaar geneesmiddel Gentamicin sulfate
injecteerbaar geneesmiddel Ceftobiprole medocaril sodium
3520
Verenigbaar
injecteerbaar geneesmiddel Gentamicin sulfate 5 mg/ml
injecteerbaar geneesmiddel Ceftolozane / tazobactam 10/5 mg/ml
Glucose 5% 3828
Niet-gespecificeerde incompatibiliteit Onverenigbaar
injecteerbaar geneesmiddel Gentamicin sulfate
injecteerbaar geneesmiddel Ceftolozane / tazobactam
3643
Niet-gespecificeerde incompatibiliteit Onverenigbaar
injecteerbaar geneesmiddel Gentamicin sulfate
injecteerbaar geneesmiddel Ceftolozane / tazobactam
3520
Verenigbaar
injecteerbaar geneesmiddel Gentamicin sulfate 5 mg/ml
injecteerbaar geneesmiddel Ceftolozane / tazobactam 10/5 mg/ml
Natriumchloride 0,9% 3828
Niet-gespecificeerde incompatibiliteit Onverenigbaar
injecteerbaar geneesmiddel Gentamicin sulfate
injecteerbaar geneesmiddel Ceftriaxone disodium
3523
Niet-gespecificeerde incompatibiliteit Onverenigbaar
injecteerbaar geneesmiddel Gentamicin sulfate
injecteerbaar geneesmiddel Ceftriaxone disodium
3643
Niet-gespecificeerde incompatibiliteit Onverenigbaar
injecteerbaar geneesmiddel Gentamicin sulfate
injecteerbaar geneesmiddel Ceftriaxone disodium
3520
Niet-gespecificeerde incompatibiliteit Onverenigbaar
injecteerbaar geneesmiddel Gentamicin sulfate
injecteerbaar geneesmiddel Cefuroxime sodium
3643
Niet-gespecificeerde incompatibiliteit Onverenigbaar
injecteerbaar geneesmiddel Gentamicin sulfate
injecteerbaar geneesmiddel Cefuroxime sodium
3520
Niet-gespecificeerde incompatibiliteit Onverenigbaar
injecteerbaar geneesmiddel Gentamicin sulfate
injecteerbaar geneesmiddel Cefuroxime sodium
3687
Niet-gespecificeerde incompatibiliteit Onverenigbaar
injecteerbaar geneesmiddel Gentamicin sulfate
injecteerbaar geneesmiddel Cefuzonam
3520
Verenigbaar
injecteerbaar geneesmiddel Gentamicin sulfate 0.8 mg/ml
injecteerbaar geneesmiddel Cimetidine hydrochloride 3 mg/ml
Glucose 5% 1201
Verenigbaar
injecteerbaar geneesmiddel Gentamicin sulfate 0.08 mg/ml
injecteerbaar geneesmiddel Cimetidine hydrochloride 1.2 & 5 mg/ml
Natriumchloride 0,9% 1201
Verenigbaar
injecteerbaar geneesmiddel Gentamicin sulfate 0.08 mg/ml
injecteerbaar geneesmiddel Cimetidine hydrochloride 1.2 & 5 mg/ml
Glucose 5% 1201
Verenigbaar
injecteerbaar geneesmiddel Gentamicin sulfate 10 mg/ml
injecteerbaar geneesmiddel Ciprofloxacin lactate 2 mg/ml
Natriumchloride 0,9% 289
Verenigbaar
injecteerbaar geneesmiddel Gentamicin sulfate 1.6 mg/ml
injecteerbaar geneesmiddel Ciprofloxacin lactate 2 mg/ml
Glucose 5% 285
Verenigbaar
injecteerbaar geneesmiddel Gentamicin sulfate 5 mg/ml
injecteerbaar geneesmiddel Cisatracurium besylate 0.1 >> 5 mg/ml
Glucose 5% 299
Chemische instabiliteit Onverenigbaar
injecteerbaar geneesmiddel Gentamicin sulfate
injecteerbaar geneesmiddel Cisplatin
3578
Verenigbaar
injecteerbaar geneesmiddel Gentamicin sulfate 12 mg/ml
injecteerbaar geneesmiddel Clindamycin phosphate 90 mg/ml
Natriumchloride 0,9% 639
Verenigbaar
injecteerbaar geneesmiddel Gentamicin sulfate 0.67 mg/ml
injecteerbaar geneesmiddel Clindamycin phosphate 6 mg/ml
Glucose 5% 423
Verenigbaar
injecteerbaar geneesmiddel Gentamicin sulfate
Glucose 5% 434
Niet-gespecificeerde incompatibiliteit Onverenigbaar
injecteerbaar geneesmiddel Gentamicin sulfate
injecteerbaar geneesmiddel Cefuzonam
3643
Verenigbaar
injecteerbaar geneesmiddel Gentamicin sulfate 1 mg/ml
injecteerbaar geneesmiddel Ciprofloxacin lactate 1.5 mg/ml
Natriumchloride 0,9% 434
Verenigbaar
injecteerbaar geneesmiddel Gentamicin sulfate 1.6 mg/ml
injecteerbaar geneesmiddel Ciprofloxacin lactate 2 mg/ml
Glucose 5% 288
Verenigbaar
injecteerbaar geneesmiddel Gentamicin sulfate 1.6 mg/ml
injecteerbaar geneesmiddel Ciprofloxacin lactate 2 mg/ml
Natriumchloride 0,9% 288
Verenigbaar
injecteerbaar geneesmiddel Gentamicin sulfate 1 mg/ml
injecteerbaar geneesmiddel Ciprofloxacin lactate 1.5 mg/ml
Glucose 5% 434
Verenigbaar
injecteerbaar geneesmiddel Gentamicin sulfate
injecteerbaar geneesmiddel Clindamycin phosphate
Natriumchloride 0,9% 3526
Onmiddellijke neerslag Onverenigbaar
injecteerbaar geneesmiddel Gentamicin sulfate 40 mg/ml
injecteerbaar geneesmiddel Cloxacillin sodium 100 mg/ml
Water voor injectie 3012
Verenigbaar
injecteerbaar geneesmiddel Gentamicin sulfate 15 mg/ml
injecteerbaar geneesmiddel Cytarabine 16 mg/ml
Natriumchloride 0,9% 132
Onverenigbaar
injecteerbaar geneesmiddel Gentamicin sulfate 2 & 10 mg/ml
Parenterale voeding (met lipiden) 4924
Verenigbaar
injecteerbaar geneesmiddel Gentamicin sulfate
injecteerbaar geneesmiddel Clindamycin phosphate
Glucose 5% 3526
Niet-gespecificeerde incompatibiliteit Onverenigbaar
injecteerbaar geneesmiddel Gentamicin sulfate
injecteerbaar geneesmiddel Cloxacillin sodium
3520
Niet-gespecificeerde incompatibiliteit Onverenigbaar
injecteerbaar geneesmiddel Gentamicin sulfate
injecteerbaar geneesmiddel Cytarabine
3580
Verenigbaar
injecteerbaar geneesmiddel Gentamicin sulfate 1,5 mg/ml
injecteerbaar geneesmiddel Daptomycin 19,2 mg/ml
Natriumchloride 0,9% 1937
Verenigbaar
injecteerbaar geneesmiddel Gentamicin sulfate 0,05 mg/ml
Parenterale voeding (zonder vet) 4445
Niet-gespecificeerde incompatibiliteit Onverenigbaar
injecteerbaar geneesmiddel Gentamicin sulfate
injecteerbaar geneesmiddel Cloxacillin sodium
3643
Instabiliteit van de emulsie na 4 uur Onverenigbaar
injecteerbaar geneesmiddel Gentamicin sulfate 2 mg/ml
Parenterale voeding (met lipiden) 4507
Niet-gespecificeerde incompatibiliteit Onverenigbaar
injecteerbaar geneesmiddel Gentamicin sulfate
injecteerbaar geneesmiddel Dalteparin sodium
3643
Verenigbaar
injecteerbaar geneesmiddel Gentamicin sulfate
injecteerbaar geneesmiddel Daptomycin
2271
Verenigbaar
injecteerbaar geneesmiddel Gentamicin sulfate 10 mg/ml
Parenterale voeding (zonder vet) 316
Verenigbaar
injecteerbaar geneesmiddel Gentamicin sulfate
injecteerbaar geneesmiddel Dimenhydrinate
2087
Verenigbaar
injecteerbaar geneesmiddel Gentamicin sulfate 10 & 40 mg/ml
Parenterale voeding (zonder vet) 999
Subvisuele incompatibiliteit Onverenigbaar
injecteerbaar geneesmiddel Gentamicin sulfate
injecteerbaar geneesmiddel Daunorubicin/cytarabine liposomale
4354
Verenigbaar
injecteerbaar geneesmiddel Gentamicin sulfate 1 mg/ml
Parenterale voeding (zonder vet) 939
Onmiddellijke troebelheid Onverenigbaar
injecteerbaar geneesmiddel Gentamicin sulfate
injecteerbaar geneesmiddel Daunorubicin/cytarabine liposomale 0,4 mg/mL
Natriumchloride 0,9% 4654
Verenigbaar
injecteerbaar geneesmiddel Gentamicin sulfate 0.8 mg/ml
injecteerbaar geneesmiddel Diatrizoate meglumine 283 mg/ml
Geen 1085
Verenigbaar
injecteerbaar geneesmiddel Gentamicin sulfate 2.4 & 40 mg/ml
injecteerbaar geneesmiddel Diltiazem hydrochloride 5 mg/ml
Natriumchloride 0,9% 198
Verenigbaar
injecteerbaar geneesmiddel Gentamicin sulfate 5 mg/ml
injecteerbaar geneesmiddel Docetaxel 0.9 mg/ml
Glucose 5% 1754
Niet-gespecificeerde incompatibiliteit Onverenigbaar
injecteerbaar geneesmiddel Gentamicin sulfate
injecteerbaar geneesmiddel Dopamine hydrochloride
3638
Verenigbaar
injecteerbaar geneesmiddel Gentamicin sulfate 5 mg/ml
Parenterale voeding (zonder vet) 301
Verenigbaar
injecteerbaar geneesmiddel Gentamicin sulfate 5 mg/ml
injecteerbaar geneesmiddel Doripenem 5 mg/ml
Natriumchloride 0,9% 2262
Niet-gespecificeerde incompatibiliteit Onverenigbaar
injecteerbaar geneesmiddel Gentamicin sulfate
NaHCO3 3520
Verenigbaar
injecteerbaar geneesmiddel Gentamicin sulfate 2 mg/ml
injecteerbaar geneesmiddel Dopamine hydrochloride 0.8 mg/ml
Glucose 5% 738
Productie van gasbellen Onverenigbaar
injecteerbaar geneesmiddel Gentamicin sulfate
NaHCO3 3643
Verenigbaar
injecteerbaar geneesmiddel Gentamicin sulfate 5 mg/ml
injecteerbaar geneesmiddel Dexmedetomidine 4 µg/ml
Natriumchloride 0,9% 1712
Verenigbaar
injecteerbaar geneesmiddel Gentamicin sulfate 5 mg/ml
injecteerbaar geneesmiddel Doripenem 5 mg/ml
Glucose 5% 2262
Verenigbaar
injecteerbaar geneesmiddel Gentamicin sulfate 5 mg/ml
Parenterale voeding (met lipiden) 1415
Verenigbaar
injecteerbaar geneesmiddel Gentamicin sulfate 10 mg/ml
injecteerbaar geneesmiddel Doxapram hydrochloride 2 mg/ml
Glucose 5% 1802
Verenigbaar
injecteerbaar geneesmiddel Gentamicin sulfate 5 mg/ml
injecteerbaar geneesmiddel Doxorubicin hydrochloride liposome peg 0.4 mg/ml
Glucose 5% 251
Verenigbaar
injecteerbaar geneesmiddel Gentamicin sulfate 0.8 mg/ml
injecteerbaar geneesmiddel Enalaprilate 0.05 mg/ml
Natriumchloride 0,9% 1315
Niet-gespecificeerde incompatibiliteit Onverenigbaar
injecteerbaar geneesmiddel Gentamicin sulfate
injecteerbaar geneesmiddel Enoxaparin sodium
3643
Verenigbaar
injecteerbaar geneesmiddel Gentamicin sulfate 5 mg/ml
injecteerbaar geneesmiddel Eravacycline 0,6 mg/ml
Natriumchloride 0,9% 4434
Niet-gespecificeerde incompatibiliteit Onverenigbaar
injecteerbaar geneesmiddel Gentamicin sulfate
injecteerbaar geneesmiddel Erythromycin lactobionate
3674
Niet-gespecificeerde incompatibiliteit Onverenigbaar
injecteerbaar geneesmiddel Gentamicin sulfate
injecteerbaar geneesmiddel Erythromycin lactobionate
3520
Niet-gespecificeerde incompatibiliteit Onverenigbaar
injecteerbaar geneesmiddel Gentamicin sulfate
injecteerbaar geneesmiddel Erythromycin lactobionate
3643
Verenigbaar
injecteerbaar geneesmiddel Gentamicin sulfate 0,8 mg/ml
injecteerbaar geneesmiddel Esmolol hydrochloride 10 mg/ml
Glucose 5% 384
Verenigbaar
injecteerbaar geneesmiddel Gentamicin sulfate 5 mg/ml
injecteerbaar geneesmiddel Etoposide phosphate 5 mg/ml
Glucose 5% 1410
Verenigbaar
injecteerbaar geneesmiddel Gentamicin sulfate 5 mg/ml
injecteerbaar geneesmiddel Famotidine 2 mg/ml
Natriumchloride 0,9% 215
Verenigbaar
injecteerbaar geneesmiddel Gentamicin sulfate 0,8 mg/ml
injecteerbaar geneesmiddel Famotidine
Glucose 5% 397
Verenigbaar
injecteerbaar geneesmiddel Gentamicin sulfate 5 mg/ml
injecteerbaar geneesmiddel Fenoldopam mesylate 80 µg/ml
Natriumchloride 0,9% 1803
Verenigbaar
injecteerbaar geneesmiddel Gentamicin sulfate 10 mg/ml
injecteerbaar geneesmiddel Fentanyl citrate 50 µg/ml
Glucose 5% 63
Verenigbaar
injecteerbaar geneesmiddel Gentamicin sulfate 1.6 mg/ml
injecteerbaar geneesmiddel Filgrastim 40 µg/ml
Glucose 5% 104
Verenigbaar
injecteerbaar geneesmiddel Gentamicin sulfate 5 mg/ml
injecteerbaar geneesmiddel Filgrastim 30 µg/ml
Glucose 5% 244
Niet-gespecificeerde incompatibiliteit Onverenigbaar
injecteerbaar geneesmiddel Gentamicin sulfate
injecteerbaar geneesmiddel Flucloxacillin sodium
3643
Onmiddellijke neerslag Onverenigbaar
injecteerbaar geneesmiddel Gentamicin sulfate
injecteerbaar geneesmiddel Flucloxacillin sodium
3522
Verenigbaar
injecteerbaar geneesmiddel Gentamicin sulfate 1 mg/ml
injecteerbaar geneesmiddel Fluconazole 2 mg/ml
Geen 256
Verenigbaar
injecteerbaar geneesmiddel Gentamicin sulfate 4 mg/ml
injecteerbaar geneesmiddel Fluconazole 2 mg/ml
Natriumchloride 0,9% 496
Verenigbaar
injecteerbaar geneesmiddel Gentamicin sulfate 5 mg/ml
injecteerbaar geneesmiddel Fludarabine phosphate 1 mg/ml
Glucose 5% 492
Verenigbaar
injecteerbaar geneesmiddel Gentamicin sulfate 2 mg/ml
injecteerbaar geneesmiddel Foscarnet sodium 24 mg/ml
Natriumchloride 0,9% 1135
Verenigbaar
injecteerbaar geneesmiddel Gentamicin sulfate 2 mg/ml
injecteerbaar geneesmiddel Foscarnet sodium 24 mg/ml
Glucose 5% 1135
Verenigbaar
injecteerbaar geneesmiddel Gentamicin sulfate 4 mg/ml
injecteerbaar geneesmiddel Foscarnet sodium 24 mg/ml
Geen 73
Verenigbaar
injecteerbaar geneesmiddel Gentamicin sulfate 10 mg/ml
Ringer-lactaat 4603
Verenigbaar
injecteerbaar geneesmiddel Gentamicin sulfate 5 mg/ml
injecteerbaar geneesmiddel Fosfomycin 30 mg/ml
Natriumchloride 0,9% 4055
Onmiddellijke neerslag Onverenigbaar
injecteerbaar geneesmiddel Gentamicin sulfate 0,4 mg/ml
Parenterale voeding (met lipiden) 4440
Verenigbaar
injecteerbaar geneesmiddel Gentamicin sulfate 40 mg/ml
Parenterale voeding (met lipiden) 673
Verenigbaar
injecteerbaar geneesmiddel Gentamicin sulfate 5 mg/ml
injecteerbaar geneesmiddel Fosfomycin 30 mg/ml
Glucose 5% 4055
Onmiddellijke neerslag Onverenigbaar
injecteerbaar geneesmiddel Gentamicin sulfate 10 mg/ml
injecteerbaar geneesmiddel Furosemide 10 mg/ml
789
Onmiddellijke neerslag Onverenigbaar
injecteerbaar geneesmiddel Gentamicin sulfate 1,6 mg/ml
injecteerbaar geneesmiddel Furosemide 0,8 mg/ml
Glucose 5% 367
Onmiddellijke neerslag Onverenigbaar
injecteerbaar geneesmiddel Gentamicin sulfate 1,6 mg/ml
injecteerbaar geneesmiddel Furosemide 0,8 mg/ml
Natriumchloride 0,9% 367
Onmiddellijke troebelheid Onverenigbaar
injecteerbaar geneesmiddel Gentamicin sulfate 6.4 mg/ml
injecteerbaar geneesmiddel Furosemide 5 mg/ml
805
Neerslag na 2 uur Onverenigbaar
injecteerbaar geneesmiddel Gentamicin sulfate 8 mg/ml
injecteerbaar geneesmiddel Furosemide 1 mg/ml
Natriumchloride 0,9% 1232
Verenigbaar
injecteerbaar geneesmiddel Gentamicin sulfate 5 mg/ml
injecteerbaar geneesmiddel Gemcitabine hydrochloride 10 mg/ml
Natriumchloride 0,9% 1423
Verenigbaar
injecteerbaar geneesmiddel Gentamicin sulfate 1.5 mg/ml
injecteerbaar geneesmiddel Granisetron hydrochloride 1 mg/ml
Natriumchloride 0,9% 57
Verenigbaar
injecteerbaar geneesmiddel Gentamicin sulfate 1 & 2 mg/ml
injecteerbaar geneesmiddel Heparin sodium 2500 UI/ml
4612
Onmiddellijke neerslag Onverenigbaar
injecteerbaar geneesmiddel Gentamicin sulfate 4 >> 40 mg/ml
injecteerbaar geneesmiddel Heparin sodium 10 >> 40 UI/ml
1258
Onmiddellijke neerslag Onverenigbaar
injecteerbaar geneesmiddel Gentamicin sulfate
injecteerbaar geneesmiddel Heparin sodium
1022
Niet-gespecificeerde incompatibiliteit Onverenigbaar
injecteerbaar geneesmiddel Gentamicin sulfate 2 mg/ml
injecteerbaar geneesmiddel Heparin sodium 50 UI/ml
Geen 317
Niet-gespecificeerde incompatibiliteit Onverenigbaar
injecteerbaar geneesmiddel Gentamicin sulfate
injecteerbaar geneesmiddel Heparin sodium
3643
Niet-gespecificeerde incompatibiliteit Onverenigbaar
injecteerbaar geneesmiddel Gentamicin sulfate
injecteerbaar geneesmiddel Heparin sodium
3520
Niet-gespecificeerde incompatibiliteit Onverenigbaar
injecteerbaar geneesmiddel Gentamicin sulfate
injecteerbaar geneesmiddel Heparin sodium
3540
Onmiddellijke troebelheid Onverenigbaar
injecteerbaar geneesmiddel Gentamicin sulfate 3 mg/ml
injecteerbaar geneesmiddel Heparin sodium 2500 UI/ml
4612
Onmiddellijke neerslag Onverenigbaar
injecteerbaar geneesmiddel Gentamicin sulfate 4 & 5 mg/ml
injecteerbaar geneesmiddel Heparin sodium 2500 UI/ml
4612
Verenigbaar
injecteerbaar geneesmiddel Gentamicin sulfate 5 mg/ml
injecteerbaar geneesmiddel Hetastarch 60 mg/ml
specifieke solvent 1721
Onmiddellijke neerslag Onverenigbaar
injecteerbaar geneesmiddel Gentamicin sulfate 0.8 mg/ml
injecteerbaar geneesmiddel Hetastarch 60 mg/ml
Natriumchloride 0,9% 472
Verenigbaar
injecteerbaar geneesmiddel Gentamicin sulfate 0.8 mg/ml
injecteerbaar geneesmiddel Hydromorphone hydrochloride 0.2 mg/ml
Glucose 5% 405
Kleur verandering Onverenigbaar
injecteerbaar geneesmiddel Gentamicin sulfate 3 mg/ml
injecteerbaar geneesmiddel Idarubicin hydrochloride 1 mg/ml
Natriumchloride 0,9% 491
Onmiddellijke neerslag Onverenigbaar
injecteerbaar geneesmiddel Gentamicin sulfate 1 mg/ml
injecteerbaar geneesmiddel Indomethacin sodium trihydrate 0,5 & 1 mg/ml
Glucose 5% 494
Neerslag na 15 minuten Onverenigbaar
injecteerbaar geneesmiddel Gentamicin sulfate 1 mg/ml
injecteerbaar geneesmiddel Indomethacin sodium trihydrate 0,5 & 1 mg/ml
Glucose 5% 1745
Verenigbaar
injecteerbaar geneesmiddel Gentamicin sulfate 1.2 >> 2 mg/ml
injecteerbaar geneesmiddel Insulin 0.2 UI/ml
Natriumchloride 0,9% 129
Verenigbaar
injecteerbaar geneesmiddel Gentamicin sulfate 0.8 mg/ml
injecteerbaar geneesmiddel Iohexol 300 mg I/ml
Geen 1085
Onmiddellijke neerslag Onverenigbaar
injecteerbaar geneesmiddel Gentamicin sulfate 0.8 mg/ml
injecteerbaar geneesmiddel Ioxaglate 320 mg I/ml
Geen 1085
Verenigbaar
injecteerbaar geneesmiddel Gentamicin sulfate 5 mg/ml
injecteerbaar geneesmiddel Isavuconazonium sulfate 1.5 mg/ml
Glucose 5% 3829
Verenigbaar
injecteerbaar geneesmiddel Gentamicin sulfate 5 mg/ml
injecteerbaar geneesmiddel Isavuconazonium sulfate 1.5 mg/ml
Natriumchloride 0,9% 3829
Verenigbaar
injecteerbaar geneesmiddel Gentamicin sulfate 40 mg/ml
injecteerbaar geneesmiddel Ketamine hydrochloride 50 mg/ml
2109
Verenigbaar
injecteerbaar geneesmiddel Gentamicin sulfate 0.8 mg/ml
injecteerbaar geneesmiddel Labetalol hydrochloride 1 mg/ml
Glucose 5% 386
Verenigbaar
injecteerbaar geneesmiddel Gentamicin sulfate 5 mg/ml
injecteerbaar geneesmiddel Lansoprazole 0.55 mg/ml
Natriumchloride 0,9% 1625
Verenigbaar
injecteerbaar geneesmiddel Gentamicin sulfate 10 mg/ml
injecteerbaar geneesmiddel Levofloxacine 5 mg/ml
Glucose 5% 1072
Verenigbaar
injecteerbaar geneesmiddel Gentamicin sulfate 0,75 mg/ml
injecteerbaar geneesmiddel Linezolid 1,80 mg/ml
2353
Verenigbaar
injecteerbaar geneesmiddel Gentamicin sulfate 5 mg/ml
injecteerbaar geneesmiddel Linezolid 2 mg/ml
Geen 1925
Verenigbaar
injecteerbaar geneesmiddel Gentamicin sulfate 3 mg/ml
injecteerbaar geneesmiddel Lorazepam 0.33 mg/ml
Natriumchloride 0,9% 186
Verenigbaar
injecteerbaar geneesmiddel Gentamicin sulfate 0.8 mg/ml
injecteerbaar geneesmiddel Magnesium sulfate 16.67 >> 100 mg/ml
Glucose 5% 1047
Verenigbaar
injecteerbaar geneesmiddel Gentamicin sulfate 5 mg/ml
injecteerbaar geneesmiddel Melphalan 0.1 mg/ml
Natriumchloride 0,9% 169
Verenigbaar
injecteerbaar geneesmiddel Gentamicin sulfate 40 mg/ml
injecteerbaar geneesmiddel Meropenem 50 mg/ml
Water voor injectie 4319
Verenigbaar
injecteerbaar geneesmiddel Gentamicin sulfate 0.8 mg/ml
injecteerbaar geneesmiddel Meropenem 1 & 20 mg/ml
Natriumchloride 0,9% 266
Verenigbaar
injecteerbaar geneesmiddel Gentamicin sulfate 4 mg/ml
injecteerbaar geneesmiddel Meropenem 1 & 50 mg/ml
Natriumchloride 0,9% 266
Verenigbaar
injecteerbaar geneesmiddel Gentamicin sulfate 30 mg/ml
injecteerbaar geneesmiddel Meropenem 10 mg/ml
Natriumchloride 0,9% 2335
Verenigbaar
injecteerbaar geneesmiddel Gentamicin sulfate 0,8 & 1,2 mg/ml
injecteerbaar geneesmiddel Metronidazole 5 mg/ml
Geen 1243
Verenigbaar
injecteerbaar geneesmiddel Gentamicin sulfate 0.8 mg/ml
injecteerbaar geneesmiddel Metronidazole 5 mg/ml
Geen 1035
Verenigbaar
injecteerbaar geneesmiddel Gentamicin sulfate
injecteerbaar geneesmiddel Metronidazole
3594
Verenigbaar
injecteerbaar geneesmiddel Gentamicin sulfate 3 mg/ml
injecteerbaar geneesmiddel Midazolam hydrochloride 5 mg/ml
Geen 186
Verenigbaar
injecteerbaar geneesmiddel Gentamicin sulfate 10 mg/ml
injecteerbaar geneesmiddel Midazolam hydrochloride 1 mg/ml
Glucose 5% 176
Verenigbaar
injecteerbaar geneesmiddel Gentamicin sulfate 0.8 mg/ml
injecteerbaar geneesmiddel Midazolam hydrochloride 0.05 >> 0.4 mg/ml
Natriumchloride 0,9% 1888
Niet-gespecificeerde incompatibiliteit Onverenigbaar
injecteerbaar geneesmiddel Gentamicin sulfate
injecteerbaar geneesmiddel Mitomycin
4471
Chemische instabiliteit Onverenigbaar
injecteerbaar geneesmiddel Gentamicin sulfate
injecteerbaar geneesmiddel Mitomycin
3128
Verenigbaar
injecteerbaar geneesmiddel Gentamicin sulfate 1.2 & 2 mg/ml
injecteerbaar geneesmiddel Morphine sulfate 1 mg/ml
Natriumchloride 0,9% 406
Verenigbaar
injecteerbaar geneesmiddel Gentamicin sulfate 0.8 mg/ml
injecteerbaar geneesmiddel Morphine sulfate 1 mg/ml
Glucose 5% 405
Niet-gespecificeerde incompatibiliteit Onverenigbaar
injecteerbaar geneesmiddel Gentamicin sulfate
injecteerbaar geneesmiddel Moxalactam
3643
Niet-gespecificeerde incompatibiliteit Onverenigbaar
injecteerbaar geneesmiddel Gentamicin sulfate
injecteerbaar geneesmiddel Moxalactam
3520
Verenigbaar
injecteerbaar geneesmiddel Gentamicin sulfate 40 mg/ml
injecteerbaar geneesmiddel N-acetylcysteine 200 mg/ml
Geen 3766
Niet-gespecificeerde incompatibiliteit Onverenigbaar
injecteerbaar geneesmiddel Gentamicin sulfate
injecteerbaar geneesmiddel Nadroparin
3643
Niet-gespecificeerde incompatibiliteit Onverenigbaar
injecteerbaar geneesmiddel Gentamicin sulfate
injecteerbaar geneesmiddel Nafcillin sodium
3643
Niet-gespecificeerde incompatibiliteit Onverenigbaar
injecteerbaar geneesmiddel Gentamicin sulfate
injecteerbaar geneesmiddel Nafcillin sodium
3520
Verenigbaar
injecteerbaar geneesmiddel Gentamicin sulfate 40 mg/ml
injecteerbaar geneesmiddel Naloxone hydrochloride 0.4 mg/ml
Geen 3408
Verenigbaar
injecteerbaar geneesmiddel Gentamicin sulfate 4.17 mg/ml
injecteerbaar geneesmiddel Nefopam 0.16 mg/ml
Natriumchloride 0,9% 4254
Verenigbaar
injecteerbaar geneesmiddel Gentamicin sulfate 4.17 mg/ml
injecteerbaar geneesmiddel Nefopam 0.16 mg/ml
Glucose 5% 4254
Verenigbaar
injecteerbaar geneesmiddel Gentamicin sulfate 0.8 mg/ml
injecteerbaar geneesmiddel Nicardipine hydrochloride 0.1 mg/ml
Glucose 5% 1490
Verenigbaar
injecteerbaar geneesmiddel Gentamicin sulfate 0.8 mg/ml
injecteerbaar geneesmiddel Nicardipine hydrochloride 0.1 mg/ml
Natriumchloride 0,9% 1490
Verenigbaar
injecteerbaar geneesmiddel Gentamicin sulfate 0,8 mg/ml
injecteerbaar geneesmiddel Ofloxacin 2 mg/ml
Geen 889
Verenigbaar
injecteerbaar geneesmiddel Gentamicin sulfate 5 mg/ml
injecteerbaar geneesmiddel Ondansetron hydrochloride 1 mg/ml
Natriumchloride 0,9% 334
Verenigbaar
injecteerbaar geneesmiddel Gentamicin sulfate 5 mg/ml
injecteerbaar geneesmiddel Oritavancin 0.8 >>2 mg/ml
Glucose 5% 3152
Niet-gespecificeerde incompatibiliteit Onverenigbaar
injecteerbaar geneesmiddel Gentamicin sulfate
injecteerbaar geneesmiddel Oxacillin sodium
3643
Niet-gespecificeerde incompatibiliteit Onverenigbaar
injecteerbaar geneesmiddel Gentamicin sulfate
injecteerbaar geneesmiddel Oxacillin sodium
3520
Verenigbaar
injecteerbaar geneesmiddel Gentamicin sulfate 40 mg/ml
injecteerbaar geneesmiddel Oxycodone hydrochloride 1 mg/ml
Natriumchloride 0,9% 4842
Verenigbaar
injecteerbaar geneesmiddel Gentamicin sulfate 5 mg/ml
injecteerbaar geneesmiddel Paclitaxel 1.2 mg/ml
Glucose 5% 248
Verenigbaar
injecteerbaar geneesmiddel Gentamicin sulfate 5 mg/ml
injecteerbaar geneesmiddel Palonosetron hydrochloride 50 µg/ml
Glucose 5% 2228
Verenigbaar
injecteerbaar geneesmiddel Gentamicin sulfate 2 mg/ml
injecteerbaar geneesmiddel Pancuronium bromide 0.05 mg/ml
Glucose 5% 402
Onmiddellijke neerslag Onverenigbaar
injecteerbaar geneesmiddel Gentamicin sulfate
injecteerbaar geneesmiddel Pantoprazole sodium
2090
Verenigbaar
injecteerbaar geneesmiddel Gentamicin sulfate 40 mg/ml
injecteerbaar geneesmiddel Paracetamol 10 mg/ml
4742
Onmiddellijke neerslag Onverenigbaar
injecteerbaar geneesmiddel Gentamicin sulfate 5 mg/ml
injecteerbaar geneesmiddel Pemetrexed disodium 20 mg/ml
1953
Niet-gespecificeerde incompatibiliteit Onverenigbaar
injecteerbaar geneesmiddel Gentamicin sulfate
injecteerbaar geneesmiddel Penicillin G potassium
3643
Niet-gespecificeerde incompatibiliteit Onverenigbaar
injecteerbaar geneesmiddel Gentamicin sulfate
injecteerbaar geneesmiddel Penicillin G potassium
3520
Niet-gespecificeerde incompatibiliteit Onverenigbaar
injecteerbaar geneesmiddel Gentamicin sulfate
injecteerbaar geneesmiddel Penicillin G sodium
3643
Niet-gespecificeerde incompatibiliteit Onverenigbaar
injecteerbaar geneesmiddel Gentamicin sulfate
injecteerbaar geneesmiddel Penicillin G sodium
3520
Verenigbaar
injecteerbaar geneesmiddel Gentamicin sulfate 10 mg/ml
injecteerbaar geneesmiddel Pentoxifyllin 5 mg/ml
Natriumchloride 0,9% 4543
Verenigbaar
injecteerbaar geneesmiddel Gentamicin sulfate 0.8 mg/ml
injecteerbaar geneesmiddel Pethidine hydrochloride 10 mg/ml
Glucose 5% 405
Onmiddellijke neerslag Onverenigbaar
injecteerbaar geneesmiddel Gentamicin sulfate 10 mg/ml
injecteerbaar geneesmiddel Phenytoin sodium 50 mg/ml
789
Verenigbaar
injecteerbaar geneesmiddel Gentamicin sulfate 20 mg/ml
injecteerbaar geneesmiddel Phloroglucinol 2,5 mg/ml
3791
Niet-gespecificeerde incompatibiliteit Onverenigbaar
injecteerbaar geneesmiddel Gentamicin sulfate
injecteerbaar geneesmiddel Piperacillin sodium
3520
Niet-gespecificeerde incompatibiliteit Onverenigbaar
injecteerbaar geneesmiddel Gentamicin sulfate
injecteerbaar geneesmiddel Piperacillin sodium
3643
Niet-gespecificeerde incompatibiliteit Onverenigbaar
injecteerbaar geneesmiddel Gentamicin sulfate
injecteerbaar geneesmiddel Piperacillin sodium / tazobactam
3520
Chemische instabiliteit Onverenigbaar
injecteerbaar geneesmiddel Gentamicin sulfate
injecteerbaar geneesmiddel Piperacillin sodium / tazobactam
3586
Niet-gespecificeerde incompatibiliteit Onverenigbaar
injecteerbaar geneesmiddel Gentamicin sulfate
injecteerbaar geneesmiddel Piperacillin sodium / tazobactam
3643
Verenigbaar
injecteerbaar geneesmiddel Gentamicin sulfate
injecteerbaar geneesmiddel Posaconazole
4380
Verenigbaar
injecteerbaar geneesmiddel Gentamicin sulfate 30 mg/ml
injecteerbaar geneesmiddel Potassium chloride 20 mEq/l
NaCl 0,45% glucose 5% 2335
Onmiddellijke instabiliteit van de emulsie Onverenigbaar
injecteerbaar geneesmiddel Gentamicin sulfate 2 mg/ml
injecteerbaar geneesmiddel Propofol
660
Niet-gespecificeerde incompatibiliteit Onverenigbaar
injecteerbaar geneesmiddel Gentamicin sulfate 40 mg/ml
injecteerbaar geneesmiddel Propofol
4524
Onmiddellijke neerslag Onverenigbaar
injecteerbaar geneesmiddel Gentamicin sulfate 5 mg/ml
injecteerbaar geneesmiddel Propofol 10 mg/ml
Geen 300
Verenigbaar
injecteerbaar geneesmiddel Gentamicin sulfate 5 mg/ml
injecteerbaar geneesmiddel Remifentanil hydrochloride 25 & 250 µg/ml
Natriumchloride 0,9% 59
Verenigbaar
injecteerbaar geneesmiddel Gentamicin sulfate 40 mg/ml
injecteerbaar geneesmiddel Salbutamol sulfate 1 mg/ml
Geen 3216
Verenigbaar
injecteerbaar geneesmiddel Gentamicin sulfate 5 mg/ml
injecteerbaar geneesmiddel Sargramostim 10 µg/ml
Natriumchloride 0,9% 335
Verenigbaar
injecteerbaar geneesmiddel Gentamicin sulfate 10 mg/ml
injecteerbaar geneesmiddel Sildenafil citrate 0,6 mg/ml
Glucose 5% 4845
Verenigbaar
injecteerbaar geneesmiddel Gentamicin sulfate 2,4 mg/ml
injecteerbaar geneesmiddel Sodium bicarbonate 40 mg/ml
Geen 3122
Productie van gasbellen Onverenigbaar
injecteerbaar geneesmiddel Gentamicin sulfate
injecteerbaar geneesmiddel Sodium bicarbonate
3643
Verenigbaar
injecteerbaar geneesmiddel Gentamicin sulfate 2.5 mg/ml
injecteerbaar geneesmiddel Sodium citrate 40 mg/ml
Water voor injectie 3952
Verenigbaar
injecteerbaar geneesmiddel Gentamicin sulfate 40 mg/ml
injecteerbaar geneesmiddel Sugammadex 100 mg/ml
Geen 3372
Verenigbaar
injecteerbaar geneesmiddel Gentamicin sulfate 5 mg/ml
injecteerbaar geneesmiddel Sulbactam/durlobactam 15/15 mg/ml
Natriumchloride 0,9% 4801
Verenigbaar
injecteerbaar geneesmiddel Gentamicin sulfate 4 mg/ml
injecteerbaar geneesmiddel Tacrolimus 1000 µg/ml
Natriumchloride 0,9% 479
Verenigbaar
injecteerbaar geneesmiddel Gentamicin sulfate
Natriumchloride 0,9% 1704
Verenigbaar
injecteerbaar geneesmiddel Gentamicin sulfate
Natriumchloride 0,9% 434
Niet-gespecificeerde incompatibiliteit Onverenigbaar
injecteerbaar geneesmiddel Gentamicin sulfate
injecteerbaar geneesmiddel Sodium bicarbonate
3520
Verenigbaar
injecteerbaar geneesmiddel Gentamicin sulfate 1 >> 5 mg/ml
injecteerbaar geneesmiddel Sodium citrate 40 mg/ml
Geen 2019
Onmiddellijke troebelheid Onverenigbaar
injecteerbaar geneesmiddel Gentamicin sulfate 5 mg/ml
injecteerbaar geneesmiddel Tedizolid phosphate 0.8 mg/ml
Natriumchloride 0,9% 3827
Niet-gespecificeerde incompatibiliteit Onverenigbaar
injecteerbaar geneesmiddel Gentamicin sulfate
injecteerbaar geneesmiddel Teicoplanine
3656
Verenigbaar
injecteerbaar geneesmiddel Gentamicin sulfate 5 mg/ml
injecteerbaar geneesmiddel Telavancin hydrochloride 7.5 mg/ml
Ringer-lactaat 3254
Verenigbaar
injecteerbaar geneesmiddel Gentamicin sulfate 5 mg/ml
injecteerbaar geneesmiddel Telavancin hydrochloride 7.5 mg/ml
Natriumchloride 0,9% 3254
Verenigbaar
injecteerbaar geneesmiddel Gentamicin sulfate 5 mg/ml
injecteerbaar geneesmiddel Telavancin hydrochloride 7.5 mg/ml
Glucose 5% 3254
Verenigbaar
injecteerbaar geneesmiddel Gentamicin sulfate 6 mg/ml
injecteerbaar geneesmiddel Temocilline 83.33 mg/ml
Water voor injectie 2231
Niet-gespecificeerde incompatibiliteit Onverenigbaar
injecteerbaar geneesmiddel Gentamicin sulfate
injecteerbaar geneesmiddel Temocilline
3643
Niet-gespecificeerde incompatibiliteit Onverenigbaar
injecteerbaar geneesmiddel Gentamicin sulfate
injecteerbaar geneesmiddel Temocilline
3520
Niet-gespecificeerde incompatibiliteit Onverenigbaar
injecteerbaar geneesmiddel Gentamicin sulfate
injecteerbaar geneesmiddel Temocilline
2296
Verenigbaar
injecteerbaar geneesmiddel Gentamicin sulfate 5 mg/ml
injecteerbaar geneesmiddel Teniposide 0.1 mg/ml
Glucose 5% 905
Verenigbaar
injecteerbaar geneesmiddel Gentamicin sulfate 2 mg/ml
injecteerbaar geneesmiddel Theophylline 4 mg/ml
Geen 317
Onmiddellijke neerslag Onverenigbaar
injecteerbaar geneesmiddel Gentamicin sulfate 40 mg/ml
injecteerbaar geneesmiddel Thiopental sodium 25 mg/ml
Natriumchloride 0,9% 3767
Verenigbaar
injecteerbaar geneesmiddel Gentamicin sulfate 5 mg/ml
injecteerbaar geneesmiddel Thiotepa 1 mg/ml
Glucose 5% 249
Chemische instabiliteit Onverenigbaar
injecteerbaar geneesmiddel Gentamicin sulfate
injecteerbaar geneesmiddel Ticarcillin / clavulanic acid
3587
Niet-gespecificeerde incompatibiliteit Onverenigbaar
injecteerbaar geneesmiddel Gentamicin sulfate
injecteerbaar geneesmiddel Ticarcillin / clavulanic acid
3643
Niet-gespecificeerde incompatibiliteit Onverenigbaar
injecteerbaar geneesmiddel Gentamicin sulfate
injecteerbaar geneesmiddel Ticarcillin / clavulanic acid
3520
Verenigbaar
injecteerbaar geneesmiddel Gentamicin sulfate
injecteerbaar geneesmiddel Tigecycline
Natriumchloride 0,9% 3332
Verenigbaar
injecteerbaar geneesmiddel Gentamicin sulfate 6 mg/ml
injecteerbaar geneesmiddel Vancomycin hydrochloride 10 mg/ml
Glucose 5% 3385
Verenigbaar
injecteerbaar geneesmiddel Gentamicin sulfate 1.2 mg/ml
injecteerbaar geneesmiddel Vasopressin 0.2 UI/ml
Natriumchloride 0,9% 2017
Verenigbaar
injecteerbaar geneesmiddel Gentamicin sulfate 2 mg/ml
injecteerbaar geneesmiddel Vecuronium bromide 0.1 mg/ml
Glucose 5% 402
Verenigbaar
injecteerbaar geneesmiddel Gentamicin sulfate 0.16 mg/ml
injecteerbaar geneesmiddel Verapamil hydrochloride 0.08 mg/ml
Glucose 5% 1057
Verenigbaar
injecteerbaar geneesmiddel Gentamicin sulfate 0.16 mg/ml
injecteerbaar geneesmiddel Verapamil hydrochloride 0.08 mg/ml
Natriumchloride 0,9% 1057
Verenigbaar
injecteerbaar geneesmiddel Gentamicin sulfate 5 mg/ml
injecteerbaar geneesmiddel Vinorelbine tartrate 1 mg/ml
Natriumchloride 0,9% 84
Onmiddellijke troebelheid Onverenigbaar
injecteerbaar geneesmiddel Gentamicin sulfate 1.6 mg/ml
injecteerbaar geneesmiddel Warfarin sodium 2 mg/ml
Glucose 5% 315
Verenigbaar
injecteerbaar geneesmiddel Gentamicin sulfate 2 mg/ml
injecteerbaar geneesmiddel Zidovudine 4 mg/ml
Glucose 5% 337

  Mentions Légales