Última actualización :
27/04/2026
Antibiótico   Gentamicin sulfate  
Inyectables
Gotas oculares
Estabilidad en solucion Estabilidad en mezcla Factores que influyen sobre la estabilidad Compatibilidades método de inyección Bibliografía pdf
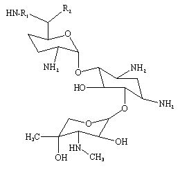
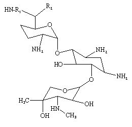
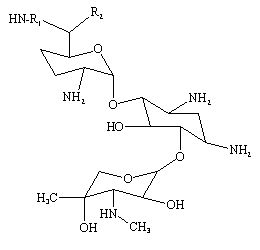
   Estructura química  

Nombre comercial   Nombre comercial     

Los nombres comerciales son orientativos y los excipientes de la formulación pueden ser distintos dependiendo del país y del laboratorio fabricante.

Azupel Marruecos
Cidomycin Egipto, Gran Bretaña, Túnez
Dabroson Grecia
Epigent Egipto
Garalone Portugal
Garamicina Brasil, Colombia, Ecuador, México
Garamycin Croacia, Dinamarca, Egipto, Emiratos Árabes Unidos, Grecia, India, Noruega, Países Bajos, Polonia, Suiza
Genmisin Turquía
Gensif Turquía
Gensumycin Finlandia, Noruega, Suecia
Genta-Gobens España
Gentalline Marruecos
Gentamen Marruecos
Genticin Emiratos Árabes Unidos, Gran Bretaña, Irlanda
Gentreks Turquía
Hexamycin Dinamarca
Plurisemina Argentina
Refobacin Alemania, Austria, Colombia, Egipto
Rupegen Argentina
Compatibilidades   Inyectables   Compatibilidades : Gentamicin sulfate              
Esta pantalla muestra las compatibilidades o incompatibilidades, así como el tipo de incompatibilidad (precipitación, cambio de color, modificación de una emulsión, etc). Las compatibilidades que se recogen aquí son fundamentalmente físicas, mostrando raramente la estabilidad química de la molécula. La evaluación de estas mezclas se estudió con el fin de de comprobar la posibilidad de administración en Y al paciente. Estos datos no pueden utilizarse en el caso de la preparación de mezclas dentro de bolsas o jeringas. Este tipo de información está disponible en la pantalla “Estabilidad en mezcla”.
Molécula Solvente Bibliografía
Compatible
Inyectables Gentamicin sulfate 1.6 mg/ml
Inyectables Aciclovir sodium 5 mg/ml
Glucosa 5% 336
Precipitación inmediata Incompatible
Inyectables Gentamicin sulfate 30 mg/ml
Inyectables Aciclovir sodium 5 mg/ml
Cloruro de sodio 0,9% 2335
Precipitación después de 1 hora Incompatible
Inyectables Gentamicin sulfate 5 mg/ml
Inyectables Allopurinol sodium 3 mg/ml
Cloruro de sodio 0,9% 307
Compatible
Inyectables Gentamicin sulfate 1 mg/ml
Inyectables Alprostadil 15 µg/ml
3201
Compatible
Inyectables Gentamicin sulfate 5 mg/ml
Inyectables Amifostine 10 mg/ml
Glucosa 5% 3
Compatible
Inyectables Gentamicin sulfate 0.8 mg/ml
Inyectables Amiodarone hydrochloride 4 mg/ml
Cloruro de sodio 0,9% 385
Compatible
Inyectables Gentamicin sulfate 0.8 mg/ml
Inyectables Amiodarone hydrochloride 4 mg/ml
Glucosa 5% 385
Incompatibilidad no especificada Incompatible
Inyectables Gentamicin sulfate
Inyectables Amoxicillin sodium
3643
Incompatibilidad no especificada Incompatible
Inyectables Gentamicin sulfate
Inyectables Amoxicillin sodium
3520
Inestabilidad química Incompatible
Inyectables Gentamicin sulfate
Inyectables Amoxicillin sodium
3527
Incompatibilidad no especificada Incompatible
Inyectables Gentamicin sulfate
Inyectables Amoxicillin sodium / clavulanic acid
3643
Incompatibilidad no especificada Incompatible
Inyectables Gentamicin sulfate
Inyectables Amoxicillin sodium / clavulanic acid
3545
Incompatibilidad no especificada Incompatible
Inyectables Gentamicin sulfate
Inyectables Amoxicillin sodium / clavulanic acid
3520
Compatible
Inyectables Gentamicin sulfate 40 mg/ml
Inyectables Amoxicillin sodium / clavulanic acid 100/10 mg/ml
3824
Precipitación inmediata Incompatible
Inyectables Gentamicin sulfate 5 mg/ml
Inyectables Amphotericin B cholesteryl sulfate complex 0,83 mg/ml
Glucosa 5% 921
Incompatibilidad no especificada Incompatible
Inyectables Gentamicin sulfate
Inyectables Ampicillin sodium
3643
Incompatibilidad no especificada Incompatible
Inyectables Gentamicin sulfate
Inyectables Ampicillin sodium
3520
Incompatibilidad no especificada Incompatible
Inyectables Gentamicin sulfate
Inyectables Ampicillin sodium - sulbactam sodium
3643
Incompatibilidad no especificada Incompatible
Inyectables Gentamicin sulfate
Inyectables Ampicillin sodium - sulbactam sodium
3520
Compatible
Inyectables Gentamicin sulfate 5 mg/ml
Inyectables Amsacrine 1 mg/ml
Glucosa 5% 253
Compatible
Inyectables Gentamicin sulfate 5 mg/ml
Inyectables Anidulafungin 0.5 mg/ml
Glucosa 5% 1982
Compatible
Inyectables Gentamicin sulfate 0,8 mg/ml
Inyectables Atosiban 0,75 mg/ml
4642
Compatible
Inyectables Gentamicin sulfate 2 mg/ml
Inyectables Atracurium besylate 0.5 mg/ml
Glucosa 5% 402
Precipitación inmediata Incompatible
Inyectables Gentamicin sulfate 21 mg/ml
Inyectables Azithromycine 2 mg/ml
Cloruro de sodio 0,9% 1800
Compatible
Inyectables Gentamicin sulfate 5 mg/ml
Inyectables Aztreonam 40 mg/ml
Glucosa 5% 99
Compatible
Inyectables Gentamicin sulfate 0.2 & 0.8 mg/ml
Inyectables Aztreonam 10 & 20 mg/ml
Cloruro de sodio 0,9% 19
Compatible
Inyectables Gentamicin sulfate 0.2 & 0.8 mg/ml
Inyectables Aztreonam 10 & 20 mg/ml
Glucosa 5% 19
Compatible
Inyectables Gentamicin sulfate 5 mg/ml
Inyectables Bivalirudin 5 mg/ml
Glucosa 5% 1713
Compatible
Inyectables Gentamicin sulfate 10 mg/ml
Inyectables Caffeine 10 mg/ml
Ninguno 3964
Compatible
Inyectables Gentamicin sulfate 10 mg/ml
Inyectables Caffeine 10 mg/ml
Cloruro de sodio 0,9% 4837
Compatible
Inyectables Gentamicin sulfate 10 mg/ml
Inyectables Caffeine citrate 20 mg/ml
Cloruro de sodio 0,9% 4837
Incompatibilidad no especificada Incompatible
Inyectables Gentamicin sulfate
Inyectables Calcium gluconate
3644
Incompatible
Inyectables Gentamicin sulfate
Inyectables Calcium gluconate
4964
Compatible
Inyectables Gentamicin sulfate 5 mg/ml
Inyectables Caspofungin acetate 0,7 mg/ml
Cloruro de sodio 0,9% 2247
Incompatibilidad no especificada Incompatible
Inyectables Gentamicin sulfate
Inyectables Cefalotin sodium
3520
Incompatibilidad no especificada Incompatible
Inyectables Gentamicin sulfate
Inyectables Cefalotin sodium
3643
Precipitación inmediata Incompatible
Inyectables Gentamicin sulfate
Inyectables Cefamandole nafate 2 >> 100 mg/ml
Glucosa 5% 612
Incompatibilidad no especificada Incompatible
Inyectables Gentamicin sulfate
Inyectables Cefamandole nafate
3643
Incompatibilidad no especificada Incompatible
Inyectables Gentamicin sulfate
Inyectables Cefamandole nafate
3520
Incompatibilidad no especificada Incompatible
Inyectables Gentamicin sulfate
Inyectables Cefamandole nafate
3546
Precipitación inmediata Incompatible
Inyectables Gentamicin sulfate
Inyectables Cefamandole nafate 2 >> 100 mg/ml
Cloruro de sodio 0,9% 612
Incompatibilidad no especificada Incompatible
Inyectables Gentamicin sulfate
Inyectables Cefazolin sodium
3520
Incompatibilidad no especificada Incompatible
Inyectables Gentamicin sulfate
Inyectables Cefazolin sodium
3643
Incompatibilidad no especificada Incompatible
Inyectables Gentamicin sulfate
Inyectables Cefepime dihydrochloride
3520
Compatible
Inyectables Gentamicin sulfate 6 mg/ml
Inyectables Cefepime dihydrochloride 125 mg/ml
Agua para preparación inyectable 2141
Incompatibilidad no especificada Incompatible
Inyectables Gentamicin sulfate
Inyectables Cefepime dihydrochloride
3548
Incompatibilidad no especificada Incompatible
Inyectables Gentamicin sulfate
Inyectables Cefepime dihydrochloride
3643
Compatible
Inyectables Gentamicin sulfate 5 mg/ml
Inyectables Cefiderocol sulfate tosylate 20 mg/mL
Glucosa 5% 4528
Compatible
Inyectables Gentamicin sulfate 5 mg/ml
Inyectables Cefiderocol sulfate tosylate 20 mg/mL
Cloruro de sodio 0,9% 4528
Incompatibilidad no especificada Incompatible
Inyectables Gentamicin sulfate
Inyectables Cefmenoxime
3520
Incompatibilidad no especificada Incompatible
Inyectables Gentamicin sulfate
Inyectables Cefmenoxime
3643
Incompatibilidad no especificada Incompatible
Inyectables Gentamicin sulfate
Inyectables Cefmetazole sodium
3520
Incompatibilidad no especificada Incompatible
Inyectables Gentamicin sulfate
Inyectables Cefmetazole sodium
3643
Incompatibilidad no especificada Incompatible
Inyectables Gentamicin sulfate
Inyectables Cefonicid sodium
3643
Incompatibilidad no especificada Incompatible
Inyectables Gentamicin sulfate
Inyectables Cefonicid sodium
3520
Incompatibilidad no especificada Incompatible
Inyectables Gentamicin sulfate
Inyectables Cefoperazone sodium
3544
Incompatibilidad no especificada Incompatible
Inyectables Gentamicin sulfate
Inyectables Cefoperazone sodium
3643
Precipitación inmediata Incompatible
Inyectables Gentamicin sulfate 0.8 mg/ml
Inyectables Cefoperazone sodium 10 mg/ml
Glucosa 5% 1206
Incompatibilidad no especificada Incompatible
Inyectables Gentamicin sulfate
Inyectables Cefoperazone sodium
3520
Incompatibilidad no especificada Incompatible
Inyectables Gentamicin sulfate
Inyectables Ceforanide
3643
Incompatibilidad no especificada Incompatible
Inyectables Gentamicin sulfate
Inyectables Ceforanide
3520
Incompatibilidad no especificada Incompatible
Inyectables Gentamicin sulfate
Inyectables Cefotaxime sodium
3520
Incompatibilidad no especificada Incompatible
Inyectables Gentamicin sulfate
Inyectables Cefotaxime sodium
3643
Incompatibilidad no especificada Incompatible
Inyectables Gentamicin sulfate
Inyectables Cefoxitin sodium
3643
Incompatibilidad no especificada Incompatible
Inyectables Gentamicin sulfate
Inyectables Cefoxitin sodium
3520
Compatible
Inyectables Gentamicin sulfate 1 mg/ml
Inyectables Cefpirome sulfate 50 mg/ml
Cloruro de sodio 0,9% 280
Compatible
Inyectables Gentamicin sulfate 1 mg/ml
Inyectables Cefpirome sulfate 50 mg/ml
Ringer lactato 280
Compatible
Inyectables Gentamicin sulfate 1 mg/ml
Inyectables Cefpirome sulfate 50 mg/ml
Cloruro de sodio 0,45% 280
Incompatibilidad no especificada Incompatible
Inyectables Gentamicin sulfate
Inyectables Cefpirome sulfate
3643
Incompatibilidad no especificada Incompatible
Inyectables Gentamicin sulfate
Inyectables Cefpirome sulfate
3677
Compatible
Inyectables Gentamicin sulfate 1 mg/ml
Inyectables Cefpirome sulfate 50 mg/ml
Glucosa 5% 280
Incompatibilidad no especificada Incompatible
Inyectables Gentamicin sulfate
Inyectables Cefpirome sulfate
3520
Compatible
Inyectables Gentamicin sulfate 5 mg/ml
Inyectables Ceftaroline fosamil 2,22 mg/ml
Cloruro de sodio 0,9% 3249
Compatible
Inyectables Gentamicin sulfate 5 mg/ml
Inyectables Ceftaroline fosamil 2,22 mg/ml
Ringer lactato 3249
Compatible
Inyectables Gentamicin sulfate 5 mg/ml
Inyectables Ceftaroline fosamil 2,22 mg/ml
Glucosa 5% 3249
Incompatibilidad no especificada Incompatible
Inyectables Gentamicin sulfate
Inyectables Ceftaroline fosamil
3643
Incompatibilidad no especificada Incompatible
Inyectables Gentamicin sulfate
Inyectables Ceftaroline fosamil
3520
Incompatibilidad no especificada Incompatible
Inyectables Gentamicin sulfate
Inyectables Ceftazidime
3543
Incompatibilidad no especificada Incompatible
Inyectables Gentamicin sulfate
Inyectables Ceftazidime
3520
Incompatibilidad no especificada Incompatible
Inyectables Gentamicin sulfate
Inyectables Ceftazidime
3643
Compatible
Inyectables Gentamicin sulfate 6 mg/ml
Inyectables Ceftazidime 125 mg/ml
Agua para preparación inyectable 2141
Compatible
Inyectables Gentamicin sulfate 6 mg/ml
Inyectables Ceftazidime 83.3 mg/ml
1759
Incompatibilidad no especificada Incompatible
Inyectables Gentamicin sulfate
Inyectables Ceftazidime
3883
Incompatibilidad no especificada Incompatible
Inyectables Gentamicin sulfate
Inyectables Ceftazidime Avibactam
3520
Incompatibilidad no especificada Incompatible
Inyectables Gentamicin sulfate
Inyectables Ceftazidime Avibactam
3643
Incompatibilidad no especificada Incompatible
Inyectables Gentamicin sulfate
Inyectables Ceftizoxime sodium
3643
Incompatibilidad no especificada Incompatible
Inyectables Gentamicin sulfate
Inyectables Ceftizoxime sodium
3520
Incompatibilidad no especificada Incompatible
Inyectables Gentamicin sulfate
Inyectables Ceftobiprole medocaril sodium
3643
Incompatibilidad no especificada Incompatible
Inyectables Gentamicin sulfate
Inyectables Ceftobiprole medocaril sodium
4650
Precipitación inmediata Incompatible
Inyectables Gentamicin sulfate 5 mg/ml
Inyectables Ceftobiprole medocaril sodium 2 mg/ml
Glucosa 5% 2269
Precipitación inmediata Incompatible
Inyectables Gentamicin sulfate 5 mg/ml
Inyectables Ceftobiprole medocaril sodium 2 mg/ml
Ringer lactato 2269
Precipitación inmediata Incompatible
Inyectables Gentamicin sulfate 5 mg/ml
Inyectables Ceftobiprole medocaril sodium 2 mg/ml
Cloruro de sodio 0,9% 2269
Incompatibilidad no especificada Incompatible
Inyectables Gentamicin sulfate
Inyectables Ceftobiprole medocaril sodium
3520
Compatible
Inyectables Gentamicin sulfate 5 mg/ml
Inyectables Ceftolozane / tazobactam 10/5 mg/ml
Glucosa 5% 3828
Incompatibilidad no especificada Incompatible
Inyectables Gentamicin sulfate
Inyectables Ceftolozane / tazobactam
3643
Incompatibilidad no especificada Incompatible
Inyectables Gentamicin sulfate
Inyectables Ceftolozane / tazobactam
3520
Compatible
Inyectables Gentamicin sulfate 5 mg/ml
Inyectables Ceftolozane / tazobactam 10/5 mg/ml
Cloruro de sodio 0,9% 3828
Incompatibilidad no especificada Incompatible
Inyectables Gentamicin sulfate
Inyectables Ceftriaxone disodium
3523
Incompatibilidad no especificada Incompatible
Inyectables Gentamicin sulfate
Inyectables Ceftriaxone disodium
3643
Incompatibilidad no especificada Incompatible
Inyectables Gentamicin sulfate
Inyectables Ceftriaxone disodium
3520
Incompatibilidad no especificada Incompatible
Inyectables Gentamicin sulfate
Inyectables Cefuroxime sodium
3643
Incompatibilidad no especificada Incompatible
Inyectables Gentamicin sulfate
Inyectables Cefuroxime sodium
3520
Incompatibilidad no especificada Incompatible
Inyectables Gentamicin sulfate
Inyectables Cefuroxime sodium
3687
Incompatibilidad no especificada Incompatible
Inyectables Gentamicin sulfate
Inyectables Cefuzonam
3520
Compatible
Inyectables Gentamicin sulfate 0.8 mg/ml
Inyectables Cimetidine hydrochloride 3 mg/ml
Glucosa 5% 1201
Compatible
Inyectables Gentamicin sulfate 0.08 mg/ml
Inyectables Cimetidine hydrochloride 1.2 & 5 mg/ml
Cloruro de sodio 0,9% 1201
Compatible
Inyectables Gentamicin sulfate 0.08 mg/ml
Inyectables Cimetidine hydrochloride 1.2 & 5 mg/ml
Glucosa 5% 1201
Compatible
Inyectables Gentamicin sulfate 10 mg/ml
Inyectables Ciprofloxacin lactate 2 mg/ml
Cloruro de sodio 0,9% 289
Compatible
Inyectables Gentamicin sulfate 1.6 mg/ml
Inyectables Ciprofloxacin lactate 2 mg/ml
Glucosa 5% 285
Compatible
Inyectables Gentamicin sulfate 5 mg/ml
Inyectables Cisatracurium besylate 0.1 >> 5 mg/ml
Glucosa 5% 299
Inestabilidad química Incompatible
Inyectables Gentamicin sulfate
Inyectables Cisplatin
3578
Compatible
Inyectables Gentamicin sulfate 12 mg/ml
Inyectables Clindamycin phosphate 90 mg/ml
Cloruro de sodio 0,9% 639
Compatible
Inyectables Gentamicin sulfate 0.67 mg/ml
Inyectables Clindamycin phosphate 6 mg/ml
Glucosa 5% 423
Compatible
Inyectables Gentamicin sulfate
Glucosa 5% 434
Incompatibilidad no especificada Incompatible
Inyectables Gentamicin sulfate
Inyectables Cefuzonam
3643
Compatible
Inyectables Gentamicin sulfate 1 mg/ml
Inyectables Ciprofloxacin lactate 1.5 mg/ml
Cloruro de sodio 0,9% 434
Compatible
Inyectables Gentamicin sulfate 1.6 mg/ml
Inyectables Ciprofloxacin lactate 2 mg/ml
Glucosa 5% 288
Compatible
Inyectables Gentamicin sulfate 1.6 mg/ml
Inyectables Ciprofloxacin lactate 2 mg/ml
Cloruro de sodio 0,9% 288
Compatible
Inyectables Gentamicin sulfate 1 mg/ml
Inyectables Ciprofloxacin lactate 1.5 mg/ml
Glucosa 5% 434
Compatible
Inyectables Gentamicin sulfate
Inyectables Clindamycin phosphate
Cloruro de sodio 0,9% 3526
Precipitación inmediata Incompatible
Inyectables Gentamicin sulfate 40 mg/ml
Inyectables Cloxacillin sodium 100 mg/ml
Agua para preparación inyectable 3012
Compatible
Inyectables Gentamicin sulfate 15 mg/ml
Inyectables Cytarabine 16 mg/ml
Cloruro de sodio 0,9% 132
Incompatible
Inyectables Gentamicin sulfate 2 & 10 mg/ml
Nutrición parenteral (con lípidos) 4924
Compatible
Inyectables Gentamicin sulfate
Inyectables Clindamycin phosphate
Glucosa 5% 3526
Incompatibilidad no especificada Incompatible
Inyectables Gentamicin sulfate
Inyectables Cloxacillin sodium
3520
Incompatibilidad no especificada Incompatible
Inyectables Gentamicin sulfate
Inyectables Cytarabine
3580
Compatible
Inyectables Gentamicin sulfate 1,5 mg/ml
Inyectables Daptomycin 19,2 mg/ml
Cloruro de sodio 0,9% 1937
Compatible
Inyectables Gentamicin sulfate 0,05 mg/ml
Nutrición parenteral (libre de lípidos) 4445
Incompatibilidad no especificada Incompatible
Inyectables Gentamicin sulfate
Inyectables Cloxacillin sodium
3643
Inestabilidad de la emulsión después de 4 horas. Incompatible
Inyectables Gentamicin sulfate 2 mg/ml
Nutrición parenteral (con lípidos) 4507
Incompatibilidad no especificada Incompatible
Inyectables Gentamicin sulfate
Inyectables Dalteparin sodium
3643
Compatible
Inyectables Gentamicin sulfate
Inyectables Daptomycin
2271
Compatible
Inyectables Gentamicin sulfate 10 mg/ml
Nutrición parenteral (libre de lípidos) 316
Compatible
Inyectables Gentamicin sulfate
Inyectables Dimenhydrinate
2087
Compatible
Inyectables Gentamicin sulfate 10 & 40 mg/ml
Nutrición parenteral (libre de lípidos) 999
Incompatibilidad subvisual Incompatible
Inyectables Gentamicin sulfate
Inyectables Daunorubicin/cytarabine liposomale
4354
Compatible
Inyectables Gentamicin sulfate 1 mg/ml
Nutrición parenteral (libre de lípidos) 939
Turbidez inmediata Incompatible
Inyectables Gentamicin sulfate
Inyectables Daunorubicin/cytarabine liposomale 0,4 mg/mL
Cloruro de sodio 0,9% 4654
Compatible
Inyectables Gentamicin sulfate 0.8 mg/ml
Inyectables Diatrizoate meglumine 283 mg/ml
Ninguno 1085
Compatible
Inyectables Gentamicin sulfate 2.4 & 40 mg/ml
Inyectables Diltiazem hydrochloride 5 mg/ml
Cloruro de sodio 0,9% 198
Compatible
Inyectables Gentamicin sulfate 5 mg/ml
Inyectables Docetaxel 0.9 mg/ml
Glucosa 5% 1754
Incompatibilidad no especificada Incompatible
Inyectables Gentamicin sulfate
Inyectables Dopamine hydrochloride
3638
Compatible
Inyectables Gentamicin sulfate 5 mg/ml
Nutrición parenteral (libre de lípidos) 301
Compatible
Inyectables Gentamicin sulfate 5 mg/ml
Inyectables Doripenem 5 mg/ml
Cloruro de sodio 0,9% 2262
Incompatibilidad no especificada Incompatible
Inyectables Gentamicin sulfate
NaHCO3 3520
Compatible
Inyectables Gentamicin sulfate 2 mg/ml
Inyectables Dopamine hydrochloride 0.8 mg/ml
Glucosa 5% 738
Producción de burbujas de gas. Incompatible
Inyectables Gentamicin sulfate
NaHCO3 3643
Compatible
Inyectables Gentamicin sulfate 5 mg/ml
Inyectables Dexmedetomidine 4 µg/ml
Cloruro de sodio 0,9% 1712
Compatible
Inyectables Gentamicin sulfate 5 mg/ml
Inyectables Doripenem 5 mg/ml
Glucosa 5% 2262
Compatible
Inyectables Gentamicin sulfate 5 mg/ml
Nutrición parenteral (con lípidos) 1415
Compatible
Inyectables Gentamicin sulfate 10 mg/ml
Inyectables Doxapram hydrochloride 2 mg/ml
Glucosa 5% 1802
Compatible
Inyectables Gentamicin sulfate 5 mg/ml
Inyectables Doxorubicin hydrochloride liposome peg 0.4 mg/ml
Glucosa 5% 251
Compatible
Inyectables Gentamicin sulfate 0.8 mg/ml
Inyectables Enalaprilate 0.05 mg/ml
Cloruro de sodio 0,9% 1315
Incompatibilidad no especificada Incompatible
Inyectables Gentamicin sulfate
Inyectables Enoxaparin sodium
3643
Compatible
Inyectables Gentamicin sulfate 5 mg/ml
Inyectables Eravacycline 0,6 mg/ml
Cloruro de sodio 0,9% 4434
Incompatibilidad no especificada Incompatible
Inyectables Gentamicin sulfate
Inyectables Erythromycin lactobionate
3674
Incompatibilidad no especificada Incompatible
Inyectables Gentamicin sulfate
Inyectables Erythromycin lactobionate
3520
Incompatibilidad no especificada Incompatible
Inyectables Gentamicin sulfate
Inyectables Erythromycin lactobionate
3643
Compatible
Inyectables Gentamicin sulfate 0,8 mg/ml
Inyectables Esmolol hydrochloride 10 mg/ml
Glucosa 5% 384
Compatible
Inyectables Gentamicin sulfate 5 mg/ml
Inyectables Etoposide phosphate 5 mg/ml
Glucosa 5% 1410
Compatible
Inyectables Gentamicin sulfate 5 mg/ml
Inyectables Famotidine 2 mg/ml
Cloruro de sodio 0,9% 215
Compatible
Inyectables Gentamicin sulfate 0,8 mg/ml
Inyectables Famotidine
Glucosa 5% 397
Compatible
Inyectables Gentamicin sulfate 5 mg/ml
Inyectables Fenoldopam mesylate 80 µg/ml
Cloruro de sodio 0,9% 1803
Compatible
Inyectables Gentamicin sulfate 10 mg/ml
Inyectables Fentanyl citrate 50 µg/ml
Glucosa 5% 63
Compatible
Inyectables Gentamicin sulfate 1.6 mg/ml
Inyectables Filgrastim 40 µg/ml
Glucosa 5% 104
Compatible
Inyectables Gentamicin sulfate 5 mg/ml
Inyectables Filgrastim 30 µg/ml
Glucosa 5% 244
Incompatibilidad no especificada Incompatible
Inyectables Gentamicin sulfate
Inyectables Flucloxacillin sodium
3643
Precipitación inmediata Incompatible
Inyectables Gentamicin sulfate
Inyectables Flucloxacillin sodium
3522
Compatible
Inyectables Gentamicin sulfate 1 mg/ml
Inyectables Fluconazole 2 mg/ml
Ninguno 256
Compatible
Inyectables Gentamicin sulfate 4 mg/ml
Inyectables Fluconazole 2 mg/ml
Cloruro de sodio 0,9% 496
Compatible
Inyectables Gentamicin sulfate 5 mg/ml
Inyectables Fludarabine phosphate 1 mg/ml
Glucosa 5% 492
Compatible
Inyectables Gentamicin sulfate 2 mg/ml
Inyectables Foscarnet sodium 24 mg/ml
Cloruro de sodio 0,9% 1135
Compatible
Inyectables Gentamicin sulfate 2 mg/ml
Inyectables Foscarnet sodium 24 mg/ml
Glucosa 5% 1135
Compatible
Inyectables Gentamicin sulfate 4 mg/ml
Inyectables Foscarnet sodium 24 mg/ml
Ninguno 73
Compatible
Inyectables Gentamicin sulfate 10 mg/ml
Ringer lactato 4603
Compatible
Inyectables Gentamicin sulfate 5 mg/ml
Inyectables Fosfomycin 30 mg/ml
Cloruro de sodio 0,9% 4055
Precipitación inmediata Incompatible
Inyectables Gentamicin sulfate 0,4 mg/ml
Nutrición parenteral (con lípidos) 4440
Compatible
Inyectables Gentamicin sulfate 40 mg/ml
Nutrición parenteral (con lípidos) 673
Compatible
Inyectables Gentamicin sulfate 5 mg/ml
Inyectables Fosfomycin 30 mg/ml
Glucosa 5% 4055
Precipitación inmediata Incompatible
Inyectables Gentamicin sulfate 10 mg/ml
Inyectables Furosemide 10 mg/ml
789
Precipitación inmediata Incompatible
Inyectables Gentamicin sulfate 1,6 mg/ml
Inyectables Furosemide 0,8 mg/ml
Glucosa 5% 367
Precipitación inmediata Incompatible
Inyectables Gentamicin sulfate 1,6 mg/ml
Inyectables Furosemide 0,8 mg/ml
Cloruro de sodio 0,9% 367
Turbidez inmediata Incompatible
Inyectables Gentamicin sulfate 6.4 mg/ml
Inyectables Furosemide 5 mg/ml
805
Precipitación después de 2 horas. Incompatible
Inyectables Gentamicin sulfate 8 mg/ml
Inyectables Furosemide 1 mg/ml
Cloruro de sodio 0,9% 1232
Compatible
Inyectables Gentamicin sulfate 5 mg/ml
Inyectables Gemcitabine hydrochloride 10 mg/ml
Cloruro de sodio 0,9% 1423
Compatible
Inyectables Gentamicin sulfate 1.5 mg/ml
Inyectables Granisetron hydrochloride 1 mg/ml
Cloruro de sodio 0,9% 57
Compatible
Inyectables Gentamicin sulfate 1 & 2 mg/ml
Inyectables Heparin sodium 2500 UI/ml
4612
Precipitación inmediata Incompatible
Inyectables Gentamicin sulfate 4 >> 40 mg/ml
Inyectables Heparin sodium 10 >> 40 UI/ml
1258
Precipitación inmediata Incompatible
Inyectables Gentamicin sulfate
Inyectables Heparin sodium
1022
Incompatibilidad no especificada Incompatible
Inyectables Gentamicin sulfate 2 mg/ml
Inyectables Heparin sodium 50 UI/ml
Ninguno 317
Incompatibilidad no especificada Incompatible
Inyectables Gentamicin sulfate
Inyectables Heparin sodium
3643
Incompatibilidad no especificada Incompatible
Inyectables Gentamicin sulfate
Inyectables Heparin sodium
3520
Incompatibilidad no especificada Incompatible
Inyectables Gentamicin sulfate
Inyectables Heparin sodium
3540
Turbidez inmediata Incompatible
Inyectables Gentamicin sulfate 3 mg/ml
Inyectables Heparin sodium 2500 UI/ml
4612
Precipitación inmediata Incompatible
Inyectables Gentamicin sulfate 4 & 5 mg/ml
Inyectables Heparin sodium 2500 UI/ml
4612
Compatible
Inyectables Gentamicin sulfate 5 mg/ml
Inyectables Hetastarch 60 mg/ml
específico disolvente 1721
Precipitación inmediata Incompatible
Inyectables Gentamicin sulfate 0.8 mg/ml
Inyectables Hetastarch 60 mg/ml
Cloruro de sodio 0,9% 472
Compatible
Inyectables Gentamicin sulfate 0.8 mg/ml
Inyectables Hydromorphone hydrochloride 0.2 mg/ml
Glucosa 5% 405
Cambio de color Incompatible
Inyectables Gentamicin sulfate 3 mg/ml
Inyectables Idarubicin hydrochloride 1 mg/ml
Cloruro de sodio 0,9% 491
Precipitación inmediata Incompatible
Inyectables Gentamicin sulfate 1 mg/ml
Inyectables Indomethacin sodium trihydrate 0,5 & 1 mg/ml
Glucosa 5% 494
Precipitación después de 15 minutos Incompatible
Inyectables Gentamicin sulfate 1 mg/ml
Inyectables Indomethacin sodium trihydrate 0,5 & 1 mg/ml
Glucosa 5% 1745
Compatible
Inyectables Gentamicin sulfate 1.2 >> 2 mg/ml
Inyectables Insulin 0.2 UI/ml
Cloruro de sodio 0,9% 129
Compatible
Inyectables Gentamicin sulfate 0.8 mg/ml
Inyectables Iohexol 300 mg I/ml
Ninguno 1085
Precipitación inmediata Incompatible
Inyectables Gentamicin sulfate 0.8 mg/ml
Inyectables Ioxaglate 320 mg I/ml
Ninguno 1085
Compatible
Inyectables Gentamicin sulfate 5 mg/ml
Inyectables Isavuconazonium sulfate 1.5 mg/ml
Glucosa 5% 3829
Compatible
Inyectables Gentamicin sulfate 5 mg/ml
Inyectables Isavuconazonium sulfate 1.5 mg/ml
Cloruro de sodio 0,9% 3829
Compatible
Inyectables Gentamicin sulfate 40 mg/ml
Inyectables Ketamine hydrochloride 50 mg/ml
2109
Compatible
Inyectables Gentamicin sulfate 0.8 mg/ml
Inyectables Labetalol hydrochloride 1 mg/ml
Glucosa 5% 386
Compatible
Inyectables Gentamicin sulfate 5 mg/ml
Inyectables Lansoprazole 0.55 mg/ml
Cloruro de sodio 0,9% 1625
Compatible
Inyectables Gentamicin sulfate 10 mg/ml
Inyectables Levofloxacine 5 mg/ml
Glucosa 5% 1072
Compatible
Inyectables Gentamicin sulfate 0,75 mg/ml
Inyectables Linezolid 1,80 mg/ml
2353
Compatible
Inyectables Gentamicin sulfate 5 mg/ml
Inyectables Linezolid 2 mg/ml
Ninguno 1925
Compatible
Inyectables Gentamicin sulfate 3 mg/ml
Inyectables Lorazepam 0.33 mg/ml
Cloruro de sodio 0,9% 186
Compatible
Inyectables Gentamicin sulfate 0.8 mg/ml
Inyectables Magnesium sulfate 16.67 >> 100 mg/ml
Glucosa 5% 1047
Compatible
Inyectables Gentamicin sulfate 5 mg/ml
Inyectables Melphalan 0.1 mg/ml
Cloruro de sodio 0,9% 169
Compatible
Inyectables Gentamicin sulfate 40 mg/ml
Inyectables Meropenem 50 mg/ml
Agua para preparación inyectable 4319
Compatible
Inyectables Gentamicin sulfate 0.8 mg/ml
Inyectables Meropenem 1 & 20 mg/ml
Cloruro de sodio 0,9% 266
Compatible
Inyectables Gentamicin sulfate 4 mg/ml
Inyectables Meropenem 1 & 50 mg/ml
Cloruro de sodio 0,9% 266
Compatible
Inyectables Gentamicin sulfate 30 mg/ml
Inyectables Meropenem 10 mg/ml
Cloruro de sodio 0,9% 2335
Compatible
Inyectables Gentamicin sulfate 0,8 & 1,2 mg/ml
Inyectables Metronidazole 5 mg/ml
Ninguno 1243
Compatible
Inyectables Gentamicin sulfate 0.8 mg/ml
Inyectables Metronidazole 5 mg/ml
Ninguno 1035
Compatible
Inyectables Gentamicin sulfate
Inyectables Metronidazole
3594
Compatible
Inyectables Gentamicin sulfate 3 mg/ml
Inyectables Midazolam hydrochloride 5 mg/ml
Ninguno 186
Compatible
Inyectables Gentamicin sulfate 10 mg/ml
Inyectables Midazolam hydrochloride 1 mg/ml
Glucosa 5% 176
Compatible
Inyectables Gentamicin sulfate 0.8 mg/ml
Inyectables Midazolam hydrochloride 0.05 >> 0.4 mg/ml
Cloruro de sodio 0,9% 1888
Incompatibilidad no especificada Incompatible
Inyectables Gentamicin sulfate
Inyectables Mitomycin
4471
Inestabilidad química Incompatible
Inyectables Gentamicin sulfate
Inyectables Mitomycin
3128
Compatible
Inyectables Gentamicin sulfate 1.2 & 2 mg/ml
Inyectables Morphine sulfate 1 mg/ml
Cloruro de sodio 0,9% 406
Compatible
Inyectables Gentamicin sulfate 0.8 mg/ml
Inyectables Morphine sulfate 1 mg/ml
Glucosa 5% 405
Incompatibilidad no especificada Incompatible
Inyectables Gentamicin sulfate
Inyectables Moxalactam
3643
Incompatibilidad no especificada Incompatible
Inyectables Gentamicin sulfate
Inyectables Moxalactam
3520
Compatible
Inyectables Gentamicin sulfate 40 mg/ml
Inyectables N-acetylcysteine 200 mg/ml
Ninguno 3766
Incompatibilidad no especificada Incompatible
Inyectables Gentamicin sulfate
Inyectables Nadroparin
3643
Incompatibilidad no especificada Incompatible
Inyectables Gentamicin sulfate
Inyectables Nafcillin sodium
3643
Incompatibilidad no especificada Incompatible
Inyectables Gentamicin sulfate
Inyectables Nafcillin sodium
3520
Compatible
Inyectables Gentamicin sulfate 40 mg/ml
Inyectables Naloxone hydrochloride 0.4 mg/ml
Ninguno 3408
Compatible
Inyectables Gentamicin sulfate 4.17 mg/ml
Inyectables Nefopam 0.16 mg/ml
Cloruro de sodio 0,9% 4254
Compatible
Inyectables Gentamicin sulfate 4.17 mg/ml
Inyectables Nefopam 0.16 mg/ml
Glucosa 5% 4254
Compatible
Inyectables Gentamicin sulfate 0.8 mg/ml
Inyectables Nicardipine hydrochloride 0.1 mg/ml
Glucosa 5% 1490
Compatible
Inyectables Gentamicin sulfate 0.8 mg/ml
Inyectables Nicardipine hydrochloride 0.1 mg/ml
Cloruro de sodio 0,9% 1490
Compatible
Inyectables Gentamicin sulfate 0,8 mg/ml
Inyectables Ofloxacin 2 mg/ml
Ninguno 889
Compatible
Inyectables Gentamicin sulfate 5 mg/ml
Inyectables Ondansetron hydrochloride 1 mg/ml
Cloruro de sodio 0,9% 334
Compatible
Inyectables Gentamicin sulfate 5 mg/ml
Inyectables Oritavancin 0.8 >>2 mg/ml
Glucosa 5% 3152
Incompatibilidad no especificada Incompatible
Inyectables Gentamicin sulfate
Inyectables Oxacillin sodium
3643
Incompatibilidad no especificada Incompatible
Inyectables Gentamicin sulfate
Inyectables Oxacillin sodium
3520
Compatible
Inyectables Gentamicin sulfate 40 mg/ml
Inyectables Oxycodone hydrochloride 1 mg/ml
Cloruro de sodio 0,9% 4842
Compatible
Inyectables Gentamicin sulfate 5 mg/ml
Inyectables Paclitaxel 1.2 mg/ml
Glucosa 5% 248
Compatible
Inyectables Gentamicin sulfate 5 mg/ml
Inyectables Palonosetron hydrochloride 50 µg/ml
Glucosa 5% 2228
Compatible
Inyectables Gentamicin sulfate 2 mg/ml
Inyectables Pancuronium bromide 0.05 mg/ml
Glucosa 5% 402
Precipitación inmediata Incompatible
Inyectables Gentamicin sulfate
Inyectables Pantoprazole sodium
2090
Compatible
Inyectables Gentamicin sulfate 40 mg/ml
Inyectables Paracetamol 10 mg/ml
4742
Precipitación inmediata Incompatible
Inyectables Gentamicin sulfate 5 mg/ml
Inyectables Pemetrexed disodium 20 mg/ml
1953
Incompatibilidad no especificada Incompatible
Inyectables Gentamicin sulfate
Inyectables Penicillin G potassium
3643
Incompatibilidad no especificada Incompatible
Inyectables Gentamicin sulfate
Inyectables Penicillin G potassium
3520
Incompatibilidad no especificada Incompatible
Inyectables Gentamicin sulfate
Inyectables Penicillin G sodium
3643
Incompatibilidad no especificada Incompatible
Inyectables Gentamicin sulfate
Inyectables Penicillin G sodium
3520
Compatible
Inyectables Gentamicin sulfate 10 mg/ml
Inyectables Pentoxifyllin 5 mg/ml
Cloruro de sodio 0,9% 4543
Compatible
Inyectables Gentamicin sulfate 0.8 mg/ml
Inyectables Pethidine hydrochloride 10 mg/ml
Glucosa 5% 405
Precipitación inmediata Incompatible
Inyectables Gentamicin sulfate 10 mg/ml
Inyectables Phenytoin sodium 50 mg/ml
789
Compatible
Inyectables Gentamicin sulfate 20 mg/ml
Inyectables Phloroglucinol 2,5 mg/ml
3791
Incompatibilidad no especificada Incompatible
Inyectables Gentamicin sulfate
Inyectables Piperacillin sodium
3520
Incompatibilidad no especificada Incompatible
Inyectables Gentamicin sulfate
Inyectables Piperacillin sodium
3643
Incompatibilidad no especificada Incompatible
Inyectables Gentamicin sulfate
Inyectables Piperacillin sodium / tazobactam
3520
Inestabilidad química Incompatible
Inyectables Gentamicin sulfate
Inyectables Piperacillin sodium / tazobactam
3586
Incompatibilidad no especificada Incompatible
Inyectables Gentamicin sulfate
Inyectables Piperacillin sodium / tazobactam
3643
Compatible
Inyectables Gentamicin sulfate
Inyectables Posaconazole
4380
Compatible
Inyectables Gentamicin sulfate 30 mg/ml
Inyectables Potassium chloride 20 mEq/l
NaCl 0,45% Glucosa 5% 2335
Inestabilidad inmediata de la emulsión Incompatible
Inyectables Gentamicin sulfate 2 mg/ml
Inyectables Propofol
660
Incompatibilidad no especificada Incompatible
Inyectables Gentamicin sulfate 40 mg/ml
Inyectables Propofol
4524
Precipitación inmediata Incompatible
Inyectables Gentamicin sulfate 5 mg/ml
Inyectables Propofol 10 mg/ml
Ninguno 300
Compatible
Inyectables Gentamicin sulfate 5 mg/ml
Inyectables Remifentanil hydrochloride 25 & 250 µg/ml
Cloruro de sodio 0,9% 59
Compatible
Inyectables Gentamicin sulfate 40 mg/ml
Inyectables Salbutamol sulfate 1 mg/ml
Ninguno 3216
Compatible
Inyectables Gentamicin sulfate 5 mg/ml
Inyectables Sargramostim 10 µg/ml
Cloruro de sodio 0,9% 335
Compatible
Inyectables Gentamicin sulfate 10 mg/ml
Inyectables Sildenafil citrate 0,6 mg/ml
Glucosa 5% 4845
Compatible
Inyectables Gentamicin sulfate 2,4 mg/ml
Inyectables Sodium bicarbonate 40 mg/ml
Ninguno 3122
Producción de burbujas de gas. Incompatible
Inyectables Gentamicin sulfate
Inyectables Sodium bicarbonate
3643
Compatible
Inyectables Gentamicin sulfate 2.5 mg/ml
Inyectables Sodium citrate 40 mg/ml
Agua para preparación inyectable 3952
Compatible
Inyectables Gentamicin sulfate 40 mg/ml
Inyectables Sugammadex 100 mg/ml
Ninguno 3372
Compatible
Inyectables Gentamicin sulfate 5 mg/ml
Inyectables Sulbactam/durlobactam 15/15 mg/ml
Cloruro de sodio 0,9% 4801
Compatible
Inyectables Gentamicin sulfate 4 mg/ml
Inyectables Tacrolimus 1000 µg/ml
Cloruro de sodio 0,9% 479
Compatible
Inyectables Gentamicin sulfate
Cloruro de sodio 0,9% 1704
Compatible
Inyectables Gentamicin sulfate
Cloruro de sodio 0,9% 434
Incompatibilidad no especificada Incompatible
Inyectables Gentamicin sulfate
Inyectables Sodium bicarbonate
3520
Compatible
Inyectables Gentamicin sulfate 1 >> 5 mg/ml
Inyectables Sodium citrate 40 mg/ml
Ninguno 2019
Turbidez inmediata Incompatible
Inyectables Gentamicin sulfate 5 mg/ml
Inyectables Tedizolid phosphate 0.8 mg/ml
Cloruro de sodio 0,9% 3827
Incompatibilidad no especificada Incompatible
Inyectables Gentamicin sulfate
Inyectables Teicoplanine
3656
Compatible
Inyectables Gentamicin sulfate 5 mg/ml
Inyectables Telavancin hydrochloride 7.5 mg/ml
Ringer lactato 3254
Compatible
Inyectables Gentamicin sulfate 5 mg/ml
Inyectables Telavancin hydrochloride 7.5 mg/ml
Cloruro de sodio 0,9% 3254
Compatible
Inyectables Gentamicin sulfate 5 mg/ml
Inyectables Telavancin hydrochloride 7.5 mg/ml
Glucosa 5% 3254
Compatible
Inyectables Gentamicin sulfate 6 mg/ml
Inyectables Temocilline 83.33 mg/ml
Agua para preparación inyectable 2231
Incompatibilidad no especificada Incompatible
Inyectables Gentamicin sulfate
Inyectables Temocilline
3643
Incompatibilidad no especificada Incompatible
Inyectables Gentamicin sulfate
Inyectables Temocilline
3520
Incompatibilidad no especificada Incompatible
Inyectables Gentamicin sulfate
Inyectables Temocilline
2296
Compatible
Inyectables Gentamicin sulfate 5 mg/ml
Inyectables Teniposide 0.1 mg/ml
Glucosa 5% 905
Compatible
Inyectables Gentamicin sulfate 2 mg/ml
Inyectables Theophylline 4 mg/ml
Ninguno 317
Precipitación inmediata Incompatible
Inyectables Gentamicin sulfate 40 mg/ml
Inyectables Thiopental sodium 25 mg/ml
Cloruro de sodio 0,9% 3767
Compatible
Inyectables Gentamicin sulfate 5 mg/ml
Inyectables Thiotepa 1 mg/ml
Glucosa 5% 249
Inestabilidad química Incompatible
Inyectables Gentamicin sulfate
Inyectables Ticarcillin / clavulanic acid
3587
Incompatibilidad no especificada Incompatible
Inyectables Gentamicin sulfate
Inyectables Ticarcillin / clavulanic acid
3643
Incompatibilidad no especificada Incompatible
Inyectables Gentamicin sulfate
Inyectables Ticarcillin / clavulanic acid
3520
Compatible
Inyectables Gentamicin sulfate
Inyectables Tigecycline
Cloruro de sodio 0,9% 3332
Compatible
Inyectables Gentamicin sulfate 6 mg/ml
Inyectables Vancomycin hydrochloride 10 mg/ml
Glucosa 5% 3385
Compatible
Inyectables Gentamicin sulfate 1.2 mg/ml
Inyectables Vasopressin 0.2 UI/ml
Cloruro de sodio 0,9% 2017
Compatible
Inyectables Gentamicin sulfate 2 mg/ml
Inyectables Vecuronium bromide 0.1 mg/ml
Glucosa 5% 402
Compatible
Inyectables Gentamicin sulfate 0.16 mg/ml
Inyectables Verapamil hydrochloride 0.08 mg/ml
Glucosa 5% 1057
Compatible
Inyectables Gentamicin sulfate 0.16 mg/ml
Inyectables Verapamil hydrochloride 0.08 mg/ml
Cloruro de sodio 0,9% 1057
Compatible
Inyectables Gentamicin sulfate 5 mg/ml
Inyectables Vinorelbine tartrate 1 mg/ml
Cloruro de sodio 0,9% 84
Turbidez inmediata Incompatible
Inyectables Gentamicin sulfate 1.6 mg/ml
Inyectables Warfarin sodium 2 mg/ml
Glucosa 5% 315
Compatible
Inyectables Gentamicin sulfate 2 mg/ml
Inyectables Zidovudine 4 mg/ml
Glucosa 5% 337

  Mentions Légales