Останнє оновлення :
27/04/2026
Антибіотик   Gentamicin sulfate  
ін'єкція
Очні краплі
Стійкість в розчинах Стійкість сумішей Фактори, що впливають на стабільність Сумісність Шлях введення Список літератури pdf
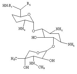
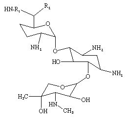
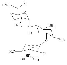
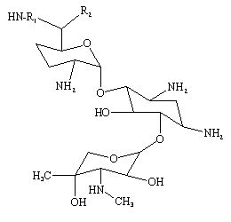
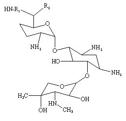
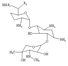
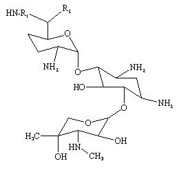
   Хімічна структура  

Торгова назва   Торгова назва     

Торгові назви є орієнтовними, а склад допоміжних речовин може бути різним залежно від країни та виробника

Azupel Перу
Cidomycin Єгипет, Великобританія, Туніс
Dabroson Греція
Epigent Єгипет
Garalone Португалія
Garamicina Бразилія, Еквадор, Колумбія, Мексика
Garamycin Єгипет, Індія, Греція, Данія, Нідерланди, Норвегія, Об'єднані Арабські Емірати, Польща, Хорватія, Швейцарія
Genmisin Туреччина
Gensif Туреччина
Gensumycin Норвегія, Фінляндія, Швеція
Genta-Gobens Іспанія
Gentalline Марокко
Gentamen Марокко
Genticin Ірландія, Великобританія, Об'єднані Арабські Емірати
Gentreks Туреччина
Hexamycin Данія
Plurisemina Аргентина
Refobacin Єгипет, Австрія, Колумбія, Німеччина
Rupegen Аргентина
Сумісність   ін'єкція   Сумісність : Gentamicin sulfate              
explication_incompatibilite_molecules
З'єднання Розчинник Список літератури
сумісний
ін'єкція Gentamicin sulfate 1.6 mg/ml
ін'єкція Aciclovir sodium 5 mg/ml
Глюкоза 5% 336
Миттєві опади Несумісні
ін'єкція Gentamicin sulfate 30 mg/ml
ін'єкція Aciclovir sodium 5 mg/ml
Натрію хлорид 0,9% 2335
Опади через 1 год Несумісні
ін'єкція Gentamicin sulfate 5 mg/ml
ін'єкція Allopurinol sodium 3 mg/ml
Натрію хлорид 0,9% 307
сумісний
ін'єкція Gentamicin sulfate 1 mg/ml
ін'єкція Alprostadil 15 µg/ml
3201
сумісний
ін'єкція Gentamicin sulfate 5 mg/ml
ін'єкція Amifostine 10 mg/ml
Глюкоза 5% 3
сумісний
ін'єкція Gentamicin sulfate 0.8 mg/ml
ін'єкція Amiodarone hydrochloride 4 mg/ml
Натрію хлорид 0,9% 385
сумісний
ін'єкція Gentamicin sulfate 0.8 mg/ml
ін'єкція Amiodarone hydrochloride 4 mg/ml
Глюкоза 5% 385
Неуточнена несумісність Несумісні
ін'єкція Gentamicin sulfate
ін'єкція Amoxicillin sodium
3643
Неуточнена несумісність Несумісні
ін'єкція Gentamicin sulfate
ін'єкція Amoxicillin sodium
3520
Хімічна нестійкість Несумісні
ін'єкція Gentamicin sulfate
ін'єкція Amoxicillin sodium
3527
Неуточнена несумісність Несумісні
ін'єкція Gentamicin sulfate
ін'єкція Amoxicillin sodium / clavulanic acid
3643
Неуточнена несумісність Несумісні
ін'єкція Gentamicin sulfate
ін'єкція Amoxicillin sodium / clavulanic acid
3545
Неуточнена несумісність Несумісні
ін'єкція Gentamicin sulfate
ін'єкція Amoxicillin sodium / clavulanic acid
3520
сумісний
ін'єкція Gentamicin sulfate 40 mg/ml
ін'єкція Amoxicillin sodium / clavulanic acid 100/10 mg/ml
3824
Миттєві опади Несумісні
ін'єкція Gentamicin sulfate 5 mg/ml
ін'єкція Amphotericin B cholesteryl sulfate complex 0,83 mg/ml
Глюкоза 5% 921
Неуточнена несумісність Несумісні
ін'єкція Gentamicin sulfate
ін'єкція Ampicillin sodium
3643
Неуточнена несумісність Несумісні
ін'єкція Gentamicin sulfate
ін'єкція Ampicillin sodium
3520
Неуточнена несумісність Несумісні
ін'єкція Gentamicin sulfate
ін'єкція Ampicillin sodium - sulbactam sodium
3643
Неуточнена несумісність Несумісні
ін'єкція Gentamicin sulfate
ін'єкція Ampicillin sodium - sulbactam sodium
3520
сумісний
ін'єкція Gentamicin sulfate 5 mg/ml
ін'єкція Amsacrine 1 mg/ml
Глюкоза 5% 253
сумісний
ін'єкція Gentamicin sulfate 5 mg/ml
ін'єкція Anidulafungin 0.5 mg/ml
Глюкоза 5% 1982
сумісний
ін'єкція Gentamicin sulfate 0,8 mg/ml
ін'єкція Atosiban 0,75 mg/ml
4642
сумісний
ін'єкція Gentamicin sulfate 2 mg/ml
ін'єкція Atracurium besylate 0.5 mg/ml
Глюкоза 5% 402
Миттєві опади Несумісні
ін'єкція Gentamicin sulfate 21 mg/ml
ін'єкція Azithromycine 2 mg/ml
Натрію хлорид 0,9% 1800
сумісний
ін'єкція Gentamicin sulfate 5 mg/ml
ін'єкція Aztreonam 40 mg/ml
Глюкоза 5% 99
сумісний
ін'єкція Gentamicin sulfate 0.2 & 0.8 mg/ml
ін'єкція Aztreonam 10 & 20 mg/ml
Натрію хлорид 0,9% 19
сумісний
ін'єкція Gentamicin sulfate 0.2 & 0.8 mg/ml
ін'єкція Aztreonam 10 & 20 mg/ml
Глюкоза 5% 19
сумісний
ін'єкція Gentamicin sulfate 5 mg/ml
ін'єкція Bivalirudin 5 mg/ml
Глюкоза 5% 1713
сумісний
ін'єкція Gentamicin sulfate 10 mg/ml
ін'єкція Caffeine 10 mg/ml
Жодного 3964
сумісний
ін'єкція Gentamicin sulfate 10 mg/ml
ін'єкція Caffeine 10 mg/ml
Натрію хлорид 0,9% 4837
сумісний
ін'єкція Gentamicin sulfate 10 mg/ml
ін'єкція Caffeine citrate 20 mg/ml
Натрію хлорид 0,9% 4837
Неуточнена несумісність Несумісні
ін'єкція Gentamicin sulfate
ін'єкція Calcium gluconate
3644
Несумісні
ін'єкція Gentamicin sulfate
ін'єкція Calcium gluconate
4964
сумісний
ін'єкція Gentamicin sulfate 5 mg/ml
ін'єкція Caspofungin acetate 0,7 mg/ml
Натрію хлорид 0,9% 2247
Неуточнена несумісність Несумісні
ін'єкція Gentamicin sulfate
ін'єкція Cefalotin sodium
3520
Неуточнена несумісність Несумісні
ін'єкція Gentamicin sulfate
ін'єкція Cefalotin sodium
3643
Миттєві опади Несумісні
ін'єкція Gentamicin sulfate
ін'єкція Cefamandole nafate 2 >> 100 mg/ml
Глюкоза 5% 612
Неуточнена несумісність Несумісні
ін'єкція Gentamicin sulfate
ін'єкція Cefamandole nafate
3643
Неуточнена несумісність Несумісні
ін'єкція Gentamicin sulfate
ін'єкція Cefamandole nafate
3520
Неуточнена несумісність Несумісні
ін'єкція Gentamicin sulfate
ін'єкція Cefamandole nafate
3546
Миттєві опади Несумісні
ін'єкція Gentamicin sulfate
ін'єкція Cefamandole nafate 2 >> 100 mg/ml
Натрію хлорид 0,9% 612
Неуточнена несумісність Несумісні
ін'єкція Gentamicin sulfate
ін'єкція Cefazolin sodium
3520
Неуточнена несумісність Несумісні
ін'єкція Gentamicin sulfate
ін'єкція Cefazolin sodium
3643
Неуточнена несумісність Несумісні
ін'єкція Gentamicin sulfate
ін'єкція Cefepime dihydrochloride
3520
сумісний
ін'єкція Gentamicin sulfate 6 mg/ml
ін'єкція Cefepime dihydrochloride 125 mg/ml
Вода для ін'єкцій 2141
Неуточнена несумісність Несумісні
ін'єкція Gentamicin sulfate
ін'єкція Cefepime dihydrochloride
3548
Неуточнена несумісність Несумісні
ін'єкція Gentamicin sulfate
ін'єкція Cefepime dihydrochloride
3643
сумісний
ін'єкція Gentamicin sulfate 5 mg/ml
ін'єкція Cefiderocol sulfate tosylate 20 mg/mL
Глюкоза 5% 4528
сумісний
ін'єкція Gentamicin sulfate 5 mg/ml
ін'єкція Cefiderocol sulfate tosylate 20 mg/mL
Натрію хлорид 0,9% 4528
Неуточнена несумісність Несумісні
ін'єкція Gentamicin sulfate
ін'єкція Cefmenoxime
3520
Неуточнена несумісність Несумісні
ін'єкція Gentamicin sulfate
ін'єкція Cefmenoxime
3643
Неуточнена несумісність Несумісні
ін'єкція Gentamicin sulfate
ін'єкція Cefmetazole sodium
3520
Неуточнена несумісність Несумісні
ін'єкція Gentamicin sulfate
ін'єкція Cefmetazole sodium
3643
Неуточнена несумісність Несумісні
ін'єкція Gentamicin sulfate
ін'єкція Cefonicid sodium
3643
Неуточнена несумісність Несумісні
ін'єкція Gentamicin sulfate
ін'єкція Cefonicid sodium
3520
Неуточнена несумісність Несумісні
ін'єкція Gentamicin sulfate
ін'єкція Cefoperazone sodium
3544
Неуточнена несумісність Несумісні
ін'єкція Gentamicin sulfate
ін'єкція Cefoperazone sodium
3643
Миттєві опади Несумісні
ін'єкція Gentamicin sulfate 0.8 mg/ml
ін'єкція Cefoperazone sodium 10 mg/ml
Глюкоза 5% 1206
Неуточнена несумісність Несумісні
ін'єкція Gentamicin sulfate
ін'єкція Cefoperazone sodium
3520
Неуточнена несумісність Несумісні
ін'єкція Gentamicin sulfate
ін'єкція Ceforanide
3643
Неуточнена несумісність Несумісні
ін'єкція Gentamicin sulfate
ін'єкція Ceforanide
3520
Неуточнена несумісність Несумісні
ін'єкція Gentamicin sulfate
ін'єкція Cefotaxime sodium
3520
Неуточнена несумісність Несумісні
ін'єкція Gentamicin sulfate
ін'єкція Cefotaxime sodium
3643
Неуточнена несумісність Несумісні
ін'єкція Gentamicin sulfate
ін'єкція Cefoxitin sodium
3643
Неуточнена несумісність Несумісні
ін'єкція Gentamicin sulfate
ін'єкція Cefoxitin sodium
3520
сумісний
ін'єкція Gentamicin sulfate 1 mg/ml
ін'єкція Cefpirome sulfate 50 mg/ml
Натрію хлорид 0,9% 280
сумісний
ін'єкція Gentamicin sulfate 1 mg/ml
ін'єкція Cefpirome sulfate 50 mg/ml
Розчин лактату Рінгера 280
сумісний
ін'єкція Gentamicin sulfate 1 mg/ml
ін'єкція Cefpirome sulfate 50 mg/ml
Натрію хлорид 0,45% 280
Неуточнена несумісність Несумісні
ін'єкція Gentamicin sulfate
ін'єкція Cefpirome sulfate
3643
Неуточнена несумісність Несумісні
ін'єкція Gentamicin sulfate
ін'єкція Cefpirome sulfate
3677
сумісний
ін'єкція Gentamicin sulfate 1 mg/ml
ін'єкція Cefpirome sulfate 50 mg/ml
Глюкоза 5% 280
Неуточнена несумісність Несумісні
ін'єкція Gentamicin sulfate
ін'єкція Cefpirome sulfate
3520
сумісний
ін'єкція Gentamicin sulfate 5 mg/ml
ін'єкція Ceftaroline fosamil 2,22 mg/ml
Натрію хлорид 0,9% 3249
сумісний
ін'єкція Gentamicin sulfate 5 mg/ml
ін'єкція Ceftaroline fosamil 2,22 mg/ml
Розчин лактату Рінгера 3249
сумісний
ін'єкція Gentamicin sulfate 5 mg/ml
ін'єкція Ceftaroline fosamil 2,22 mg/ml
Глюкоза 5% 3249
Неуточнена несумісність Несумісні
ін'єкція Gentamicin sulfate
ін'єкція Ceftaroline fosamil
3643
Неуточнена несумісність Несумісні
ін'єкція Gentamicin sulfate
ін'єкція Ceftaroline fosamil
3520
Неуточнена несумісність Несумісні
ін'єкція Gentamicin sulfate
ін'єкція Ceftazidime
3543
Неуточнена несумісність Несумісні
ін'єкція Gentamicin sulfate
ін'єкція Ceftazidime
3520
Неуточнена несумісність Несумісні
ін'єкція Gentamicin sulfate
ін'єкція Ceftazidime
3643
сумісний
ін'єкція Gentamicin sulfate 6 mg/ml
ін'єкція Ceftazidime 125 mg/ml
Вода для ін'єкцій 2141
сумісний
ін'єкція Gentamicin sulfate 6 mg/ml
ін'єкція Ceftazidime 83.3 mg/ml
1759
Неуточнена несумісність Несумісні
ін'єкція Gentamicin sulfate
ін'єкція Ceftazidime
3883
Неуточнена несумісність Несумісні
ін'єкція Gentamicin sulfate
ін'єкція Ceftazidime Avibactam
3520
Неуточнена несумісність Несумісні
ін'єкція Gentamicin sulfate
ін'єкція Ceftazidime Avibactam
3643
Неуточнена несумісність Несумісні
ін'єкція Gentamicin sulfate
ін'єкція Ceftizoxime sodium
3643
Неуточнена несумісність Несумісні
ін'єкція Gentamicin sulfate
ін'єкція Ceftizoxime sodium
3520
Неуточнена несумісність Несумісні
ін'єкція Gentamicin sulfate
ін'єкція Ceftobiprole medocaril sodium
3643
Неуточнена несумісність Несумісні
ін'єкція Gentamicin sulfate
ін'єкція Ceftobiprole medocaril sodium
4650
Миттєві опади Несумісні
ін'єкція Gentamicin sulfate 5 mg/ml
ін'єкція Ceftobiprole medocaril sodium 2 mg/ml
Глюкоза 5% 2269
Миттєві опади Несумісні
ін'єкція Gentamicin sulfate 5 mg/ml
ін'єкція Ceftobiprole medocaril sodium 2 mg/ml
Розчин лактату Рінгера 2269
Миттєві опади Несумісні
ін'єкція Gentamicin sulfate 5 mg/ml
ін'єкція Ceftobiprole medocaril sodium 2 mg/ml
Натрію хлорид 0,9% 2269
Неуточнена несумісність Несумісні
ін'єкція Gentamicin sulfate
ін'єкція Ceftobiprole medocaril sodium
3520
сумісний
ін'єкція Gentamicin sulfate 5 mg/ml
ін'єкція Ceftolozane / tazobactam 10/5 mg/ml
Глюкоза 5% 3828
Неуточнена несумісність Несумісні
ін'єкція Gentamicin sulfate
ін'єкція Ceftolozane / tazobactam
3643
Неуточнена несумісність Несумісні
ін'єкція Gentamicin sulfate
ін'єкція Ceftolozane / tazobactam
3520
сумісний
ін'єкція Gentamicin sulfate 5 mg/ml
ін'єкція Ceftolozane / tazobactam 10/5 mg/ml
Натрію хлорид 0,9% 3828
Неуточнена несумісність Несумісні
ін'єкція Gentamicin sulfate
ін'єкція Ceftriaxone disodium
3523
Неуточнена несумісність Несумісні
ін'єкція Gentamicin sulfate
ін'єкція Ceftriaxone disodium
3643
Неуточнена несумісність Несумісні
ін'єкція Gentamicin sulfate
ін'єкція Ceftriaxone disodium
3520
Неуточнена несумісність Несумісні
ін'єкція Gentamicin sulfate
ін'єкція Cefuroxime sodium
3643
Неуточнена несумісність Несумісні
ін'єкція Gentamicin sulfate
ін'єкція Cefuroxime sodium
3520
Неуточнена несумісність Несумісні
ін'єкція Gentamicin sulfate
ін'єкція Cefuroxime sodium
3687
Неуточнена несумісність Несумісні
ін'єкція Gentamicin sulfate
ін'єкція Cefuzonam
3520
сумісний
ін'єкція Gentamicin sulfate 0.8 mg/ml
ін'єкція Cimetidine hydrochloride 3 mg/ml
Глюкоза 5% 1201
сумісний
ін'єкція Gentamicin sulfate 0.08 mg/ml
ін'єкція Cimetidine hydrochloride 1.2 & 5 mg/ml
Натрію хлорид 0,9% 1201
сумісний
ін'єкція Gentamicin sulfate 0.08 mg/ml
ін'єкція Cimetidine hydrochloride 1.2 & 5 mg/ml
Глюкоза 5% 1201
сумісний
ін'єкція Gentamicin sulfate 10 mg/ml
ін'єкція Ciprofloxacin lactate 2 mg/ml
Натрію хлорид 0,9% 289
сумісний
ін'єкція Gentamicin sulfate 1.6 mg/ml
ін'єкція Ciprofloxacin lactate 2 mg/ml
Глюкоза 5% 285
сумісний
ін'єкція Gentamicin sulfate 5 mg/ml
ін'єкція Cisatracurium besylate 0.1 >> 5 mg/ml
Глюкоза 5% 299
Хімічна нестійкість Несумісні
ін'єкція Gentamicin sulfate
ін'єкція Cisplatin
3578
сумісний
ін'єкція Gentamicin sulfate 12 mg/ml
ін'єкція Clindamycin phosphate 90 mg/ml
Натрію хлорид 0,9% 639
сумісний
ін'єкція Gentamicin sulfate 0.67 mg/ml
ін'єкція Clindamycin phosphate 6 mg/ml
Глюкоза 5% 423
сумісний
ін'єкція Gentamicin sulfate
Глюкоза 5% 434
Неуточнена несумісність Несумісні
ін'єкція Gentamicin sulfate
ін'єкція Cefuzonam
3643
сумісний
ін'єкція Gentamicin sulfate 1 mg/ml
ін'єкція Ciprofloxacin lactate 1.5 mg/ml
Натрію хлорид 0,9% 434
сумісний
ін'єкція Gentamicin sulfate 1.6 mg/ml
ін'єкція Ciprofloxacin lactate 2 mg/ml
Глюкоза 5% 288
сумісний
ін'єкція Gentamicin sulfate 1.6 mg/ml
ін'єкція Ciprofloxacin lactate 2 mg/ml
Натрію хлорид 0,9% 288
сумісний
ін'єкція Gentamicin sulfate 1 mg/ml
ін'єкція Ciprofloxacin lactate 1.5 mg/ml
Глюкоза 5% 434
сумісний
ін'єкція Gentamicin sulfate
ін'єкція Clindamycin phosphate
Натрію хлорид 0,9% 3526
Миттєві опади Несумісні
ін'єкція Gentamicin sulfate 40 mg/ml
ін'єкція Cloxacillin sodium 100 mg/ml
Вода для ін'єкцій 3012
сумісний
ін'єкція Gentamicin sulfate 15 mg/ml
ін'єкція Cytarabine 16 mg/ml
Натрію хлорид 0,9% 132
Несумісні
ін'єкція Gentamicin sulfate 2 & 10 mg/ml
Парентеральне харчування (ліпідами) 4924
сумісний
ін'єкція Gentamicin sulfate
ін'єкція Clindamycin phosphate
Глюкоза 5% 3526
Неуточнена несумісність Несумісні
ін'єкція Gentamicin sulfate
ін'єкція Cloxacillin sodium
3520
Неуточнена несумісність Несумісні
ін'єкція Gentamicin sulfate
ін'єкція Cytarabine
3580
сумісний
ін'єкція Gentamicin sulfate 1,5 mg/ml
ін'єкція Daptomycin 19,2 mg/ml
Натрію хлорид 0,9% 1937
сумісний
ін'єкція Gentamicin sulfate 0,05 mg/ml
Парентеральне харчування (бінарна суміш) 4445
Неуточнена несумісність Несумісні
ін'єкція Gentamicin sulfate
ін'єкція Cloxacillin sodium
3643
Нестійкість емульсії через 4 год Несумісні
ін'єкція Gentamicin sulfate 2 mg/ml
Парентеральне харчування (ліпідами) 4507
Неуточнена несумісність Несумісні
ін'єкція Gentamicin sulfate
ін'єкція Dalteparin sodium
3643
сумісний
ін'єкція Gentamicin sulfate
ін'єкція Daptomycin
2271
сумісний
ін'єкція Gentamicin sulfate 10 mg/ml
Парентеральне харчування (бінарна суміш) 316
сумісний
ін'єкція Gentamicin sulfate
ін'єкція Dimenhydrinate
2087
сумісний
ін'єкція Gentamicin sulfate 10 & 40 mg/ml
Парентеральне харчування (бінарна суміш) 999
Підзорова несумісність Несумісні
ін'єкція Gentamicin sulfate
ін'єкція Daunorubicin/cytarabine liposomale
4354
сумісний
ін'єкція Gentamicin sulfate 1 mg/ml
Парентеральне харчування (бінарна суміш) 939
Негайне помутніння Несумісні
ін'єкція Gentamicin sulfate
ін'єкція Daunorubicin/cytarabine liposomale 0,4 mg/mL
Натрію хлорид 0,9% 4654
сумісний
ін'єкція Gentamicin sulfate 0.8 mg/ml
ін'єкція Diatrizoate meglumine 283 mg/ml
Жодного 1085
сумісний
ін'єкція Gentamicin sulfate 2.4 & 40 mg/ml
ін'єкція Diltiazem hydrochloride 5 mg/ml
Натрію хлорид 0,9% 198
сумісний
ін'єкція Gentamicin sulfate 5 mg/ml
ін'єкція Docetaxel 0.9 mg/ml
Глюкоза 5% 1754
Неуточнена несумісність Несумісні
ін'єкція Gentamicin sulfate
ін'єкція Dopamine hydrochloride
3638
сумісний
ін'єкція Gentamicin sulfate 5 mg/ml
Парентеральне харчування (бінарна суміш) 301
сумісний
ін'єкція Gentamicin sulfate 5 mg/ml
ін'єкція Doripenem 5 mg/ml
Натрію хлорид 0,9% 2262
Неуточнена несумісність Несумісні
ін'єкція Gentamicin sulfate
NaHCO3 3520
сумісний
ін'єкція Gentamicin sulfate 2 mg/ml
ін'єкція Dopamine hydrochloride 0.8 mg/ml
Глюкоза 5% 738
Виробництво бульбашок газу Несумісні
ін'єкція Gentamicin sulfate
NaHCO3 3643
сумісний
ін'єкція Gentamicin sulfate 5 mg/ml
ін'єкція Dexmedetomidine 4 µg/ml
Натрію хлорид 0,9% 1712
сумісний
ін'єкція Gentamicin sulfate 5 mg/ml
ін'єкція Doripenem 5 mg/ml
Глюкоза 5% 2262
сумісний
ін'єкція Gentamicin sulfate 5 mg/ml
Парентеральне харчування (ліпідами) 1415
сумісний
ін'єкція Gentamicin sulfate 10 mg/ml
ін'єкція Doxapram hydrochloride 2 mg/ml
Глюкоза 5% 1802
сумісний
ін'єкція Gentamicin sulfate 5 mg/ml
ін'єкція Doxorubicin hydrochloride liposome peg 0.4 mg/ml
Глюкоза 5% 251
сумісний
ін'єкція Gentamicin sulfate 0.8 mg/ml
ін'єкція Enalaprilate 0.05 mg/ml
Натрію хлорид 0,9% 1315
Неуточнена несумісність Несумісні
ін'єкція Gentamicin sulfate
ін'єкція Enoxaparin sodium
3643
сумісний
ін'єкція Gentamicin sulfate 5 mg/ml
ін'єкція Eravacycline 0,6 mg/ml
Натрію хлорид 0,9% 4434
Неуточнена несумісність Несумісні
ін'єкція Gentamicin sulfate
ін'єкція Erythromycin lactobionate
3674
Неуточнена несумісність Несумісні
ін'єкція Gentamicin sulfate
ін'єкція Erythromycin lactobionate
3520
Неуточнена несумісність Несумісні
ін'єкція Gentamicin sulfate
ін'єкція Erythromycin lactobionate
3643
сумісний
ін'єкція Gentamicin sulfate 0,8 mg/ml
ін'єкція Esmolol hydrochloride 10 mg/ml
Глюкоза 5% 384
сумісний
ін'єкція Gentamicin sulfate 5 mg/ml
ін'єкція Etoposide phosphate 5 mg/ml
Глюкоза 5% 1410
сумісний
ін'єкція Gentamicin sulfate 5 mg/ml
ін'єкція Famotidine 2 mg/ml
Натрію хлорид 0,9% 215
сумісний
ін'єкція Gentamicin sulfate 0,8 mg/ml
ін'єкція Famotidine
Глюкоза 5% 397
сумісний
ін'єкція Gentamicin sulfate 5 mg/ml
ін'єкція Fenoldopam mesylate 80 µg/ml
Натрію хлорид 0,9% 1803
сумісний
ін'єкція Gentamicin sulfate 10 mg/ml
ін'єкція Fentanyl citrate 50 µg/ml
Глюкоза 5% 63
сумісний
ін'єкція Gentamicin sulfate 1.6 mg/ml
ін'єкція Filgrastim 40 µg/ml
Глюкоза 5% 104
сумісний
ін'єкція Gentamicin sulfate 5 mg/ml
ін'єкція Filgrastim 30 µg/ml
Глюкоза 5% 244
Неуточнена несумісність Несумісні
ін'єкція Gentamicin sulfate
ін'єкція Flucloxacillin sodium
3643
Миттєві опади Несумісні
ін'єкція Gentamicin sulfate
ін'єкція Flucloxacillin sodium
3522
сумісний
ін'єкція Gentamicin sulfate 1 mg/ml
ін'єкція Fluconazole 2 mg/ml
Жодного 256
сумісний
ін'єкція Gentamicin sulfate 4 mg/ml
ін'єкція Fluconazole 2 mg/ml
Натрію хлорид 0,9% 496
сумісний
ін'єкція Gentamicin sulfate 5 mg/ml
ін'єкція Fludarabine phosphate 1 mg/ml
Глюкоза 5% 492
сумісний
ін'єкція Gentamicin sulfate 2 mg/ml
ін'єкція Foscarnet sodium 24 mg/ml
Натрію хлорид 0,9% 1135
сумісний
ін'єкція Gentamicin sulfate 2 mg/ml
ін'єкція Foscarnet sodium 24 mg/ml
Глюкоза 5% 1135
сумісний
ін'єкція Gentamicin sulfate 4 mg/ml
ін'єкція Foscarnet sodium 24 mg/ml
Жодного 73
сумісний
ін'єкція Gentamicin sulfate 10 mg/ml
Розчин лактату Рінгера 4603
сумісний
ін'єкція Gentamicin sulfate 5 mg/ml
ін'єкція Fosfomycin 30 mg/ml
Натрію хлорид 0,9% 4055
Миттєві опади Несумісні
ін'єкція Gentamicin sulfate 0,4 mg/ml
Парентеральне харчування (ліпідами) 4440
сумісний
ін'єкція Gentamicin sulfate 40 mg/ml
Парентеральне харчування (ліпідами) 673
сумісний
ін'єкція Gentamicin sulfate 5 mg/ml
ін'єкція Fosfomycin 30 mg/ml
Глюкоза 5% 4055
Миттєві опади Несумісні
ін'єкція Gentamicin sulfate 10 mg/ml
ін'єкція Furosemide 10 mg/ml
789
Миттєві опади Несумісні
ін'єкція Gentamicin sulfate 1,6 mg/ml
ін'єкція Furosemide 0,8 mg/ml
Глюкоза 5% 367
Миттєві опади Несумісні
ін'єкція Gentamicin sulfate 1,6 mg/ml
ін'єкція Furosemide 0,8 mg/ml
Натрію хлорид 0,9% 367
Негайне помутніння Несумісні
ін'єкція Gentamicin sulfate 6.4 mg/ml
ін'єкція Furosemide 5 mg/ml
805
Опади через 2 год Несумісні
ін'єкція Gentamicin sulfate 8 mg/ml
ін'єкція Furosemide 1 mg/ml
Натрію хлорид 0,9% 1232
сумісний
ін'єкція Gentamicin sulfate 5 mg/ml
ін'єкція Gemcitabine hydrochloride 10 mg/ml
Натрію хлорид 0,9% 1423
сумісний
ін'єкція Gentamicin sulfate 1.5 mg/ml
ін'єкція Granisetron hydrochloride 1 mg/ml
Натрію хлорид 0,9% 57
сумісний
ін'єкція Gentamicin sulfate 1 & 2 mg/ml
ін'єкція Heparin sodium 2500 UI/ml
4612
Миттєві опади Несумісні
ін'єкція Gentamicin sulfate 4 >> 40 mg/ml
ін'єкція Heparin sodium 10 >> 40 UI/ml
1258
Миттєві опади Несумісні
ін'єкція Gentamicin sulfate
ін'єкція Heparin sodium
1022
Неуточнена несумісність Несумісні
ін'єкція Gentamicin sulfate 2 mg/ml
ін'єкція Heparin sodium 50 UI/ml
Жодного 317
Неуточнена несумісність Несумісні
ін'єкція Gentamicin sulfate
ін'єкція Heparin sodium
3643
Неуточнена несумісність Несумісні
ін'єкція Gentamicin sulfate
ін'єкція Heparin sodium
3520
Неуточнена несумісність Несумісні
ін'єкція Gentamicin sulfate
ін'єкція Heparin sodium
3540
Негайне помутніння Несумісні
ін'єкція Gentamicin sulfate 3 mg/ml
ін'єкція Heparin sodium 2500 UI/ml
4612
Миттєві опади Несумісні
ін'єкція Gentamicin sulfate 4 & 5 mg/ml
ін'єкція Heparin sodium 2500 UI/ml
4612
сумісний
ін'єкція Gentamicin sulfate 5 mg/ml
ін'єкція Hetastarch 60 mg/ml
специфічний розчинник 1721
Миттєві опади Несумісні
ін'єкція Gentamicin sulfate 0.8 mg/ml
ін'єкція Hetastarch 60 mg/ml
Натрію хлорид 0,9% 472
сумісний
ін'єкція Gentamicin sulfate 0.8 mg/ml
ін'єкція Hydromorphone hydrochloride 0.2 mg/ml
Глюкоза 5% 405
Зміна кольору Несумісні
ін'єкція Gentamicin sulfate 3 mg/ml
ін'єкція Idarubicin hydrochloride 1 mg/ml
Натрію хлорид 0,9% 491
Миттєві опади Несумісні
ін'єкція Gentamicin sulfate 1 mg/ml
ін'єкція Indomethacin sodium trihydrate 0,5 & 1 mg/ml
Глюкоза 5% 494
Опади через 15 хв Несумісні
ін'єкція Gentamicin sulfate 1 mg/ml
ін'єкція Indomethacin sodium trihydrate 0,5 & 1 mg/ml
Глюкоза 5% 1745
сумісний
ін'єкція Gentamicin sulfate 1.2 >> 2 mg/ml
ін'єкція Insulin 0.2 UI/ml
Натрію хлорид 0,9% 129
сумісний
ін'єкція Gentamicin sulfate 0.8 mg/ml
ін'єкція Iohexol 300 mg I/ml
Жодного 1085
Миттєві опади Несумісні
ін'єкція Gentamicin sulfate 0.8 mg/ml
ін'єкція Ioxaglate 320 mg I/ml
Жодного 1085
сумісний
ін'єкція Gentamicin sulfate 5 mg/ml
ін'єкція Isavuconazonium sulfate 1.5 mg/ml
Глюкоза 5% 3829
сумісний
ін'єкція Gentamicin sulfate 5 mg/ml
ін'єкція Isavuconazonium sulfate 1.5 mg/ml
Натрію хлорид 0,9% 3829
сумісний
ін'єкція Gentamicin sulfate 40 mg/ml
ін'єкція Ketamine hydrochloride 50 mg/ml
2109
сумісний
ін'єкція Gentamicin sulfate 0.8 mg/ml
ін'єкція Labetalol hydrochloride 1 mg/ml
Глюкоза 5% 386
сумісний
ін'єкція Gentamicin sulfate 5 mg/ml
ін'єкція Lansoprazole 0.55 mg/ml
Натрію хлорид 0,9% 1625
сумісний
ін'єкція Gentamicin sulfate 10 mg/ml
ін'єкція Levofloxacine 5 mg/ml
Глюкоза 5% 1072
сумісний
ін'єкція Gentamicin sulfate 0,75 mg/ml
ін'єкція Linezolid 1,80 mg/ml
2353
сумісний
ін'єкція Gentamicin sulfate 5 mg/ml
ін'єкція Linezolid 2 mg/ml
Жодного 1925
сумісний
ін'єкція Gentamicin sulfate 3 mg/ml
ін'єкція Lorazepam 0.33 mg/ml
Натрію хлорид 0,9% 186
сумісний
ін'єкція Gentamicin sulfate 0.8 mg/ml
ін'єкція Magnesium sulfate 16.67 >> 100 mg/ml
Глюкоза 5% 1047
сумісний
ін'єкція Gentamicin sulfate 5 mg/ml
ін'єкція Melphalan 0.1 mg/ml
Натрію хлорид 0,9% 169
сумісний
ін'єкція Gentamicin sulfate 40 mg/ml
ін'єкція Meropenem 50 mg/ml
Вода для ін'єкцій 4319
сумісний
ін'єкція Gentamicin sulfate 0.8 mg/ml
ін'єкція Meropenem 1 & 20 mg/ml
Натрію хлорид 0,9% 266
сумісний
ін'єкція Gentamicin sulfate 4 mg/ml
ін'єкція Meropenem 1 & 50 mg/ml
Натрію хлорид 0,9% 266
сумісний
ін'єкція Gentamicin sulfate 30 mg/ml
ін'єкція Meropenem 10 mg/ml
Натрію хлорид 0,9% 2335
сумісний
ін'єкція Gentamicin sulfate 0,8 & 1,2 mg/ml
ін'єкція Metronidazole 5 mg/ml
Жодного 1243
сумісний
ін'єкція Gentamicin sulfate 0.8 mg/ml
ін'єкція Metronidazole 5 mg/ml
Жодного 1035
сумісний
ін'єкція Gentamicin sulfate
ін'єкція Metronidazole
3594
сумісний
ін'єкція Gentamicin sulfate 3 mg/ml
ін'єкція Midazolam hydrochloride 5 mg/ml
Жодного 186
сумісний
ін'єкція Gentamicin sulfate 10 mg/ml
ін'єкція Midazolam hydrochloride 1 mg/ml
Глюкоза 5% 176
сумісний
ін'єкція Gentamicin sulfate 0.8 mg/ml
ін'єкція Midazolam hydrochloride 0.05 >> 0.4 mg/ml
Натрію хлорид 0,9% 1888
Неуточнена несумісність Несумісні
ін'єкція Gentamicin sulfate
ін'єкція Mitomycin
4471
Хімічна нестійкість Несумісні
ін'єкція Gentamicin sulfate
ін'єкція Mitomycin
3128
сумісний
ін'єкція Gentamicin sulfate 1.2 & 2 mg/ml
ін'єкція Morphine sulfate 1 mg/ml
Натрію хлорид 0,9% 406
сумісний
ін'єкція Gentamicin sulfate 0.8 mg/ml
ін'єкція Morphine sulfate 1 mg/ml
Глюкоза 5% 405
Неуточнена несумісність Несумісні
ін'єкція Gentamicin sulfate
ін'єкція Moxalactam
3643
Неуточнена несумісність Несумісні
ін'єкція Gentamicin sulfate
ін'єкція Moxalactam
3520
сумісний
ін'єкція Gentamicin sulfate 40 mg/ml
ін'єкція N-acetylcysteine 200 mg/ml
Жодного 3766
Неуточнена несумісність Несумісні
ін'єкція Gentamicin sulfate
ін'єкція Nadroparin
3643
Неуточнена несумісність Несумісні
ін'єкція Gentamicin sulfate
ін'єкція Nafcillin sodium
3643
Неуточнена несумісність Несумісні
ін'єкція Gentamicin sulfate
ін'єкція Nafcillin sodium
3520
сумісний
ін'єкція Gentamicin sulfate 40 mg/ml
ін'єкція Naloxone hydrochloride 0.4 mg/ml
Жодного 3408
сумісний
ін'єкція Gentamicin sulfate 4.17 mg/ml
ін'єкція Nefopam 0.16 mg/ml
Натрію хлорид 0,9% 4254
сумісний
ін'єкція Gentamicin sulfate 4.17 mg/ml
ін'єкція Nefopam 0.16 mg/ml
Глюкоза 5% 4254
сумісний
ін'єкція Gentamicin sulfate 0.8 mg/ml
ін'єкція Nicardipine hydrochloride 0.1 mg/ml
Глюкоза 5% 1490
сумісний
ін'єкція Gentamicin sulfate 0.8 mg/ml
ін'єкція Nicardipine hydrochloride 0.1 mg/ml
Натрію хлорид 0,9% 1490
сумісний
ін'єкція Gentamicin sulfate 0,8 mg/ml
ін'єкція Ofloxacin 2 mg/ml
Жодного 889
сумісний
ін'єкція Gentamicin sulfate 5 mg/ml
ін'єкція Ondansetron hydrochloride 1 mg/ml
Натрію хлорид 0,9% 334
сумісний
ін'єкція Gentamicin sulfate 5 mg/ml
ін'єкція Oritavancin 0.8 >>2 mg/ml
Глюкоза 5% 3152
Неуточнена несумісність Несумісні
ін'єкція Gentamicin sulfate
ін'єкція Oxacillin sodium
3643
Неуточнена несумісність Несумісні
ін'єкція Gentamicin sulfate
ін'єкція Oxacillin sodium
3520
сумісний
ін'єкція Gentamicin sulfate 40 mg/ml
ін'єкція Oxycodone hydrochloride 1 mg/ml
Натрію хлорид 0,9% 4842
сумісний
ін'єкція Gentamicin sulfate 5 mg/ml
ін'єкція Paclitaxel 1.2 mg/ml
Глюкоза 5% 248
сумісний
ін'єкція Gentamicin sulfate 5 mg/ml
ін'єкція Palonosetron hydrochloride 50 µg/ml
Глюкоза 5% 2228
сумісний
ін'єкція Gentamicin sulfate 2 mg/ml
ін'єкція Pancuronium bromide 0.05 mg/ml
Глюкоза 5% 402
Миттєві опади Несумісні
ін'єкція Gentamicin sulfate
ін'єкція Pantoprazole sodium
2090
сумісний
ін'єкція Gentamicin sulfate 40 mg/ml
ін'єкція Paracetamol 10 mg/ml
4742
Миттєві опади Несумісні
ін'єкція Gentamicin sulfate 5 mg/ml
ін'єкція Pemetrexed disodium 20 mg/ml
1953
Неуточнена несумісність Несумісні
ін'єкція Gentamicin sulfate
ін'єкція Penicillin G potassium
3643
Неуточнена несумісність Несумісні
ін'єкція Gentamicin sulfate
ін'єкція Penicillin G potassium
3520
Неуточнена несумісність Несумісні
ін'єкція Gentamicin sulfate
ін'єкція Penicillin G sodium
3643
Неуточнена несумісність Несумісні
ін'єкція Gentamicin sulfate
ін'єкція Penicillin G sodium
3520
сумісний
ін'єкція Gentamicin sulfate 10 mg/ml
ін'єкція Pentoxifyllin 5 mg/ml
Натрію хлорид 0,9% 4543
сумісний
ін'єкція Gentamicin sulfate 0.8 mg/ml
ін'єкція Pethidine hydrochloride 10 mg/ml
Глюкоза 5% 405
Миттєві опади Несумісні
ін'єкція Gentamicin sulfate 10 mg/ml
ін'єкція Phenytoin sodium 50 mg/ml
789
сумісний
ін'єкція Gentamicin sulfate 20 mg/ml
ін'єкція Phloroglucinol 2,5 mg/ml
3791
Неуточнена несумісність Несумісні
ін'єкція Gentamicin sulfate
ін'єкція Piperacillin sodium
3520
Неуточнена несумісність Несумісні
ін'єкція Gentamicin sulfate
ін'єкція Piperacillin sodium
3643
Неуточнена несумісність Несумісні
ін'єкція Gentamicin sulfate
ін'єкція Piperacillin sodium / tazobactam
3520
Хімічна нестійкість Несумісні
ін'єкція Gentamicin sulfate
ін'єкція Piperacillin sodium / tazobactam
3586
Неуточнена несумісність Несумісні
ін'єкція Gentamicin sulfate
ін'єкція Piperacillin sodium / tazobactam
3643
сумісний
ін'єкція Gentamicin sulfate
ін'єкція Posaconazole
4380
сумісний
ін'єкція Gentamicin sulfate 30 mg/ml
ін'єкція Potassium chloride 20 mEq/l
NaCl 0,45% Глюкоза 5% 2335
Негайна нестійкість емульсії Несумісні
ін'єкція Gentamicin sulfate 2 mg/ml
ін'єкція Propofol
660
Неуточнена несумісність Несумісні
ін'єкція Gentamicin sulfate 40 mg/ml
ін'єкція Propofol
4524
Миттєві опади Несумісні
ін'єкція Gentamicin sulfate 5 mg/ml
ін'єкція Propofol 10 mg/ml
Жодного 300
сумісний
ін'єкція Gentamicin sulfate 5 mg/ml
ін'єкція Remifentanil hydrochloride 25 & 250 µg/ml
Натрію хлорид 0,9% 59
сумісний
ін'єкція Gentamicin sulfate 40 mg/ml
ін'єкція Salbutamol sulfate 1 mg/ml
Жодного 3216
сумісний
ін'єкція Gentamicin sulfate 5 mg/ml
ін'єкція Sargramostim 10 µg/ml
Натрію хлорид 0,9% 335
сумісний
ін'єкція Gentamicin sulfate 10 mg/ml
ін'єкція Sildenafil citrate 0,6 mg/ml
Глюкоза 5% 4845
сумісний
ін'єкція Gentamicin sulfate 2,4 mg/ml
ін'єкція Sodium bicarbonate 40 mg/ml
Жодного 3122
Виробництво бульбашок газу Несумісні
ін'єкція Gentamicin sulfate
ін'єкція Sodium bicarbonate
3643
сумісний
ін'єкція Gentamicin sulfate 2.5 mg/ml
ін'єкція Sodium citrate 40 mg/ml
Вода для ін'єкцій 3952
сумісний
ін'єкція Gentamicin sulfate 40 mg/ml
ін'єкція Sugammadex 100 mg/ml
Жодного 3372
сумісний
ін'єкція Gentamicin sulfate 5 mg/ml
ін'єкція Sulbactam/durlobactam 15/15 mg/ml
Натрію хлорид 0,9% 4801
сумісний
ін'єкція Gentamicin sulfate 4 mg/ml
ін'єкція Tacrolimus 1000 µg/ml
Натрію хлорид 0,9% 479
сумісний
ін'єкція Gentamicin sulfate
Натрію хлорид 0,9% 1704
сумісний
ін'єкція Gentamicin sulfate
Натрію хлорид 0,9% 434
Неуточнена несумісність Несумісні
ін'єкція Gentamicin sulfate
ін'єкція Sodium bicarbonate
3520
сумісний
ін'єкція Gentamicin sulfate 1 >> 5 mg/ml
ін'єкція Sodium citrate 40 mg/ml
Жодного 2019
Негайне помутніння Несумісні
ін'єкція Gentamicin sulfate 5 mg/ml
ін'єкція Tedizolid phosphate 0.8 mg/ml
Натрію хлорид 0,9% 3827
Неуточнена несумісність Несумісні
ін'єкція Gentamicin sulfate
ін'єкція Teicoplanine
3656
сумісний
ін'єкція Gentamicin sulfate 5 mg/ml
ін'єкція Telavancin hydrochloride 7.5 mg/ml
Розчин лактату Рінгера 3254
сумісний
ін'єкція Gentamicin sulfate 5 mg/ml
ін'єкція Telavancin hydrochloride 7.5 mg/ml
Натрію хлорид 0,9% 3254
сумісний
ін'єкція Gentamicin sulfate 5 mg/ml
ін'єкція Telavancin hydrochloride 7.5 mg/ml
Глюкоза 5% 3254
сумісний
ін'єкція Gentamicin sulfate 6 mg/ml
ін'єкція Temocilline 83.33 mg/ml
Вода для ін'єкцій 2231
Неуточнена несумісність Несумісні
ін'єкція Gentamicin sulfate
ін'єкція Temocilline
3643
Неуточнена несумісність Несумісні
ін'єкція Gentamicin sulfate
ін'єкція Temocilline
3520
Неуточнена несумісність Несумісні
ін'єкція Gentamicin sulfate
ін'єкція Temocilline
2296
сумісний
ін'єкція Gentamicin sulfate 5 mg/ml
ін'єкція Teniposide 0.1 mg/ml
Глюкоза 5% 905
сумісний
ін'єкція Gentamicin sulfate 2 mg/ml
ін'єкція Theophylline 4 mg/ml
Жодного 317
Миттєві опади Несумісні
ін'єкція Gentamicin sulfate 40 mg/ml
ін'єкція Thiopental sodium 25 mg/ml
Натрію хлорид 0,9% 3767
сумісний
ін'єкція Gentamicin sulfate 5 mg/ml
ін'єкція Thiotepa 1 mg/ml
Глюкоза 5% 249
Хімічна нестійкість Несумісні
ін'єкція Gentamicin sulfate
ін'єкція Ticarcillin / clavulanic acid
3587
Неуточнена несумісність Несумісні
ін'єкція Gentamicin sulfate
ін'єкція Ticarcillin / clavulanic acid
3643
Неуточнена несумісність Несумісні
ін'єкція Gentamicin sulfate
ін'єкція Ticarcillin / clavulanic acid
3520
сумісний
ін'єкція Gentamicin sulfate
ін'єкція Tigecycline
Натрію хлорид 0,9% 3332
сумісний
ін'єкція Gentamicin sulfate 6 mg/ml
ін'єкція Vancomycin hydrochloride 10 mg/ml
Глюкоза 5% 3385
сумісний
ін'єкція Gentamicin sulfate 1.2 mg/ml
ін'єкція Vasopressin 0.2 UI/ml
Натрію хлорид 0,9% 2017
сумісний
ін'єкція Gentamicin sulfate 2 mg/ml
ін'єкція Vecuronium bromide 0.1 mg/ml
Глюкоза 5% 402
сумісний
ін'єкція Gentamicin sulfate 0.16 mg/ml
ін'єкція Verapamil hydrochloride 0.08 mg/ml
Глюкоза 5% 1057
сумісний
ін'єкція Gentamicin sulfate 0.16 mg/ml
ін'єкція Verapamil hydrochloride 0.08 mg/ml
Натрію хлорид 0,9% 1057
сумісний
ін'єкція Gentamicin sulfate 5 mg/ml
ін'єкція Vinorelbine tartrate 1 mg/ml
Натрію хлорид 0,9% 84
Негайне помутніння Несумісні
ін'єкція Gentamicin sulfate 1.6 mg/ml
ін'єкція Warfarin sodium 2 mg/ml
Глюкоза 5% 315
сумісний
ін'єкція Gentamicin sulfate 2 mg/ml
ін'єкція Zidovudine 4 mg/ml
Глюкоза 5% 337

  Mentions Légales