Последнее обновление :
27/04/2026
Антибиотик   Gentamicin sulfate  
Инъекция
Глазные капли
Стабильность растворов Стабильность смесей Факторы, которые влияют на стабильность Совместимость Способы введения Библиография pdf
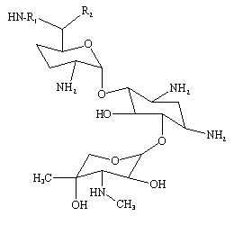
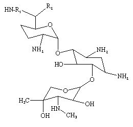
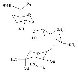
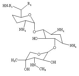
   Химическая структура  

Товарное название   Товарное название     

Trade names are indicative and excipients composition can be different depending on the country and manufacturers

Azupel Перу
Cidomycin Великобритания, Египет, Тунис
Dabroson Греция
Epigent Египет
Garalone Португалия
Garamicina Бразилия, Колумбия, Мексика, Эквадор
Garamycin Голландия, Греция, Дания, Египет, Индия, Норвегия, Объединенные Арабские Эмираты, Польша, Хорватия, Швейцария
Genmisin Турция
Gensif Турция
Gensumycin Норвегия, Финляндия, Швеция
Genta-Gobens Испания
Gentalline Марокко
Gentamen Марокко
Genticin Великобритания, Ирландия, Объединенные Арабские Эмираты
Gentreks Турция
Hexamycin Дания
Plurisemina Аргентина
Refobacin Австрия, Германия, Египет, Колумбия
Rupegen Аргентина
Совместимость   Инъекция   Совместимость : Gentamicin sulfate              
Эта таблица показывает совместимость или несовместимость препаратов, по возможности тип несовместимости (преципитат, смена цвета, разложение эмульсии и др.). Показанные здесь совместимости в основном физические, по возможности указана и химическая стабильность каждой молекулы. Анализ этих смесей произведён для исследования возможности ввести препараты пациенту в Y-соединении систем. Эти данные нельзя использовать, чтобы приготовить лекарства на будущее в мешках или шприцах. Эта информация доступна в разделе "Стабильность смесей".
Молекула Растворитель Ссылки
совместимый
Инъекция Gentamicin sulfate 1.6 mg/ml
Инъекция Aciclovir sodium 5 mg/ml
Глюкоза 5% 336
Немедленные осадки несовместимый
Инъекция Gentamicin sulfate 30 mg/ml
Инъекция Aciclovir sodium 5 mg/ml
Натрия хлорид 0,9% 2335
Осадки через 1 час несовместимый
Инъекция Gentamicin sulfate 5 mg/ml
Инъекция Allopurinol sodium 3 mg/ml
Натрия хлорид 0,9% 307
совместимый
Инъекция Gentamicin sulfate 1 mg/ml
Инъекция Alprostadil 15 µg/ml
3201
совместимый
Инъекция Gentamicin sulfate 5 mg/ml
Инъекция Amifostine 10 mg/ml
Глюкоза 5% 3
совместимый
Инъекция Gentamicin sulfate 0.8 mg/ml
Инъекция Amiodarone hydrochloride 4 mg/ml
Натрия хлорид 0,9% 385
совместимый
Инъекция Gentamicin sulfate 0.8 mg/ml
Инъекция Amiodarone hydrochloride 4 mg/ml
Глюкоза 5% 385
Неопределенная несовместимость несовместимый
Инъекция Gentamicin sulfate
Инъекция Amoxicillin sodium
3643
Неопределенная несовместимость несовместимый
Инъекция Gentamicin sulfate
Инъекция Amoxicillin sodium
3520
Химическая нестабильность несовместимый
Инъекция Gentamicin sulfate
Инъекция Amoxicillin sodium
3527
Неопределенная несовместимость несовместимый
Инъекция Gentamicin sulfate
Инъекция Amoxicillin sodium / clavulanic acid
3643
Неопределенная несовместимость несовместимый
Инъекция Gentamicin sulfate
Инъекция Amoxicillin sodium / clavulanic acid
3545
Неопределенная несовместимость несовместимый
Инъекция Gentamicin sulfate
Инъекция Amoxicillin sodium / clavulanic acid
3520
совместимый
Инъекция Gentamicin sulfate 40 mg/ml
Инъекция Amoxicillin sodium / clavulanic acid 100/10 mg/ml
3824
Немедленные осадки несовместимый
Инъекция Gentamicin sulfate 5 mg/ml
Инъекция Amphotericin B cholesteryl sulfate complex 0,83 mg/ml
Глюкоза 5% 921
Неопределенная несовместимость несовместимый
Инъекция Gentamicin sulfate
Инъекция Ampicillin sodium
3643
Неопределенная несовместимость несовместимый
Инъекция Gentamicin sulfate
Инъекция Ampicillin sodium
3520
Неопределенная несовместимость несовместимый
Инъекция Gentamicin sulfate
Инъекция Ampicillin sodium - sulbactam sodium
3643
Неопределенная несовместимость несовместимый
Инъекция Gentamicin sulfate
Инъекция Ampicillin sodium - sulbactam sodium
3520
совместимый
Инъекция Gentamicin sulfate 5 mg/ml
Инъекция Amsacrine 1 mg/ml
Глюкоза 5% 253
совместимый
Инъекция Gentamicin sulfate 5 mg/ml
Инъекция Anidulafungin 0.5 mg/ml
Глюкоза 5% 1982
совместимый
Инъекция Gentamicin sulfate 0,8 mg/ml
Инъекция Atosiban 0,75 mg/ml
4642
совместимый
Инъекция Gentamicin sulfate 2 mg/ml
Инъекция Atracurium besylate 0.5 mg/ml
Глюкоза 5% 402
Немедленные осадки несовместимый
Инъекция Gentamicin sulfate 21 mg/ml
Инъекция Azithromycine 2 mg/ml
Натрия хлорид 0,9% 1800
совместимый
Инъекция Gentamicin sulfate 5 mg/ml
Инъекция Aztreonam 40 mg/ml
Глюкоза 5% 99
совместимый
Инъекция Gentamicin sulfate 0.2 & 0.8 mg/ml
Инъекция Aztreonam 10 & 20 mg/ml
Натрия хлорид 0,9% 19
совместимый
Инъекция Gentamicin sulfate 0.2 & 0.8 mg/ml
Инъекция Aztreonam 10 & 20 mg/ml
Глюкоза 5% 19
совместимый
Инъекция Gentamicin sulfate 5 mg/ml
Инъекция Bivalirudin 5 mg/ml
Глюкоза 5% 1713
совместимый
Инъекция Gentamicin sulfate 10 mg/ml
Инъекция Caffeine 10 mg/ml
Нет 3964
совместимый
Инъекция Gentamicin sulfate 10 mg/ml
Инъекция Caffeine 10 mg/ml
Натрия хлорид 0,9% 4837
совместимый
Инъекция Gentamicin sulfate 10 mg/ml
Инъекция Caffeine citrate 20 mg/ml
Натрия хлорид 0,9% 4837
Неопределенная несовместимость несовместимый
Инъекция Gentamicin sulfate
Инъекция Calcium gluconate
3644
несовместимый
Инъекция Gentamicin sulfate
Инъекция Calcium gluconate
4964
совместимый
Инъекция Gentamicin sulfate 5 mg/ml
Инъекция Caspofungin acetate 0,7 mg/ml
Натрия хлорид 0,9% 2247
Неопределенная несовместимость несовместимый
Инъекция Gentamicin sulfate
Инъекция Cefalotin sodium
3520
Неопределенная несовместимость несовместимый
Инъекция Gentamicin sulfate
Инъекция Cefalotin sodium
3643
Немедленные осадки несовместимый
Инъекция Gentamicin sulfate
Инъекция Cefamandole nafate 2 >> 100 mg/ml
Глюкоза 5% 612
Неопределенная несовместимость несовместимый
Инъекция Gentamicin sulfate
Инъекция Cefamandole nafate
3643
Неопределенная несовместимость несовместимый
Инъекция Gentamicin sulfate
Инъекция Cefamandole nafate
3520
Неопределенная несовместимость несовместимый
Инъекция Gentamicin sulfate
Инъекция Cefamandole nafate
3546
Немедленные осадки несовместимый
Инъекция Gentamicin sulfate
Инъекция Cefamandole nafate 2 >> 100 mg/ml
Натрия хлорид 0,9% 612
Неопределенная несовместимость несовместимый
Инъекция Gentamicin sulfate
Инъекция Cefazolin sodium
3520
Неопределенная несовместимость несовместимый
Инъекция Gentamicin sulfate
Инъекция Cefazolin sodium
3643
Неопределенная несовместимость несовместимый
Инъекция Gentamicin sulfate
Инъекция Cefepime dihydrochloride
3520
совместимый
Инъекция Gentamicin sulfate 6 mg/ml
Инъекция Cefepime dihydrochloride 125 mg/ml
Вода для инъекций 2141
Неопределенная несовместимость несовместимый
Инъекция Gentamicin sulfate
Инъекция Cefepime dihydrochloride
3548
Неопределенная несовместимость несовместимый
Инъекция Gentamicin sulfate
Инъекция Cefepime dihydrochloride
3643
совместимый
Инъекция Gentamicin sulfate 5 mg/ml
Инъекция Cefiderocol sulfate tosylate 20 mg/mL
Глюкоза 5% 4528
совместимый
Инъекция Gentamicin sulfate 5 mg/ml
Инъекция Cefiderocol sulfate tosylate 20 mg/mL
Натрия хлорид 0,9% 4528
Неопределенная несовместимость несовместимый
Инъекция Gentamicin sulfate
Инъекция Cefmenoxime
3520
Неопределенная несовместимость несовместимый
Инъекция Gentamicin sulfate
Инъекция Cefmenoxime
3643
Неопределенная несовместимость несовместимый
Инъекция Gentamicin sulfate
Инъекция Cefmetazole sodium
3520
Неопределенная несовместимость несовместимый
Инъекция Gentamicin sulfate
Инъекция Cefmetazole sodium
3643
Неопределенная несовместимость несовместимый
Инъекция Gentamicin sulfate
Инъекция Cefonicid sodium
3643
Неопределенная несовместимость несовместимый
Инъекция Gentamicin sulfate
Инъекция Cefonicid sodium
3520
Неопределенная несовместимость несовместимый
Инъекция Gentamicin sulfate
Инъекция Cefoperazone sodium
3544
Неопределенная несовместимость несовместимый
Инъекция Gentamicin sulfate
Инъекция Cefoperazone sodium
3643
Немедленные осадки несовместимый
Инъекция Gentamicin sulfate 0.8 mg/ml
Инъекция Cefoperazone sodium 10 mg/ml
Глюкоза 5% 1206
Неопределенная несовместимость несовместимый
Инъекция Gentamicin sulfate
Инъекция Cefoperazone sodium
3520
Неопределенная несовместимость несовместимый
Инъекция Gentamicin sulfate
Инъекция Ceforanide
3643
Неопределенная несовместимость несовместимый
Инъекция Gentamicin sulfate
Инъекция Ceforanide
3520
Неопределенная несовместимость несовместимый
Инъекция Gentamicin sulfate
Инъекция Cefotaxime sodium
3520
Неопределенная несовместимость несовместимый
Инъекция Gentamicin sulfate
Инъекция Cefotaxime sodium
3643
Неопределенная несовместимость несовместимый
Инъекция Gentamicin sulfate
Инъекция Cefoxitin sodium
3643
Неопределенная несовместимость несовместимый
Инъекция Gentamicin sulfate
Инъекция Cefoxitin sodium
3520
совместимый
Инъекция Gentamicin sulfate 1 mg/ml
Инъекция Cefpirome sulfate 50 mg/ml
Натрия хлорид 0,9% 280
совместимый
Инъекция Gentamicin sulfate 1 mg/ml
Инъекция Cefpirome sulfate 50 mg/ml
Раствор Рингера лактата 280
совместимый
Инъекция Gentamicin sulfate 1 mg/ml
Инъекция Cefpirome sulfate 50 mg/ml
Натрия хлорид 0,45% 280
Неопределенная несовместимость несовместимый
Инъекция Gentamicin sulfate
Инъекция Cefpirome sulfate
3643
Неопределенная несовместимость несовместимый
Инъекция Gentamicin sulfate
Инъекция Cefpirome sulfate
3677
совместимый
Инъекция Gentamicin sulfate 1 mg/ml
Инъекция Cefpirome sulfate 50 mg/ml
Глюкоза 5% 280
Неопределенная несовместимость несовместимый
Инъекция Gentamicin sulfate
Инъекция Cefpirome sulfate
3520
совместимый
Инъекция Gentamicin sulfate 5 mg/ml
Инъекция Ceftaroline fosamil 2,22 mg/ml
Натрия хлорид 0,9% 3249
совместимый
Инъекция Gentamicin sulfate 5 mg/ml
Инъекция Ceftaroline fosamil 2,22 mg/ml
Раствор Рингера лактата 3249
совместимый
Инъекция Gentamicin sulfate 5 mg/ml
Инъекция Ceftaroline fosamil 2,22 mg/ml
Глюкоза 5% 3249
Неопределенная несовместимость несовместимый
Инъекция Gentamicin sulfate
Инъекция Ceftaroline fosamil
3643
Неопределенная несовместимость несовместимый
Инъекция Gentamicin sulfate
Инъекция Ceftaroline fosamil
3520
Неопределенная несовместимость несовместимый
Инъекция Gentamicin sulfate
Инъекция Ceftazidime
3543
Неопределенная несовместимость несовместимый
Инъекция Gentamicin sulfate
Инъекция Ceftazidime
3520
Неопределенная несовместимость несовместимый
Инъекция Gentamicin sulfate
Инъекция Ceftazidime
3643
совместимый
Инъекция Gentamicin sulfate 6 mg/ml
Инъекция Ceftazidime 125 mg/ml
Вода для инъекций 2141
совместимый
Инъекция Gentamicin sulfate 6 mg/ml
Инъекция Ceftazidime 83.3 mg/ml
1759
Неопределенная несовместимость несовместимый
Инъекция Gentamicin sulfate
Инъекция Ceftazidime
3883
Неопределенная несовместимость несовместимый
Инъекция Gentamicin sulfate
Инъекция Ceftazidime Avibactam
3520
Неопределенная несовместимость несовместимый
Инъекция Gentamicin sulfate
Инъекция Ceftazidime Avibactam
3643
Неопределенная несовместимость несовместимый
Инъекция Gentamicin sulfate
Инъекция Ceftizoxime sodium
3643
Неопределенная несовместимость несовместимый
Инъекция Gentamicin sulfate
Инъекция Ceftizoxime sodium
3520
Неопределенная несовместимость несовместимый
Инъекция Gentamicin sulfate
Инъекция Ceftobiprole medocaril sodium
3643
Неопределенная несовместимость несовместимый
Инъекция Gentamicin sulfate
Инъекция Ceftobiprole medocaril sodium
4650
Немедленные осадки несовместимый
Инъекция Gentamicin sulfate 5 mg/ml
Инъекция Ceftobiprole medocaril sodium 2 mg/ml
Глюкоза 5% 2269
Немедленные осадки несовместимый
Инъекция Gentamicin sulfate 5 mg/ml
Инъекция Ceftobiprole medocaril sodium 2 mg/ml
Раствор Рингера лактата 2269
Немедленные осадки несовместимый
Инъекция Gentamicin sulfate 5 mg/ml
Инъекция Ceftobiprole medocaril sodium 2 mg/ml
Натрия хлорид 0,9% 2269
Неопределенная несовместимость несовместимый
Инъекция Gentamicin sulfate
Инъекция Ceftobiprole medocaril sodium
3520
совместимый
Инъекция Gentamicin sulfate 5 mg/ml
Инъекция Ceftolozane / tazobactam 10/5 mg/ml
Глюкоза 5% 3828
Неопределенная несовместимость несовместимый
Инъекция Gentamicin sulfate
Инъекция Ceftolozane / tazobactam
3643
Неопределенная несовместимость несовместимый
Инъекция Gentamicin sulfate
Инъекция Ceftolozane / tazobactam
3520
совместимый
Инъекция Gentamicin sulfate 5 mg/ml
Инъекция Ceftolozane / tazobactam 10/5 mg/ml
Натрия хлорид 0,9% 3828
Неопределенная несовместимость несовместимый
Инъекция Gentamicin sulfate
Инъекция Ceftriaxone disodium
3523
Неопределенная несовместимость несовместимый
Инъекция Gentamicin sulfate
Инъекция Ceftriaxone disodium
3643
Неопределенная несовместимость несовместимый
Инъекция Gentamicin sulfate
Инъекция Ceftriaxone disodium
3520
Неопределенная несовместимость несовместимый
Инъекция Gentamicin sulfate
Инъекция Cefuroxime sodium
3643
Неопределенная несовместимость несовместимый
Инъекция Gentamicin sulfate
Инъекция Cefuroxime sodium
3520
Неопределенная несовместимость несовместимый
Инъекция Gentamicin sulfate
Инъекция Cefuroxime sodium
3687
Неопределенная несовместимость несовместимый
Инъекция Gentamicin sulfate
Инъекция Cefuzonam
3520
совместимый
Инъекция Gentamicin sulfate 0.8 mg/ml
Инъекция Cimetidine hydrochloride 3 mg/ml
Глюкоза 5% 1201
совместимый
Инъекция Gentamicin sulfate 0.08 mg/ml
Инъекция Cimetidine hydrochloride 1.2 & 5 mg/ml
Натрия хлорид 0,9% 1201
совместимый
Инъекция Gentamicin sulfate 0.08 mg/ml
Инъекция Cimetidine hydrochloride 1.2 & 5 mg/ml
Глюкоза 5% 1201
совместимый
Инъекция Gentamicin sulfate 10 mg/ml
Инъекция Ciprofloxacin lactate 2 mg/ml
Натрия хлорид 0,9% 289
совместимый
Инъекция Gentamicin sulfate 1.6 mg/ml
Инъекция Ciprofloxacin lactate 2 mg/ml
Глюкоза 5% 285
совместимый
Инъекция Gentamicin sulfate 5 mg/ml
Инъекция Cisatracurium besylate 0.1 >> 5 mg/ml
Глюкоза 5% 299
Химическая нестабильность несовместимый
Инъекция Gentamicin sulfate
Инъекция Cisplatin
3578
совместимый
Инъекция Gentamicin sulfate 12 mg/ml
Инъекция Clindamycin phosphate 90 mg/ml
Натрия хлорид 0,9% 639
совместимый
Инъекция Gentamicin sulfate 0.67 mg/ml
Инъекция Clindamycin phosphate 6 mg/ml
Глюкоза 5% 423
совместимый
Инъекция Gentamicin sulfate
Глюкоза 5% 434
Неопределенная несовместимость несовместимый
Инъекция Gentamicin sulfate
Инъекция Cefuzonam
3643
совместимый
Инъекция Gentamicin sulfate 1 mg/ml
Инъекция Ciprofloxacin lactate 1.5 mg/ml
Натрия хлорид 0,9% 434
совместимый
Инъекция Gentamicin sulfate 1.6 mg/ml
Инъекция Ciprofloxacin lactate 2 mg/ml
Глюкоза 5% 288
совместимый
Инъекция Gentamicin sulfate 1.6 mg/ml
Инъекция Ciprofloxacin lactate 2 mg/ml
Натрия хлорид 0,9% 288
совместимый
Инъекция Gentamicin sulfate 1 mg/ml
Инъекция Ciprofloxacin lactate 1.5 mg/ml
Глюкоза 5% 434
совместимый
Инъекция Gentamicin sulfate
Инъекция Clindamycin phosphate
Натрия хлорид 0,9% 3526
Немедленные осадки несовместимый
Инъекция Gentamicin sulfate 40 mg/ml
Инъекция Cloxacillin sodium 100 mg/ml
Вода для инъекций 3012
совместимый
Инъекция Gentamicin sulfate 15 mg/ml
Инъекция Cytarabine 16 mg/ml
Натрия хлорид 0,9% 132
несовместимый
Инъекция Gentamicin sulfate 2 & 10 mg/ml
Парентеральное питание (с липидами) 4924
совместимый
Инъекция Gentamicin sulfate
Инъекция Clindamycin phosphate
Глюкоза 5% 3526
Неопределенная несовместимость несовместимый
Инъекция Gentamicin sulfate
Инъекция Cloxacillin sodium
3520
Неопределенная несовместимость несовместимый
Инъекция Gentamicin sulfate
Инъекция Cytarabine
3580
совместимый
Инъекция Gentamicin sulfate 1,5 mg/ml
Инъекция Daptomycin 19,2 mg/ml
Натрия хлорид 0,9% 1937
совместимый
Инъекция Gentamicin sulfate 0,05 mg/ml
Парентеральное питание (бинарная смесь) 4445
Неопределенная несовместимость несовместимый
Инъекция Gentamicin sulfate
Инъекция Cloxacillin sodium
3643
Нестабильность эмульсии через 4 часов. несовместимый
Инъекция Gentamicin sulfate 2 mg/ml
Парентеральное питание (с липидами) 4507
Неопределенная несовместимость несовместимый
Инъекция Gentamicin sulfate
Инъекция Dalteparin sodium
3643
совместимый
Инъекция Gentamicin sulfate
Инъекция Daptomycin
2271
совместимый
Инъекция Gentamicin sulfate 10 mg/ml
Парентеральное питание (бинарная смесь) 316
совместимый
Инъекция Gentamicin sulfate
Инъекция Dimenhydrinate
2087
совместимый
Инъекция Gentamicin sulfate 10 & 40 mg/ml
Парентеральное питание (бинарная смесь) 999
Субвизуальная несовместимость несовместимый
Инъекция Gentamicin sulfate
Инъекция Daunorubicin/cytarabine liposomale
4354
совместимый
Инъекция Gentamicin sulfate 1 mg/ml
Парентеральное питание (бинарная смесь) 939
Немедленная мутность несовместимый
Инъекция Gentamicin sulfate
Инъекция Daunorubicin/cytarabine liposomale 0,4 mg/mL
Натрия хлорид 0,9% 4654
совместимый
Инъекция Gentamicin sulfate 0.8 mg/ml
Инъекция Diatrizoate meglumine 283 mg/ml
Нет 1085
совместимый
Инъекция Gentamicin sulfate 2.4 & 40 mg/ml
Инъекция Diltiazem hydrochloride 5 mg/ml
Натрия хлорид 0,9% 198
совместимый
Инъекция Gentamicin sulfate 5 mg/ml
Инъекция Docetaxel 0.9 mg/ml
Глюкоза 5% 1754
Неопределенная несовместимость несовместимый
Инъекция Gentamicin sulfate
Инъекция Dopamine hydrochloride
3638
совместимый
Инъекция Gentamicin sulfate 5 mg/ml
Парентеральное питание (бинарная смесь) 301
совместимый
Инъекция Gentamicin sulfate 5 mg/ml
Инъекция Doripenem 5 mg/ml
Натрия хлорид 0,9% 2262
Неопределенная несовместимость несовместимый
Инъекция Gentamicin sulfate
NaHCO3 3520
совместимый
Инъекция Gentamicin sulfate 2 mg/ml
Инъекция Dopamine hydrochloride 0.8 mg/ml
Глюкоза 5% 738
Производство пузырьков газа несовместимый
Инъекция Gentamicin sulfate
NaHCO3 3643
совместимый
Инъекция Gentamicin sulfate 5 mg/ml
Инъекция Dexmedetomidine 4 µg/ml
Натрия хлорид 0,9% 1712
совместимый
Инъекция Gentamicin sulfate 5 mg/ml
Инъекция Doripenem 5 mg/ml
Глюкоза 5% 2262
совместимый
Инъекция Gentamicin sulfate 5 mg/ml
Парентеральное питание (с липидами) 1415
совместимый
Инъекция Gentamicin sulfate 10 mg/ml
Инъекция Doxapram hydrochloride 2 mg/ml
Глюкоза 5% 1802
совместимый
Инъекция Gentamicin sulfate 5 mg/ml
Инъекция Doxorubicin hydrochloride liposome peg 0.4 mg/ml
Глюкоза 5% 251
совместимый
Инъекция Gentamicin sulfate 0.8 mg/ml
Инъекция Enalaprilate 0.05 mg/ml
Натрия хлорид 0,9% 1315
Неопределенная несовместимость несовместимый
Инъекция Gentamicin sulfate
Инъекция Enoxaparin sodium
3643
совместимый
Инъекция Gentamicin sulfate 5 mg/ml
Инъекция Eravacycline 0,6 mg/ml
Натрия хлорид 0,9% 4434
Неопределенная несовместимость несовместимый
Инъекция Gentamicin sulfate
Инъекция Erythromycin lactobionate
3674
Неопределенная несовместимость несовместимый
Инъекция Gentamicin sulfate
Инъекция Erythromycin lactobionate
3520
Неопределенная несовместимость несовместимый
Инъекция Gentamicin sulfate
Инъекция Erythromycin lactobionate
3643
совместимый
Инъекция Gentamicin sulfate 0,8 mg/ml
Инъекция Esmolol hydrochloride 10 mg/ml
Глюкоза 5% 384
совместимый
Инъекция Gentamicin sulfate 5 mg/ml
Инъекция Etoposide phosphate 5 mg/ml
Глюкоза 5% 1410
совместимый
Инъекция Gentamicin sulfate 5 mg/ml
Инъекция Famotidine 2 mg/ml
Натрия хлорид 0,9% 215
совместимый
Инъекция Gentamicin sulfate 0,8 mg/ml
Инъекция Famotidine
Глюкоза 5% 397
совместимый
Инъекция Gentamicin sulfate 5 mg/ml
Инъекция Fenoldopam mesylate 80 µg/ml
Натрия хлорид 0,9% 1803
совместимый
Инъекция Gentamicin sulfate 10 mg/ml
Инъекция Fentanyl citrate 50 µg/ml
Глюкоза 5% 63
совместимый
Инъекция Gentamicin sulfate 1.6 mg/ml
Инъекция Filgrastim 40 µg/ml
Глюкоза 5% 104
совместимый
Инъекция Gentamicin sulfate 5 mg/ml
Инъекция Filgrastim 30 µg/ml
Глюкоза 5% 244
Неопределенная несовместимость несовместимый
Инъекция Gentamicin sulfate
Инъекция Flucloxacillin sodium
3643
Немедленные осадки несовместимый
Инъекция Gentamicin sulfate
Инъекция Flucloxacillin sodium
3522
совместимый
Инъекция Gentamicin sulfate 1 mg/ml
Инъекция Fluconazole 2 mg/ml
Нет 256
совместимый
Инъекция Gentamicin sulfate 4 mg/ml
Инъекция Fluconazole 2 mg/ml
Натрия хлорид 0,9% 496
совместимый
Инъекция Gentamicin sulfate 5 mg/ml
Инъекция Fludarabine phosphate 1 mg/ml
Глюкоза 5% 492
совместимый
Инъекция Gentamicin sulfate 2 mg/ml
Инъекция Foscarnet sodium 24 mg/ml
Натрия хлорид 0,9% 1135
совместимый
Инъекция Gentamicin sulfate 2 mg/ml
Инъекция Foscarnet sodium 24 mg/ml
Глюкоза 5% 1135
совместимый
Инъекция Gentamicin sulfate 4 mg/ml
Инъекция Foscarnet sodium 24 mg/ml
Нет 73
совместимый
Инъекция Gentamicin sulfate 10 mg/ml
Раствор Рингера лактата 4603
совместимый
Инъекция Gentamicin sulfate 5 mg/ml
Инъекция Fosfomycin 30 mg/ml
Натрия хлорид 0,9% 4055
Немедленные осадки несовместимый
Инъекция Gentamicin sulfate 0,4 mg/ml
Парентеральное питание (с липидами) 4440
совместимый
Инъекция Gentamicin sulfate 40 mg/ml
Парентеральное питание (с липидами) 673
совместимый
Инъекция Gentamicin sulfate 5 mg/ml
Инъекция Fosfomycin 30 mg/ml
Глюкоза 5% 4055
Немедленные осадки несовместимый
Инъекция Gentamicin sulfate 10 mg/ml
Инъекция Furosemide 10 mg/ml
789
Немедленные осадки несовместимый
Инъекция Gentamicin sulfate 1,6 mg/ml
Инъекция Furosemide 0,8 mg/ml
Глюкоза 5% 367
Немедленные осадки несовместимый
Инъекция Gentamicin sulfate 1,6 mg/ml
Инъекция Furosemide 0,8 mg/ml
Натрия хлорид 0,9% 367
Немедленная мутность несовместимый
Инъекция Gentamicin sulfate 6.4 mg/ml
Инъекция Furosemide 5 mg/ml
805
Осадки через 2 часа несовместимый
Инъекция Gentamicin sulfate 8 mg/ml
Инъекция Furosemide 1 mg/ml
Натрия хлорид 0,9% 1232
совместимый
Инъекция Gentamicin sulfate 5 mg/ml
Инъекция Gemcitabine hydrochloride 10 mg/ml
Натрия хлорид 0,9% 1423
совместимый
Инъекция Gentamicin sulfate 1.5 mg/ml
Инъекция Granisetron hydrochloride 1 mg/ml
Натрия хлорид 0,9% 57
совместимый
Инъекция Gentamicin sulfate 1 & 2 mg/ml
Инъекция Heparin sodium 2500 UI/ml
4612
Немедленные осадки несовместимый
Инъекция Gentamicin sulfate 4 >> 40 mg/ml
Инъекция Heparin sodium 10 >> 40 UI/ml
1258
Немедленные осадки несовместимый
Инъекция Gentamicin sulfate
Инъекция Heparin sodium
1022
Неопределенная несовместимость несовместимый
Инъекция Gentamicin sulfate 2 mg/ml
Инъекция Heparin sodium 50 UI/ml
Нет 317
Неопределенная несовместимость несовместимый
Инъекция Gentamicin sulfate
Инъекция Heparin sodium
3643
Неопределенная несовместимость несовместимый
Инъекция Gentamicin sulfate
Инъекция Heparin sodium
3520
Неопределенная несовместимость несовместимый
Инъекция Gentamicin sulfate
Инъекция Heparin sodium
3540
Немедленная мутность несовместимый
Инъекция Gentamicin sulfate 3 mg/ml
Инъекция Heparin sodium 2500 UI/ml
4612
Немедленные осадки несовместимый
Инъекция Gentamicin sulfate 4 & 5 mg/ml
Инъекция Heparin sodium 2500 UI/ml
4612
совместимый
Инъекция Gentamicin sulfate 5 mg/ml
Инъекция Hetastarch 60 mg/ml
Конкретные растворителя 1721
Немедленные осадки несовместимый
Инъекция Gentamicin sulfate 0.8 mg/ml
Инъекция Hetastarch 60 mg/ml
Натрия хлорид 0,9% 472
совместимый
Инъекция Gentamicin sulfate 0.8 mg/ml
Инъекция Hydromorphone hydrochloride 0.2 mg/ml
Глюкоза 5% 405
Изменение цвета несовместимый
Инъекция Gentamicin sulfate 3 mg/ml
Инъекция Idarubicin hydrochloride 1 mg/ml
Натрия хлорид 0,9% 491
Немедленные осадки несовместимый
Инъекция Gentamicin sulfate 1 mg/ml
Инъекция Indomethacin sodium trihydrate 0,5 & 1 mg/ml
Глюкоза 5% 494
Осадки через 15 часов несовместимый
Инъекция Gentamicin sulfate 1 mg/ml
Инъекция Indomethacin sodium trihydrate 0,5 & 1 mg/ml
Глюкоза 5% 1745
совместимый
Инъекция Gentamicin sulfate 1.2 >> 2 mg/ml
Инъекция Insulin 0.2 UI/ml
Натрия хлорид 0,9% 129
совместимый
Инъекция Gentamicin sulfate 0.8 mg/ml
Инъекция Iohexol 300 mg I/ml
Нет 1085
Немедленные осадки несовместимый
Инъекция Gentamicin sulfate 0.8 mg/ml
Инъекция Ioxaglate 320 mg I/ml
Нет 1085
совместимый
Инъекция Gentamicin sulfate 5 mg/ml
Инъекция Isavuconazonium sulfate 1.5 mg/ml
Глюкоза 5% 3829
совместимый
Инъекция Gentamicin sulfate 5 mg/ml
Инъекция Isavuconazonium sulfate 1.5 mg/ml
Натрия хлорид 0,9% 3829
совместимый
Инъекция Gentamicin sulfate 40 mg/ml
Инъекция Ketamine hydrochloride 50 mg/ml
2109
совместимый
Инъекция Gentamicin sulfate 0.8 mg/ml
Инъекция Labetalol hydrochloride 1 mg/ml
Глюкоза 5% 386
совместимый
Инъекция Gentamicin sulfate 5 mg/ml
Инъекция Lansoprazole 0.55 mg/ml
Натрия хлорид 0,9% 1625
совместимый
Инъекция Gentamicin sulfate 10 mg/ml
Инъекция Levofloxacine 5 mg/ml
Глюкоза 5% 1072
совместимый
Инъекция Gentamicin sulfate 0,75 mg/ml
Инъекция Linezolid 1,80 mg/ml
2353
совместимый
Инъекция Gentamicin sulfate 5 mg/ml
Инъекция Linezolid 2 mg/ml
Нет 1925
совместимый
Инъекция Gentamicin sulfate 3 mg/ml
Инъекция Lorazepam 0.33 mg/ml
Натрия хлорид 0,9% 186
совместимый
Инъекция Gentamicin sulfate 0.8 mg/ml
Инъекция Magnesium sulfate 16.67 >> 100 mg/ml
Глюкоза 5% 1047
совместимый
Инъекция Gentamicin sulfate 5 mg/ml
Инъекция Melphalan 0.1 mg/ml
Натрия хлорид 0,9% 169
совместимый
Инъекция Gentamicin sulfate 40 mg/ml
Инъекция Meropenem 50 mg/ml
Вода для инъекций 4319
совместимый
Инъекция Gentamicin sulfate 0.8 mg/ml
Инъекция Meropenem 1 & 20 mg/ml
Натрия хлорид 0,9% 266
совместимый
Инъекция Gentamicin sulfate 4 mg/ml
Инъекция Meropenem 1 & 50 mg/ml
Натрия хлорид 0,9% 266
совместимый
Инъекция Gentamicin sulfate 30 mg/ml
Инъекция Meropenem 10 mg/ml
Натрия хлорид 0,9% 2335
совместимый
Инъекция Gentamicin sulfate 0,8 & 1,2 mg/ml
Инъекция Metronidazole 5 mg/ml
Нет 1243
совместимый
Инъекция Gentamicin sulfate 0.8 mg/ml
Инъекция Metronidazole 5 mg/ml
Нет 1035
совместимый
Инъекция Gentamicin sulfate
Инъекция Metronidazole
3594
совместимый
Инъекция Gentamicin sulfate 3 mg/ml
Инъекция Midazolam hydrochloride 5 mg/ml
Нет 186
совместимый
Инъекция Gentamicin sulfate 10 mg/ml
Инъекция Midazolam hydrochloride 1 mg/ml
Глюкоза 5% 176
совместимый
Инъекция Gentamicin sulfate 0.8 mg/ml
Инъекция Midazolam hydrochloride 0.05 >> 0.4 mg/ml
Натрия хлорид 0,9% 1888
Неопределенная несовместимость несовместимый
Инъекция Gentamicin sulfate
Инъекция Mitomycin
4471
Химическая нестабильность несовместимый
Инъекция Gentamicin sulfate
Инъекция Mitomycin
3128
совместимый
Инъекция Gentamicin sulfate 1.2 & 2 mg/ml
Инъекция Morphine sulfate 1 mg/ml
Натрия хлорид 0,9% 406
совместимый
Инъекция Gentamicin sulfate 0.8 mg/ml
Инъекция Morphine sulfate 1 mg/ml
Глюкоза 5% 405
Неопределенная несовместимость несовместимый
Инъекция Gentamicin sulfate
Инъекция Moxalactam
3643
Неопределенная несовместимость несовместимый
Инъекция Gentamicin sulfate
Инъекция Moxalactam
3520
совместимый
Инъекция Gentamicin sulfate 40 mg/ml
Инъекция N-acetylcysteine 200 mg/ml
Нет 3766
Неопределенная несовместимость несовместимый
Инъекция Gentamicin sulfate
Инъекция Nadroparin
3643
Неопределенная несовместимость несовместимый
Инъекция Gentamicin sulfate
Инъекция Nafcillin sodium
3643
Неопределенная несовместимость несовместимый
Инъекция Gentamicin sulfate
Инъекция Nafcillin sodium
3520
совместимый
Инъекция Gentamicin sulfate 40 mg/ml
Инъекция Naloxone hydrochloride 0.4 mg/ml
Нет 3408
совместимый
Инъекция Gentamicin sulfate 4.17 mg/ml
Инъекция Nefopam 0.16 mg/ml
Натрия хлорид 0,9% 4254
совместимый
Инъекция Gentamicin sulfate 4.17 mg/ml
Инъекция Nefopam 0.16 mg/ml
Глюкоза 5% 4254
совместимый
Инъекция Gentamicin sulfate 0.8 mg/ml
Инъекция Nicardipine hydrochloride 0.1 mg/ml
Глюкоза 5% 1490
совместимый
Инъекция Gentamicin sulfate 0.8 mg/ml
Инъекция Nicardipine hydrochloride 0.1 mg/ml
Натрия хлорид 0,9% 1490
совместимый
Инъекция Gentamicin sulfate 0,8 mg/ml
Инъекция Ofloxacin 2 mg/ml
Нет 889
совместимый
Инъекция Gentamicin sulfate 5 mg/ml
Инъекция Ondansetron hydrochloride 1 mg/ml
Натрия хлорид 0,9% 334
совместимый
Инъекция Gentamicin sulfate 5 mg/ml
Инъекция Oritavancin 0.8 >>2 mg/ml
Глюкоза 5% 3152
Неопределенная несовместимость несовместимый
Инъекция Gentamicin sulfate
Инъекция Oxacillin sodium
3643
Неопределенная несовместимость несовместимый
Инъекция Gentamicin sulfate
Инъекция Oxacillin sodium
3520
совместимый
Инъекция Gentamicin sulfate 40 mg/ml
Инъекция Oxycodone hydrochloride 1 mg/ml
Натрия хлорид 0,9% 4842
совместимый
Инъекция Gentamicin sulfate 5 mg/ml
Инъекция Paclitaxel 1.2 mg/ml
Глюкоза 5% 248
совместимый
Инъекция Gentamicin sulfate 5 mg/ml
Инъекция Palonosetron hydrochloride 50 µg/ml
Глюкоза 5% 2228
совместимый
Инъекция Gentamicin sulfate 2 mg/ml
Инъекция Pancuronium bromide 0.05 mg/ml
Глюкоза 5% 402
Немедленные осадки несовместимый
Инъекция Gentamicin sulfate
Инъекция Pantoprazole sodium
2090
совместимый
Инъекция Gentamicin sulfate 40 mg/ml
Инъекция Paracetamol 10 mg/ml
4742
Немедленные осадки несовместимый
Инъекция Gentamicin sulfate 5 mg/ml
Инъекция Pemetrexed disodium 20 mg/ml
1953
Неопределенная несовместимость несовместимый
Инъекция Gentamicin sulfate
Инъекция Penicillin G potassium
3643
Неопределенная несовместимость несовместимый
Инъекция Gentamicin sulfate
Инъекция Penicillin G potassium
3520
Неопределенная несовместимость несовместимый
Инъекция Gentamicin sulfate
Инъекция Penicillin G sodium
3643
Неопределенная несовместимость несовместимый
Инъекция Gentamicin sulfate
Инъекция Penicillin G sodium
3520
совместимый
Инъекция Gentamicin sulfate 10 mg/ml
Инъекция Pentoxifyllin 5 mg/ml
Натрия хлорид 0,9% 4543
совместимый
Инъекция Gentamicin sulfate 0.8 mg/ml
Инъекция Pethidine hydrochloride 10 mg/ml
Глюкоза 5% 405
Немедленные осадки несовместимый
Инъекция Gentamicin sulfate 10 mg/ml
Инъекция Phenytoin sodium 50 mg/ml
789
совместимый
Инъекция Gentamicin sulfate 20 mg/ml
Инъекция Phloroglucinol 2,5 mg/ml
3791
Неопределенная несовместимость несовместимый
Инъекция Gentamicin sulfate
Инъекция Piperacillin sodium
3520
Неопределенная несовместимость несовместимый
Инъекция Gentamicin sulfate
Инъекция Piperacillin sodium
3643
Неопределенная несовместимость несовместимый
Инъекция Gentamicin sulfate
Инъекция Piperacillin sodium / tazobactam
3520
Химическая нестабильность несовместимый
Инъекция Gentamicin sulfate
Инъекция Piperacillin sodium / tazobactam
3586
Неопределенная несовместимость несовместимый
Инъекция Gentamicin sulfate
Инъекция Piperacillin sodium / tazobactam
3643
совместимый
Инъекция Gentamicin sulfate
Инъекция Posaconazole
4380
совместимый
Инъекция Gentamicin sulfate 30 mg/ml
Инъекция Potassium chloride 20 mEq/l
NaCl 0,45% Глюкоза 5% 2335
Немедленная нестабильность эмульсии несовместимый
Инъекция Gentamicin sulfate 2 mg/ml
Инъекция Propofol
660
Неопределенная несовместимость несовместимый
Инъекция Gentamicin sulfate 40 mg/ml
Инъекция Propofol
4524
Немедленные осадки несовместимый
Инъекция Gentamicin sulfate 5 mg/ml
Инъекция Propofol 10 mg/ml
Нет 300
совместимый
Инъекция Gentamicin sulfate 5 mg/ml
Инъекция Remifentanil hydrochloride 25 & 250 µg/ml
Натрия хлорид 0,9% 59
совместимый
Инъекция Gentamicin sulfate 40 mg/ml
Инъекция Salbutamol sulfate 1 mg/ml
Нет 3216
совместимый
Инъекция Gentamicin sulfate 5 mg/ml
Инъекция Sargramostim 10 µg/ml
Натрия хлорид 0,9% 335
совместимый
Инъекция Gentamicin sulfate 10 mg/ml
Инъекция Sildenafil citrate 0,6 mg/ml
Глюкоза 5% 4845
совместимый
Инъекция Gentamicin sulfate 2,4 mg/ml
Инъекция Sodium bicarbonate 40 mg/ml
Нет 3122
Производство пузырьков газа несовместимый
Инъекция Gentamicin sulfate
Инъекция Sodium bicarbonate
3643
совместимый
Инъекция Gentamicin sulfate 2.5 mg/ml
Инъекция Sodium citrate 40 mg/ml
Вода для инъекций 3952
совместимый
Инъекция Gentamicin sulfate 40 mg/ml
Инъекция Sugammadex 100 mg/ml
Нет 3372
совместимый
Инъекция Gentamicin sulfate 5 mg/ml
Инъекция Sulbactam/durlobactam 15/15 mg/ml
Натрия хлорид 0,9% 4801
совместимый
Инъекция Gentamicin sulfate 4 mg/ml
Инъекция Tacrolimus 1000 µg/ml
Натрия хлорид 0,9% 479
совместимый
Инъекция Gentamicin sulfate
Натрия хлорид 0,9% 1704
совместимый
Инъекция Gentamicin sulfate
Натрия хлорид 0,9% 434
Неопределенная несовместимость несовместимый
Инъекция Gentamicin sulfate
Инъекция Sodium bicarbonate
3520
совместимый
Инъекция Gentamicin sulfate 1 >> 5 mg/ml
Инъекция Sodium citrate 40 mg/ml
Нет 2019
Немедленная мутность несовместимый
Инъекция Gentamicin sulfate 5 mg/ml
Инъекция Tedizolid phosphate 0.8 mg/ml
Натрия хлорид 0,9% 3827
Неопределенная несовместимость несовместимый
Инъекция Gentamicin sulfate
Инъекция Teicoplanine
3656
совместимый
Инъекция Gentamicin sulfate 5 mg/ml
Инъекция Telavancin hydrochloride 7.5 mg/ml
Раствор Рингера лактата 3254
совместимый
Инъекция Gentamicin sulfate 5 mg/ml
Инъекция Telavancin hydrochloride 7.5 mg/ml
Натрия хлорид 0,9% 3254
совместимый
Инъекция Gentamicin sulfate 5 mg/ml
Инъекция Telavancin hydrochloride 7.5 mg/ml
Глюкоза 5% 3254
совместимый
Инъекция Gentamicin sulfate 6 mg/ml
Инъекция Temocilline 83.33 mg/ml
Вода для инъекций 2231
Неопределенная несовместимость несовместимый
Инъекция Gentamicin sulfate
Инъекция Temocilline
3643
Неопределенная несовместимость несовместимый
Инъекция Gentamicin sulfate
Инъекция Temocilline
3520
Неопределенная несовместимость несовместимый
Инъекция Gentamicin sulfate
Инъекция Temocilline
2296
совместимый
Инъекция Gentamicin sulfate 5 mg/ml
Инъекция Teniposide 0.1 mg/ml
Глюкоза 5% 905
совместимый
Инъекция Gentamicin sulfate 2 mg/ml
Инъекция Theophylline 4 mg/ml
Нет 317
Немедленные осадки несовместимый
Инъекция Gentamicin sulfate 40 mg/ml
Инъекция Thiopental sodium 25 mg/ml
Натрия хлорид 0,9% 3767
совместимый
Инъекция Gentamicin sulfate 5 mg/ml
Инъекция Thiotepa 1 mg/ml
Глюкоза 5% 249
Химическая нестабильность несовместимый
Инъекция Gentamicin sulfate
Инъекция Ticarcillin / clavulanic acid
3587
Неопределенная несовместимость несовместимый
Инъекция Gentamicin sulfate
Инъекция Ticarcillin / clavulanic acid
3643
Неопределенная несовместимость несовместимый
Инъекция Gentamicin sulfate
Инъекция Ticarcillin / clavulanic acid
3520
совместимый
Инъекция Gentamicin sulfate
Инъекция Tigecycline
Натрия хлорид 0,9% 3332
совместимый
Инъекция Gentamicin sulfate 6 mg/ml
Инъекция Vancomycin hydrochloride 10 mg/ml
Глюкоза 5% 3385
совместимый
Инъекция Gentamicin sulfate 1.2 mg/ml
Инъекция Vasopressin 0.2 UI/ml
Натрия хлорид 0,9% 2017
совместимый
Инъекция Gentamicin sulfate 2 mg/ml
Инъекция Vecuronium bromide 0.1 mg/ml
Глюкоза 5% 402
совместимый
Инъекция Gentamicin sulfate 0.16 mg/ml
Инъекция Verapamil hydrochloride 0.08 mg/ml
Глюкоза 5% 1057
совместимый
Инъекция Gentamicin sulfate 0.16 mg/ml
Инъекция Verapamil hydrochloride 0.08 mg/ml
Натрия хлорид 0,9% 1057
совместимый
Инъекция Gentamicin sulfate 5 mg/ml
Инъекция Vinorelbine tartrate 1 mg/ml
Натрия хлорид 0,9% 84
Немедленная мутность несовместимый
Инъекция Gentamicin sulfate 1.6 mg/ml
Инъекция Warfarin sodium 2 mg/ml
Глюкоза 5% 315
совместимый
Инъекция Gentamicin sulfate 2 mg/ml
Инъекция Zidovudine 4 mg/ml
Глюкоза 5% 337

  Mentions Légales