Last update :
27/04/2026
Antibiotic   Gentamicin sulfate  
injection
Eye-drops
Stability in solutions Stability of mixtures Factors which affect stability Compatibility Route of administration References pdf
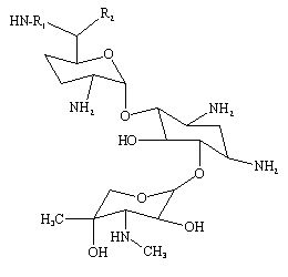
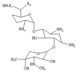
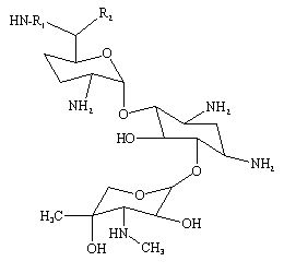
   Chemical structure  

Tradename   Tradename     

Trade names are indicative and excipients composition can be different depending on the country and manufacturers

Azupel Peru
Cidomycin Egypt, Great Britain, Tunisia
Dabroson Greece
Epigent Egypt
Garalone Portugal
Garamicina Brazil, Colombia, Ecuador, Mexico
Garamycin Croatia, Denmark, Egypt, Greece, India, Netherlands, Norway, Poland, Switzerland, United Arab Emirates
Genmisin Turkey
Gensif Turkey
Gensumycin Finland, Norway, Sweden
Genta-Gobens Spain
Gentalline Morocco
Gentamen Morocco
Genticin Great Britain, Ireland, United Arab Emirates
Gentreks Turkey
Hexamycin Denmark
Plurisemina Argentina
Refobacin Austria, Colombia, Egypt, Germany
Rupegen Argentina
Compatibility   injection   Compatibility : Gentamicin sulfate              
This screen indicates the compatibilities or incompatibilities with, in this case, the type of incompatibility (precipitation, color change, modification of an emulsion, etc.). The compatibilities shown here are mostly physical only, with the chemical stability of each molecule rarely being assessed. The evaluation of these mixtures was studied to consider the possibility of Y-site administration to the patient. These data cannot be used for making mixtures in advance in bags or syringes. This type of information is available in the screen "Stability in mixture ».
Compound Solvent References
Compatible
injection Gentamicin sulfate 1.6 mg/ml
injection Aciclovir sodium 5 mg/ml
Glucose 5% 336
Immediate precipitation Incompatible
injection Gentamicin sulfate 30 mg/ml
injection Aciclovir sodium 5 mg/ml
Sodium chloride 0,9% 2335
Precipitation after 1 hour Incompatible
injection Gentamicin sulfate 5 mg/ml
injection Allopurinol sodium 3 mg/ml
Sodium chloride 0,9% 307
Compatible
injection Gentamicin sulfate 1 mg/ml
injection Alprostadil 15 µg/ml
3201
Compatible
injection Gentamicin sulfate 5 mg/ml
injection Amifostine 10 mg/ml
Glucose 5% 3
Compatible
injection Gentamicin sulfate 0.8 mg/ml
injection Amiodarone hydrochloride 4 mg/ml
Sodium chloride 0,9% 385
Compatible
injection Gentamicin sulfate 0.8 mg/ml
injection Amiodarone hydrochloride 4 mg/ml
Glucose 5% 385
Unspecified incompatibility Incompatible
injection Gentamicin sulfate
injection Amoxicillin sodium
3643
Unspecified incompatibility Incompatible
injection Gentamicin sulfate
injection Amoxicillin sodium
3520
Chemical instability Incompatible
injection Gentamicin sulfate
injection Amoxicillin sodium
3527
Unspecified incompatibility Incompatible
injection Gentamicin sulfate
injection Amoxicillin sodium / clavulanic acid
3643
Unspecified incompatibility Incompatible
injection Gentamicin sulfate
injection Amoxicillin sodium / clavulanic acid
3545
Unspecified incompatibility Incompatible
injection Gentamicin sulfate
injection Amoxicillin sodium / clavulanic acid
3520
Compatible
injection Gentamicin sulfate 40 mg/ml
injection Amoxicillin sodium / clavulanic acid 100/10 mg/ml
3824
Immediate precipitation Incompatible
injection Gentamicin sulfate 5 mg/ml
injection Amphotericin B cholesteryl sulfate complex 0,83 mg/ml
Glucose 5% 921
Unspecified incompatibility Incompatible
injection Gentamicin sulfate
injection Ampicillin sodium
3643
Unspecified incompatibility Incompatible
injection Gentamicin sulfate
injection Ampicillin sodium
3520
Unspecified incompatibility Incompatible
injection Gentamicin sulfate
injection Ampicillin sodium - sulbactam sodium
3643
Unspecified incompatibility Incompatible
injection Gentamicin sulfate
injection Ampicillin sodium - sulbactam sodium
3520
Compatible
injection Gentamicin sulfate 5 mg/ml
injection Amsacrine 1 mg/ml
Glucose 5% 253
Compatible
injection Gentamicin sulfate 5 mg/ml
injection Anidulafungin 0.5 mg/ml
Glucose 5% 1982
Compatible
injection Gentamicin sulfate 0,8 mg/ml
injection Atosiban 0,75 mg/ml
4642
Compatible
injection Gentamicin sulfate 2 mg/ml
injection Atracurium besylate 0.5 mg/ml
Glucose 5% 402
Immediate precipitation Incompatible
injection Gentamicin sulfate 21 mg/ml
injection Azithromycine 2 mg/ml
Sodium chloride 0,9% 1800
Compatible
injection Gentamicin sulfate 5 mg/ml
injection Aztreonam 40 mg/ml
Glucose 5% 99
Compatible
injection Gentamicin sulfate 0.2 & 0.8 mg/ml
injection Aztreonam 10 & 20 mg/ml
Sodium chloride 0,9% 19
Compatible
injection Gentamicin sulfate 0.2 & 0.8 mg/ml
injection Aztreonam 10 & 20 mg/ml
Glucose 5% 19
Compatible
injection Gentamicin sulfate 5 mg/ml
injection Bivalirudin 5 mg/ml
Glucose 5% 1713
Compatible
injection Gentamicin sulfate 10 mg/ml
injection Caffeine 10 mg/ml
None 3964
Compatible
injection Gentamicin sulfate 10 mg/ml
injection Caffeine 10 mg/ml
Sodium chloride 0,9% 4837
Compatible
injection Gentamicin sulfate 10 mg/ml
injection Caffeine citrate 20 mg/ml
Sodium chloride 0,9% 4837
Unspecified incompatibility Incompatible
injection Gentamicin sulfate
injection Calcium gluconate
3644
Incompatible
injection Gentamicin sulfate
injection Calcium gluconate
4964
Compatible
injection Gentamicin sulfate 5 mg/ml
injection Caspofungin acetate 0,7 mg/ml
Sodium chloride 0,9% 2247
Unspecified incompatibility Incompatible
injection Gentamicin sulfate
injection Cefalotin sodium
3520
Unspecified incompatibility Incompatible
injection Gentamicin sulfate
injection Cefalotin sodium
3643
Immediate precipitation Incompatible
injection Gentamicin sulfate
injection Cefamandole nafate 2 >> 100 mg/ml
Glucose 5% 612
Unspecified incompatibility Incompatible
injection Gentamicin sulfate
injection Cefamandole nafate
3643
Unspecified incompatibility Incompatible
injection Gentamicin sulfate
injection Cefamandole nafate
3520
Unspecified incompatibility Incompatible
injection Gentamicin sulfate
injection Cefamandole nafate
3546
Immediate precipitation Incompatible
injection Gentamicin sulfate
injection Cefamandole nafate 2 >> 100 mg/ml
Sodium chloride 0,9% 612
Unspecified incompatibility Incompatible
injection Gentamicin sulfate
injection Cefazolin sodium
3520
Unspecified incompatibility Incompatible
injection Gentamicin sulfate
injection Cefazolin sodium
3643
Unspecified incompatibility Incompatible
injection Gentamicin sulfate
injection Cefepime dihydrochloride
3520
Compatible
injection Gentamicin sulfate 6 mg/ml
injection Cefepime dihydrochloride 125 mg/ml
Water for Injection 2141
Unspecified incompatibility Incompatible
injection Gentamicin sulfate
injection Cefepime dihydrochloride
3548
Unspecified incompatibility Incompatible
injection Gentamicin sulfate
injection Cefepime dihydrochloride
3643
Compatible
injection Gentamicin sulfate 5 mg/ml
injection Cefiderocol sulfate tosylate 20 mg/mL
Glucose 5% 4528
Compatible
injection Gentamicin sulfate 5 mg/ml
injection Cefiderocol sulfate tosylate 20 mg/mL
Sodium chloride 0,9% 4528
Unspecified incompatibility Incompatible
injection Gentamicin sulfate
injection Cefmenoxime
3520
Unspecified incompatibility Incompatible
injection Gentamicin sulfate
injection Cefmenoxime
3643
Unspecified incompatibility Incompatible
injection Gentamicin sulfate
injection Cefmetazole sodium
3520
Unspecified incompatibility Incompatible
injection Gentamicin sulfate
injection Cefmetazole sodium
3643
Unspecified incompatibility Incompatible
injection Gentamicin sulfate
injection Cefonicid sodium
3643
Unspecified incompatibility Incompatible
injection Gentamicin sulfate
injection Cefonicid sodium
3520
Unspecified incompatibility Incompatible
injection Gentamicin sulfate
injection Cefoperazone sodium
3544
Unspecified incompatibility Incompatible
injection Gentamicin sulfate
injection Cefoperazone sodium
3643
Immediate precipitation Incompatible
injection Gentamicin sulfate 0.8 mg/ml
injection Cefoperazone sodium 10 mg/ml
Glucose 5% 1206
Unspecified incompatibility Incompatible
injection Gentamicin sulfate
injection Cefoperazone sodium
3520
Unspecified incompatibility Incompatible
injection Gentamicin sulfate
injection Ceforanide
3643
Unspecified incompatibility Incompatible
injection Gentamicin sulfate
injection Ceforanide
3520
Unspecified incompatibility Incompatible
injection Gentamicin sulfate
injection Cefotaxime sodium
3520
Unspecified incompatibility Incompatible
injection Gentamicin sulfate
injection Cefotaxime sodium
3643
Unspecified incompatibility Incompatible
injection Gentamicin sulfate
injection Cefoxitin sodium
3643
Unspecified incompatibility Incompatible
injection Gentamicin sulfate
injection Cefoxitin sodium
3520
Compatible
injection Gentamicin sulfate 1 mg/ml
injection Cefpirome sulfate 50 mg/ml
Sodium chloride 0,9% 280
Compatible
injection Gentamicin sulfate 1 mg/ml
injection Cefpirome sulfate 50 mg/ml
Ringer’s lactate solution 280
Compatible
injection Gentamicin sulfate 1 mg/ml
injection Cefpirome sulfate 50 mg/ml
Sodium chloride 0,45% 280
Unspecified incompatibility Incompatible
injection Gentamicin sulfate
injection Cefpirome sulfate
3643
Unspecified incompatibility Incompatible
injection Gentamicin sulfate
injection Cefpirome sulfate
3677
Compatible
injection Gentamicin sulfate 1 mg/ml
injection Cefpirome sulfate 50 mg/ml
Glucose 5% 280
Unspecified incompatibility Incompatible
injection Gentamicin sulfate
injection Cefpirome sulfate
3520
Compatible
injection Gentamicin sulfate 5 mg/ml
injection Ceftaroline fosamil 2,22 mg/ml
Sodium chloride 0,9% 3249
Compatible
injection Gentamicin sulfate 5 mg/ml
injection Ceftaroline fosamil 2,22 mg/ml
Ringer’s lactate solution 3249
Compatible
injection Gentamicin sulfate 5 mg/ml
injection Ceftaroline fosamil 2,22 mg/ml
Glucose 5% 3249
Unspecified incompatibility Incompatible
injection Gentamicin sulfate
injection Ceftaroline fosamil
3643
Unspecified incompatibility Incompatible
injection Gentamicin sulfate
injection Ceftaroline fosamil
3520
Unspecified incompatibility Incompatible
injection Gentamicin sulfate
injection Ceftazidime
3543
Unspecified incompatibility Incompatible
injection Gentamicin sulfate
injection Ceftazidime
3520
Unspecified incompatibility Incompatible
injection Gentamicin sulfate
injection Ceftazidime
3643
Compatible
injection Gentamicin sulfate 6 mg/ml
injection Ceftazidime 125 mg/ml
Water for Injection 2141
Compatible
injection Gentamicin sulfate 6 mg/ml
injection Ceftazidime 83.3 mg/ml
1759
Unspecified incompatibility Incompatible
injection Gentamicin sulfate
injection Ceftazidime
3883
Unspecified incompatibility Incompatible
injection Gentamicin sulfate
injection Ceftazidime Avibactam
3520
Unspecified incompatibility Incompatible
injection Gentamicin sulfate
injection Ceftazidime Avibactam
3643
Unspecified incompatibility Incompatible
injection Gentamicin sulfate
injection Ceftizoxime sodium
3643
Unspecified incompatibility Incompatible
injection Gentamicin sulfate
injection Ceftizoxime sodium
3520
Unspecified incompatibility Incompatible
injection Gentamicin sulfate
injection Ceftobiprole medocaril sodium
3643
Unspecified incompatibility Incompatible
injection Gentamicin sulfate
injection Ceftobiprole medocaril sodium
4650
Immediate precipitation Incompatible
injection Gentamicin sulfate 5 mg/ml
injection Ceftobiprole medocaril sodium 2 mg/ml
Glucose 5% 2269
Immediate precipitation Incompatible
injection Gentamicin sulfate 5 mg/ml
injection Ceftobiprole medocaril sodium 2 mg/ml
Ringer’s lactate solution 2269
Immediate precipitation Incompatible
injection Gentamicin sulfate 5 mg/ml
injection Ceftobiprole medocaril sodium 2 mg/ml
Sodium chloride 0,9% 2269
Unspecified incompatibility Incompatible
injection Gentamicin sulfate
injection Ceftobiprole medocaril sodium
3520
Compatible
injection Gentamicin sulfate 5 mg/ml
injection Ceftolozane / tazobactam 10/5 mg/ml
Glucose 5% 3828
Unspecified incompatibility Incompatible
injection Gentamicin sulfate
injection Ceftolozane / tazobactam
3643
Unspecified incompatibility Incompatible
injection Gentamicin sulfate
injection Ceftolozane / tazobactam
3520
Compatible
injection Gentamicin sulfate 5 mg/ml
injection Ceftolozane / tazobactam 10/5 mg/ml
Sodium chloride 0,9% 3828
Unspecified incompatibility Incompatible
injection Gentamicin sulfate
injection Ceftriaxone disodium
3523
Unspecified incompatibility Incompatible
injection Gentamicin sulfate
injection Ceftriaxone disodium
3643
Unspecified incompatibility Incompatible
injection Gentamicin sulfate
injection Ceftriaxone disodium
3520
Unspecified incompatibility Incompatible
injection Gentamicin sulfate
injection Cefuroxime sodium
3643
Unspecified incompatibility Incompatible
injection Gentamicin sulfate
injection Cefuroxime sodium
3520
Unspecified incompatibility Incompatible
injection Gentamicin sulfate
injection Cefuroxime sodium
3687
Unspecified incompatibility Incompatible
injection Gentamicin sulfate
injection Cefuzonam
3520
Compatible
injection Gentamicin sulfate 0.8 mg/ml
injection Cimetidine hydrochloride 3 mg/ml
Glucose 5% 1201
Compatible
injection Gentamicin sulfate 0.08 mg/ml
injection Cimetidine hydrochloride 1.2 & 5 mg/ml
Sodium chloride 0,9% 1201
Compatible
injection Gentamicin sulfate 0.08 mg/ml
injection Cimetidine hydrochloride 1.2 & 5 mg/ml
Glucose 5% 1201
Compatible
injection Gentamicin sulfate 10 mg/ml
injection Ciprofloxacin lactate 2 mg/ml
Sodium chloride 0,9% 289
Compatible
injection Gentamicin sulfate 1.6 mg/ml
injection Ciprofloxacin lactate 2 mg/ml
Glucose 5% 285
Compatible
injection Gentamicin sulfate 5 mg/ml
injection Cisatracurium besylate 0.1 >> 5 mg/ml
Glucose 5% 299
Chemical instability Incompatible
injection Gentamicin sulfate
injection Cisplatin
3578
Compatible
injection Gentamicin sulfate 12 mg/ml
injection Clindamycin phosphate 90 mg/ml
Sodium chloride 0,9% 639
Compatible
injection Gentamicin sulfate 0.67 mg/ml
injection Clindamycin phosphate 6 mg/ml
Glucose 5% 423
Compatible
injection Gentamicin sulfate
Glucose 5% 434
Unspecified incompatibility Incompatible
injection Gentamicin sulfate
injection Cefuzonam
3643
Compatible
injection Gentamicin sulfate 1 mg/ml
injection Ciprofloxacin lactate 1.5 mg/ml
Sodium chloride 0,9% 434
Compatible
injection Gentamicin sulfate 1.6 mg/ml
injection Ciprofloxacin lactate 2 mg/ml
Glucose 5% 288
Compatible
injection Gentamicin sulfate 1.6 mg/ml
injection Ciprofloxacin lactate 2 mg/ml
Sodium chloride 0,9% 288
Compatible
injection Gentamicin sulfate 1 mg/ml
injection Ciprofloxacin lactate 1.5 mg/ml
Glucose 5% 434
Compatible
injection Gentamicin sulfate
injection Clindamycin phosphate
Sodium chloride 0,9% 3526
Immediate precipitation Incompatible
injection Gentamicin sulfate 40 mg/ml
injection Cloxacillin sodium 100 mg/ml
Water for Injection 3012
Compatible
injection Gentamicin sulfate 15 mg/ml
injection Cytarabine 16 mg/ml
Sodium chloride 0,9% 132
Incompatible
injection Gentamicin sulfate 2 & 10 mg/ml
Parenteral nutrition (with lipids) 4924
Compatible
injection Gentamicin sulfate
injection Clindamycin phosphate
Glucose 5% 3526
Unspecified incompatibility Incompatible
injection Gentamicin sulfate
injection Cloxacillin sodium
3520
Unspecified incompatibility Incompatible
injection Gentamicin sulfate
injection Cytarabine
3580
Compatible
injection Gentamicin sulfate 1,5 mg/ml
injection Daptomycin 19,2 mg/ml
Sodium chloride 0,9% 1937
Compatible
injection Gentamicin sulfate 0,05 mg/ml
Parenteral nutrition (binary mixture) 4445
Unspecified incompatibility Incompatible
injection Gentamicin sulfate
injection Cloxacillin sodium
3643
Instability of the emulsion after 4 hours Incompatible
injection Gentamicin sulfate 2 mg/ml
Parenteral nutrition (with lipids) 4507
Unspecified incompatibility Incompatible
injection Gentamicin sulfate
injection Dalteparin sodium
3643
Compatible
injection Gentamicin sulfate
injection Daptomycin
2271
Compatible
injection Gentamicin sulfate 10 mg/ml
Parenteral nutrition (binary mixture) 316
Compatible
injection Gentamicin sulfate
injection Dimenhydrinate
2087
Compatible
injection Gentamicin sulfate 10 & 40 mg/ml
Parenteral nutrition (binary mixture) 999
Subvisual incompatibility Incompatible
injection Gentamicin sulfate
injection Daunorubicin/cytarabine liposomale
4354
Compatible
injection Gentamicin sulfate 1 mg/ml
Parenteral nutrition (binary mixture) 939
Immediate turbidity Incompatible
injection Gentamicin sulfate
injection Daunorubicin/cytarabine liposomale 0,4 mg/mL
Sodium chloride 0,9% 4654
Compatible
injection Gentamicin sulfate 0.8 mg/ml
injection Diatrizoate meglumine 283 mg/ml
None 1085
Compatible
injection Gentamicin sulfate 2.4 & 40 mg/ml
injection Diltiazem hydrochloride 5 mg/ml
Sodium chloride 0,9% 198
Compatible
injection Gentamicin sulfate 5 mg/ml
injection Docetaxel 0.9 mg/ml
Glucose 5% 1754
Unspecified incompatibility Incompatible
injection Gentamicin sulfate
injection Dopamine hydrochloride
3638
Compatible
injection Gentamicin sulfate 5 mg/ml
Parenteral nutrition (binary mixture) 301
Compatible
injection Gentamicin sulfate 5 mg/ml
injection Doripenem 5 mg/ml
Sodium chloride 0,9% 2262
Unspecified incompatibility Incompatible
injection Gentamicin sulfate
NaHCO3 3520
Compatible
injection Gentamicin sulfate 2 mg/ml
injection Dopamine hydrochloride 0.8 mg/ml
Glucose 5% 738
Production of gas bubbles Incompatible
injection Gentamicin sulfate
NaHCO3 3643
Compatible
injection Gentamicin sulfate 5 mg/ml
injection Dexmedetomidine 4 µg/ml
Sodium chloride 0,9% 1712
Compatible
injection Gentamicin sulfate 5 mg/ml
injection Doripenem 5 mg/ml
Glucose 5% 2262
Compatible
injection Gentamicin sulfate 5 mg/ml
Parenteral nutrition (with lipids) 1415
Compatible
injection Gentamicin sulfate 10 mg/ml
injection Doxapram hydrochloride 2 mg/ml
Glucose 5% 1802
Compatible
injection Gentamicin sulfate 5 mg/ml
injection Doxorubicin hydrochloride liposome peg 0.4 mg/ml
Glucose 5% 251
Compatible
injection Gentamicin sulfate 0.8 mg/ml
injection Enalaprilate 0.05 mg/ml
Sodium chloride 0,9% 1315
Unspecified incompatibility Incompatible
injection Gentamicin sulfate
injection Enoxaparin sodium
3643
Compatible
injection Gentamicin sulfate 5 mg/ml
injection Eravacycline 0,6 mg/ml
Sodium chloride 0,9% 4434
Unspecified incompatibility Incompatible
injection Gentamicin sulfate
injection Erythromycin lactobionate
3674
Unspecified incompatibility Incompatible
injection Gentamicin sulfate
injection Erythromycin lactobionate
3520
Unspecified incompatibility Incompatible
injection Gentamicin sulfate
injection Erythromycin lactobionate
3643
Compatible
injection Gentamicin sulfate 0,8 mg/ml
injection Esmolol hydrochloride 10 mg/ml
Glucose 5% 384
Compatible
injection Gentamicin sulfate 5 mg/ml
injection Etoposide phosphate 5 mg/ml
Glucose 5% 1410
Compatible
injection Gentamicin sulfate 5 mg/ml
injection Famotidine 2 mg/ml
Sodium chloride 0,9% 215
Compatible
injection Gentamicin sulfate 0,8 mg/ml
injection Famotidine
Glucose 5% 397
Compatible
injection Gentamicin sulfate 5 mg/ml
injection Fenoldopam mesylate 80 µg/ml
Sodium chloride 0,9% 1803
Compatible
injection Gentamicin sulfate 10 mg/ml
injection Fentanyl citrate 50 µg/ml
Glucose 5% 63
Compatible
injection Gentamicin sulfate 1.6 mg/ml
injection Filgrastim 40 µg/ml
Glucose 5% 104
Compatible
injection Gentamicin sulfate 5 mg/ml
injection Filgrastim 30 µg/ml
Glucose 5% 244
Unspecified incompatibility Incompatible
injection Gentamicin sulfate
injection Flucloxacillin sodium
3643
Immediate precipitation Incompatible
injection Gentamicin sulfate
injection Flucloxacillin sodium
3522
Compatible
injection Gentamicin sulfate 1 mg/ml
injection Fluconazole 2 mg/ml
None 256
Compatible
injection Gentamicin sulfate 4 mg/ml
injection Fluconazole 2 mg/ml
Sodium chloride 0,9% 496
Compatible
injection Gentamicin sulfate 5 mg/ml
injection Fludarabine phosphate 1 mg/ml
Glucose 5% 492
Compatible
injection Gentamicin sulfate 2 mg/ml
injection Foscarnet sodium 24 mg/ml
Sodium chloride 0,9% 1135
Compatible
injection Gentamicin sulfate 2 mg/ml
injection Foscarnet sodium 24 mg/ml
Glucose 5% 1135
Compatible
injection Gentamicin sulfate 4 mg/ml
injection Foscarnet sodium 24 mg/ml
None 73
Compatible
injection Gentamicin sulfate 10 mg/ml
Ringer’s lactate solution 4603
Compatible
injection Gentamicin sulfate 5 mg/ml
injection Fosfomycin 30 mg/ml
Sodium chloride 0,9% 4055
Immediate precipitation Incompatible
injection Gentamicin sulfate 0,4 mg/ml
Parenteral nutrition (with lipids) 4440
Compatible
injection Gentamicin sulfate 40 mg/ml
Parenteral nutrition (with lipids) 673
Compatible
injection Gentamicin sulfate 5 mg/ml
injection Fosfomycin 30 mg/ml
Glucose 5% 4055
Immediate precipitation Incompatible
injection Gentamicin sulfate 10 mg/ml
injection Furosemide 10 mg/ml
789
Immediate precipitation Incompatible
injection Gentamicin sulfate 1,6 mg/ml
injection Furosemide 0,8 mg/ml
Glucose 5% 367
Immediate precipitation Incompatible
injection Gentamicin sulfate 1,6 mg/ml
injection Furosemide 0,8 mg/ml
Sodium chloride 0,9% 367
Immediate turbidity Incompatible
injection Gentamicin sulfate 6.4 mg/ml
injection Furosemide 5 mg/ml
805
Precipitation after 2 hours Incompatible
injection Gentamicin sulfate 8 mg/ml
injection Furosemide 1 mg/ml
Sodium chloride 0,9% 1232
Compatible
injection Gentamicin sulfate 5 mg/ml
injection Gemcitabine hydrochloride 10 mg/ml
Sodium chloride 0,9% 1423
Compatible
injection Gentamicin sulfate 1.5 mg/ml
injection Granisetron hydrochloride 1 mg/ml
Sodium chloride 0,9% 57
Compatible
injection Gentamicin sulfate 1 & 2 mg/ml
injection Heparin sodium 2500 UI/ml
4612
Immediate precipitation Incompatible
injection Gentamicin sulfate 4 >> 40 mg/ml
injection Heparin sodium 10 >> 40 UI/ml
1258
Immediate precipitation Incompatible
injection Gentamicin sulfate
injection Heparin sodium
1022
Unspecified incompatibility Incompatible
injection Gentamicin sulfate 2 mg/ml
injection Heparin sodium 50 UI/ml
None 317
Unspecified incompatibility Incompatible
injection Gentamicin sulfate
injection Heparin sodium
3643
Unspecified incompatibility Incompatible
injection Gentamicin sulfate
injection Heparin sodium
3520
Unspecified incompatibility Incompatible
injection Gentamicin sulfate
injection Heparin sodium
3540
Immediate turbidity Incompatible
injection Gentamicin sulfate 3 mg/ml
injection Heparin sodium 2500 UI/ml
4612
Immediate precipitation Incompatible
injection Gentamicin sulfate 4 & 5 mg/ml
injection Heparin sodium 2500 UI/ml
4612
Compatible
injection Gentamicin sulfate 5 mg/ml
injection Hetastarch 60 mg/ml
specific solvent 1721
Immediate precipitation Incompatible
injection Gentamicin sulfate 0.8 mg/ml
injection Hetastarch 60 mg/ml
Sodium chloride 0,9% 472
Compatible
injection Gentamicin sulfate 0.8 mg/ml
injection Hydromorphone hydrochloride 0.2 mg/ml
Glucose 5% 405
Color change Incompatible
injection Gentamicin sulfate 3 mg/ml
injection Idarubicin hydrochloride 1 mg/ml
Sodium chloride 0,9% 491
Immediate precipitation Incompatible
injection Gentamicin sulfate 1 mg/ml
injection Indomethacin sodium trihydrate 0,5 & 1 mg/ml
Glucose 5% 494
Precipitation after 15 minutes Incompatible
injection Gentamicin sulfate 1 mg/ml
injection Indomethacin sodium trihydrate 0,5 & 1 mg/ml
Glucose 5% 1745
Compatible
injection Gentamicin sulfate 1.2 >> 2 mg/ml
injection Insulin 0.2 UI/ml
Sodium chloride 0,9% 129
Compatible
injection Gentamicin sulfate 0.8 mg/ml
injection Iohexol 300 mg I/ml
None 1085
Immediate precipitation Incompatible
injection Gentamicin sulfate 0.8 mg/ml
injection Ioxaglate 320 mg I/ml
None 1085
Compatible
injection Gentamicin sulfate 5 mg/ml
injection Isavuconazonium sulfate 1.5 mg/ml
Glucose 5% 3829
Compatible
injection Gentamicin sulfate 5 mg/ml
injection Isavuconazonium sulfate 1.5 mg/ml
Sodium chloride 0,9% 3829
Compatible
injection Gentamicin sulfate 40 mg/ml
injection Ketamine hydrochloride 50 mg/ml
2109
Compatible
injection Gentamicin sulfate 0.8 mg/ml
injection Labetalol hydrochloride 1 mg/ml
Glucose 5% 386
Compatible
injection Gentamicin sulfate 5 mg/ml
injection Lansoprazole 0.55 mg/ml
Sodium chloride 0,9% 1625
Compatible
injection Gentamicin sulfate 10 mg/ml
injection Levofloxacine 5 mg/ml
Glucose 5% 1072
Compatible
injection Gentamicin sulfate 0,75 mg/ml
injection Linezolid 1,80 mg/ml
2353
Compatible
injection Gentamicin sulfate 5 mg/ml
injection Linezolid 2 mg/ml
None 1925
Compatible
injection Gentamicin sulfate 3 mg/ml
injection Lorazepam 0.33 mg/ml
Sodium chloride 0,9% 186
Compatible
injection Gentamicin sulfate 0.8 mg/ml
injection Magnesium sulfate 16.67 >> 100 mg/ml
Glucose 5% 1047
Compatible
injection Gentamicin sulfate 5 mg/ml
injection Melphalan 0.1 mg/ml
Sodium chloride 0,9% 169
Compatible
injection Gentamicin sulfate 40 mg/ml
injection Meropenem 50 mg/ml
Water for Injection 4319
Compatible
injection Gentamicin sulfate 0.8 mg/ml
injection Meropenem 1 & 20 mg/ml
Sodium chloride 0,9% 266
Compatible
injection Gentamicin sulfate 4 mg/ml
injection Meropenem 1 & 50 mg/ml
Sodium chloride 0,9% 266
Compatible
injection Gentamicin sulfate 30 mg/ml
injection Meropenem 10 mg/ml
Sodium chloride 0,9% 2335
Compatible
injection Gentamicin sulfate 0,8 & 1,2 mg/ml
injection Metronidazole 5 mg/ml
None 1243
Compatible
injection Gentamicin sulfate 0.8 mg/ml
injection Metronidazole 5 mg/ml
None 1035
Compatible
injection Gentamicin sulfate
injection Metronidazole
3594
Compatible
injection Gentamicin sulfate 3 mg/ml
injection Midazolam hydrochloride 5 mg/ml
None 186
Compatible
injection Gentamicin sulfate 10 mg/ml
injection Midazolam hydrochloride 1 mg/ml
Glucose 5% 176
Compatible
injection Gentamicin sulfate 0.8 mg/ml
injection Midazolam hydrochloride 0.05 >> 0.4 mg/ml
Sodium chloride 0,9% 1888
Unspecified incompatibility Incompatible
injection Gentamicin sulfate
injection Mitomycin
4471
Chemical instability Incompatible
injection Gentamicin sulfate
injection Mitomycin
3128
Compatible
injection Gentamicin sulfate 1.2 & 2 mg/ml
injection Morphine sulfate 1 mg/ml
Sodium chloride 0,9% 406
Compatible
injection Gentamicin sulfate 0.8 mg/ml
injection Morphine sulfate 1 mg/ml
Glucose 5% 405
Unspecified incompatibility Incompatible
injection Gentamicin sulfate
injection Moxalactam
3643
Unspecified incompatibility Incompatible
injection Gentamicin sulfate
injection Moxalactam
3520
Compatible
injection Gentamicin sulfate 40 mg/ml
injection N-acetylcysteine 200 mg/ml
None 3766
Unspecified incompatibility Incompatible
injection Gentamicin sulfate
injection Nadroparin
3643
Unspecified incompatibility Incompatible
injection Gentamicin sulfate
injection Nafcillin sodium
3643
Unspecified incompatibility Incompatible
injection Gentamicin sulfate
injection Nafcillin sodium
3520
Compatible
injection Gentamicin sulfate 40 mg/ml
injection Naloxone hydrochloride 0.4 mg/ml
None 3408
Compatible
injection Gentamicin sulfate 4.17 mg/ml
injection Nefopam 0.16 mg/ml
Sodium chloride 0,9% 4254
Compatible
injection Gentamicin sulfate 4.17 mg/ml
injection Nefopam 0.16 mg/ml
Glucose 5% 4254
Compatible
injection Gentamicin sulfate 0.8 mg/ml
injection Nicardipine hydrochloride 0.1 mg/ml
Glucose 5% 1490
Compatible
injection Gentamicin sulfate 0.8 mg/ml
injection Nicardipine hydrochloride 0.1 mg/ml
Sodium chloride 0,9% 1490
Compatible
injection Gentamicin sulfate 0,8 mg/ml
injection Ofloxacin 2 mg/ml
None 889
Compatible
injection Gentamicin sulfate 5 mg/ml
injection Ondansetron hydrochloride 1 mg/ml
Sodium chloride 0,9% 334
Compatible
injection Gentamicin sulfate 5 mg/ml
injection Oritavancin 0.8 >>2 mg/ml
Glucose 5% 3152
Unspecified incompatibility Incompatible
injection Gentamicin sulfate
injection Oxacillin sodium
3643
Unspecified incompatibility Incompatible
injection Gentamicin sulfate
injection Oxacillin sodium
3520
Compatible
injection Gentamicin sulfate 40 mg/ml
injection Oxycodone hydrochloride 1 mg/ml
Sodium chloride 0,9% 4842
Compatible
injection Gentamicin sulfate 5 mg/ml
injection Paclitaxel 1.2 mg/ml
Glucose 5% 248
Compatible
injection Gentamicin sulfate 5 mg/ml
injection Palonosetron hydrochloride 50 µg/ml
Glucose 5% 2228
Compatible
injection Gentamicin sulfate 2 mg/ml
injection Pancuronium bromide 0.05 mg/ml
Glucose 5% 402
Immediate precipitation Incompatible
injection Gentamicin sulfate
injection Pantoprazole sodium
2090
Compatible
injection Gentamicin sulfate 40 mg/ml
injection Paracetamol 10 mg/ml
4742
Immediate precipitation Incompatible
injection Gentamicin sulfate 5 mg/ml
injection Pemetrexed disodium 20 mg/ml
1953
Unspecified incompatibility Incompatible
injection Gentamicin sulfate
injection Penicillin G potassium
3643
Unspecified incompatibility Incompatible
injection Gentamicin sulfate
injection Penicillin G potassium
3520
Unspecified incompatibility Incompatible
injection Gentamicin sulfate
injection Penicillin G sodium
3643
Unspecified incompatibility Incompatible
injection Gentamicin sulfate
injection Penicillin G sodium
3520
Compatible
injection Gentamicin sulfate 10 mg/ml
injection Pentoxifyllin 5 mg/ml
Sodium chloride 0,9% 4543
Compatible
injection Gentamicin sulfate 0.8 mg/ml
injection Pethidine hydrochloride 10 mg/ml
Glucose 5% 405
Immediate precipitation Incompatible
injection Gentamicin sulfate 10 mg/ml
injection Phenytoin sodium 50 mg/ml
789
Compatible
injection Gentamicin sulfate 20 mg/ml
injection Phloroglucinol 2,5 mg/ml
3791
Unspecified incompatibility Incompatible
injection Gentamicin sulfate
injection Piperacillin sodium
3520
Unspecified incompatibility Incompatible
injection Gentamicin sulfate
injection Piperacillin sodium
3643
Unspecified incompatibility Incompatible
injection Gentamicin sulfate
injection Piperacillin sodium / tazobactam
3520
Chemical instability Incompatible
injection Gentamicin sulfate
injection Piperacillin sodium / tazobactam
3586
Unspecified incompatibility Incompatible
injection Gentamicin sulfate
injection Piperacillin sodium / tazobactam
3643
Compatible
injection Gentamicin sulfate
injection Posaconazole
4380
Compatible
injection Gentamicin sulfate 30 mg/ml
injection Potassium chloride 20 mEq/l
NaCl 0,45% Glucose 5% 2335
Immediate instability of the emulsion Incompatible
injection Gentamicin sulfate 2 mg/ml
injection Propofol
660
Unspecified incompatibility Incompatible
injection Gentamicin sulfate 40 mg/ml
injection Propofol
4524
Immediate precipitation Incompatible
injection Gentamicin sulfate 5 mg/ml
injection Propofol 10 mg/ml
None 300
Compatible
injection Gentamicin sulfate 5 mg/ml
injection Remifentanil hydrochloride 25 & 250 µg/ml
Sodium chloride 0,9% 59
Compatible
injection Gentamicin sulfate 40 mg/ml
injection Salbutamol sulfate 1 mg/ml
None 3216
Compatible
injection Gentamicin sulfate 5 mg/ml
injection Sargramostim 10 µg/ml
Sodium chloride 0,9% 335
Compatible
injection Gentamicin sulfate 10 mg/ml
injection Sildenafil citrate 0,6 mg/ml
Glucose 5% 4845
Compatible
injection Gentamicin sulfate 2,4 mg/ml
injection Sodium bicarbonate 40 mg/ml
None 3122
Production of gas bubbles Incompatible
injection Gentamicin sulfate
injection Sodium bicarbonate
3643
Compatible
injection Gentamicin sulfate 2.5 mg/ml
injection Sodium citrate 40 mg/ml
Water for Injection 3952
Compatible
injection Gentamicin sulfate 40 mg/ml
injection Sugammadex 100 mg/ml
None 3372
Compatible
injection Gentamicin sulfate 5 mg/ml
injection Sulbactam/durlobactam 15/15 mg/ml
Sodium chloride 0,9% 4801
Compatible
injection Gentamicin sulfate 4 mg/ml
injection Tacrolimus 1000 µg/ml
Sodium chloride 0,9% 479
Compatible
injection Gentamicin sulfate
Sodium chloride 0,9% 1704
Compatible
injection Gentamicin sulfate
Sodium chloride 0,9% 434
Unspecified incompatibility Incompatible
injection Gentamicin sulfate
injection Sodium bicarbonate
3520
Compatible
injection Gentamicin sulfate 1 >> 5 mg/ml
injection Sodium citrate 40 mg/ml
None 2019
Immediate turbidity Incompatible
injection Gentamicin sulfate 5 mg/ml
injection Tedizolid phosphate 0.8 mg/ml
Sodium chloride 0,9% 3827
Unspecified incompatibility Incompatible
injection Gentamicin sulfate
injection Teicoplanine
3656
Compatible
injection Gentamicin sulfate 5 mg/ml
injection Telavancin hydrochloride 7.5 mg/ml
Ringer’s lactate solution 3254
Compatible
injection Gentamicin sulfate 5 mg/ml
injection Telavancin hydrochloride 7.5 mg/ml
Sodium chloride 0,9% 3254
Compatible
injection Gentamicin sulfate 5 mg/ml
injection Telavancin hydrochloride 7.5 mg/ml
Glucose 5% 3254
Compatible
injection Gentamicin sulfate 6 mg/ml
injection Temocilline 83.33 mg/ml
Water for Injection 2231
Unspecified incompatibility Incompatible
injection Gentamicin sulfate
injection Temocilline
3643
Unspecified incompatibility Incompatible
injection Gentamicin sulfate
injection Temocilline
3520
Unspecified incompatibility Incompatible
injection Gentamicin sulfate
injection Temocilline
2296
Compatible
injection Gentamicin sulfate 5 mg/ml
injection Teniposide 0.1 mg/ml
Glucose 5% 905
Compatible
injection Gentamicin sulfate 2 mg/ml
injection Theophylline 4 mg/ml
None 317
Immediate precipitation Incompatible
injection Gentamicin sulfate 40 mg/ml
injection Thiopental sodium 25 mg/ml
Sodium chloride 0,9% 3767
Compatible
injection Gentamicin sulfate 5 mg/ml
injection Thiotepa 1 mg/ml
Glucose 5% 249
Chemical instability Incompatible
injection Gentamicin sulfate
injection Ticarcillin / clavulanic acid
3587
Unspecified incompatibility Incompatible
injection Gentamicin sulfate
injection Ticarcillin / clavulanic acid
3643
Unspecified incompatibility Incompatible
injection Gentamicin sulfate
injection Ticarcillin / clavulanic acid
3520
Compatible
injection Gentamicin sulfate
injection Tigecycline
Sodium chloride 0,9% 3332
Compatible
injection Gentamicin sulfate 6 mg/ml
injection Vancomycin hydrochloride 10 mg/ml
Glucose 5% 3385
Compatible
injection Gentamicin sulfate 1.2 mg/ml
injection Vasopressin 0.2 UI/ml
Sodium chloride 0,9% 2017
Compatible
injection Gentamicin sulfate 2 mg/ml
injection Vecuronium bromide 0.1 mg/ml
Glucose 5% 402
Compatible
injection Gentamicin sulfate 0.16 mg/ml
injection Verapamil hydrochloride 0.08 mg/ml
Glucose 5% 1057
Compatible
injection Gentamicin sulfate 0.16 mg/ml
injection Verapamil hydrochloride 0.08 mg/ml
Sodium chloride 0,9% 1057
Compatible
injection Gentamicin sulfate 5 mg/ml
injection Vinorelbine tartrate 1 mg/ml
Sodium chloride 0,9% 84
Immediate turbidity Incompatible
injection Gentamicin sulfate 1.6 mg/ml
injection Warfarin sodium 2 mg/ml
Glucose 5% 315
Compatible
injection Gentamicin sulfate 2 mg/ml
injection Zidovudine 4 mg/ml
Glucose 5% 337

  Mentions Légales