Ultimo aggiornamento :
27/04/2026
Antibiotico   Gentamicin sulfate  
Iniezione
Collirio
Stabilità in soluzione Stabilità in miscela Fattori che influenzano la stabilità Compatibilità metodo di iniezione Bibliografia pdf
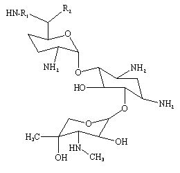
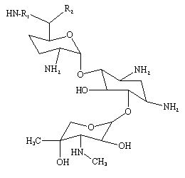
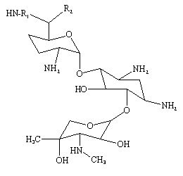
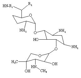
   Struttura chimica  

Nome commerciale   Nome commerciale     

Trade names are indicative and excipients composition can be different depending on the country and manufacturers

Azupel Perù
Cidomycin Egitto, Gran Bretagna, Tunisia
Dabroson Grecia
Epigent Egitto
Garalone Portogallo
Garamicina Brasile, Colombia, Ecuador, Messico
Garamycin Croazia, Danimarca, Egitto, Emirati Arabi Uniti, Grecia, India, Norvegia, Paesi Bassi, Polonia, Svizzera
Genmisin Turchia
Gensif Turchia
Gensumycin Finlandia, Norvegia, Svezia
Genta-Gobens Spagna
Gentalline Marocco
Gentamen Marocco
Genticin Emirati Arabi Uniti, Gran Bretagna, Irlanda
Gentreks Turchia
Hexamycin Danimarca
Plurisemina Argentina
Refobacin Austria, Colombia, Egitto, Germania
Rupegen Argentina
Compatibilità   Iniezione   Compatibilità : Gentamicin sulfate              
explication_incompatibilite_molecules
Molecola Solvente Bibliografia
Compatibile
Iniezione Gentamicin sulfate 1.6 mg/ml
Iniezione Aciclovir sodium 5 mg/ml
Glucosio 5% 336
Precipitazioni immediate Incompatibile
Iniezione Gentamicin sulfate 30 mg/ml
Iniezione Aciclovir sodium 5 mg/ml
Cloruro di sodio 0,9% 2335
Precipitazioni dopo 1 ora Incompatibile
Iniezione Gentamicin sulfate 5 mg/ml
Iniezione Allopurinol sodium 3 mg/ml
Cloruro di sodio 0,9% 307
Compatibile
Iniezione Gentamicin sulfate 1 mg/ml
Iniezione Alprostadil 15 µg/ml
3201
Compatibile
Iniezione Gentamicin sulfate 5 mg/ml
Iniezione Amifostine 10 mg/ml
Glucosio 5% 3
Compatibile
Iniezione Gentamicin sulfate 0.8 mg/ml
Iniezione Amiodarone hydrochloride 4 mg/ml
Cloruro di sodio 0,9% 385
Compatibile
Iniezione Gentamicin sulfate 0.8 mg/ml
Iniezione Amiodarone hydrochloride 4 mg/ml
Glucosio 5% 385
Incompatibilità non specificata Incompatibile
Iniezione Gentamicin sulfate
Iniezione Amoxicillin sodium
3643
Incompatibilità non specificata Incompatibile
Iniezione Gentamicin sulfate
Iniezione Amoxicillin sodium
3520
Instabilità chimica Incompatibile
Iniezione Gentamicin sulfate
Iniezione Amoxicillin sodium
3527
Incompatibilità non specificata Incompatibile
Iniezione Gentamicin sulfate
Iniezione Amoxicillin sodium / clavulanic acid
3643
Incompatibilità non specificata Incompatibile
Iniezione Gentamicin sulfate
Iniezione Amoxicillin sodium / clavulanic acid
3545
Incompatibilità non specificata Incompatibile
Iniezione Gentamicin sulfate
Iniezione Amoxicillin sodium / clavulanic acid
3520
Compatibile
Iniezione Gentamicin sulfate 40 mg/ml
Iniezione Amoxicillin sodium / clavulanic acid 100/10 mg/ml
3824
Precipitazioni immediate Incompatibile
Iniezione Gentamicin sulfate 5 mg/ml
Iniezione Amphotericin B cholesteryl sulfate complex 0,83 mg/ml
Glucosio 5% 921
Incompatibilità non specificata Incompatibile
Iniezione Gentamicin sulfate
Iniezione Ampicillin sodium
3643
Incompatibilità non specificata Incompatibile
Iniezione Gentamicin sulfate
Iniezione Ampicillin sodium
3520
Incompatibilità non specificata Incompatibile
Iniezione Gentamicin sulfate
Iniezione Ampicillin sodium - sulbactam sodium
3643
Incompatibilità non specificata Incompatibile
Iniezione Gentamicin sulfate
Iniezione Ampicillin sodium - sulbactam sodium
3520
Compatibile
Iniezione Gentamicin sulfate 5 mg/ml
Iniezione Amsacrine 1 mg/ml
Glucosio 5% 253
Compatibile
Iniezione Gentamicin sulfate 5 mg/ml
Iniezione Anidulafungin 0.5 mg/ml
Glucosio 5% 1982
Compatibile
Iniezione Gentamicin sulfate 0,8 mg/ml
Iniezione Atosiban 0,75 mg/ml
4642
Compatibile
Iniezione Gentamicin sulfate 2 mg/ml
Iniezione Atracurium besylate 0.5 mg/ml
Glucosio 5% 402
Precipitazioni immediate Incompatibile
Iniezione Gentamicin sulfate 21 mg/ml
Iniezione Azithromycine 2 mg/ml
Cloruro di sodio 0,9% 1800
Compatibile
Iniezione Gentamicin sulfate 5 mg/ml
Iniezione Aztreonam 40 mg/ml
Glucosio 5% 99
Compatibile
Iniezione Gentamicin sulfate 0.2 & 0.8 mg/ml
Iniezione Aztreonam 10 & 20 mg/ml
Cloruro di sodio 0,9% 19
Compatibile
Iniezione Gentamicin sulfate 0.2 & 0.8 mg/ml
Iniezione Aztreonam 10 & 20 mg/ml
Glucosio 5% 19
Compatibile
Iniezione Gentamicin sulfate 5 mg/ml
Iniezione Bivalirudin 5 mg/ml
Glucosio 5% 1713
Compatibile
Iniezione Gentamicin sulfate 10 mg/ml
Iniezione Caffeine 10 mg/ml
Nessuno 3964
Compatibile
Iniezione Gentamicin sulfate 10 mg/ml
Iniezione Caffeine 10 mg/ml
Cloruro di sodio 0,9% 4837
Compatibile
Iniezione Gentamicin sulfate 10 mg/ml
Iniezione Caffeine citrate 20 mg/ml
Cloruro di sodio 0,9% 4837
Incompatibilità non specificata Incompatibile
Iniezione Gentamicin sulfate
Iniezione Calcium gluconate
3644
Incompatibile
Iniezione Gentamicin sulfate
Iniezione Calcium gluconate
4964
Compatibile
Iniezione Gentamicin sulfate 5 mg/ml
Iniezione Caspofungin acetate 0,7 mg/ml
Cloruro di sodio 0,9% 2247
Incompatibilità non specificata Incompatibile
Iniezione Gentamicin sulfate
Iniezione Cefalotin sodium
3520
Incompatibilità non specificata Incompatibile
Iniezione Gentamicin sulfate
Iniezione Cefalotin sodium
3643
Precipitazioni immediate Incompatibile
Iniezione Gentamicin sulfate
Iniezione Cefamandole nafate 2 >> 100 mg/ml
Glucosio 5% 612
Incompatibilità non specificata Incompatibile
Iniezione Gentamicin sulfate
Iniezione Cefamandole nafate
3643
Incompatibilità non specificata Incompatibile
Iniezione Gentamicin sulfate
Iniezione Cefamandole nafate
3520
Incompatibilità non specificata Incompatibile
Iniezione Gentamicin sulfate
Iniezione Cefamandole nafate
3546
Precipitazioni immediate Incompatibile
Iniezione Gentamicin sulfate
Iniezione Cefamandole nafate 2 >> 100 mg/ml
Cloruro di sodio 0,9% 612
Incompatibilità non specificata Incompatibile
Iniezione Gentamicin sulfate
Iniezione Cefazolin sodium
3520
Incompatibilità non specificata Incompatibile
Iniezione Gentamicin sulfate
Iniezione Cefazolin sodium
3643
Incompatibilità non specificata Incompatibile
Iniezione Gentamicin sulfate
Iniezione Cefepime dihydrochloride
3520
Compatibile
Iniezione Gentamicin sulfate 6 mg/ml
Iniezione Cefepime dihydrochloride 125 mg/ml
Acqua per preparato iniettabile 2141
Incompatibilità non specificata Incompatibile
Iniezione Gentamicin sulfate
Iniezione Cefepime dihydrochloride
3548
Incompatibilità non specificata Incompatibile
Iniezione Gentamicin sulfate
Iniezione Cefepime dihydrochloride
3643
Compatibile
Iniezione Gentamicin sulfate 5 mg/ml
Iniezione Cefiderocol sulfate tosylate 20 mg/mL
Glucosio 5% 4528
Compatibile
Iniezione Gentamicin sulfate 5 mg/ml
Iniezione Cefiderocol sulfate tosylate 20 mg/mL
Cloruro di sodio 0,9% 4528
Incompatibilità non specificata Incompatibile
Iniezione Gentamicin sulfate
Iniezione Cefmenoxime
3520
Incompatibilità non specificata Incompatibile
Iniezione Gentamicin sulfate
Iniezione Cefmenoxime
3643
Incompatibilità non specificata Incompatibile
Iniezione Gentamicin sulfate
Iniezione Cefmetazole sodium
3520
Incompatibilità non specificata Incompatibile
Iniezione Gentamicin sulfate
Iniezione Cefmetazole sodium
3643
Incompatibilità non specificata Incompatibile
Iniezione Gentamicin sulfate
Iniezione Cefonicid sodium
3643
Incompatibilità non specificata Incompatibile
Iniezione Gentamicin sulfate
Iniezione Cefonicid sodium
3520
Incompatibilità non specificata Incompatibile
Iniezione Gentamicin sulfate
Iniezione Cefoperazone sodium
3544
Incompatibilità non specificata Incompatibile
Iniezione Gentamicin sulfate
Iniezione Cefoperazone sodium
3643
Precipitazioni immediate Incompatibile
Iniezione Gentamicin sulfate 0.8 mg/ml
Iniezione Cefoperazone sodium 10 mg/ml
Glucosio 5% 1206
Incompatibilità non specificata Incompatibile
Iniezione Gentamicin sulfate
Iniezione Cefoperazone sodium
3520
Incompatibilità non specificata Incompatibile
Iniezione Gentamicin sulfate
Iniezione Ceforanide
3643
Incompatibilità non specificata Incompatibile
Iniezione Gentamicin sulfate
Iniezione Ceforanide
3520
Incompatibilità non specificata Incompatibile
Iniezione Gentamicin sulfate
Iniezione Cefotaxime sodium
3520
Incompatibilità non specificata Incompatibile
Iniezione Gentamicin sulfate
Iniezione Cefotaxime sodium
3643
Incompatibilità non specificata Incompatibile
Iniezione Gentamicin sulfate
Iniezione Cefoxitin sodium
3643
Incompatibilità non specificata Incompatibile
Iniezione Gentamicin sulfate
Iniezione Cefoxitin sodium
3520
Compatibile
Iniezione Gentamicin sulfate 1 mg/ml
Iniezione Cefpirome sulfate 50 mg/ml
Cloruro di sodio 0,9% 280
Compatibile
Iniezione Gentamicin sulfate 1 mg/ml
Iniezione Cefpirome sulfate 50 mg/ml
Ringer lattato 280
Compatibile
Iniezione Gentamicin sulfate 1 mg/ml
Iniezione Cefpirome sulfate 50 mg/ml
Cloruro di sodio 0,45% 280
Incompatibilità non specificata Incompatibile
Iniezione Gentamicin sulfate
Iniezione Cefpirome sulfate
3643
Incompatibilità non specificata Incompatibile
Iniezione Gentamicin sulfate
Iniezione Cefpirome sulfate
3677
Compatibile
Iniezione Gentamicin sulfate 1 mg/ml
Iniezione Cefpirome sulfate 50 mg/ml
Glucosio 5% 280
Incompatibilità non specificata Incompatibile
Iniezione Gentamicin sulfate
Iniezione Cefpirome sulfate
3520
Compatibile
Iniezione Gentamicin sulfate 5 mg/ml
Iniezione Ceftaroline fosamil 2,22 mg/ml
Cloruro di sodio 0,9% 3249
Compatibile
Iniezione Gentamicin sulfate 5 mg/ml
Iniezione Ceftaroline fosamil 2,22 mg/ml
Ringer lattato 3249
Compatibile
Iniezione Gentamicin sulfate 5 mg/ml
Iniezione Ceftaroline fosamil 2,22 mg/ml
Glucosio 5% 3249
Incompatibilità non specificata Incompatibile
Iniezione Gentamicin sulfate
Iniezione Ceftaroline fosamil
3643
Incompatibilità non specificata Incompatibile
Iniezione Gentamicin sulfate
Iniezione Ceftaroline fosamil
3520
Incompatibilità non specificata Incompatibile
Iniezione Gentamicin sulfate
Iniezione Ceftazidime
3543
Incompatibilità non specificata Incompatibile
Iniezione Gentamicin sulfate
Iniezione Ceftazidime
3520
Incompatibilità non specificata Incompatibile
Iniezione Gentamicin sulfate
Iniezione Ceftazidime
3643
Compatibile
Iniezione Gentamicin sulfate 6 mg/ml
Iniezione Ceftazidime 125 mg/ml
Acqua per preparato iniettabile 2141
Compatibile
Iniezione Gentamicin sulfate 6 mg/ml
Iniezione Ceftazidime 83.3 mg/ml
1759
Incompatibilità non specificata Incompatibile
Iniezione Gentamicin sulfate
Iniezione Ceftazidime
3883
Incompatibilità non specificata Incompatibile
Iniezione Gentamicin sulfate
Iniezione Ceftazidime Avibactam
3520
Incompatibilità non specificata Incompatibile
Iniezione Gentamicin sulfate
Iniezione Ceftazidime Avibactam
3643
Incompatibilità non specificata Incompatibile
Iniezione Gentamicin sulfate
Iniezione Ceftizoxime sodium
3643
Incompatibilità non specificata Incompatibile
Iniezione Gentamicin sulfate
Iniezione Ceftizoxime sodium
3520
Incompatibilità non specificata Incompatibile
Iniezione Gentamicin sulfate
Iniezione Ceftobiprole medocaril sodium
3643
Incompatibilità non specificata Incompatibile
Iniezione Gentamicin sulfate
Iniezione Ceftobiprole medocaril sodium
4650
Precipitazioni immediate Incompatibile
Iniezione Gentamicin sulfate 5 mg/ml
Iniezione Ceftobiprole medocaril sodium 2 mg/ml
Glucosio 5% 2269
Precipitazioni immediate Incompatibile
Iniezione Gentamicin sulfate 5 mg/ml
Iniezione Ceftobiprole medocaril sodium 2 mg/ml
Ringer lattato 2269
Precipitazioni immediate Incompatibile
Iniezione Gentamicin sulfate 5 mg/ml
Iniezione Ceftobiprole medocaril sodium 2 mg/ml
Cloruro di sodio 0,9% 2269
Incompatibilità non specificata Incompatibile
Iniezione Gentamicin sulfate
Iniezione Ceftobiprole medocaril sodium
3520
Compatibile
Iniezione Gentamicin sulfate 5 mg/ml
Iniezione Ceftolozane / tazobactam 10/5 mg/ml
Glucosio 5% 3828
Incompatibilità non specificata Incompatibile
Iniezione Gentamicin sulfate
Iniezione Ceftolozane / tazobactam
3643
Incompatibilità non specificata Incompatibile
Iniezione Gentamicin sulfate
Iniezione Ceftolozane / tazobactam
3520
Compatibile
Iniezione Gentamicin sulfate 5 mg/ml
Iniezione Ceftolozane / tazobactam 10/5 mg/ml
Cloruro di sodio 0,9% 3828
Incompatibilità non specificata Incompatibile
Iniezione Gentamicin sulfate
Iniezione Ceftriaxone disodium
3523
Incompatibilità non specificata Incompatibile
Iniezione Gentamicin sulfate
Iniezione Ceftriaxone disodium
3643
Incompatibilità non specificata Incompatibile
Iniezione Gentamicin sulfate
Iniezione Ceftriaxone disodium
3520
Incompatibilità non specificata Incompatibile
Iniezione Gentamicin sulfate
Iniezione Cefuroxime sodium
3643
Incompatibilità non specificata Incompatibile
Iniezione Gentamicin sulfate
Iniezione Cefuroxime sodium
3520
Incompatibilità non specificata Incompatibile
Iniezione Gentamicin sulfate
Iniezione Cefuroxime sodium
3687
Incompatibilità non specificata Incompatibile
Iniezione Gentamicin sulfate
Iniezione Cefuzonam
3520
Compatibile
Iniezione Gentamicin sulfate 0.8 mg/ml
Iniezione Cimetidine hydrochloride 3 mg/ml
Glucosio 5% 1201
Compatibile
Iniezione Gentamicin sulfate 0.08 mg/ml
Iniezione Cimetidine hydrochloride 1.2 & 5 mg/ml
Cloruro di sodio 0,9% 1201
Compatibile
Iniezione Gentamicin sulfate 0.08 mg/ml
Iniezione Cimetidine hydrochloride 1.2 & 5 mg/ml
Glucosio 5% 1201
Compatibile
Iniezione Gentamicin sulfate 10 mg/ml
Iniezione Ciprofloxacin lactate 2 mg/ml
Cloruro di sodio 0,9% 289
Compatibile
Iniezione Gentamicin sulfate 1.6 mg/ml
Iniezione Ciprofloxacin lactate 2 mg/ml
Glucosio 5% 285
Compatibile
Iniezione Gentamicin sulfate 5 mg/ml
Iniezione Cisatracurium besylate 0.1 >> 5 mg/ml
Glucosio 5% 299
Instabilità chimica Incompatibile
Iniezione Gentamicin sulfate
Iniezione Cisplatin
3578
Compatibile
Iniezione Gentamicin sulfate 12 mg/ml
Iniezione Clindamycin phosphate 90 mg/ml
Cloruro di sodio 0,9% 639
Compatibile
Iniezione Gentamicin sulfate 0.67 mg/ml
Iniezione Clindamycin phosphate 6 mg/ml
Glucosio 5% 423
Compatibile
Iniezione Gentamicin sulfate
Glucosio 5% 434
Incompatibilità non specificata Incompatibile
Iniezione Gentamicin sulfate
Iniezione Cefuzonam
3643
Compatibile
Iniezione Gentamicin sulfate 1 mg/ml
Iniezione Ciprofloxacin lactate 1.5 mg/ml
Cloruro di sodio 0,9% 434
Compatibile
Iniezione Gentamicin sulfate 1.6 mg/ml
Iniezione Ciprofloxacin lactate 2 mg/ml
Glucosio 5% 288
Compatibile
Iniezione Gentamicin sulfate 1.6 mg/ml
Iniezione Ciprofloxacin lactate 2 mg/ml
Cloruro di sodio 0,9% 288
Compatibile
Iniezione Gentamicin sulfate 1 mg/ml
Iniezione Ciprofloxacin lactate 1.5 mg/ml
Glucosio 5% 434
Compatibile
Iniezione Gentamicin sulfate
Iniezione Clindamycin phosphate
Cloruro di sodio 0,9% 3526
Precipitazioni immediate Incompatibile
Iniezione Gentamicin sulfate 40 mg/ml
Iniezione Cloxacillin sodium 100 mg/ml
Acqua per preparato iniettabile 3012
Compatibile
Iniezione Gentamicin sulfate 15 mg/ml
Iniezione Cytarabine 16 mg/ml
Cloruro di sodio 0,9% 132
Incompatibile
Iniezione Gentamicin sulfate 2 & 10 mg/ml
Nutrizione parenterale (con lipidi) 4924
Compatibile
Iniezione Gentamicin sulfate
Iniezione Clindamycin phosphate
Glucosio 5% 3526
Incompatibilità non specificata Incompatibile
Iniezione Gentamicin sulfate
Iniezione Cloxacillin sodium
3520
Incompatibilità non specificata Incompatibile
Iniezione Gentamicin sulfate
Iniezione Cytarabine
3580
Compatibile
Iniezione Gentamicin sulfate 1,5 mg/ml
Iniezione Daptomycin 19,2 mg/ml
Cloruro di sodio 0,9% 1937
Compatibile
Iniezione Gentamicin sulfate 0,05 mg/ml
Nutrizione parenterale (privo di lipidi) 4445
Incompatibilità non specificata Incompatibile
Iniezione Gentamicin sulfate
Iniezione Cloxacillin sodium
3643
Instabilità dell'emulsione dopo 4 ore Incompatibile
Iniezione Gentamicin sulfate 2 mg/ml
Nutrizione parenterale (con lipidi) 4507
Incompatibilità non specificata Incompatibile
Iniezione Gentamicin sulfate
Iniezione Dalteparin sodium
3643
Compatibile
Iniezione Gentamicin sulfate
Iniezione Daptomycin
2271
Compatibile
Iniezione Gentamicin sulfate 10 mg/ml
Nutrizione parenterale (privo di lipidi) 316
Compatibile
Iniezione Gentamicin sulfate
Iniezione Dimenhydrinate
2087
Compatibile
Iniezione Gentamicin sulfate 10 & 40 mg/ml
Nutrizione parenterale (privo di lipidi) 999
Incompatibilità subvisuale Incompatibile
Iniezione Gentamicin sulfate
Iniezione Daunorubicin/cytarabine liposomale
4354
Compatibile
Iniezione Gentamicin sulfate 1 mg/ml
Nutrizione parenterale (privo di lipidi) 939
Torbidità immediata Incompatibile
Iniezione Gentamicin sulfate
Iniezione Daunorubicin/cytarabine liposomale 0,4 mg/mL
Cloruro di sodio 0,9% 4654
Compatibile
Iniezione Gentamicin sulfate 0.8 mg/ml
Iniezione Diatrizoate meglumine 283 mg/ml
Nessuno 1085
Compatibile
Iniezione Gentamicin sulfate 2.4 & 40 mg/ml
Iniezione Diltiazem hydrochloride 5 mg/ml
Cloruro di sodio 0,9% 198
Compatibile
Iniezione Gentamicin sulfate 5 mg/ml
Iniezione Docetaxel 0.9 mg/ml
Glucosio 5% 1754
Incompatibilità non specificata Incompatibile
Iniezione Gentamicin sulfate
Iniezione Dopamine hydrochloride
3638
Compatibile
Iniezione Gentamicin sulfate 5 mg/ml
Nutrizione parenterale (privo di lipidi) 301
Compatibile
Iniezione Gentamicin sulfate 5 mg/ml
Iniezione Doripenem 5 mg/ml
Cloruro di sodio 0,9% 2262
Incompatibilità non specificata Incompatibile
Iniezione Gentamicin sulfate
NaHCO3 3520
Compatibile
Iniezione Gentamicin sulfate 2 mg/ml
Iniezione Dopamine hydrochloride 0.8 mg/ml
Glucosio 5% 738
Produzione di bolle di gas Incompatibile
Iniezione Gentamicin sulfate
NaHCO3 3643
Compatibile
Iniezione Gentamicin sulfate 5 mg/ml
Iniezione Dexmedetomidine 4 µg/ml
Cloruro di sodio 0,9% 1712
Compatibile
Iniezione Gentamicin sulfate 5 mg/ml
Iniezione Doripenem 5 mg/ml
Glucosio 5% 2262
Compatibile
Iniezione Gentamicin sulfate 5 mg/ml
Nutrizione parenterale (con lipidi) 1415
Compatibile
Iniezione Gentamicin sulfate 10 mg/ml
Iniezione Doxapram hydrochloride 2 mg/ml
Glucosio 5% 1802
Compatibile
Iniezione Gentamicin sulfate 5 mg/ml
Iniezione Doxorubicin hydrochloride liposome peg 0.4 mg/ml
Glucosio 5% 251
Compatibile
Iniezione Gentamicin sulfate 0.8 mg/ml
Iniezione Enalaprilate 0.05 mg/ml
Cloruro di sodio 0,9% 1315
Incompatibilità non specificata Incompatibile
Iniezione Gentamicin sulfate
Iniezione Enoxaparin sodium
3643
Compatibile
Iniezione Gentamicin sulfate 5 mg/ml
Iniezione Eravacycline 0,6 mg/ml
Cloruro di sodio 0,9% 4434
Incompatibilità non specificata Incompatibile
Iniezione Gentamicin sulfate
Iniezione Erythromycin lactobionate
3674
Incompatibilità non specificata Incompatibile
Iniezione Gentamicin sulfate
Iniezione Erythromycin lactobionate
3520
Incompatibilità non specificata Incompatibile
Iniezione Gentamicin sulfate
Iniezione Erythromycin lactobionate
3643
Compatibile
Iniezione Gentamicin sulfate 0,8 mg/ml
Iniezione Esmolol hydrochloride 10 mg/ml
Glucosio 5% 384
Compatibile
Iniezione Gentamicin sulfate 5 mg/ml
Iniezione Etoposide phosphate 5 mg/ml
Glucosio 5% 1410
Compatibile
Iniezione Gentamicin sulfate 5 mg/ml
Iniezione Famotidine 2 mg/ml
Cloruro di sodio 0,9% 215
Compatibile
Iniezione Gentamicin sulfate 0,8 mg/ml
Iniezione Famotidine
Glucosio 5% 397
Compatibile
Iniezione Gentamicin sulfate 5 mg/ml
Iniezione Fenoldopam mesylate 80 µg/ml
Cloruro di sodio 0,9% 1803
Compatibile
Iniezione Gentamicin sulfate 10 mg/ml
Iniezione Fentanyl citrate 50 µg/ml
Glucosio 5% 63
Compatibile
Iniezione Gentamicin sulfate 1.6 mg/ml
Iniezione Filgrastim 40 µg/ml
Glucosio 5% 104
Compatibile
Iniezione Gentamicin sulfate 5 mg/ml
Iniezione Filgrastim 30 µg/ml
Glucosio 5% 244
Incompatibilità non specificata Incompatibile
Iniezione Gentamicin sulfate
Iniezione Flucloxacillin sodium
3643
Precipitazioni immediate Incompatibile
Iniezione Gentamicin sulfate
Iniezione Flucloxacillin sodium
3522
Compatibile
Iniezione Gentamicin sulfate 1 mg/ml
Iniezione Fluconazole 2 mg/ml
Nessuno 256
Compatibile
Iniezione Gentamicin sulfate 4 mg/ml
Iniezione Fluconazole 2 mg/ml
Cloruro di sodio 0,9% 496
Compatibile
Iniezione Gentamicin sulfate 5 mg/ml
Iniezione Fludarabine phosphate 1 mg/ml
Glucosio 5% 492
Compatibile
Iniezione Gentamicin sulfate 2 mg/ml
Iniezione Foscarnet sodium 24 mg/ml
Cloruro di sodio 0,9% 1135
Compatibile
Iniezione Gentamicin sulfate 2 mg/ml
Iniezione Foscarnet sodium 24 mg/ml
Glucosio 5% 1135
Compatibile
Iniezione Gentamicin sulfate 4 mg/ml
Iniezione Foscarnet sodium 24 mg/ml
Nessuno 73
Compatibile
Iniezione Gentamicin sulfate 10 mg/ml
Ringer lattato 4603
Compatibile
Iniezione Gentamicin sulfate 5 mg/ml
Iniezione Fosfomycin 30 mg/ml
Cloruro di sodio 0,9% 4055
Precipitazioni immediate Incompatibile
Iniezione Gentamicin sulfate 0,4 mg/ml
Nutrizione parenterale (con lipidi) 4440
Compatibile
Iniezione Gentamicin sulfate 40 mg/ml
Nutrizione parenterale (con lipidi) 673
Compatibile
Iniezione Gentamicin sulfate 5 mg/ml
Iniezione Fosfomycin 30 mg/ml
Glucosio 5% 4055
Precipitazioni immediate Incompatibile
Iniezione Gentamicin sulfate 10 mg/ml
Iniezione Furosemide 10 mg/ml
789
Precipitazioni immediate Incompatibile
Iniezione Gentamicin sulfate 1,6 mg/ml
Iniezione Furosemide 0,8 mg/ml
Glucosio 5% 367
Precipitazioni immediate Incompatibile
Iniezione Gentamicin sulfate 1,6 mg/ml
Iniezione Furosemide 0,8 mg/ml
Cloruro di sodio 0,9% 367
Torbidità immediata Incompatibile
Iniezione Gentamicin sulfate 6.4 mg/ml
Iniezione Furosemide 5 mg/ml
805
Precipitazioni dopo 2 ore Incompatibile
Iniezione Gentamicin sulfate 8 mg/ml
Iniezione Furosemide 1 mg/ml
Cloruro di sodio 0,9% 1232
Compatibile
Iniezione Gentamicin sulfate 5 mg/ml
Iniezione Gemcitabine hydrochloride 10 mg/ml
Cloruro di sodio 0,9% 1423
Compatibile
Iniezione Gentamicin sulfate 1.5 mg/ml
Iniezione Granisetron hydrochloride 1 mg/ml
Cloruro di sodio 0,9% 57
Compatibile
Iniezione Gentamicin sulfate 1 & 2 mg/ml
Iniezione Heparin sodium 2500 UI/ml
4612
Precipitazioni immediate Incompatibile
Iniezione Gentamicin sulfate 4 >> 40 mg/ml
Iniezione Heparin sodium 10 >> 40 UI/ml
1258
Precipitazioni immediate Incompatibile
Iniezione Gentamicin sulfate
Iniezione Heparin sodium
1022
Incompatibilità non specificata Incompatibile
Iniezione Gentamicin sulfate 2 mg/ml
Iniezione Heparin sodium 50 UI/ml
Nessuno 317
Incompatibilità non specificata Incompatibile
Iniezione Gentamicin sulfate
Iniezione Heparin sodium
3643
Incompatibilità non specificata Incompatibile
Iniezione Gentamicin sulfate
Iniezione Heparin sodium
3520
Incompatibilità non specificata Incompatibile
Iniezione Gentamicin sulfate
Iniezione Heparin sodium
3540
Torbidità immediata Incompatibile
Iniezione Gentamicin sulfate 3 mg/ml
Iniezione Heparin sodium 2500 UI/ml
4612
Precipitazioni immediate Incompatibile
Iniezione Gentamicin sulfate 4 & 5 mg/ml
Iniezione Heparin sodium 2500 UI/ml
4612
Compatibile
Iniezione Gentamicin sulfate 5 mg/ml
Iniezione Hetastarch 60 mg/ml
solvente specifico 1721
Precipitazioni immediate Incompatibile
Iniezione Gentamicin sulfate 0.8 mg/ml
Iniezione Hetastarch 60 mg/ml
Cloruro di sodio 0,9% 472
Compatibile
Iniezione Gentamicin sulfate 0.8 mg/ml
Iniezione Hydromorphone hydrochloride 0.2 mg/ml
Glucosio 5% 405
Cambio di colore Incompatibile
Iniezione Gentamicin sulfate 3 mg/ml
Iniezione Idarubicin hydrochloride 1 mg/ml
Cloruro di sodio 0,9% 491
Precipitazioni immediate Incompatibile
Iniezione Gentamicin sulfate 1 mg/ml
Iniezione Indomethacin sodium trihydrate 0,5 & 1 mg/ml
Glucosio 5% 494
Precipitazioni dopo 15 minuti Incompatibile
Iniezione Gentamicin sulfate 1 mg/ml
Iniezione Indomethacin sodium trihydrate 0,5 & 1 mg/ml
Glucosio 5% 1745
Compatibile
Iniezione Gentamicin sulfate 1.2 >> 2 mg/ml
Iniezione Insulin 0.2 UI/ml
Cloruro di sodio 0,9% 129
Compatibile
Iniezione Gentamicin sulfate 0.8 mg/ml
Iniezione Iohexol 300 mg I/ml
Nessuno 1085
Precipitazioni immediate Incompatibile
Iniezione Gentamicin sulfate 0.8 mg/ml
Iniezione Ioxaglate 320 mg I/ml
Nessuno 1085
Compatibile
Iniezione Gentamicin sulfate 5 mg/ml
Iniezione Isavuconazonium sulfate 1.5 mg/ml
Glucosio 5% 3829
Compatibile
Iniezione Gentamicin sulfate 5 mg/ml
Iniezione Isavuconazonium sulfate 1.5 mg/ml
Cloruro di sodio 0,9% 3829
Compatibile
Iniezione Gentamicin sulfate 40 mg/ml
Iniezione Ketamine hydrochloride 50 mg/ml
2109
Compatibile
Iniezione Gentamicin sulfate 0.8 mg/ml
Iniezione Labetalol hydrochloride 1 mg/ml
Glucosio 5% 386
Compatibile
Iniezione Gentamicin sulfate 5 mg/ml
Iniezione Lansoprazole 0.55 mg/ml
Cloruro di sodio 0,9% 1625
Compatibile
Iniezione Gentamicin sulfate 10 mg/ml
Iniezione Levofloxacine 5 mg/ml
Glucosio 5% 1072
Compatibile
Iniezione Gentamicin sulfate 0,75 mg/ml
Iniezione Linezolid 1,80 mg/ml
2353
Compatibile
Iniezione Gentamicin sulfate 5 mg/ml
Iniezione Linezolid 2 mg/ml
Nessuno 1925
Compatibile
Iniezione Gentamicin sulfate 3 mg/ml
Iniezione Lorazepam 0.33 mg/ml
Cloruro di sodio 0,9% 186
Compatibile
Iniezione Gentamicin sulfate 0.8 mg/ml
Iniezione Magnesium sulfate 16.67 >> 100 mg/ml
Glucosio 5% 1047
Compatibile
Iniezione Gentamicin sulfate 5 mg/ml
Iniezione Melphalan 0.1 mg/ml
Cloruro di sodio 0,9% 169
Compatibile
Iniezione Gentamicin sulfate 40 mg/ml
Iniezione Meropenem 50 mg/ml
Acqua per preparato iniettabile 4319
Compatibile
Iniezione Gentamicin sulfate 0.8 mg/ml
Iniezione Meropenem 1 & 20 mg/ml
Cloruro di sodio 0,9% 266
Compatibile
Iniezione Gentamicin sulfate 4 mg/ml
Iniezione Meropenem 1 & 50 mg/ml
Cloruro di sodio 0,9% 266
Compatibile
Iniezione Gentamicin sulfate 30 mg/ml
Iniezione Meropenem 10 mg/ml
Cloruro di sodio 0,9% 2335
Compatibile
Iniezione Gentamicin sulfate 0,8 & 1,2 mg/ml
Iniezione Metronidazole 5 mg/ml
Nessuno 1243
Compatibile
Iniezione Gentamicin sulfate 0.8 mg/ml
Iniezione Metronidazole 5 mg/ml
Nessuno 1035
Compatibile
Iniezione Gentamicin sulfate
Iniezione Metronidazole
3594
Compatibile
Iniezione Gentamicin sulfate 3 mg/ml
Iniezione Midazolam hydrochloride 5 mg/ml
Nessuno 186
Compatibile
Iniezione Gentamicin sulfate 10 mg/ml
Iniezione Midazolam hydrochloride 1 mg/ml
Glucosio 5% 176
Compatibile
Iniezione Gentamicin sulfate 0.8 mg/ml
Iniezione Midazolam hydrochloride 0.05 >> 0.4 mg/ml
Cloruro di sodio 0,9% 1888
Incompatibilità non specificata Incompatibile
Iniezione Gentamicin sulfate
Iniezione Mitomycin
4471
Instabilità chimica Incompatibile
Iniezione Gentamicin sulfate
Iniezione Mitomycin
3128
Compatibile
Iniezione Gentamicin sulfate 1.2 & 2 mg/ml
Iniezione Morphine sulfate 1 mg/ml
Cloruro di sodio 0,9% 406
Compatibile
Iniezione Gentamicin sulfate 0.8 mg/ml
Iniezione Morphine sulfate 1 mg/ml
Glucosio 5% 405
Incompatibilità non specificata Incompatibile
Iniezione Gentamicin sulfate
Iniezione Moxalactam
3643
Incompatibilità non specificata Incompatibile
Iniezione Gentamicin sulfate
Iniezione Moxalactam
3520
Compatibile
Iniezione Gentamicin sulfate 40 mg/ml
Iniezione N-acetylcysteine 200 mg/ml
Nessuno 3766
Incompatibilità non specificata Incompatibile
Iniezione Gentamicin sulfate
Iniezione Nadroparin
3643
Incompatibilità non specificata Incompatibile
Iniezione Gentamicin sulfate
Iniezione Nafcillin sodium
3643
Incompatibilità non specificata Incompatibile
Iniezione Gentamicin sulfate
Iniezione Nafcillin sodium
3520
Compatibile
Iniezione Gentamicin sulfate 40 mg/ml
Iniezione Naloxone hydrochloride 0.4 mg/ml
Nessuno 3408
Compatibile
Iniezione Gentamicin sulfate 4.17 mg/ml
Iniezione Nefopam 0.16 mg/ml
Cloruro di sodio 0,9% 4254
Compatibile
Iniezione Gentamicin sulfate 4.17 mg/ml
Iniezione Nefopam 0.16 mg/ml
Glucosio 5% 4254
Compatibile
Iniezione Gentamicin sulfate 0.8 mg/ml
Iniezione Nicardipine hydrochloride 0.1 mg/ml
Glucosio 5% 1490
Compatibile
Iniezione Gentamicin sulfate 0.8 mg/ml
Iniezione Nicardipine hydrochloride 0.1 mg/ml
Cloruro di sodio 0,9% 1490
Compatibile
Iniezione Gentamicin sulfate 0,8 mg/ml
Iniezione Ofloxacin 2 mg/ml
Nessuno 889
Compatibile
Iniezione Gentamicin sulfate 5 mg/ml
Iniezione Ondansetron hydrochloride 1 mg/ml
Cloruro di sodio 0,9% 334
Compatibile
Iniezione Gentamicin sulfate 5 mg/ml
Iniezione Oritavancin 0.8 >>2 mg/ml
Glucosio 5% 3152
Incompatibilità non specificata Incompatibile
Iniezione Gentamicin sulfate
Iniezione Oxacillin sodium
3643
Incompatibilità non specificata Incompatibile
Iniezione Gentamicin sulfate
Iniezione Oxacillin sodium
3520
Compatibile
Iniezione Gentamicin sulfate 40 mg/ml
Iniezione Oxycodone hydrochloride 1 mg/ml
Cloruro di sodio 0,9% 4842
Compatibile
Iniezione Gentamicin sulfate 5 mg/ml
Iniezione Paclitaxel 1.2 mg/ml
Glucosio 5% 248
Compatibile
Iniezione Gentamicin sulfate 5 mg/ml
Iniezione Palonosetron hydrochloride 50 µg/ml
Glucosio 5% 2228
Compatibile
Iniezione Gentamicin sulfate 2 mg/ml
Iniezione Pancuronium bromide 0.05 mg/ml
Glucosio 5% 402
Precipitazioni immediate Incompatibile
Iniezione Gentamicin sulfate
Iniezione Pantoprazole sodium
2090
Compatibile
Iniezione Gentamicin sulfate 40 mg/ml
Iniezione Paracetamol 10 mg/ml
4742
Precipitazioni immediate Incompatibile
Iniezione Gentamicin sulfate 5 mg/ml
Iniezione Pemetrexed disodium 20 mg/ml
1953
Incompatibilità non specificata Incompatibile
Iniezione Gentamicin sulfate
Iniezione Penicillin G potassium
3643
Incompatibilità non specificata Incompatibile
Iniezione Gentamicin sulfate
Iniezione Penicillin G potassium
3520
Incompatibilità non specificata Incompatibile
Iniezione Gentamicin sulfate
Iniezione Penicillin G sodium
3643
Incompatibilità non specificata Incompatibile
Iniezione Gentamicin sulfate
Iniezione Penicillin G sodium
3520
Compatibile
Iniezione Gentamicin sulfate 10 mg/ml
Iniezione Pentoxifyllin 5 mg/ml
Cloruro di sodio 0,9% 4543
Compatibile
Iniezione Gentamicin sulfate 0.8 mg/ml
Iniezione Pethidine hydrochloride 10 mg/ml
Glucosio 5% 405
Precipitazioni immediate Incompatibile
Iniezione Gentamicin sulfate 10 mg/ml
Iniezione Phenytoin sodium 50 mg/ml
789
Compatibile
Iniezione Gentamicin sulfate 20 mg/ml
Iniezione Phloroglucinol 2,5 mg/ml
3791
Incompatibilità non specificata Incompatibile
Iniezione Gentamicin sulfate
Iniezione Piperacillin sodium
3520
Incompatibilità non specificata Incompatibile
Iniezione Gentamicin sulfate
Iniezione Piperacillin sodium
3643
Incompatibilità non specificata Incompatibile
Iniezione Gentamicin sulfate
Iniezione Piperacillin sodium / tazobactam
3520
Instabilità chimica Incompatibile
Iniezione Gentamicin sulfate
Iniezione Piperacillin sodium / tazobactam
3586
Incompatibilità non specificata Incompatibile
Iniezione Gentamicin sulfate
Iniezione Piperacillin sodium / tazobactam
3643
Compatibile
Iniezione Gentamicin sulfate
Iniezione Posaconazole
4380
Compatibile
Iniezione Gentamicin sulfate 30 mg/ml
Iniezione Potassium chloride 20 mEq/l
NaCl 0,45% Glucosio 5% 2335
Instabilità immediata dell'emulsione Incompatibile
Iniezione Gentamicin sulfate 2 mg/ml
Iniezione Propofol
660
Incompatibilità non specificata Incompatibile
Iniezione Gentamicin sulfate 40 mg/ml
Iniezione Propofol
4524
Precipitazioni immediate Incompatibile
Iniezione Gentamicin sulfate 5 mg/ml
Iniezione Propofol 10 mg/ml
Nessuno 300
Compatibile
Iniezione Gentamicin sulfate 5 mg/ml
Iniezione Remifentanil hydrochloride 25 & 250 µg/ml
Cloruro di sodio 0,9% 59
Compatibile
Iniezione Gentamicin sulfate 40 mg/ml
Iniezione Salbutamol sulfate 1 mg/ml
Nessuno 3216
Compatibile
Iniezione Gentamicin sulfate 5 mg/ml
Iniezione Sargramostim 10 µg/ml
Cloruro di sodio 0,9% 335
Compatibile
Iniezione Gentamicin sulfate 10 mg/ml
Iniezione Sildenafil citrate 0,6 mg/ml
Glucosio 5% 4845
Compatibile
Iniezione Gentamicin sulfate 2,4 mg/ml
Iniezione Sodium bicarbonate 40 mg/ml
Nessuno 3122
Produzione di bolle di gas Incompatibile
Iniezione Gentamicin sulfate
Iniezione Sodium bicarbonate
3643
Compatibile
Iniezione Gentamicin sulfate 2.5 mg/ml
Iniezione Sodium citrate 40 mg/ml
Acqua per preparato iniettabile 3952
Compatibile
Iniezione Gentamicin sulfate 40 mg/ml
Iniezione Sugammadex 100 mg/ml
Nessuno 3372
Compatibile
Iniezione Gentamicin sulfate 5 mg/ml
Iniezione Sulbactam/durlobactam 15/15 mg/ml
Cloruro di sodio 0,9% 4801
Compatibile
Iniezione Gentamicin sulfate 4 mg/ml
Iniezione Tacrolimus 1000 µg/ml
Cloruro di sodio 0,9% 479
Compatibile
Iniezione Gentamicin sulfate
Cloruro di sodio 0,9% 1704
Compatibile
Iniezione Gentamicin sulfate
Cloruro di sodio 0,9% 434
Incompatibilità non specificata Incompatibile
Iniezione Gentamicin sulfate
Iniezione Sodium bicarbonate
3520
Compatibile
Iniezione Gentamicin sulfate 1 >> 5 mg/ml
Iniezione Sodium citrate 40 mg/ml
Nessuno 2019
Torbidità immediata Incompatibile
Iniezione Gentamicin sulfate 5 mg/ml
Iniezione Tedizolid phosphate 0.8 mg/ml
Cloruro di sodio 0,9% 3827
Incompatibilità non specificata Incompatibile
Iniezione Gentamicin sulfate
Iniezione Teicoplanine
3656
Compatibile
Iniezione Gentamicin sulfate 5 mg/ml
Iniezione Telavancin hydrochloride 7.5 mg/ml
Ringer lattato 3254
Compatibile
Iniezione Gentamicin sulfate 5 mg/ml
Iniezione Telavancin hydrochloride 7.5 mg/ml
Cloruro di sodio 0,9% 3254
Compatibile
Iniezione Gentamicin sulfate 5 mg/ml
Iniezione Telavancin hydrochloride 7.5 mg/ml
Glucosio 5% 3254
Compatibile
Iniezione Gentamicin sulfate 6 mg/ml
Iniezione Temocilline 83.33 mg/ml
Acqua per preparato iniettabile 2231
Incompatibilità non specificata Incompatibile
Iniezione Gentamicin sulfate
Iniezione Temocilline
3643
Incompatibilità non specificata Incompatibile
Iniezione Gentamicin sulfate
Iniezione Temocilline
3520
Incompatibilità non specificata Incompatibile
Iniezione Gentamicin sulfate
Iniezione Temocilline
2296
Compatibile
Iniezione Gentamicin sulfate 5 mg/ml
Iniezione Teniposide 0.1 mg/ml
Glucosio 5% 905
Compatibile
Iniezione Gentamicin sulfate 2 mg/ml
Iniezione Theophylline 4 mg/ml
Nessuno 317
Precipitazioni immediate Incompatibile
Iniezione Gentamicin sulfate 40 mg/ml
Iniezione Thiopental sodium 25 mg/ml
Cloruro di sodio 0,9% 3767
Compatibile
Iniezione Gentamicin sulfate 5 mg/ml
Iniezione Thiotepa 1 mg/ml
Glucosio 5% 249
Instabilità chimica Incompatibile
Iniezione Gentamicin sulfate
Iniezione Ticarcillin / clavulanic acid
3587
Incompatibilità non specificata Incompatibile
Iniezione Gentamicin sulfate
Iniezione Ticarcillin / clavulanic acid
3643
Incompatibilità non specificata Incompatibile
Iniezione Gentamicin sulfate
Iniezione Ticarcillin / clavulanic acid
3520
Compatibile
Iniezione Gentamicin sulfate
Iniezione Tigecycline
Cloruro di sodio 0,9% 3332
Compatibile
Iniezione Gentamicin sulfate 6 mg/ml
Iniezione Vancomycin hydrochloride 10 mg/ml
Glucosio 5% 3385
Compatibile
Iniezione Gentamicin sulfate 1.2 mg/ml
Iniezione Vasopressin 0.2 UI/ml
Cloruro di sodio 0,9% 2017
Compatibile
Iniezione Gentamicin sulfate 2 mg/ml
Iniezione Vecuronium bromide 0.1 mg/ml
Glucosio 5% 402
Compatibile
Iniezione Gentamicin sulfate 0.16 mg/ml
Iniezione Verapamil hydrochloride 0.08 mg/ml
Glucosio 5% 1057
Compatibile
Iniezione Gentamicin sulfate 0.16 mg/ml
Iniezione Verapamil hydrochloride 0.08 mg/ml
Cloruro di sodio 0,9% 1057
Compatibile
Iniezione Gentamicin sulfate 5 mg/ml
Iniezione Vinorelbine tartrate 1 mg/ml
Cloruro di sodio 0,9% 84
Torbidità immediata Incompatibile
Iniezione Gentamicin sulfate 1.6 mg/ml
Iniezione Warfarin sodium 2 mg/ml
Glucosio 5% 315
Compatibile
Iniezione Gentamicin sulfate 2 mg/ml
Iniezione Zidovudine 4 mg/ml
Glucosio 5% 337

  Mentions Légales