Seneste opdatering :
27/04/2026
Antibiotisk   Gentamicin sulfate  
Injektion
Øjendråber
Stabilitet i (vandige) opløsninger Stabilitet i blandinger Faktorer der påvirker stabiliteten Kompatibilitet Administrationsvej Bibliografi pdf
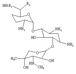
   Kemisk struktur  

Handelsnavn   Handelsnavn     

Handel navne er vejledende og hjælpestoffer sammensætning kan være forskellig afhængigt af landet og laboratorier

Azupel Marokko
Cidomycin Storbritanien, Tunesien, Ægypten
Dabroson Grækenland
Epigent Ægypten
Garalone Portugal
Garamicina Brasilien, Colombia, Ecuador, Mexico
Garamycin Danmark, Forenede Arabiske Emirater, Grækenland, Holland, Indien, Kroatien, Norge, Polen, Schweiz, Ægypten
Genmisin Tyrkiet
Gensif Tyrkiet
Gensumycin Finland, Norge, Sverige
Genta-Gobens Spanien
Gentalline Marokko
Gentamen Marokko
Genticin Forenede Arabiske Emirater, Irland, Storbritanien
Gentreks Tyrkiet
Hexamycin Danmark
Plurisemina Argentina
Refobacin Colombia, Tyskland, Ægypten, Østrig
Rupegen Argentina
Kompatibilitet   Injektion   Kompatibilitet : Gentamicin sulfate              
Denne skærm viser kompatibilitet eller uforenelighed med, i dette tilfælde typen af inkompatibilitet (udfældning, farveændring, ændring af en emulsion osv.). Kompatibiliteterne vist her er for det meste kun fysiske, idet den kemiske stabilitet af hvert molekyle sjældent vurderes. Evalueringen af disse blandinger blev undersøgt for at overveje muligheden for Y-sted-administration til patienten. Disse data kan ikke bruges til at fremstille blandinger på forhånd i poser eller sprøjter. Denne type information findes på skærmen "Stabilitet i blanding".
Molekyle Opløsningsmiddel Bibliografi
Kompatibel
Injektion Gentamicin sulfate 1.6 mg/ml
Injektion Aciclovir sodium 5 mg/ml
5 % Glukose 336
Umiddelbar nedbør Uforenelig
Injektion Gentamicin sulfate 30 mg/ml
Injektion Aciclovir sodium 5 mg/ml
0,9 % Natriumklorid 2335
Nedbør efter 1 time Uforenelig
Injektion Gentamicin sulfate 5 mg/ml
Injektion Allopurinol sodium 3 mg/ml
0,9 % Natriumklorid 307
Kompatibel
Injektion Gentamicin sulfate 1 mg/ml
Injektion Alprostadil 15 µg/ml
3201
Kompatibel
Injektion Gentamicin sulfate 5 mg/ml
Injektion Amifostine 10 mg/ml
5 % Glukose 3
Kompatibel
Injektion Gentamicin sulfate 0.8 mg/ml
Injektion Amiodarone hydrochloride 4 mg/ml
0,9 % Natriumklorid 385
Kompatibel
Injektion Gentamicin sulfate 0.8 mg/ml
Injektion Amiodarone hydrochloride 4 mg/ml
5 % Glukose 385
Uspecificeret inkompatibilitet Uforenelig
Injektion Gentamicin sulfate
Injektion Amoxicillin sodium
3643
Uspecificeret inkompatibilitet Uforenelig
Injektion Gentamicin sulfate
Injektion Amoxicillin sodium
3520
Kemisk ustabilitet Uforenelig
Injektion Gentamicin sulfate
Injektion Amoxicillin sodium
3527
Uspecificeret inkompatibilitet Uforenelig
Injektion Gentamicin sulfate
Injektion Amoxicillin sodium / clavulanic acid
3643
Uspecificeret inkompatibilitet Uforenelig
Injektion Gentamicin sulfate
Injektion Amoxicillin sodium / clavulanic acid
3545
Uspecificeret inkompatibilitet Uforenelig
Injektion Gentamicin sulfate
Injektion Amoxicillin sodium / clavulanic acid
3520
Kompatibel
Injektion Gentamicin sulfate 40 mg/ml
Injektion Amoxicillin sodium / clavulanic acid 100/10 mg/ml
3824
Umiddelbar nedbør Uforenelig
Injektion Gentamicin sulfate 5 mg/ml
Injektion Amphotericin B cholesteryl sulfate complex 0,83 mg/ml
5 % Glukose 921
Uspecificeret inkompatibilitet Uforenelig
Injektion Gentamicin sulfate
Injektion Ampicillin sodium
3643
Uspecificeret inkompatibilitet Uforenelig
Injektion Gentamicin sulfate
Injektion Ampicillin sodium
3520
Uspecificeret inkompatibilitet Uforenelig
Injektion Gentamicin sulfate
Injektion Ampicillin sodium - sulbactam sodium
3643
Uspecificeret inkompatibilitet Uforenelig
Injektion Gentamicin sulfate
Injektion Ampicillin sodium - sulbactam sodium
3520
Kompatibel
Injektion Gentamicin sulfate 5 mg/ml
Injektion Amsacrine 1 mg/ml
5 % Glukose 253
Kompatibel
Injektion Gentamicin sulfate 5 mg/ml
Injektion Anidulafungin 0.5 mg/ml
5 % Glukose 1982
Kompatibel
Injektion Gentamicin sulfate 0,8 mg/ml
Injektion Atosiban 0,75 mg/ml
4642
Kompatibel
Injektion Gentamicin sulfate 2 mg/ml
Injektion Atracurium besylate 0.5 mg/ml
5 % Glukose 402
Umiddelbar nedbør Uforenelig
Injektion Gentamicin sulfate 21 mg/ml
Injektion Azithromycine 2 mg/ml
0,9 % Natriumklorid 1800
Kompatibel
Injektion Gentamicin sulfate 5 mg/ml
Injektion Aztreonam 40 mg/ml
5 % Glukose 99
Kompatibel
Injektion Gentamicin sulfate 0.2 & 0.8 mg/ml
Injektion Aztreonam 10 & 20 mg/ml
0,9 % Natriumklorid 19
Kompatibel
Injektion Gentamicin sulfate 0.2 & 0.8 mg/ml
Injektion Aztreonam 10 & 20 mg/ml
5 % Glukose 19
Kompatibel
Injektion Gentamicin sulfate 5 mg/ml
Injektion Bivalirudin 5 mg/ml
5 % Glukose 1713
Kompatibel
Injektion Gentamicin sulfate 10 mg/ml
Injektion Caffeine 10 mg/ml
Ingen 3964
Kompatibel
Injektion Gentamicin sulfate 10 mg/ml
Injektion Caffeine 10 mg/ml
0,9 % Natriumklorid 4837
Kompatibel
Injektion Gentamicin sulfate 10 mg/ml
Injektion Caffeine citrate 20 mg/ml
0,9 % Natriumklorid 4837
Uspecificeret inkompatibilitet Uforenelig
Injektion Gentamicin sulfate
Injektion Calcium gluconate
3644
Uforenelig
Injektion Gentamicin sulfate
Injektion Calcium gluconate
4964
Kompatibel
Injektion Gentamicin sulfate 5 mg/ml
Injektion Caspofungin acetate 0,7 mg/ml
0,9 % Natriumklorid 2247
Uspecificeret inkompatibilitet Uforenelig
Injektion Gentamicin sulfate
Injektion Cefalotin sodium
3520
Uspecificeret inkompatibilitet Uforenelig
Injektion Gentamicin sulfate
Injektion Cefalotin sodium
3643
Umiddelbar nedbør Uforenelig
Injektion Gentamicin sulfate
Injektion Cefamandole nafate 2 >> 100 mg/ml
5 % Glukose 612
Uspecificeret inkompatibilitet Uforenelig
Injektion Gentamicin sulfate
Injektion Cefamandole nafate
3643
Uspecificeret inkompatibilitet Uforenelig
Injektion Gentamicin sulfate
Injektion Cefamandole nafate
3520
Uspecificeret inkompatibilitet Uforenelig
Injektion Gentamicin sulfate
Injektion Cefamandole nafate
3546
Umiddelbar nedbør Uforenelig
Injektion Gentamicin sulfate
Injektion Cefamandole nafate 2 >> 100 mg/ml
0,9 % Natriumklorid 612
Uspecificeret inkompatibilitet Uforenelig
Injektion Gentamicin sulfate
Injektion Cefazolin sodium
3520
Uspecificeret inkompatibilitet Uforenelig
Injektion Gentamicin sulfate
Injektion Cefazolin sodium
3643
Uspecificeret inkompatibilitet Uforenelig
Injektion Gentamicin sulfate
Injektion Cefepime dihydrochloride
3520
Kompatibel
Injektion Gentamicin sulfate 6 mg/ml
Injektion Cefepime dihydrochloride 125 mg/ml
Vand til injektion 2141
Uspecificeret inkompatibilitet Uforenelig
Injektion Gentamicin sulfate
Injektion Cefepime dihydrochloride
3548
Uspecificeret inkompatibilitet Uforenelig
Injektion Gentamicin sulfate
Injektion Cefepime dihydrochloride
3643
Kompatibel
Injektion Gentamicin sulfate 5 mg/ml
Injektion Cefiderocol sulfate tosylate 20 mg/mL
5 % Glukose 4528
Kompatibel
Injektion Gentamicin sulfate 5 mg/ml
Injektion Cefiderocol sulfate tosylate 20 mg/mL
0,9 % Natriumklorid 4528
Uspecificeret inkompatibilitet Uforenelig
Injektion Gentamicin sulfate
Injektion Cefmenoxime
3520
Uspecificeret inkompatibilitet Uforenelig
Injektion Gentamicin sulfate
Injektion Cefmenoxime
3643
Uspecificeret inkompatibilitet Uforenelig
Injektion Gentamicin sulfate
Injektion Cefmetazole sodium
3520
Uspecificeret inkompatibilitet Uforenelig
Injektion Gentamicin sulfate
Injektion Cefmetazole sodium
3643
Uspecificeret inkompatibilitet Uforenelig
Injektion Gentamicin sulfate
Injektion Cefonicid sodium
3643
Uspecificeret inkompatibilitet Uforenelig
Injektion Gentamicin sulfate
Injektion Cefonicid sodium
3520
Uspecificeret inkompatibilitet Uforenelig
Injektion Gentamicin sulfate
Injektion Cefoperazone sodium
3544
Uspecificeret inkompatibilitet Uforenelig
Injektion Gentamicin sulfate
Injektion Cefoperazone sodium
3643
Umiddelbar nedbør Uforenelig
Injektion Gentamicin sulfate 0.8 mg/ml
Injektion Cefoperazone sodium 10 mg/ml
5 % Glukose 1206
Uspecificeret inkompatibilitet Uforenelig
Injektion Gentamicin sulfate
Injektion Cefoperazone sodium
3520
Uspecificeret inkompatibilitet Uforenelig
Injektion Gentamicin sulfate
Injektion Ceforanide
3643
Uspecificeret inkompatibilitet Uforenelig
Injektion Gentamicin sulfate
Injektion Ceforanide
3520
Uspecificeret inkompatibilitet Uforenelig
Injektion Gentamicin sulfate
Injektion Cefotaxime sodium
3520
Uspecificeret inkompatibilitet Uforenelig
Injektion Gentamicin sulfate
Injektion Cefotaxime sodium
3643
Uspecificeret inkompatibilitet Uforenelig
Injektion Gentamicin sulfate
Injektion Cefoxitin sodium
3643
Uspecificeret inkompatibilitet Uforenelig
Injektion Gentamicin sulfate
Injektion Cefoxitin sodium
3520
Kompatibel
Injektion Gentamicin sulfate 1 mg/ml
Injektion Cefpirome sulfate 50 mg/ml
0,9 % Natriumklorid 280
Kompatibel
Injektion Gentamicin sulfate 1 mg/ml
Injektion Cefpirome sulfate 50 mg/ml
Ringer laktat 280
Kompatibel
Injektion Gentamicin sulfate 1 mg/ml
Injektion Cefpirome sulfate 50 mg/ml
0,45 % Natriumklorid 280
Uspecificeret inkompatibilitet Uforenelig
Injektion Gentamicin sulfate
Injektion Cefpirome sulfate
3643
Uspecificeret inkompatibilitet Uforenelig
Injektion Gentamicin sulfate
Injektion Cefpirome sulfate
3677
Kompatibel
Injektion Gentamicin sulfate 1 mg/ml
Injektion Cefpirome sulfate 50 mg/ml
5 % Glukose 280
Uspecificeret inkompatibilitet Uforenelig
Injektion Gentamicin sulfate
Injektion Cefpirome sulfate
3520
Kompatibel
Injektion Gentamicin sulfate 5 mg/ml
Injektion Ceftaroline fosamil 2,22 mg/ml
0,9 % Natriumklorid 3249
Kompatibel
Injektion Gentamicin sulfate 5 mg/ml
Injektion Ceftaroline fosamil 2,22 mg/ml
Ringer laktat 3249
Kompatibel
Injektion Gentamicin sulfate 5 mg/ml
Injektion Ceftaroline fosamil 2,22 mg/ml
5 % Glukose 3249
Uspecificeret inkompatibilitet Uforenelig
Injektion Gentamicin sulfate
Injektion Ceftaroline fosamil
3643
Uspecificeret inkompatibilitet Uforenelig
Injektion Gentamicin sulfate
Injektion Ceftaroline fosamil
3520
Uspecificeret inkompatibilitet Uforenelig
Injektion Gentamicin sulfate
Injektion Ceftazidime
3543
Uspecificeret inkompatibilitet Uforenelig
Injektion Gentamicin sulfate
Injektion Ceftazidime
3520
Uspecificeret inkompatibilitet Uforenelig
Injektion Gentamicin sulfate
Injektion Ceftazidime
3643
Kompatibel
Injektion Gentamicin sulfate 6 mg/ml
Injektion Ceftazidime 125 mg/ml
Vand til injektion 2141
Kompatibel
Injektion Gentamicin sulfate 6 mg/ml
Injektion Ceftazidime 83.3 mg/ml
1759
Uspecificeret inkompatibilitet Uforenelig
Injektion Gentamicin sulfate
Injektion Ceftazidime
3883
Uspecificeret inkompatibilitet Uforenelig
Injektion Gentamicin sulfate
Injektion Ceftazidime Avibactam
3520
Uspecificeret inkompatibilitet Uforenelig
Injektion Gentamicin sulfate
Injektion Ceftazidime Avibactam
3643
Uspecificeret inkompatibilitet Uforenelig
Injektion Gentamicin sulfate
Injektion Ceftizoxime sodium
3643
Uspecificeret inkompatibilitet Uforenelig
Injektion Gentamicin sulfate
Injektion Ceftizoxime sodium
3520
Uspecificeret inkompatibilitet Uforenelig
Injektion Gentamicin sulfate
Injektion Ceftobiprole medocaril sodium
3643
Uspecificeret inkompatibilitet Uforenelig
Injektion Gentamicin sulfate
Injektion Ceftobiprole medocaril sodium
4650
Umiddelbar nedbør Uforenelig
Injektion Gentamicin sulfate 5 mg/ml
Injektion Ceftobiprole medocaril sodium 2 mg/ml
5 % Glukose 2269
Umiddelbar nedbør Uforenelig
Injektion Gentamicin sulfate 5 mg/ml
Injektion Ceftobiprole medocaril sodium 2 mg/ml
Ringer laktat 2269
Umiddelbar nedbør Uforenelig
Injektion Gentamicin sulfate 5 mg/ml
Injektion Ceftobiprole medocaril sodium 2 mg/ml
0,9 % Natriumklorid 2269
Uspecificeret inkompatibilitet Uforenelig
Injektion Gentamicin sulfate
Injektion Ceftobiprole medocaril sodium
3520
Kompatibel
Injektion Gentamicin sulfate 5 mg/ml
Injektion Ceftolozane / tazobactam 10/5 mg/ml
5 % Glukose 3828
Uspecificeret inkompatibilitet Uforenelig
Injektion Gentamicin sulfate
Injektion Ceftolozane / tazobactam
3643
Uspecificeret inkompatibilitet Uforenelig
Injektion Gentamicin sulfate
Injektion Ceftolozane / tazobactam
3520
Kompatibel
Injektion Gentamicin sulfate 5 mg/ml
Injektion Ceftolozane / tazobactam 10/5 mg/ml
0,9 % Natriumklorid 3828
Uspecificeret inkompatibilitet Uforenelig
Injektion Gentamicin sulfate
Injektion Ceftriaxone disodium
3523
Uspecificeret inkompatibilitet Uforenelig
Injektion Gentamicin sulfate
Injektion Ceftriaxone disodium
3643
Uspecificeret inkompatibilitet Uforenelig
Injektion Gentamicin sulfate
Injektion Ceftriaxone disodium
3520
Uspecificeret inkompatibilitet Uforenelig
Injektion Gentamicin sulfate
Injektion Cefuroxime sodium
3643
Uspecificeret inkompatibilitet Uforenelig
Injektion Gentamicin sulfate
Injektion Cefuroxime sodium
3520
Uspecificeret inkompatibilitet Uforenelig
Injektion Gentamicin sulfate
Injektion Cefuroxime sodium
3687
Uspecificeret inkompatibilitet Uforenelig
Injektion Gentamicin sulfate
Injektion Cefuzonam
3520
Kompatibel
Injektion Gentamicin sulfate 0.8 mg/ml
Injektion Cimetidine hydrochloride 3 mg/ml
5 % Glukose 1201
Kompatibel
Injektion Gentamicin sulfate 0.08 mg/ml
Injektion Cimetidine hydrochloride 1.2 & 5 mg/ml
0,9 % Natriumklorid 1201
Kompatibel
Injektion Gentamicin sulfate 0.08 mg/ml
Injektion Cimetidine hydrochloride 1.2 & 5 mg/ml
5 % Glukose 1201
Kompatibel
Injektion Gentamicin sulfate 10 mg/ml
Injektion Ciprofloxacin lactate 2 mg/ml
0,9 % Natriumklorid 289
Kompatibel
Injektion Gentamicin sulfate 1.6 mg/ml
Injektion Ciprofloxacin lactate 2 mg/ml
5 % Glukose 285
Kompatibel
Injektion Gentamicin sulfate 5 mg/ml
Injektion Cisatracurium besylate 0.1 >> 5 mg/ml
5 % Glukose 299
Kemisk ustabilitet Uforenelig
Injektion Gentamicin sulfate
Injektion Cisplatin
3578
Kompatibel
Injektion Gentamicin sulfate 12 mg/ml
Injektion Clindamycin phosphate 90 mg/ml
0,9 % Natriumklorid 639
Kompatibel
Injektion Gentamicin sulfate 0.67 mg/ml
Injektion Clindamycin phosphate 6 mg/ml
5 % Glukose 423
Kompatibel
Injektion Gentamicin sulfate
5 % Glukose 434
Uspecificeret inkompatibilitet Uforenelig
Injektion Gentamicin sulfate
Injektion Cefuzonam
3643
Kompatibel
Injektion Gentamicin sulfate 1 mg/ml
Injektion Ciprofloxacin lactate 1.5 mg/ml
0,9 % Natriumklorid 434
Kompatibel
Injektion Gentamicin sulfate 1.6 mg/ml
Injektion Ciprofloxacin lactate 2 mg/ml
5 % Glukose 288
Kompatibel
Injektion Gentamicin sulfate 1.6 mg/ml
Injektion Ciprofloxacin lactate 2 mg/ml
0,9 % Natriumklorid 288
Kompatibel
Injektion Gentamicin sulfate 1 mg/ml
Injektion Ciprofloxacin lactate 1.5 mg/ml
5 % Glukose 434
Kompatibel
Injektion Gentamicin sulfate
Injektion Clindamycin phosphate
0,9 % Natriumklorid 3526
Umiddelbar nedbør Uforenelig
Injektion Gentamicin sulfate 40 mg/ml
Injektion Cloxacillin sodium 100 mg/ml
Vand til injektion 3012
Kompatibel
Injektion Gentamicin sulfate 15 mg/ml
Injektion Cytarabine 16 mg/ml
0,9 % Natriumklorid 132
Uforenelig
Injektion Gentamicin sulfate 2 & 10 mg/ml
Parenteral ernæring (lipider) 4924
Kompatibel
Injektion Gentamicin sulfate
Injektion Clindamycin phosphate
5 % Glukose 3526
Uspecificeret inkompatibilitet Uforenelig
Injektion Gentamicin sulfate
Injektion Cloxacillin sodium
3520
Uspecificeret inkompatibilitet Uforenelig
Injektion Gentamicin sulfate
Injektion Cytarabine
3580
Kompatibel
Injektion Gentamicin sulfate 1,5 mg/ml
Injektion Daptomycin 19,2 mg/ml
0,9 % Natriumklorid 1937
Kompatibel
Injektion Gentamicin sulfate 0,05 mg/ml
Parenteral ernæring (lipid-fri) 4445
Uspecificeret inkompatibilitet Uforenelig
Injektion Gentamicin sulfate
Injektion Cloxacillin sodium
3643
Ustabilitet af emulsionen efter 4 timer Uforenelig
Injektion Gentamicin sulfate 2 mg/ml
Parenteral ernæring (lipider) 4507
Uspecificeret inkompatibilitet Uforenelig
Injektion Gentamicin sulfate
Injektion Dalteparin sodium
3643
Kompatibel
Injektion Gentamicin sulfate
Injektion Daptomycin
2271
Kompatibel
Injektion Gentamicin sulfate 10 mg/ml
Parenteral ernæring (lipid-fri) 316
Kompatibel
Injektion Gentamicin sulfate
Injektion Dimenhydrinate
2087
Kompatibel
Injektion Gentamicin sulfate 10 & 40 mg/ml
Parenteral ernæring (lipid-fri) 999
Subvisuel uforenelighed Uforenelig
Injektion Gentamicin sulfate
Injektion Daunorubicin/cytarabine liposomale
4354
Kompatibel
Injektion Gentamicin sulfate 1 mg/ml
Parenteral ernæring (lipid-fri) 939
Umiddelbar turbiditet Uforenelig
Injektion Gentamicin sulfate
Injektion Daunorubicin/cytarabine liposomale 0,4 mg/mL
0,9 % Natriumklorid 4654
Kompatibel
Injektion Gentamicin sulfate 0.8 mg/ml
Injektion Diatrizoate meglumine 283 mg/ml
Ingen 1085
Kompatibel
Injektion Gentamicin sulfate 2.4 & 40 mg/ml
Injektion Diltiazem hydrochloride 5 mg/ml
0,9 % Natriumklorid 198
Kompatibel
Injektion Gentamicin sulfate 5 mg/ml
Injektion Docetaxel 0.9 mg/ml
5 % Glukose 1754
Uspecificeret inkompatibilitet Uforenelig
Injektion Gentamicin sulfate
Injektion Dopamine hydrochloride
3638
Kompatibel
Injektion Gentamicin sulfate 5 mg/ml
Parenteral ernæring (lipid-fri) 301
Kompatibel
Injektion Gentamicin sulfate 5 mg/ml
Injektion Doripenem 5 mg/ml
0,9 % Natriumklorid 2262
Uspecificeret inkompatibilitet Uforenelig
Injektion Gentamicin sulfate
NaHCO3 3520
Kompatibel
Injektion Gentamicin sulfate 2 mg/ml
Injektion Dopamine hydrochloride 0.8 mg/ml
5 % Glukose 738
Produktion af gasbobler Uforenelig
Injektion Gentamicin sulfate
NaHCO3 3643
Kompatibel
Injektion Gentamicin sulfate 5 mg/ml
Injektion Dexmedetomidine 4 µg/ml
0,9 % Natriumklorid 1712
Kompatibel
Injektion Gentamicin sulfate 5 mg/ml
Injektion Doripenem 5 mg/ml
5 % Glukose 2262
Kompatibel
Injektion Gentamicin sulfate 5 mg/ml
Parenteral ernæring (lipider) 1415
Kompatibel
Injektion Gentamicin sulfate 10 mg/ml
Injektion Doxapram hydrochloride 2 mg/ml
5 % Glukose 1802
Kompatibel
Injektion Gentamicin sulfate 5 mg/ml
Injektion Doxorubicin hydrochloride liposome peg 0.4 mg/ml
5 % Glukose 251
Kompatibel
Injektion Gentamicin sulfate 0.8 mg/ml
Injektion Enalaprilate 0.05 mg/ml
0,9 % Natriumklorid 1315
Uspecificeret inkompatibilitet Uforenelig
Injektion Gentamicin sulfate
Injektion Enoxaparin sodium
3643
Kompatibel
Injektion Gentamicin sulfate 5 mg/ml
Injektion Eravacycline 0,6 mg/ml
0,9 % Natriumklorid 4434
Uspecificeret inkompatibilitet Uforenelig
Injektion Gentamicin sulfate
Injektion Erythromycin lactobionate
3674
Uspecificeret inkompatibilitet Uforenelig
Injektion Gentamicin sulfate
Injektion Erythromycin lactobionate
3520
Uspecificeret inkompatibilitet Uforenelig
Injektion Gentamicin sulfate
Injektion Erythromycin lactobionate
3643
Kompatibel
Injektion Gentamicin sulfate 0,8 mg/ml
Injektion Esmolol hydrochloride 10 mg/ml
5 % Glukose 384
Kompatibel
Injektion Gentamicin sulfate 5 mg/ml
Injektion Etoposide phosphate 5 mg/ml
5 % Glukose 1410
Kompatibel
Injektion Gentamicin sulfate 5 mg/ml
Injektion Famotidine 2 mg/ml
0,9 % Natriumklorid 215
Kompatibel
Injektion Gentamicin sulfate 0,8 mg/ml
Injektion Famotidine
5 % Glukose 397
Kompatibel
Injektion Gentamicin sulfate 5 mg/ml
Injektion Fenoldopam mesylate 80 µg/ml
0,9 % Natriumklorid 1803
Kompatibel
Injektion Gentamicin sulfate 10 mg/ml
Injektion Fentanyl citrate 50 µg/ml
5 % Glukose 63
Kompatibel
Injektion Gentamicin sulfate 1.6 mg/ml
Injektion Filgrastim 40 µg/ml
5 % Glukose 104
Kompatibel
Injektion Gentamicin sulfate 5 mg/ml
Injektion Filgrastim 30 µg/ml
5 % Glukose 244
Uspecificeret inkompatibilitet Uforenelig
Injektion Gentamicin sulfate
Injektion Flucloxacillin sodium
3643
Umiddelbar nedbør Uforenelig
Injektion Gentamicin sulfate
Injektion Flucloxacillin sodium
3522
Kompatibel
Injektion Gentamicin sulfate 1 mg/ml
Injektion Fluconazole 2 mg/ml
Ingen 256
Kompatibel
Injektion Gentamicin sulfate 4 mg/ml
Injektion Fluconazole 2 mg/ml
0,9 % Natriumklorid 496
Kompatibel
Injektion Gentamicin sulfate 5 mg/ml
Injektion Fludarabine phosphate 1 mg/ml
5 % Glukose 492
Kompatibel
Injektion Gentamicin sulfate 2 mg/ml
Injektion Foscarnet sodium 24 mg/ml
0,9 % Natriumklorid 1135
Kompatibel
Injektion Gentamicin sulfate 2 mg/ml
Injektion Foscarnet sodium 24 mg/ml
5 % Glukose 1135
Kompatibel
Injektion Gentamicin sulfate 4 mg/ml
Injektion Foscarnet sodium 24 mg/ml
Ingen 73
Kompatibel
Injektion Gentamicin sulfate 10 mg/ml
Ringer laktat 4603
Kompatibel
Injektion Gentamicin sulfate 5 mg/ml
Injektion Fosfomycin 30 mg/ml
0,9 % Natriumklorid 4055
Umiddelbar nedbør Uforenelig
Injektion Gentamicin sulfate 0,4 mg/ml
Parenteral ernæring (lipider) 4440
Kompatibel
Injektion Gentamicin sulfate 40 mg/ml
Parenteral ernæring (lipider) 673
Kompatibel
Injektion Gentamicin sulfate 5 mg/ml
Injektion Fosfomycin 30 mg/ml
5 % Glukose 4055
Umiddelbar nedbør Uforenelig
Injektion Gentamicin sulfate 10 mg/ml
Injektion Furosemide 10 mg/ml
789
Umiddelbar nedbør Uforenelig
Injektion Gentamicin sulfate 1,6 mg/ml
Injektion Furosemide 0,8 mg/ml
5 % Glukose 367
Umiddelbar nedbør Uforenelig
Injektion Gentamicin sulfate 1,6 mg/ml
Injektion Furosemide 0,8 mg/ml
0,9 % Natriumklorid 367
Umiddelbar turbiditet Uforenelig
Injektion Gentamicin sulfate 6.4 mg/ml
Injektion Furosemide 5 mg/ml
805
Nedbør efter 2 timer Uforenelig
Injektion Gentamicin sulfate 8 mg/ml
Injektion Furosemide 1 mg/ml
0,9 % Natriumklorid 1232
Kompatibel
Injektion Gentamicin sulfate 5 mg/ml
Injektion Gemcitabine hydrochloride 10 mg/ml
0,9 % Natriumklorid 1423
Kompatibel
Injektion Gentamicin sulfate 1.5 mg/ml
Injektion Granisetron hydrochloride 1 mg/ml
0,9 % Natriumklorid 57
Kompatibel
Injektion Gentamicin sulfate 1 & 2 mg/ml
Injektion Heparin sodium 2500 UI/ml
4612
Umiddelbar nedbør Uforenelig
Injektion Gentamicin sulfate 4 >> 40 mg/ml
Injektion Heparin sodium 10 >> 40 UI/ml
1258
Umiddelbar nedbør Uforenelig
Injektion Gentamicin sulfate
Injektion Heparin sodium
1022
Uspecificeret inkompatibilitet Uforenelig
Injektion Gentamicin sulfate 2 mg/ml
Injektion Heparin sodium 50 UI/ml
Ingen 317
Uspecificeret inkompatibilitet Uforenelig
Injektion Gentamicin sulfate
Injektion Heparin sodium
3643
Uspecificeret inkompatibilitet Uforenelig
Injektion Gentamicin sulfate
Injektion Heparin sodium
3520
Uspecificeret inkompatibilitet Uforenelig
Injektion Gentamicin sulfate
Injektion Heparin sodium
3540
Umiddelbar turbiditet Uforenelig
Injektion Gentamicin sulfate 3 mg/ml
Injektion Heparin sodium 2500 UI/ml
4612
Umiddelbar nedbør Uforenelig
Injektion Gentamicin sulfate 4 & 5 mg/ml
Injektion Heparin sodium 2500 UI/ml
4612
Kompatibel
Injektion Gentamicin sulfate 5 mg/ml
Injektion Hetastarch 60 mg/ml
specifikt opløsningsmiddel 1721
Umiddelbar nedbør Uforenelig
Injektion Gentamicin sulfate 0.8 mg/ml
Injektion Hetastarch 60 mg/ml
0,9 % Natriumklorid 472
Kompatibel
Injektion Gentamicin sulfate 0.8 mg/ml
Injektion Hydromorphone hydrochloride 0.2 mg/ml
5 % Glukose 405
Farveændring Uforenelig
Injektion Gentamicin sulfate 3 mg/ml
Injektion Idarubicin hydrochloride 1 mg/ml
0,9 % Natriumklorid 491
Umiddelbar nedbør Uforenelig
Injektion Gentamicin sulfate 1 mg/ml
Injektion Indomethacin sodium trihydrate 0,5 & 1 mg/ml
5 % Glukose 494
Nedbør efter 15 minutter Uforenelig
Injektion Gentamicin sulfate 1 mg/ml
Injektion Indomethacin sodium trihydrate 0,5 & 1 mg/ml
5 % Glukose 1745
Kompatibel
Injektion Gentamicin sulfate 1.2 >> 2 mg/ml
Injektion Insulin 0.2 UI/ml
0,9 % Natriumklorid 129
Kompatibel
Injektion Gentamicin sulfate 0.8 mg/ml
Injektion Iohexol 300 mg I/ml
Ingen 1085
Umiddelbar nedbør Uforenelig
Injektion Gentamicin sulfate 0.8 mg/ml
Injektion Ioxaglate 320 mg I/ml
Ingen 1085
Kompatibel
Injektion Gentamicin sulfate 5 mg/ml
Injektion Isavuconazonium sulfate 1.5 mg/ml
5 % Glukose 3829
Kompatibel
Injektion Gentamicin sulfate 5 mg/ml
Injektion Isavuconazonium sulfate 1.5 mg/ml
0,9 % Natriumklorid 3829
Kompatibel
Injektion Gentamicin sulfate 40 mg/ml
Injektion Ketamine hydrochloride 50 mg/ml
2109
Kompatibel
Injektion Gentamicin sulfate 0.8 mg/ml
Injektion Labetalol hydrochloride 1 mg/ml
5 % Glukose 386
Kompatibel
Injektion Gentamicin sulfate 5 mg/ml
Injektion Lansoprazole 0.55 mg/ml
0,9 % Natriumklorid 1625
Kompatibel
Injektion Gentamicin sulfate 10 mg/ml
Injektion Levofloxacine 5 mg/ml
5 % Glukose 1072
Kompatibel
Injektion Gentamicin sulfate 0,75 mg/ml
Injektion Linezolid 1,80 mg/ml
2353
Kompatibel
Injektion Gentamicin sulfate 5 mg/ml
Injektion Linezolid 2 mg/ml
Ingen 1925
Kompatibel
Injektion Gentamicin sulfate 3 mg/ml
Injektion Lorazepam 0.33 mg/ml
0,9 % Natriumklorid 186
Kompatibel
Injektion Gentamicin sulfate 0.8 mg/ml
Injektion Magnesium sulfate 16.67 >> 100 mg/ml
5 % Glukose 1047
Kompatibel
Injektion Gentamicin sulfate 5 mg/ml
Injektion Melphalan 0.1 mg/ml
0,9 % Natriumklorid 169
Kompatibel
Injektion Gentamicin sulfate 40 mg/ml
Injektion Meropenem 50 mg/ml
Vand til injektion 4319
Kompatibel
Injektion Gentamicin sulfate 0.8 mg/ml
Injektion Meropenem 1 & 20 mg/ml
0,9 % Natriumklorid 266
Kompatibel
Injektion Gentamicin sulfate 4 mg/ml
Injektion Meropenem 1 & 50 mg/ml
0,9 % Natriumklorid 266
Kompatibel
Injektion Gentamicin sulfate 30 mg/ml
Injektion Meropenem 10 mg/ml
0,9 % Natriumklorid 2335
Kompatibel
Injektion Gentamicin sulfate 0,8 & 1,2 mg/ml
Injektion Metronidazole 5 mg/ml
Ingen 1243
Kompatibel
Injektion Gentamicin sulfate 0.8 mg/ml
Injektion Metronidazole 5 mg/ml
Ingen 1035
Kompatibel
Injektion Gentamicin sulfate
Injektion Metronidazole
3594
Kompatibel
Injektion Gentamicin sulfate 3 mg/ml
Injektion Midazolam hydrochloride 5 mg/ml
Ingen 186
Kompatibel
Injektion Gentamicin sulfate 10 mg/ml
Injektion Midazolam hydrochloride 1 mg/ml
5 % Glukose 176
Kompatibel
Injektion Gentamicin sulfate 0.8 mg/ml
Injektion Midazolam hydrochloride 0.05 >> 0.4 mg/ml
0,9 % Natriumklorid 1888
Uspecificeret inkompatibilitet Uforenelig
Injektion Gentamicin sulfate
Injektion Mitomycin
4471
Kemisk ustabilitet Uforenelig
Injektion Gentamicin sulfate
Injektion Mitomycin
3128
Kompatibel
Injektion Gentamicin sulfate 1.2 & 2 mg/ml
Injektion Morphine sulfate 1 mg/ml
0,9 % Natriumklorid 406
Kompatibel
Injektion Gentamicin sulfate 0.8 mg/ml
Injektion Morphine sulfate 1 mg/ml
5 % Glukose 405
Uspecificeret inkompatibilitet Uforenelig
Injektion Gentamicin sulfate
Injektion Moxalactam
3643
Uspecificeret inkompatibilitet Uforenelig
Injektion Gentamicin sulfate
Injektion Moxalactam
3520
Kompatibel
Injektion Gentamicin sulfate 40 mg/ml
Injektion N-acetylcysteine 200 mg/ml
Ingen 3766
Uspecificeret inkompatibilitet Uforenelig
Injektion Gentamicin sulfate
Injektion Nadroparin
3643
Uspecificeret inkompatibilitet Uforenelig
Injektion Gentamicin sulfate
Injektion Nafcillin sodium
3643
Uspecificeret inkompatibilitet Uforenelig
Injektion Gentamicin sulfate
Injektion Nafcillin sodium
3520
Kompatibel
Injektion Gentamicin sulfate 40 mg/ml
Injektion Naloxone hydrochloride 0.4 mg/ml
Ingen 3408
Kompatibel
Injektion Gentamicin sulfate 4.17 mg/ml
Injektion Nefopam 0.16 mg/ml
0,9 % Natriumklorid 4254
Kompatibel
Injektion Gentamicin sulfate 4.17 mg/ml
Injektion Nefopam 0.16 mg/ml
5 % Glukose 4254
Kompatibel
Injektion Gentamicin sulfate 0.8 mg/ml
Injektion Nicardipine hydrochloride 0.1 mg/ml
5 % Glukose 1490
Kompatibel
Injektion Gentamicin sulfate 0.8 mg/ml
Injektion Nicardipine hydrochloride 0.1 mg/ml
0,9 % Natriumklorid 1490
Kompatibel
Injektion Gentamicin sulfate 0,8 mg/ml
Injektion Ofloxacin 2 mg/ml
Ingen 889
Kompatibel
Injektion Gentamicin sulfate 5 mg/ml
Injektion Ondansetron hydrochloride 1 mg/ml
0,9 % Natriumklorid 334
Kompatibel
Injektion Gentamicin sulfate 5 mg/ml
Injektion Oritavancin 0.8 >>2 mg/ml
5 % Glukose 3152
Uspecificeret inkompatibilitet Uforenelig
Injektion Gentamicin sulfate
Injektion Oxacillin sodium
3643
Uspecificeret inkompatibilitet Uforenelig
Injektion Gentamicin sulfate
Injektion Oxacillin sodium
3520
Kompatibel
Injektion Gentamicin sulfate 40 mg/ml
Injektion Oxycodone hydrochloride 1 mg/ml
0,9 % Natriumklorid 4842
Kompatibel
Injektion Gentamicin sulfate 5 mg/ml
Injektion Paclitaxel 1.2 mg/ml
5 % Glukose 248
Kompatibel
Injektion Gentamicin sulfate 5 mg/ml
Injektion Palonosetron hydrochloride 50 µg/ml
5 % Glukose 2228
Kompatibel
Injektion Gentamicin sulfate 2 mg/ml
Injektion Pancuronium bromide 0.05 mg/ml
5 % Glukose 402
Umiddelbar nedbør Uforenelig
Injektion Gentamicin sulfate
Injektion Pantoprazole sodium
2090
Kompatibel
Injektion Gentamicin sulfate 40 mg/ml
Injektion Paracetamol 10 mg/ml
4742
Umiddelbar nedbør Uforenelig
Injektion Gentamicin sulfate 5 mg/ml
Injektion Pemetrexed disodium 20 mg/ml
1953
Uspecificeret inkompatibilitet Uforenelig
Injektion Gentamicin sulfate
Injektion Penicillin G potassium
3643
Uspecificeret inkompatibilitet Uforenelig
Injektion Gentamicin sulfate
Injektion Penicillin G potassium
3520
Uspecificeret inkompatibilitet Uforenelig
Injektion Gentamicin sulfate
Injektion Penicillin G sodium
3643
Uspecificeret inkompatibilitet Uforenelig
Injektion Gentamicin sulfate
Injektion Penicillin G sodium
3520
Kompatibel
Injektion Gentamicin sulfate 10 mg/ml
Injektion Pentoxifyllin 5 mg/ml
0,9 % Natriumklorid 4543
Kompatibel
Injektion Gentamicin sulfate 0.8 mg/ml
Injektion Pethidine hydrochloride 10 mg/ml
5 % Glukose 405
Umiddelbar nedbør Uforenelig
Injektion Gentamicin sulfate 10 mg/ml
Injektion Phenytoin sodium 50 mg/ml
789
Kompatibel
Injektion Gentamicin sulfate 20 mg/ml
Injektion Phloroglucinol 2,5 mg/ml
3791
Uspecificeret inkompatibilitet Uforenelig
Injektion Gentamicin sulfate
Injektion Piperacillin sodium
3520
Uspecificeret inkompatibilitet Uforenelig
Injektion Gentamicin sulfate
Injektion Piperacillin sodium
3643
Uspecificeret inkompatibilitet Uforenelig
Injektion Gentamicin sulfate
Injektion Piperacillin sodium / tazobactam
3520
Kemisk ustabilitet Uforenelig
Injektion Gentamicin sulfate
Injektion Piperacillin sodium / tazobactam
3586
Uspecificeret inkompatibilitet Uforenelig
Injektion Gentamicin sulfate
Injektion Piperacillin sodium / tazobactam
3643
Kompatibel
Injektion Gentamicin sulfate
Injektion Posaconazole
4380
Kompatibel
Injektion Gentamicin sulfate 30 mg/ml
Injektion Potassium chloride 20 mEq/l
0,45 % NaCl - 5 % Glukose 2335
Umiddelbar ustabilitet af emulsionen Uforenelig
Injektion Gentamicin sulfate 2 mg/ml
Injektion Propofol
660
Uspecificeret inkompatibilitet Uforenelig
Injektion Gentamicin sulfate 40 mg/ml
Injektion Propofol
4524
Umiddelbar nedbør Uforenelig
Injektion Gentamicin sulfate 5 mg/ml
Injektion Propofol 10 mg/ml
Ingen 300
Kompatibel
Injektion Gentamicin sulfate 5 mg/ml
Injektion Remifentanil hydrochloride 25 & 250 µg/ml
0,9 % Natriumklorid 59
Kompatibel
Injektion Gentamicin sulfate 40 mg/ml
Injektion Salbutamol sulfate 1 mg/ml
Ingen 3216
Kompatibel
Injektion Gentamicin sulfate 5 mg/ml
Injektion Sargramostim 10 µg/ml
0,9 % Natriumklorid 335
Kompatibel
Injektion Gentamicin sulfate 10 mg/ml
Injektion Sildenafil citrate 0,6 mg/ml
5 % Glukose 4845
Kompatibel
Injektion Gentamicin sulfate 2,4 mg/ml
Injektion Sodium bicarbonate 40 mg/ml
Ingen 3122
Produktion af gasbobler Uforenelig
Injektion Gentamicin sulfate
Injektion Sodium bicarbonate
3643
Kompatibel
Injektion Gentamicin sulfate 2.5 mg/ml
Injektion Sodium citrate 40 mg/ml
Vand til injektion 3952
Kompatibel
Injektion Gentamicin sulfate 40 mg/ml
Injektion Sugammadex 100 mg/ml
Ingen 3372
Kompatibel
Injektion Gentamicin sulfate 5 mg/ml
Injektion Sulbactam/durlobactam 15/15 mg/ml
0,9 % Natriumklorid 4801
Kompatibel
Injektion Gentamicin sulfate 4 mg/ml
Injektion Tacrolimus 1000 µg/ml
0,9 % Natriumklorid 479
Kompatibel
Injektion Gentamicin sulfate
0,9 % Natriumklorid 1704
Kompatibel
Injektion Gentamicin sulfate
0,9 % Natriumklorid 434
Uspecificeret inkompatibilitet Uforenelig
Injektion Gentamicin sulfate
Injektion Sodium bicarbonate
3520
Kompatibel
Injektion Gentamicin sulfate 1 >> 5 mg/ml
Injektion Sodium citrate 40 mg/ml
Ingen 2019
Umiddelbar turbiditet Uforenelig
Injektion Gentamicin sulfate 5 mg/ml
Injektion Tedizolid phosphate 0.8 mg/ml
0,9 % Natriumklorid 3827
Uspecificeret inkompatibilitet Uforenelig
Injektion Gentamicin sulfate
Injektion Teicoplanine
3656
Kompatibel
Injektion Gentamicin sulfate 5 mg/ml
Injektion Telavancin hydrochloride 7.5 mg/ml
Ringer laktat 3254
Kompatibel
Injektion Gentamicin sulfate 5 mg/ml
Injektion Telavancin hydrochloride 7.5 mg/ml
0,9 % Natriumklorid 3254
Kompatibel
Injektion Gentamicin sulfate 5 mg/ml
Injektion Telavancin hydrochloride 7.5 mg/ml
5 % Glukose 3254
Kompatibel
Injektion Gentamicin sulfate 6 mg/ml
Injektion Temocilline 83.33 mg/ml
Vand til injektion 2231
Uspecificeret inkompatibilitet Uforenelig
Injektion Gentamicin sulfate
Injektion Temocilline
3643
Uspecificeret inkompatibilitet Uforenelig
Injektion Gentamicin sulfate
Injektion Temocilline
3520
Uspecificeret inkompatibilitet Uforenelig
Injektion Gentamicin sulfate
Injektion Temocilline
2296
Kompatibel
Injektion Gentamicin sulfate 5 mg/ml
Injektion Teniposide 0.1 mg/ml
5 % Glukose 905
Kompatibel
Injektion Gentamicin sulfate 2 mg/ml
Injektion Theophylline 4 mg/ml
Ingen 317
Umiddelbar nedbør Uforenelig
Injektion Gentamicin sulfate 40 mg/ml
Injektion Thiopental sodium 25 mg/ml
0,9 % Natriumklorid 3767
Kompatibel
Injektion Gentamicin sulfate 5 mg/ml
Injektion Thiotepa 1 mg/ml
5 % Glukose 249
Kemisk ustabilitet Uforenelig
Injektion Gentamicin sulfate
Injektion Ticarcillin / clavulanic acid
3587
Uspecificeret inkompatibilitet Uforenelig
Injektion Gentamicin sulfate
Injektion Ticarcillin / clavulanic acid
3643
Uspecificeret inkompatibilitet Uforenelig
Injektion Gentamicin sulfate
Injektion Ticarcillin / clavulanic acid
3520
Kompatibel
Injektion Gentamicin sulfate
Injektion Tigecycline
0,9 % Natriumklorid 3332
Kompatibel
Injektion Gentamicin sulfate 6 mg/ml
Injektion Vancomycin hydrochloride 10 mg/ml
5 % Glukose 3385
Kompatibel
Injektion Gentamicin sulfate 1.2 mg/ml
Injektion Vasopressin 0.2 UI/ml
0,9 % Natriumklorid 2017
Kompatibel
Injektion Gentamicin sulfate 2 mg/ml
Injektion Vecuronium bromide 0.1 mg/ml
5 % Glukose 402
Kompatibel
Injektion Gentamicin sulfate 0.16 mg/ml
Injektion Verapamil hydrochloride 0.08 mg/ml
5 % Glukose 1057
Kompatibel
Injektion Gentamicin sulfate 0.16 mg/ml
Injektion Verapamil hydrochloride 0.08 mg/ml
0,9 % Natriumklorid 1057
Kompatibel
Injektion Gentamicin sulfate 5 mg/ml
Injektion Vinorelbine tartrate 1 mg/ml
0,9 % Natriumklorid 84
Umiddelbar turbiditet Uforenelig
Injektion Gentamicin sulfate 1.6 mg/ml
Injektion Warfarin sodium 2 mg/ml
5 % Glukose 315
Kompatibel
Injektion Gentamicin sulfate 2 mg/ml
Injektion Zidovudine 4 mg/ml
5 % Glukose 337

  Mentions Légales