Pēdējā atjaunošana :
27/04/2026
Antibiotika   Gentamicin sulfate  
Injekcija
Acu pilieni
Šķīduma stabilitāte Maisījuma stabilitāte Stabilitāti ietekmējoši faktori Saderība Levadīšanas veids Literatūras saraksts pdf
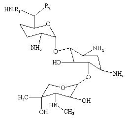
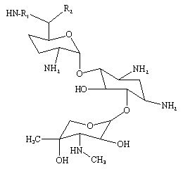
   Ķīmiskā uzbūve   

Oriģinālais nosaukums   Oriģinālais nosaukums     

Tirdzniecības nosaukumi ir apzīmējoši un palīgvielas var atšķirties dažādām valstīm un laboratorijām

Azupel Peru
Cidomycin Ēģipte, Lielbritānija, Tunisija
Dabroson Grieķija
Epigent Ēģipte
Garalone Portugāle
Garamicina Brazīlija, Ekvadora, Kolumbija, Meksika
Garamycin Apvienotie Arābu Emirāti, Dānija, Ēģipte, Grieķija, Holande, Horvātija, Indija, Norvēģija, Polija, Šveice
Genmisin Turcija
Gensif Turcija
Gensumycin Norvēģija, Somija, Zviedrija
Genta-Gobens Spānija
Gentalline Maroka
Gentamen Maroka
Genticin Apvienotie Arābu Emirāti, Īrija, Lielbritānija
Gentreks Turcija
Hexamycin Dānija
Plurisemina Argentīna
Refobacin Austrija, Ēģipte, Kolumbija, Vācija
Rupegen Argentīna
Saderība   Injekcija   Saderība : Gentamicin sulfate              
Šī tabula parāda zāļu saderību vai nesaderību, pēc iespējas arī nesaderības tipu (precipitācija, krāsas maiņa, emulsijas sadalīšanās utt). Parādītas šeit saderības ir pārsvarā tikai fizikālās, pēc iespējas tiek parādīta ķīmiskā stabilitāte katrai molekulai. Šo maisījumu analīze tikai veikta, lai izprastu iespējamību ievadīt zāles Y-savienojuma vietā sistēmā pacientam. Šie dati nevar tikt izmantoti, lai pagatavot zāļu maisījumus vēlākai lietošanai maisos vai šļircēs. Šī informācija ir pieejama sadaļā "Maisījuma stabilitāte".
Savienojums Šķīdinātājs Literatūras saraksts
Savietojams
Injekcija Gentamicin sulfate 1.6 mg/ml
Injekcija Aciclovir sodium 5 mg/ml
5% glikoze 336
Tūlītēji nokrišņi Nesavienojams
Injekcija Gentamicin sulfate 30 mg/ml
Injekcija Aciclovir sodium 5 mg/ml
Nātrija hlorīds 0.9% 2335
Nokrišņi pēc 1 stundas Nesavienojams
Injekcija Gentamicin sulfate 5 mg/ml
Injekcija Allopurinol sodium 3 mg/ml
Nātrija hlorīds 0.9% 307
Savietojams
Injekcija Gentamicin sulfate 1 mg/ml
Injekcija Alprostadil 15 µg/ml
3201
Savietojams
Injekcija Gentamicin sulfate 5 mg/ml
Injekcija Amifostine 10 mg/ml
5% glikoze 3
Savietojams
Injekcija Gentamicin sulfate 0.8 mg/ml
Injekcija Amiodarone hydrochloride 4 mg/ml
Nātrija hlorīds 0.9% 385
Savietojams
Injekcija Gentamicin sulfate 0.8 mg/ml
Injekcija Amiodarone hydrochloride 4 mg/ml
5% glikoze 385
Neprecizēta nesaderība Nesavienojams
Injekcija Gentamicin sulfate
Injekcija Amoxicillin sodium
3643
Neprecizēta nesaderība Nesavienojams
Injekcija Gentamicin sulfate
Injekcija Amoxicillin sodium
3520
Ķīmiskā nestabilitāte Nesavienojams
Injekcija Gentamicin sulfate
Injekcija Amoxicillin sodium
3527
Neprecizēta nesaderība Nesavienojams
Injekcija Gentamicin sulfate
Injekcija Amoxicillin sodium / clavulanic acid
3643
Neprecizēta nesaderība Nesavienojams
Injekcija Gentamicin sulfate
Injekcija Amoxicillin sodium / clavulanic acid
3545
Neprecizēta nesaderība Nesavienojams
Injekcija Gentamicin sulfate
Injekcija Amoxicillin sodium / clavulanic acid
3520
Savietojams
Injekcija Gentamicin sulfate 40 mg/ml
Injekcija Amoxicillin sodium / clavulanic acid 100/10 mg/ml
3824
Tūlītēji nokrišņi Nesavienojams
Injekcija Gentamicin sulfate 5 mg/ml
Injekcija Amphotericin B cholesteryl sulfate complex 0,83 mg/ml
5% glikoze 921
Neprecizēta nesaderība Nesavienojams
Injekcija Gentamicin sulfate
Injekcija Ampicillin sodium
3643
Neprecizēta nesaderība Nesavienojams
Injekcija Gentamicin sulfate
Injekcija Ampicillin sodium
3520
Neprecizēta nesaderība Nesavienojams
Injekcija Gentamicin sulfate
Injekcija Ampicillin sodium - sulbactam sodium
3643
Neprecizēta nesaderība Nesavienojams
Injekcija Gentamicin sulfate
Injekcija Ampicillin sodium - sulbactam sodium
3520
Savietojams
Injekcija Gentamicin sulfate 5 mg/ml
Injekcija Amsacrine 1 mg/ml
5% glikoze 253
Savietojams
Injekcija Gentamicin sulfate 5 mg/ml
Injekcija Anidulafungin 0.5 mg/ml
5% glikoze 1982
Savietojams
Injekcija Gentamicin sulfate 0,8 mg/ml
Injekcija Atosiban 0,75 mg/ml
4642
Savietojams
Injekcija Gentamicin sulfate 2 mg/ml
Injekcija Atracurium besylate 0.5 mg/ml
5% glikoze 402
Tūlītēji nokrišņi Nesavienojams
Injekcija Gentamicin sulfate 21 mg/ml
Injekcija Azithromycine 2 mg/ml
Nātrija hlorīds 0.9% 1800
Savietojams
Injekcija Gentamicin sulfate 5 mg/ml
Injekcija Aztreonam 40 mg/ml
5% glikoze 99
Savietojams
Injekcija Gentamicin sulfate 0.2 & 0.8 mg/ml
Injekcija Aztreonam 10 & 20 mg/ml
Nātrija hlorīds 0.9% 19
Savietojams
Injekcija Gentamicin sulfate 0.2 & 0.8 mg/ml
Injekcija Aztreonam 10 & 20 mg/ml
5% glikoze 19
Savietojams
Injekcija Gentamicin sulfate 5 mg/ml
Injekcija Bivalirudin 5 mg/ml
5% glikoze 1713
Savietojams
Injekcija Gentamicin sulfate 10 mg/ml
Injekcija Caffeine 10 mg/ml
Nekāds 3964
Savietojams
Injekcija Gentamicin sulfate 10 mg/ml
Injekcija Caffeine 10 mg/ml
Nātrija hlorīds 0.9% 4837
Savietojams
Injekcija Gentamicin sulfate 10 mg/ml
Injekcija Caffeine citrate 20 mg/ml
Nātrija hlorīds 0.9% 4837
Neprecizēta nesaderība Nesavienojams
Injekcija Gentamicin sulfate
Injekcija Calcium gluconate
3644
Nesavienojams
Injekcija Gentamicin sulfate
Injekcija Calcium gluconate
4964
Savietojams
Injekcija Gentamicin sulfate 5 mg/ml
Injekcija Caspofungin acetate 0,7 mg/ml
Nātrija hlorīds 0.9% 2247
Neprecizēta nesaderība Nesavienojams
Injekcija Gentamicin sulfate
Injekcija Cefalotin sodium
3520
Neprecizēta nesaderība Nesavienojams
Injekcija Gentamicin sulfate
Injekcija Cefalotin sodium
3643
Tūlītēji nokrišņi Nesavienojams
Injekcija Gentamicin sulfate
Injekcija Cefamandole nafate 2 >> 100 mg/ml
5% glikoze 612
Neprecizēta nesaderība Nesavienojams
Injekcija Gentamicin sulfate
Injekcija Cefamandole nafate
3643
Neprecizēta nesaderība Nesavienojams
Injekcija Gentamicin sulfate
Injekcija Cefamandole nafate
3520
Neprecizēta nesaderība Nesavienojams
Injekcija Gentamicin sulfate
Injekcija Cefamandole nafate
3546
Tūlītēji nokrišņi Nesavienojams
Injekcija Gentamicin sulfate
Injekcija Cefamandole nafate 2 >> 100 mg/ml
Nātrija hlorīds 0.9% 612
Neprecizēta nesaderība Nesavienojams
Injekcija Gentamicin sulfate
Injekcija Cefazolin sodium
3520
Neprecizēta nesaderība Nesavienojams
Injekcija Gentamicin sulfate
Injekcija Cefazolin sodium
3643
Neprecizēta nesaderība Nesavienojams
Injekcija Gentamicin sulfate
Injekcija Cefepime dihydrochloride
3520
Savietojams
Injekcija Gentamicin sulfate 6 mg/ml
Injekcija Cefepime dihydrochloride 125 mg/ml
Ūdens injekcijām 2141
Neprecizēta nesaderība Nesavienojams
Injekcija Gentamicin sulfate
Injekcija Cefepime dihydrochloride
3548
Neprecizēta nesaderība Nesavienojams
Injekcija Gentamicin sulfate
Injekcija Cefepime dihydrochloride
3643
Savietojams
Injekcija Gentamicin sulfate 5 mg/ml
Injekcija Cefiderocol sulfate tosylate 20 mg/mL
5% glikoze 4528
Savietojams
Injekcija Gentamicin sulfate 5 mg/ml
Injekcija Cefiderocol sulfate tosylate 20 mg/mL
Nātrija hlorīds 0.9% 4528
Neprecizēta nesaderība Nesavienojams
Injekcija Gentamicin sulfate
Injekcija Cefmenoxime
3520
Neprecizēta nesaderība Nesavienojams
Injekcija Gentamicin sulfate
Injekcija Cefmenoxime
3643
Neprecizēta nesaderība Nesavienojams
Injekcija Gentamicin sulfate
Injekcija Cefmetazole sodium
3520
Neprecizēta nesaderība Nesavienojams
Injekcija Gentamicin sulfate
Injekcija Cefmetazole sodium
3643
Neprecizēta nesaderība Nesavienojams
Injekcija Gentamicin sulfate
Injekcija Cefonicid sodium
3643
Neprecizēta nesaderība Nesavienojams
Injekcija Gentamicin sulfate
Injekcija Cefonicid sodium
3520
Neprecizēta nesaderība Nesavienojams
Injekcija Gentamicin sulfate
Injekcija Cefoperazone sodium
3544
Neprecizēta nesaderība Nesavienojams
Injekcija Gentamicin sulfate
Injekcija Cefoperazone sodium
3643
Tūlītēji nokrišņi Nesavienojams
Injekcija Gentamicin sulfate 0.8 mg/ml
Injekcija Cefoperazone sodium 10 mg/ml
5% glikoze 1206
Neprecizēta nesaderība Nesavienojams
Injekcija Gentamicin sulfate
Injekcija Cefoperazone sodium
3520
Neprecizēta nesaderība Nesavienojams
Injekcija Gentamicin sulfate
Injekcija Ceforanide
3643
Neprecizēta nesaderība Nesavienojams
Injekcija Gentamicin sulfate
Injekcija Ceforanide
3520
Neprecizēta nesaderība Nesavienojams
Injekcija Gentamicin sulfate
Injekcija Cefotaxime sodium
3520
Neprecizēta nesaderība Nesavienojams
Injekcija Gentamicin sulfate
Injekcija Cefotaxime sodium
3643
Neprecizēta nesaderība Nesavienojams
Injekcija Gentamicin sulfate
Injekcija Cefoxitin sodium
3643
Neprecizēta nesaderība Nesavienojams
Injekcija Gentamicin sulfate
Injekcija Cefoxitin sodium
3520
Savietojams
Injekcija Gentamicin sulfate 1 mg/ml
Injekcija Cefpirome sulfate 50 mg/ml
Nātrija hlorīds 0.9% 280
Savietojams
Injekcija Gentamicin sulfate 1 mg/ml
Injekcija Cefpirome sulfate 50 mg/ml
Ringera laktāta šķīdums 280
Savietojams
Injekcija Gentamicin sulfate 1 mg/ml
Injekcija Cefpirome sulfate 50 mg/ml
Nātrija hlorīds 0.45% 280
Neprecizēta nesaderība Nesavienojams
Injekcija Gentamicin sulfate
Injekcija Cefpirome sulfate
3643
Neprecizēta nesaderība Nesavienojams
Injekcija Gentamicin sulfate
Injekcija Cefpirome sulfate
3677
Savietojams
Injekcija Gentamicin sulfate 1 mg/ml
Injekcija Cefpirome sulfate 50 mg/ml
5% glikoze 280
Neprecizēta nesaderība Nesavienojams
Injekcija Gentamicin sulfate
Injekcija Cefpirome sulfate
3520
Savietojams
Injekcija Gentamicin sulfate 5 mg/ml
Injekcija Ceftaroline fosamil 2,22 mg/ml
Nātrija hlorīds 0.9% 3249
Savietojams
Injekcija Gentamicin sulfate 5 mg/ml
Injekcija Ceftaroline fosamil 2,22 mg/ml
Ringera laktāta šķīdums 3249
Savietojams
Injekcija Gentamicin sulfate 5 mg/ml
Injekcija Ceftaroline fosamil 2,22 mg/ml
5% glikoze 3249
Neprecizēta nesaderība Nesavienojams
Injekcija Gentamicin sulfate
Injekcija Ceftaroline fosamil
3643
Neprecizēta nesaderība Nesavienojams
Injekcija Gentamicin sulfate
Injekcija Ceftaroline fosamil
3520
Neprecizēta nesaderība Nesavienojams
Injekcija Gentamicin sulfate
Injekcija Ceftazidime
3543
Neprecizēta nesaderība Nesavienojams
Injekcija Gentamicin sulfate
Injekcija Ceftazidime
3520
Neprecizēta nesaderība Nesavienojams
Injekcija Gentamicin sulfate
Injekcija Ceftazidime
3643
Savietojams
Injekcija Gentamicin sulfate 6 mg/ml
Injekcija Ceftazidime 125 mg/ml
Ūdens injekcijām 2141
Savietojams
Injekcija Gentamicin sulfate 6 mg/ml
Injekcija Ceftazidime 83.3 mg/ml
1759
Neprecizēta nesaderība Nesavienojams
Injekcija Gentamicin sulfate
Injekcija Ceftazidime
3883
Neprecizēta nesaderība Nesavienojams
Injekcija Gentamicin sulfate
Injekcija Ceftazidime Avibactam
3520
Neprecizēta nesaderība Nesavienojams
Injekcija Gentamicin sulfate
Injekcija Ceftazidime Avibactam
3643
Neprecizēta nesaderība Nesavienojams
Injekcija Gentamicin sulfate
Injekcija Ceftizoxime sodium
3643
Neprecizēta nesaderība Nesavienojams
Injekcija Gentamicin sulfate
Injekcija Ceftizoxime sodium
3520
Neprecizēta nesaderība Nesavienojams
Injekcija Gentamicin sulfate
Injekcija Ceftobiprole medocaril sodium
3643
Neprecizēta nesaderība Nesavienojams
Injekcija Gentamicin sulfate
Injekcija Ceftobiprole medocaril sodium
4650
Tūlītēji nokrišņi Nesavienojams
Injekcija Gentamicin sulfate 5 mg/ml
Injekcija Ceftobiprole medocaril sodium 2 mg/ml
5% glikoze 2269
Tūlītēji nokrišņi Nesavienojams
Injekcija Gentamicin sulfate 5 mg/ml
Injekcija Ceftobiprole medocaril sodium 2 mg/ml
Ringera laktāta šķīdums 2269
Tūlītēji nokrišņi Nesavienojams
Injekcija Gentamicin sulfate 5 mg/ml
Injekcija Ceftobiprole medocaril sodium 2 mg/ml
Nātrija hlorīds 0.9% 2269
Neprecizēta nesaderība Nesavienojams
Injekcija Gentamicin sulfate
Injekcija Ceftobiprole medocaril sodium
3520
Savietojams
Injekcija Gentamicin sulfate 5 mg/ml
Injekcija Ceftolozane / tazobactam 10/5 mg/ml
5% glikoze 3828
Neprecizēta nesaderība Nesavienojams
Injekcija Gentamicin sulfate
Injekcija Ceftolozane / tazobactam
3643
Neprecizēta nesaderība Nesavienojams
Injekcija Gentamicin sulfate
Injekcija Ceftolozane / tazobactam
3520
Savietojams
Injekcija Gentamicin sulfate 5 mg/ml
Injekcija Ceftolozane / tazobactam 10/5 mg/ml
Nātrija hlorīds 0.9% 3828
Neprecizēta nesaderība Nesavienojams
Injekcija Gentamicin sulfate
Injekcija Ceftriaxone disodium
3523
Neprecizēta nesaderība Nesavienojams
Injekcija Gentamicin sulfate
Injekcija Ceftriaxone disodium
3643
Neprecizēta nesaderība Nesavienojams
Injekcija Gentamicin sulfate
Injekcija Ceftriaxone disodium
3520
Neprecizēta nesaderība Nesavienojams
Injekcija Gentamicin sulfate
Injekcija Cefuroxime sodium
3643
Neprecizēta nesaderība Nesavienojams
Injekcija Gentamicin sulfate
Injekcija Cefuroxime sodium
3520
Neprecizēta nesaderība Nesavienojams
Injekcija Gentamicin sulfate
Injekcija Cefuroxime sodium
3687
Neprecizēta nesaderība Nesavienojams
Injekcija Gentamicin sulfate
Injekcija Cefuzonam
3520
Savietojams
Injekcija Gentamicin sulfate 0.8 mg/ml
Injekcija Cimetidine hydrochloride 3 mg/ml
5% glikoze 1201
Savietojams
Injekcija Gentamicin sulfate 0.08 mg/ml
Injekcija Cimetidine hydrochloride 1.2 & 5 mg/ml
Nātrija hlorīds 0.9% 1201
Savietojams
Injekcija Gentamicin sulfate 0.08 mg/ml
Injekcija Cimetidine hydrochloride 1.2 & 5 mg/ml
5% glikoze 1201
Savietojams
Injekcija Gentamicin sulfate 10 mg/ml
Injekcija Ciprofloxacin lactate 2 mg/ml
Nātrija hlorīds 0.9% 289
Savietojams
Injekcija Gentamicin sulfate 1.6 mg/ml
Injekcija Ciprofloxacin lactate 2 mg/ml
5% glikoze 285
Savietojams
Injekcija Gentamicin sulfate 5 mg/ml
Injekcija Cisatracurium besylate 0.1 >> 5 mg/ml
5% glikoze 299
Ķīmiskā nestabilitāte Nesavienojams
Injekcija Gentamicin sulfate
Injekcija Cisplatin
3578
Savietojams
Injekcija Gentamicin sulfate 12 mg/ml
Injekcija Clindamycin phosphate 90 mg/ml
Nātrija hlorīds 0.9% 639
Savietojams
Injekcija Gentamicin sulfate 0.67 mg/ml
Injekcija Clindamycin phosphate 6 mg/ml
5% glikoze 423
Savietojams
Injekcija Gentamicin sulfate
5% glikoze 434
Neprecizēta nesaderība Nesavienojams
Injekcija Gentamicin sulfate
Injekcija Cefuzonam
3643
Savietojams
Injekcija Gentamicin sulfate 1 mg/ml
Injekcija Ciprofloxacin lactate 1.5 mg/ml
Nātrija hlorīds 0.9% 434
Savietojams
Injekcija Gentamicin sulfate 1.6 mg/ml
Injekcija Ciprofloxacin lactate 2 mg/ml
5% glikoze 288
Savietojams
Injekcija Gentamicin sulfate 1.6 mg/ml
Injekcija Ciprofloxacin lactate 2 mg/ml
Nātrija hlorīds 0.9% 288
Savietojams
Injekcija Gentamicin sulfate 1 mg/ml
Injekcija Ciprofloxacin lactate 1.5 mg/ml
5% glikoze 434
Savietojams
Injekcija Gentamicin sulfate
Injekcija Clindamycin phosphate
Nātrija hlorīds 0.9% 3526
Tūlītēji nokrišņi Nesavienojams
Injekcija Gentamicin sulfate 40 mg/ml
Injekcija Cloxacillin sodium 100 mg/ml
Ūdens injekcijām 3012
Savietojams
Injekcija Gentamicin sulfate 15 mg/ml
Injekcija Cytarabine 16 mg/ml
Nātrija hlorīds 0.9% 132
Nesavienojams
Injekcija Gentamicin sulfate 2 & 10 mg/ml
Parenterāla barošana (ar lipīdiem) 4924
Savietojams
Injekcija Gentamicin sulfate
Injekcija Clindamycin phosphate
5% glikoze 3526
Neprecizēta nesaderība Nesavienojams
Injekcija Gentamicin sulfate
Injekcija Cloxacillin sodium
3520
Neprecizēta nesaderība Nesavienojams
Injekcija Gentamicin sulfate
Injekcija Cytarabine
3580
Savietojams
Injekcija Gentamicin sulfate 1,5 mg/ml
Injekcija Daptomycin 19,2 mg/ml
Nātrija hlorīds 0.9% 1937
Savietojams
Injekcija Gentamicin sulfate 0,05 mg/ml
Parenterāla barošana (lipīdu-free) 4445
Neprecizēta nesaderība Nesavienojams
Injekcija Gentamicin sulfate
Injekcija Cloxacillin sodium
3643
Emulsijas nestabilitāte pēc 4 stundām Nesavienojams
Injekcija Gentamicin sulfate 2 mg/ml
Parenterāla barošana (ar lipīdiem) 4507
Neprecizēta nesaderība Nesavienojams
Injekcija Gentamicin sulfate
Injekcija Dalteparin sodium
3643
Savietojams
Injekcija Gentamicin sulfate
Injekcija Daptomycin
2271
Savietojams
Injekcija Gentamicin sulfate 10 mg/ml
Parenterāla barošana (lipīdu-free) 316
Savietojams
Injekcija Gentamicin sulfate
Injekcija Dimenhydrinate
2087
Savietojams
Injekcija Gentamicin sulfate 10 & 40 mg/ml
Parenterāla barošana (lipīdu-free) 999
Subvisuāla nesaderība Nesavienojams
Injekcija Gentamicin sulfate
Injekcija Daunorubicin/cytarabine liposomale
4354
Savietojams
Injekcija Gentamicin sulfate 1 mg/ml
Parenterāla barošana (lipīdu-free) 939
Tūlītēja duļķainība Nesavienojams
Injekcija Gentamicin sulfate
Injekcija Daunorubicin/cytarabine liposomale 0,4 mg/mL
Nātrija hlorīds 0.9% 4654
Savietojams
Injekcija Gentamicin sulfate 0.8 mg/ml
Injekcija Diatrizoate meglumine 283 mg/ml
Nekāds 1085
Savietojams
Injekcija Gentamicin sulfate 2.4 & 40 mg/ml
Injekcija Diltiazem hydrochloride 5 mg/ml
Nātrija hlorīds 0.9% 198
Savietojams
Injekcija Gentamicin sulfate 5 mg/ml
Injekcija Docetaxel 0.9 mg/ml
5% glikoze 1754
Neprecizēta nesaderība Nesavienojams
Injekcija Gentamicin sulfate
Injekcija Dopamine hydrochloride
3638
Savietojams
Injekcija Gentamicin sulfate 5 mg/ml
Parenterāla barošana (lipīdu-free) 301
Savietojams
Injekcija Gentamicin sulfate 5 mg/ml
Injekcija Doripenem 5 mg/ml
Nātrija hlorīds 0.9% 2262
Neprecizēta nesaderība Nesavienojams
Injekcija Gentamicin sulfate
NaHCO3 3520
Savietojams
Injekcija Gentamicin sulfate 2 mg/ml
Injekcija Dopamine hydrochloride 0.8 mg/ml
5% glikoze 738
Gāzes burbuļu veidošanās Nesavienojams
Injekcija Gentamicin sulfate
NaHCO3 3643
Savietojams
Injekcija Gentamicin sulfate 5 mg/ml
Injekcija Dexmedetomidine 4 µg/ml
Nātrija hlorīds 0.9% 1712
Savietojams
Injekcija Gentamicin sulfate 5 mg/ml
Injekcija Doripenem 5 mg/ml
5% glikoze 2262
Savietojams
Injekcija Gentamicin sulfate 5 mg/ml
Parenterāla barošana (ar lipīdiem) 1415
Savietojams
Injekcija Gentamicin sulfate 10 mg/ml
Injekcija Doxapram hydrochloride 2 mg/ml
5% glikoze 1802
Savietojams
Injekcija Gentamicin sulfate 5 mg/ml
Injekcija Doxorubicin hydrochloride liposome peg 0.4 mg/ml
5% glikoze 251
Savietojams
Injekcija Gentamicin sulfate 0.8 mg/ml
Injekcija Enalaprilate 0.05 mg/ml
Nātrija hlorīds 0.9% 1315
Neprecizēta nesaderība Nesavienojams
Injekcija Gentamicin sulfate
Injekcija Enoxaparin sodium
3643
Savietojams
Injekcija Gentamicin sulfate 5 mg/ml
Injekcija Eravacycline 0,6 mg/ml
Nātrija hlorīds 0.9% 4434
Neprecizēta nesaderība Nesavienojams
Injekcija Gentamicin sulfate
Injekcija Erythromycin lactobionate
3674
Neprecizēta nesaderība Nesavienojams
Injekcija Gentamicin sulfate
Injekcija Erythromycin lactobionate
3520
Neprecizēta nesaderība Nesavienojams
Injekcija Gentamicin sulfate
Injekcija Erythromycin lactobionate
3643
Savietojams
Injekcija Gentamicin sulfate 0,8 mg/ml
Injekcija Esmolol hydrochloride 10 mg/ml
5% glikoze 384
Savietojams
Injekcija Gentamicin sulfate 5 mg/ml
Injekcija Etoposide phosphate 5 mg/ml
5% glikoze 1410
Savietojams
Injekcija Gentamicin sulfate 5 mg/ml
Injekcija Famotidine 2 mg/ml
Nātrija hlorīds 0.9% 215
Savietojams
Injekcija Gentamicin sulfate 0,8 mg/ml
Injekcija Famotidine
5% glikoze 397
Savietojams
Injekcija Gentamicin sulfate 5 mg/ml
Injekcija Fenoldopam mesylate 80 µg/ml
Nātrija hlorīds 0.9% 1803
Savietojams
Injekcija Gentamicin sulfate 10 mg/ml
Injekcija Fentanyl citrate 50 µg/ml
5% glikoze 63
Savietojams
Injekcija Gentamicin sulfate 1.6 mg/ml
Injekcija Filgrastim 40 µg/ml
5% glikoze 104
Savietojams
Injekcija Gentamicin sulfate 5 mg/ml
Injekcija Filgrastim 30 µg/ml
5% glikoze 244
Neprecizēta nesaderība Nesavienojams
Injekcija Gentamicin sulfate
Injekcija Flucloxacillin sodium
3643
Tūlītēji nokrišņi Nesavienojams
Injekcija Gentamicin sulfate
Injekcija Flucloxacillin sodium
3522
Savietojams
Injekcija Gentamicin sulfate 1 mg/ml
Injekcija Fluconazole 2 mg/ml
Nekāds 256
Savietojams
Injekcija Gentamicin sulfate 4 mg/ml
Injekcija Fluconazole 2 mg/ml
Nātrija hlorīds 0.9% 496
Savietojams
Injekcija Gentamicin sulfate 5 mg/ml
Injekcija Fludarabine phosphate 1 mg/ml
5% glikoze 492
Savietojams
Injekcija Gentamicin sulfate 2 mg/ml
Injekcija Foscarnet sodium 24 mg/ml
Nātrija hlorīds 0.9% 1135
Savietojams
Injekcija Gentamicin sulfate 2 mg/ml
Injekcija Foscarnet sodium 24 mg/ml
5% glikoze 1135
Savietojams
Injekcija Gentamicin sulfate 4 mg/ml
Injekcija Foscarnet sodium 24 mg/ml
Nekāds 73
Savietojams
Injekcija Gentamicin sulfate 10 mg/ml
Ringera laktāta šķīdums 4603
Savietojams
Injekcija Gentamicin sulfate 5 mg/ml
Injekcija Fosfomycin 30 mg/ml
Nātrija hlorīds 0.9% 4055
Tūlītēji nokrišņi Nesavienojams
Injekcija Gentamicin sulfate 0,4 mg/ml
Parenterāla barošana (ar lipīdiem) 4440
Savietojams
Injekcija Gentamicin sulfate 40 mg/ml
Parenterāla barošana (ar lipīdiem) 673
Savietojams
Injekcija Gentamicin sulfate 5 mg/ml
Injekcija Fosfomycin 30 mg/ml
5% glikoze 4055
Tūlītēji nokrišņi Nesavienojams
Injekcija Gentamicin sulfate 10 mg/ml
Injekcija Furosemide 10 mg/ml
789
Tūlītēji nokrišņi Nesavienojams
Injekcija Gentamicin sulfate 1,6 mg/ml
Injekcija Furosemide 0,8 mg/ml
5% glikoze 367
Tūlītēji nokrišņi Nesavienojams
Injekcija Gentamicin sulfate 1,6 mg/ml
Injekcija Furosemide 0,8 mg/ml
Nātrija hlorīds 0.9% 367
Tūlītēja duļķainība Nesavienojams
Injekcija Gentamicin sulfate 6.4 mg/ml
Injekcija Furosemide 5 mg/ml
805
Nokrišņi pēc 2 stundām Nesavienojams
Injekcija Gentamicin sulfate 8 mg/ml
Injekcija Furosemide 1 mg/ml
Nātrija hlorīds 0.9% 1232
Savietojams
Injekcija Gentamicin sulfate 5 mg/ml
Injekcija Gemcitabine hydrochloride 10 mg/ml
Nātrija hlorīds 0.9% 1423
Savietojams
Injekcija Gentamicin sulfate 1.5 mg/ml
Injekcija Granisetron hydrochloride 1 mg/ml
Nātrija hlorīds 0.9% 57
Savietojams
Injekcija Gentamicin sulfate 1 & 2 mg/ml
Injekcija Heparin sodium 2500 UI/ml
4612
Tūlītēji nokrišņi Nesavienojams
Injekcija Gentamicin sulfate 4 >> 40 mg/ml
Injekcija Heparin sodium 10 >> 40 UI/ml
1258
Tūlītēji nokrišņi Nesavienojams
Injekcija Gentamicin sulfate
Injekcija Heparin sodium
1022
Neprecizēta nesaderība Nesavienojams
Injekcija Gentamicin sulfate 2 mg/ml
Injekcija Heparin sodium 50 UI/ml
Nekāds 317
Neprecizēta nesaderība Nesavienojams
Injekcija Gentamicin sulfate
Injekcija Heparin sodium
3643
Neprecizēta nesaderība Nesavienojams
Injekcija Gentamicin sulfate
Injekcija Heparin sodium
3520
Neprecizēta nesaderība Nesavienojams
Injekcija Gentamicin sulfate
Injekcija Heparin sodium
3540
Tūlītēja duļķainība Nesavienojams
Injekcija Gentamicin sulfate 3 mg/ml
Injekcija Heparin sodium 2500 UI/ml
4612
Tūlītēji nokrišņi Nesavienojams
Injekcija Gentamicin sulfate 4 & 5 mg/ml
Injekcija Heparin sodium 2500 UI/ml
4612
Savietojams
Injekcija Gentamicin sulfate 5 mg/ml
Injekcija Hetastarch 60 mg/ml
īpašu šķīdinātāju 1721
Tūlītēji nokrišņi Nesavienojams
Injekcija Gentamicin sulfate 0.8 mg/ml
Injekcija Hetastarch 60 mg/ml
Nātrija hlorīds 0.9% 472
Savietojams
Injekcija Gentamicin sulfate 0.8 mg/ml
Injekcija Hydromorphone hydrochloride 0.2 mg/ml
5% glikoze 405
Krāsu maiņa Nesavienojams
Injekcija Gentamicin sulfate 3 mg/ml
Injekcija Idarubicin hydrochloride 1 mg/ml
Nātrija hlorīds 0.9% 491
Tūlītēji nokrišņi Nesavienojams
Injekcija Gentamicin sulfate 1 mg/ml
Injekcija Indomethacin sodium trihydrate 0,5 & 1 mg/ml
5% glikoze 494
Nokrišņi pēc 15 minūtēm Nesavienojams
Injekcija Gentamicin sulfate 1 mg/ml
Injekcija Indomethacin sodium trihydrate 0,5 & 1 mg/ml
5% glikoze 1745
Savietojams
Injekcija Gentamicin sulfate 1.2 >> 2 mg/ml
Injekcija Insulin 0.2 UI/ml
Nātrija hlorīds 0.9% 129
Savietojams
Injekcija Gentamicin sulfate 0.8 mg/ml
Injekcija Iohexol 300 mg I/ml
Nekāds 1085
Tūlītēji nokrišņi Nesavienojams
Injekcija Gentamicin sulfate 0.8 mg/ml
Injekcija Ioxaglate 320 mg I/ml
Nekāds 1085
Savietojams
Injekcija Gentamicin sulfate 5 mg/ml
Injekcija Isavuconazonium sulfate 1.5 mg/ml
5% glikoze 3829
Savietojams
Injekcija Gentamicin sulfate 5 mg/ml
Injekcija Isavuconazonium sulfate 1.5 mg/ml
Nātrija hlorīds 0.9% 3829
Savietojams
Injekcija Gentamicin sulfate 40 mg/ml
Injekcija Ketamine hydrochloride 50 mg/ml
2109
Savietojams
Injekcija Gentamicin sulfate 0.8 mg/ml
Injekcija Labetalol hydrochloride 1 mg/ml
5% glikoze 386
Savietojams
Injekcija Gentamicin sulfate 5 mg/ml
Injekcija Lansoprazole 0.55 mg/ml
Nātrija hlorīds 0.9% 1625
Savietojams
Injekcija Gentamicin sulfate 10 mg/ml
Injekcija Levofloxacine 5 mg/ml
5% glikoze 1072
Savietojams
Injekcija Gentamicin sulfate 0,75 mg/ml
Injekcija Linezolid 1,80 mg/ml
2353
Savietojams
Injekcija Gentamicin sulfate 5 mg/ml
Injekcija Linezolid 2 mg/ml
Nekāds 1925
Savietojams
Injekcija Gentamicin sulfate 3 mg/ml
Injekcija Lorazepam 0.33 mg/ml
Nātrija hlorīds 0.9% 186
Savietojams
Injekcija Gentamicin sulfate 0.8 mg/ml
Injekcija Magnesium sulfate 16.67 >> 100 mg/ml
5% glikoze 1047
Savietojams
Injekcija Gentamicin sulfate 5 mg/ml
Injekcija Melphalan 0.1 mg/ml
Nātrija hlorīds 0.9% 169
Savietojams
Injekcija Gentamicin sulfate 40 mg/ml
Injekcija Meropenem 50 mg/ml
Ūdens injekcijām 4319
Savietojams
Injekcija Gentamicin sulfate 0.8 mg/ml
Injekcija Meropenem 1 & 20 mg/ml
Nātrija hlorīds 0.9% 266
Savietojams
Injekcija Gentamicin sulfate 4 mg/ml
Injekcija Meropenem 1 & 50 mg/ml
Nātrija hlorīds 0.9% 266
Savietojams
Injekcija Gentamicin sulfate 30 mg/ml
Injekcija Meropenem 10 mg/ml
Nātrija hlorīds 0.9% 2335
Savietojams
Injekcija Gentamicin sulfate 0,8 & 1,2 mg/ml
Injekcija Metronidazole 5 mg/ml
Nekāds 1243
Savietojams
Injekcija Gentamicin sulfate 0.8 mg/ml
Injekcija Metronidazole 5 mg/ml
Nekāds 1035
Savietojams
Injekcija Gentamicin sulfate
Injekcija Metronidazole
3594
Savietojams
Injekcija Gentamicin sulfate 3 mg/ml
Injekcija Midazolam hydrochloride 5 mg/ml
Nekāds 186
Savietojams
Injekcija Gentamicin sulfate 10 mg/ml
Injekcija Midazolam hydrochloride 1 mg/ml
5% glikoze 176
Savietojams
Injekcija Gentamicin sulfate 0.8 mg/ml
Injekcija Midazolam hydrochloride 0.05 >> 0.4 mg/ml
Nātrija hlorīds 0.9% 1888
Neprecizēta nesaderība Nesavienojams
Injekcija Gentamicin sulfate
Injekcija Mitomycin
4471
Ķīmiskā nestabilitāte Nesavienojams
Injekcija Gentamicin sulfate
Injekcija Mitomycin
3128
Savietojams
Injekcija Gentamicin sulfate 1.2 & 2 mg/ml
Injekcija Morphine sulfate 1 mg/ml
Nātrija hlorīds 0.9% 406
Savietojams
Injekcija Gentamicin sulfate 0.8 mg/ml
Injekcija Morphine sulfate 1 mg/ml
5% glikoze 405
Neprecizēta nesaderība Nesavienojams
Injekcija Gentamicin sulfate
Injekcija Moxalactam
3643
Neprecizēta nesaderība Nesavienojams
Injekcija Gentamicin sulfate
Injekcija Moxalactam
3520
Savietojams
Injekcija Gentamicin sulfate 40 mg/ml
Injekcija N-acetylcysteine 200 mg/ml
Nekāds 3766
Neprecizēta nesaderība Nesavienojams
Injekcija Gentamicin sulfate
Injekcija Nadroparin
3643
Neprecizēta nesaderība Nesavienojams
Injekcija Gentamicin sulfate
Injekcija Nafcillin sodium
3643
Neprecizēta nesaderība Nesavienojams
Injekcija Gentamicin sulfate
Injekcija Nafcillin sodium
3520
Savietojams
Injekcija Gentamicin sulfate 40 mg/ml
Injekcija Naloxone hydrochloride 0.4 mg/ml
Nekāds 3408
Savietojams
Injekcija Gentamicin sulfate 4.17 mg/ml
Injekcija Nefopam 0.16 mg/ml
Nātrija hlorīds 0.9% 4254
Savietojams
Injekcija Gentamicin sulfate 4.17 mg/ml
Injekcija Nefopam 0.16 mg/ml
5% glikoze 4254
Savietojams
Injekcija Gentamicin sulfate 0.8 mg/ml
Injekcija Nicardipine hydrochloride 0.1 mg/ml
5% glikoze 1490
Savietojams
Injekcija Gentamicin sulfate 0.8 mg/ml
Injekcija Nicardipine hydrochloride 0.1 mg/ml
Nātrija hlorīds 0.9% 1490
Savietojams
Injekcija Gentamicin sulfate 0,8 mg/ml
Injekcija Ofloxacin 2 mg/ml
Nekāds 889
Savietojams
Injekcija Gentamicin sulfate 5 mg/ml
Injekcija Ondansetron hydrochloride 1 mg/ml
Nātrija hlorīds 0.9% 334
Savietojams
Injekcija Gentamicin sulfate 5 mg/ml
Injekcija Oritavancin 0.8 >>2 mg/ml
5% glikoze 3152
Neprecizēta nesaderība Nesavienojams
Injekcija Gentamicin sulfate
Injekcija Oxacillin sodium
3643
Neprecizēta nesaderība Nesavienojams
Injekcija Gentamicin sulfate
Injekcija Oxacillin sodium
3520
Savietojams
Injekcija Gentamicin sulfate 40 mg/ml
Injekcija Oxycodone hydrochloride 1 mg/ml
Nātrija hlorīds 0.9% 4842
Savietojams
Injekcija Gentamicin sulfate 5 mg/ml
Injekcija Paclitaxel 1.2 mg/ml
5% glikoze 248
Savietojams
Injekcija Gentamicin sulfate 5 mg/ml
Injekcija Palonosetron hydrochloride 50 µg/ml
5% glikoze 2228
Savietojams
Injekcija Gentamicin sulfate 2 mg/ml
Injekcija Pancuronium bromide 0.05 mg/ml
5% glikoze 402
Tūlītēji nokrišņi Nesavienojams
Injekcija Gentamicin sulfate
Injekcija Pantoprazole sodium
2090
Savietojams
Injekcija Gentamicin sulfate 40 mg/ml
Injekcija Paracetamol 10 mg/ml
4742
Tūlītēji nokrišņi Nesavienojams
Injekcija Gentamicin sulfate 5 mg/ml
Injekcija Pemetrexed disodium 20 mg/ml
1953
Neprecizēta nesaderība Nesavienojams
Injekcija Gentamicin sulfate
Injekcija Penicillin G potassium
3643
Neprecizēta nesaderība Nesavienojams
Injekcija Gentamicin sulfate
Injekcija Penicillin G potassium
3520
Neprecizēta nesaderība Nesavienojams
Injekcija Gentamicin sulfate
Injekcija Penicillin G sodium
3643
Neprecizēta nesaderība Nesavienojams
Injekcija Gentamicin sulfate
Injekcija Penicillin G sodium
3520
Savietojams
Injekcija Gentamicin sulfate 10 mg/ml
Injekcija Pentoxifyllin 5 mg/ml
Nātrija hlorīds 0.9% 4543
Savietojams
Injekcija Gentamicin sulfate 0.8 mg/ml
Injekcija Pethidine hydrochloride 10 mg/ml
5% glikoze 405
Tūlītēji nokrišņi Nesavienojams
Injekcija Gentamicin sulfate 10 mg/ml
Injekcija Phenytoin sodium 50 mg/ml
789
Savietojams
Injekcija Gentamicin sulfate 20 mg/ml
Injekcija Phloroglucinol 2,5 mg/ml
3791
Neprecizēta nesaderība Nesavienojams
Injekcija Gentamicin sulfate
Injekcija Piperacillin sodium
3520
Neprecizēta nesaderība Nesavienojams
Injekcija Gentamicin sulfate
Injekcija Piperacillin sodium
3643
Neprecizēta nesaderība Nesavienojams
Injekcija Gentamicin sulfate
Injekcija Piperacillin sodium / tazobactam
3520
Ķīmiskā nestabilitāte Nesavienojams
Injekcija Gentamicin sulfate
Injekcija Piperacillin sodium / tazobactam
3586
Neprecizēta nesaderība Nesavienojams
Injekcija Gentamicin sulfate
Injekcija Piperacillin sodium / tazobactam
3643
Savietojams
Injekcija Gentamicin sulfate
Injekcija Posaconazole
4380
Savietojams
Injekcija Gentamicin sulfate 30 mg/ml
Injekcija Potassium chloride 20 mEq/l
0.45% NaCl 5% glikoze 2335
Tūlītēja emulsijas nestabilitāte Nesavienojams
Injekcija Gentamicin sulfate 2 mg/ml
Injekcija Propofol
660
Neprecizēta nesaderība Nesavienojams
Injekcija Gentamicin sulfate 40 mg/ml
Injekcija Propofol
4524
Tūlītēji nokrišņi Nesavienojams
Injekcija Gentamicin sulfate 5 mg/ml
Injekcija Propofol 10 mg/ml
Nekāds 300
Savietojams
Injekcija Gentamicin sulfate 5 mg/ml
Injekcija Remifentanil hydrochloride 25 & 250 µg/ml
Nātrija hlorīds 0.9% 59
Savietojams
Injekcija Gentamicin sulfate 40 mg/ml
Injekcija Salbutamol sulfate 1 mg/ml
Nekāds 3216
Savietojams
Injekcija Gentamicin sulfate 5 mg/ml
Injekcija Sargramostim 10 µg/ml
Nātrija hlorīds 0.9% 335
Savietojams
Injekcija Gentamicin sulfate 10 mg/ml
Injekcija Sildenafil citrate 0,6 mg/ml
5% glikoze 4845
Savietojams
Injekcija Gentamicin sulfate 2,4 mg/ml
Injekcija Sodium bicarbonate 40 mg/ml
Nekāds 3122
Gāzes burbuļu veidošanās Nesavienojams
Injekcija Gentamicin sulfate
Injekcija Sodium bicarbonate
3643
Savietojams
Injekcija Gentamicin sulfate 2.5 mg/ml
Injekcija Sodium citrate 40 mg/ml
Ūdens injekcijām 3952
Savietojams
Injekcija Gentamicin sulfate 40 mg/ml
Injekcija Sugammadex 100 mg/ml
Nekāds 3372
Savietojams
Injekcija Gentamicin sulfate 5 mg/ml
Injekcija Sulbactam/durlobactam 15/15 mg/ml
Nātrija hlorīds 0.9% 4801
Savietojams
Injekcija Gentamicin sulfate 4 mg/ml
Injekcija Tacrolimus 1000 µg/ml
Nātrija hlorīds 0.9% 479
Savietojams
Injekcija Gentamicin sulfate
Nātrija hlorīds 0.9% 1704
Savietojams
Injekcija Gentamicin sulfate
Nātrija hlorīds 0.9% 434
Neprecizēta nesaderība Nesavienojams
Injekcija Gentamicin sulfate
Injekcija Sodium bicarbonate
3520
Savietojams
Injekcija Gentamicin sulfate 1 >> 5 mg/ml
Injekcija Sodium citrate 40 mg/ml
Nekāds 2019
Tūlītēja duļķainība Nesavienojams
Injekcija Gentamicin sulfate 5 mg/ml
Injekcija Tedizolid phosphate 0.8 mg/ml
Nātrija hlorīds 0.9% 3827
Neprecizēta nesaderība Nesavienojams
Injekcija Gentamicin sulfate
Injekcija Teicoplanine
3656
Savietojams
Injekcija Gentamicin sulfate 5 mg/ml
Injekcija Telavancin hydrochloride 7.5 mg/ml
Ringera laktāta šķīdums 3254
Savietojams
Injekcija Gentamicin sulfate 5 mg/ml
Injekcija Telavancin hydrochloride 7.5 mg/ml
Nātrija hlorīds 0.9% 3254
Savietojams
Injekcija Gentamicin sulfate 5 mg/ml
Injekcija Telavancin hydrochloride 7.5 mg/ml
5% glikoze 3254
Savietojams
Injekcija Gentamicin sulfate 6 mg/ml
Injekcija Temocilline 83.33 mg/ml
Ūdens injekcijām 2231
Neprecizēta nesaderība Nesavienojams
Injekcija Gentamicin sulfate
Injekcija Temocilline
3643
Neprecizēta nesaderība Nesavienojams
Injekcija Gentamicin sulfate
Injekcija Temocilline
3520
Neprecizēta nesaderība Nesavienojams
Injekcija Gentamicin sulfate
Injekcija Temocilline
2296
Savietojams
Injekcija Gentamicin sulfate 5 mg/ml
Injekcija Teniposide 0.1 mg/ml
5% glikoze 905
Savietojams
Injekcija Gentamicin sulfate 2 mg/ml
Injekcija Theophylline 4 mg/ml
Nekāds 317
Tūlītēji nokrišņi Nesavienojams
Injekcija Gentamicin sulfate 40 mg/ml
Injekcija Thiopental sodium 25 mg/ml
Nātrija hlorīds 0.9% 3767
Savietojams
Injekcija Gentamicin sulfate 5 mg/ml
Injekcija Thiotepa 1 mg/ml
5% glikoze 249
Ķīmiskā nestabilitāte Nesavienojams
Injekcija Gentamicin sulfate
Injekcija Ticarcillin / clavulanic acid
3587
Neprecizēta nesaderība Nesavienojams
Injekcija Gentamicin sulfate
Injekcija Ticarcillin / clavulanic acid
3643
Neprecizēta nesaderība Nesavienojams
Injekcija Gentamicin sulfate
Injekcija Ticarcillin / clavulanic acid
3520
Savietojams
Injekcija Gentamicin sulfate
Injekcija Tigecycline
Nātrija hlorīds 0.9% 3332
Savietojams
Injekcija Gentamicin sulfate 6 mg/ml
Injekcija Vancomycin hydrochloride 10 mg/ml
5% glikoze 3385
Savietojams
Injekcija Gentamicin sulfate 1.2 mg/ml
Injekcija Vasopressin 0.2 UI/ml
Nātrija hlorīds 0.9% 2017
Savietojams
Injekcija Gentamicin sulfate 2 mg/ml
Injekcija Vecuronium bromide 0.1 mg/ml
5% glikoze 402
Savietojams
Injekcija Gentamicin sulfate 0.16 mg/ml
Injekcija Verapamil hydrochloride 0.08 mg/ml
5% glikoze 1057
Savietojams
Injekcija Gentamicin sulfate 0.16 mg/ml
Injekcija Verapamil hydrochloride 0.08 mg/ml
Nātrija hlorīds 0.9% 1057
Savietojams
Injekcija Gentamicin sulfate 5 mg/ml
Injekcija Vinorelbine tartrate 1 mg/ml
Nātrija hlorīds 0.9% 84
Tūlītēja duļķainība Nesavienojams
Injekcija Gentamicin sulfate 1.6 mg/ml
Injekcija Warfarin sodium 2 mg/ml
5% glikoze 315
Savietojams
Injekcija Gentamicin sulfate 2 mg/ml
Injekcija Zidovudine 4 mg/ml
5% glikoze 337

  Mentions Légales