Poslední aktualizace :
27/04/2026
Antibiotikas   Gentamicin sulfate  
Įpurškimas
Akių lašai
Tirpalų stabilumas Mišinių stabilumas Stabilumą lemiantys veiksniai Suderinamumas Leidimo būdai Bibliografija pdf
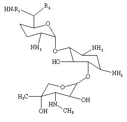
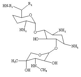
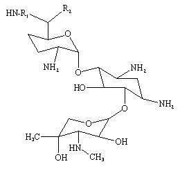
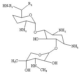
   Cheminė sandara  

Prekinis pavadinimas   Prekinis pavadinimas     

Trade names are indicative and excipients composition can be different depending on the country and manufacturers

Azupel Peru
Cidomycin Didžioji Britanija, Egiptas, Tunisas
Dabroson Graikija
Epigent Egiptas
Garalone Portugalija
Garamicina Brazilija, Ekvadoras, Kolumbija, Meksikas
Garamycin Danija, Egiptas, Graikija, Indija, Jungtiniai Arabų Emyratai, Kroatija, Lenkija, Norvegija, Olandija, Šveicarija
Genmisin Turkija
Gensif Turkija
Gensumycin Norvegija, Suomija, Švedija
Genta-Gobens Ispanija
Gentalline Marokas
Gentamen Marokas
Genticin Airija, Didžioji Britanija, Jungtiniai Arabų Emyratai
Gentreks Turkija
Hexamycin Danija
Plurisemina Argentina
Refobacin Austrija, Egiptas, Kolumbija, Vokietija
Rupegen Argentina
Suderinamumas   Įpurškimas   Suderinamumas : Gentamicin sulfate              
explication_incompatibilite_molecules
Molekulė Tirpiklis Nuorodos
Suderinamas
Įpurškimas Gentamicin sulfate 1.6 mg/ml
Įpurškimas Aciclovir sodium 5 mg/ml
Gliukozė 5% 336
Nedelsiant krituliai Nesuderinamas
Įpurškimas Gentamicin sulfate 30 mg/ml
Įpurškimas Aciclovir sodium 5 mg/ml
Natrio chloridas 0,9% 2335
Krituliai po 1 valandos Nesuderinamas
Įpurškimas Gentamicin sulfate 5 mg/ml
Įpurškimas Allopurinol sodium 3 mg/ml
Natrio chloridas 0,9% 307
Suderinamas
Įpurškimas Gentamicin sulfate 1 mg/ml
Įpurškimas Alprostadil 15 µg/ml
3201
Suderinamas
Įpurškimas Gentamicin sulfate 5 mg/ml
Įpurškimas Amifostine 10 mg/ml
Gliukozė 5% 3
Suderinamas
Įpurškimas Gentamicin sulfate 0.8 mg/ml
Įpurškimas Amiodarone hydrochloride 4 mg/ml
Natrio chloridas 0,9% 385
Suderinamas
Įpurškimas Gentamicin sulfate 0.8 mg/ml
Įpurškimas Amiodarone hydrochloride 4 mg/ml
Gliukozė 5% 385
Nepatikslintas nesuderinamumas Nesuderinamas
Įpurškimas Gentamicin sulfate
Įpurškimas Amoxicillin sodium
3643
Nepatikslintas nesuderinamumas Nesuderinamas
Įpurškimas Gentamicin sulfate
Įpurškimas Amoxicillin sodium
3520
Cheminis nestabilumas Nesuderinamas
Įpurškimas Gentamicin sulfate
Įpurškimas Amoxicillin sodium
3527
Nepatikslintas nesuderinamumas Nesuderinamas
Įpurškimas Gentamicin sulfate
Įpurškimas Amoxicillin sodium / clavulanic acid
3643
Nepatikslintas nesuderinamumas Nesuderinamas
Įpurškimas Gentamicin sulfate
Įpurškimas Amoxicillin sodium / clavulanic acid
3545
Nepatikslintas nesuderinamumas Nesuderinamas
Įpurškimas Gentamicin sulfate
Įpurškimas Amoxicillin sodium / clavulanic acid
3520
Suderinamas
Įpurškimas Gentamicin sulfate 40 mg/ml
Įpurškimas Amoxicillin sodium / clavulanic acid 100/10 mg/ml
3824
Nedelsiant krituliai Nesuderinamas
Įpurškimas Gentamicin sulfate 5 mg/ml
Įpurškimas Amphotericin B cholesteryl sulfate complex 0,83 mg/ml
Gliukozė 5% 921
Nepatikslintas nesuderinamumas Nesuderinamas
Įpurškimas Gentamicin sulfate
Įpurškimas Ampicillin sodium
3643
Nepatikslintas nesuderinamumas Nesuderinamas
Įpurškimas Gentamicin sulfate
Įpurškimas Ampicillin sodium
3520
Nepatikslintas nesuderinamumas Nesuderinamas
Įpurškimas Gentamicin sulfate
Įpurškimas Ampicillin sodium - sulbactam sodium
3643
Nepatikslintas nesuderinamumas Nesuderinamas
Įpurškimas Gentamicin sulfate
Įpurškimas Ampicillin sodium - sulbactam sodium
3520
Suderinamas
Įpurškimas Gentamicin sulfate 5 mg/ml
Įpurškimas Amsacrine 1 mg/ml
Gliukozė 5% 253
Suderinamas
Įpurškimas Gentamicin sulfate 5 mg/ml
Įpurškimas Anidulafungin 0.5 mg/ml
Gliukozė 5% 1982
Suderinamas
Įpurškimas Gentamicin sulfate 0,8 mg/ml
Įpurškimas Atosiban 0,75 mg/ml
4642
Suderinamas
Įpurškimas Gentamicin sulfate 2 mg/ml
Įpurškimas Atracurium besylate 0.5 mg/ml
Gliukozė 5% 402
Nedelsiant krituliai Nesuderinamas
Įpurškimas Gentamicin sulfate 21 mg/ml
Įpurškimas Azithromycine 2 mg/ml
Natrio chloridas 0,9% 1800
Suderinamas
Įpurškimas Gentamicin sulfate 5 mg/ml
Įpurškimas Aztreonam 40 mg/ml
Gliukozė 5% 99
Suderinamas
Įpurškimas Gentamicin sulfate 0.2 & 0.8 mg/ml
Įpurškimas Aztreonam 10 & 20 mg/ml
Natrio chloridas 0,9% 19
Suderinamas
Įpurškimas Gentamicin sulfate 0.2 & 0.8 mg/ml
Įpurškimas Aztreonam 10 & 20 mg/ml
Gliukozė 5% 19
Suderinamas
Įpurškimas Gentamicin sulfate 5 mg/ml
Įpurškimas Bivalirudin 5 mg/ml
Gliukozė 5% 1713
Suderinamas
Įpurškimas Gentamicin sulfate 10 mg/ml
Įpurškimas Caffeine 10 mg/ml
Nėra 3964
Suderinamas
Įpurškimas Gentamicin sulfate 10 mg/ml
Įpurškimas Caffeine 10 mg/ml
Natrio chloridas 0,9% 4837
Suderinamas
Įpurškimas Gentamicin sulfate 10 mg/ml
Įpurškimas Caffeine citrate 20 mg/ml
Natrio chloridas 0,9% 4837
Nepatikslintas nesuderinamumas Nesuderinamas
Įpurškimas Gentamicin sulfate
Įpurškimas Calcium gluconate
3644
Nesuderinamas
Įpurškimas Gentamicin sulfate
Įpurškimas Calcium gluconate
4964
Suderinamas
Įpurškimas Gentamicin sulfate 5 mg/ml
Įpurškimas Caspofungin acetate 0,7 mg/ml
Natrio chloridas 0,9% 2247
Nepatikslintas nesuderinamumas Nesuderinamas
Įpurškimas Gentamicin sulfate
Įpurškimas Cefalotin sodium
3520
Nepatikslintas nesuderinamumas Nesuderinamas
Įpurškimas Gentamicin sulfate
Įpurškimas Cefalotin sodium
3643
Nedelsiant krituliai Nesuderinamas
Įpurškimas Gentamicin sulfate
Įpurškimas Cefamandole nafate 2 >> 100 mg/ml
Gliukozė 5% 612
Nepatikslintas nesuderinamumas Nesuderinamas
Įpurškimas Gentamicin sulfate
Įpurškimas Cefamandole nafate
3643
Nepatikslintas nesuderinamumas Nesuderinamas
Įpurškimas Gentamicin sulfate
Įpurškimas Cefamandole nafate
3520
Nepatikslintas nesuderinamumas Nesuderinamas
Įpurškimas Gentamicin sulfate
Įpurškimas Cefamandole nafate
3546
Nedelsiant krituliai Nesuderinamas
Įpurškimas Gentamicin sulfate
Įpurškimas Cefamandole nafate 2 >> 100 mg/ml
Natrio chloridas 0,9% 612
Nepatikslintas nesuderinamumas Nesuderinamas
Įpurškimas Gentamicin sulfate
Įpurškimas Cefazolin sodium
3520
Nepatikslintas nesuderinamumas Nesuderinamas
Įpurškimas Gentamicin sulfate
Įpurškimas Cefazolin sodium
3643
Nepatikslintas nesuderinamumas Nesuderinamas
Įpurškimas Gentamicin sulfate
Įpurškimas Cefepime dihydrochloride
3520
Suderinamas
Įpurškimas Gentamicin sulfate 6 mg/ml
Įpurškimas Cefepime dihydrochloride 125 mg/ml
Vanduo injekcijoms 2141
Nepatikslintas nesuderinamumas Nesuderinamas
Įpurškimas Gentamicin sulfate
Įpurškimas Cefepime dihydrochloride
3548
Nepatikslintas nesuderinamumas Nesuderinamas
Įpurškimas Gentamicin sulfate
Įpurškimas Cefepime dihydrochloride
3643
Suderinamas
Įpurškimas Gentamicin sulfate 5 mg/ml
Įpurškimas Cefiderocol sulfate tosylate 20 mg/mL
Gliukozė 5% 4528
Suderinamas
Įpurškimas Gentamicin sulfate 5 mg/ml
Įpurškimas Cefiderocol sulfate tosylate 20 mg/mL
Natrio chloridas 0,9% 4528
Nepatikslintas nesuderinamumas Nesuderinamas
Įpurškimas Gentamicin sulfate
Įpurškimas Cefmenoxime
3520
Nepatikslintas nesuderinamumas Nesuderinamas
Įpurškimas Gentamicin sulfate
Įpurškimas Cefmenoxime
3643
Nepatikslintas nesuderinamumas Nesuderinamas
Įpurškimas Gentamicin sulfate
Įpurškimas Cefmetazole sodium
3520
Nepatikslintas nesuderinamumas Nesuderinamas
Įpurškimas Gentamicin sulfate
Įpurškimas Cefmetazole sodium
3643
Nepatikslintas nesuderinamumas Nesuderinamas
Įpurškimas Gentamicin sulfate
Įpurškimas Cefonicid sodium
3643
Nepatikslintas nesuderinamumas Nesuderinamas
Įpurškimas Gentamicin sulfate
Įpurškimas Cefonicid sodium
3520
Nepatikslintas nesuderinamumas Nesuderinamas
Įpurškimas Gentamicin sulfate
Įpurškimas Cefoperazone sodium
3544
Nepatikslintas nesuderinamumas Nesuderinamas
Įpurškimas Gentamicin sulfate
Įpurškimas Cefoperazone sodium
3643
Nedelsiant krituliai Nesuderinamas
Įpurškimas Gentamicin sulfate 0.8 mg/ml
Įpurškimas Cefoperazone sodium 10 mg/ml
Gliukozė 5% 1206
Nepatikslintas nesuderinamumas Nesuderinamas
Įpurškimas Gentamicin sulfate
Įpurškimas Cefoperazone sodium
3520
Nepatikslintas nesuderinamumas Nesuderinamas
Įpurškimas Gentamicin sulfate
Įpurškimas Ceforanide
3643
Nepatikslintas nesuderinamumas Nesuderinamas
Įpurškimas Gentamicin sulfate
Įpurškimas Ceforanide
3520
Nepatikslintas nesuderinamumas Nesuderinamas
Įpurškimas Gentamicin sulfate
Įpurškimas Cefotaxime sodium
3520
Nepatikslintas nesuderinamumas Nesuderinamas
Įpurškimas Gentamicin sulfate
Įpurškimas Cefotaxime sodium
3643
Nepatikslintas nesuderinamumas Nesuderinamas
Įpurškimas Gentamicin sulfate
Įpurškimas Cefoxitin sodium
3643
Nepatikslintas nesuderinamumas Nesuderinamas
Įpurškimas Gentamicin sulfate
Įpurškimas Cefoxitin sodium
3520
Suderinamas
Įpurškimas Gentamicin sulfate 1 mg/ml
Įpurškimas Cefpirome sulfate 50 mg/ml
Natrio chloridas 0,9% 280
Suderinamas
Įpurškimas Gentamicin sulfate 1 mg/ml
Įpurškimas Cefpirome sulfate 50 mg/ml
Ringerio laktato tirpalas 280
Suderinamas
Įpurškimas Gentamicin sulfate 1 mg/ml
Įpurškimas Cefpirome sulfate 50 mg/ml
Natrio chloridas 0,45% 280
Nepatikslintas nesuderinamumas Nesuderinamas
Įpurškimas Gentamicin sulfate
Įpurškimas Cefpirome sulfate
3643
Nepatikslintas nesuderinamumas Nesuderinamas
Įpurškimas Gentamicin sulfate
Įpurškimas Cefpirome sulfate
3677
Suderinamas
Įpurškimas Gentamicin sulfate 1 mg/ml
Įpurškimas Cefpirome sulfate 50 mg/ml
Gliukozė 5% 280
Nepatikslintas nesuderinamumas Nesuderinamas
Įpurškimas Gentamicin sulfate
Įpurškimas Cefpirome sulfate
3520
Suderinamas
Įpurškimas Gentamicin sulfate 5 mg/ml
Įpurškimas Ceftaroline fosamil 2,22 mg/ml
Natrio chloridas 0,9% 3249
Suderinamas
Įpurškimas Gentamicin sulfate 5 mg/ml
Įpurškimas Ceftaroline fosamil 2,22 mg/ml
Ringerio laktato tirpalas 3249
Suderinamas
Įpurškimas Gentamicin sulfate 5 mg/ml
Įpurškimas Ceftaroline fosamil 2,22 mg/ml
Gliukozė 5% 3249
Nepatikslintas nesuderinamumas Nesuderinamas
Įpurškimas Gentamicin sulfate
Įpurškimas Ceftaroline fosamil
3643
Nepatikslintas nesuderinamumas Nesuderinamas
Įpurškimas Gentamicin sulfate
Įpurškimas Ceftaroline fosamil
3520
Nepatikslintas nesuderinamumas Nesuderinamas
Įpurškimas Gentamicin sulfate
Įpurškimas Ceftazidime
3543
Nepatikslintas nesuderinamumas Nesuderinamas
Įpurškimas Gentamicin sulfate
Įpurškimas Ceftazidime
3520
Nepatikslintas nesuderinamumas Nesuderinamas
Įpurškimas Gentamicin sulfate
Įpurškimas Ceftazidime
3643
Suderinamas
Įpurškimas Gentamicin sulfate 6 mg/ml
Įpurškimas Ceftazidime 125 mg/ml
Vanduo injekcijoms 2141
Suderinamas
Įpurškimas Gentamicin sulfate 6 mg/ml
Įpurškimas Ceftazidime 83.3 mg/ml
1759
Nepatikslintas nesuderinamumas Nesuderinamas
Įpurškimas Gentamicin sulfate
Įpurškimas Ceftazidime
3883
Nepatikslintas nesuderinamumas Nesuderinamas
Įpurškimas Gentamicin sulfate
Įpurškimas Ceftazidime Avibactam
3520
Nepatikslintas nesuderinamumas Nesuderinamas
Įpurškimas Gentamicin sulfate
Įpurškimas Ceftazidime Avibactam
3643
Nepatikslintas nesuderinamumas Nesuderinamas
Įpurškimas Gentamicin sulfate
Įpurškimas Ceftizoxime sodium
3643
Nepatikslintas nesuderinamumas Nesuderinamas
Įpurškimas Gentamicin sulfate
Įpurškimas Ceftizoxime sodium
3520
Nepatikslintas nesuderinamumas Nesuderinamas
Įpurškimas Gentamicin sulfate
Įpurškimas Ceftobiprole medocaril sodium
3643
Nepatikslintas nesuderinamumas Nesuderinamas
Įpurškimas Gentamicin sulfate
Įpurškimas Ceftobiprole medocaril sodium
4650
Nedelsiant krituliai Nesuderinamas
Įpurškimas Gentamicin sulfate 5 mg/ml
Įpurškimas Ceftobiprole medocaril sodium 2 mg/ml
Gliukozė 5% 2269
Nedelsiant krituliai Nesuderinamas
Įpurškimas Gentamicin sulfate 5 mg/ml
Įpurškimas Ceftobiprole medocaril sodium 2 mg/ml
Ringerio laktato tirpalas 2269
Nedelsiant krituliai Nesuderinamas
Įpurškimas Gentamicin sulfate 5 mg/ml
Įpurškimas Ceftobiprole medocaril sodium 2 mg/ml
Natrio chloridas 0,9% 2269
Nepatikslintas nesuderinamumas Nesuderinamas
Įpurškimas Gentamicin sulfate
Įpurškimas Ceftobiprole medocaril sodium
3520
Suderinamas
Įpurškimas Gentamicin sulfate 5 mg/ml
Įpurškimas Ceftolozane / tazobactam 10/5 mg/ml
Gliukozė 5% 3828
Nepatikslintas nesuderinamumas Nesuderinamas
Įpurškimas Gentamicin sulfate
Įpurškimas Ceftolozane / tazobactam
3643
Nepatikslintas nesuderinamumas Nesuderinamas
Įpurškimas Gentamicin sulfate
Įpurškimas Ceftolozane / tazobactam
3520
Suderinamas
Įpurškimas Gentamicin sulfate 5 mg/ml
Įpurškimas Ceftolozane / tazobactam 10/5 mg/ml
Natrio chloridas 0,9% 3828
Nepatikslintas nesuderinamumas Nesuderinamas
Įpurškimas Gentamicin sulfate
Įpurškimas Ceftriaxone disodium
3523
Nepatikslintas nesuderinamumas Nesuderinamas
Įpurškimas Gentamicin sulfate
Įpurškimas Ceftriaxone disodium
3643
Nepatikslintas nesuderinamumas Nesuderinamas
Įpurškimas Gentamicin sulfate
Įpurškimas Ceftriaxone disodium
3520
Nepatikslintas nesuderinamumas Nesuderinamas
Įpurškimas Gentamicin sulfate
Įpurškimas Cefuroxime sodium
3643
Nepatikslintas nesuderinamumas Nesuderinamas
Įpurškimas Gentamicin sulfate
Įpurškimas Cefuroxime sodium
3520
Nepatikslintas nesuderinamumas Nesuderinamas
Įpurškimas Gentamicin sulfate
Įpurškimas Cefuroxime sodium
3687
Nepatikslintas nesuderinamumas Nesuderinamas
Įpurškimas Gentamicin sulfate
Įpurškimas Cefuzonam
3520
Suderinamas
Įpurškimas Gentamicin sulfate 0.8 mg/ml
Įpurškimas Cimetidine hydrochloride 3 mg/ml
Gliukozė 5% 1201
Suderinamas
Įpurškimas Gentamicin sulfate 0.08 mg/ml
Įpurškimas Cimetidine hydrochloride 1.2 & 5 mg/ml
Natrio chloridas 0,9% 1201
Suderinamas
Įpurškimas Gentamicin sulfate 0.08 mg/ml
Įpurškimas Cimetidine hydrochloride 1.2 & 5 mg/ml
Gliukozė 5% 1201
Suderinamas
Įpurškimas Gentamicin sulfate 10 mg/ml
Įpurškimas Ciprofloxacin lactate 2 mg/ml
Natrio chloridas 0,9% 289
Suderinamas
Įpurškimas Gentamicin sulfate 1.6 mg/ml
Įpurškimas Ciprofloxacin lactate 2 mg/ml
Gliukozė 5% 285
Suderinamas
Įpurškimas Gentamicin sulfate 5 mg/ml
Įpurškimas Cisatracurium besylate 0.1 >> 5 mg/ml
Gliukozė 5% 299
Cheminis nestabilumas Nesuderinamas
Įpurškimas Gentamicin sulfate
Įpurškimas Cisplatin
3578
Suderinamas
Įpurškimas Gentamicin sulfate 12 mg/ml
Įpurškimas Clindamycin phosphate 90 mg/ml
Natrio chloridas 0,9% 639
Suderinamas
Įpurškimas Gentamicin sulfate 0.67 mg/ml
Įpurškimas Clindamycin phosphate 6 mg/ml
Gliukozė 5% 423
Suderinamas
Įpurškimas Gentamicin sulfate
Gliukozė 5% 434
Nepatikslintas nesuderinamumas Nesuderinamas
Įpurškimas Gentamicin sulfate
Įpurškimas Cefuzonam
3643
Suderinamas
Įpurškimas Gentamicin sulfate 1 mg/ml
Įpurškimas Ciprofloxacin lactate 1.5 mg/ml
Natrio chloridas 0,9% 434
Suderinamas
Įpurškimas Gentamicin sulfate 1.6 mg/ml
Įpurškimas Ciprofloxacin lactate 2 mg/ml
Gliukozė 5% 288
Suderinamas
Įpurškimas Gentamicin sulfate 1.6 mg/ml
Įpurškimas Ciprofloxacin lactate 2 mg/ml
Natrio chloridas 0,9% 288
Suderinamas
Įpurškimas Gentamicin sulfate 1 mg/ml
Įpurškimas Ciprofloxacin lactate 1.5 mg/ml
Gliukozė 5% 434
Suderinamas
Įpurškimas Gentamicin sulfate
Įpurškimas Clindamycin phosphate
Natrio chloridas 0,9% 3526
Nedelsiant krituliai Nesuderinamas
Įpurškimas Gentamicin sulfate 40 mg/ml
Įpurškimas Cloxacillin sodium 100 mg/ml
Vanduo injekcijoms 3012
Suderinamas
Įpurškimas Gentamicin sulfate 15 mg/ml
Įpurškimas Cytarabine 16 mg/ml
Natrio chloridas 0,9% 132
Nesuderinamas
Įpurškimas Gentamicin sulfate 2 & 10 mg/ml
Parenteriniu būdu (su lipidų) 4924
Suderinamas
Įpurškimas Gentamicin sulfate
Įpurškimas Clindamycin phosphate
Gliukozė 5% 3526
Nepatikslintas nesuderinamumas Nesuderinamas
Įpurškimas Gentamicin sulfate
Įpurškimas Cloxacillin sodium
3520
Nepatikslintas nesuderinamumas Nesuderinamas
Įpurškimas Gentamicin sulfate
Įpurškimas Cytarabine
3580
Suderinamas
Įpurškimas Gentamicin sulfate 1,5 mg/ml
Įpurškimas Daptomycin 19,2 mg/ml
Natrio chloridas 0,9% 1937
Suderinamas
Įpurškimas Gentamicin sulfate 0,05 mg/ml
Parenterinis maitinimas (lipidų nemokamai) 4445
Nepatikslintas nesuderinamumas Nesuderinamas
Įpurškimas Gentamicin sulfate
Įpurškimas Cloxacillin sodium
3643
Emulsijos nestabilumas po 4 valandų Nesuderinamas
Įpurškimas Gentamicin sulfate 2 mg/ml
Parenteriniu būdu (su lipidų) 4507
Nepatikslintas nesuderinamumas Nesuderinamas
Įpurškimas Gentamicin sulfate
Įpurškimas Dalteparin sodium
3643
Suderinamas
Įpurškimas Gentamicin sulfate
Įpurškimas Daptomycin
2271
Suderinamas
Įpurškimas Gentamicin sulfate 10 mg/ml
Parenterinis maitinimas (lipidų nemokamai) 316
Suderinamas
Įpurškimas Gentamicin sulfate
Įpurškimas Dimenhydrinate
2087
Suderinamas
Įpurškimas Gentamicin sulfate 10 & 40 mg/ml
Parenterinis maitinimas (lipidų nemokamai) 999
Subvisualinis nesuderinamumas Nesuderinamas
Įpurškimas Gentamicin sulfate
Įpurškimas Daunorubicin/cytarabine liposomale
4354
Suderinamas
Įpurškimas Gentamicin sulfate 1 mg/ml
Parenterinis maitinimas (lipidų nemokamai) 939
Tiesioginis drumstumas Nesuderinamas
Įpurškimas Gentamicin sulfate
Įpurškimas Daunorubicin/cytarabine liposomale 0,4 mg/mL
Natrio chloridas 0,9% 4654
Suderinamas
Įpurškimas Gentamicin sulfate 0.8 mg/ml
Įpurškimas Diatrizoate meglumine 283 mg/ml
Nėra 1085
Suderinamas
Įpurškimas Gentamicin sulfate 2.4 & 40 mg/ml
Įpurškimas Diltiazem hydrochloride 5 mg/ml
Natrio chloridas 0,9% 198
Suderinamas
Įpurškimas Gentamicin sulfate 5 mg/ml
Įpurškimas Docetaxel 0.9 mg/ml
Gliukozė 5% 1754
Nepatikslintas nesuderinamumas Nesuderinamas
Įpurškimas Gentamicin sulfate
Įpurškimas Dopamine hydrochloride
3638
Suderinamas
Įpurškimas Gentamicin sulfate 5 mg/ml
Parenterinis maitinimas (lipidų nemokamai) 301
Suderinamas
Įpurškimas Gentamicin sulfate 5 mg/ml
Įpurškimas Doripenem 5 mg/ml
Natrio chloridas 0,9% 2262
Nepatikslintas nesuderinamumas Nesuderinamas
Įpurškimas Gentamicin sulfate
NaHCO3 3520
Suderinamas
Įpurškimas Gentamicin sulfate 2 mg/ml
Įpurškimas Dopamine hydrochloride 0.8 mg/ml
Gliukozė 5% 738
Dujų burbulų susidarymas Nesuderinamas
Įpurškimas Gentamicin sulfate
NaHCO3 3643
Suderinamas
Įpurškimas Gentamicin sulfate 5 mg/ml
Įpurškimas Dexmedetomidine 4 µg/ml
Natrio chloridas 0,9% 1712
Suderinamas
Įpurškimas Gentamicin sulfate 5 mg/ml
Įpurškimas Doripenem 5 mg/ml
Gliukozė 5% 2262
Suderinamas
Įpurškimas Gentamicin sulfate 5 mg/ml
Parenteriniu būdu (su lipidų) 1415
Suderinamas
Įpurškimas Gentamicin sulfate 10 mg/ml
Įpurškimas Doxapram hydrochloride 2 mg/ml
Gliukozė 5% 1802
Suderinamas
Įpurškimas Gentamicin sulfate 5 mg/ml
Įpurškimas Doxorubicin hydrochloride liposome peg 0.4 mg/ml
Gliukozė 5% 251
Suderinamas
Įpurškimas Gentamicin sulfate 0.8 mg/ml
Įpurškimas Enalaprilate 0.05 mg/ml
Natrio chloridas 0,9% 1315
Nepatikslintas nesuderinamumas Nesuderinamas
Įpurškimas Gentamicin sulfate
Įpurškimas Enoxaparin sodium
3643
Suderinamas
Įpurškimas Gentamicin sulfate 5 mg/ml
Įpurškimas Eravacycline 0,6 mg/ml
Natrio chloridas 0,9% 4434
Nepatikslintas nesuderinamumas Nesuderinamas
Įpurškimas Gentamicin sulfate
Įpurškimas Erythromycin lactobionate
3674
Nepatikslintas nesuderinamumas Nesuderinamas
Įpurškimas Gentamicin sulfate
Įpurškimas Erythromycin lactobionate
3520
Nepatikslintas nesuderinamumas Nesuderinamas
Įpurškimas Gentamicin sulfate
Įpurškimas Erythromycin lactobionate
3643
Suderinamas
Įpurškimas Gentamicin sulfate 0,8 mg/ml
Įpurškimas Esmolol hydrochloride 10 mg/ml
Gliukozė 5% 384
Suderinamas
Įpurškimas Gentamicin sulfate 5 mg/ml
Įpurškimas Etoposide phosphate 5 mg/ml
Gliukozė 5% 1410
Suderinamas
Įpurškimas Gentamicin sulfate 5 mg/ml
Įpurškimas Famotidine 2 mg/ml
Natrio chloridas 0,9% 215
Suderinamas
Įpurškimas Gentamicin sulfate 0,8 mg/ml
Įpurškimas Famotidine
Gliukozė 5% 397
Suderinamas
Įpurškimas Gentamicin sulfate 5 mg/ml
Įpurškimas Fenoldopam mesylate 80 µg/ml
Natrio chloridas 0,9% 1803
Suderinamas
Įpurškimas Gentamicin sulfate 10 mg/ml
Įpurškimas Fentanyl citrate 50 µg/ml
Gliukozė 5% 63
Suderinamas
Įpurškimas Gentamicin sulfate 1.6 mg/ml
Įpurškimas Filgrastim 40 µg/ml
Gliukozė 5% 104
Suderinamas
Įpurškimas Gentamicin sulfate 5 mg/ml
Įpurškimas Filgrastim 30 µg/ml
Gliukozė 5% 244
Nepatikslintas nesuderinamumas Nesuderinamas
Įpurškimas Gentamicin sulfate
Įpurškimas Flucloxacillin sodium
3643
Nedelsiant krituliai Nesuderinamas
Įpurškimas Gentamicin sulfate
Įpurškimas Flucloxacillin sodium
3522
Suderinamas
Įpurškimas Gentamicin sulfate 1 mg/ml
Įpurškimas Fluconazole 2 mg/ml
Nėra 256
Suderinamas
Įpurškimas Gentamicin sulfate 4 mg/ml
Įpurškimas Fluconazole 2 mg/ml
Natrio chloridas 0,9% 496
Suderinamas
Įpurškimas Gentamicin sulfate 5 mg/ml
Įpurškimas Fludarabine phosphate 1 mg/ml
Gliukozė 5% 492
Suderinamas
Įpurškimas Gentamicin sulfate 2 mg/ml
Įpurškimas Foscarnet sodium 24 mg/ml
Natrio chloridas 0,9% 1135
Suderinamas
Įpurškimas Gentamicin sulfate 2 mg/ml
Įpurškimas Foscarnet sodium 24 mg/ml
Gliukozė 5% 1135
Suderinamas
Įpurškimas Gentamicin sulfate 4 mg/ml
Įpurškimas Foscarnet sodium 24 mg/ml
Nėra 73
Suderinamas
Įpurškimas Gentamicin sulfate 10 mg/ml
Ringerio laktato tirpalas 4603
Suderinamas
Įpurškimas Gentamicin sulfate 5 mg/ml
Įpurškimas Fosfomycin 30 mg/ml
Natrio chloridas 0,9% 4055
Nedelsiant krituliai Nesuderinamas
Įpurškimas Gentamicin sulfate 0,4 mg/ml
Parenteriniu būdu (su lipidų) 4440
Suderinamas
Įpurškimas Gentamicin sulfate 40 mg/ml
Parenteriniu būdu (su lipidų) 673
Suderinamas
Įpurškimas Gentamicin sulfate 5 mg/ml
Įpurškimas Fosfomycin 30 mg/ml
Gliukozė 5% 4055
Nedelsiant krituliai Nesuderinamas
Įpurškimas Gentamicin sulfate 10 mg/ml
Įpurškimas Furosemide 10 mg/ml
789
Nedelsiant krituliai Nesuderinamas
Įpurškimas Gentamicin sulfate 1,6 mg/ml
Įpurškimas Furosemide 0,8 mg/ml
Gliukozė 5% 367
Nedelsiant krituliai Nesuderinamas
Įpurškimas Gentamicin sulfate 1,6 mg/ml
Įpurškimas Furosemide 0,8 mg/ml
Natrio chloridas 0,9% 367
Tiesioginis drumstumas Nesuderinamas
Įpurškimas Gentamicin sulfate 6.4 mg/ml
Įpurškimas Furosemide 5 mg/ml
805
Krituliai po 2 valandų Nesuderinamas
Įpurškimas Gentamicin sulfate 8 mg/ml
Įpurškimas Furosemide 1 mg/ml
Natrio chloridas 0,9% 1232
Suderinamas
Įpurškimas Gentamicin sulfate 5 mg/ml
Įpurškimas Gemcitabine hydrochloride 10 mg/ml
Natrio chloridas 0,9% 1423
Suderinamas
Įpurškimas Gentamicin sulfate 1.5 mg/ml
Įpurškimas Granisetron hydrochloride 1 mg/ml
Natrio chloridas 0,9% 57
Suderinamas
Įpurškimas Gentamicin sulfate 1 & 2 mg/ml
Įpurškimas Heparin sodium 2500 UI/ml
4612
Nedelsiant krituliai Nesuderinamas
Įpurškimas Gentamicin sulfate 4 >> 40 mg/ml
Įpurškimas Heparin sodium 10 >> 40 UI/ml
1258
Nedelsiant krituliai Nesuderinamas
Įpurškimas Gentamicin sulfate
Įpurškimas Heparin sodium
1022
Nepatikslintas nesuderinamumas Nesuderinamas
Įpurškimas Gentamicin sulfate 2 mg/ml
Įpurškimas Heparin sodium 50 UI/ml
Nėra 317
Nepatikslintas nesuderinamumas Nesuderinamas
Įpurškimas Gentamicin sulfate
Įpurškimas Heparin sodium
3643
Nepatikslintas nesuderinamumas Nesuderinamas
Įpurškimas Gentamicin sulfate
Įpurškimas Heparin sodium
3520
Nepatikslintas nesuderinamumas Nesuderinamas
Įpurškimas Gentamicin sulfate
Įpurškimas Heparin sodium
3540
Tiesioginis drumstumas Nesuderinamas
Įpurškimas Gentamicin sulfate 3 mg/ml
Įpurškimas Heparin sodium 2500 UI/ml
4612
Nedelsiant krituliai Nesuderinamas
Įpurškimas Gentamicin sulfate 4 & 5 mg/ml
Įpurškimas Heparin sodium 2500 UI/ml
4612
Suderinamas
Įpurškimas Gentamicin sulfate 5 mg/ml
Įpurškimas Hetastarch 60 mg/ml
specifinis tirpiklis 1721
Nedelsiant krituliai Nesuderinamas
Įpurškimas Gentamicin sulfate 0.8 mg/ml
Įpurškimas Hetastarch 60 mg/ml
Natrio chloridas 0,9% 472
Suderinamas
Įpurškimas Gentamicin sulfate 0.8 mg/ml
Įpurškimas Hydromorphone hydrochloride 0.2 mg/ml
Gliukozė 5% 405
Spalvos pasikeitimas Nesuderinamas
Įpurškimas Gentamicin sulfate 3 mg/ml
Įpurškimas Idarubicin hydrochloride 1 mg/ml
Natrio chloridas 0,9% 491
Nedelsiant krituliai Nesuderinamas
Įpurškimas Gentamicin sulfate 1 mg/ml
Įpurškimas Indomethacin sodium trihydrate 0,5 & 1 mg/ml
Gliukozė 5% 494
Krituliai po 15 minučių Nesuderinamas
Įpurškimas Gentamicin sulfate 1 mg/ml
Įpurškimas Indomethacin sodium trihydrate 0,5 & 1 mg/ml
Gliukozė 5% 1745
Suderinamas
Įpurškimas Gentamicin sulfate 1.2 >> 2 mg/ml
Įpurškimas Insulin 0.2 UI/ml
Natrio chloridas 0,9% 129
Suderinamas
Įpurškimas Gentamicin sulfate 0.8 mg/ml
Įpurškimas Iohexol 300 mg I/ml
Nėra 1085
Nedelsiant krituliai Nesuderinamas
Įpurškimas Gentamicin sulfate 0.8 mg/ml
Įpurškimas Ioxaglate 320 mg I/ml
Nėra 1085
Suderinamas
Įpurškimas Gentamicin sulfate 5 mg/ml
Įpurškimas Isavuconazonium sulfate 1.5 mg/ml
Gliukozė 5% 3829
Suderinamas
Įpurškimas Gentamicin sulfate 5 mg/ml
Įpurškimas Isavuconazonium sulfate 1.5 mg/ml
Natrio chloridas 0,9% 3829
Suderinamas
Įpurškimas Gentamicin sulfate 40 mg/ml
Įpurškimas Ketamine hydrochloride 50 mg/ml
2109
Suderinamas
Įpurškimas Gentamicin sulfate 0.8 mg/ml
Įpurškimas Labetalol hydrochloride 1 mg/ml
Gliukozė 5% 386
Suderinamas
Įpurškimas Gentamicin sulfate 5 mg/ml
Įpurškimas Lansoprazole 0.55 mg/ml
Natrio chloridas 0,9% 1625
Suderinamas
Įpurškimas Gentamicin sulfate 10 mg/ml
Įpurškimas Levofloxacine 5 mg/ml
Gliukozė 5% 1072
Suderinamas
Įpurškimas Gentamicin sulfate 0,75 mg/ml
Įpurškimas Linezolid 1,80 mg/ml
2353
Suderinamas
Įpurškimas Gentamicin sulfate 5 mg/ml
Įpurškimas Linezolid 2 mg/ml
Nėra 1925
Suderinamas
Įpurškimas Gentamicin sulfate 3 mg/ml
Įpurškimas Lorazepam 0.33 mg/ml
Natrio chloridas 0,9% 186
Suderinamas
Įpurškimas Gentamicin sulfate 0.8 mg/ml
Įpurškimas Magnesium sulfate 16.67 >> 100 mg/ml
Gliukozė 5% 1047
Suderinamas
Įpurškimas Gentamicin sulfate 5 mg/ml
Įpurškimas Melphalan 0.1 mg/ml
Natrio chloridas 0,9% 169
Suderinamas
Įpurškimas Gentamicin sulfate 40 mg/ml
Įpurškimas Meropenem 50 mg/ml
Vanduo injekcijoms 4319
Suderinamas
Įpurškimas Gentamicin sulfate 0.8 mg/ml
Įpurškimas Meropenem 1 & 20 mg/ml
Natrio chloridas 0,9% 266
Suderinamas
Įpurškimas Gentamicin sulfate 4 mg/ml
Įpurškimas Meropenem 1 & 50 mg/ml
Natrio chloridas 0,9% 266
Suderinamas
Įpurškimas Gentamicin sulfate 30 mg/ml
Įpurškimas Meropenem 10 mg/ml
Natrio chloridas 0,9% 2335
Suderinamas
Įpurškimas Gentamicin sulfate 0,8 & 1,2 mg/ml
Įpurškimas Metronidazole 5 mg/ml
Nėra 1243
Suderinamas
Įpurškimas Gentamicin sulfate 0.8 mg/ml
Įpurškimas Metronidazole 5 mg/ml
Nėra 1035
Suderinamas
Įpurškimas Gentamicin sulfate
Įpurškimas Metronidazole
3594
Suderinamas
Įpurškimas Gentamicin sulfate 3 mg/ml
Įpurškimas Midazolam hydrochloride 5 mg/ml
Nėra 186
Suderinamas
Įpurškimas Gentamicin sulfate 10 mg/ml
Įpurškimas Midazolam hydrochloride 1 mg/ml
Gliukozė 5% 176
Suderinamas
Įpurškimas Gentamicin sulfate 0.8 mg/ml
Įpurškimas Midazolam hydrochloride 0.05 >> 0.4 mg/ml
Natrio chloridas 0,9% 1888
Nepatikslintas nesuderinamumas Nesuderinamas
Įpurškimas Gentamicin sulfate
Įpurškimas Mitomycin
4471
Cheminis nestabilumas Nesuderinamas
Įpurškimas Gentamicin sulfate
Įpurškimas Mitomycin
3128
Suderinamas
Įpurškimas Gentamicin sulfate 1.2 & 2 mg/ml
Įpurškimas Morphine sulfate 1 mg/ml
Natrio chloridas 0,9% 406
Suderinamas
Įpurškimas Gentamicin sulfate 0.8 mg/ml
Įpurškimas Morphine sulfate 1 mg/ml
Gliukozė 5% 405
Nepatikslintas nesuderinamumas Nesuderinamas
Įpurškimas Gentamicin sulfate
Įpurškimas Moxalactam
3643
Nepatikslintas nesuderinamumas Nesuderinamas
Įpurškimas Gentamicin sulfate
Įpurškimas Moxalactam
3520
Suderinamas
Įpurškimas Gentamicin sulfate 40 mg/ml
Įpurškimas N-acetylcysteine 200 mg/ml
Nėra 3766
Nepatikslintas nesuderinamumas Nesuderinamas
Įpurškimas Gentamicin sulfate
Įpurškimas Nadroparin
3643
Nepatikslintas nesuderinamumas Nesuderinamas
Įpurškimas Gentamicin sulfate
Įpurškimas Nafcillin sodium
3643
Nepatikslintas nesuderinamumas Nesuderinamas
Įpurškimas Gentamicin sulfate
Įpurškimas Nafcillin sodium
3520
Suderinamas
Įpurškimas Gentamicin sulfate 40 mg/ml
Įpurškimas Naloxone hydrochloride 0.4 mg/ml
Nėra 3408
Suderinamas
Įpurškimas Gentamicin sulfate 4.17 mg/ml
Įpurškimas Nefopam 0.16 mg/ml
Natrio chloridas 0,9% 4254
Suderinamas
Įpurškimas Gentamicin sulfate 4.17 mg/ml
Įpurškimas Nefopam 0.16 mg/ml
Gliukozė 5% 4254
Suderinamas
Įpurškimas Gentamicin sulfate 0.8 mg/ml
Įpurškimas Nicardipine hydrochloride 0.1 mg/ml
Gliukozė 5% 1490
Suderinamas
Įpurškimas Gentamicin sulfate 0.8 mg/ml
Įpurškimas Nicardipine hydrochloride 0.1 mg/ml
Natrio chloridas 0,9% 1490
Suderinamas
Įpurškimas Gentamicin sulfate 0,8 mg/ml
Įpurškimas Ofloxacin 2 mg/ml
Nėra 889
Suderinamas
Įpurškimas Gentamicin sulfate 5 mg/ml
Įpurškimas Ondansetron hydrochloride 1 mg/ml
Natrio chloridas 0,9% 334
Suderinamas
Įpurškimas Gentamicin sulfate 5 mg/ml
Įpurškimas Oritavancin 0.8 >>2 mg/ml
Gliukozė 5% 3152
Nepatikslintas nesuderinamumas Nesuderinamas
Įpurškimas Gentamicin sulfate
Įpurškimas Oxacillin sodium
3643
Nepatikslintas nesuderinamumas Nesuderinamas
Įpurškimas Gentamicin sulfate
Įpurškimas Oxacillin sodium
3520
Suderinamas
Įpurškimas Gentamicin sulfate 40 mg/ml
Įpurškimas Oxycodone hydrochloride 1 mg/ml
Natrio chloridas 0,9% 4842
Suderinamas
Įpurškimas Gentamicin sulfate 5 mg/ml
Įpurškimas Paclitaxel 1.2 mg/ml
Gliukozė 5% 248
Suderinamas
Įpurškimas Gentamicin sulfate 5 mg/ml
Įpurškimas Palonosetron hydrochloride 50 µg/ml
Gliukozė 5% 2228
Suderinamas
Įpurškimas Gentamicin sulfate 2 mg/ml
Įpurškimas Pancuronium bromide 0.05 mg/ml
Gliukozė 5% 402
Nedelsiant krituliai Nesuderinamas
Įpurškimas Gentamicin sulfate
Įpurškimas Pantoprazole sodium
2090
Suderinamas
Įpurškimas Gentamicin sulfate 40 mg/ml
Įpurškimas Paracetamol 10 mg/ml
4742
Nedelsiant krituliai Nesuderinamas
Įpurškimas Gentamicin sulfate 5 mg/ml
Įpurškimas Pemetrexed disodium 20 mg/ml
1953
Nepatikslintas nesuderinamumas Nesuderinamas
Įpurškimas Gentamicin sulfate
Įpurškimas Penicillin G potassium
3643
Nepatikslintas nesuderinamumas Nesuderinamas
Įpurškimas Gentamicin sulfate
Įpurškimas Penicillin G potassium
3520
Nepatikslintas nesuderinamumas Nesuderinamas
Įpurškimas Gentamicin sulfate
Įpurškimas Penicillin G sodium
3643
Nepatikslintas nesuderinamumas Nesuderinamas
Įpurškimas Gentamicin sulfate
Įpurškimas Penicillin G sodium
3520
Suderinamas
Įpurškimas Gentamicin sulfate 10 mg/ml
Įpurškimas Pentoxifyllin 5 mg/ml
Natrio chloridas 0,9% 4543
Suderinamas
Įpurškimas Gentamicin sulfate 0.8 mg/ml
Įpurškimas Pethidine hydrochloride 10 mg/ml
Gliukozė 5% 405
Nedelsiant krituliai Nesuderinamas
Įpurškimas Gentamicin sulfate 10 mg/ml
Įpurškimas Phenytoin sodium 50 mg/ml
789
Suderinamas
Įpurškimas Gentamicin sulfate 20 mg/ml
Įpurškimas Phloroglucinol 2,5 mg/ml
3791
Nepatikslintas nesuderinamumas Nesuderinamas
Įpurškimas Gentamicin sulfate
Įpurškimas Piperacillin sodium
3520
Nepatikslintas nesuderinamumas Nesuderinamas
Įpurškimas Gentamicin sulfate
Įpurškimas Piperacillin sodium
3643
Nepatikslintas nesuderinamumas Nesuderinamas
Įpurškimas Gentamicin sulfate
Įpurškimas Piperacillin sodium / tazobactam
3520
Cheminis nestabilumas Nesuderinamas
Įpurškimas Gentamicin sulfate
Įpurškimas Piperacillin sodium / tazobactam
3586
Nepatikslintas nesuderinamumas Nesuderinamas
Įpurškimas Gentamicin sulfate
Įpurškimas Piperacillin sodium / tazobactam
3643
Suderinamas
Įpurškimas Gentamicin sulfate
Įpurškimas Posaconazole
4380
Suderinamas
Įpurškimas Gentamicin sulfate 30 mg/ml
Įpurškimas Potassium chloride 20 mEq/l
NaCl 0,45% Gliukozė 5% 2335
Skubus emulsijos nestabilumas Nesuderinamas
Įpurškimas Gentamicin sulfate 2 mg/ml
Įpurškimas Propofol
660
Nepatikslintas nesuderinamumas Nesuderinamas
Įpurškimas Gentamicin sulfate 40 mg/ml
Įpurškimas Propofol
4524
Nedelsiant krituliai Nesuderinamas
Įpurškimas Gentamicin sulfate 5 mg/ml
Įpurškimas Propofol 10 mg/ml
Nėra 300
Suderinamas
Įpurškimas Gentamicin sulfate 5 mg/ml
Įpurškimas Remifentanil hydrochloride 25 & 250 µg/ml
Natrio chloridas 0,9% 59
Suderinamas
Įpurškimas Gentamicin sulfate 40 mg/ml
Įpurškimas Salbutamol sulfate 1 mg/ml
Nėra 3216
Suderinamas
Įpurškimas Gentamicin sulfate 5 mg/ml
Įpurškimas Sargramostim 10 µg/ml
Natrio chloridas 0,9% 335
Suderinamas
Įpurškimas Gentamicin sulfate 10 mg/ml
Įpurškimas Sildenafil citrate 0,6 mg/ml
Gliukozė 5% 4845
Suderinamas
Įpurškimas Gentamicin sulfate 2,4 mg/ml
Įpurškimas Sodium bicarbonate 40 mg/ml
Nėra 3122
Dujų burbulų susidarymas Nesuderinamas
Įpurškimas Gentamicin sulfate
Įpurškimas Sodium bicarbonate
3643
Suderinamas
Įpurškimas Gentamicin sulfate 2.5 mg/ml
Įpurškimas Sodium citrate 40 mg/ml
Vanduo injekcijoms 3952
Suderinamas
Įpurškimas Gentamicin sulfate 40 mg/ml
Įpurškimas Sugammadex 100 mg/ml
Nėra 3372
Suderinamas
Įpurškimas Gentamicin sulfate 5 mg/ml
Įpurškimas Sulbactam/durlobactam 15/15 mg/ml
Natrio chloridas 0,9% 4801
Suderinamas
Įpurškimas Gentamicin sulfate 4 mg/ml
Įpurškimas Tacrolimus 1000 µg/ml
Natrio chloridas 0,9% 479
Suderinamas
Įpurškimas Gentamicin sulfate
Natrio chloridas 0,9% 1704
Suderinamas
Įpurškimas Gentamicin sulfate
Natrio chloridas 0,9% 434
Nepatikslintas nesuderinamumas Nesuderinamas
Įpurškimas Gentamicin sulfate
Įpurškimas Sodium bicarbonate
3520
Suderinamas
Įpurškimas Gentamicin sulfate 1 >> 5 mg/ml
Įpurškimas Sodium citrate 40 mg/ml
Nėra 2019
Tiesioginis drumstumas Nesuderinamas
Įpurškimas Gentamicin sulfate 5 mg/ml
Įpurškimas Tedizolid phosphate 0.8 mg/ml
Natrio chloridas 0,9% 3827
Nepatikslintas nesuderinamumas Nesuderinamas
Įpurškimas Gentamicin sulfate
Įpurškimas Teicoplanine
3656
Suderinamas
Įpurškimas Gentamicin sulfate 5 mg/ml
Įpurškimas Telavancin hydrochloride 7.5 mg/ml
Ringerio laktato tirpalas 3254
Suderinamas
Įpurškimas Gentamicin sulfate 5 mg/ml
Įpurškimas Telavancin hydrochloride 7.5 mg/ml
Natrio chloridas 0,9% 3254
Suderinamas
Įpurškimas Gentamicin sulfate 5 mg/ml
Įpurškimas Telavancin hydrochloride 7.5 mg/ml
Gliukozė 5% 3254
Suderinamas
Įpurškimas Gentamicin sulfate 6 mg/ml
Įpurškimas Temocilline 83.33 mg/ml
Vanduo injekcijoms 2231
Nepatikslintas nesuderinamumas Nesuderinamas
Įpurškimas Gentamicin sulfate
Įpurškimas Temocilline
3643
Nepatikslintas nesuderinamumas Nesuderinamas
Įpurškimas Gentamicin sulfate
Įpurškimas Temocilline
3520
Nepatikslintas nesuderinamumas Nesuderinamas
Įpurškimas Gentamicin sulfate
Įpurškimas Temocilline
2296
Suderinamas
Įpurškimas Gentamicin sulfate 5 mg/ml
Įpurškimas Teniposide 0.1 mg/ml
Gliukozė 5% 905
Suderinamas
Įpurškimas Gentamicin sulfate 2 mg/ml
Įpurškimas Theophylline 4 mg/ml
Nėra 317
Nedelsiant krituliai Nesuderinamas
Įpurškimas Gentamicin sulfate 40 mg/ml
Įpurškimas Thiopental sodium 25 mg/ml
Natrio chloridas 0,9% 3767
Suderinamas
Įpurškimas Gentamicin sulfate 5 mg/ml
Įpurškimas Thiotepa 1 mg/ml
Gliukozė 5% 249
Cheminis nestabilumas Nesuderinamas
Įpurškimas Gentamicin sulfate
Įpurškimas Ticarcillin / clavulanic acid
3587
Nepatikslintas nesuderinamumas Nesuderinamas
Įpurškimas Gentamicin sulfate
Įpurškimas Ticarcillin / clavulanic acid
3643
Nepatikslintas nesuderinamumas Nesuderinamas
Įpurškimas Gentamicin sulfate
Įpurškimas Ticarcillin / clavulanic acid
3520
Suderinamas
Įpurškimas Gentamicin sulfate
Įpurškimas Tigecycline
Natrio chloridas 0,9% 3332
Suderinamas
Įpurškimas Gentamicin sulfate 6 mg/ml
Įpurškimas Vancomycin hydrochloride 10 mg/ml
Gliukozė 5% 3385
Suderinamas
Įpurškimas Gentamicin sulfate 1.2 mg/ml
Įpurškimas Vasopressin 0.2 UI/ml
Natrio chloridas 0,9% 2017
Suderinamas
Įpurškimas Gentamicin sulfate 2 mg/ml
Įpurškimas Vecuronium bromide 0.1 mg/ml
Gliukozė 5% 402
Suderinamas
Įpurškimas Gentamicin sulfate 0.16 mg/ml
Įpurškimas Verapamil hydrochloride 0.08 mg/ml
Gliukozė 5% 1057
Suderinamas
Įpurškimas Gentamicin sulfate 0.16 mg/ml
Įpurškimas Verapamil hydrochloride 0.08 mg/ml
Natrio chloridas 0,9% 1057
Suderinamas
Įpurškimas Gentamicin sulfate 5 mg/ml
Įpurškimas Vinorelbine tartrate 1 mg/ml
Natrio chloridas 0,9% 84
Tiesioginis drumstumas Nesuderinamas
Įpurškimas Gentamicin sulfate 1.6 mg/ml
Įpurškimas Warfarin sodium 2 mg/ml
Gliukozė 5% 315
Suderinamas
Įpurškimas Gentamicin sulfate 2 mg/ml
Įpurškimas Zidovudine 4 mg/ml
Gliukozė 5% 337

  Mentions Légales