Последно актуализиране :
27/04/2026
Антибиотик   Gentamicin sulfate  
Инжекция/Инжекционен
Капки за очи
Стабилност на разтвори Стабилност на смеси Фактори, повлияващи стабилността Съвместимост Път на въвеждане Библиография Pdf
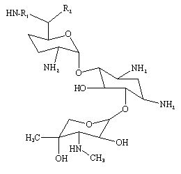
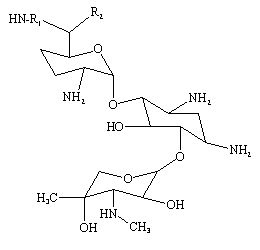
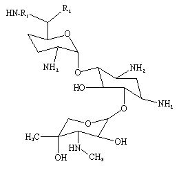
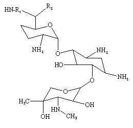
   Химична структура  

Търговско наименование   Търговско наименование     

Търговските имена са примерни и съставът на помощните вещества може да бъде различен в зависимост от държавата и лабораториите

Azupel Перу
Cidomycin Великобритания, Египет, Тунис
Dabroson Гърция
Epigent Египет
Garalone Португалия
Garamicina Бразилия, Еквадор, Колумбия, Мексико
Garamycin Гърция, Дания, Египет, Индия, Норвегия, Обединени арабски емирства, Полша, Холандия, Хърватия, Швейцария
Genmisin Турция
Gensif Турция
Gensumycin Норвегия, Финландия, Швеция
Genta-Gobens Испания
Gentalline Мароко
Gentamen Мароко
Genticin Великобритания, Ирландия, Обединени арабски емирства
Gentreks Турция
Hexamycin Дания
Plurisemina Аржентина
Refobacin Австрия, Германия, Египет, Колумбия
Rupegen Аржентина
Съвместимост   Инжекция/Инжекционен   Съвместимост : Gentamicin sulfate              
Този екран показва съвместимостта или несъвместимостта с, в този случай, вида на несъвместимостта (утаяване, промяна на цвета, модификация на емулсия и др.). Показаните тук съвместимости са предимно физически, като рядко се оценява химическата стабилност на всяка молекула. Оценката на тези смеси беше проучена, за да се разгледа възможността за приложение на Y-място на пациента. Тези данни не могат да се използват за предварително приготвяне на смеси в торбички или спринцовки. Този тип информация е достъпна на екрана "Стабилност в сместа".
Състав / молекула Разтворител Библиография
съвместим
Инжекция/Инжекционен Gentamicin sulfate 1.6 mg/ml
Инжекция/Инжекционен Aciclovir sodium 5 mg/ml
Glucose 5% 336
Незабавни валежи Несъвместим
Инжекция/Инжекционен Gentamicin sulfate 30 mg/ml
Инжекция/Инжекционен Aciclovir sodium 5 mg/ml
Sodium chloride 0,9% 2335
Валежи след 1 час Несъвместим
Инжекция/Инжекционен Gentamicin sulfate 5 mg/ml
Инжекция/Инжекционен Allopurinol sodium 3 mg/ml
Sodium chloride 0,9% 307
съвместим
Инжекция/Инжекционен Gentamicin sulfate 1 mg/ml
Инжекция/Инжекционен Alprostadil 15 µg/ml
3201
съвместим
Инжекция/Инжекционен Gentamicin sulfate 5 mg/ml
Инжекция/Инжекционен Amifostine 10 mg/ml
Glucose 5% 3
съвместим
Инжекция/Инжекционен Gentamicin sulfate 0.8 mg/ml
Инжекция/Инжекционен Amiodarone hydrochloride 4 mg/ml
Sodium chloride 0,9% 385
съвместим
Инжекция/Инжекционен Gentamicin sulfate 0.8 mg/ml
Инжекция/Инжекционен Amiodarone hydrochloride 4 mg/ml
Glucose 5% 385
Неопределена несъвместимост Несъвместим
Инжекция/Инжекционен Gentamicin sulfate
Инжекция/Инжекционен Amoxicillin sodium
3643
Неопределена несъвместимост Несъвместим
Инжекция/Инжекционен Gentamicin sulfate
Инжекция/Инжекционен Amoxicillin sodium
3520
Химическа нестабилност Несъвместим
Инжекция/Инжекционен Gentamicin sulfate
Инжекция/Инжекционен Amoxicillin sodium
3527
Неопределена несъвместимост Несъвместим
Инжекция/Инжекционен Gentamicin sulfate
Инжекция/Инжекционен Amoxicillin sodium / clavulanic acid
3643
Неопределена несъвместимост Несъвместим
Инжекция/Инжекционен Gentamicin sulfate
Инжекция/Инжекционен Amoxicillin sodium / clavulanic acid
3545
Неопределена несъвместимост Несъвместим
Инжекция/Инжекционен Gentamicin sulfate
Инжекция/Инжекционен Amoxicillin sodium / clavulanic acid
3520
съвместим
Инжекция/Инжекционен Gentamicin sulfate 40 mg/ml
Инжекция/Инжекционен Amoxicillin sodium / clavulanic acid 100/10 mg/ml
3824
Незабавни валежи Несъвместим
Инжекция/Инжекционен Gentamicin sulfate 5 mg/ml
Инжекция/Инжекционен Amphotericin B cholesteryl sulfate complex 0,83 mg/ml
Glucose 5% 921
Неопределена несъвместимост Несъвместим
Инжекция/Инжекционен Gentamicin sulfate
Инжекция/Инжекционен Ampicillin sodium
3643
Неопределена несъвместимост Несъвместим
Инжекция/Инжекционен Gentamicin sulfate
Инжекция/Инжекционен Ampicillin sodium
3520
Неопределена несъвместимост Несъвместим
Инжекция/Инжекционен Gentamicin sulfate
Инжекция/Инжекционен Ampicillin sodium - sulbactam sodium
3643
Неопределена несъвместимост Несъвместим
Инжекция/Инжекционен Gentamicin sulfate
Инжекция/Инжекционен Ampicillin sodium - sulbactam sodium
3520
съвместим
Инжекция/Инжекционен Gentamicin sulfate 5 mg/ml
Инжекция/Инжекционен Amsacrine 1 mg/ml
Glucose 5% 253
съвместим
Инжекция/Инжекционен Gentamicin sulfate 5 mg/ml
Инжекция/Инжекционен Anidulafungin 0.5 mg/ml
Glucose 5% 1982
съвместим
Инжекция/Инжекционен Gentamicin sulfate 0,8 mg/ml
Инжекция/Инжекционен Atosiban 0,75 mg/ml
4642
съвместим
Инжекция/Инжекционен Gentamicin sulfate 2 mg/ml
Инжекция/Инжекционен Atracurium besylate 0.5 mg/ml
Glucose 5% 402
Незабавни валежи Несъвместим
Инжекция/Инжекционен Gentamicin sulfate 21 mg/ml
Инжекция/Инжекционен Azithromycine 2 mg/ml
Sodium chloride 0,9% 1800
съвместим
Инжекция/Инжекционен Gentamicin sulfate 5 mg/ml
Инжекция/Инжекционен Aztreonam 40 mg/ml
Glucose 5% 99
съвместим
Инжекция/Инжекционен Gentamicin sulfate 0.2 & 0.8 mg/ml
Инжекция/Инжекционен Aztreonam 10 & 20 mg/ml
Sodium chloride 0,9% 19
съвместим
Инжекция/Инжекционен Gentamicin sulfate 0.2 & 0.8 mg/ml
Инжекция/Инжекционен Aztreonam 10 & 20 mg/ml
Glucose 5% 19
съвместим
Инжекция/Инжекционен Gentamicin sulfate 5 mg/ml
Инжекция/Инжекционен Bivalirudin 5 mg/ml
Glucose 5% 1713
съвместим
Инжекция/Инжекционен Gentamicin sulfate 10 mg/ml
Инжекция/Инжекционен Caffeine 10 mg/ml
Няма 3964
съвместим
Инжекция/Инжекционен Gentamicin sulfate 10 mg/ml
Инжекция/Инжекционен Caffeine 10 mg/ml
Sodium chloride 0,9% 4837
съвместим
Инжекция/Инжекционен Gentamicin sulfate 10 mg/ml
Инжекция/Инжекционен Caffeine citrate 20 mg/ml
Sodium chloride 0,9% 4837
Неопределена несъвместимост Несъвместим
Инжекция/Инжекционен Gentamicin sulfate
Инжекция/Инжекционен Calcium gluconate
3644
Несъвместим
Инжекция/Инжекционен Gentamicin sulfate
Инжекция/Инжекционен Calcium gluconate
4964
съвместим
Инжекция/Инжекционен Gentamicin sulfate 5 mg/ml
Инжекция/Инжекционен Caspofungin acetate 0,7 mg/ml
Sodium chloride 0,9% 2247
Неопределена несъвместимост Несъвместим
Инжекция/Инжекционен Gentamicin sulfate
Инжекция/Инжекционен Cefalotin sodium
3520
Неопределена несъвместимост Несъвместим
Инжекция/Инжекционен Gentamicin sulfate
Инжекция/Инжекционен Cefalotin sodium
3643
Незабавни валежи Несъвместим
Инжекция/Инжекционен Gentamicin sulfate
Инжекция/Инжекционен Cefamandole nafate 2 >> 100 mg/ml
Glucose 5% 612
Неопределена несъвместимост Несъвместим
Инжекция/Инжекционен Gentamicin sulfate
Инжекция/Инжекционен Cefamandole nafate
3643
Неопределена несъвместимост Несъвместим
Инжекция/Инжекционен Gentamicin sulfate
Инжекция/Инжекционен Cefamandole nafate
3520
Неопределена несъвместимост Несъвместим
Инжекция/Инжекционен Gentamicin sulfate
Инжекция/Инжекционен Cefamandole nafate
3546
Незабавни валежи Несъвместим
Инжекция/Инжекционен Gentamicin sulfate
Инжекция/Инжекционен Cefamandole nafate 2 >> 100 mg/ml
Sodium chloride 0,9% 612
Неопределена несъвместимост Несъвместим
Инжекция/Инжекционен Gentamicin sulfate
Инжекция/Инжекционен Cefazolin sodium
3520
Неопределена несъвместимост Несъвместим
Инжекция/Инжекционен Gentamicin sulfate
Инжекция/Инжекционен Cefazolin sodium
3643
Неопределена несъвместимост Несъвместим
Инжекция/Инжекционен Gentamicin sulfate
Инжекция/Инжекционен Cefepime dihydrochloride
3520
съвместим
Инжекция/Инжекционен Gentamicin sulfate 6 mg/ml
Инжекция/Инжекционен Cefepime dihydrochloride 125 mg/ml
Вода за инжекции 2141
Неопределена несъвместимост Несъвместим
Инжекция/Инжекционен Gentamicin sulfate
Инжекция/Инжекционен Cefepime dihydrochloride
3548
Неопределена несъвместимост Несъвместим
Инжекция/Инжекционен Gentamicin sulfate
Инжекция/Инжекционен Cefepime dihydrochloride
3643
съвместим
Инжекция/Инжекционен Gentamicin sulfate 5 mg/ml
Инжекция/Инжекционен Cefiderocol sulfate tosylate 20 mg/mL
Glucose 5% 4528
съвместим
Инжекция/Инжекционен Gentamicin sulfate 5 mg/ml
Инжекция/Инжекционен Cefiderocol sulfate tosylate 20 mg/mL
Sodium chloride 0,9% 4528
Неопределена несъвместимост Несъвместим
Инжекция/Инжекционен Gentamicin sulfate
Инжекция/Инжекционен Cefmenoxime
3520
Неопределена несъвместимост Несъвместим
Инжекция/Инжекционен Gentamicin sulfate
Инжекция/Инжекционен Cefmenoxime
3643
Неопределена несъвместимост Несъвместим
Инжекция/Инжекционен Gentamicin sulfate
Инжекция/Инжекционен Cefmetazole sodium
3520
Неопределена несъвместимост Несъвместим
Инжекция/Инжекционен Gentamicin sulfate
Инжекция/Инжекционен Cefmetazole sodium
3643
Неопределена несъвместимост Несъвместим
Инжекция/Инжекционен Gentamicin sulfate
Инжекция/Инжекционен Cefonicid sodium
3643
Неопределена несъвместимост Несъвместим
Инжекция/Инжекционен Gentamicin sulfate
Инжекция/Инжекционен Cefonicid sodium
3520
Неопределена несъвместимост Несъвместим
Инжекция/Инжекционен Gentamicin sulfate
Инжекция/Инжекционен Cefoperazone sodium
3544
Неопределена несъвместимост Несъвместим
Инжекция/Инжекционен Gentamicin sulfate
Инжекция/Инжекционен Cefoperazone sodium
3643
Незабавни валежи Несъвместим
Инжекция/Инжекционен Gentamicin sulfate 0.8 mg/ml
Инжекция/Инжекционен Cefoperazone sodium 10 mg/ml
Glucose 5% 1206
Неопределена несъвместимост Несъвместим
Инжекция/Инжекционен Gentamicin sulfate
Инжекция/Инжекционен Cefoperazone sodium
3520
Неопределена несъвместимост Несъвместим
Инжекция/Инжекционен Gentamicin sulfate
Инжекция/Инжекционен Ceforanide
3643
Неопределена несъвместимост Несъвместим
Инжекция/Инжекционен Gentamicin sulfate
Инжекция/Инжекционен Ceforanide
3520
Неопределена несъвместимост Несъвместим
Инжекция/Инжекционен Gentamicin sulfate
Инжекция/Инжекционен Cefotaxime sodium
3520
Неопределена несъвместимост Несъвместим
Инжекция/Инжекционен Gentamicin sulfate
Инжекция/Инжекционен Cefotaxime sodium
3643
Неопределена несъвместимост Несъвместим
Инжекция/Инжекционен Gentamicin sulfate
Инжекция/Инжекционен Cefoxitin sodium
3643
Неопределена несъвместимост Несъвместим
Инжекция/Инжекционен Gentamicin sulfate
Инжекция/Инжекционен Cefoxitin sodium
3520
съвместим
Инжекция/Инжекционен Gentamicin sulfate 1 mg/ml
Инжекция/Инжекционен Cefpirome sulfate 50 mg/ml
Sodium chloride 0,9% 280
съвместим
Инжекция/Инжекционен Gentamicin sulfate 1 mg/ml
Инжекция/Инжекционен Cefpirome sulfate 50 mg/ml
Ринтер лактат 280
съвместим
Инжекция/Инжекционен Gentamicin sulfate 1 mg/ml
Инжекция/Инжекционен Cefpirome sulfate 50 mg/ml
Sodium chloride 0,45% 280
Неопределена несъвместимост Несъвместим
Инжекция/Инжекционен Gentamicin sulfate
Инжекция/Инжекционен Cefpirome sulfate
3643
Неопределена несъвместимост Несъвместим
Инжекция/Инжекционен Gentamicin sulfate
Инжекция/Инжекционен Cefpirome sulfate
3677
съвместим
Инжекция/Инжекционен Gentamicin sulfate 1 mg/ml
Инжекция/Инжекционен Cefpirome sulfate 50 mg/ml
Glucose 5% 280
Неопределена несъвместимост Несъвместим
Инжекция/Инжекционен Gentamicin sulfate
Инжекция/Инжекционен Cefpirome sulfate
3520
съвместим
Инжекция/Инжекционен Gentamicin sulfate 5 mg/ml
Инжекция/Инжекционен Ceftaroline fosamil 2,22 mg/ml
Sodium chloride 0,9% 3249
съвместим
Инжекция/Инжекционен Gentamicin sulfate 5 mg/ml
Инжекция/Инжекционен Ceftaroline fosamil 2,22 mg/ml
Ринтер лактат 3249
съвместим
Инжекция/Инжекционен Gentamicin sulfate 5 mg/ml
Инжекция/Инжекционен Ceftaroline fosamil 2,22 mg/ml
Glucose 5% 3249
Неопределена несъвместимост Несъвместим
Инжекция/Инжекционен Gentamicin sulfate
Инжекция/Инжекционен Ceftaroline fosamil
3643
Неопределена несъвместимост Несъвместим
Инжекция/Инжекционен Gentamicin sulfate
Инжекция/Инжекционен Ceftaroline fosamil
3520
Неопределена несъвместимост Несъвместим
Инжекция/Инжекционен Gentamicin sulfate
Инжекция/Инжекционен Ceftazidime
3543
Неопределена несъвместимост Несъвместим
Инжекция/Инжекционен Gentamicin sulfate
Инжекция/Инжекционен Ceftazidime
3520
Неопределена несъвместимост Несъвместим
Инжекция/Инжекционен Gentamicin sulfate
Инжекция/Инжекционен Ceftazidime
3643
съвместим
Инжекция/Инжекционен Gentamicin sulfate 6 mg/ml
Инжекция/Инжекционен Ceftazidime 125 mg/ml
Вода за инжекции 2141
съвместим
Инжекция/Инжекционен Gentamicin sulfate 6 mg/ml
Инжекция/Инжекционен Ceftazidime 83.3 mg/ml
1759
Неопределена несъвместимост Несъвместим
Инжекция/Инжекционен Gentamicin sulfate
Инжекция/Инжекционен Ceftazidime
3883
Неопределена несъвместимост Несъвместим
Инжекция/Инжекционен Gentamicin sulfate
Инжекция/Инжекционен Ceftazidime Avibactam
3520
Неопределена несъвместимост Несъвместим
Инжекция/Инжекционен Gentamicin sulfate
Инжекция/Инжекционен Ceftazidime Avibactam
3643
Неопределена несъвместимост Несъвместим
Инжекция/Инжекционен Gentamicin sulfate
Инжекция/Инжекционен Ceftizoxime sodium
3643
Неопределена несъвместимост Несъвместим
Инжекция/Инжекционен Gentamicin sulfate
Инжекция/Инжекционен Ceftizoxime sodium
3520
Неопределена несъвместимост Несъвместим
Инжекция/Инжекционен Gentamicin sulfate
Инжекция/Инжекционен Ceftobiprole medocaril sodium
3643
Неопределена несъвместимост Несъвместим
Инжекция/Инжекционен Gentamicin sulfate
Инжекция/Инжекционен Ceftobiprole medocaril sodium
4650
Незабавни валежи Несъвместим
Инжекция/Инжекционен Gentamicin sulfate 5 mg/ml
Инжекция/Инжекционен Ceftobiprole medocaril sodium 2 mg/ml
Glucose 5% 2269
Незабавни валежи Несъвместим
Инжекция/Инжекционен Gentamicin sulfate 5 mg/ml
Инжекция/Инжекционен Ceftobiprole medocaril sodium 2 mg/ml
Ринтер лактат 2269
Незабавни валежи Несъвместим
Инжекция/Инжекционен Gentamicin sulfate 5 mg/ml
Инжекция/Инжекционен Ceftobiprole medocaril sodium 2 mg/ml
Sodium chloride 0,9% 2269
Неопределена несъвместимост Несъвместим
Инжекция/Инжекционен Gentamicin sulfate
Инжекция/Инжекционен Ceftobiprole medocaril sodium
3520
съвместим
Инжекция/Инжекционен Gentamicin sulfate 5 mg/ml
Инжекция/Инжекционен Ceftolozane / tazobactam 10/5 mg/ml
Glucose 5% 3828
Неопределена несъвместимост Несъвместим
Инжекция/Инжекционен Gentamicin sulfate
Инжекция/Инжекционен Ceftolozane / tazobactam
3643
Неопределена несъвместимост Несъвместим
Инжекция/Инжекционен Gentamicin sulfate
Инжекция/Инжекционен Ceftolozane / tazobactam
3520
съвместим
Инжекция/Инжекционен Gentamicin sulfate 5 mg/ml
Инжекция/Инжекционен Ceftolozane / tazobactam 10/5 mg/ml
Sodium chloride 0,9% 3828
Неопределена несъвместимост Несъвместим
Инжекция/Инжекционен Gentamicin sulfate
Инжекция/Инжекционен Ceftriaxone disodium
3523
Неопределена несъвместимост Несъвместим
Инжекция/Инжекционен Gentamicin sulfate
Инжекция/Инжекционен Ceftriaxone disodium
3643
Неопределена несъвместимост Несъвместим
Инжекция/Инжекционен Gentamicin sulfate
Инжекция/Инжекционен Ceftriaxone disodium
3520
Неопределена несъвместимост Несъвместим
Инжекция/Инжекционен Gentamicin sulfate
Инжекция/Инжекционен Cefuroxime sodium
3643
Неопределена несъвместимост Несъвместим
Инжекция/Инжекционен Gentamicin sulfate
Инжекция/Инжекционен Cefuroxime sodium
3520
Неопределена несъвместимост Несъвместим
Инжекция/Инжекционен Gentamicin sulfate
Инжекция/Инжекционен Cefuroxime sodium
3687
Неопределена несъвместимост Несъвместим
Инжекция/Инжекционен Gentamicin sulfate
Инжекция/Инжекционен Cefuzonam
3520
съвместим
Инжекция/Инжекционен Gentamicin sulfate 0.8 mg/ml
Инжекция/Инжекционен Cimetidine hydrochloride 3 mg/ml
Glucose 5% 1201
съвместим
Инжекция/Инжекционен Gentamicin sulfate 0.08 mg/ml
Инжекция/Инжекционен Cimetidine hydrochloride 1.2 & 5 mg/ml
Sodium chloride 0,9% 1201
съвместим
Инжекция/Инжекционен Gentamicin sulfate 0.08 mg/ml
Инжекция/Инжекционен Cimetidine hydrochloride 1.2 & 5 mg/ml
Glucose 5% 1201
съвместим
Инжекция/Инжекционен Gentamicin sulfate 10 mg/ml
Инжекция/Инжекционен Ciprofloxacin lactate 2 mg/ml
Sodium chloride 0,9% 289
съвместим
Инжекция/Инжекционен Gentamicin sulfate 1.6 mg/ml
Инжекция/Инжекционен Ciprofloxacin lactate 2 mg/ml
Glucose 5% 285
съвместим
Инжекция/Инжекционен Gentamicin sulfate 5 mg/ml
Инжекция/Инжекционен Cisatracurium besylate 0.1 >> 5 mg/ml
Glucose 5% 299
Химическа нестабилност Несъвместим
Инжекция/Инжекционен Gentamicin sulfate
Инжекция/Инжекционен Cisplatin
3578
съвместим
Инжекция/Инжекционен Gentamicin sulfate 12 mg/ml
Инжекция/Инжекционен Clindamycin phosphate 90 mg/ml
Sodium chloride 0,9% 639
съвместим
Инжекция/Инжекционен Gentamicin sulfate 0.67 mg/ml
Инжекция/Инжекционен Clindamycin phosphate 6 mg/ml
Glucose 5% 423
съвместим
Инжекция/Инжекционен Gentamicin sulfate
Glucose 5% 434
Неопределена несъвместимост Несъвместим
Инжекция/Инжекционен Gentamicin sulfate
Инжекция/Инжекционен Cefuzonam
3643
съвместим
Инжекция/Инжекционен Gentamicin sulfate 1 mg/ml
Инжекция/Инжекционен Ciprofloxacin lactate 1.5 mg/ml
Sodium chloride 0,9% 434
съвместим
Инжекция/Инжекционен Gentamicin sulfate 1.6 mg/ml
Инжекция/Инжекционен Ciprofloxacin lactate 2 mg/ml
Glucose 5% 288
съвместим
Инжекция/Инжекционен Gentamicin sulfate 1.6 mg/ml
Инжекция/Инжекционен Ciprofloxacin lactate 2 mg/ml
Sodium chloride 0,9% 288
съвместим
Инжекция/Инжекционен Gentamicin sulfate 1 mg/ml
Инжекция/Инжекционен Ciprofloxacin lactate 1.5 mg/ml
Glucose 5% 434
съвместим
Инжекция/Инжекционен Gentamicin sulfate
Инжекция/Инжекционен Clindamycin phosphate
Sodium chloride 0,9% 3526
Незабавни валежи Несъвместим
Инжекция/Инжекционен Gentamicin sulfate 40 mg/ml
Инжекция/Инжекционен Cloxacillin sodium 100 mg/ml
Вода за инжекции 3012
съвместим
Инжекция/Инжекционен Gentamicin sulfate 15 mg/ml
Инжекция/Инжекционен Cytarabine 16 mg/ml
Sodium chloride 0,9% 132
Несъвместим
Инжекция/Инжекционен Gentamicin sulfate 2 & 10 mg/ml
Парентерално хранене (с липиди) 4924
съвместим
Инжекция/Инжекционен Gentamicin sulfate
Инжекция/Инжекционен Clindamycin phosphate
Glucose 5% 3526
Неопределена несъвместимост Несъвместим
Инжекция/Инжекционен Gentamicin sulfate
Инжекция/Инжекционен Cloxacillin sodium
3520
Неопределена несъвместимост Несъвместим
Инжекция/Инжекционен Gentamicin sulfate
Инжекция/Инжекционен Cytarabine
3580
съвместим
Инжекция/Инжекционен Gentamicin sulfate 1,5 mg/ml
Инжекция/Инжекционен Daptomycin 19,2 mg/ml
Sodium chloride 0,9% 1937
съвместим
Инжекция/Инжекционен Gentamicin sulfate 0,05 mg/ml
Парентерално хранене (липидите безплатно) 4445
Неопределена несъвместимост Несъвместим
Инжекция/Инжекционен Gentamicin sulfate
Инжекция/Инжекционен Cloxacillin sodium
3643
Нестабилност на емулсията след 4 часа Несъвместим
Инжекция/Инжекционен Gentamicin sulfate 2 mg/ml
Парентерално хранене (с липиди) 4507
Неопределена несъвместимост Несъвместим
Инжекция/Инжекционен Gentamicin sulfate
Инжекция/Инжекционен Dalteparin sodium
3643
съвместим
Инжекция/Инжекционен Gentamicin sulfate
Инжекция/Инжекционен Daptomycin
2271
съвместим
Инжекция/Инжекционен Gentamicin sulfate 10 mg/ml
Парентерално хранене (липидите безплатно) 316
съвместим
Инжекция/Инжекционен Gentamicin sulfate
Инжекция/Инжекционен Dimenhydrinate
2087
съвместим
Инжекция/Инжекционен Gentamicin sulfate 10 & 40 mg/ml
Парентерално хранене (липидите безплатно) 999
Субизуална несъвместимост Несъвместим
Инжекция/Инжекционен Gentamicin sulfate
Инжекция/Инжекционен Daunorubicin/cytarabine liposomale
4354
съвместим
Инжекция/Инжекционен Gentamicin sulfate 1 mg/ml
Парентерално хранене (липидите безплатно) 939
Незабавна мътност Несъвместим
Инжекция/Инжекционен Gentamicin sulfate
Инжекция/Инжекционен Daunorubicin/cytarabine liposomale 0,4 mg/mL
Sodium chloride 0,9% 4654
съвместим
Инжекция/Инжекционен Gentamicin sulfate 0.8 mg/ml
Инжекция/Инжекционен Diatrizoate meglumine 283 mg/ml
Няма 1085
съвместим
Инжекция/Инжекционен Gentamicin sulfate 2.4 & 40 mg/ml
Инжекция/Инжекционен Diltiazem hydrochloride 5 mg/ml
Sodium chloride 0,9% 198
съвместим
Инжекция/Инжекционен Gentamicin sulfate 5 mg/ml
Инжекция/Инжекционен Docetaxel 0.9 mg/ml
Glucose 5% 1754
Неопределена несъвместимост Несъвместим
Инжекция/Инжекционен Gentamicin sulfate
Инжекция/Инжекционен Dopamine hydrochloride
3638
съвместим
Инжекция/Инжекционен Gentamicin sulfate 5 mg/ml
Парентерално хранене (липидите безплатно) 301
съвместим
Инжекция/Инжекционен Gentamicin sulfate 5 mg/ml
Инжекция/Инжекционен Doripenem 5 mg/ml
Sodium chloride 0,9% 2262
Неопределена несъвместимост Несъвместим
Инжекция/Инжекционен Gentamicin sulfate
NaHCO3 3520
съвместим
Инжекция/Инжекционен Gentamicin sulfate 2 mg/ml
Инжекция/Инжекционен Dopamine hydrochloride 0.8 mg/ml
Glucose 5% 738
Производство на газови мехурчета Несъвместим
Инжекция/Инжекционен Gentamicin sulfate
NaHCO3 3643
съвместим
Инжекция/Инжекционен Gentamicin sulfate 5 mg/ml
Инжекция/Инжекционен Dexmedetomidine 4 µg/ml
Sodium chloride 0,9% 1712
съвместим
Инжекция/Инжекционен Gentamicin sulfate 5 mg/ml
Инжекция/Инжекционен Doripenem 5 mg/ml
Glucose 5% 2262
съвместим
Инжекция/Инжекционен Gentamicin sulfate 5 mg/ml
Парентерално хранене (с липиди) 1415
съвместим
Инжекция/Инжекционен Gentamicin sulfate 10 mg/ml
Инжекция/Инжекционен Doxapram hydrochloride 2 mg/ml
Glucose 5% 1802
съвместим
Инжекция/Инжекционен Gentamicin sulfate 5 mg/ml
Инжекция/Инжекционен Doxorubicin hydrochloride liposome peg 0.4 mg/ml
Glucose 5% 251
съвместим
Инжекция/Инжекционен Gentamicin sulfate 0.8 mg/ml
Инжекция/Инжекционен Enalaprilate 0.05 mg/ml
Sodium chloride 0,9% 1315
Неопределена несъвместимост Несъвместим
Инжекция/Инжекционен Gentamicin sulfate
Инжекция/Инжекционен Enoxaparin sodium
3643
съвместим
Инжекция/Инжекционен Gentamicin sulfate 5 mg/ml
Инжекция/Инжекционен Eravacycline 0,6 mg/ml
Sodium chloride 0,9% 4434
Неопределена несъвместимост Несъвместим
Инжекция/Инжекционен Gentamicin sulfate
Инжекция/Инжекционен Erythromycin lactobionate
3674
Неопределена несъвместимост Несъвместим
Инжекция/Инжекционен Gentamicin sulfate
Инжекция/Инжекционен Erythromycin lactobionate
3520
Неопределена несъвместимост Несъвместим
Инжекция/Инжекционен Gentamicin sulfate
Инжекция/Инжекционен Erythromycin lactobionate
3643
съвместим
Инжекция/Инжекционен Gentamicin sulfate 0,8 mg/ml
Инжекция/Инжекционен Esmolol hydrochloride 10 mg/ml
Glucose 5% 384
съвместим
Инжекция/Инжекционен Gentamicin sulfate 5 mg/ml
Инжекция/Инжекционен Etoposide phosphate 5 mg/ml
Glucose 5% 1410
съвместим
Инжекция/Инжекционен Gentamicin sulfate 5 mg/ml
Инжекция/Инжекционен Famotidine 2 mg/ml
Sodium chloride 0,9% 215
съвместим
Инжекция/Инжекционен Gentamicin sulfate 0,8 mg/ml
Инжекция/Инжекционен Famotidine
Glucose 5% 397
съвместим
Инжекция/Инжекционен Gentamicin sulfate 5 mg/ml
Инжекция/Инжекционен Fenoldopam mesylate 80 µg/ml
Sodium chloride 0,9% 1803
съвместим
Инжекция/Инжекционен Gentamicin sulfate 10 mg/ml
Инжекция/Инжекционен Fentanyl citrate 50 µg/ml
Glucose 5% 63
съвместим
Инжекция/Инжекционен Gentamicin sulfate 1.6 mg/ml
Инжекция/Инжекционен Filgrastim 40 µg/ml
Glucose 5% 104
съвместим
Инжекция/Инжекционен Gentamicin sulfate 5 mg/ml
Инжекция/Инжекционен Filgrastim 30 µg/ml
Glucose 5% 244
Неопределена несъвместимост Несъвместим
Инжекция/Инжекционен Gentamicin sulfate
Инжекция/Инжекционен Flucloxacillin sodium
3643
Незабавни валежи Несъвместим
Инжекция/Инжекционен Gentamicin sulfate
Инжекция/Инжекционен Flucloxacillin sodium
3522
съвместим
Инжекция/Инжекционен Gentamicin sulfate 1 mg/ml
Инжекция/Инжекционен Fluconazole 2 mg/ml
Няма 256
съвместим
Инжекция/Инжекционен Gentamicin sulfate 4 mg/ml
Инжекция/Инжекционен Fluconazole 2 mg/ml
Sodium chloride 0,9% 496
съвместим
Инжекция/Инжекционен Gentamicin sulfate 5 mg/ml
Инжекция/Инжекционен Fludarabine phosphate 1 mg/ml
Glucose 5% 492
съвместим
Инжекция/Инжекционен Gentamicin sulfate 2 mg/ml
Инжекция/Инжекционен Foscarnet sodium 24 mg/ml
Sodium chloride 0,9% 1135
съвместим
Инжекция/Инжекционен Gentamicin sulfate 2 mg/ml
Инжекция/Инжекционен Foscarnet sodium 24 mg/ml
Glucose 5% 1135
съвместим
Инжекция/Инжекционен Gentamicin sulfate 4 mg/ml
Инжекция/Инжекционен Foscarnet sodium 24 mg/ml
Няма 73
съвместим
Инжекция/Инжекционен Gentamicin sulfate 10 mg/ml
Ринтер лактат 4603
съвместим
Инжекция/Инжекционен Gentamicin sulfate 5 mg/ml
Инжекция/Инжекционен Fosfomycin 30 mg/ml
Sodium chloride 0,9% 4055
Незабавни валежи Несъвместим
Инжекция/Инжекционен Gentamicin sulfate 0,4 mg/ml
Парентерално хранене (с липиди) 4440
съвместим
Инжекция/Инжекционен Gentamicin sulfate 40 mg/ml
Парентерално хранене (с липиди) 673
съвместим
Инжекция/Инжекционен Gentamicin sulfate 5 mg/ml
Инжекция/Инжекционен Fosfomycin 30 mg/ml
Glucose 5% 4055
Незабавни валежи Несъвместим
Инжекция/Инжекционен Gentamicin sulfate 10 mg/ml
Инжекция/Инжекционен Furosemide 10 mg/ml
789
Незабавни валежи Несъвместим
Инжекция/Инжекционен Gentamicin sulfate 1,6 mg/ml
Инжекция/Инжекционен Furosemide 0,8 mg/ml
Glucose 5% 367
Незабавни валежи Несъвместим
Инжекция/Инжекционен Gentamicin sulfate 1,6 mg/ml
Инжекция/Инжекционен Furosemide 0,8 mg/ml
Sodium chloride 0,9% 367
Незабавна мътност Несъвместим
Инжекция/Инжекционен Gentamicin sulfate 6.4 mg/ml
Инжекция/Инжекционен Furosemide 5 mg/ml
805
Валежи след 2 часа Несъвместим
Инжекция/Инжекционен Gentamicin sulfate 8 mg/ml
Инжекция/Инжекционен Furosemide 1 mg/ml
Sodium chloride 0,9% 1232
съвместим
Инжекция/Инжекционен Gentamicin sulfate 5 mg/ml
Инжекция/Инжекционен Gemcitabine hydrochloride 10 mg/ml
Sodium chloride 0,9% 1423
съвместим
Инжекция/Инжекционен Gentamicin sulfate 1.5 mg/ml
Инжекция/Инжекционен Granisetron hydrochloride 1 mg/ml
Sodium chloride 0,9% 57
съвместим
Инжекция/Инжекционен Gentamicin sulfate 1 & 2 mg/ml
Инжекция/Инжекционен Heparin sodium 2500 UI/ml
4612
Незабавни валежи Несъвместим
Инжекция/Инжекционен Gentamicin sulfate 4 >> 40 mg/ml
Инжекция/Инжекционен Heparin sodium 10 >> 40 UI/ml
1258
Незабавни валежи Несъвместим
Инжекция/Инжекционен Gentamicin sulfate
Инжекция/Инжекционен Heparin sodium
1022
Неопределена несъвместимост Несъвместим
Инжекция/Инжекционен Gentamicin sulfate 2 mg/ml
Инжекция/Инжекционен Heparin sodium 50 UI/ml
Няма 317
Неопределена несъвместимост Несъвместим
Инжекция/Инжекционен Gentamicin sulfate
Инжекция/Инжекционен Heparin sodium
3643
Неопределена несъвместимост Несъвместим
Инжекция/Инжекционен Gentamicin sulfate
Инжекция/Инжекционен Heparin sodium
3520
Неопределена несъвместимост Несъвместим
Инжекция/Инжекционен Gentamicin sulfate
Инжекция/Инжекционен Heparin sodium
3540
Незабавна мътност Несъвместим
Инжекция/Инжекционен Gentamicin sulfate 3 mg/ml
Инжекция/Инжекционен Heparin sodium 2500 UI/ml
4612
Незабавни валежи Несъвместим
Инжекция/Инжекционен Gentamicin sulfate 4 & 5 mg/ml
Инжекция/Инжекционен Heparin sodium 2500 UI/ml
4612
съвместим
Инжекция/Инжекционен Gentamicin sulfate 5 mg/ml
Инжекция/Инжекционен Hetastarch 60 mg/ml
Специфична разтворител 1721
Незабавни валежи Несъвместим
Инжекция/Инжекционен Gentamicin sulfate 0.8 mg/ml
Инжекция/Инжекционен Hetastarch 60 mg/ml
Sodium chloride 0,9% 472
съвместим
Инжекция/Инжекционен Gentamicin sulfate 0.8 mg/ml
Инжекция/Инжекционен Hydromorphone hydrochloride 0.2 mg/ml
Glucose 5% 405
Промяна на цвета Несъвместим
Инжекция/Инжекционен Gentamicin sulfate 3 mg/ml
Инжекция/Инжекционен Idarubicin hydrochloride 1 mg/ml
Sodium chloride 0,9% 491
Незабавни валежи Несъвместим
Инжекция/Инжекционен Gentamicin sulfate 1 mg/ml
Инжекция/Инжекционен Indomethacin sodium trihydrate 0,5 & 1 mg/ml
Glucose 5% 494
Валежи след 15 минути Несъвместим
Инжекция/Инжекционен Gentamicin sulfate 1 mg/ml
Инжекция/Инжекционен Indomethacin sodium trihydrate 0,5 & 1 mg/ml
Glucose 5% 1745
съвместим
Инжекция/Инжекционен Gentamicin sulfate 1.2 >> 2 mg/ml
Инжекция/Инжекционен Insulin 0.2 UI/ml
Sodium chloride 0,9% 129
съвместим
Инжекция/Инжекционен Gentamicin sulfate 0.8 mg/ml
Инжекция/Инжекционен Iohexol 300 mg I/ml
Няма 1085
Незабавни валежи Несъвместим
Инжекция/Инжекционен Gentamicin sulfate 0.8 mg/ml
Инжекция/Инжекционен Ioxaglate 320 mg I/ml
Няма 1085
съвместим
Инжекция/Инжекционен Gentamicin sulfate 5 mg/ml
Инжекция/Инжекционен Isavuconazonium sulfate 1.5 mg/ml
Glucose 5% 3829
съвместим
Инжекция/Инжекционен Gentamicin sulfate 5 mg/ml
Инжекция/Инжекционен Isavuconazonium sulfate 1.5 mg/ml
Sodium chloride 0,9% 3829
съвместим
Инжекция/Инжекционен Gentamicin sulfate 40 mg/ml
Инжекция/Инжекционен Ketamine hydrochloride 50 mg/ml
2109
съвместим
Инжекция/Инжекционен Gentamicin sulfate 0.8 mg/ml
Инжекция/Инжекционен Labetalol hydrochloride 1 mg/ml
Glucose 5% 386
съвместим
Инжекция/Инжекционен Gentamicin sulfate 5 mg/ml
Инжекция/Инжекционен Lansoprazole 0.55 mg/ml
Sodium chloride 0,9% 1625
съвместим
Инжекция/Инжекционен Gentamicin sulfate 10 mg/ml
Инжекция/Инжекционен Levofloxacine 5 mg/ml
Glucose 5% 1072
съвместим
Инжекция/Инжекционен Gentamicin sulfate 0,75 mg/ml
Инжекция/Инжекционен Linezolid 1,80 mg/ml
2353
съвместим
Инжекция/Инжекционен Gentamicin sulfate 5 mg/ml
Инжекция/Инжекционен Linezolid 2 mg/ml
Няма 1925
съвместим
Инжекция/Инжекционен Gentamicin sulfate 3 mg/ml
Инжекция/Инжекционен Lorazepam 0.33 mg/ml
Sodium chloride 0,9% 186
съвместим
Инжекция/Инжекционен Gentamicin sulfate 0.8 mg/ml
Инжекция/Инжекционен Magnesium sulfate 16.67 >> 100 mg/ml
Glucose 5% 1047
съвместим
Инжекция/Инжекционен Gentamicin sulfate 5 mg/ml
Инжекция/Инжекционен Melphalan 0.1 mg/ml
Sodium chloride 0,9% 169
съвместим
Инжекция/Инжекционен Gentamicin sulfate 40 mg/ml
Инжекция/Инжекционен Meropenem 50 mg/ml
Вода за инжекции 4319
съвместим
Инжекция/Инжекционен Gentamicin sulfate 0.8 mg/ml
Инжекция/Инжекционен Meropenem 1 & 20 mg/ml
Sodium chloride 0,9% 266
съвместим
Инжекция/Инжекционен Gentamicin sulfate 4 mg/ml
Инжекция/Инжекционен Meropenem 1 & 50 mg/ml
Sodium chloride 0,9% 266
съвместим
Инжекция/Инжекционен Gentamicin sulfate 30 mg/ml
Инжекция/Инжекционен Meropenem 10 mg/ml
Sodium chloride 0,9% 2335
съвместим
Инжекция/Инжекционен Gentamicin sulfate 0,8 & 1,2 mg/ml
Инжекция/Инжекционен Metronidazole 5 mg/ml
Няма 1243
съвместим
Инжекция/Инжекционен Gentamicin sulfate 0.8 mg/ml
Инжекция/Инжекционен Metronidazole 5 mg/ml
Няма 1035
съвместим
Инжекция/Инжекционен Gentamicin sulfate
Инжекция/Инжекционен Metronidazole
3594
съвместим
Инжекция/Инжекционен Gentamicin sulfate 3 mg/ml
Инжекция/Инжекционен Midazolam hydrochloride 5 mg/ml
Няма 186
съвместим
Инжекция/Инжекционен Gentamicin sulfate 10 mg/ml
Инжекция/Инжекционен Midazolam hydrochloride 1 mg/ml
Glucose 5% 176
съвместим
Инжекция/Инжекционен Gentamicin sulfate 0.8 mg/ml
Инжекция/Инжекционен Midazolam hydrochloride 0.05 >> 0.4 mg/ml
Sodium chloride 0,9% 1888
Неопределена несъвместимост Несъвместим
Инжекция/Инжекционен Gentamicin sulfate
Инжекция/Инжекционен Mitomycin
4471
Химическа нестабилност Несъвместим
Инжекция/Инжекционен Gentamicin sulfate
Инжекция/Инжекционен Mitomycin
3128
съвместим
Инжекция/Инжекционен Gentamicin sulfate 1.2 & 2 mg/ml
Инжекция/Инжекционен Morphine sulfate 1 mg/ml
Sodium chloride 0,9% 406
съвместим
Инжекция/Инжекционен Gentamicin sulfate 0.8 mg/ml
Инжекция/Инжекционен Morphine sulfate 1 mg/ml
Glucose 5% 405
Неопределена несъвместимост Несъвместим
Инжекция/Инжекционен Gentamicin sulfate
Инжекция/Инжекционен Moxalactam
3643
Неопределена несъвместимост Несъвместим
Инжекция/Инжекционен Gentamicin sulfate
Инжекция/Инжекционен Moxalactam
3520
съвместим
Инжекция/Инжекционен Gentamicin sulfate 40 mg/ml
Инжекция/Инжекционен N-acetylcysteine 200 mg/ml
Няма 3766
Неопределена несъвместимост Несъвместим
Инжекция/Инжекционен Gentamicin sulfate
Инжекция/Инжекционен Nadroparin
3643
Неопределена несъвместимост Несъвместим
Инжекция/Инжекционен Gentamicin sulfate
Инжекция/Инжекционен Nafcillin sodium
3643
Неопределена несъвместимост Несъвместим
Инжекция/Инжекционен Gentamicin sulfate
Инжекция/Инжекционен Nafcillin sodium
3520
съвместим
Инжекция/Инжекционен Gentamicin sulfate 40 mg/ml
Инжекция/Инжекционен Naloxone hydrochloride 0.4 mg/ml
Няма 3408
съвместим
Инжекция/Инжекционен Gentamicin sulfate 4.17 mg/ml
Инжекция/Инжекционен Nefopam 0.16 mg/ml
Sodium chloride 0,9% 4254
съвместим
Инжекция/Инжекционен Gentamicin sulfate 4.17 mg/ml
Инжекция/Инжекционен Nefopam 0.16 mg/ml
Glucose 5% 4254
съвместим
Инжекция/Инжекционен Gentamicin sulfate 0.8 mg/ml
Инжекция/Инжекционен Nicardipine hydrochloride 0.1 mg/ml
Glucose 5% 1490
съвместим
Инжекция/Инжекционен Gentamicin sulfate 0.8 mg/ml
Инжекция/Инжекционен Nicardipine hydrochloride 0.1 mg/ml
Sodium chloride 0,9% 1490
съвместим
Инжекция/Инжекционен Gentamicin sulfate 0,8 mg/ml
Инжекция/Инжекционен Ofloxacin 2 mg/ml
Няма 889
съвместим
Инжекция/Инжекционен Gentamicin sulfate 5 mg/ml
Инжекция/Инжекционен Ondansetron hydrochloride 1 mg/ml
Sodium chloride 0,9% 334
съвместим
Инжекция/Инжекционен Gentamicin sulfate 5 mg/ml
Инжекция/Инжекционен Oritavancin 0.8 >>2 mg/ml
Glucose 5% 3152
Неопределена несъвместимост Несъвместим
Инжекция/Инжекционен Gentamicin sulfate
Инжекция/Инжекционен Oxacillin sodium
3643
Неопределена несъвместимост Несъвместим
Инжекция/Инжекционен Gentamicin sulfate
Инжекция/Инжекционен Oxacillin sodium
3520
съвместим
Инжекция/Инжекционен Gentamicin sulfate 40 mg/ml
Инжекция/Инжекционен Oxycodone hydrochloride 1 mg/ml
Sodium chloride 0,9% 4842
съвместим
Инжекция/Инжекционен Gentamicin sulfate 5 mg/ml
Инжекция/Инжекционен Paclitaxel 1.2 mg/ml
Glucose 5% 248
съвместим
Инжекция/Инжекционен Gentamicin sulfate 5 mg/ml
Инжекция/Инжекционен Palonosetron hydrochloride 50 µg/ml
Glucose 5% 2228
съвместим
Инжекция/Инжекционен Gentamicin sulfate 2 mg/ml
Инжекция/Инжекционен Pancuronium bromide 0.05 mg/ml
Glucose 5% 402
Незабавни валежи Несъвместим
Инжекция/Инжекционен Gentamicin sulfate
Инжекция/Инжекционен Pantoprazole sodium
2090
съвместим
Инжекция/Инжекционен Gentamicin sulfate 40 mg/ml
Инжекция/Инжекционен Paracetamol 10 mg/ml
4742
Незабавни валежи Несъвместим
Инжекция/Инжекционен Gentamicin sulfate 5 mg/ml
Инжекция/Инжекционен Pemetrexed disodium 20 mg/ml
1953
Неопределена несъвместимост Несъвместим
Инжекция/Инжекционен Gentamicin sulfate
Инжекция/Инжекционен Penicillin G potassium
3643
Неопределена несъвместимост Несъвместим
Инжекция/Инжекционен Gentamicin sulfate
Инжекция/Инжекционен Penicillin G potassium
3520
Неопределена несъвместимост Несъвместим
Инжекция/Инжекционен Gentamicin sulfate
Инжекция/Инжекционен Penicillin G sodium
3643
Неопределена несъвместимост Несъвместим
Инжекция/Инжекционен Gentamicin sulfate
Инжекция/Инжекционен Penicillin G sodium
3520
съвместим
Инжекция/Инжекционен Gentamicin sulfate 10 mg/ml
Инжекция/Инжекционен Pentoxifyllin 5 mg/ml
Sodium chloride 0,9% 4543
съвместим
Инжекция/Инжекционен Gentamicin sulfate 0.8 mg/ml
Инжекция/Инжекционен Pethidine hydrochloride 10 mg/ml
Glucose 5% 405
Незабавни валежи Несъвместим
Инжекция/Инжекционен Gentamicin sulfate 10 mg/ml
Инжекция/Инжекционен Phenytoin sodium 50 mg/ml
789
съвместим
Инжекция/Инжекционен Gentamicin sulfate 20 mg/ml
Инжекция/Инжекционен Phloroglucinol 2,5 mg/ml
3791
Неопределена несъвместимост Несъвместим
Инжекция/Инжекционен Gentamicin sulfate
Инжекция/Инжекционен Piperacillin sodium
3520
Неопределена несъвместимост Несъвместим
Инжекция/Инжекционен Gentamicin sulfate
Инжекция/Инжекционен Piperacillin sodium
3643
Неопределена несъвместимост Несъвместим
Инжекция/Инжекционен Gentamicin sulfate
Инжекция/Инжекционен Piperacillin sodium / tazobactam
3520
Химическа нестабилност Несъвместим
Инжекция/Инжекционен Gentamicin sulfate
Инжекция/Инжекционен Piperacillin sodium / tazobactam
3586
Неопределена несъвместимост Несъвместим
Инжекция/Инжекционен Gentamicin sulfate
Инжекция/Инжекционен Piperacillin sodium / tazobactam
3643
съвместим
Инжекция/Инжекционен Gentamicin sulfate
Инжекция/Инжекционен Posaconazole
4380
съвместим
Инжекция/Инжекционен Gentamicin sulfate 30 mg/ml
Инжекция/Инжекционен Potassium chloride 20 mEq/l
NaCl 0,45% Glucose 5% 2335
Непосредствена нестабилност на емулсията Несъвместим
Инжекция/Инжекционен Gentamicin sulfate 2 mg/ml
Инжекция/Инжекционен Propofol
660
Неопределена несъвместимост Несъвместим
Инжекция/Инжекционен Gentamicin sulfate 40 mg/ml
Инжекция/Инжекционен Propofol
4524
Незабавни валежи Несъвместим
Инжекция/Инжекционен Gentamicin sulfate 5 mg/ml
Инжекция/Инжекционен Propofol 10 mg/ml
Няма 300
съвместим
Инжекция/Инжекционен Gentamicin sulfate 5 mg/ml
Инжекция/Инжекционен Remifentanil hydrochloride 25 & 250 µg/ml
Sodium chloride 0,9% 59
съвместим
Инжекция/Инжекционен Gentamicin sulfate 40 mg/ml
Инжекция/Инжекционен Salbutamol sulfate 1 mg/ml
Няма 3216
съвместим
Инжекция/Инжекционен Gentamicin sulfate 5 mg/ml
Инжекция/Инжекционен Sargramostim 10 µg/ml
Sodium chloride 0,9% 335
съвместим
Инжекция/Инжекционен Gentamicin sulfate 10 mg/ml
Инжекция/Инжекционен Sildenafil citrate 0,6 mg/ml
Glucose 5% 4845
съвместим
Инжекция/Инжекционен Gentamicin sulfate 2,4 mg/ml
Инжекция/Инжекционен Sodium bicarbonate 40 mg/ml
Няма 3122
Производство на газови мехурчета Несъвместим
Инжекция/Инжекционен Gentamicin sulfate
Инжекция/Инжекционен Sodium bicarbonate
3643
съвместим
Инжекция/Инжекционен Gentamicin sulfate 2.5 mg/ml
Инжекция/Инжекционен Sodium citrate 40 mg/ml
Вода за инжекции 3952
съвместим
Инжекция/Инжекционен Gentamicin sulfate 40 mg/ml
Инжекция/Инжекционен Sugammadex 100 mg/ml
Няма 3372
съвместим
Инжекция/Инжекционен Gentamicin sulfate 5 mg/ml
Инжекция/Инжекционен Sulbactam/durlobactam 15/15 mg/ml
Sodium chloride 0,9% 4801
съвместим
Инжекция/Инжекционен Gentamicin sulfate 4 mg/ml
Инжекция/Инжекционен Tacrolimus 1000 µg/ml
Sodium chloride 0,9% 479
съвместим
Инжекция/Инжекционен Gentamicin sulfate
Sodium chloride 0,9% 1704
съвместим
Инжекция/Инжекционен Gentamicin sulfate
Sodium chloride 0,9% 434
Неопределена несъвместимост Несъвместим
Инжекция/Инжекционен Gentamicin sulfate
Инжекция/Инжекционен Sodium bicarbonate
3520
съвместим
Инжекция/Инжекционен Gentamicin sulfate 1 >> 5 mg/ml
Инжекция/Инжекционен Sodium citrate 40 mg/ml
Няма 2019
Незабавна мътност Несъвместим
Инжекция/Инжекционен Gentamicin sulfate 5 mg/ml
Инжекция/Инжекционен Tedizolid phosphate 0.8 mg/ml
Sodium chloride 0,9% 3827
Неопределена несъвместимост Несъвместим
Инжекция/Инжекционен Gentamicin sulfate
Инжекция/Инжекционен Teicoplanine
3656
съвместим
Инжекция/Инжекционен Gentamicin sulfate 5 mg/ml
Инжекция/Инжекционен Telavancin hydrochloride 7.5 mg/ml
Ринтер лактат 3254
съвместим
Инжекция/Инжекционен Gentamicin sulfate 5 mg/ml
Инжекция/Инжекционен Telavancin hydrochloride 7.5 mg/ml
Sodium chloride 0,9% 3254
съвместим
Инжекция/Инжекционен Gentamicin sulfate 5 mg/ml
Инжекция/Инжекционен Telavancin hydrochloride 7.5 mg/ml
Glucose 5% 3254
съвместим
Инжекция/Инжекционен Gentamicin sulfate 6 mg/ml
Инжекция/Инжекционен Temocilline 83.33 mg/ml
Вода за инжекции 2231
Неопределена несъвместимост Несъвместим
Инжекция/Инжекционен Gentamicin sulfate
Инжекция/Инжекционен Temocilline
3643
Неопределена несъвместимост Несъвместим
Инжекция/Инжекционен Gentamicin sulfate
Инжекция/Инжекционен Temocilline
3520
Неопределена несъвместимост Несъвместим
Инжекция/Инжекционен Gentamicin sulfate
Инжекция/Инжекционен Temocilline
2296
съвместим
Инжекция/Инжекционен Gentamicin sulfate 5 mg/ml
Инжекция/Инжекционен Teniposide 0.1 mg/ml
Glucose 5% 905
съвместим
Инжекция/Инжекционен Gentamicin sulfate 2 mg/ml
Инжекция/Инжекционен Theophylline 4 mg/ml
Няма 317
Незабавни валежи Несъвместим
Инжекция/Инжекционен Gentamicin sulfate 40 mg/ml
Инжекция/Инжекционен Thiopental sodium 25 mg/ml
Sodium chloride 0,9% 3767
съвместим
Инжекция/Инжекционен Gentamicin sulfate 5 mg/ml
Инжекция/Инжекционен Thiotepa 1 mg/ml
Glucose 5% 249
Химическа нестабилност Несъвместим
Инжекция/Инжекционен Gentamicin sulfate
Инжекция/Инжекционен Ticarcillin / clavulanic acid
3587
Неопределена несъвместимост Несъвместим
Инжекция/Инжекционен Gentamicin sulfate
Инжекция/Инжекционен Ticarcillin / clavulanic acid
3643
Неопределена несъвместимост Несъвместим
Инжекция/Инжекционен Gentamicin sulfate
Инжекция/Инжекционен Ticarcillin / clavulanic acid
3520
съвместим
Инжекция/Инжекционен Gentamicin sulfate
Инжекция/Инжекционен Tigecycline
Sodium chloride 0,9% 3332
съвместим
Инжекция/Инжекционен Gentamicin sulfate 6 mg/ml
Инжекция/Инжекционен Vancomycin hydrochloride 10 mg/ml
Glucose 5% 3385
съвместим
Инжекция/Инжекционен Gentamicin sulfate 1.2 mg/ml
Инжекция/Инжекционен Vasopressin 0.2 UI/ml
Sodium chloride 0,9% 2017
съвместим
Инжекция/Инжекционен Gentamicin sulfate 2 mg/ml
Инжекция/Инжекционен Vecuronium bromide 0.1 mg/ml
Glucose 5% 402
съвместим
Инжекция/Инжекционен Gentamicin sulfate 0.16 mg/ml
Инжекция/Инжекционен Verapamil hydrochloride 0.08 mg/ml
Glucose 5% 1057
съвместим
Инжекция/Инжекционен Gentamicin sulfate 0.16 mg/ml
Инжекция/Инжекционен Verapamil hydrochloride 0.08 mg/ml
Sodium chloride 0,9% 1057
съвместим
Инжекция/Инжекционен Gentamicin sulfate 5 mg/ml
Инжекция/Инжекционен Vinorelbine tartrate 1 mg/ml
Sodium chloride 0,9% 84
Незабавна мътност Несъвместим
Инжекция/Инжекционен Gentamicin sulfate 1.6 mg/ml
Инжекция/Инжекционен Warfarin sodium 2 mg/ml
Glucose 5% 315
съвместим
Инжекция/Инжекционен Gentamicin sulfate 2 mg/ml
Инжекция/Инжекционен Zidovudine 4 mg/ml
Glucose 5% 337

  Mentions Légales