viimane versioon :
27/04/2026
antibiootikum   Gentamicin sulfate  
Süsteravim
Silmatilgad
Stabiilsus lahustes Stabiilsust mõjutavad tegurid stabiilsust mõjutavad faktorid Sobimatus Manustamis viis Viited pdf
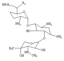
   keemiline struktuur  

Kaubanduslikud nimed erinevates maades   Kaubanduslikud nimed erinevates maades     

Preparaatide nimed on näitlikud ja abianete sisaldus võib erineda sõltuvalt riigist ja laborist

Azupel Maroko
Cidomycin Egiptus, Suurbritannia, Tuneesia
Dabroson Kreeka
Epigent Egiptus
Garalone Portugal
Garamicina Brasiilia, Ecuador, Kolumbia, Mehhiko
Garamycin Araabia Ühendemiraadid, Egiptus, Holland, Horvaatia, India, Kreeka, Norra, Poola, Sveits, Taani
Genmisin Türgi
Gensif Türgi
Gensumycin Norra, Rootsi, Soome
Genta-Gobens Hispaania
Gentalline Maroko
Gentamen Maroko
Genticin Araabia Ühendemiraadid, Iirimaa, Suurbritannia
Gentreks Türgi
Hexamycin Taani
Plurisemina Argentiina
Refobacin Austria, Egiptus, Kolumbia, Saksamaa
Rupegen Argentiina
Sobimatus   Süsteravim   Sobimatus : Gentamicin sulfate              
Sellel lehel kuvatakse sobimatusi ja sobimatuse tüüpi (sadenemine, värvuse muutus, emulsiooni modifitseerumine jne). Enamasti on siin lehel kuvatud füüsikalised sobimatused, kuna molekulide keemilist stabiilsust hinnatakse harva. Hinnatud on segude sobivust Y-liinis. Antud infot ei saa kasutada ravimite sobivuse hindamiseks juhul, kui ravimid on segatud süstaldes või infusioonikottides. See info on lehel « stabiilsus segudes ».
ingredient lahusti Viited
Ühilduv
Süsteravim Gentamicin sulfate 1.6 mg/ml
Süsteravim Aciclovir sodium 5 mg/ml
glükoos 5% 336
Kohene sade Sobimatu
Süsteravim Gentamicin sulfate 30 mg/ml
Süsteravim Aciclovir sodium 5 mg/ml
naatriumkloriid 0.9% 2335
Sade 1 tunni pärast Sobimatu
Süsteravim Gentamicin sulfate 5 mg/ml
Süsteravim Allopurinol sodium 3 mg/ml
naatriumkloriid 0.9% 307
Ühilduv
Süsteravim Gentamicin sulfate 1 mg/ml
Süsteravim Alprostadil 15 µg/ml
3201
Ühilduv
Süsteravim Gentamicin sulfate 5 mg/ml
Süsteravim Amifostine 10 mg/ml
glükoos 5% 3
Ühilduv
Süsteravim Gentamicin sulfate 0.8 mg/ml
Süsteravim Amiodarone hydrochloride 4 mg/ml
naatriumkloriid 0.9% 385
Ühilduv
Süsteravim Gentamicin sulfate 0.8 mg/ml
Süsteravim Amiodarone hydrochloride 4 mg/ml
glükoos 5% 385
Täpsustamata sobimatus Sobimatu
Süsteravim Gentamicin sulfate
Süsteravim Amoxicillin sodium
3643
Täpsustamata sobimatus Sobimatu
Süsteravim Gentamicin sulfate
Süsteravim Amoxicillin sodium
3520
Keemiline ebastabiilsus Sobimatu
Süsteravim Gentamicin sulfate
Süsteravim Amoxicillin sodium
3527
Täpsustamata sobimatus Sobimatu
Süsteravim Gentamicin sulfate
Süsteravim Amoxicillin sodium / clavulanic acid
3643
Täpsustamata sobimatus Sobimatu
Süsteravim Gentamicin sulfate
Süsteravim Amoxicillin sodium / clavulanic acid
3545
Täpsustamata sobimatus Sobimatu
Süsteravim Gentamicin sulfate
Süsteravim Amoxicillin sodium / clavulanic acid
3520
Ühilduv
Süsteravim Gentamicin sulfate 40 mg/ml
Süsteravim Amoxicillin sodium / clavulanic acid 100/10 mg/ml
3824
Kohene sade Sobimatu
Süsteravim Gentamicin sulfate 5 mg/ml
Süsteravim Amphotericin B cholesteryl sulfate complex 0,83 mg/ml
glükoos 5% 921
Täpsustamata sobimatus Sobimatu
Süsteravim Gentamicin sulfate
Süsteravim Ampicillin sodium
3643
Täpsustamata sobimatus Sobimatu
Süsteravim Gentamicin sulfate
Süsteravim Ampicillin sodium
3520
Täpsustamata sobimatus Sobimatu
Süsteravim Gentamicin sulfate
Süsteravim Ampicillin sodium - sulbactam sodium
3643
Täpsustamata sobimatus Sobimatu
Süsteravim Gentamicin sulfate
Süsteravim Ampicillin sodium - sulbactam sodium
3520
Ühilduv
Süsteravim Gentamicin sulfate 5 mg/ml
Süsteravim Amsacrine 1 mg/ml
glükoos 5% 253
Ühilduv
Süsteravim Gentamicin sulfate 5 mg/ml
Süsteravim Anidulafungin 0.5 mg/ml
glükoos 5% 1982
Ühilduv
Süsteravim Gentamicin sulfate 0,8 mg/ml
Süsteravim Atosiban 0,75 mg/ml
4642
Ühilduv
Süsteravim Gentamicin sulfate 2 mg/ml
Süsteravim Atracurium besylate 0.5 mg/ml
glükoos 5% 402
Kohene sade Sobimatu
Süsteravim Gentamicin sulfate 21 mg/ml
Süsteravim Azithromycine 2 mg/ml
naatriumkloriid 0.9% 1800
Ühilduv
Süsteravim Gentamicin sulfate 5 mg/ml
Süsteravim Aztreonam 40 mg/ml
glükoos 5% 99
Ühilduv
Süsteravim Gentamicin sulfate 0.2 & 0.8 mg/ml
Süsteravim Aztreonam 10 & 20 mg/ml
naatriumkloriid 0.9% 19
Ühilduv
Süsteravim Gentamicin sulfate 0.2 & 0.8 mg/ml
Süsteravim Aztreonam 10 & 20 mg/ml
glükoos 5% 19
Ühilduv
Süsteravim Gentamicin sulfate 5 mg/ml
Süsteravim Bivalirudin 5 mg/ml
glükoos 5% 1713
Ühilduv
Süsteravim Gentamicin sulfate 10 mg/ml
Süsteravim Caffeine 10 mg/ml
mitte ükski 3964
Ühilduv
Süsteravim Gentamicin sulfate 10 mg/ml
Süsteravim Caffeine 10 mg/ml
naatriumkloriid 0.9% 4837
Ühilduv
Süsteravim Gentamicin sulfate 10 mg/ml
Süsteravim Caffeine citrate 20 mg/ml
naatriumkloriid 0.9% 4837
Täpsustamata sobimatus Sobimatu
Süsteravim Gentamicin sulfate
Süsteravim Calcium gluconate
3644
Sobimatu
Süsteravim Gentamicin sulfate
Süsteravim Calcium gluconate
4964
Ühilduv
Süsteravim Gentamicin sulfate 5 mg/ml
Süsteravim Caspofungin acetate 0,7 mg/ml
naatriumkloriid 0.9% 2247
Täpsustamata sobimatus Sobimatu
Süsteravim Gentamicin sulfate
Süsteravim Cefalotin sodium
3520
Täpsustamata sobimatus Sobimatu
Süsteravim Gentamicin sulfate
Süsteravim Cefalotin sodium
3643
Kohene sade Sobimatu
Süsteravim Gentamicin sulfate
Süsteravim Cefamandole nafate 2 >> 100 mg/ml
glükoos 5% 612
Täpsustamata sobimatus Sobimatu
Süsteravim Gentamicin sulfate
Süsteravim Cefamandole nafate
3643
Täpsustamata sobimatus Sobimatu
Süsteravim Gentamicin sulfate
Süsteravim Cefamandole nafate
3520
Täpsustamata sobimatus Sobimatu
Süsteravim Gentamicin sulfate
Süsteravim Cefamandole nafate
3546
Kohene sade Sobimatu
Süsteravim Gentamicin sulfate
Süsteravim Cefamandole nafate 2 >> 100 mg/ml
naatriumkloriid 0.9% 612
Täpsustamata sobimatus Sobimatu
Süsteravim Gentamicin sulfate
Süsteravim Cefazolin sodium
3520
Täpsustamata sobimatus Sobimatu
Süsteravim Gentamicin sulfate
Süsteravim Cefazolin sodium
3643
Täpsustamata sobimatus Sobimatu
Süsteravim Gentamicin sulfate
Süsteravim Cefepime dihydrochloride
3520
Ühilduv
Süsteravim Gentamicin sulfate 6 mg/ml
Süsteravim Cefepime dihydrochloride 125 mg/ml
süstevesi 2141
Täpsustamata sobimatus Sobimatu
Süsteravim Gentamicin sulfate
Süsteravim Cefepime dihydrochloride
3548
Täpsustamata sobimatus Sobimatu
Süsteravim Gentamicin sulfate
Süsteravim Cefepime dihydrochloride
3643
Ühilduv
Süsteravim Gentamicin sulfate 5 mg/ml
Süsteravim Cefiderocol sulfate tosylate 20 mg/mL
glükoos 5% 4528
Ühilduv
Süsteravim Gentamicin sulfate 5 mg/ml
Süsteravim Cefiderocol sulfate tosylate 20 mg/mL
naatriumkloriid 0.9% 4528
Täpsustamata sobimatus Sobimatu
Süsteravim Gentamicin sulfate
Süsteravim Cefmenoxime
3520
Täpsustamata sobimatus Sobimatu
Süsteravim Gentamicin sulfate
Süsteravim Cefmenoxime
3643
Täpsustamata sobimatus Sobimatu
Süsteravim Gentamicin sulfate
Süsteravim Cefmetazole sodium
3520
Täpsustamata sobimatus Sobimatu
Süsteravim Gentamicin sulfate
Süsteravim Cefmetazole sodium
3643
Täpsustamata sobimatus Sobimatu
Süsteravim Gentamicin sulfate
Süsteravim Cefonicid sodium
3643
Täpsustamata sobimatus Sobimatu
Süsteravim Gentamicin sulfate
Süsteravim Cefonicid sodium
3520
Täpsustamata sobimatus Sobimatu
Süsteravim Gentamicin sulfate
Süsteravim Cefoperazone sodium
3544
Täpsustamata sobimatus Sobimatu
Süsteravim Gentamicin sulfate
Süsteravim Cefoperazone sodium
3643
Kohene sade Sobimatu
Süsteravim Gentamicin sulfate 0.8 mg/ml
Süsteravim Cefoperazone sodium 10 mg/ml
glükoos 5% 1206
Täpsustamata sobimatus Sobimatu
Süsteravim Gentamicin sulfate
Süsteravim Cefoperazone sodium
3520
Täpsustamata sobimatus Sobimatu
Süsteravim Gentamicin sulfate
Süsteravim Ceforanide
3643
Täpsustamata sobimatus Sobimatu
Süsteravim Gentamicin sulfate
Süsteravim Ceforanide
3520
Täpsustamata sobimatus Sobimatu
Süsteravim Gentamicin sulfate
Süsteravim Cefotaxime sodium
3520
Täpsustamata sobimatus Sobimatu
Süsteravim Gentamicin sulfate
Süsteravim Cefotaxime sodium
3643
Täpsustamata sobimatus Sobimatu
Süsteravim Gentamicin sulfate
Süsteravim Cefoxitin sodium
3643
Täpsustamata sobimatus Sobimatu
Süsteravim Gentamicin sulfate
Süsteravim Cefoxitin sodium
3520
Ühilduv
Süsteravim Gentamicin sulfate 1 mg/ml
Süsteravim Cefpirome sulfate 50 mg/ml
naatriumkloriid 0.9% 280
Ühilduv
Süsteravim Gentamicin sulfate 1 mg/ml
Süsteravim Cefpirome sulfate 50 mg/ml
Ringer laktaat 280
Ühilduv
Süsteravim Gentamicin sulfate 1 mg/ml
Süsteravim Cefpirome sulfate 50 mg/ml
naatriumkloriid 0.45% 280
Täpsustamata sobimatus Sobimatu
Süsteravim Gentamicin sulfate
Süsteravim Cefpirome sulfate
3643
Täpsustamata sobimatus Sobimatu
Süsteravim Gentamicin sulfate
Süsteravim Cefpirome sulfate
3677
Ühilduv
Süsteravim Gentamicin sulfate 1 mg/ml
Süsteravim Cefpirome sulfate 50 mg/ml
glükoos 5% 280
Täpsustamata sobimatus Sobimatu
Süsteravim Gentamicin sulfate
Süsteravim Cefpirome sulfate
3520
Ühilduv
Süsteravim Gentamicin sulfate 5 mg/ml
Süsteravim Ceftaroline fosamil 2,22 mg/ml
naatriumkloriid 0.9% 3249
Ühilduv
Süsteravim Gentamicin sulfate 5 mg/ml
Süsteravim Ceftaroline fosamil 2,22 mg/ml
Ringer laktaat 3249
Ühilduv
Süsteravim Gentamicin sulfate 5 mg/ml
Süsteravim Ceftaroline fosamil 2,22 mg/ml
glükoos 5% 3249
Täpsustamata sobimatus Sobimatu
Süsteravim Gentamicin sulfate
Süsteravim Ceftaroline fosamil
3643
Täpsustamata sobimatus Sobimatu
Süsteravim Gentamicin sulfate
Süsteravim Ceftaroline fosamil
3520
Täpsustamata sobimatus Sobimatu
Süsteravim Gentamicin sulfate
Süsteravim Ceftazidime
3543
Täpsustamata sobimatus Sobimatu
Süsteravim Gentamicin sulfate
Süsteravim Ceftazidime
3520
Täpsustamata sobimatus Sobimatu
Süsteravim Gentamicin sulfate
Süsteravim Ceftazidime
3643
Ühilduv
Süsteravim Gentamicin sulfate 6 mg/ml
Süsteravim Ceftazidime 125 mg/ml
süstevesi 2141
Ühilduv
Süsteravim Gentamicin sulfate 6 mg/ml
Süsteravim Ceftazidime 83.3 mg/ml
1759
Täpsustamata sobimatus Sobimatu
Süsteravim Gentamicin sulfate
Süsteravim Ceftazidime
3883
Täpsustamata sobimatus Sobimatu
Süsteravim Gentamicin sulfate
Süsteravim Ceftazidime Avibactam
3520
Täpsustamata sobimatus Sobimatu
Süsteravim Gentamicin sulfate
Süsteravim Ceftazidime Avibactam
3643
Täpsustamata sobimatus Sobimatu
Süsteravim Gentamicin sulfate
Süsteravim Ceftizoxime sodium
3643
Täpsustamata sobimatus Sobimatu
Süsteravim Gentamicin sulfate
Süsteravim Ceftizoxime sodium
3520
Täpsustamata sobimatus Sobimatu
Süsteravim Gentamicin sulfate
Süsteravim Ceftobiprole medocaril sodium
3643
Täpsustamata sobimatus Sobimatu
Süsteravim Gentamicin sulfate
Süsteravim Ceftobiprole medocaril sodium
4650
Kohene sade Sobimatu
Süsteravim Gentamicin sulfate 5 mg/ml
Süsteravim Ceftobiprole medocaril sodium 2 mg/ml
glükoos 5% 2269
Kohene sade Sobimatu
Süsteravim Gentamicin sulfate 5 mg/ml
Süsteravim Ceftobiprole medocaril sodium 2 mg/ml
Ringer laktaat 2269
Kohene sade Sobimatu
Süsteravim Gentamicin sulfate 5 mg/ml
Süsteravim Ceftobiprole medocaril sodium 2 mg/ml
naatriumkloriid 0.9% 2269
Täpsustamata sobimatus Sobimatu
Süsteravim Gentamicin sulfate
Süsteravim Ceftobiprole medocaril sodium
3520
Ühilduv
Süsteravim Gentamicin sulfate 5 mg/ml
Süsteravim Ceftolozane / tazobactam 10/5 mg/ml
glükoos 5% 3828
Täpsustamata sobimatus Sobimatu
Süsteravim Gentamicin sulfate
Süsteravim Ceftolozane / tazobactam
3643
Täpsustamata sobimatus Sobimatu
Süsteravim Gentamicin sulfate
Süsteravim Ceftolozane / tazobactam
3520
Ühilduv
Süsteravim Gentamicin sulfate 5 mg/ml
Süsteravim Ceftolozane / tazobactam 10/5 mg/ml
naatriumkloriid 0.9% 3828
Täpsustamata sobimatus Sobimatu
Süsteravim Gentamicin sulfate
Süsteravim Ceftriaxone disodium
3523
Täpsustamata sobimatus Sobimatu
Süsteravim Gentamicin sulfate
Süsteravim Ceftriaxone disodium
3643
Täpsustamata sobimatus Sobimatu
Süsteravim Gentamicin sulfate
Süsteravim Ceftriaxone disodium
3520
Täpsustamata sobimatus Sobimatu
Süsteravim Gentamicin sulfate
Süsteravim Cefuroxime sodium
3643
Täpsustamata sobimatus Sobimatu
Süsteravim Gentamicin sulfate
Süsteravim Cefuroxime sodium
3520
Täpsustamata sobimatus Sobimatu
Süsteravim Gentamicin sulfate
Süsteravim Cefuroxime sodium
3687
Täpsustamata sobimatus Sobimatu
Süsteravim Gentamicin sulfate
Süsteravim Cefuzonam
3520
Ühilduv
Süsteravim Gentamicin sulfate 0.8 mg/ml
Süsteravim Cimetidine hydrochloride 3 mg/ml
glükoos 5% 1201
Ühilduv
Süsteravim Gentamicin sulfate 0.08 mg/ml
Süsteravim Cimetidine hydrochloride 1.2 & 5 mg/ml
naatriumkloriid 0.9% 1201
Ühilduv
Süsteravim Gentamicin sulfate 0.08 mg/ml
Süsteravim Cimetidine hydrochloride 1.2 & 5 mg/ml
glükoos 5% 1201
Ühilduv
Süsteravim Gentamicin sulfate 10 mg/ml
Süsteravim Ciprofloxacin lactate 2 mg/ml
naatriumkloriid 0.9% 289
Ühilduv
Süsteravim Gentamicin sulfate 1.6 mg/ml
Süsteravim Ciprofloxacin lactate 2 mg/ml
glükoos 5% 285
Ühilduv
Süsteravim Gentamicin sulfate 5 mg/ml
Süsteravim Cisatracurium besylate 0.1 >> 5 mg/ml
glükoos 5% 299
Keemiline ebastabiilsus Sobimatu
Süsteravim Gentamicin sulfate
Süsteravim Cisplatin
3578
Ühilduv
Süsteravim Gentamicin sulfate 12 mg/ml
Süsteravim Clindamycin phosphate 90 mg/ml
naatriumkloriid 0.9% 639
Ühilduv
Süsteravim Gentamicin sulfate 0.67 mg/ml
Süsteravim Clindamycin phosphate 6 mg/ml
glükoos 5% 423
Ühilduv
Süsteravim Gentamicin sulfate
glükoos 5% 434
Täpsustamata sobimatus Sobimatu
Süsteravim Gentamicin sulfate
Süsteravim Cefuzonam
3643
Ühilduv
Süsteravim Gentamicin sulfate 1 mg/ml
Süsteravim Ciprofloxacin lactate 1.5 mg/ml
naatriumkloriid 0.9% 434
Ühilduv
Süsteravim Gentamicin sulfate 1.6 mg/ml
Süsteravim Ciprofloxacin lactate 2 mg/ml
glükoos 5% 288
Ühilduv
Süsteravim Gentamicin sulfate 1.6 mg/ml
Süsteravim Ciprofloxacin lactate 2 mg/ml
naatriumkloriid 0.9% 288
Ühilduv
Süsteravim Gentamicin sulfate 1 mg/ml
Süsteravim Ciprofloxacin lactate 1.5 mg/ml
glükoos 5% 434
Ühilduv
Süsteravim Gentamicin sulfate
Süsteravim Clindamycin phosphate
naatriumkloriid 0.9% 3526
Kohene sade Sobimatu
Süsteravim Gentamicin sulfate 40 mg/ml
Süsteravim Cloxacillin sodium 100 mg/ml
süstevesi 3012
Ühilduv
Süsteravim Gentamicin sulfate 15 mg/ml
Süsteravim Cytarabine 16 mg/ml
naatriumkloriid 0.9% 132
Sobimatu
Süsteravim Gentamicin sulfate 2 & 10 mg/ml
Parenteraalse toitmise (lipiidide) 4924
Ühilduv
Süsteravim Gentamicin sulfate
Süsteravim Clindamycin phosphate
glükoos 5% 3526
Täpsustamata sobimatus Sobimatu
Süsteravim Gentamicin sulfate
Süsteravim Cloxacillin sodium
3520
Täpsustamata sobimatus Sobimatu
Süsteravim Gentamicin sulfate
Süsteravim Cytarabine
3580
Ühilduv
Süsteravim Gentamicin sulfate 1,5 mg/ml
Süsteravim Daptomycin 19,2 mg/ml
naatriumkloriid 0.9% 1937
Ühilduv
Süsteravim Gentamicin sulfate 0,05 mg/ml
Parenteraalse toitmise (lipiide tasuta) 4445
Täpsustamata sobimatus Sobimatu
Süsteravim Gentamicin sulfate
Süsteravim Cloxacillin sodium
3643
Emulsiooni ebastabiilsus 4 tunni pärast Sobimatu
Süsteravim Gentamicin sulfate 2 mg/ml
Parenteraalse toitmise (lipiidide) 4507
Täpsustamata sobimatus Sobimatu
Süsteravim Gentamicin sulfate
Süsteravim Dalteparin sodium
3643
Ühilduv
Süsteravim Gentamicin sulfate
Süsteravim Daptomycin
2271
Ühilduv
Süsteravim Gentamicin sulfate 10 mg/ml
Parenteraalse toitmise (lipiide tasuta) 316
Ühilduv
Süsteravim Gentamicin sulfate
Süsteravim Dimenhydrinate
2087
Ühilduv
Süsteravim Gentamicin sulfate 10 & 40 mg/ml
Parenteraalse toitmise (lipiide tasuta) 999
Subvisuaalne kokkusobimatus Sobimatu
Süsteravim Gentamicin sulfate
Süsteravim Daunorubicin/cytarabine liposomale
4354
Ühilduv
Süsteravim Gentamicin sulfate 1 mg/ml
Parenteraalse toitmise (lipiide tasuta) 939
Kohene hägusus Sobimatu
Süsteravim Gentamicin sulfate
Süsteravim Daunorubicin/cytarabine liposomale 0,4 mg/mL
naatriumkloriid 0.9% 4654
Ühilduv
Süsteravim Gentamicin sulfate 0.8 mg/ml
Süsteravim Diatrizoate meglumine 283 mg/ml
mitte ükski 1085
Ühilduv
Süsteravim Gentamicin sulfate 2.4 & 40 mg/ml
Süsteravim Diltiazem hydrochloride 5 mg/ml
naatriumkloriid 0.9% 198
Ühilduv
Süsteravim Gentamicin sulfate 5 mg/ml
Süsteravim Docetaxel 0.9 mg/ml
glükoos 5% 1754
Täpsustamata sobimatus Sobimatu
Süsteravim Gentamicin sulfate
Süsteravim Dopamine hydrochloride
3638
Ühilduv
Süsteravim Gentamicin sulfate 5 mg/ml
Parenteraalse toitmise (lipiide tasuta) 301
Ühilduv
Süsteravim Gentamicin sulfate 5 mg/ml
Süsteravim Doripenem 5 mg/ml
naatriumkloriid 0.9% 2262
Täpsustamata sobimatus Sobimatu
Süsteravim Gentamicin sulfate
NaHCO3 3520
Ühilduv
Süsteravim Gentamicin sulfate 2 mg/ml
Süsteravim Dopamine hydrochloride 0.8 mg/ml
glükoos 5% 738
Gaasimullide tootmine Sobimatu
Süsteravim Gentamicin sulfate
NaHCO3 3643
Ühilduv
Süsteravim Gentamicin sulfate 5 mg/ml
Süsteravim Dexmedetomidine 4 µg/ml
naatriumkloriid 0.9% 1712
Ühilduv
Süsteravim Gentamicin sulfate 5 mg/ml
Süsteravim Doripenem 5 mg/ml
glükoos 5% 2262
Ühilduv
Süsteravim Gentamicin sulfate 5 mg/ml
Parenteraalse toitmise (lipiidide) 1415
Ühilduv
Süsteravim Gentamicin sulfate 10 mg/ml
Süsteravim Doxapram hydrochloride 2 mg/ml
glükoos 5% 1802
Ühilduv
Süsteravim Gentamicin sulfate 5 mg/ml
Süsteravim Doxorubicin hydrochloride liposome peg 0.4 mg/ml
glükoos 5% 251
Ühilduv
Süsteravim Gentamicin sulfate 0.8 mg/ml
Süsteravim Enalaprilate 0.05 mg/ml
naatriumkloriid 0.9% 1315
Täpsustamata sobimatus Sobimatu
Süsteravim Gentamicin sulfate
Süsteravim Enoxaparin sodium
3643
Ühilduv
Süsteravim Gentamicin sulfate 5 mg/ml
Süsteravim Eravacycline 0,6 mg/ml
naatriumkloriid 0.9% 4434
Täpsustamata sobimatus Sobimatu
Süsteravim Gentamicin sulfate
Süsteravim Erythromycin lactobionate
3674
Täpsustamata sobimatus Sobimatu
Süsteravim Gentamicin sulfate
Süsteravim Erythromycin lactobionate
3520
Täpsustamata sobimatus Sobimatu
Süsteravim Gentamicin sulfate
Süsteravim Erythromycin lactobionate
3643
Ühilduv
Süsteravim Gentamicin sulfate 0,8 mg/ml
Süsteravim Esmolol hydrochloride 10 mg/ml
glükoos 5% 384
Ühilduv
Süsteravim Gentamicin sulfate 5 mg/ml
Süsteravim Etoposide phosphate 5 mg/ml
glükoos 5% 1410
Ühilduv
Süsteravim Gentamicin sulfate 5 mg/ml
Süsteravim Famotidine 2 mg/ml
naatriumkloriid 0.9% 215
Ühilduv
Süsteravim Gentamicin sulfate 0,8 mg/ml
Süsteravim Famotidine
glükoos 5% 397
Ühilduv
Süsteravim Gentamicin sulfate 5 mg/ml
Süsteravim Fenoldopam mesylate 80 µg/ml
naatriumkloriid 0.9% 1803
Ühilduv
Süsteravim Gentamicin sulfate 10 mg/ml
Süsteravim Fentanyl citrate 50 µg/ml
glükoos 5% 63
Ühilduv
Süsteravim Gentamicin sulfate 1.6 mg/ml
Süsteravim Filgrastim 40 µg/ml
glükoos 5% 104
Ühilduv
Süsteravim Gentamicin sulfate 5 mg/ml
Süsteravim Filgrastim 30 µg/ml
glükoos 5% 244
Täpsustamata sobimatus Sobimatu
Süsteravim Gentamicin sulfate
Süsteravim Flucloxacillin sodium
3643
Kohene sade Sobimatu
Süsteravim Gentamicin sulfate
Süsteravim Flucloxacillin sodium
3522
Ühilduv
Süsteravim Gentamicin sulfate 1 mg/ml
Süsteravim Fluconazole 2 mg/ml
mitte ükski 256
Ühilduv
Süsteravim Gentamicin sulfate 4 mg/ml
Süsteravim Fluconazole 2 mg/ml
naatriumkloriid 0.9% 496
Ühilduv
Süsteravim Gentamicin sulfate 5 mg/ml
Süsteravim Fludarabine phosphate 1 mg/ml
glükoos 5% 492
Ühilduv
Süsteravim Gentamicin sulfate 2 mg/ml
Süsteravim Foscarnet sodium 24 mg/ml
naatriumkloriid 0.9% 1135
Ühilduv
Süsteravim Gentamicin sulfate 2 mg/ml
Süsteravim Foscarnet sodium 24 mg/ml
glükoos 5% 1135
Ühilduv
Süsteravim Gentamicin sulfate 4 mg/ml
Süsteravim Foscarnet sodium 24 mg/ml
mitte ükski 73
Ühilduv
Süsteravim Gentamicin sulfate 10 mg/ml
Ringer laktaat 4603
Ühilduv
Süsteravim Gentamicin sulfate 5 mg/ml
Süsteravim Fosfomycin 30 mg/ml
naatriumkloriid 0.9% 4055
Kohene sade Sobimatu
Süsteravim Gentamicin sulfate 0,4 mg/ml
Parenteraalse toitmise (lipiidide) 4440
Ühilduv
Süsteravim Gentamicin sulfate 40 mg/ml
Parenteraalse toitmise (lipiidide) 673
Ühilduv
Süsteravim Gentamicin sulfate 5 mg/ml
Süsteravim Fosfomycin 30 mg/ml
glükoos 5% 4055
Kohene sade Sobimatu
Süsteravim Gentamicin sulfate 10 mg/ml
Süsteravim Furosemide 10 mg/ml
789
Kohene sade Sobimatu
Süsteravim Gentamicin sulfate 1,6 mg/ml
Süsteravim Furosemide 0,8 mg/ml
glükoos 5% 367
Kohene sade Sobimatu
Süsteravim Gentamicin sulfate 1,6 mg/ml
Süsteravim Furosemide 0,8 mg/ml
naatriumkloriid 0.9% 367
Kohene hägusus Sobimatu
Süsteravim Gentamicin sulfate 6.4 mg/ml
Süsteravim Furosemide 5 mg/ml
805
Sade 2 tunni pärast Sobimatu
Süsteravim Gentamicin sulfate 8 mg/ml
Süsteravim Furosemide 1 mg/ml
naatriumkloriid 0.9% 1232
Ühilduv
Süsteravim Gentamicin sulfate 5 mg/ml
Süsteravim Gemcitabine hydrochloride 10 mg/ml
naatriumkloriid 0.9% 1423
Ühilduv
Süsteravim Gentamicin sulfate 1.5 mg/ml
Süsteravim Granisetron hydrochloride 1 mg/ml
naatriumkloriid 0.9% 57
Ühilduv
Süsteravim Gentamicin sulfate 1 & 2 mg/ml
Süsteravim Heparin sodium 2500 UI/ml
4612
Kohene sade Sobimatu
Süsteravim Gentamicin sulfate 4 >> 40 mg/ml
Süsteravim Heparin sodium 10 >> 40 UI/ml
1258
Kohene sade Sobimatu
Süsteravim Gentamicin sulfate
Süsteravim Heparin sodium
1022
Täpsustamata sobimatus Sobimatu
Süsteravim Gentamicin sulfate 2 mg/ml
Süsteravim Heparin sodium 50 UI/ml
mitte ükski 317
Täpsustamata sobimatus Sobimatu
Süsteravim Gentamicin sulfate
Süsteravim Heparin sodium
3643
Täpsustamata sobimatus Sobimatu
Süsteravim Gentamicin sulfate
Süsteravim Heparin sodium
3520
Täpsustamata sobimatus Sobimatu
Süsteravim Gentamicin sulfate
Süsteravim Heparin sodium
3540
Kohene hägusus Sobimatu
Süsteravim Gentamicin sulfate 3 mg/ml
Süsteravim Heparin sodium 2500 UI/ml
4612
Kohene sade Sobimatu
Süsteravim Gentamicin sulfate 4 & 5 mg/ml
Süsteravim Heparin sodium 2500 UI/ml
4612
Ühilduv
Süsteravim Gentamicin sulfate 5 mg/ml
Süsteravim Hetastarch 60 mg/ml
konkreetsed lahusti 1721
Kohene sade Sobimatu
Süsteravim Gentamicin sulfate 0.8 mg/ml
Süsteravim Hetastarch 60 mg/ml
naatriumkloriid 0.9% 472
Ühilduv
Süsteravim Gentamicin sulfate 0.8 mg/ml
Süsteravim Hydromorphone hydrochloride 0.2 mg/ml
glükoos 5% 405
Värvimuutus Sobimatu
Süsteravim Gentamicin sulfate 3 mg/ml
Süsteravim Idarubicin hydrochloride 1 mg/ml
naatriumkloriid 0.9% 491
Kohene sade Sobimatu
Süsteravim Gentamicin sulfate 1 mg/ml
Süsteravim Indomethacin sodium trihydrate 0,5 & 1 mg/ml
glükoos 5% 494
Sademed 15 minuti pärast Sobimatu
Süsteravim Gentamicin sulfate 1 mg/ml
Süsteravim Indomethacin sodium trihydrate 0,5 & 1 mg/ml
glükoos 5% 1745
Ühilduv
Süsteravim Gentamicin sulfate 1.2 >> 2 mg/ml
Süsteravim Insulin 0.2 UI/ml
naatriumkloriid 0.9% 129
Ühilduv
Süsteravim Gentamicin sulfate 0.8 mg/ml
Süsteravim Iohexol 300 mg I/ml
mitte ükski 1085
Kohene sade Sobimatu
Süsteravim Gentamicin sulfate 0.8 mg/ml
Süsteravim Ioxaglate 320 mg I/ml
mitte ükski 1085
Ühilduv
Süsteravim Gentamicin sulfate 5 mg/ml
Süsteravim Isavuconazonium sulfate 1.5 mg/ml
glükoos 5% 3829
Ühilduv
Süsteravim Gentamicin sulfate 5 mg/ml
Süsteravim Isavuconazonium sulfate 1.5 mg/ml
naatriumkloriid 0.9% 3829
Ühilduv
Süsteravim Gentamicin sulfate 40 mg/ml
Süsteravim Ketamine hydrochloride 50 mg/ml
2109
Ühilduv
Süsteravim Gentamicin sulfate 0.8 mg/ml
Süsteravim Labetalol hydrochloride 1 mg/ml
glükoos 5% 386
Ühilduv
Süsteravim Gentamicin sulfate 5 mg/ml
Süsteravim Lansoprazole 0.55 mg/ml
naatriumkloriid 0.9% 1625
Ühilduv
Süsteravim Gentamicin sulfate 10 mg/ml
Süsteravim Levofloxacine 5 mg/ml
glükoos 5% 1072
Ühilduv
Süsteravim Gentamicin sulfate 0,75 mg/ml
Süsteravim Linezolid 1,80 mg/ml
2353
Ühilduv
Süsteravim Gentamicin sulfate 5 mg/ml
Süsteravim Linezolid 2 mg/ml
mitte ükski 1925
Ühilduv
Süsteravim Gentamicin sulfate 3 mg/ml
Süsteravim Lorazepam 0.33 mg/ml
naatriumkloriid 0.9% 186
Ühilduv
Süsteravim Gentamicin sulfate 0.8 mg/ml
Süsteravim Magnesium sulfate 16.67 >> 100 mg/ml
glükoos 5% 1047
Ühilduv
Süsteravim Gentamicin sulfate 5 mg/ml
Süsteravim Melphalan 0.1 mg/ml
naatriumkloriid 0.9% 169
Ühilduv
Süsteravim Gentamicin sulfate 40 mg/ml
Süsteravim Meropenem 50 mg/ml
süstevesi 4319
Ühilduv
Süsteravim Gentamicin sulfate 0.8 mg/ml
Süsteravim Meropenem 1 & 20 mg/ml
naatriumkloriid 0.9% 266
Ühilduv
Süsteravim Gentamicin sulfate 4 mg/ml
Süsteravim Meropenem 1 & 50 mg/ml
naatriumkloriid 0.9% 266
Ühilduv
Süsteravim Gentamicin sulfate 30 mg/ml
Süsteravim Meropenem 10 mg/ml
naatriumkloriid 0.9% 2335
Ühilduv
Süsteravim Gentamicin sulfate 0,8 & 1,2 mg/ml
Süsteravim Metronidazole 5 mg/ml
mitte ükski 1243
Ühilduv
Süsteravim Gentamicin sulfate 0.8 mg/ml
Süsteravim Metronidazole 5 mg/ml
mitte ükski 1035
Ühilduv
Süsteravim Gentamicin sulfate
Süsteravim Metronidazole
3594
Ühilduv
Süsteravim Gentamicin sulfate 3 mg/ml
Süsteravim Midazolam hydrochloride 5 mg/ml
mitte ükski 186
Ühilduv
Süsteravim Gentamicin sulfate 10 mg/ml
Süsteravim Midazolam hydrochloride 1 mg/ml
glükoos 5% 176
Ühilduv
Süsteravim Gentamicin sulfate 0.8 mg/ml
Süsteravim Midazolam hydrochloride 0.05 >> 0.4 mg/ml
naatriumkloriid 0.9% 1888
Täpsustamata sobimatus Sobimatu
Süsteravim Gentamicin sulfate
Süsteravim Mitomycin
4471
Keemiline ebastabiilsus Sobimatu
Süsteravim Gentamicin sulfate
Süsteravim Mitomycin
3128
Ühilduv
Süsteravim Gentamicin sulfate 1.2 & 2 mg/ml
Süsteravim Morphine sulfate 1 mg/ml
naatriumkloriid 0.9% 406
Ühilduv
Süsteravim Gentamicin sulfate 0.8 mg/ml
Süsteravim Morphine sulfate 1 mg/ml
glükoos 5% 405
Täpsustamata sobimatus Sobimatu
Süsteravim Gentamicin sulfate
Süsteravim Moxalactam
3643
Täpsustamata sobimatus Sobimatu
Süsteravim Gentamicin sulfate
Süsteravim Moxalactam
3520
Ühilduv
Süsteravim Gentamicin sulfate 40 mg/ml
Süsteravim N-acetylcysteine 200 mg/ml
mitte ükski 3766
Täpsustamata sobimatus Sobimatu
Süsteravim Gentamicin sulfate
Süsteravim Nadroparin
3643
Täpsustamata sobimatus Sobimatu
Süsteravim Gentamicin sulfate
Süsteravim Nafcillin sodium
3643
Täpsustamata sobimatus Sobimatu
Süsteravim Gentamicin sulfate
Süsteravim Nafcillin sodium
3520
Ühilduv
Süsteravim Gentamicin sulfate 40 mg/ml
Süsteravim Naloxone hydrochloride 0.4 mg/ml
mitte ükski 3408
Ühilduv
Süsteravim Gentamicin sulfate 4.17 mg/ml
Süsteravim Nefopam 0.16 mg/ml
naatriumkloriid 0.9% 4254
Ühilduv
Süsteravim Gentamicin sulfate 4.17 mg/ml
Süsteravim Nefopam 0.16 mg/ml
glükoos 5% 4254
Ühilduv
Süsteravim Gentamicin sulfate 0.8 mg/ml
Süsteravim Nicardipine hydrochloride 0.1 mg/ml
glükoos 5% 1490
Ühilduv
Süsteravim Gentamicin sulfate 0.8 mg/ml
Süsteravim Nicardipine hydrochloride 0.1 mg/ml
naatriumkloriid 0.9% 1490
Ühilduv
Süsteravim Gentamicin sulfate 0,8 mg/ml
Süsteravim Ofloxacin 2 mg/ml
mitte ükski 889
Ühilduv
Süsteravim Gentamicin sulfate 5 mg/ml
Süsteravim Ondansetron hydrochloride 1 mg/ml
naatriumkloriid 0.9% 334
Ühilduv
Süsteravim Gentamicin sulfate 5 mg/ml
Süsteravim Oritavancin 0.8 >>2 mg/ml
glükoos 5% 3152
Täpsustamata sobimatus Sobimatu
Süsteravim Gentamicin sulfate
Süsteravim Oxacillin sodium
3643
Täpsustamata sobimatus Sobimatu
Süsteravim Gentamicin sulfate
Süsteravim Oxacillin sodium
3520
Ühilduv
Süsteravim Gentamicin sulfate 40 mg/ml
Süsteravim Oxycodone hydrochloride 1 mg/ml
naatriumkloriid 0.9% 4842
Ühilduv
Süsteravim Gentamicin sulfate 5 mg/ml
Süsteravim Paclitaxel 1.2 mg/ml
glükoos 5% 248
Ühilduv
Süsteravim Gentamicin sulfate 5 mg/ml
Süsteravim Palonosetron hydrochloride 50 µg/ml
glükoos 5% 2228
Ühilduv
Süsteravim Gentamicin sulfate 2 mg/ml
Süsteravim Pancuronium bromide 0.05 mg/ml
glükoos 5% 402
Kohene sade Sobimatu
Süsteravim Gentamicin sulfate
Süsteravim Pantoprazole sodium
2090
Ühilduv
Süsteravim Gentamicin sulfate 40 mg/ml
Süsteravim Paracetamol 10 mg/ml
4742
Kohene sade Sobimatu
Süsteravim Gentamicin sulfate 5 mg/ml
Süsteravim Pemetrexed disodium 20 mg/ml
1953
Täpsustamata sobimatus Sobimatu
Süsteravim Gentamicin sulfate
Süsteravim Penicillin G potassium
3643
Täpsustamata sobimatus Sobimatu
Süsteravim Gentamicin sulfate
Süsteravim Penicillin G potassium
3520
Täpsustamata sobimatus Sobimatu
Süsteravim Gentamicin sulfate
Süsteravim Penicillin G sodium
3643
Täpsustamata sobimatus Sobimatu
Süsteravim Gentamicin sulfate
Süsteravim Penicillin G sodium
3520
Ühilduv
Süsteravim Gentamicin sulfate 10 mg/ml
Süsteravim Pentoxifyllin 5 mg/ml
naatriumkloriid 0.9% 4543
Ühilduv
Süsteravim Gentamicin sulfate 0.8 mg/ml
Süsteravim Pethidine hydrochloride 10 mg/ml
glükoos 5% 405
Kohene sade Sobimatu
Süsteravim Gentamicin sulfate 10 mg/ml
Süsteravim Phenytoin sodium 50 mg/ml
789
Ühilduv
Süsteravim Gentamicin sulfate 20 mg/ml
Süsteravim Phloroglucinol 2,5 mg/ml
3791
Täpsustamata sobimatus Sobimatu
Süsteravim Gentamicin sulfate
Süsteravim Piperacillin sodium
3520
Täpsustamata sobimatus Sobimatu
Süsteravim Gentamicin sulfate
Süsteravim Piperacillin sodium
3643
Täpsustamata sobimatus Sobimatu
Süsteravim Gentamicin sulfate
Süsteravim Piperacillin sodium / tazobactam
3520
Keemiline ebastabiilsus Sobimatu
Süsteravim Gentamicin sulfate
Süsteravim Piperacillin sodium / tazobactam
3586
Täpsustamata sobimatus Sobimatu
Süsteravim Gentamicin sulfate
Süsteravim Piperacillin sodium / tazobactam
3643
Ühilduv
Süsteravim Gentamicin sulfate
Süsteravim Posaconazole
4380
Ühilduv
Süsteravim Gentamicin sulfate 30 mg/ml
Süsteravim Potassium chloride 20 mEq/l
NaCl 0,45%+ glükoos 5% 2335
Emulsiooni kohene ebastabiilsus Sobimatu
Süsteravim Gentamicin sulfate 2 mg/ml
Süsteravim Propofol
660
Täpsustamata sobimatus Sobimatu
Süsteravim Gentamicin sulfate 40 mg/ml
Süsteravim Propofol
4524
Kohene sade Sobimatu
Süsteravim Gentamicin sulfate 5 mg/ml
Süsteravim Propofol 10 mg/ml
mitte ükski 300
Ühilduv
Süsteravim Gentamicin sulfate 5 mg/ml
Süsteravim Remifentanil hydrochloride 25 & 250 µg/ml
naatriumkloriid 0.9% 59
Ühilduv
Süsteravim Gentamicin sulfate 40 mg/ml
Süsteravim Salbutamol sulfate 1 mg/ml
mitte ükski 3216
Ühilduv
Süsteravim Gentamicin sulfate 5 mg/ml
Süsteravim Sargramostim 10 µg/ml
naatriumkloriid 0.9% 335
Ühilduv
Süsteravim Gentamicin sulfate 10 mg/ml
Süsteravim Sildenafil citrate 0,6 mg/ml
glükoos 5% 4845
Ühilduv
Süsteravim Gentamicin sulfate 2,4 mg/ml
Süsteravim Sodium bicarbonate 40 mg/ml
mitte ükski 3122
Gaasimullide tootmine Sobimatu
Süsteravim Gentamicin sulfate
Süsteravim Sodium bicarbonate
3643
Ühilduv
Süsteravim Gentamicin sulfate 2.5 mg/ml
Süsteravim Sodium citrate 40 mg/ml
süstevesi 3952
Ühilduv
Süsteravim Gentamicin sulfate 40 mg/ml
Süsteravim Sugammadex 100 mg/ml
mitte ükski 3372
Ühilduv
Süsteravim Gentamicin sulfate 5 mg/ml
Süsteravim Sulbactam/durlobactam 15/15 mg/ml
naatriumkloriid 0.9% 4801
Ühilduv
Süsteravim Gentamicin sulfate 4 mg/ml
Süsteravim Tacrolimus 1000 µg/ml
naatriumkloriid 0.9% 479
Ühilduv
Süsteravim Gentamicin sulfate
naatriumkloriid 0.9% 1704
Ühilduv
Süsteravim Gentamicin sulfate
naatriumkloriid 0.9% 434
Täpsustamata sobimatus Sobimatu
Süsteravim Gentamicin sulfate
Süsteravim Sodium bicarbonate
3520
Ühilduv
Süsteravim Gentamicin sulfate 1 >> 5 mg/ml
Süsteravim Sodium citrate 40 mg/ml
mitte ükski 2019
Kohene hägusus Sobimatu
Süsteravim Gentamicin sulfate 5 mg/ml
Süsteravim Tedizolid phosphate 0.8 mg/ml
naatriumkloriid 0.9% 3827
Täpsustamata sobimatus Sobimatu
Süsteravim Gentamicin sulfate
Süsteravim Teicoplanine
3656
Ühilduv
Süsteravim Gentamicin sulfate 5 mg/ml
Süsteravim Telavancin hydrochloride 7.5 mg/ml
Ringer laktaat 3254
Ühilduv
Süsteravim Gentamicin sulfate 5 mg/ml
Süsteravim Telavancin hydrochloride 7.5 mg/ml
naatriumkloriid 0.9% 3254
Ühilduv
Süsteravim Gentamicin sulfate 5 mg/ml
Süsteravim Telavancin hydrochloride 7.5 mg/ml
glükoos 5% 3254
Ühilduv
Süsteravim Gentamicin sulfate 6 mg/ml
Süsteravim Temocilline 83.33 mg/ml
süstevesi 2231
Täpsustamata sobimatus Sobimatu
Süsteravim Gentamicin sulfate
Süsteravim Temocilline
3643
Täpsustamata sobimatus Sobimatu
Süsteravim Gentamicin sulfate
Süsteravim Temocilline
3520
Täpsustamata sobimatus Sobimatu
Süsteravim Gentamicin sulfate
Süsteravim Temocilline
2296
Ühilduv
Süsteravim Gentamicin sulfate 5 mg/ml
Süsteravim Teniposide 0.1 mg/ml
glükoos 5% 905
Ühilduv
Süsteravim Gentamicin sulfate 2 mg/ml
Süsteravim Theophylline 4 mg/ml
mitte ükski 317
Kohene sade Sobimatu
Süsteravim Gentamicin sulfate 40 mg/ml
Süsteravim Thiopental sodium 25 mg/ml
naatriumkloriid 0.9% 3767
Ühilduv
Süsteravim Gentamicin sulfate 5 mg/ml
Süsteravim Thiotepa 1 mg/ml
glükoos 5% 249
Keemiline ebastabiilsus Sobimatu
Süsteravim Gentamicin sulfate
Süsteravim Ticarcillin / clavulanic acid
3587
Täpsustamata sobimatus Sobimatu
Süsteravim Gentamicin sulfate
Süsteravim Ticarcillin / clavulanic acid
3643
Täpsustamata sobimatus Sobimatu
Süsteravim Gentamicin sulfate
Süsteravim Ticarcillin / clavulanic acid
3520
Ühilduv
Süsteravim Gentamicin sulfate
Süsteravim Tigecycline
naatriumkloriid 0.9% 3332
Ühilduv
Süsteravim Gentamicin sulfate 6 mg/ml
Süsteravim Vancomycin hydrochloride 10 mg/ml
glükoos 5% 3385
Ühilduv
Süsteravim Gentamicin sulfate 1.2 mg/ml
Süsteravim Vasopressin 0.2 UI/ml
naatriumkloriid 0.9% 2017
Ühilduv
Süsteravim Gentamicin sulfate 2 mg/ml
Süsteravim Vecuronium bromide 0.1 mg/ml
glükoos 5% 402
Ühilduv
Süsteravim Gentamicin sulfate 0.16 mg/ml
Süsteravim Verapamil hydrochloride 0.08 mg/ml
glükoos 5% 1057
Ühilduv
Süsteravim Gentamicin sulfate 0.16 mg/ml
Süsteravim Verapamil hydrochloride 0.08 mg/ml
naatriumkloriid 0.9% 1057
Ühilduv
Süsteravim Gentamicin sulfate 5 mg/ml
Süsteravim Vinorelbine tartrate 1 mg/ml
naatriumkloriid 0.9% 84
Kohene hägusus Sobimatu
Süsteravim Gentamicin sulfate 1.6 mg/ml
Süsteravim Warfarin sodium 2 mg/ml
glükoos 5% 315
Ühilduv
Süsteravim Gentamicin sulfate 2 mg/ml
Süsteravim Zidovudine 4 mg/ml
glükoos 5% 337

  Mentions Légales