Última actualização :
27/04/2026
antibiótico   Gentamicin sulfate  
injetável
solução oftálmica
Estabilidade em soluções simples Estabilidade em misturas Factores que afectam a sua estabilidade Compatibilidade Método de administração Bibliografía pdf
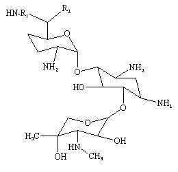
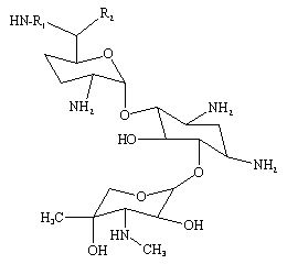
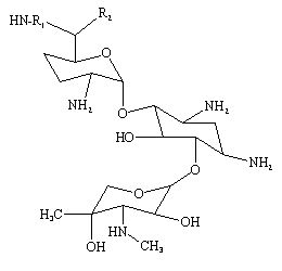
   estrutura química  

Nomes comerciais nos diversos países   Nomes comerciais nos diversos países     

OS NOMES COMERCIAIS SÃO INDICATIVOS E OS EXCIPIENTES DA FORMULAÇÃO PODEM SER DIFERENTES CONFORME O PAÍS E FABRICANTE.

Azupel Peru
Cidomycin Egipto, Gran-bretanha, Tunísia
Dabroson Grècia
Epigent Egipto
Garalone Portugal
Garamicina Brasil, Colômbia, Equator, México
Garamycin Croácia, Dinamarca, Egipto, Emirados Árabes Unidos, Grècia, Índia, Noruega, Países Baixos, Polonia, Suicia
Genmisin Turquia
Gensif Turquia
Gensumycin Finlandia, Noruega, Suècia
Genta-Gobens Espanha
Gentalline Marrocos
Gentamen Marrocos
Genticin Emirados Árabes Unidos, Gran-bretanha, Irlanda
Gentreks Turquia
Hexamycin Dinamarca
Plurisemina Argentina
Refobacin Alemanha, Austria, Colômbia, Egipto
Rupegen Argentina
Compatibilidade   injetável   Compatibilidade : Gentamicin sulfate              
Este ecrã indica as compatibilidades ou incompatibilidades com, neste caso, o tipo de incompatibilidade (precipitação, mudança de cor, modificação de uma emulsão, etc.). As compatibilidades mostradas aqui são principalmente físicas, com a estabilidade química de cada molécula raramente sendo avaliada. A avaliação dessas misturas foi estudada para considerar a possibilidade de administração do local Y ao paciente. Estes dados não podem ser usados para fazer misturas antecipadamente em sacos ou seringas. Este tipo de informação está disponível na tela “Estabilidade na mistura».
molécula Solvente Bibliografia
Compatível
injetável Gentamicin sulfate 1.6 mg/ml
injetável Aciclovir sodium 5 mg/ml
Glucose 5% 336
Precipitação imediata Incompatível
injetável Gentamicin sulfate 30 mg/ml
injetável Aciclovir sodium 5 mg/ml
cloreto de sódio 0,9% 2335
Precipitação após 1 hora Incompatível
injetável Gentamicin sulfate 5 mg/ml
injetável Allopurinol sodium 3 mg/ml
cloreto de sódio 0,9% 307
Compatível
injetável Gentamicin sulfate 1 mg/ml
injetável Alprostadil 15 µg/ml
3201
Compatível
injetável Gentamicin sulfate 5 mg/ml
injetável Amifostine 10 mg/ml
Glucose 5% 3
Compatível
injetável Gentamicin sulfate 0.8 mg/ml
injetável Amiodarone hydrochloride 4 mg/ml
cloreto de sódio 0,9% 385
Compatível
injetável Gentamicin sulfate 0.8 mg/ml
injetável Amiodarone hydrochloride 4 mg/ml
Glucose 5% 385
Incompatibilidade não especificada Incompatível
injetável Gentamicin sulfate
injetável Amoxicillin sodium
3643
Incompatibilidade não especificada Incompatível
injetável Gentamicin sulfate
injetável Amoxicillin sodium
3520
Instabilidade química Incompatível
injetável Gentamicin sulfate
injetável Amoxicillin sodium
3527
Incompatibilidade não especificada Incompatível
injetável Gentamicin sulfate
injetável Amoxicillin sodium / clavulanic acid
3643
Incompatibilidade não especificada Incompatível
injetável Gentamicin sulfate
injetável Amoxicillin sodium / clavulanic acid
3545
Incompatibilidade não especificada Incompatível
injetável Gentamicin sulfate
injetável Amoxicillin sodium / clavulanic acid
3520
Compatível
injetável Gentamicin sulfate 40 mg/ml
injetável Amoxicillin sodium / clavulanic acid 100/10 mg/ml
3824
Precipitação imediata Incompatível
injetável Gentamicin sulfate 5 mg/ml
injetável Amphotericin B cholesteryl sulfate complex 0,83 mg/ml
Glucose 5% 921
Incompatibilidade não especificada Incompatível
injetável Gentamicin sulfate
injetável Ampicillin sodium
3643
Incompatibilidade não especificada Incompatível
injetável Gentamicin sulfate
injetável Ampicillin sodium
3520
Incompatibilidade não especificada Incompatível
injetável Gentamicin sulfate
injetável Ampicillin sodium - sulbactam sodium
3643
Incompatibilidade não especificada Incompatível
injetável Gentamicin sulfate
injetável Ampicillin sodium - sulbactam sodium
3520
Compatível
injetável Gentamicin sulfate 5 mg/ml
injetável Amsacrine 1 mg/ml
Glucose 5% 253
Compatível
injetável Gentamicin sulfate 5 mg/ml
injetável Anidulafungin 0.5 mg/ml
Glucose 5% 1982
Compatível
injetável Gentamicin sulfate 0,8 mg/ml
injetável Atosiban 0,75 mg/ml
4642
Compatível
injetável Gentamicin sulfate 2 mg/ml
injetável Atracurium besylate 0.5 mg/ml
Glucose 5% 402
Precipitação imediata Incompatível
injetável Gentamicin sulfate 21 mg/ml
injetável Azithromycine 2 mg/ml
cloreto de sódio 0,9% 1800
Compatível
injetável Gentamicin sulfate 5 mg/ml
injetável Aztreonam 40 mg/ml
Glucose 5% 99
Compatível
injetável Gentamicin sulfate 0.2 & 0.8 mg/ml
injetável Aztreonam 10 & 20 mg/ml
cloreto de sódio 0,9% 19
Compatível
injetável Gentamicin sulfate 0.2 & 0.8 mg/ml
injetável Aztreonam 10 & 20 mg/ml
Glucose 5% 19
Compatível
injetável Gentamicin sulfate 5 mg/ml
injetável Bivalirudin 5 mg/ml
Glucose 5% 1713
Compatível
injetável Gentamicin sulfate 10 mg/ml
injetável Caffeine 10 mg/ml
nenhum 3964
Compatível
injetável Gentamicin sulfate 10 mg/ml
injetável Caffeine 10 mg/ml
cloreto de sódio 0,9% 4837
Compatível
injetável Gentamicin sulfate 10 mg/ml
injetável Caffeine citrate 20 mg/ml
cloreto de sódio 0,9% 4837
Incompatibilidade não especificada Incompatível
injetável Gentamicin sulfate
injetável Calcium gluconate
3644
Incompatível
injetável Gentamicin sulfate
injetável Calcium gluconate
4964
Compatível
injetável Gentamicin sulfate 5 mg/ml
injetável Caspofungin acetate 0,7 mg/ml
cloreto de sódio 0,9% 2247
Incompatibilidade não especificada Incompatível
injetável Gentamicin sulfate
injetável Cefalotin sodium
3520
Incompatibilidade não especificada Incompatível
injetável Gentamicin sulfate
injetável Cefalotin sodium
3643
Precipitação imediata Incompatível
injetável Gentamicin sulfate
injetável Cefamandole nafate 2 >> 100 mg/ml
Glucose 5% 612
Incompatibilidade não especificada Incompatível
injetável Gentamicin sulfate
injetável Cefamandole nafate
3643
Incompatibilidade não especificada Incompatível
injetável Gentamicin sulfate
injetável Cefamandole nafate
3520
Incompatibilidade não especificada Incompatível
injetável Gentamicin sulfate
injetável Cefamandole nafate
3546
Precipitação imediata Incompatível
injetável Gentamicin sulfate
injetável Cefamandole nafate 2 >> 100 mg/ml
cloreto de sódio 0,9% 612
Incompatibilidade não especificada Incompatível
injetável Gentamicin sulfate
injetável Cefazolin sodium
3520
Incompatibilidade não especificada Incompatível
injetável Gentamicin sulfate
injetável Cefazolin sodium
3643
Incompatibilidade não especificada Incompatível
injetável Gentamicin sulfate
injetável Cefepime dihydrochloride
3520
Compatível
injetável Gentamicin sulfate 6 mg/ml
injetável Cefepime dihydrochloride 125 mg/ml
Agua para injectaveis 2141
Incompatibilidade não especificada Incompatível
injetável Gentamicin sulfate
injetável Cefepime dihydrochloride
3548
Incompatibilidade não especificada Incompatível
injetável Gentamicin sulfate
injetável Cefepime dihydrochloride
3643
Compatível
injetável Gentamicin sulfate 5 mg/ml
injetável Cefiderocol sulfate tosylate 20 mg/mL
Glucose 5% 4528
Compatível
injetável Gentamicin sulfate 5 mg/ml
injetável Cefiderocol sulfate tosylate 20 mg/mL
cloreto de sódio 0,9% 4528
Incompatibilidade não especificada Incompatível
injetável Gentamicin sulfate
injetável Cefmenoxime
3520
Incompatibilidade não especificada Incompatível
injetável Gentamicin sulfate
injetável Cefmenoxime
3643
Incompatibilidade não especificada Incompatível
injetável Gentamicin sulfate
injetável Cefmetazole sodium
3520
Incompatibilidade não especificada Incompatível
injetável Gentamicin sulfate
injetável Cefmetazole sodium
3643
Incompatibilidade não especificada Incompatível
injetável Gentamicin sulfate
injetável Cefonicid sodium
3643
Incompatibilidade não especificada Incompatível
injetável Gentamicin sulfate
injetável Cefonicid sodium
3520
Incompatibilidade não especificada Incompatível
injetável Gentamicin sulfate
injetável Cefoperazone sodium
3544
Incompatibilidade não especificada Incompatível
injetável Gentamicin sulfate
injetável Cefoperazone sodium
3643
Precipitação imediata Incompatível
injetável Gentamicin sulfate 0.8 mg/ml
injetável Cefoperazone sodium 10 mg/ml
Glucose 5% 1206
Incompatibilidade não especificada Incompatível
injetável Gentamicin sulfate
injetável Cefoperazone sodium
3520
Incompatibilidade não especificada Incompatível
injetável Gentamicin sulfate
injetável Ceforanide
3643
Incompatibilidade não especificada Incompatível
injetável Gentamicin sulfate
injetável Ceforanide
3520
Incompatibilidade não especificada Incompatível
injetável Gentamicin sulfate
injetável Cefotaxime sodium
3520
Incompatibilidade não especificada Incompatível
injetável Gentamicin sulfate
injetável Cefotaxime sodium
3643
Incompatibilidade não especificada Incompatível
injetável Gentamicin sulfate
injetável Cefoxitin sodium
3643
Incompatibilidade não especificada Incompatível
injetável Gentamicin sulfate
injetável Cefoxitin sodium
3520
Compatível
injetável Gentamicin sulfate 1 mg/ml
injetável Cefpirome sulfate 50 mg/ml
cloreto de sódio 0,9% 280
Compatível
injetável Gentamicin sulfate 1 mg/ml
injetável Cefpirome sulfate 50 mg/ml
Ringer lactato 280
Compatível
injetável Gentamicin sulfate 1 mg/ml
injetável Cefpirome sulfate 50 mg/ml
cloreto de sódio 0,45% 280
Incompatibilidade não especificada Incompatível
injetável Gentamicin sulfate
injetável Cefpirome sulfate
3643
Incompatibilidade não especificada Incompatível
injetável Gentamicin sulfate
injetável Cefpirome sulfate
3677
Compatível
injetável Gentamicin sulfate 1 mg/ml
injetável Cefpirome sulfate 50 mg/ml
Glucose 5% 280
Incompatibilidade não especificada Incompatível
injetável Gentamicin sulfate
injetável Cefpirome sulfate
3520
Compatível
injetável Gentamicin sulfate 5 mg/ml
injetável Ceftaroline fosamil 2,22 mg/ml
cloreto de sódio 0,9% 3249
Compatível
injetável Gentamicin sulfate 5 mg/ml
injetável Ceftaroline fosamil 2,22 mg/ml
Ringer lactato 3249
Compatível
injetável Gentamicin sulfate 5 mg/ml
injetável Ceftaroline fosamil 2,22 mg/ml
Glucose 5% 3249
Incompatibilidade não especificada Incompatível
injetável Gentamicin sulfate
injetável Ceftaroline fosamil
3643
Incompatibilidade não especificada Incompatível
injetável Gentamicin sulfate
injetável Ceftaroline fosamil
3520
Incompatibilidade não especificada Incompatível
injetável Gentamicin sulfate
injetável Ceftazidime
3543
Incompatibilidade não especificada Incompatível
injetável Gentamicin sulfate
injetável Ceftazidime
3520
Incompatibilidade não especificada Incompatível
injetável Gentamicin sulfate
injetável Ceftazidime
3643
Compatível
injetável Gentamicin sulfate 6 mg/ml
injetável Ceftazidime 125 mg/ml
Agua para injectaveis 2141
Compatível
injetável Gentamicin sulfate 6 mg/ml
injetável Ceftazidime 83.3 mg/ml
1759
Incompatibilidade não especificada Incompatível
injetável Gentamicin sulfate
injetável Ceftazidime
3883
Incompatibilidade não especificada Incompatível
injetável Gentamicin sulfate
injetável Ceftazidime Avibactam
3520
Incompatibilidade não especificada Incompatível
injetável Gentamicin sulfate
injetável Ceftazidime Avibactam
3643
Incompatibilidade não especificada Incompatível
injetável Gentamicin sulfate
injetável Ceftizoxime sodium
3643
Incompatibilidade não especificada Incompatível
injetável Gentamicin sulfate
injetável Ceftizoxime sodium
3520
Incompatibilidade não especificada Incompatível
injetável Gentamicin sulfate
injetável Ceftobiprole medocaril sodium
3643
Incompatibilidade não especificada Incompatível
injetável Gentamicin sulfate
injetável Ceftobiprole medocaril sodium
4650
Precipitação imediata Incompatível
injetável Gentamicin sulfate 5 mg/ml
injetável Ceftobiprole medocaril sodium 2 mg/ml
Glucose 5% 2269
Precipitação imediata Incompatível
injetável Gentamicin sulfate 5 mg/ml
injetável Ceftobiprole medocaril sodium 2 mg/ml
Ringer lactato 2269
Precipitação imediata Incompatível
injetável Gentamicin sulfate 5 mg/ml
injetável Ceftobiprole medocaril sodium 2 mg/ml
cloreto de sódio 0,9% 2269
Incompatibilidade não especificada Incompatível
injetável Gentamicin sulfate
injetável Ceftobiprole medocaril sodium
3520
Compatível
injetável Gentamicin sulfate 5 mg/ml
injetável Ceftolozane / tazobactam 10/5 mg/ml
Glucose 5% 3828
Incompatibilidade não especificada Incompatível
injetável Gentamicin sulfate
injetável Ceftolozane / tazobactam
3643
Incompatibilidade não especificada Incompatível
injetável Gentamicin sulfate
injetável Ceftolozane / tazobactam
3520
Compatível
injetável Gentamicin sulfate 5 mg/ml
injetável Ceftolozane / tazobactam 10/5 mg/ml
cloreto de sódio 0,9% 3828
Incompatibilidade não especificada Incompatível
injetável Gentamicin sulfate
injetável Ceftriaxone disodium
3523
Incompatibilidade não especificada Incompatível
injetável Gentamicin sulfate
injetável Ceftriaxone disodium
3643
Incompatibilidade não especificada Incompatível
injetável Gentamicin sulfate
injetável Ceftriaxone disodium
3520
Incompatibilidade não especificada Incompatível
injetável Gentamicin sulfate
injetável Cefuroxime sodium
3643
Incompatibilidade não especificada Incompatível
injetável Gentamicin sulfate
injetável Cefuroxime sodium
3520
Incompatibilidade não especificada Incompatível
injetável Gentamicin sulfate
injetável Cefuroxime sodium
3687
Incompatibilidade não especificada Incompatível
injetável Gentamicin sulfate
injetável Cefuzonam
3520
Compatível
injetável Gentamicin sulfate 0.8 mg/ml
injetável Cimetidine hydrochloride 3 mg/ml
Glucose 5% 1201
Compatível
injetável Gentamicin sulfate 0.08 mg/ml
injetável Cimetidine hydrochloride 1.2 & 5 mg/ml
cloreto de sódio 0,9% 1201
Compatível
injetável Gentamicin sulfate 0.08 mg/ml
injetável Cimetidine hydrochloride 1.2 & 5 mg/ml
Glucose 5% 1201
Compatível
injetável Gentamicin sulfate 10 mg/ml
injetável Ciprofloxacin lactate 2 mg/ml
cloreto de sódio 0,9% 289
Compatível
injetável Gentamicin sulfate 1.6 mg/ml
injetável Ciprofloxacin lactate 2 mg/ml
Glucose 5% 285
Compatível
injetável Gentamicin sulfate 5 mg/ml
injetável Cisatracurium besylate 0.1 >> 5 mg/ml
Glucose 5% 299
Instabilidade química Incompatível
injetável Gentamicin sulfate
injetável Cisplatin
3578
Compatível
injetável Gentamicin sulfate 12 mg/ml
injetável Clindamycin phosphate 90 mg/ml
cloreto de sódio 0,9% 639
Compatível
injetável Gentamicin sulfate 0.67 mg/ml
injetável Clindamycin phosphate 6 mg/ml
Glucose 5% 423
Compatível
injetável Gentamicin sulfate
Glucose 5% 434
Incompatibilidade não especificada Incompatível
injetável Gentamicin sulfate
injetável Cefuzonam
3643
Compatível
injetável Gentamicin sulfate 1 mg/ml
injetável Ciprofloxacin lactate 1.5 mg/ml
cloreto de sódio 0,9% 434
Compatível
injetável Gentamicin sulfate 1.6 mg/ml
injetável Ciprofloxacin lactate 2 mg/ml
Glucose 5% 288
Compatível
injetável Gentamicin sulfate 1.6 mg/ml
injetável Ciprofloxacin lactate 2 mg/ml
cloreto de sódio 0,9% 288
Compatível
injetável Gentamicin sulfate 1 mg/ml
injetável Ciprofloxacin lactate 1.5 mg/ml
Glucose 5% 434
Compatível
injetável Gentamicin sulfate
injetável Clindamycin phosphate
cloreto de sódio 0,9% 3526
Precipitação imediata Incompatível
injetável Gentamicin sulfate 40 mg/ml
injetável Cloxacillin sodium 100 mg/ml
Agua para injectaveis 3012
Compatível
injetável Gentamicin sulfate 15 mg/ml
injetável Cytarabine 16 mg/ml
cloreto de sódio 0,9% 132
Incompatível
injetável Gentamicin sulfate 2 & 10 mg/ml
Nutrição parenteral (com lípidos) 4924
Compatível
injetável Gentamicin sulfate
injetável Clindamycin phosphate
Glucose 5% 3526
Incompatibilidade não especificada Incompatível
injetável Gentamicin sulfate
injetável Cloxacillin sodium
3520
Incompatibilidade não especificada Incompatível
injetável Gentamicin sulfate
injetável Cytarabine
3580
Compatível
injetável Gentamicin sulfate 1,5 mg/ml
injetável Daptomycin 19,2 mg/ml
cloreto de sódio 0,9% 1937
Compatível
injetável Gentamicin sulfate 0,05 mg/ml
Nutrição parenterica (mistura binária) 4445
Incompatibilidade não especificada Incompatível
injetável Gentamicin sulfate
injetável Cloxacillin sodium
3643
Instabilidade da emulsão após 4 horas Incompatível
injetável Gentamicin sulfate 2 mg/ml
Nutrição parenteral (com lípidos) 4507
Incompatibilidade não especificada Incompatível
injetável Gentamicin sulfate
injetável Dalteparin sodium
3643
Compatível
injetável Gentamicin sulfate
injetável Daptomycin
2271
Compatível
injetável Gentamicin sulfate 10 mg/ml
Nutrição parenterica (mistura binária) 316
Compatível
injetável Gentamicin sulfate
injetável Dimenhydrinate
2087
Compatível
injetável Gentamicin sulfate 10 & 40 mg/ml
Nutrição parenterica (mistura binária) 999
Incompatibilidade subvisual Incompatível
injetável Gentamicin sulfate
injetável Daunorubicin/cytarabine liposomale
4354
Compatível
injetável Gentamicin sulfate 1 mg/ml
Nutrição parenterica (mistura binária) 939
Turvação imediata Incompatível
injetável Gentamicin sulfate
injetável Daunorubicin/cytarabine liposomale 0,4 mg/mL
cloreto de sódio 0,9% 4654
Compatível
injetável Gentamicin sulfate 0.8 mg/ml
injetável Diatrizoate meglumine 283 mg/ml
nenhum 1085
Compatível
injetável Gentamicin sulfate 2.4 & 40 mg/ml
injetável Diltiazem hydrochloride 5 mg/ml
cloreto de sódio 0,9% 198
Compatível
injetável Gentamicin sulfate 5 mg/ml
injetável Docetaxel 0.9 mg/ml
Glucose 5% 1754
Incompatibilidade não especificada Incompatível
injetável Gentamicin sulfate
injetável Dopamine hydrochloride
3638
Compatível
injetável Gentamicin sulfate 5 mg/ml
Nutrição parenterica (mistura binária) 301
Compatível
injetável Gentamicin sulfate 5 mg/ml
injetável Doripenem 5 mg/ml
cloreto de sódio 0,9% 2262
Incompatibilidade não especificada Incompatível
injetável Gentamicin sulfate
NaHCO3 3520
Compatível
injetável Gentamicin sulfate 2 mg/ml
injetável Dopamine hydrochloride 0.8 mg/ml
Glucose 5% 738
Produção de bolhas de gás Incompatível
injetável Gentamicin sulfate
NaHCO3 3643
Compatível
injetável Gentamicin sulfate 5 mg/ml
injetável Dexmedetomidine 4 µg/ml
cloreto de sódio 0,9% 1712
Compatível
injetável Gentamicin sulfate 5 mg/ml
injetável Doripenem 5 mg/ml
Glucose 5% 2262
Compatível
injetável Gentamicin sulfate 5 mg/ml
Nutrição parenteral (com lípidos) 1415
Compatível
injetável Gentamicin sulfate 10 mg/ml
injetável Doxapram hydrochloride 2 mg/ml
Glucose 5% 1802
Compatível
injetável Gentamicin sulfate 5 mg/ml
injetável Doxorubicin hydrochloride liposome peg 0.4 mg/ml
Glucose 5% 251
Compatível
injetável Gentamicin sulfate 0.8 mg/ml
injetável Enalaprilate 0.05 mg/ml
cloreto de sódio 0,9% 1315
Incompatibilidade não especificada Incompatível
injetável Gentamicin sulfate
injetável Enoxaparin sodium
3643
Compatível
injetável Gentamicin sulfate 5 mg/ml
injetável Eravacycline 0,6 mg/ml
cloreto de sódio 0,9% 4434
Incompatibilidade não especificada Incompatível
injetável Gentamicin sulfate
injetável Erythromycin lactobionate
3674
Incompatibilidade não especificada Incompatível
injetável Gentamicin sulfate
injetável Erythromycin lactobionate
3520
Incompatibilidade não especificada Incompatível
injetável Gentamicin sulfate
injetável Erythromycin lactobionate
3643
Compatível
injetável Gentamicin sulfate 0,8 mg/ml
injetável Esmolol hydrochloride 10 mg/ml
Glucose 5% 384
Compatível
injetável Gentamicin sulfate 5 mg/ml
injetável Etoposide phosphate 5 mg/ml
Glucose 5% 1410
Compatível
injetável Gentamicin sulfate 5 mg/ml
injetável Famotidine 2 mg/ml
cloreto de sódio 0,9% 215
Compatível
injetável Gentamicin sulfate 0,8 mg/ml
injetável Famotidine
Glucose 5% 397
Compatível
injetável Gentamicin sulfate 5 mg/ml
injetável Fenoldopam mesylate 80 µg/ml
cloreto de sódio 0,9% 1803
Compatível
injetável Gentamicin sulfate 10 mg/ml
injetável Fentanyl citrate 50 µg/ml
Glucose 5% 63
Compatível
injetável Gentamicin sulfate 1.6 mg/ml
injetável Filgrastim 40 µg/ml
Glucose 5% 104
Compatível
injetável Gentamicin sulfate 5 mg/ml
injetável Filgrastim 30 µg/ml
Glucose 5% 244
Incompatibilidade não especificada Incompatível
injetável Gentamicin sulfate
injetável Flucloxacillin sodium
3643
Precipitação imediata Incompatível
injetável Gentamicin sulfate
injetável Flucloxacillin sodium
3522
Compatível
injetável Gentamicin sulfate 1 mg/ml
injetável Fluconazole 2 mg/ml
nenhum 256
Compatível
injetável Gentamicin sulfate 4 mg/ml
injetável Fluconazole 2 mg/ml
cloreto de sódio 0,9% 496
Compatível
injetável Gentamicin sulfate 5 mg/ml
injetável Fludarabine phosphate 1 mg/ml
Glucose 5% 492
Compatível
injetável Gentamicin sulfate 2 mg/ml
injetável Foscarnet sodium 24 mg/ml
cloreto de sódio 0,9% 1135
Compatível
injetável Gentamicin sulfate 2 mg/ml
injetável Foscarnet sodium 24 mg/ml
Glucose 5% 1135
Compatível
injetável Gentamicin sulfate 4 mg/ml
injetável Foscarnet sodium 24 mg/ml
nenhum 73
Compatível
injetável Gentamicin sulfate 10 mg/ml
Ringer lactato 4603
Compatível
injetável Gentamicin sulfate 5 mg/ml
injetável Fosfomycin 30 mg/ml
cloreto de sódio 0,9% 4055
Precipitação imediata Incompatível
injetável Gentamicin sulfate 0,4 mg/ml
Nutrição parenteral (com lípidos) 4440
Compatível
injetável Gentamicin sulfate 40 mg/ml
Nutrição parenteral (com lípidos) 673
Compatível
injetável Gentamicin sulfate 5 mg/ml
injetável Fosfomycin 30 mg/ml
Glucose 5% 4055
Precipitação imediata Incompatível
injetável Gentamicin sulfate 10 mg/ml
injetável Furosemide 10 mg/ml
789
Precipitação imediata Incompatível
injetável Gentamicin sulfate 1,6 mg/ml
injetável Furosemide 0,8 mg/ml
Glucose 5% 367
Precipitação imediata Incompatível
injetável Gentamicin sulfate 1,6 mg/ml
injetável Furosemide 0,8 mg/ml
cloreto de sódio 0,9% 367
Turvação imediata Incompatível
injetável Gentamicin sulfate 6.4 mg/ml
injetável Furosemide 5 mg/ml
805
Precipitação após 2 horas Incompatível
injetável Gentamicin sulfate 8 mg/ml
injetável Furosemide 1 mg/ml
cloreto de sódio 0,9% 1232
Compatível
injetável Gentamicin sulfate 5 mg/ml
injetável Gemcitabine hydrochloride 10 mg/ml
cloreto de sódio 0,9% 1423
Compatível
injetável Gentamicin sulfate 1.5 mg/ml
injetável Granisetron hydrochloride 1 mg/ml
cloreto de sódio 0,9% 57
Compatível
injetável Gentamicin sulfate 1 & 2 mg/ml
injetável Heparin sodium 2500 UI/ml
4612
Precipitação imediata Incompatível
injetável Gentamicin sulfate 4 >> 40 mg/ml
injetável Heparin sodium 10 >> 40 UI/ml
1258
Precipitação imediata Incompatível
injetável Gentamicin sulfate
injetável Heparin sodium
1022
Incompatibilidade não especificada Incompatível
injetável Gentamicin sulfate 2 mg/ml
injetável Heparin sodium 50 UI/ml
nenhum 317
Incompatibilidade não especificada Incompatível
injetável Gentamicin sulfate
injetável Heparin sodium
3643
Incompatibilidade não especificada Incompatível
injetável Gentamicin sulfate
injetável Heparin sodium
3520
Incompatibilidade não especificada Incompatível
injetável Gentamicin sulfate
injetável Heparin sodium
3540
Turvação imediata Incompatível
injetável Gentamicin sulfate 3 mg/ml
injetável Heparin sodium 2500 UI/ml
4612
Precipitação imediata Incompatível
injetável Gentamicin sulfate 4 & 5 mg/ml
injetável Heparin sodium 2500 UI/ml
4612
Compatível
injetável Gentamicin sulfate 5 mg/ml
injetável Hetastarch 60 mg/ml
solvente específico 1721
Precipitação imediata Incompatível
injetável Gentamicin sulfate 0.8 mg/ml
injetável Hetastarch 60 mg/ml
cloreto de sódio 0,9% 472
Compatível
injetável Gentamicin sulfate 0.8 mg/ml
injetável Hydromorphone hydrochloride 0.2 mg/ml
Glucose 5% 405
Mudança de cor Incompatível
injetável Gentamicin sulfate 3 mg/ml
injetável Idarubicin hydrochloride 1 mg/ml
cloreto de sódio 0,9% 491
Precipitação imediata Incompatível
injetável Gentamicin sulfate 1 mg/ml
injetável Indomethacin sodium trihydrate 0,5 & 1 mg/ml
Glucose 5% 494
Precipitação após 15 minutos Incompatível
injetável Gentamicin sulfate 1 mg/ml
injetável Indomethacin sodium trihydrate 0,5 & 1 mg/ml
Glucose 5% 1745
Compatível
injetável Gentamicin sulfate 1.2 >> 2 mg/ml
injetável Insulin 0.2 UI/ml
cloreto de sódio 0,9% 129
Compatível
injetável Gentamicin sulfate 0.8 mg/ml
injetável Iohexol 300 mg I/ml
nenhum 1085
Precipitação imediata Incompatível
injetável Gentamicin sulfate 0.8 mg/ml
injetável Ioxaglate 320 mg I/ml
nenhum 1085
Compatível
injetável Gentamicin sulfate 5 mg/ml
injetável Isavuconazonium sulfate 1.5 mg/ml
Glucose 5% 3829
Compatível
injetável Gentamicin sulfate 5 mg/ml
injetável Isavuconazonium sulfate 1.5 mg/ml
cloreto de sódio 0,9% 3829
Compatível
injetável Gentamicin sulfate 40 mg/ml
injetável Ketamine hydrochloride 50 mg/ml
2109
Compatível
injetável Gentamicin sulfate 0.8 mg/ml
injetável Labetalol hydrochloride 1 mg/ml
Glucose 5% 386
Compatível
injetável Gentamicin sulfate 5 mg/ml
injetável Lansoprazole 0.55 mg/ml
cloreto de sódio 0,9% 1625
Compatível
injetável Gentamicin sulfate 10 mg/ml
injetável Levofloxacine 5 mg/ml
Glucose 5% 1072
Compatível
injetável Gentamicin sulfate 0,75 mg/ml
injetável Linezolid 1,80 mg/ml
2353
Compatível
injetável Gentamicin sulfate 5 mg/ml
injetável Linezolid 2 mg/ml
nenhum 1925
Compatível
injetável Gentamicin sulfate 3 mg/ml
injetável Lorazepam 0.33 mg/ml
cloreto de sódio 0,9% 186
Compatível
injetável Gentamicin sulfate 0.8 mg/ml
injetável Magnesium sulfate 16.67 >> 100 mg/ml
Glucose 5% 1047
Compatível
injetável Gentamicin sulfate 5 mg/ml
injetável Melphalan 0.1 mg/ml
cloreto de sódio 0,9% 169
Compatível
injetável Gentamicin sulfate 40 mg/ml
injetável Meropenem 50 mg/ml
Agua para injectaveis 4319
Compatível
injetável Gentamicin sulfate 0.8 mg/ml
injetável Meropenem 1 & 20 mg/ml
cloreto de sódio 0,9% 266
Compatível
injetável Gentamicin sulfate 4 mg/ml
injetável Meropenem 1 & 50 mg/ml
cloreto de sódio 0,9% 266
Compatível
injetável Gentamicin sulfate 30 mg/ml
injetável Meropenem 10 mg/ml
cloreto de sódio 0,9% 2335
Compatível
injetável Gentamicin sulfate 0,8 & 1,2 mg/ml
injetável Metronidazole 5 mg/ml
nenhum 1243
Compatível
injetável Gentamicin sulfate 0.8 mg/ml
injetável Metronidazole 5 mg/ml
nenhum 1035
Compatível
injetável Gentamicin sulfate
injetável Metronidazole
3594
Compatível
injetável Gentamicin sulfate 3 mg/ml
injetável Midazolam hydrochloride 5 mg/ml
nenhum 186
Compatível
injetável Gentamicin sulfate 10 mg/ml
injetável Midazolam hydrochloride 1 mg/ml
Glucose 5% 176
Compatível
injetável Gentamicin sulfate 0.8 mg/ml
injetável Midazolam hydrochloride 0.05 >> 0.4 mg/ml
cloreto de sódio 0,9% 1888
Incompatibilidade não especificada Incompatível
injetável Gentamicin sulfate
injetável Mitomycin
4471
Instabilidade química Incompatível
injetável Gentamicin sulfate
injetável Mitomycin
3128
Compatível
injetável Gentamicin sulfate 1.2 & 2 mg/ml
injetável Morphine sulfate 1 mg/ml
cloreto de sódio 0,9% 406
Compatível
injetável Gentamicin sulfate 0.8 mg/ml
injetável Morphine sulfate 1 mg/ml
Glucose 5% 405
Incompatibilidade não especificada Incompatível
injetável Gentamicin sulfate
injetável Moxalactam
3643
Incompatibilidade não especificada Incompatível
injetável Gentamicin sulfate
injetável Moxalactam
3520
Compatível
injetável Gentamicin sulfate 40 mg/ml
injetável N-acetylcysteine 200 mg/ml
nenhum 3766
Incompatibilidade não especificada Incompatível
injetável Gentamicin sulfate
injetável Nadroparin
3643
Incompatibilidade não especificada Incompatível
injetável Gentamicin sulfate
injetável Nafcillin sodium
3643
Incompatibilidade não especificada Incompatível
injetável Gentamicin sulfate
injetável Nafcillin sodium
3520
Compatível
injetável Gentamicin sulfate 40 mg/ml
injetável Naloxone hydrochloride 0.4 mg/ml
nenhum 3408
Compatível
injetável Gentamicin sulfate 4.17 mg/ml
injetável Nefopam 0.16 mg/ml
cloreto de sódio 0,9% 4254
Compatível
injetável Gentamicin sulfate 4.17 mg/ml
injetável Nefopam 0.16 mg/ml
Glucose 5% 4254
Compatível
injetável Gentamicin sulfate 0.8 mg/ml
injetável Nicardipine hydrochloride 0.1 mg/ml
Glucose 5% 1490
Compatível
injetável Gentamicin sulfate 0.8 mg/ml
injetável Nicardipine hydrochloride 0.1 mg/ml
cloreto de sódio 0,9% 1490
Compatível
injetável Gentamicin sulfate 0,8 mg/ml
injetável Ofloxacin 2 mg/ml
nenhum 889
Compatível
injetável Gentamicin sulfate 5 mg/ml
injetável Ondansetron hydrochloride 1 mg/ml
cloreto de sódio 0,9% 334
Compatível
injetável Gentamicin sulfate 5 mg/ml
injetável Oritavancin 0.8 >>2 mg/ml
Glucose 5% 3152
Incompatibilidade não especificada Incompatível
injetável Gentamicin sulfate
injetável Oxacillin sodium
3643
Incompatibilidade não especificada Incompatível
injetável Gentamicin sulfate
injetável Oxacillin sodium
3520
Compatível
injetável Gentamicin sulfate 40 mg/ml
injetável Oxycodone hydrochloride 1 mg/ml
cloreto de sódio 0,9% 4842
Compatível
injetável Gentamicin sulfate 5 mg/ml
injetável Paclitaxel 1.2 mg/ml
Glucose 5% 248
Compatível
injetável Gentamicin sulfate 5 mg/ml
injetável Palonosetron hydrochloride 50 µg/ml
Glucose 5% 2228
Compatível
injetável Gentamicin sulfate 2 mg/ml
injetável Pancuronium bromide 0.05 mg/ml
Glucose 5% 402
Precipitação imediata Incompatível
injetável Gentamicin sulfate
injetável Pantoprazole sodium
2090
Compatível
injetável Gentamicin sulfate 40 mg/ml
injetável Paracetamol 10 mg/ml
4742
Precipitação imediata Incompatível
injetável Gentamicin sulfate 5 mg/ml
injetável Pemetrexed disodium 20 mg/ml
1953
Incompatibilidade não especificada Incompatível
injetável Gentamicin sulfate
injetável Penicillin G potassium
3643
Incompatibilidade não especificada Incompatível
injetável Gentamicin sulfate
injetável Penicillin G potassium
3520
Incompatibilidade não especificada Incompatível
injetável Gentamicin sulfate
injetável Penicillin G sodium
3643
Incompatibilidade não especificada Incompatível
injetável Gentamicin sulfate
injetável Penicillin G sodium
3520
Compatível
injetável Gentamicin sulfate 10 mg/ml
injetável Pentoxifyllin 5 mg/ml
cloreto de sódio 0,9% 4543
Compatível
injetável Gentamicin sulfate 0.8 mg/ml
injetável Pethidine hydrochloride 10 mg/ml
Glucose 5% 405
Precipitação imediata Incompatível
injetável Gentamicin sulfate 10 mg/ml
injetável Phenytoin sodium 50 mg/ml
789
Compatível
injetável Gentamicin sulfate 20 mg/ml
injetável Phloroglucinol 2,5 mg/ml
3791
Incompatibilidade não especificada Incompatível
injetável Gentamicin sulfate
injetável Piperacillin sodium
3520
Incompatibilidade não especificada Incompatível
injetável Gentamicin sulfate
injetável Piperacillin sodium
3643
Incompatibilidade não especificada Incompatível
injetável Gentamicin sulfate
injetável Piperacillin sodium / tazobactam
3520
Instabilidade química Incompatível
injetável Gentamicin sulfate
injetável Piperacillin sodium / tazobactam
3586
Incompatibilidade não especificada Incompatível
injetável Gentamicin sulfate
injetável Piperacillin sodium / tazobactam
3643
Compatível
injetável Gentamicin sulfate
injetável Posaconazole
4380
Compatível
injetável Gentamicin sulfate 30 mg/ml
injetável Potassium chloride 20 mEq/l
NaCl 0,45% Glucose 5% 2335
Instabilidade imediata da emulsão Incompatível
injetável Gentamicin sulfate 2 mg/ml
injetável Propofol
660
Incompatibilidade não especificada Incompatível
injetável Gentamicin sulfate 40 mg/ml
injetável Propofol
4524
Precipitação imediata Incompatível
injetável Gentamicin sulfate 5 mg/ml
injetável Propofol 10 mg/ml
nenhum 300
Compatível
injetável Gentamicin sulfate 5 mg/ml
injetável Remifentanil hydrochloride 25 & 250 µg/ml
cloreto de sódio 0,9% 59
Compatível
injetável Gentamicin sulfate 40 mg/ml
injetável Salbutamol sulfate 1 mg/ml
nenhum 3216
Compatível
injetável Gentamicin sulfate 5 mg/ml
injetável Sargramostim 10 µg/ml
cloreto de sódio 0,9% 335
Compatível
injetável Gentamicin sulfate 10 mg/ml
injetável Sildenafil citrate 0,6 mg/ml
Glucose 5% 4845
Compatível
injetável Gentamicin sulfate 2,4 mg/ml
injetável Sodium bicarbonate 40 mg/ml
nenhum 3122
Produção de bolhas de gás Incompatível
injetável Gentamicin sulfate
injetável Sodium bicarbonate
3643
Compatível
injetável Gentamicin sulfate 2.5 mg/ml
injetável Sodium citrate 40 mg/ml
Agua para injectaveis 3952
Compatível
injetável Gentamicin sulfate 40 mg/ml
injetável Sugammadex 100 mg/ml
nenhum 3372
Compatível
injetável Gentamicin sulfate 5 mg/ml
injetável Sulbactam/durlobactam 15/15 mg/ml
cloreto de sódio 0,9% 4801
Compatível
injetável Gentamicin sulfate 4 mg/ml
injetável Tacrolimus 1000 µg/ml
cloreto de sódio 0,9% 479
Compatível
injetável Gentamicin sulfate
cloreto de sódio 0,9% 1704
Compatível
injetável Gentamicin sulfate
cloreto de sódio 0,9% 434
Incompatibilidade não especificada Incompatível
injetável Gentamicin sulfate
injetável Sodium bicarbonate
3520
Compatível
injetável Gentamicin sulfate 1 >> 5 mg/ml
injetável Sodium citrate 40 mg/ml
nenhum 2019
Turvação imediata Incompatível
injetável Gentamicin sulfate 5 mg/ml
injetável Tedizolid phosphate 0.8 mg/ml
cloreto de sódio 0,9% 3827
Incompatibilidade não especificada Incompatível
injetável Gentamicin sulfate
injetável Teicoplanine
3656
Compatível
injetável Gentamicin sulfate 5 mg/ml
injetável Telavancin hydrochloride 7.5 mg/ml
Ringer lactato 3254
Compatível
injetável Gentamicin sulfate 5 mg/ml
injetável Telavancin hydrochloride 7.5 mg/ml
cloreto de sódio 0,9% 3254
Compatível
injetável Gentamicin sulfate 5 mg/ml
injetável Telavancin hydrochloride 7.5 mg/ml
Glucose 5% 3254
Compatível
injetável Gentamicin sulfate 6 mg/ml
injetável Temocilline 83.33 mg/ml
Agua para injectaveis 2231
Incompatibilidade não especificada Incompatível
injetável Gentamicin sulfate
injetável Temocilline
3643
Incompatibilidade não especificada Incompatível
injetável Gentamicin sulfate
injetável Temocilline
3520
Incompatibilidade não especificada Incompatível
injetável Gentamicin sulfate
injetável Temocilline
2296
Compatível
injetável Gentamicin sulfate 5 mg/ml
injetável Teniposide 0.1 mg/ml
Glucose 5% 905
Compatível
injetável Gentamicin sulfate 2 mg/ml
injetável Theophylline 4 mg/ml
nenhum 317
Precipitação imediata Incompatível
injetável Gentamicin sulfate 40 mg/ml
injetável Thiopental sodium 25 mg/ml
cloreto de sódio 0,9% 3767
Compatível
injetável Gentamicin sulfate 5 mg/ml
injetável Thiotepa 1 mg/ml
Glucose 5% 249
Instabilidade química Incompatível
injetável Gentamicin sulfate
injetável Ticarcillin / clavulanic acid
3587
Incompatibilidade não especificada Incompatível
injetável Gentamicin sulfate
injetável Ticarcillin / clavulanic acid
3643
Incompatibilidade não especificada Incompatível
injetável Gentamicin sulfate
injetável Ticarcillin / clavulanic acid
3520
Compatível
injetável Gentamicin sulfate
injetável Tigecycline
cloreto de sódio 0,9% 3332
Compatível
injetável Gentamicin sulfate 6 mg/ml
injetável Vancomycin hydrochloride 10 mg/ml
Glucose 5% 3385
Compatível
injetável Gentamicin sulfate 1.2 mg/ml
injetável Vasopressin 0.2 UI/ml
cloreto de sódio 0,9% 2017
Compatível
injetável Gentamicin sulfate 2 mg/ml
injetável Vecuronium bromide 0.1 mg/ml
Glucose 5% 402
Compatível
injetável Gentamicin sulfate 0.16 mg/ml
injetável Verapamil hydrochloride 0.08 mg/ml
Glucose 5% 1057
Compatível
injetável Gentamicin sulfate 0.16 mg/ml
injetável Verapamil hydrochloride 0.08 mg/ml
cloreto de sódio 0,9% 1057
Compatível
injetável Gentamicin sulfate 5 mg/ml
injetável Vinorelbine tartrate 1 mg/ml
cloreto de sódio 0,9% 84
Turvação imediata Incompatível
injetável Gentamicin sulfate 1.6 mg/ml
injetável Warfarin sodium 2 mg/ml
Glucose 5% 315
Compatível
injetável Gentamicin sulfate 2 mg/ml
injetável Zidovudine 4 mg/ml
Glucose 5% 337

  Mentions Légales