Senaste uppdateringen :
27/04/2026
Antibiotikum   Gentamicin sulfate  
injektion
ögondroppar
Lösningars stabilitet Stabilitet i blandningar Faktorer som påverkar stabiliteten Kompatibilitet Administreringssätt Hänvisningar pdf
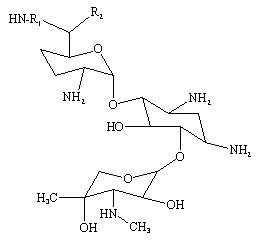
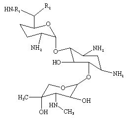
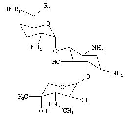
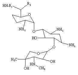
   Molekylstruktur  

Varunamn   Varunamn     

Angivna handelsnamn på läkemedel är enbart vägledande då formulering inklusive hjälpämnen kan variera mellan länder och tillverkare

Azupel Peru
Cidomycin Egypten, Storbritannien, Tunisien
Dabroson Grekland
Epigent Egypten
Garalone Portugal
Garamicina Brasilien, Colombia, Ecuador, Mexiko
Garamycin Danmark, Egypten, Förenade Arabemiraten, Grekland, Indien, Kroatien, Nederländerna, Norge, Polen, Schweiz
Genmisin Turkiet
Gensif Turkiet
Gensumycin Finland, Norge, Sverige
Genta-Gobens Spanien
Gentalline Marocko
Gentamen Marocko
Genticin Förenade Arabemiraten, Irland, Storbritannien
Gentreks Turkiet
Hexamycin Danmark
Plurisemina Argentina
Refobacin Colombia, Egypten, Österrike, Tyskland
Rupegen Argentina
Kompatibilitet   injektion   Kompatibilitet : Gentamicin sulfate              
Den här skärmen visar kompatibiliteten eller inkompatibiliteten med, i detta fall, typen av inkompatibilitet (utfällning, färgförändring, modifiering av en emulsion, etc.). De kompatibiliteter som visas här är oftast endast fysiska, varvid den kemiska stabiliteten för varje molekyl sällan utvärderas. Utvärderingen av dessa blandningar studerades för att överväga möjligheten för Y-platsadministrering till patienten. Dessa data kan inte användas för att göra blandningar i förväg i påsar eller sprutor. Denna typ av information finns på skärmen "Stabilitet i blandning".
Substans Lösningsmedel Hänvisningar
Kompatibel
injektion Gentamicin sulfate 1.6 mg/ml
injektion Aciclovir sodium 5 mg/ml
Glukos 5 % 336
Omedelbar nederbörd Oförenlig
injektion Gentamicin sulfate 30 mg/ml
injektion Aciclovir sodium 5 mg/ml
Natriumklorid 0,9 % 2335
Utfällning efter 1 timme Oförenlig
injektion Gentamicin sulfate 5 mg/ml
injektion Allopurinol sodium 3 mg/ml
Natriumklorid 0,9 % 307
Kompatibel
injektion Gentamicin sulfate 1 mg/ml
injektion Alprostadil 15 µg/ml
3201
Kompatibel
injektion Gentamicin sulfate 5 mg/ml
injektion Amifostine 10 mg/ml
Glukos 5 % 3
Kompatibel
injektion Gentamicin sulfate 0.8 mg/ml
injektion Amiodarone hydrochloride 4 mg/ml
Natriumklorid 0,9 % 385
Kompatibel
injektion Gentamicin sulfate 0.8 mg/ml
injektion Amiodarone hydrochloride 4 mg/ml
Glukos 5 % 385
Ospecificerad inkompatibilitet Oförenlig
injektion Gentamicin sulfate
injektion Amoxicillin sodium
3643
Ospecificerad inkompatibilitet Oförenlig
injektion Gentamicin sulfate
injektion Amoxicillin sodium
3520
Kemisk instabilitet Oförenlig
injektion Gentamicin sulfate
injektion Amoxicillin sodium
3527
Ospecificerad inkompatibilitet Oförenlig
injektion Gentamicin sulfate
injektion Amoxicillin sodium / clavulanic acid
3643
Ospecificerad inkompatibilitet Oförenlig
injektion Gentamicin sulfate
injektion Amoxicillin sodium / clavulanic acid
3545
Ospecificerad inkompatibilitet Oförenlig
injektion Gentamicin sulfate
injektion Amoxicillin sodium / clavulanic acid
3520
Kompatibel
injektion Gentamicin sulfate 40 mg/ml
injektion Amoxicillin sodium / clavulanic acid 100/10 mg/ml
3824
Omedelbar nederbörd Oförenlig
injektion Gentamicin sulfate 5 mg/ml
injektion Amphotericin B cholesteryl sulfate complex 0,83 mg/ml
Glukos 5 % 921
Ospecificerad inkompatibilitet Oförenlig
injektion Gentamicin sulfate
injektion Ampicillin sodium
3643
Ospecificerad inkompatibilitet Oförenlig
injektion Gentamicin sulfate
injektion Ampicillin sodium
3520
Ospecificerad inkompatibilitet Oförenlig
injektion Gentamicin sulfate
injektion Ampicillin sodium - sulbactam sodium
3643
Ospecificerad inkompatibilitet Oförenlig
injektion Gentamicin sulfate
injektion Ampicillin sodium - sulbactam sodium
3520
Kompatibel
injektion Gentamicin sulfate 5 mg/ml
injektion Amsacrine 1 mg/ml
Glukos 5 % 253
Kompatibel
injektion Gentamicin sulfate 5 mg/ml
injektion Anidulafungin 0.5 mg/ml
Glukos 5 % 1982
Kompatibel
injektion Gentamicin sulfate 0,8 mg/ml
injektion Atosiban 0,75 mg/ml
4642
Kompatibel
injektion Gentamicin sulfate 2 mg/ml
injektion Atracurium besylate 0.5 mg/ml
Glukos 5 % 402
Omedelbar nederbörd Oförenlig
injektion Gentamicin sulfate 21 mg/ml
injektion Azithromycine 2 mg/ml
Natriumklorid 0,9 % 1800
Kompatibel
injektion Gentamicin sulfate 5 mg/ml
injektion Aztreonam 40 mg/ml
Glukos 5 % 99
Kompatibel
injektion Gentamicin sulfate 0.2 & 0.8 mg/ml
injektion Aztreonam 10 & 20 mg/ml
Natriumklorid 0,9 % 19
Kompatibel
injektion Gentamicin sulfate 0.2 & 0.8 mg/ml
injektion Aztreonam 10 & 20 mg/ml
Glukos 5 % 19
Kompatibel
injektion Gentamicin sulfate 5 mg/ml
injektion Bivalirudin 5 mg/ml
Glukos 5 % 1713
Kompatibel
injektion Gentamicin sulfate 10 mg/ml
injektion Caffeine 10 mg/ml
Ingen 3964
Kompatibel
injektion Gentamicin sulfate 10 mg/ml
injektion Caffeine 10 mg/ml
Natriumklorid 0,9 % 4837
Kompatibel
injektion Gentamicin sulfate 10 mg/ml
injektion Caffeine citrate 20 mg/ml
Natriumklorid 0,9 % 4837
Ospecificerad inkompatibilitet Oförenlig
injektion Gentamicin sulfate
injektion Calcium gluconate
3644
Oförenlig
injektion Gentamicin sulfate
injektion Calcium gluconate
4964
Kompatibel
injektion Gentamicin sulfate 5 mg/ml
injektion Caspofungin acetate 0,7 mg/ml
Natriumklorid 0,9 % 2247
Ospecificerad inkompatibilitet Oförenlig
injektion Gentamicin sulfate
injektion Cefalotin sodium
3520
Ospecificerad inkompatibilitet Oförenlig
injektion Gentamicin sulfate
injektion Cefalotin sodium
3643
Omedelbar nederbörd Oförenlig
injektion Gentamicin sulfate
injektion Cefamandole nafate 2 >> 100 mg/ml
Glukos 5 % 612
Ospecificerad inkompatibilitet Oförenlig
injektion Gentamicin sulfate
injektion Cefamandole nafate
3643
Ospecificerad inkompatibilitet Oförenlig
injektion Gentamicin sulfate
injektion Cefamandole nafate
3520
Ospecificerad inkompatibilitet Oförenlig
injektion Gentamicin sulfate
injektion Cefamandole nafate
3546
Omedelbar nederbörd Oförenlig
injektion Gentamicin sulfate
injektion Cefamandole nafate 2 >> 100 mg/ml
Natriumklorid 0,9 % 612
Ospecificerad inkompatibilitet Oförenlig
injektion Gentamicin sulfate
injektion Cefazolin sodium
3520
Ospecificerad inkompatibilitet Oförenlig
injektion Gentamicin sulfate
injektion Cefazolin sodium
3643
Ospecificerad inkompatibilitet Oförenlig
injektion Gentamicin sulfate
injektion Cefepime dihydrochloride
3520
Kompatibel
injektion Gentamicin sulfate 6 mg/ml
injektion Cefepime dihydrochloride 125 mg/ml
Vatten för injektion 2141
Ospecificerad inkompatibilitet Oförenlig
injektion Gentamicin sulfate
injektion Cefepime dihydrochloride
3548
Ospecificerad inkompatibilitet Oförenlig
injektion Gentamicin sulfate
injektion Cefepime dihydrochloride
3643
Kompatibel
injektion Gentamicin sulfate 5 mg/ml
injektion Cefiderocol sulfate tosylate 20 mg/mL
Glukos 5 % 4528
Kompatibel
injektion Gentamicin sulfate 5 mg/ml
injektion Cefiderocol sulfate tosylate 20 mg/mL
Natriumklorid 0,9 % 4528
Ospecificerad inkompatibilitet Oförenlig
injektion Gentamicin sulfate
injektion Cefmenoxime
3520
Ospecificerad inkompatibilitet Oförenlig
injektion Gentamicin sulfate
injektion Cefmenoxime
3643
Ospecificerad inkompatibilitet Oförenlig
injektion Gentamicin sulfate
injektion Cefmetazole sodium
3520
Ospecificerad inkompatibilitet Oförenlig
injektion Gentamicin sulfate
injektion Cefmetazole sodium
3643
Ospecificerad inkompatibilitet Oförenlig
injektion Gentamicin sulfate
injektion Cefonicid sodium
3643
Ospecificerad inkompatibilitet Oförenlig
injektion Gentamicin sulfate
injektion Cefonicid sodium
3520
Ospecificerad inkompatibilitet Oförenlig
injektion Gentamicin sulfate
injektion Cefoperazone sodium
3544
Ospecificerad inkompatibilitet Oförenlig
injektion Gentamicin sulfate
injektion Cefoperazone sodium
3643
Omedelbar nederbörd Oförenlig
injektion Gentamicin sulfate 0.8 mg/ml
injektion Cefoperazone sodium 10 mg/ml
Glukos 5 % 1206
Ospecificerad inkompatibilitet Oförenlig
injektion Gentamicin sulfate
injektion Cefoperazone sodium
3520
Ospecificerad inkompatibilitet Oförenlig
injektion Gentamicin sulfate
injektion Ceforanide
3643
Ospecificerad inkompatibilitet Oförenlig
injektion Gentamicin sulfate
injektion Ceforanide
3520
Ospecificerad inkompatibilitet Oförenlig
injektion Gentamicin sulfate
injektion Cefotaxime sodium
3520
Ospecificerad inkompatibilitet Oförenlig
injektion Gentamicin sulfate
injektion Cefotaxime sodium
3643
Ospecificerad inkompatibilitet Oförenlig
injektion Gentamicin sulfate
injektion Cefoxitin sodium
3643
Ospecificerad inkompatibilitet Oförenlig
injektion Gentamicin sulfate
injektion Cefoxitin sodium
3520
Kompatibel
injektion Gentamicin sulfate 1 mg/ml
injektion Cefpirome sulfate 50 mg/ml
Natriumklorid 0,9 % 280
Kompatibel
injektion Gentamicin sulfate 1 mg/ml
injektion Cefpirome sulfate 50 mg/ml
Ringer-laktatlösning 280
Kompatibel
injektion Gentamicin sulfate 1 mg/ml
injektion Cefpirome sulfate 50 mg/ml
Natriumklorid 0,45 % 280
Ospecificerad inkompatibilitet Oförenlig
injektion Gentamicin sulfate
injektion Cefpirome sulfate
3643
Ospecificerad inkompatibilitet Oförenlig
injektion Gentamicin sulfate
injektion Cefpirome sulfate
3677
Kompatibel
injektion Gentamicin sulfate 1 mg/ml
injektion Cefpirome sulfate 50 mg/ml
Glukos 5 % 280
Ospecificerad inkompatibilitet Oförenlig
injektion Gentamicin sulfate
injektion Cefpirome sulfate
3520
Kompatibel
injektion Gentamicin sulfate 5 mg/ml
injektion Ceftaroline fosamil 2,22 mg/ml
Natriumklorid 0,9 % 3249
Kompatibel
injektion Gentamicin sulfate 5 mg/ml
injektion Ceftaroline fosamil 2,22 mg/ml
Ringer-laktatlösning 3249
Kompatibel
injektion Gentamicin sulfate 5 mg/ml
injektion Ceftaroline fosamil 2,22 mg/ml
Glukos 5 % 3249
Ospecificerad inkompatibilitet Oförenlig
injektion Gentamicin sulfate
injektion Ceftaroline fosamil
3643
Ospecificerad inkompatibilitet Oförenlig
injektion Gentamicin sulfate
injektion Ceftaroline fosamil
3520
Ospecificerad inkompatibilitet Oförenlig
injektion Gentamicin sulfate
injektion Ceftazidime
3543
Ospecificerad inkompatibilitet Oförenlig
injektion Gentamicin sulfate
injektion Ceftazidime
3520
Ospecificerad inkompatibilitet Oförenlig
injektion Gentamicin sulfate
injektion Ceftazidime
3643
Kompatibel
injektion Gentamicin sulfate 6 mg/ml
injektion Ceftazidime 125 mg/ml
Vatten för injektion 2141
Kompatibel
injektion Gentamicin sulfate 6 mg/ml
injektion Ceftazidime 83.3 mg/ml
1759
Ospecificerad inkompatibilitet Oförenlig
injektion Gentamicin sulfate
injektion Ceftazidime
3883
Ospecificerad inkompatibilitet Oförenlig
injektion Gentamicin sulfate
injektion Ceftazidime Avibactam
3520
Ospecificerad inkompatibilitet Oförenlig
injektion Gentamicin sulfate
injektion Ceftazidime Avibactam
3643
Ospecificerad inkompatibilitet Oförenlig
injektion Gentamicin sulfate
injektion Ceftizoxime sodium
3643
Ospecificerad inkompatibilitet Oförenlig
injektion Gentamicin sulfate
injektion Ceftizoxime sodium
3520
Ospecificerad inkompatibilitet Oförenlig
injektion Gentamicin sulfate
injektion Ceftobiprole medocaril sodium
3643
Ospecificerad inkompatibilitet Oförenlig
injektion Gentamicin sulfate
injektion Ceftobiprole medocaril sodium
4650
Omedelbar nederbörd Oförenlig
injektion Gentamicin sulfate 5 mg/ml
injektion Ceftobiprole medocaril sodium 2 mg/ml
Glukos 5 % 2269
Omedelbar nederbörd Oförenlig
injektion Gentamicin sulfate 5 mg/ml
injektion Ceftobiprole medocaril sodium 2 mg/ml
Ringer-laktatlösning 2269
Omedelbar nederbörd Oförenlig
injektion Gentamicin sulfate 5 mg/ml
injektion Ceftobiprole medocaril sodium 2 mg/ml
Natriumklorid 0,9 % 2269
Ospecificerad inkompatibilitet Oförenlig
injektion Gentamicin sulfate
injektion Ceftobiprole medocaril sodium
3520
Kompatibel
injektion Gentamicin sulfate 5 mg/ml
injektion Ceftolozane / tazobactam 10/5 mg/ml
Glukos 5 % 3828
Ospecificerad inkompatibilitet Oförenlig
injektion Gentamicin sulfate
injektion Ceftolozane / tazobactam
3643
Ospecificerad inkompatibilitet Oförenlig
injektion Gentamicin sulfate
injektion Ceftolozane / tazobactam
3520
Kompatibel
injektion Gentamicin sulfate 5 mg/ml
injektion Ceftolozane / tazobactam 10/5 mg/ml
Natriumklorid 0,9 % 3828
Ospecificerad inkompatibilitet Oförenlig
injektion Gentamicin sulfate
injektion Ceftriaxone disodium
3523
Ospecificerad inkompatibilitet Oförenlig
injektion Gentamicin sulfate
injektion Ceftriaxone disodium
3643
Ospecificerad inkompatibilitet Oförenlig
injektion Gentamicin sulfate
injektion Ceftriaxone disodium
3520
Ospecificerad inkompatibilitet Oförenlig
injektion Gentamicin sulfate
injektion Cefuroxime sodium
3643
Ospecificerad inkompatibilitet Oförenlig
injektion Gentamicin sulfate
injektion Cefuroxime sodium
3520
Ospecificerad inkompatibilitet Oförenlig
injektion Gentamicin sulfate
injektion Cefuroxime sodium
3687
Ospecificerad inkompatibilitet Oförenlig
injektion Gentamicin sulfate
injektion Cefuzonam
3520
Kompatibel
injektion Gentamicin sulfate 0.8 mg/ml
injektion Cimetidine hydrochloride 3 mg/ml
Glukos 5 % 1201
Kompatibel
injektion Gentamicin sulfate 0.08 mg/ml
injektion Cimetidine hydrochloride 1.2 & 5 mg/ml
Natriumklorid 0,9 % 1201
Kompatibel
injektion Gentamicin sulfate 0.08 mg/ml
injektion Cimetidine hydrochloride 1.2 & 5 mg/ml
Glukos 5 % 1201
Kompatibel
injektion Gentamicin sulfate 10 mg/ml
injektion Ciprofloxacin lactate 2 mg/ml
Natriumklorid 0,9 % 289
Kompatibel
injektion Gentamicin sulfate 1.6 mg/ml
injektion Ciprofloxacin lactate 2 mg/ml
Glukos 5 % 285
Kompatibel
injektion Gentamicin sulfate 5 mg/ml
injektion Cisatracurium besylate 0.1 >> 5 mg/ml
Glukos 5 % 299
Kemisk instabilitet Oförenlig
injektion Gentamicin sulfate
injektion Cisplatin
3578
Kompatibel
injektion Gentamicin sulfate 12 mg/ml
injektion Clindamycin phosphate 90 mg/ml
Natriumklorid 0,9 % 639
Kompatibel
injektion Gentamicin sulfate 0.67 mg/ml
injektion Clindamycin phosphate 6 mg/ml
Glukos 5 % 423
Kompatibel
injektion Gentamicin sulfate
Glukos 5 % 434
Ospecificerad inkompatibilitet Oförenlig
injektion Gentamicin sulfate
injektion Cefuzonam
3643
Kompatibel
injektion Gentamicin sulfate 1 mg/ml
injektion Ciprofloxacin lactate 1.5 mg/ml
Natriumklorid 0,9 % 434
Kompatibel
injektion Gentamicin sulfate 1.6 mg/ml
injektion Ciprofloxacin lactate 2 mg/ml
Glukos 5 % 288
Kompatibel
injektion Gentamicin sulfate 1.6 mg/ml
injektion Ciprofloxacin lactate 2 mg/ml
Natriumklorid 0,9 % 288
Kompatibel
injektion Gentamicin sulfate 1 mg/ml
injektion Ciprofloxacin lactate 1.5 mg/ml
Glukos 5 % 434
Kompatibel
injektion Gentamicin sulfate
injektion Clindamycin phosphate
Natriumklorid 0,9 % 3526
Omedelbar nederbörd Oförenlig
injektion Gentamicin sulfate 40 mg/ml
injektion Cloxacillin sodium 100 mg/ml
Vatten för injektion 3012
Kompatibel
injektion Gentamicin sulfate 15 mg/ml
injektion Cytarabine 16 mg/ml
Natriumklorid 0,9 % 132
Oförenlig
injektion Gentamicin sulfate 2 & 10 mg/ml
Parenteral nutrition (med lipider) 4924
Kompatibel
injektion Gentamicin sulfate
injektion Clindamycin phosphate
Glukos 5 % 3526
Ospecificerad inkompatibilitet Oförenlig
injektion Gentamicin sulfate
injektion Cloxacillin sodium
3520
Ospecificerad inkompatibilitet Oförenlig
injektion Gentamicin sulfate
injektion Cytarabine
3580
Kompatibel
injektion Gentamicin sulfate 1,5 mg/ml
injektion Daptomycin 19,2 mg/ml
Natriumklorid 0,9 % 1937
Kompatibel
injektion Gentamicin sulfate 0,05 mg/ml
Parenteral nutrition (binär blandning) 4445
Ospecificerad inkompatibilitet Oförenlig
injektion Gentamicin sulfate
injektion Cloxacillin sodium
3643
Emulsionens instabilitet efter 4 timmar Oförenlig
injektion Gentamicin sulfate 2 mg/ml
Parenteral nutrition (med lipider) 4507
Ospecificerad inkompatibilitet Oförenlig
injektion Gentamicin sulfate
injektion Dalteparin sodium
3643
Kompatibel
injektion Gentamicin sulfate
injektion Daptomycin
2271
Kompatibel
injektion Gentamicin sulfate 10 mg/ml
Parenteral nutrition (binär blandning) 316
Kompatibel
injektion Gentamicin sulfate
injektion Dimenhydrinate
2087
Kompatibel
injektion Gentamicin sulfate 10 & 40 mg/ml
Parenteral nutrition (binär blandning) 999
Subvisuell inkompatibilitet Oförenlig
injektion Gentamicin sulfate
injektion Daunorubicin/cytarabine liposomale
4354
Kompatibel
injektion Gentamicin sulfate 1 mg/ml
Parenteral nutrition (binär blandning) 939
Omedelbar grumlighet Oförenlig
injektion Gentamicin sulfate
injektion Daunorubicin/cytarabine liposomale 0,4 mg/mL
Natriumklorid 0,9 % 4654
Kompatibel
injektion Gentamicin sulfate 0.8 mg/ml
injektion Diatrizoate meglumine 283 mg/ml
Ingen 1085
Kompatibel
injektion Gentamicin sulfate 2.4 & 40 mg/ml
injektion Diltiazem hydrochloride 5 mg/ml
Natriumklorid 0,9 % 198
Kompatibel
injektion Gentamicin sulfate 5 mg/ml
injektion Docetaxel 0.9 mg/ml
Glukos 5 % 1754
Ospecificerad inkompatibilitet Oförenlig
injektion Gentamicin sulfate
injektion Dopamine hydrochloride
3638
Kompatibel
injektion Gentamicin sulfate 5 mg/ml
Parenteral nutrition (binär blandning) 301
Kompatibel
injektion Gentamicin sulfate 5 mg/ml
injektion Doripenem 5 mg/ml
Natriumklorid 0,9 % 2262
Ospecificerad inkompatibilitet Oförenlig
injektion Gentamicin sulfate
NaHCO3 3520
Kompatibel
injektion Gentamicin sulfate 2 mg/ml
injektion Dopamine hydrochloride 0.8 mg/ml
Glukos 5 % 738
Produktion av gasbubblor Oförenlig
injektion Gentamicin sulfate
NaHCO3 3643
Kompatibel
injektion Gentamicin sulfate 5 mg/ml
injektion Dexmedetomidine 4 µg/ml
Natriumklorid 0,9 % 1712
Kompatibel
injektion Gentamicin sulfate 5 mg/ml
injektion Doripenem 5 mg/ml
Glukos 5 % 2262
Kompatibel
injektion Gentamicin sulfate 5 mg/ml
Parenteral nutrition (med lipider) 1415
Kompatibel
injektion Gentamicin sulfate 10 mg/ml
injektion Doxapram hydrochloride 2 mg/ml
Glukos 5 % 1802
Kompatibel
injektion Gentamicin sulfate 5 mg/ml
injektion Doxorubicin hydrochloride liposome peg 0.4 mg/ml
Glukos 5 % 251
Kompatibel
injektion Gentamicin sulfate 0.8 mg/ml
injektion Enalaprilate 0.05 mg/ml
Natriumklorid 0,9 % 1315
Ospecificerad inkompatibilitet Oförenlig
injektion Gentamicin sulfate
injektion Enoxaparin sodium
3643
Kompatibel
injektion Gentamicin sulfate 5 mg/ml
injektion Eravacycline 0,6 mg/ml
Natriumklorid 0,9 % 4434
Ospecificerad inkompatibilitet Oförenlig
injektion Gentamicin sulfate
injektion Erythromycin lactobionate
3674
Ospecificerad inkompatibilitet Oförenlig
injektion Gentamicin sulfate
injektion Erythromycin lactobionate
3520
Ospecificerad inkompatibilitet Oförenlig
injektion Gentamicin sulfate
injektion Erythromycin lactobionate
3643
Kompatibel
injektion Gentamicin sulfate 0,8 mg/ml
injektion Esmolol hydrochloride 10 mg/ml
Glukos 5 % 384
Kompatibel
injektion Gentamicin sulfate 5 mg/ml
injektion Etoposide phosphate 5 mg/ml
Glukos 5 % 1410
Kompatibel
injektion Gentamicin sulfate 5 mg/ml
injektion Famotidine 2 mg/ml
Natriumklorid 0,9 % 215
Kompatibel
injektion Gentamicin sulfate 0,8 mg/ml
injektion Famotidine
Glukos 5 % 397
Kompatibel
injektion Gentamicin sulfate 5 mg/ml
injektion Fenoldopam mesylate 80 µg/ml
Natriumklorid 0,9 % 1803
Kompatibel
injektion Gentamicin sulfate 10 mg/ml
injektion Fentanyl citrate 50 µg/ml
Glukos 5 % 63
Kompatibel
injektion Gentamicin sulfate 1.6 mg/ml
injektion Filgrastim 40 µg/ml
Glukos 5 % 104
Kompatibel
injektion Gentamicin sulfate 5 mg/ml
injektion Filgrastim 30 µg/ml
Glukos 5 % 244
Ospecificerad inkompatibilitet Oförenlig
injektion Gentamicin sulfate
injektion Flucloxacillin sodium
3643
Omedelbar nederbörd Oförenlig
injektion Gentamicin sulfate
injektion Flucloxacillin sodium
3522
Kompatibel
injektion Gentamicin sulfate 1 mg/ml
injektion Fluconazole 2 mg/ml
Ingen 256
Kompatibel
injektion Gentamicin sulfate 4 mg/ml
injektion Fluconazole 2 mg/ml
Natriumklorid 0,9 % 496
Kompatibel
injektion Gentamicin sulfate 5 mg/ml
injektion Fludarabine phosphate 1 mg/ml
Glukos 5 % 492
Kompatibel
injektion Gentamicin sulfate 2 mg/ml
injektion Foscarnet sodium 24 mg/ml
Natriumklorid 0,9 % 1135
Kompatibel
injektion Gentamicin sulfate 2 mg/ml
injektion Foscarnet sodium 24 mg/ml
Glukos 5 % 1135
Kompatibel
injektion Gentamicin sulfate 4 mg/ml
injektion Foscarnet sodium 24 mg/ml
Ingen 73
Kompatibel
injektion Gentamicin sulfate 10 mg/ml
Ringer-laktatlösning 4603
Kompatibel
injektion Gentamicin sulfate 5 mg/ml
injektion Fosfomycin 30 mg/ml
Natriumklorid 0,9 % 4055
Omedelbar nederbörd Oförenlig
injektion Gentamicin sulfate 0,4 mg/ml
Parenteral nutrition (med lipider) 4440
Kompatibel
injektion Gentamicin sulfate 40 mg/ml
Parenteral nutrition (med lipider) 673
Kompatibel
injektion Gentamicin sulfate 5 mg/ml
injektion Fosfomycin 30 mg/ml
Glukos 5 % 4055
Omedelbar nederbörd Oförenlig
injektion Gentamicin sulfate 10 mg/ml
injektion Furosemide 10 mg/ml
789
Omedelbar nederbörd Oförenlig
injektion Gentamicin sulfate 1,6 mg/ml
injektion Furosemide 0,8 mg/ml
Glukos 5 % 367
Omedelbar nederbörd Oförenlig
injektion Gentamicin sulfate 1,6 mg/ml
injektion Furosemide 0,8 mg/ml
Natriumklorid 0,9 % 367
Omedelbar grumlighet Oförenlig
injektion Gentamicin sulfate 6.4 mg/ml
injektion Furosemide 5 mg/ml
805
Utfällning efter 2 timmar Oförenlig
injektion Gentamicin sulfate 8 mg/ml
injektion Furosemide 1 mg/ml
Natriumklorid 0,9 % 1232
Kompatibel
injektion Gentamicin sulfate 5 mg/ml
injektion Gemcitabine hydrochloride 10 mg/ml
Natriumklorid 0,9 % 1423
Kompatibel
injektion Gentamicin sulfate 1.5 mg/ml
injektion Granisetron hydrochloride 1 mg/ml
Natriumklorid 0,9 % 57
Kompatibel
injektion Gentamicin sulfate 1 & 2 mg/ml
injektion Heparin sodium 2500 UI/ml
4612
Omedelbar nederbörd Oförenlig
injektion Gentamicin sulfate 4 >> 40 mg/ml
injektion Heparin sodium 10 >> 40 UI/ml
1258
Omedelbar nederbörd Oförenlig
injektion Gentamicin sulfate
injektion Heparin sodium
1022
Ospecificerad inkompatibilitet Oförenlig
injektion Gentamicin sulfate 2 mg/ml
injektion Heparin sodium 50 UI/ml
Ingen 317
Ospecificerad inkompatibilitet Oförenlig
injektion Gentamicin sulfate
injektion Heparin sodium
3643
Ospecificerad inkompatibilitet Oförenlig
injektion Gentamicin sulfate
injektion Heparin sodium
3520
Ospecificerad inkompatibilitet Oförenlig
injektion Gentamicin sulfate
injektion Heparin sodium
3540
Omedelbar grumlighet Oförenlig
injektion Gentamicin sulfate 3 mg/ml
injektion Heparin sodium 2500 UI/ml
4612
Omedelbar nederbörd Oförenlig
injektion Gentamicin sulfate 4 & 5 mg/ml
injektion Heparin sodium 2500 UI/ml
4612
Kompatibel
injektion Gentamicin sulfate 5 mg/ml
injektion Hetastarch 60 mg/ml
specifikt lösningsmedel 1721
Omedelbar nederbörd Oförenlig
injektion Gentamicin sulfate 0.8 mg/ml
injektion Hetastarch 60 mg/ml
Natriumklorid 0,9 % 472
Kompatibel
injektion Gentamicin sulfate 0.8 mg/ml
injektion Hydromorphone hydrochloride 0.2 mg/ml
Glukos 5 % 405
Färgändring Oförenlig
injektion Gentamicin sulfate 3 mg/ml
injektion Idarubicin hydrochloride 1 mg/ml
Natriumklorid 0,9 % 491
Omedelbar nederbörd Oförenlig
injektion Gentamicin sulfate 1 mg/ml
injektion Indomethacin sodium trihydrate 0,5 & 1 mg/ml
Glukos 5 % 494
Nederbörd efter 15 minuter Oförenlig
injektion Gentamicin sulfate 1 mg/ml
injektion Indomethacin sodium trihydrate 0,5 & 1 mg/ml
Glukos 5 % 1745
Kompatibel
injektion Gentamicin sulfate 1.2 >> 2 mg/ml
injektion Insulin 0.2 UI/ml
Natriumklorid 0,9 % 129
Kompatibel
injektion Gentamicin sulfate 0.8 mg/ml
injektion Iohexol 300 mg I/ml
Ingen 1085
Omedelbar nederbörd Oförenlig
injektion Gentamicin sulfate 0.8 mg/ml
injektion Ioxaglate 320 mg I/ml
Ingen 1085
Kompatibel
injektion Gentamicin sulfate 5 mg/ml
injektion Isavuconazonium sulfate 1.5 mg/ml
Glukos 5 % 3829
Kompatibel
injektion Gentamicin sulfate 5 mg/ml
injektion Isavuconazonium sulfate 1.5 mg/ml
Natriumklorid 0,9 % 3829
Kompatibel
injektion Gentamicin sulfate 40 mg/ml
injektion Ketamine hydrochloride 50 mg/ml
2109
Kompatibel
injektion Gentamicin sulfate 0.8 mg/ml
injektion Labetalol hydrochloride 1 mg/ml
Glukos 5 % 386
Kompatibel
injektion Gentamicin sulfate 5 mg/ml
injektion Lansoprazole 0.55 mg/ml
Natriumklorid 0,9 % 1625
Kompatibel
injektion Gentamicin sulfate 10 mg/ml
injektion Levofloxacine 5 mg/ml
Glukos 5 % 1072
Kompatibel
injektion Gentamicin sulfate 0,75 mg/ml
injektion Linezolid 1,80 mg/ml
2353
Kompatibel
injektion Gentamicin sulfate 5 mg/ml
injektion Linezolid 2 mg/ml
Ingen 1925
Kompatibel
injektion Gentamicin sulfate 3 mg/ml
injektion Lorazepam 0.33 mg/ml
Natriumklorid 0,9 % 186
Kompatibel
injektion Gentamicin sulfate 0.8 mg/ml
injektion Magnesium sulfate 16.67 >> 100 mg/ml
Glukos 5 % 1047
Kompatibel
injektion Gentamicin sulfate 5 mg/ml
injektion Melphalan 0.1 mg/ml
Natriumklorid 0,9 % 169
Kompatibel
injektion Gentamicin sulfate 40 mg/ml
injektion Meropenem 50 mg/ml
Vatten för injektion 4319
Kompatibel
injektion Gentamicin sulfate 0.8 mg/ml
injektion Meropenem 1 & 20 mg/ml
Natriumklorid 0,9 % 266
Kompatibel
injektion Gentamicin sulfate 4 mg/ml
injektion Meropenem 1 & 50 mg/ml
Natriumklorid 0,9 % 266
Kompatibel
injektion Gentamicin sulfate 30 mg/ml
injektion Meropenem 10 mg/ml
Natriumklorid 0,9 % 2335
Kompatibel
injektion Gentamicin sulfate 0,8 & 1,2 mg/ml
injektion Metronidazole 5 mg/ml
Ingen 1243
Kompatibel
injektion Gentamicin sulfate 0.8 mg/ml
injektion Metronidazole 5 mg/ml
Ingen 1035
Kompatibel
injektion Gentamicin sulfate
injektion Metronidazole
3594
Kompatibel
injektion Gentamicin sulfate 3 mg/ml
injektion Midazolam hydrochloride 5 mg/ml
Ingen 186
Kompatibel
injektion Gentamicin sulfate 10 mg/ml
injektion Midazolam hydrochloride 1 mg/ml
Glukos 5 % 176
Kompatibel
injektion Gentamicin sulfate 0.8 mg/ml
injektion Midazolam hydrochloride 0.05 >> 0.4 mg/ml
Natriumklorid 0,9 % 1888
Ospecificerad inkompatibilitet Oförenlig
injektion Gentamicin sulfate
injektion Mitomycin
4471
Kemisk instabilitet Oförenlig
injektion Gentamicin sulfate
injektion Mitomycin
3128
Kompatibel
injektion Gentamicin sulfate 1.2 & 2 mg/ml
injektion Morphine sulfate 1 mg/ml
Natriumklorid 0,9 % 406
Kompatibel
injektion Gentamicin sulfate 0.8 mg/ml
injektion Morphine sulfate 1 mg/ml
Glukos 5 % 405
Ospecificerad inkompatibilitet Oförenlig
injektion Gentamicin sulfate
injektion Moxalactam
3643
Ospecificerad inkompatibilitet Oförenlig
injektion Gentamicin sulfate
injektion Moxalactam
3520
Kompatibel
injektion Gentamicin sulfate 40 mg/ml
injektion N-acetylcysteine 200 mg/ml
Ingen 3766
Ospecificerad inkompatibilitet Oförenlig
injektion Gentamicin sulfate
injektion Nadroparin
3643
Ospecificerad inkompatibilitet Oförenlig
injektion Gentamicin sulfate
injektion Nafcillin sodium
3643
Ospecificerad inkompatibilitet Oförenlig
injektion Gentamicin sulfate
injektion Nafcillin sodium
3520
Kompatibel
injektion Gentamicin sulfate 40 mg/ml
injektion Naloxone hydrochloride 0.4 mg/ml
Ingen 3408
Kompatibel
injektion Gentamicin sulfate 4.17 mg/ml
injektion Nefopam 0.16 mg/ml
Natriumklorid 0,9 % 4254
Kompatibel
injektion Gentamicin sulfate 4.17 mg/ml
injektion Nefopam 0.16 mg/ml
Glukos 5 % 4254
Kompatibel
injektion Gentamicin sulfate 0.8 mg/ml
injektion Nicardipine hydrochloride 0.1 mg/ml
Glukos 5 % 1490
Kompatibel
injektion Gentamicin sulfate 0.8 mg/ml
injektion Nicardipine hydrochloride 0.1 mg/ml
Natriumklorid 0,9 % 1490
Kompatibel
injektion Gentamicin sulfate 0,8 mg/ml
injektion Ofloxacin 2 mg/ml
Ingen 889
Kompatibel
injektion Gentamicin sulfate 5 mg/ml
injektion Ondansetron hydrochloride 1 mg/ml
Natriumklorid 0,9 % 334
Kompatibel
injektion Gentamicin sulfate 5 mg/ml
injektion Oritavancin 0.8 >>2 mg/ml
Glukos 5 % 3152
Ospecificerad inkompatibilitet Oförenlig
injektion Gentamicin sulfate
injektion Oxacillin sodium
3643
Ospecificerad inkompatibilitet Oförenlig
injektion Gentamicin sulfate
injektion Oxacillin sodium
3520
Kompatibel
injektion Gentamicin sulfate 40 mg/ml
injektion Oxycodone hydrochloride 1 mg/ml
Natriumklorid 0,9 % 4842
Kompatibel
injektion Gentamicin sulfate 5 mg/ml
injektion Paclitaxel 1.2 mg/ml
Glukos 5 % 248
Kompatibel
injektion Gentamicin sulfate 5 mg/ml
injektion Palonosetron hydrochloride 50 µg/ml
Glukos 5 % 2228
Kompatibel
injektion Gentamicin sulfate 2 mg/ml
injektion Pancuronium bromide 0.05 mg/ml
Glukos 5 % 402
Omedelbar nederbörd Oförenlig
injektion Gentamicin sulfate
injektion Pantoprazole sodium
2090
Kompatibel
injektion Gentamicin sulfate 40 mg/ml
injektion Paracetamol 10 mg/ml
4742
Omedelbar nederbörd Oförenlig
injektion Gentamicin sulfate 5 mg/ml
injektion Pemetrexed disodium 20 mg/ml
1953
Ospecificerad inkompatibilitet Oförenlig
injektion Gentamicin sulfate
injektion Penicillin G potassium
3643
Ospecificerad inkompatibilitet Oförenlig
injektion Gentamicin sulfate
injektion Penicillin G potassium
3520
Ospecificerad inkompatibilitet Oförenlig
injektion Gentamicin sulfate
injektion Penicillin G sodium
3643
Ospecificerad inkompatibilitet Oförenlig
injektion Gentamicin sulfate
injektion Penicillin G sodium
3520
Kompatibel
injektion Gentamicin sulfate 10 mg/ml
injektion Pentoxifyllin 5 mg/ml
Natriumklorid 0,9 % 4543
Kompatibel
injektion Gentamicin sulfate 0.8 mg/ml
injektion Pethidine hydrochloride 10 mg/ml
Glukos 5 % 405
Omedelbar nederbörd Oförenlig
injektion Gentamicin sulfate 10 mg/ml
injektion Phenytoin sodium 50 mg/ml
789
Kompatibel
injektion Gentamicin sulfate 20 mg/ml
injektion Phloroglucinol 2,5 mg/ml
3791
Ospecificerad inkompatibilitet Oförenlig
injektion Gentamicin sulfate
injektion Piperacillin sodium
3520
Ospecificerad inkompatibilitet Oförenlig
injektion Gentamicin sulfate
injektion Piperacillin sodium
3643
Ospecificerad inkompatibilitet Oförenlig
injektion Gentamicin sulfate
injektion Piperacillin sodium / tazobactam
3520
Kemisk instabilitet Oförenlig
injektion Gentamicin sulfate
injektion Piperacillin sodium / tazobactam
3586
Ospecificerad inkompatibilitet Oförenlig
injektion Gentamicin sulfate
injektion Piperacillin sodium / tazobactam
3643
Kompatibel
injektion Gentamicin sulfate
injektion Posaconazole
4380
Kompatibel
injektion Gentamicin sulfate 30 mg/ml
injektion Potassium chloride 20 mEq/l
NaCl 0,45 % Glukos 5 % 2335
Omedelbar instabilitet hos emulsionen Oförenlig
injektion Gentamicin sulfate 2 mg/ml
injektion Propofol
660
Ospecificerad inkompatibilitet Oförenlig
injektion Gentamicin sulfate 40 mg/ml
injektion Propofol
4524
Omedelbar nederbörd Oförenlig
injektion Gentamicin sulfate 5 mg/ml
injektion Propofol 10 mg/ml
Ingen 300
Kompatibel
injektion Gentamicin sulfate 5 mg/ml
injektion Remifentanil hydrochloride 25 & 250 µg/ml
Natriumklorid 0,9 % 59
Kompatibel
injektion Gentamicin sulfate 40 mg/ml
injektion Salbutamol sulfate 1 mg/ml
Ingen 3216
Kompatibel
injektion Gentamicin sulfate 5 mg/ml
injektion Sargramostim 10 µg/ml
Natriumklorid 0,9 % 335
Kompatibel
injektion Gentamicin sulfate 10 mg/ml
injektion Sildenafil citrate 0,6 mg/ml
Glukos 5 % 4845
Kompatibel
injektion Gentamicin sulfate 2,4 mg/ml
injektion Sodium bicarbonate 40 mg/ml
Ingen 3122
Produktion av gasbubblor Oförenlig
injektion Gentamicin sulfate
injektion Sodium bicarbonate
3643
Kompatibel
injektion Gentamicin sulfate 2.5 mg/ml
injektion Sodium citrate 40 mg/ml
Vatten för injektion 3952
Kompatibel
injektion Gentamicin sulfate 40 mg/ml
injektion Sugammadex 100 mg/ml
Ingen 3372
Kompatibel
injektion Gentamicin sulfate 5 mg/ml
injektion Sulbactam/durlobactam 15/15 mg/ml
Natriumklorid 0,9 % 4801
Kompatibel
injektion Gentamicin sulfate 4 mg/ml
injektion Tacrolimus 1000 µg/ml
Natriumklorid 0,9 % 479
Kompatibel
injektion Gentamicin sulfate
Natriumklorid 0,9 % 1704
Kompatibel
injektion Gentamicin sulfate
Natriumklorid 0,9 % 434
Ospecificerad inkompatibilitet Oförenlig
injektion Gentamicin sulfate
injektion Sodium bicarbonate
3520
Kompatibel
injektion Gentamicin sulfate 1 >> 5 mg/ml
injektion Sodium citrate 40 mg/ml
Ingen 2019
Omedelbar grumlighet Oförenlig
injektion Gentamicin sulfate 5 mg/ml
injektion Tedizolid phosphate 0.8 mg/ml
Natriumklorid 0,9 % 3827
Ospecificerad inkompatibilitet Oförenlig
injektion Gentamicin sulfate
injektion Teicoplanine
3656
Kompatibel
injektion Gentamicin sulfate 5 mg/ml
injektion Telavancin hydrochloride 7.5 mg/ml
Ringer-laktatlösning 3254
Kompatibel
injektion Gentamicin sulfate 5 mg/ml
injektion Telavancin hydrochloride 7.5 mg/ml
Natriumklorid 0,9 % 3254
Kompatibel
injektion Gentamicin sulfate 5 mg/ml
injektion Telavancin hydrochloride 7.5 mg/ml
Glukos 5 % 3254
Kompatibel
injektion Gentamicin sulfate 6 mg/ml
injektion Temocilline 83.33 mg/ml
Vatten för injektion 2231
Ospecificerad inkompatibilitet Oförenlig
injektion Gentamicin sulfate
injektion Temocilline
3643
Ospecificerad inkompatibilitet Oförenlig
injektion Gentamicin sulfate
injektion Temocilline
3520
Ospecificerad inkompatibilitet Oförenlig
injektion Gentamicin sulfate
injektion Temocilline
2296
Kompatibel
injektion Gentamicin sulfate 5 mg/ml
injektion Teniposide 0.1 mg/ml
Glukos 5 % 905
Kompatibel
injektion Gentamicin sulfate 2 mg/ml
injektion Theophylline 4 mg/ml
Ingen 317
Omedelbar nederbörd Oförenlig
injektion Gentamicin sulfate 40 mg/ml
injektion Thiopental sodium 25 mg/ml
Natriumklorid 0,9 % 3767
Kompatibel
injektion Gentamicin sulfate 5 mg/ml
injektion Thiotepa 1 mg/ml
Glukos 5 % 249
Kemisk instabilitet Oförenlig
injektion Gentamicin sulfate
injektion Ticarcillin / clavulanic acid
3587
Ospecificerad inkompatibilitet Oförenlig
injektion Gentamicin sulfate
injektion Ticarcillin / clavulanic acid
3643
Ospecificerad inkompatibilitet Oförenlig
injektion Gentamicin sulfate
injektion Ticarcillin / clavulanic acid
3520
Kompatibel
injektion Gentamicin sulfate
injektion Tigecycline
Natriumklorid 0,9 % 3332
Kompatibel
injektion Gentamicin sulfate 6 mg/ml
injektion Vancomycin hydrochloride 10 mg/ml
Glukos 5 % 3385
Kompatibel
injektion Gentamicin sulfate 1.2 mg/ml
injektion Vasopressin 0.2 UI/ml
Natriumklorid 0,9 % 2017
Kompatibel
injektion Gentamicin sulfate 2 mg/ml
injektion Vecuronium bromide 0.1 mg/ml
Glukos 5 % 402
Kompatibel
injektion Gentamicin sulfate 0.16 mg/ml
injektion Verapamil hydrochloride 0.08 mg/ml
Glukos 5 % 1057
Kompatibel
injektion Gentamicin sulfate 0.16 mg/ml
injektion Verapamil hydrochloride 0.08 mg/ml
Natriumklorid 0,9 % 1057
Kompatibel
injektion Gentamicin sulfate 5 mg/ml
injektion Vinorelbine tartrate 1 mg/ml
Natriumklorid 0,9 % 84
Omedelbar grumlighet Oförenlig
injektion Gentamicin sulfate 1.6 mg/ml
injektion Warfarin sodium 2 mg/ml
Glukos 5 % 315
Kompatibel
injektion Gentamicin sulfate 2 mg/ml
injektion Zidovudine 4 mg/ml
Glukos 5 % 337

  Mentions Légales