Zadnji put ažurirano :
27/04/2026
antibiotik   Gentamicin sulfate  
injekcija
kapi za oko
Stabilizacija rješenja Stabilnost mješavine Stabilizacijski faktor Kompatibilnosti način davanja lijeka Bibliografija pdf
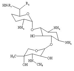
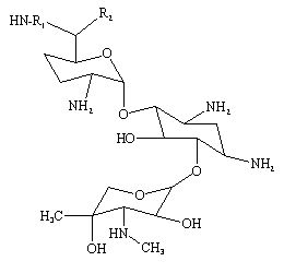
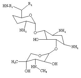
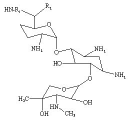
   Kemijska struktura  

Nekomercijalni   Nekomercijalni     

Zaštićeni nazivi su indikativni i sastav ekscipijensa može biti različit ovisno o državi i laboratorijima

Azupel Peru
Cidomycin Egipat, Tunis, Velika Britanija
Dabroson Grčka
Epigent Egipat
Garalone Portugal
Garamicina Brazil, Ekvador, Kolumbija, Meksiko
Garamycin Indija, Danska, Egipat, Grčka, Hrvatska, Nizozemska, Norveška, Poljska, Švicarska, Ujedinjeni Arapski Emirati
Genmisin Turska
Gensif Turska
Gensumycin Finska, Norveška, Švedska
Genta-Gobens Španjolska
Gentalline Maroko
Gentamen Maroko
Genticin Irska, Ujedinjeni Arapski Emirati, Velika Britanija
Gentreks Turska
Hexamycin Danska
Plurisemina Argentina
Refobacin Austrija, Egipat, Kolumbija, Njemačka
Rupegen Argentina
Kompatibilnosti   injekcija   Kompatibilnosti : Gentamicin sulfate              
Ovdje su prikazane kompatibilnosti ili nekompatibilnosti s tipom nekompatibilnosti (taloženje, promjena boje, modifikacija emulzije itd.) u ovom slučaju. Kompatibilnosti prikazane ovdje najčešće su fizikalne dok se kemijska stabilnost molekule rijetko procjenjuje. Procjena ovih mikstura je proučavana kako bi se razmotrila mogućnost primjene lijeka putem Y-mjesta. Ovi se podaci ne smiju koristiti za pripremu mikstura unaprijed u vrećicama ili štrcaljkama. Ova vrsta informacije se može pronaći u odjeljku « stabilnost u miksturama ».
molekula sredstvo za rastapanje Bibliografija
Kompatibilan
injekcija Gentamicin sulfate 1.6 mg/ml
injekcija Aciclovir sodium 5 mg/ml
glukoza 5% 336
Neposredne oborine inkompatibilan
injekcija Gentamicin sulfate 30 mg/ml
injekcija Aciclovir sodium 5 mg/ml
natrijumkorid 0,9% 2335
Padavine nakon 1 sata inkompatibilan
injekcija Gentamicin sulfate 5 mg/ml
injekcija Allopurinol sodium 3 mg/ml
natrijumkorid 0,9% 307
Kompatibilan
injekcija Gentamicin sulfate 1 mg/ml
injekcija Alprostadil 15 µg/ml
3201
Kompatibilan
injekcija Gentamicin sulfate 5 mg/ml
injekcija Amifostine 10 mg/ml
glukoza 5% 3
Kompatibilan
injekcija Gentamicin sulfate 0.8 mg/ml
injekcija Amiodarone hydrochloride 4 mg/ml
natrijumkorid 0,9% 385
Kompatibilan
injekcija Gentamicin sulfate 0.8 mg/ml
injekcija Amiodarone hydrochloride 4 mg/ml
glukoza 5% 385
Neodređena nespojivost inkompatibilan
injekcija Gentamicin sulfate
injekcija Amoxicillin sodium
3643
Neodređena nespojivost inkompatibilan
injekcija Gentamicin sulfate
injekcija Amoxicillin sodium
3520
Kemijska nestabilnost inkompatibilan
injekcija Gentamicin sulfate
injekcija Amoxicillin sodium
3527
Neodređena nespojivost inkompatibilan
injekcija Gentamicin sulfate
injekcija Amoxicillin sodium / clavulanic acid
3643
Neodređena nespojivost inkompatibilan
injekcija Gentamicin sulfate
injekcija Amoxicillin sodium / clavulanic acid
3545
Neodređena nespojivost inkompatibilan
injekcija Gentamicin sulfate
injekcija Amoxicillin sodium / clavulanic acid
3520
Kompatibilan
injekcija Gentamicin sulfate 40 mg/ml
injekcija Amoxicillin sodium / clavulanic acid 100/10 mg/ml
3824
Neposredne oborine inkompatibilan
injekcija Gentamicin sulfate 5 mg/ml
injekcija Amphotericin B cholesteryl sulfate complex 0,83 mg/ml
glukoza 5% 921
Neodređena nespojivost inkompatibilan
injekcija Gentamicin sulfate
injekcija Ampicillin sodium
3643
Neodređena nespojivost inkompatibilan
injekcija Gentamicin sulfate
injekcija Ampicillin sodium
3520
Neodređena nespojivost inkompatibilan
injekcija Gentamicin sulfate
injekcija Ampicillin sodium - sulbactam sodium
3643
Neodređena nespojivost inkompatibilan
injekcija Gentamicin sulfate
injekcija Ampicillin sodium - sulbactam sodium
3520
Kompatibilan
injekcija Gentamicin sulfate 5 mg/ml
injekcija Amsacrine 1 mg/ml
glukoza 5% 253
Kompatibilan
injekcija Gentamicin sulfate 5 mg/ml
injekcija Anidulafungin 0.5 mg/ml
glukoza 5% 1982
Kompatibilan
injekcija Gentamicin sulfate 0,8 mg/ml
injekcija Atosiban 0,75 mg/ml
4642
Kompatibilan
injekcija Gentamicin sulfate 2 mg/ml
injekcija Atracurium besylate 0.5 mg/ml
glukoza 5% 402
Neposredne oborine inkompatibilan
injekcija Gentamicin sulfate 21 mg/ml
injekcija Azithromycine 2 mg/ml
natrijumkorid 0,9% 1800
Kompatibilan
injekcija Gentamicin sulfate 5 mg/ml
injekcija Aztreonam 40 mg/ml
glukoza 5% 99
Kompatibilan
injekcija Gentamicin sulfate 0.2 & 0.8 mg/ml
injekcija Aztreonam 10 & 20 mg/ml
natrijumkorid 0,9% 19
Kompatibilan
injekcija Gentamicin sulfate 0.2 & 0.8 mg/ml
injekcija Aztreonam 10 & 20 mg/ml
glukoza 5% 19
Kompatibilan
injekcija Gentamicin sulfate 5 mg/ml
injekcija Bivalirudin 5 mg/ml
glukoza 5% 1713
Kompatibilan
injekcija Gentamicin sulfate 10 mg/ml
injekcija Caffeine 10 mg/ml
nijedan 3964
Kompatibilan
injekcija Gentamicin sulfate 10 mg/ml
injekcija Caffeine 10 mg/ml
natrijumkorid 0,9% 4837
Kompatibilan
injekcija Gentamicin sulfate 10 mg/ml
injekcija Caffeine citrate 20 mg/ml
natrijumkorid 0,9% 4837
Neodređena nespojivost inkompatibilan
injekcija Gentamicin sulfate
injekcija Calcium gluconate
3644
inkompatibilan
injekcija Gentamicin sulfate
injekcija Calcium gluconate
4964
Kompatibilan
injekcija Gentamicin sulfate 5 mg/ml
injekcija Caspofungin acetate 0,7 mg/ml
natrijumkorid 0,9% 2247
Neodređena nespojivost inkompatibilan
injekcija Gentamicin sulfate
injekcija Cefalotin sodium
3520
Neodređena nespojivost inkompatibilan
injekcija Gentamicin sulfate
injekcija Cefalotin sodium
3643
Neposredne oborine inkompatibilan
injekcija Gentamicin sulfate
injekcija Cefamandole nafate 2 >> 100 mg/ml
glukoza 5% 612
Neodređena nespojivost inkompatibilan
injekcija Gentamicin sulfate
injekcija Cefamandole nafate
3643
Neodređena nespojivost inkompatibilan
injekcija Gentamicin sulfate
injekcija Cefamandole nafate
3520
Neodređena nespojivost inkompatibilan
injekcija Gentamicin sulfate
injekcija Cefamandole nafate
3546
Neposredne oborine inkompatibilan
injekcija Gentamicin sulfate
injekcija Cefamandole nafate 2 >> 100 mg/ml
natrijumkorid 0,9% 612
Neodređena nespojivost inkompatibilan
injekcija Gentamicin sulfate
injekcija Cefazolin sodium
3520
Neodređena nespojivost inkompatibilan
injekcija Gentamicin sulfate
injekcija Cefazolin sodium
3643
Neodređena nespojivost inkompatibilan
injekcija Gentamicin sulfate
injekcija Cefepime dihydrochloride
3520
Kompatibilan
injekcija Gentamicin sulfate 6 mg/ml
injekcija Cefepime dihydrochloride 125 mg/ml
čista voda za injektiranje 2141
Neodređena nespojivost inkompatibilan
injekcija Gentamicin sulfate
injekcija Cefepime dihydrochloride
3548
Neodređena nespojivost inkompatibilan
injekcija Gentamicin sulfate
injekcija Cefepime dihydrochloride
3643
Kompatibilan
injekcija Gentamicin sulfate 5 mg/ml
injekcija Cefiderocol sulfate tosylate 20 mg/mL
glukoza 5% 4528
Kompatibilan
injekcija Gentamicin sulfate 5 mg/ml
injekcija Cefiderocol sulfate tosylate 20 mg/mL
natrijumkorid 0,9% 4528
Neodređena nespojivost inkompatibilan
injekcija Gentamicin sulfate
injekcija Cefmenoxime
3520
Neodređena nespojivost inkompatibilan
injekcija Gentamicin sulfate
injekcija Cefmenoxime
3643
Neodređena nespojivost inkompatibilan
injekcija Gentamicin sulfate
injekcija Cefmetazole sodium
3520
Neodređena nespojivost inkompatibilan
injekcija Gentamicin sulfate
injekcija Cefmetazole sodium
3643
Neodređena nespojivost inkompatibilan
injekcija Gentamicin sulfate
injekcija Cefonicid sodium
3643
Neodređena nespojivost inkompatibilan
injekcija Gentamicin sulfate
injekcija Cefonicid sodium
3520
Neodređena nespojivost inkompatibilan
injekcija Gentamicin sulfate
injekcija Cefoperazone sodium
3544
Neodređena nespojivost inkompatibilan
injekcija Gentamicin sulfate
injekcija Cefoperazone sodium
3643
Neposredne oborine inkompatibilan
injekcija Gentamicin sulfate 0.8 mg/ml
injekcija Cefoperazone sodium 10 mg/ml
glukoza 5% 1206
Neodređena nespojivost inkompatibilan
injekcija Gentamicin sulfate
injekcija Cefoperazone sodium
3520
Neodređena nespojivost inkompatibilan
injekcija Gentamicin sulfate
injekcija Ceforanide
3643
Neodređena nespojivost inkompatibilan
injekcija Gentamicin sulfate
injekcija Ceforanide
3520
Neodređena nespojivost inkompatibilan
injekcija Gentamicin sulfate
injekcija Cefotaxime sodium
3520
Neodređena nespojivost inkompatibilan
injekcija Gentamicin sulfate
injekcija Cefotaxime sodium
3643
Neodređena nespojivost inkompatibilan
injekcija Gentamicin sulfate
injekcija Cefoxitin sodium
3643
Neodređena nespojivost inkompatibilan
injekcija Gentamicin sulfate
injekcija Cefoxitin sodium
3520
Kompatibilan
injekcija Gentamicin sulfate 1 mg/ml
injekcija Cefpirome sulfate 50 mg/ml
natrijumkorid 0,9% 280
Kompatibilan
injekcija Gentamicin sulfate 1 mg/ml
injekcija Cefpirome sulfate 50 mg/ml
Ringer laktat 280
Kompatibilan
injekcija Gentamicin sulfate 1 mg/ml
injekcija Cefpirome sulfate 50 mg/ml
natrijumklorid 0,45% 280
Neodređena nespojivost inkompatibilan
injekcija Gentamicin sulfate
injekcija Cefpirome sulfate
3643
Neodređena nespojivost inkompatibilan
injekcija Gentamicin sulfate
injekcija Cefpirome sulfate
3677
Kompatibilan
injekcija Gentamicin sulfate 1 mg/ml
injekcija Cefpirome sulfate 50 mg/ml
glukoza 5% 280
Neodređena nespojivost inkompatibilan
injekcija Gentamicin sulfate
injekcija Cefpirome sulfate
3520
Kompatibilan
injekcija Gentamicin sulfate 5 mg/ml
injekcija Ceftaroline fosamil 2,22 mg/ml
natrijumkorid 0,9% 3249
Kompatibilan
injekcija Gentamicin sulfate 5 mg/ml
injekcija Ceftaroline fosamil 2,22 mg/ml
Ringer laktat 3249
Kompatibilan
injekcija Gentamicin sulfate 5 mg/ml
injekcija Ceftaroline fosamil 2,22 mg/ml
glukoza 5% 3249
Neodređena nespojivost inkompatibilan
injekcija Gentamicin sulfate
injekcija Ceftaroline fosamil
3643
Neodređena nespojivost inkompatibilan
injekcija Gentamicin sulfate
injekcija Ceftaroline fosamil
3520
Neodređena nespojivost inkompatibilan
injekcija Gentamicin sulfate
injekcija Ceftazidime
3543
Neodređena nespojivost inkompatibilan
injekcija Gentamicin sulfate
injekcija Ceftazidime
3520
Neodređena nespojivost inkompatibilan
injekcija Gentamicin sulfate
injekcija Ceftazidime
3643
Kompatibilan
injekcija Gentamicin sulfate 6 mg/ml
injekcija Ceftazidime 125 mg/ml
čista voda za injektiranje 2141
Kompatibilan
injekcija Gentamicin sulfate 6 mg/ml
injekcija Ceftazidime 83.3 mg/ml
1759
Neodređena nespojivost inkompatibilan
injekcija Gentamicin sulfate
injekcija Ceftazidime
3883
Neodređena nespojivost inkompatibilan
injekcija Gentamicin sulfate
injekcija Ceftazidime Avibactam
3520
Neodređena nespojivost inkompatibilan
injekcija Gentamicin sulfate
injekcija Ceftazidime Avibactam
3643
Neodređena nespojivost inkompatibilan
injekcija Gentamicin sulfate
injekcija Ceftizoxime sodium
3643
Neodređena nespojivost inkompatibilan
injekcija Gentamicin sulfate
injekcija Ceftizoxime sodium
3520
Neodređena nespojivost inkompatibilan
injekcija Gentamicin sulfate
injekcija Ceftobiprole medocaril sodium
3643
Neodređena nespojivost inkompatibilan
injekcija Gentamicin sulfate
injekcija Ceftobiprole medocaril sodium
4650
Neposredne oborine inkompatibilan
injekcija Gentamicin sulfate 5 mg/ml
injekcija Ceftobiprole medocaril sodium 2 mg/ml
glukoza 5% 2269
Neposredne oborine inkompatibilan
injekcija Gentamicin sulfate 5 mg/ml
injekcija Ceftobiprole medocaril sodium 2 mg/ml
Ringer laktat 2269
Neposredne oborine inkompatibilan
injekcija Gentamicin sulfate 5 mg/ml
injekcija Ceftobiprole medocaril sodium 2 mg/ml
natrijumkorid 0,9% 2269
Neodređena nespojivost inkompatibilan
injekcija Gentamicin sulfate
injekcija Ceftobiprole medocaril sodium
3520
Kompatibilan
injekcija Gentamicin sulfate 5 mg/ml
injekcija Ceftolozane / tazobactam 10/5 mg/ml
glukoza 5% 3828
Neodređena nespojivost inkompatibilan
injekcija Gentamicin sulfate
injekcija Ceftolozane / tazobactam
3643
Neodređena nespojivost inkompatibilan
injekcija Gentamicin sulfate
injekcija Ceftolozane / tazobactam
3520
Kompatibilan
injekcija Gentamicin sulfate 5 mg/ml
injekcija Ceftolozane / tazobactam 10/5 mg/ml
natrijumkorid 0,9% 3828
Neodređena nespojivost inkompatibilan
injekcija Gentamicin sulfate
injekcija Ceftriaxone disodium
3523
Neodređena nespojivost inkompatibilan
injekcija Gentamicin sulfate
injekcija Ceftriaxone disodium
3643
Neodređena nespojivost inkompatibilan
injekcija Gentamicin sulfate
injekcija Ceftriaxone disodium
3520
Neodređena nespojivost inkompatibilan
injekcija Gentamicin sulfate
injekcija Cefuroxime sodium
3643
Neodređena nespojivost inkompatibilan
injekcija Gentamicin sulfate
injekcija Cefuroxime sodium
3520
Neodređena nespojivost inkompatibilan
injekcija Gentamicin sulfate
injekcija Cefuroxime sodium
3687
Neodređena nespojivost inkompatibilan
injekcija Gentamicin sulfate
injekcija Cefuzonam
3520
Kompatibilan
injekcija Gentamicin sulfate 0.8 mg/ml
injekcija Cimetidine hydrochloride 3 mg/ml
glukoza 5% 1201
Kompatibilan
injekcija Gentamicin sulfate 0.08 mg/ml
injekcija Cimetidine hydrochloride 1.2 & 5 mg/ml
natrijumkorid 0,9% 1201
Kompatibilan
injekcija Gentamicin sulfate 0.08 mg/ml
injekcija Cimetidine hydrochloride 1.2 & 5 mg/ml
glukoza 5% 1201
Kompatibilan
injekcija Gentamicin sulfate 10 mg/ml
injekcija Ciprofloxacin lactate 2 mg/ml
natrijumkorid 0,9% 289
Kompatibilan
injekcija Gentamicin sulfate 1.6 mg/ml
injekcija Ciprofloxacin lactate 2 mg/ml
glukoza 5% 285
Kompatibilan
injekcija Gentamicin sulfate 5 mg/ml
injekcija Cisatracurium besylate 0.1 >> 5 mg/ml
glukoza 5% 299
Kemijska nestabilnost inkompatibilan
injekcija Gentamicin sulfate
injekcija Cisplatin
3578
Kompatibilan
injekcija Gentamicin sulfate 12 mg/ml
injekcija Clindamycin phosphate 90 mg/ml
natrijumkorid 0,9% 639
Kompatibilan
injekcija Gentamicin sulfate 0.67 mg/ml
injekcija Clindamycin phosphate 6 mg/ml
glukoza 5% 423
Kompatibilan
injekcija Gentamicin sulfate
glukoza 5% 434
Neodređena nespojivost inkompatibilan
injekcija Gentamicin sulfate
injekcija Cefuzonam
3643
Kompatibilan
injekcija Gentamicin sulfate 1 mg/ml
injekcija Ciprofloxacin lactate 1.5 mg/ml
natrijumkorid 0,9% 434
Kompatibilan
injekcija Gentamicin sulfate 1.6 mg/ml
injekcija Ciprofloxacin lactate 2 mg/ml
glukoza 5% 288
Kompatibilan
injekcija Gentamicin sulfate 1.6 mg/ml
injekcija Ciprofloxacin lactate 2 mg/ml
natrijumkorid 0,9% 288
Kompatibilan
injekcija Gentamicin sulfate 1 mg/ml
injekcija Ciprofloxacin lactate 1.5 mg/ml
glukoza 5% 434
Kompatibilan
injekcija Gentamicin sulfate
injekcija Clindamycin phosphate
natrijumkorid 0,9% 3526
Neposredne oborine inkompatibilan
injekcija Gentamicin sulfate 40 mg/ml
injekcija Cloxacillin sodium 100 mg/ml
čista voda za injektiranje 3012
Kompatibilan
injekcija Gentamicin sulfate 15 mg/ml
injekcija Cytarabine 16 mg/ml
natrijumkorid 0,9% 132
inkompatibilan
injekcija Gentamicin sulfate 2 & 10 mg/ml
Parenteralna prehrana (lipidima) 4924
Kompatibilan
injekcija Gentamicin sulfate
injekcija Clindamycin phosphate
glukoza 5% 3526
Neodređena nespojivost inkompatibilan
injekcija Gentamicin sulfate
injekcija Cloxacillin sodium
3520
Neodređena nespojivost inkompatibilan
injekcija Gentamicin sulfate
injekcija Cytarabine
3580
Kompatibilan
injekcija Gentamicin sulfate 1,5 mg/ml
injekcija Daptomycin 19,2 mg/ml
natrijumkorid 0,9% 1937
Kompatibilan
injekcija Gentamicin sulfate 0,05 mg/ml
Parenteralna prehrana (bezlipidna) 4445
Neodređena nespojivost inkompatibilan
injekcija Gentamicin sulfate
injekcija Cloxacillin sodium
3643
Nestabilnost emulzije nakon 4 sati inkompatibilan
injekcija Gentamicin sulfate 2 mg/ml
Parenteralna prehrana (lipidima) 4507
Neodređena nespojivost inkompatibilan
injekcija Gentamicin sulfate
injekcija Dalteparin sodium
3643
Kompatibilan
injekcija Gentamicin sulfate
injekcija Daptomycin
2271
Kompatibilan
injekcija Gentamicin sulfate 10 mg/ml
Parenteralna prehrana (bezlipidna) 316
Kompatibilan
injekcija Gentamicin sulfate
injekcija Dimenhydrinate
2087
Kompatibilan
injekcija Gentamicin sulfate 10 & 40 mg/ml
Parenteralna prehrana (bezlipidna) 999
Subvizualna nekompatibilnost inkompatibilan
injekcija Gentamicin sulfate
injekcija Daunorubicin/cytarabine liposomale
4354
Kompatibilan
injekcija Gentamicin sulfate 1 mg/ml
Parenteralna prehrana (bezlipidna) 939
Neposredna zamućenost inkompatibilan
injekcija Gentamicin sulfate
injekcija Daunorubicin/cytarabine liposomale 0,4 mg/mL
natrijumkorid 0,9% 4654
Kompatibilan
injekcija Gentamicin sulfate 0.8 mg/ml
injekcija Diatrizoate meglumine 283 mg/ml
nijedan 1085
Kompatibilan
injekcija Gentamicin sulfate 2.4 & 40 mg/ml
injekcija Diltiazem hydrochloride 5 mg/ml
natrijumkorid 0,9% 198
Kompatibilan
injekcija Gentamicin sulfate 5 mg/ml
injekcija Docetaxel 0.9 mg/ml
glukoza 5% 1754
Neodređena nespojivost inkompatibilan
injekcija Gentamicin sulfate
injekcija Dopamine hydrochloride
3638
Kompatibilan
injekcija Gentamicin sulfate 5 mg/ml
Parenteralna prehrana (bezlipidna) 301
Kompatibilan
injekcija Gentamicin sulfate 5 mg/ml
injekcija Doripenem 5 mg/ml
natrijumkorid 0,9% 2262
Neodređena nespojivost inkompatibilan
injekcija Gentamicin sulfate
NaHCO3 3520
Kompatibilan
injekcija Gentamicin sulfate 2 mg/ml
injekcija Dopamine hydrochloride 0.8 mg/ml
glukoza 5% 738
Proizvodnja mjehurića plina inkompatibilan
injekcija Gentamicin sulfate
NaHCO3 3643
Kompatibilan
injekcija Gentamicin sulfate 5 mg/ml
injekcija Dexmedetomidine 4 µg/ml
natrijumkorid 0,9% 1712
Kompatibilan
injekcija Gentamicin sulfate 5 mg/ml
injekcija Doripenem 5 mg/ml
glukoza 5% 2262
Kompatibilan
injekcija Gentamicin sulfate 5 mg/ml
Parenteralna prehrana (lipidima) 1415
Kompatibilan
injekcija Gentamicin sulfate 10 mg/ml
injekcija Doxapram hydrochloride 2 mg/ml
glukoza 5% 1802
Kompatibilan
injekcija Gentamicin sulfate 5 mg/ml
injekcija Doxorubicin hydrochloride liposome peg 0.4 mg/ml
glukoza 5% 251
Kompatibilan
injekcija Gentamicin sulfate 0.8 mg/ml
injekcija Enalaprilate 0.05 mg/ml
natrijumkorid 0,9% 1315
Neodređena nespojivost inkompatibilan
injekcija Gentamicin sulfate
injekcija Enoxaparin sodium
3643
Kompatibilan
injekcija Gentamicin sulfate 5 mg/ml
injekcija Eravacycline 0,6 mg/ml
natrijumkorid 0,9% 4434
Neodređena nespojivost inkompatibilan
injekcija Gentamicin sulfate
injekcija Erythromycin lactobionate
3674
Neodređena nespojivost inkompatibilan
injekcija Gentamicin sulfate
injekcija Erythromycin lactobionate
3520
Neodređena nespojivost inkompatibilan
injekcija Gentamicin sulfate
injekcija Erythromycin lactobionate
3643
Kompatibilan
injekcija Gentamicin sulfate 0,8 mg/ml
injekcija Esmolol hydrochloride 10 mg/ml
glukoza 5% 384
Kompatibilan
injekcija Gentamicin sulfate 5 mg/ml
injekcija Etoposide phosphate 5 mg/ml
glukoza 5% 1410
Kompatibilan
injekcija Gentamicin sulfate 5 mg/ml
injekcija Famotidine 2 mg/ml
natrijumkorid 0,9% 215
Kompatibilan
injekcija Gentamicin sulfate 0,8 mg/ml
injekcija Famotidine
glukoza 5% 397
Kompatibilan
injekcija Gentamicin sulfate 5 mg/ml
injekcija Fenoldopam mesylate 80 µg/ml
natrijumkorid 0,9% 1803
Kompatibilan
injekcija Gentamicin sulfate 10 mg/ml
injekcija Fentanyl citrate 50 µg/ml
glukoza 5% 63
Kompatibilan
injekcija Gentamicin sulfate 1.6 mg/ml
injekcija Filgrastim 40 µg/ml
glukoza 5% 104
Kompatibilan
injekcija Gentamicin sulfate 5 mg/ml
injekcija Filgrastim 30 µg/ml
glukoza 5% 244
Neodređena nespojivost inkompatibilan
injekcija Gentamicin sulfate
injekcija Flucloxacillin sodium
3643
Neposredne oborine inkompatibilan
injekcija Gentamicin sulfate
injekcija Flucloxacillin sodium
3522
Kompatibilan
injekcija Gentamicin sulfate 1 mg/ml
injekcija Fluconazole 2 mg/ml
nijedan 256
Kompatibilan
injekcija Gentamicin sulfate 4 mg/ml
injekcija Fluconazole 2 mg/ml
natrijumkorid 0,9% 496
Kompatibilan
injekcija Gentamicin sulfate 5 mg/ml
injekcija Fludarabine phosphate 1 mg/ml
glukoza 5% 492
Kompatibilan
injekcija Gentamicin sulfate 2 mg/ml
injekcija Foscarnet sodium 24 mg/ml
natrijumkorid 0,9% 1135
Kompatibilan
injekcija Gentamicin sulfate 2 mg/ml
injekcija Foscarnet sodium 24 mg/ml
glukoza 5% 1135
Kompatibilan
injekcija Gentamicin sulfate 4 mg/ml
injekcija Foscarnet sodium 24 mg/ml
nijedan 73
Kompatibilan
injekcija Gentamicin sulfate 10 mg/ml
Ringer laktat 4603
Kompatibilan
injekcija Gentamicin sulfate 5 mg/ml
injekcija Fosfomycin 30 mg/ml
natrijumkorid 0,9% 4055
Neposredne oborine inkompatibilan
injekcija Gentamicin sulfate 0,4 mg/ml
Parenteralna prehrana (lipidima) 4440
Kompatibilan
injekcija Gentamicin sulfate 40 mg/ml
Parenteralna prehrana (lipidima) 673
Kompatibilan
injekcija Gentamicin sulfate 5 mg/ml
injekcija Fosfomycin 30 mg/ml
glukoza 5% 4055
Neposredne oborine inkompatibilan
injekcija Gentamicin sulfate 10 mg/ml
injekcija Furosemide 10 mg/ml
789
Neposredne oborine inkompatibilan
injekcija Gentamicin sulfate 1,6 mg/ml
injekcija Furosemide 0,8 mg/ml
glukoza 5% 367
Neposredne oborine inkompatibilan
injekcija Gentamicin sulfate 1,6 mg/ml
injekcija Furosemide 0,8 mg/ml
natrijumkorid 0,9% 367
Neposredna zamućenost inkompatibilan
injekcija Gentamicin sulfate 6.4 mg/ml
injekcija Furosemide 5 mg/ml
805
Padavine nakon 2 sata inkompatibilan
injekcija Gentamicin sulfate 8 mg/ml
injekcija Furosemide 1 mg/ml
natrijumkorid 0,9% 1232
Kompatibilan
injekcija Gentamicin sulfate 5 mg/ml
injekcija Gemcitabine hydrochloride 10 mg/ml
natrijumkorid 0,9% 1423
Kompatibilan
injekcija Gentamicin sulfate 1.5 mg/ml
injekcija Granisetron hydrochloride 1 mg/ml
natrijumkorid 0,9% 57
Kompatibilan
injekcija Gentamicin sulfate 1 & 2 mg/ml
injekcija Heparin sodium 2500 UI/ml
4612
Neposredne oborine inkompatibilan
injekcija Gentamicin sulfate 4 >> 40 mg/ml
injekcija Heparin sodium 10 >> 40 UI/ml
1258
Neposredne oborine inkompatibilan
injekcija Gentamicin sulfate
injekcija Heparin sodium
1022
Neodređena nespojivost inkompatibilan
injekcija Gentamicin sulfate 2 mg/ml
injekcija Heparin sodium 50 UI/ml
nijedan 317
Neodređena nespojivost inkompatibilan
injekcija Gentamicin sulfate
injekcija Heparin sodium
3643
Neodređena nespojivost inkompatibilan
injekcija Gentamicin sulfate
injekcija Heparin sodium
3520
Neodređena nespojivost inkompatibilan
injekcija Gentamicin sulfate
injekcija Heparin sodium
3540
Neposredna zamućenost inkompatibilan
injekcija Gentamicin sulfate 3 mg/ml
injekcija Heparin sodium 2500 UI/ml
4612
Neposredne oborine inkompatibilan
injekcija Gentamicin sulfate 4 & 5 mg/ml
injekcija Heparin sodium 2500 UI/ml
4612
Kompatibilan
injekcija Gentamicin sulfate 5 mg/ml
injekcija Hetastarch 60 mg/ml
Specifična otapala 1721
Neposredne oborine inkompatibilan
injekcija Gentamicin sulfate 0.8 mg/ml
injekcija Hetastarch 60 mg/ml
natrijumkorid 0,9% 472
Kompatibilan
injekcija Gentamicin sulfate 0.8 mg/ml
injekcija Hydromorphone hydrochloride 0.2 mg/ml
glukoza 5% 405
Promjena boje inkompatibilan
injekcija Gentamicin sulfate 3 mg/ml
injekcija Idarubicin hydrochloride 1 mg/ml
natrijumkorid 0,9% 491
Neposredne oborine inkompatibilan
injekcija Gentamicin sulfate 1 mg/ml
injekcija Indomethacin sodium trihydrate 0,5 & 1 mg/ml
glukoza 5% 494
Padavine nakon 15 minuta inkompatibilan
injekcija Gentamicin sulfate 1 mg/ml
injekcija Indomethacin sodium trihydrate 0,5 & 1 mg/ml
glukoza 5% 1745
Kompatibilan
injekcija Gentamicin sulfate 1.2 >> 2 mg/ml
injekcija Insulin 0.2 UI/ml
natrijumkorid 0,9% 129
Kompatibilan
injekcija Gentamicin sulfate 0.8 mg/ml
injekcija Iohexol 300 mg I/ml
nijedan 1085
Neposredne oborine inkompatibilan
injekcija Gentamicin sulfate 0.8 mg/ml
injekcija Ioxaglate 320 mg I/ml
nijedan 1085
Kompatibilan
injekcija Gentamicin sulfate 5 mg/ml
injekcija Isavuconazonium sulfate 1.5 mg/ml
glukoza 5% 3829
Kompatibilan
injekcija Gentamicin sulfate 5 mg/ml
injekcija Isavuconazonium sulfate 1.5 mg/ml
natrijumkorid 0,9% 3829
Kompatibilan
injekcija Gentamicin sulfate 40 mg/ml
injekcija Ketamine hydrochloride 50 mg/ml
2109
Kompatibilan
injekcija Gentamicin sulfate 0.8 mg/ml
injekcija Labetalol hydrochloride 1 mg/ml
glukoza 5% 386
Kompatibilan
injekcija Gentamicin sulfate 5 mg/ml
injekcija Lansoprazole 0.55 mg/ml
natrijumkorid 0,9% 1625
Kompatibilan
injekcija Gentamicin sulfate 10 mg/ml
injekcija Levofloxacine 5 mg/ml
glukoza 5% 1072
Kompatibilan
injekcija Gentamicin sulfate 0,75 mg/ml
injekcija Linezolid 1,80 mg/ml
2353
Kompatibilan
injekcija Gentamicin sulfate 5 mg/ml
injekcija Linezolid 2 mg/ml
nijedan 1925
Kompatibilan
injekcija Gentamicin sulfate 3 mg/ml
injekcija Lorazepam 0.33 mg/ml
natrijumkorid 0,9% 186
Kompatibilan
injekcija Gentamicin sulfate 0.8 mg/ml
injekcija Magnesium sulfate 16.67 >> 100 mg/ml
glukoza 5% 1047
Kompatibilan
injekcija Gentamicin sulfate 5 mg/ml
injekcija Melphalan 0.1 mg/ml
natrijumkorid 0,9% 169
Kompatibilan
injekcija Gentamicin sulfate 40 mg/ml
injekcija Meropenem 50 mg/ml
čista voda za injektiranje 4319
Kompatibilan
injekcija Gentamicin sulfate 0.8 mg/ml
injekcija Meropenem 1 & 20 mg/ml
natrijumkorid 0,9% 266
Kompatibilan
injekcija Gentamicin sulfate 4 mg/ml
injekcija Meropenem 1 & 50 mg/ml
natrijumkorid 0,9% 266
Kompatibilan
injekcija Gentamicin sulfate 30 mg/ml
injekcija Meropenem 10 mg/ml
natrijumkorid 0,9% 2335
Kompatibilan
injekcija Gentamicin sulfate 0,8 & 1,2 mg/ml
injekcija Metronidazole 5 mg/ml
nijedan 1243
Kompatibilan
injekcija Gentamicin sulfate 0.8 mg/ml
injekcija Metronidazole 5 mg/ml
nijedan 1035
Kompatibilan
injekcija Gentamicin sulfate
injekcija Metronidazole
3594
Kompatibilan
injekcija Gentamicin sulfate 3 mg/ml
injekcija Midazolam hydrochloride 5 mg/ml
nijedan 186
Kompatibilan
injekcija Gentamicin sulfate 10 mg/ml
injekcija Midazolam hydrochloride 1 mg/ml
glukoza 5% 176
Kompatibilan
injekcija Gentamicin sulfate 0.8 mg/ml
injekcija Midazolam hydrochloride 0.05 >> 0.4 mg/ml
natrijumkorid 0,9% 1888
Neodređena nespojivost inkompatibilan
injekcija Gentamicin sulfate
injekcija Mitomycin
4471
Kemijska nestabilnost inkompatibilan
injekcija Gentamicin sulfate
injekcija Mitomycin
3128
Kompatibilan
injekcija Gentamicin sulfate 1.2 & 2 mg/ml
injekcija Morphine sulfate 1 mg/ml
natrijumkorid 0,9% 406
Kompatibilan
injekcija Gentamicin sulfate 0.8 mg/ml
injekcija Morphine sulfate 1 mg/ml
glukoza 5% 405
Neodređena nespojivost inkompatibilan
injekcija Gentamicin sulfate
injekcija Moxalactam
3643
Neodređena nespojivost inkompatibilan
injekcija Gentamicin sulfate
injekcija Moxalactam
3520
Kompatibilan
injekcija Gentamicin sulfate 40 mg/ml
injekcija N-acetylcysteine 200 mg/ml
nijedan 3766
Neodređena nespojivost inkompatibilan
injekcija Gentamicin sulfate
injekcija Nadroparin
3643
Neodređena nespojivost inkompatibilan
injekcija Gentamicin sulfate
injekcija Nafcillin sodium
3643
Neodređena nespojivost inkompatibilan
injekcija Gentamicin sulfate
injekcija Nafcillin sodium
3520
Kompatibilan
injekcija Gentamicin sulfate 40 mg/ml
injekcija Naloxone hydrochloride 0.4 mg/ml
nijedan 3408
Kompatibilan
injekcija Gentamicin sulfate 4.17 mg/ml
injekcija Nefopam 0.16 mg/ml
natrijumkorid 0,9% 4254
Kompatibilan
injekcija Gentamicin sulfate 4.17 mg/ml
injekcija Nefopam 0.16 mg/ml
glukoza 5% 4254
Kompatibilan
injekcija Gentamicin sulfate 0.8 mg/ml
injekcija Nicardipine hydrochloride 0.1 mg/ml
glukoza 5% 1490
Kompatibilan
injekcija Gentamicin sulfate 0.8 mg/ml
injekcija Nicardipine hydrochloride 0.1 mg/ml
natrijumkorid 0,9% 1490
Kompatibilan
injekcija Gentamicin sulfate 0,8 mg/ml
injekcija Ofloxacin 2 mg/ml
nijedan 889
Kompatibilan
injekcija Gentamicin sulfate 5 mg/ml
injekcija Ondansetron hydrochloride 1 mg/ml
natrijumkorid 0,9% 334
Kompatibilan
injekcija Gentamicin sulfate 5 mg/ml
injekcija Oritavancin 0.8 >>2 mg/ml
glukoza 5% 3152
Neodređena nespojivost inkompatibilan
injekcija Gentamicin sulfate
injekcija Oxacillin sodium
3643
Neodređena nespojivost inkompatibilan
injekcija Gentamicin sulfate
injekcija Oxacillin sodium
3520
Kompatibilan
injekcija Gentamicin sulfate 40 mg/ml
injekcija Oxycodone hydrochloride 1 mg/ml
natrijumkorid 0,9% 4842
Kompatibilan
injekcija Gentamicin sulfate 5 mg/ml
injekcija Paclitaxel 1.2 mg/ml
glukoza 5% 248
Kompatibilan
injekcija Gentamicin sulfate 5 mg/ml
injekcija Palonosetron hydrochloride 50 µg/ml
glukoza 5% 2228
Kompatibilan
injekcija Gentamicin sulfate 2 mg/ml
injekcija Pancuronium bromide 0.05 mg/ml
glukoza 5% 402
Neposredne oborine inkompatibilan
injekcija Gentamicin sulfate
injekcija Pantoprazole sodium
2090
Kompatibilan
injekcija Gentamicin sulfate 40 mg/ml
injekcija Paracetamol 10 mg/ml
4742
Neposredne oborine inkompatibilan
injekcija Gentamicin sulfate 5 mg/ml
injekcija Pemetrexed disodium 20 mg/ml
1953
Neodređena nespojivost inkompatibilan
injekcija Gentamicin sulfate
injekcija Penicillin G potassium
3643
Neodređena nespojivost inkompatibilan
injekcija Gentamicin sulfate
injekcija Penicillin G potassium
3520
Neodređena nespojivost inkompatibilan
injekcija Gentamicin sulfate
injekcija Penicillin G sodium
3643
Neodređena nespojivost inkompatibilan
injekcija Gentamicin sulfate
injekcija Penicillin G sodium
3520
Kompatibilan
injekcija Gentamicin sulfate 10 mg/ml
injekcija Pentoxifyllin 5 mg/ml
natrijumkorid 0,9% 4543
Kompatibilan
injekcija Gentamicin sulfate 0.8 mg/ml
injekcija Pethidine hydrochloride 10 mg/ml
glukoza 5% 405
Neposredne oborine inkompatibilan
injekcija Gentamicin sulfate 10 mg/ml
injekcija Phenytoin sodium 50 mg/ml
789
Kompatibilan
injekcija Gentamicin sulfate 20 mg/ml
injekcija Phloroglucinol 2,5 mg/ml
3791
Neodređena nespojivost inkompatibilan
injekcija Gentamicin sulfate
injekcija Piperacillin sodium
3520
Neodređena nespojivost inkompatibilan
injekcija Gentamicin sulfate
injekcija Piperacillin sodium
3643
Neodređena nespojivost inkompatibilan
injekcija Gentamicin sulfate
injekcija Piperacillin sodium / tazobactam
3520
Kemijska nestabilnost inkompatibilan
injekcija Gentamicin sulfate
injekcija Piperacillin sodium / tazobactam
3586
Neodređena nespojivost inkompatibilan
injekcija Gentamicin sulfate
injekcija Piperacillin sodium / tazobactam
3643
Kompatibilan
injekcija Gentamicin sulfate
injekcija Posaconazole
4380
Kompatibilan
injekcija Gentamicin sulfate 30 mg/ml
injekcija Potassium chloride 20 mEq/l
NaCL 0,45% glukoza 2335
Neposredna nestabilnost emulzije inkompatibilan
injekcija Gentamicin sulfate 2 mg/ml
injekcija Propofol
660
Neodređena nespojivost inkompatibilan
injekcija Gentamicin sulfate 40 mg/ml
injekcija Propofol
4524
Neposredne oborine inkompatibilan
injekcija Gentamicin sulfate 5 mg/ml
injekcija Propofol 10 mg/ml
nijedan 300
Kompatibilan
injekcija Gentamicin sulfate 5 mg/ml
injekcija Remifentanil hydrochloride 25 & 250 µg/ml
natrijumkorid 0,9% 59
Kompatibilan
injekcija Gentamicin sulfate 40 mg/ml
injekcija Salbutamol sulfate 1 mg/ml
nijedan 3216
Kompatibilan
injekcija Gentamicin sulfate 5 mg/ml
injekcija Sargramostim 10 µg/ml
natrijumkorid 0,9% 335
Kompatibilan
injekcija Gentamicin sulfate 10 mg/ml
injekcija Sildenafil citrate 0,6 mg/ml
glukoza 5% 4845
Kompatibilan
injekcija Gentamicin sulfate 2,4 mg/ml
injekcija Sodium bicarbonate 40 mg/ml
nijedan 3122
Proizvodnja mjehurića plina inkompatibilan
injekcija Gentamicin sulfate
injekcija Sodium bicarbonate
3643
Kompatibilan
injekcija Gentamicin sulfate 2.5 mg/ml
injekcija Sodium citrate 40 mg/ml
čista voda za injektiranje 3952
Kompatibilan
injekcija Gentamicin sulfate 40 mg/ml
injekcija Sugammadex 100 mg/ml
nijedan 3372
Kompatibilan
injekcija Gentamicin sulfate 5 mg/ml
injekcija Sulbactam/durlobactam 15/15 mg/ml
natrijumkorid 0,9% 4801
Kompatibilan
injekcija Gentamicin sulfate 4 mg/ml
injekcija Tacrolimus 1000 µg/ml
natrijumkorid 0,9% 479
Kompatibilan
injekcija Gentamicin sulfate
natrijumkorid 0,9% 1704
Kompatibilan
injekcija Gentamicin sulfate
natrijumkorid 0,9% 434
Neodređena nespojivost inkompatibilan
injekcija Gentamicin sulfate
injekcija Sodium bicarbonate
3520
Kompatibilan
injekcija Gentamicin sulfate 1 >> 5 mg/ml
injekcija Sodium citrate 40 mg/ml
nijedan 2019
Neposredna zamućenost inkompatibilan
injekcija Gentamicin sulfate 5 mg/ml
injekcija Tedizolid phosphate 0.8 mg/ml
natrijumkorid 0,9% 3827
Neodređena nespojivost inkompatibilan
injekcija Gentamicin sulfate
injekcija Teicoplanine
3656
Kompatibilan
injekcija Gentamicin sulfate 5 mg/ml
injekcija Telavancin hydrochloride 7.5 mg/ml
Ringer laktat 3254
Kompatibilan
injekcija Gentamicin sulfate 5 mg/ml
injekcija Telavancin hydrochloride 7.5 mg/ml
natrijumkorid 0,9% 3254
Kompatibilan
injekcija Gentamicin sulfate 5 mg/ml
injekcija Telavancin hydrochloride 7.5 mg/ml
glukoza 5% 3254
Kompatibilan
injekcija Gentamicin sulfate 6 mg/ml
injekcija Temocilline 83.33 mg/ml
čista voda za injektiranje 2231
Neodređena nespojivost inkompatibilan
injekcija Gentamicin sulfate
injekcija Temocilline
3643
Neodređena nespojivost inkompatibilan
injekcija Gentamicin sulfate
injekcija Temocilline
3520
Neodređena nespojivost inkompatibilan
injekcija Gentamicin sulfate
injekcija Temocilline
2296
Kompatibilan
injekcija Gentamicin sulfate 5 mg/ml
injekcija Teniposide 0.1 mg/ml
glukoza 5% 905
Kompatibilan
injekcija Gentamicin sulfate 2 mg/ml
injekcija Theophylline 4 mg/ml
nijedan 317
Neposredne oborine inkompatibilan
injekcija Gentamicin sulfate 40 mg/ml
injekcija Thiopental sodium 25 mg/ml
natrijumkorid 0,9% 3767
Kompatibilan
injekcija Gentamicin sulfate 5 mg/ml
injekcija Thiotepa 1 mg/ml
glukoza 5% 249
Kemijska nestabilnost inkompatibilan
injekcija Gentamicin sulfate
injekcija Ticarcillin / clavulanic acid
3587
Neodređena nespojivost inkompatibilan
injekcija Gentamicin sulfate
injekcija Ticarcillin / clavulanic acid
3643
Neodređena nespojivost inkompatibilan
injekcija Gentamicin sulfate
injekcija Ticarcillin / clavulanic acid
3520
Kompatibilan
injekcija Gentamicin sulfate
injekcija Tigecycline
natrijumkorid 0,9% 3332
Kompatibilan
injekcija Gentamicin sulfate 6 mg/ml
injekcija Vancomycin hydrochloride 10 mg/ml
glukoza 5% 3385
Kompatibilan
injekcija Gentamicin sulfate 1.2 mg/ml
injekcija Vasopressin 0.2 UI/ml
natrijumkorid 0,9% 2017
Kompatibilan
injekcija Gentamicin sulfate 2 mg/ml
injekcija Vecuronium bromide 0.1 mg/ml
glukoza 5% 402
Kompatibilan
injekcija Gentamicin sulfate 0.16 mg/ml
injekcija Verapamil hydrochloride 0.08 mg/ml
glukoza 5% 1057
Kompatibilan
injekcija Gentamicin sulfate 0.16 mg/ml
injekcija Verapamil hydrochloride 0.08 mg/ml
natrijumkorid 0,9% 1057
Kompatibilan
injekcija Gentamicin sulfate 5 mg/ml
injekcija Vinorelbine tartrate 1 mg/ml
natrijumkorid 0,9% 84
Neposredna zamućenost inkompatibilan
injekcija Gentamicin sulfate 1.6 mg/ml
injekcija Warfarin sodium 2 mg/ml
glukoza 5% 315
Kompatibilan
injekcija Gentamicin sulfate 2 mg/ml
injekcija Zidovudine 4 mg/ml
glukoza 5% 337

  Mentions Légales