最新更新 :
27/04/2026
抗菌薬   Gentamicin sulfate  
注射薬
点眼薬
溶媒内の安定性 混合時の安定性 安定性に影響する因子 互換性 投与経路 引用文献 PDF
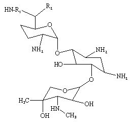
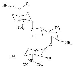
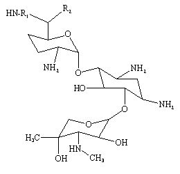
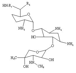
   化学構造  

商品名   商品名     

商品名、賦形剤は国、製薬会社ごとに異なることがあります

Azupel ペルー
Cidomycin イギリス, エジプト, チュニジア
Dabroson ギリシア
Epigent エジプト
Garalone ポルトガル
Garamicina エクアドル, コロンビア, ブラジル, メキシコ
Garamycin アラブ首長国連邦, インド, エジプト, オランダ, ギリシア, クロアチア, スイス, デンマーク, ノルウェー, ポーランド
Genmisin トルコ
Gensif トルコ
Gensumycin スウェーデン, ノルウェー, フィンランド
Genta-Gobens スペイン
Gentalline モロッコ
Gentamen モロッコ
Genticin アイルランド, アラブ首長国連邦, イギリス
Gentreks トルコ
Hexamycin デンマーク
Plurisemina アルゼンチン
Refobacin エジプト, オーストリア, コロンビア, ドイツ
Rupegen アルゼンチン
互換性   注射薬   互換性 : Gentamicin sulfate              
This screen indicates the compatibilities or incompatibilities with, in this case, the type of incompatibility (precipitation, color change, modification of an emulsion, etc.). The compatibilities shown here are mostly physical only, with the chemical stability of each molecule rarely being assessed. The evaluation of these mixtures was studied to consider the possibility of Y-site administration to the patient. These data cannot be used for making mixtures in advance in bags or syringes. This type of information is available in the screen "Stability in mixture ».
化合物 溶媒 引用文献
対応
注射薬 Gentamicin sulfate 1.6 mg/ml
注射薬 Aciclovir sodium 5 mg/ml
グルコース5% 336
即時降水 非互換
注射薬 Gentamicin sulfate 30 mg/ml
注射薬 Aciclovir sodium 5 mg/ml
NaCl 0,9% 2335
1時間後の降水 非互換
注射薬 Gentamicin sulfate 5 mg/ml
注射薬 Allopurinol sodium 3 mg/ml
NaCl 0,9% 307
対応
注射薬 Gentamicin sulfate 1 mg/ml
注射薬 Alprostadil 15 µg/ml
3201
対応
注射薬 Gentamicin sulfate 5 mg/ml
注射薬 Amifostine 10 mg/ml
グルコース5% 3
対応
注射薬 Gentamicin sulfate 0.8 mg/ml
注射薬 Amiodarone hydrochloride 4 mg/ml
NaCl 0,9% 385
対応
注射薬 Gentamicin sulfate 0.8 mg/ml
注射薬 Amiodarone hydrochloride 4 mg/ml
グルコース5% 385
不特定の非互換性 非互換
注射薬 Gentamicin sulfate
注射薬 Amoxicillin sodium
3643
不特定の非互換性 非互換
注射薬 Gentamicin sulfate
注射薬 Amoxicillin sodium
3520
化学的不安定性 非互換
注射薬 Gentamicin sulfate
注射薬 Amoxicillin sodium
3527
不特定の非互換性 非互換
注射薬 Gentamicin sulfate
注射薬 Amoxicillin sodium / clavulanic acid
3643
不特定の非互換性 非互換
注射薬 Gentamicin sulfate
注射薬 Amoxicillin sodium / clavulanic acid
3545
不特定の非互換性 非互換
注射薬 Gentamicin sulfate
注射薬 Amoxicillin sodium / clavulanic acid
3520
対応
注射薬 Gentamicin sulfate 40 mg/ml
注射薬 Amoxicillin sodium / clavulanic acid 100/10 mg/ml
3824
即時降水 非互換
注射薬 Gentamicin sulfate 5 mg/ml
注射薬 Amphotericin B cholesteryl sulfate complex 0,83 mg/ml
グルコース5% 921
不特定の非互換性 非互換
注射薬 Gentamicin sulfate
注射薬 Ampicillin sodium
3643
不特定の非互換性 非互換
注射薬 Gentamicin sulfate
注射薬 Ampicillin sodium
3520
不特定の非互換性 非互換
注射薬 Gentamicin sulfate
注射薬 Ampicillin sodium - sulbactam sodium
3643
不特定の非互換性 非互換
注射薬 Gentamicin sulfate
注射薬 Ampicillin sodium - sulbactam sodium
3520
対応
注射薬 Gentamicin sulfate 5 mg/ml
注射薬 Amsacrine 1 mg/ml
グルコース5% 253
対応
注射薬 Gentamicin sulfate 5 mg/ml
注射薬 Anidulafungin 0.5 mg/ml
グルコース5% 1982
対応
注射薬 Gentamicin sulfate 0,8 mg/ml
注射薬 Atosiban 0,75 mg/ml
4642
対応
注射薬 Gentamicin sulfate 2 mg/ml
注射薬 Atracurium besylate 0.5 mg/ml
グルコース5% 402
即時降水 非互換
注射薬 Gentamicin sulfate 21 mg/ml
注射薬 Azithromycine 2 mg/ml
NaCl 0,9% 1800
対応
注射薬 Gentamicin sulfate 5 mg/ml
注射薬 Aztreonam 40 mg/ml
グルコース5% 99
対応
注射薬 Gentamicin sulfate 0.2 & 0.8 mg/ml
注射薬 Aztreonam 10 & 20 mg/ml
NaCl 0,9% 19
対応
注射薬 Gentamicin sulfate 0.2 & 0.8 mg/ml
注射薬 Aztreonam 10 & 20 mg/ml
グルコース5% 19
対応
注射薬 Gentamicin sulfate 5 mg/ml
注射薬 Bivalirudin 5 mg/ml
グルコース5% 1713
対応
注射薬 Gentamicin sulfate 10 mg/ml
注射薬 Caffeine 10 mg/ml
なし 3964
対応
注射薬 Gentamicin sulfate 10 mg/ml
注射薬 Caffeine 10 mg/ml
NaCl 0,9% 4837
対応
注射薬 Gentamicin sulfate 10 mg/ml
注射薬 Caffeine citrate 20 mg/ml
NaCl 0,9% 4837
不特定の非互換性 非互換
注射薬 Gentamicin sulfate
注射薬 Calcium gluconate
3644
非互換
注射薬 Gentamicin sulfate
注射薬 Calcium gluconate
4964
対応
注射薬 Gentamicin sulfate 5 mg/ml
注射薬 Caspofungin acetate 0,7 mg/ml
NaCl 0,9% 2247
不特定の非互換性 非互換
注射薬 Gentamicin sulfate
注射薬 Cefalotin sodium
3520
不特定の非互換性 非互換
注射薬 Gentamicin sulfate
注射薬 Cefalotin sodium
3643
即時降水 非互換
注射薬 Gentamicin sulfate
注射薬 Cefamandole nafate 2 >> 100 mg/ml
グルコース5% 612
不特定の非互換性 非互換
注射薬 Gentamicin sulfate
注射薬 Cefamandole nafate
3643
不特定の非互換性 非互換
注射薬 Gentamicin sulfate
注射薬 Cefamandole nafate
3520
不特定の非互換性 非互換
注射薬 Gentamicin sulfate
注射薬 Cefamandole nafate
3546
即時降水 非互換
注射薬 Gentamicin sulfate
注射薬 Cefamandole nafate 2 >> 100 mg/ml
NaCl 0,9% 612
不特定の非互換性 非互換
注射薬 Gentamicin sulfate
注射薬 Cefazolin sodium
3520
不特定の非互換性 非互換
注射薬 Gentamicin sulfate
注射薬 Cefazolin sodium
3643
不特定の非互換性 非互換
注射薬 Gentamicin sulfate
注射薬 Cefepime dihydrochloride
3520
対応
注射薬 Gentamicin sulfate 6 mg/ml
注射薬 Cefepime dihydrochloride 125 mg/ml
注射用水 2141
不特定の非互換性 非互換
注射薬 Gentamicin sulfate
注射薬 Cefepime dihydrochloride
3548
不特定の非互換性 非互換
注射薬 Gentamicin sulfate
注射薬 Cefepime dihydrochloride
3643
対応
注射薬 Gentamicin sulfate 5 mg/ml
注射薬 Cefiderocol sulfate tosylate 20 mg/mL
グルコース5% 4528
対応
注射薬 Gentamicin sulfate 5 mg/ml
注射薬 Cefiderocol sulfate tosylate 20 mg/mL
NaCl 0,9% 4528
不特定の非互換性 非互換
注射薬 Gentamicin sulfate
注射薬 Cefmenoxime
3520
不特定の非互換性 非互換
注射薬 Gentamicin sulfate
注射薬 Cefmenoxime
3643
不特定の非互換性 非互換
注射薬 Gentamicin sulfate
注射薬 Cefmetazole sodium
3520
不特定の非互換性 非互換
注射薬 Gentamicin sulfate
注射薬 Cefmetazole sodium
3643
不特定の非互換性 非互換
注射薬 Gentamicin sulfate
注射薬 Cefonicid sodium
3643
不特定の非互換性 非互換
注射薬 Gentamicin sulfate
注射薬 Cefonicid sodium
3520
不特定の非互換性 非互換
注射薬 Gentamicin sulfate
注射薬 Cefoperazone sodium
3544
不特定の非互換性 非互換
注射薬 Gentamicin sulfate
注射薬 Cefoperazone sodium
3643
即時降水 非互換
注射薬 Gentamicin sulfate 0.8 mg/ml
注射薬 Cefoperazone sodium 10 mg/ml
グルコース5% 1206
不特定の非互換性 非互換
注射薬 Gentamicin sulfate
注射薬 Cefoperazone sodium
3520
不特定の非互換性 非互換
注射薬 Gentamicin sulfate
注射薬 Ceforanide
3643
不特定の非互換性 非互換
注射薬 Gentamicin sulfate
注射薬 Ceforanide
3520
不特定の非互換性 非互換
注射薬 Gentamicin sulfate
注射薬 Cefotaxime sodium
3520
不特定の非互換性 非互換
注射薬 Gentamicin sulfate
注射薬 Cefotaxime sodium
3643
不特定の非互換性 非互換
注射薬 Gentamicin sulfate
注射薬 Cefoxitin sodium
3643
不特定の非互換性 非互換
注射薬 Gentamicin sulfate
注射薬 Cefoxitin sodium
3520
対応
注射薬 Gentamicin sulfate 1 mg/ml
注射薬 Cefpirome sulfate 50 mg/ml
NaCl 0,9% 280
対応
注射薬 Gentamicin sulfate 1 mg/ml
注射薬 Cefpirome sulfate 50 mg/ml
乳酸リンゲル 280
対応
注射薬 Gentamicin sulfate 1 mg/ml
注射薬 Cefpirome sulfate 50 mg/ml
NaCl 0.45% 280
不特定の非互換性 非互換
注射薬 Gentamicin sulfate
注射薬 Cefpirome sulfate
3643
不特定の非互換性 非互換
注射薬 Gentamicin sulfate
注射薬 Cefpirome sulfate
3677
対応
注射薬 Gentamicin sulfate 1 mg/ml
注射薬 Cefpirome sulfate 50 mg/ml
グルコース5% 280
不特定の非互換性 非互換
注射薬 Gentamicin sulfate
注射薬 Cefpirome sulfate
3520
対応
注射薬 Gentamicin sulfate 5 mg/ml
注射薬 Ceftaroline fosamil 2,22 mg/ml
NaCl 0,9% 3249
対応
注射薬 Gentamicin sulfate 5 mg/ml
注射薬 Ceftaroline fosamil 2,22 mg/ml
乳酸リンゲル 3249
対応
注射薬 Gentamicin sulfate 5 mg/ml
注射薬 Ceftaroline fosamil 2,22 mg/ml
グルコース5% 3249
不特定の非互換性 非互換
注射薬 Gentamicin sulfate
注射薬 Ceftaroline fosamil
3643
不特定の非互換性 非互換
注射薬 Gentamicin sulfate
注射薬 Ceftaroline fosamil
3520
不特定の非互換性 非互換
注射薬 Gentamicin sulfate
注射薬 Ceftazidime
3543
不特定の非互換性 非互換
注射薬 Gentamicin sulfate
注射薬 Ceftazidime
3520
不特定の非互換性 非互換
注射薬 Gentamicin sulfate
注射薬 Ceftazidime
3643
対応
注射薬 Gentamicin sulfate 6 mg/ml
注射薬 Ceftazidime 125 mg/ml
注射用水 2141
対応
注射薬 Gentamicin sulfate 6 mg/ml
注射薬 Ceftazidime 83.3 mg/ml
1759
不特定の非互換性 非互換
注射薬 Gentamicin sulfate
注射薬 Ceftazidime
3883
不特定の非互換性 非互換
注射薬 Gentamicin sulfate
注射薬 Ceftazidime Avibactam
3520
不特定の非互換性 非互換
注射薬 Gentamicin sulfate
注射薬 Ceftazidime Avibactam
3643
不特定の非互換性 非互換
注射薬 Gentamicin sulfate
注射薬 Ceftizoxime sodium
3643
不特定の非互換性 非互換
注射薬 Gentamicin sulfate
注射薬 Ceftizoxime sodium
3520
不特定の非互換性 非互換
注射薬 Gentamicin sulfate
注射薬 Ceftobiprole medocaril sodium
3643
不特定の非互換性 非互換
注射薬 Gentamicin sulfate
注射薬 Ceftobiprole medocaril sodium
4650
即時降水 非互換
注射薬 Gentamicin sulfate 5 mg/ml
注射薬 Ceftobiprole medocaril sodium 2 mg/ml
グルコース5% 2269
即時降水 非互換
注射薬 Gentamicin sulfate 5 mg/ml
注射薬 Ceftobiprole medocaril sodium 2 mg/ml
乳酸リンゲル 2269
即時降水 非互換
注射薬 Gentamicin sulfate 5 mg/ml
注射薬 Ceftobiprole medocaril sodium 2 mg/ml
NaCl 0,9% 2269
不特定の非互換性 非互換
注射薬 Gentamicin sulfate
注射薬 Ceftobiprole medocaril sodium
3520
対応
注射薬 Gentamicin sulfate 5 mg/ml
注射薬 Ceftolozane / tazobactam 10/5 mg/ml
グルコース5% 3828
不特定の非互換性 非互換
注射薬 Gentamicin sulfate
注射薬 Ceftolozane / tazobactam
3643
不特定の非互換性 非互換
注射薬 Gentamicin sulfate
注射薬 Ceftolozane / tazobactam
3520
対応
注射薬 Gentamicin sulfate 5 mg/ml
注射薬 Ceftolozane / tazobactam 10/5 mg/ml
NaCl 0,9% 3828
不特定の非互換性 非互換
注射薬 Gentamicin sulfate
注射薬 Ceftriaxone disodium
3523
不特定の非互換性 非互換
注射薬 Gentamicin sulfate
注射薬 Ceftriaxone disodium
3643
不特定の非互換性 非互換
注射薬 Gentamicin sulfate
注射薬 Ceftriaxone disodium
3520
不特定の非互換性 非互換
注射薬 Gentamicin sulfate
注射薬 Cefuroxime sodium
3643
不特定の非互換性 非互換
注射薬 Gentamicin sulfate
注射薬 Cefuroxime sodium
3520
不特定の非互換性 非互換
注射薬 Gentamicin sulfate
注射薬 Cefuroxime sodium
3687
不特定の非互換性 非互換
注射薬 Gentamicin sulfate
注射薬 Cefuzonam
3520
対応
注射薬 Gentamicin sulfate 0.8 mg/ml
注射薬 Cimetidine hydrochloride 3 mg/ml
グルコース5% 1201
対応
注射薬 Gentamicin sulfate 0.08 mg/ml
注射薬 Cimetidine hydrochloride 1.2 & 5 mg/ml
NaCl 0,9% 1201
対応
注射薬 Gentamicin sulfate 0.08 mg/ml
注射薬 Cimetidine hydrochloride 1.2 & 5 mg/ml
グルコース5% 1201
対応
注射薬 Gentamicin sulfate 10 mg/ml
注射薬 Ciprofloxacin lactate 2 mg/ml
NaCl 0,9% 289
対応
注射薬 Gentamicin sulfate 1.6 mg/ml
注射薬 Ciprofloxacin lactate 2 mg/ml
グルコース5% 285
対応
注射薬 Gentamicin sulfate 5 mg/ml
注射薬 Cisatracurium besylate 0.1 >> 5 mg/ml
グルコース5% 299
化学的不安定性 非互換
注射薬 Gentamicin sulfate
注射薬 Cisplatin
3578
対応
注射薬 Gentamicin sulfate 12 mg/ml
注射薬 Clindamycin phosphate 90 mg/ml
NaCl 0,9% 639
対応
注射薬 Gentamicin sulfate 0.67 mg/ml
注射薬 Clindamycin phosphate 6 mg/ml
グルコース5% 423
対応
注射薬 Gentamicin sulfate
グルコース5% 434
不特定の非互換性 非互換
注射薬 Gentamicin sulfate
注射薬 Cefuzonam
3643
対応
注射薬 Gentamicin sulfate 1 mg/ml
注射薬 Ciprofloxacin lactate 1.5 mg/ml
NaCl 0,9% 434
対応
注射薬 Gentamicin sulfate 1.6 mg/ml
注射薬 Ciprofloxacin lactate 2 mg/ml
グルコース5% 288
対応
注射薬 Gentamicin sulfate 1.6 mg/ml
注射薬 Ciprofloxacin lactate 2 mg/ml
NaCl 0,9% 288
対応
注射薬 Gentamicin sulfate 1 mg/ml
注射薬 Ciprofloxacin lactate 1.5 mg/ml
グルコース5% 434
対応
注射薬 Gentamicin sulfate
注射薬 Clindamycin phosphate
NaCl 0,9% 3526
即時降水 非互換
注射薬 Gentamicin sulfate 40 mg/ml
注射薬 Cloxacillin sodium 100 mg/ml
注射用水 3012
対応
注射薬 Gentamicin sulfate 15 mg/ml
注射薬 Cytarabine 16 mg/ml
NaCl 0,9% 132
非互換
注射薬 Gentamicin sulfate 2 & 10 mg/ml
非経口的栄養(脂肪含む) 4924
対応
注射薬 Gentamicin sulfate
注射薬 Clindamycin phosphate
グルコース5% 3526
不特定の非互換性 非互換
注射薬 Gentamicin sulfate
注射薬 Cloxacillin sodium
3520
不特定の非互換性 非互換
注射薬 Gentamicin sulfate
注射薬 Cytarabine
3580
対応
注射薬 Gentamicin sulfate 1,5 mg/ml
注射薬 Daptomycin 19,2 mg/ml
NaCl 0,9% 1937
対応
注射薬 Gentamicin sulfate 0,05 mg/ml
非経口的栄養(二元混合物) 4445
不特定の非互換性 非互換
注射薬 Gentamicin sulfate
注射薬 Cloxacillin sodium
3643
4時間後のエマルジョンの不安定性 非互換
注射薬 Gentamicin sulfate 2 mg/ml
非経口的栄養(脂肪含む) 4507
不特定の非互換性 非互換
注射薬 Gentamicin sulfate
注射薬 Dalteparin sodium
3643
対応
注射薬 Gentamicin sulfate
注射薬 Daptomycin
2271
対応
注射薬 Gentamicin sulfate 10 mg/ml
非経口的栄養(二元混合物) 316
対応
注射薬 Gentamicin sulfate
注射薬 Dimenhydrinate
2087
対応
注射薬 Gentamicin sulfate 10 & 40 mg/ml
非経口的栄養(二元混合物) 999
サブビジュアルの非互換性 非互換
注射薬 Gentamicin sulfate
注射薬 Daunorubicin/cytarabine liposomale
4354
対応
注射薬 Gentamicin sulfate 1 mg/ml
非経口的栄養(二元混合物) 939
すぐに濁り 非互換
注射薬 Gentamicin sulfate
注射薬 Daunorubicin/cytarabine liposomale 0,4 mg/mL
NaCl 0,9% 4654
対応
注射薬 Gentamicin sulfate 0.8 mg/ml
注射薬 Diatrizoate meglumine 283 mg/ml
なし 1085
対応
注射薬 Gentamicin sulfate 2.4 & 40 mg/ml
注射薬 Diltiazem hydrochloride 5 mg/ml
NaCl 0,9% 198
対応
注射薬 Gentamicin sulfate 5 mg/ml
注射薬 Docetaxel 0.9 mg/ml
グルコース5% 1754
不特定の非互換性 非互換
注射薬 Gentamicin sulfate
注射薬 Dopamine hydrochloride
3638
対応
注射薬 Gentamicin sulfate 5 mg/ml
非経口的栄養(二元混合物) 301
対応
注射薬 Gentamicin sulfate 5 mg/ml
注射薬 Doripenem 5 mg/ml
NaCl 0,9% 2262
不特定の非互換性 非互換
注射薬 Gentamicin sulfate
NaHCO3 3520
対応
注射薬 Gentamicin sulfate 2 mg/ml
注射薬 Dopamine hydrochloride 0.8 mg/ml
グルコース5% 738
気泡の生成 非互換
注射薬 Gentamicin sulfate
NaHCO3 3643
対応
注射薬 Gentamicin sulfate 5 mg/ml
注射薬 Dexmedetomidine 4 µg/ml
NaCl 0,9% 1712
対応
注射薬 Gentamicin sulfate 5 mg/ml
注射薬 Doripenem 5 mg/ml
グルコース5% 2262
対応
注射薬 Gentamicin sulfate 5 mg/ml
非経口的栄養(脂肪含む) 1415
対応
注射薬 Gentamicin sulfate 10 mg/ml
注射薬 Doxapram hydrochloride 2 mg/ml
グルコース5% 1802
対応
注射薬 Gentamicin sulfate 5 mg/ml
注射薬 Doxorubicin hydrochloride liposome peg 0.4 mg/ml
グルコース5% 251
対応
注射薬 Gentamicin sulfate 0.8 mg/ml
注射薬 Enalaprilate 0.05 mg/ml
NaCl 0,9% 1315
不特定の非互換性 非互換
注射薬 Gentamicin sulfate
注射薬 Enoxaparin sodium
3643
対応
注射薬 Gentamicin sulfate 5 mg/ml
注射薬 Eravacycline 0,6 mg/ml
NaCl 0,9% 4434
不特定の非互換性 非互換
注射薬 Gentamicin sulfate
注射薬 Erythromycin lactobionate
3674
不特定の非互換性 非互換
注射薬 Gentamicin sulfate
注射薬 Erythromycin lactobionate
3520
不特定の非互換性 非互換
注射薬 Gentamicin sulfate
注射薬 Erythromycin lactobionate
3643
対応
注射薬 Gentamicin sulfate 0,8 mg/ml
注射薬 Esmolol hydrochloride 10 mg/ml
グルコース5% 384
対応
注射薬 Gentamicin sulfate 5 mg/ml
注射薬 Etoposide phosphate 5 mg/ml
グルコース5% 1410
対応
注射薬 Gentamicin sulfate 5 mg/ml
注射薬 Famotidine 2 mg/ml
NaCl 0,9% 215
対応
注射薬 Gentamicin sulfate 0,8 mg/ml
注射薬 Famotidine
グルコース5% 397
対応
注射薬 Gentamicin sulfate 5 mg/ml
注射薬 Fenoldopam mesylate 80 µg/ml
NaCl 0,9% 1803
対応
注射薬 Gentamicin sulfate 10 mg/ml
注射薬 Fentanyl citrate 50 µg/ml
グルコース5% 63
対応
注射薬 Gentamicin sulfate 1.6 mg/ml
注射薬 Filgrastim 40 µg/ml
グルコース5% 104
対応
注射薬 Gentamicin sulfate 5 mg/ml
注射薬 Filgrastim 30 µg/ml
グルコース5% 244
不特定の非互換性 非互換
注射薬 Gentamicin sulfate
注射薬 Flucloxacillin sodium
3643
即時降水 非互換
注射薬 Gentamicin sulfate
注射薬 Flucloxacillin sodium
3522
対応
注射薬 Gentamicin sulfate 1 mg/ml
注射薬 Fluconazole 2 mg/ml
なし 256
対応
注射薬 Gentamicin sulfate 4 mg/ml
注射薬 Fluconazole 2 mg/ml
NaCl 0,9% 496
対応
注射薬 Gentamicin sulfate 5 mg/ml
注射薬 Fludarabine phosphate 1 mg/ml
グルコース5% 492
対応
注射薬 Gentamicin sulfate 2 mg/ml
注射薬 Foscarnet sodium 24 mg/ml
NaCl 0,9% 1135
対応
注射薬 Gentamicin sulfate 2 mg/ml
注射薬 Foscarnet sodium 24 mg/ml
グルコース5% 1135
対応
注射薬 Gentamicin sulfate 4 mg/ml
注射薬 Foscarnet sodium 24 mg/ml
なし 73
対応
注射薬 Gentamicin sulfate 10 mg/ml
乳酸リンゲル 4603
対応
注射薬 Gentamicin sulfate 5 mg/ml
注射薬 Fosfomycin 30 mg/ml
NaCl 0,9% 4055
即時降水 非互換
注射薬 Gentamicin sulfate 0,4 mg/ml
非経口的栄養(脂肪含む) 4440
対応
注射薬 Gentamicin sulfate 40 mg/ml
非経口的栄養(脂肪含む) 673
対応
注射薬 Gentamicin sulfate 5 mg/ml
注射薬 Fosfomycin 30 mg/ml
グルコース5% 4055
即時降水 非互換
注射薬 Gentamicin sulfate 10 mg/ml
注射薬 Furosemide 10 mg/ml
789
即時降水 非互換
注射薬 Gentamicin sulfate 1,6 mg/ml
注射薬 Furosemide 0,8 mg/ml
グルコース5% 367
即時降水 非互換
注射薬 Gentamicin sulfate 1,6 mg/ml
注射薬 Furosemide 0,8 mg/ml
NaCl 0,9% 367
すぐに濁り 非互換
注射薬 Gentamicin sulfate 6.4 mg/ml
注射薬 Furosemide 5 mg/ml
805
2時間後の降水 非互換
注射薬 Gentamicin sulfate 8 mg/ml
注射薬 Furosemide 1 mg/ml
NaCl 0,9% 1232
対応
注射薬 Gentamicin sulfate 5 mg/ml
注射薬 Gemcitabine hydrochloride 10 mg/ml
NaCl 0,9% 1423
対応
注射薬 Gentamicin sulfate 1.5 mg/ml
注射薬 Granisetron hydrochloride 1 mg/ml
NaCl 0,9% 57
対応
注射薬 Gentamicin sulfate 1 & 2 mg/ml
注射薬 Heparin sodium 2500 UI/ml
4612
即時降水 非互換
注射薬 Gentamicin sulfate 4 >> 40 mg/ml
注射薬 Heparin sodium 10 >> 40 UI/ml
1258
即時降水 非互換
注射薬 Gentamicin sulfate
注射薬 Heparin sodium
1022
不特定の非互換性 非互換
注射薬 Gentamicin sulfate 2 mg/ml
注射薬 Heparin sodium 50 UI/ml
なし 317
不特定の非互換性 非互換
注射薬 Gentamicin sulfate
注射薬 Heparin sodium
3643
不特定の非互換性 非互換
注射薬 Gentamicin sulfate
注射薬 Heparin sodium
3520
不特定の非互換性 非互換
注射薬 Gentamicin sulfate
注射薬 Heparin sodium
3540
すぐに濁り 非互換
注射薬 Gentamicin sulfate 3 mg/ml
注射薬 Heparin sodium 2500 UI/ml
4612
即時降水 非互換
注射薬 Gentamicin sulfate 4 & 5 mg/ml
注射薬 Heparin sodium 2500 UI/ml
4612
対応
注射薬 Gentamicin sulfate 5 mg/ml
注射薬 Hetastarch 60 mg/ml
特定の溶媒 1721
即時降水 非互換
注射薬 Gentamicin sulfate 0.8 mg/ml
注射薬 Hetastarch 60 mg/ml
NaCl 0,9% 472
対応
注射薬 Gentamicin sulfate 0.8 mg/ml
注射薬 Hydromorphone hydrochloride 0.2 mg/ml
グルコース5% 405
色変更 非互換
注射薬 Gentamicin sulfate 3 mg/ml
注射薬 Idarubicin hydrochloride 1 mg/ml
NaCl 0,9% 491
即時降水 非互換
注射薬 Gentamicin sulfate 1 mg/ml
注射薬 Indomethacin sodium trihydrate 0,5 & 1 mg/ml
グルコース5% 494
15分後の沈殿 非互換
注射薬 Gentamicin sulfate 1 mg/ml
注射薬 Indomethacin sodium trihydrate 0,5 & 1 mg/ml
グルコース5% 1745
対応
注射薬 Gentamicin sulfate 1.2 >> 2 mg/ml
注射薬 Insulin 0.2 UI/ml
NaCl 0,9% 129
対応
注射薬 Gentamicin sulfate 0.8 mg/ml
注射薬 Iohexol 300 mg I/ml
なし 1085
即時降水 非互換
注射薬 Gentamicin sulfate 0.8 mg/ml
注射薬 Ioxaglate 320 mg I/ml
なし 1085
対応
注射薬 Gentamicin sulfate 5 mg/ml
注射薬 Isavuconazonium sulfate 1.5 mg/ml
グルコース5% 3829
対応
注射薬 Gentamicin sulfate 5 mg/ml
注射薬 Isavuconazonium sulfate 1.5 mg/ml
NaCl 0,9% 3829
対応
注射薬 Gentamicin sulfate 40 mg/ml
注射薬 Ketamine hydrochloride 50 mg/ml
2109
対応
注射薬 Gentamicin sulfate 0.8 mg/ml
注射薬 Labetalol hydrochloride 1 mg/ml
グルコース5% 386
対応
注射薬 Gentamicin sulfate 5 mg/ml
注射薬 Lansoprazole 0.55 mg/ml
NaCl 0,9% 1625
対応
注射薬 Gentamicin sulfate 10 mg/ml
注射薬 Levofloxacine 5 mg/ml
グルコース5% 1072
対応
注射薬 Gentamicin sulfate 0,75 mg/ml
注射薬 Linezolid 1,80 mg/ml
2353
対応
注射薬 Gentamicin sulfate 5 mg/ml
注射薬 Linezolid 2 mg/ml
なし 1925
対応
注射薬 Gentamicin sulfate 3 mg/ml
注射薬 Lorazepam 0.33 mg/ml
NaCl 0,9% 186
対応
注射薬 Gentamicin sulfate 0.8 mg/ml
注射薬 Magnesium sulfate 16.67 >> 100 mg/ml
グルコース5% 1047
対応
注射薬 Gentamicin sulfate 5 mg/ml
注射薬 Melphalan 0.1 mg/ml
NaCl 0,9% 169
対応
注射薬 Gentamicin sulfate 40 mg/ml
注射薬 Meropenem 50 mg/ml
注射用水 4319
対応
注射薬 Gentamicin sulfate 0.8 mg/ml
注射薬 Meropenem 1 & 20 mg/ml
NaCl 0,9% 266
対応
注射薬 Gentamicin sulfate 4 mg/ml
注射薬 Meropenem 1 & 50 mg/ml
NaCl 0,9% 266
対応
注射薬 Gentamicin sulfate 30 mg/ml
注射薬 Meropenem 10 mg/ml
NaCl 0,9% 2335
対応
注射薬 Gentamicin sulfate 0,8 & 1,2 mg/ml
注射薬 Metronidazole 5 mg/ml
なし 1243
対応
注射薬 Gentamicin sulfate 0.8 mg/ml
注射薬 Metronidazole 5 mg/ml
なし 1035
対応
注射薬 Gentamicin sulfate
注射薬 Metronidazole
3594
対応
注射薬 Gentamicin sulfate 3 mg/ml
注射薬 Midazolam hydrochloride 5 mg/ml
なし 186
対応
注射薬 Gentamicin sulfate 10 mg/ml
注射薬 Midazolam hydrochloride 1 mg/ml
グルコース5% 176
対応
注射薬 Gentamicin sulfate 0.8 mg/ml
注射薬 Midazolam hydrochloride 0.05 >> 0.4 mg/ml
NaCl 0,9% 1888
不特定の非互換性 非互換
注射薬 Gentamicin sulfate
注射薬 Mitomycin
4471
化学的不安定性 非互換
注射薬 Gentamicin sulfate
注射薬 Mitomycin
3128
対応
注射薬 Gentamicin sulfate 1.2 & 2 mg/ml
注射薬 Morphine sulfate 1 mg/ml
NaCl 0,9% 406
対応
注射薬 Gentamicin sulfate 0.8 mg/ml
注射薬 Morphine sulfate 1 mg/ml
グルコース5% 405
不特定の非互換性 非互換
注射薬 Gentamicin sulfate
注射薬 Moxalactam
3643
不特定の非互換性 非互換
注射薬 Gentamicin sulfate
注射薬 Moxalactam
3520
対応
注射薬 Gentamicin sulfate 40 mg/ml
注射薬 N-acetylcysteine 200 mg/ml
なし 3766
不特定の非互換性 非互換
注射薬 Gentamicin sulfate
注射薬 Nadroparin
3643
不特定の非互換性 非互換
注射薬 Gentamicin sulfate
注射薬 Nafcillin sodium
3643
不特定の非互換性 非互換
注射薬 Gentamicin sulfate
注射薬 Nafcillin sodium
3520
対応
注射薬 Gentamicin sulfate 40 mg/ml
注射薬 Naloxone hydrochloride 0.4 mg/ml
なし 3408
対応
注射薬 Gentamicin sulfate 4.17 mg/ml
注射薬 Nefopam 0.16 mg/ml
NaCl 0,9% 4254
対応
注射薬 Gentamicin sulfate 4.17 mg/ml
注射薬 Nefopam 0.16 mg/ml
グルコース5% 4254
対応
注射薬 Gentamicin sulfate 0.8 mg/ml
注射薬 Nicardipine hydrochloride 0.1 mg/ml
グルコース5% 1490
対応
注射薬 Gentamicin sulfate 0.8 mg/ml
注射薬 Nicardipine hydrochloride 0.1 mg/ml
NaCl 0,9% 1490
対応
注射薬 Gentamicin sulfate 0,8 mg/ml
注射薬 Ofloxacin 2 mg/ml
なし 889
対応
注射薬 Gentamicin sulfate 5 mg/ml
注射薬 Ondansetron hydrochloride 1 mg/ml
NaCl 0,9% 334
対応
注射薬 Gentamicin sulfate 5 mg/ml
注射薬 Oritavancin 0.8 >>2 mg/ml
グルコース5% 3152
不特定の非互換性 非互換
注射薬 Gentamicin sulfate
注射薬 Oxacillin sodium
3643
不特定の非互換性 非互換
注射薬 Gentamicin sulfate
注射薬 Oxacillin sodium
3520
対応
注射薬 Gentamicin sulfate 40 mg/ml
注射薬 Oxycodone hydrochloride 1 mg/ml
NaCl 0,9% 4842
対応
注射薬 Gentamicin sulfate 5 mg/ml
注射薬 Paclitaxel 1.2 mg/ml
グルコース5% 248
対応
注射薬 Gentamicin sulfate 5 mg/ml
注射薬 Palonosetron hydrochloride 50 µg/ml
グルコース5% 2228
対応
注射薬 Gentamicin sulfate 2 mg/ml
注射薬 Pancuronium bromide 0.05 mg/ml
グルコース5% 402
即時降水 非互換
注射薬 Gentamicin sulfate
注射薬 Pantoprazole sodium
2090
対応
注射薬 Gentamicin sulfate 40 mg/ml
注射薬 Paracetamol 10 mg/ml
4742
即時降水 非互換
注射薬 Gentamicin sulfate 5 mg/ml
注射薬 Pemetrexed disodium 20 mg/ml
1953
不特定の非互換性 非互換
注射薬 Gentamicin sulfate
注射薬 Penicillin G potassium
3643
不特定の非互換性 非互換
注射薬 Gentamicin sulfate
注射薬 Penicillin G potassium
3520
不特定の非互換性 非互換
注射薬 Gentamicin sulfate
注射薬 Penicillin G sodium
3643
不特定の非互換性 非互換
注射薬 Gentamicin sulfate
注射薬 Penicillin G sodium
3520
対応
注射薬 Gentamicin sulfate 10 mg/ml
注射薬 Pentoxifyllin 5 mg/ml
NaCl 0,9% 4543
対応
注射薬 Gentamicin sulfate 0.8 mg/ml
注射薬 Pethidine hydrochloride 10 mg/ml
グルコース5% 405
即時降水 非互換
注射薬 Gentamicin sulfate 10 mg/ml
注射薬 Phenytoin sodium 50 mg/ml
789
対応
注射薬 Gentamicin sulfate 20 mg/ml
注射薬 Phloroglucinol 2,5 mg/ml
3791
不特定の非互換性 非互換
注射薬 Gentamicin sulfate
注射薬 Piperacillin sodium
3520
不特定の非互換性 非互換
注射薬 Gentamicin sulfate
注射薬 Piperacillin sodium
3643
不特定の非互換性 非互換
注射薬 Gentamicin sulfate
注射薬 Piperacillin sodium / tazobactam
3520
化学的不安定性 非互換
注射薬 Gentamicin sulfate
注射薬 Piperacillin sodium / tazobactam
3586
不特定の非互換性 非互換
注射薬 Gentamicin sulfate
注射薬 Piperacillin sodium / tazobactam
3643
対応
注射薬 Gentamicin sulfate
注射薬 Posaconazole
4380
対応
注射薬 Gentamicin sulfate 30 mg/ml
注射薬 Potassium chloride 20 mEq/l
NaCl 0,45% Glucose 5% 2335
エマルジョンの即時の不安定性 非互換
注射薬 Gentamicin sulfate 2 mg/ml
注射薬 Propofol
660
不特定の非互換性 非互換
注射薬 Gentamicin sulfate 40 mg/ml
注射薬 Propofol
4524
即時降水 非互換
注射薬 Gentamicin sulfate 5 mg/ml
注射薬 Propofol 10 mg/ml
なし 300
対応
注射薬 Gentamicin sulfate 5 mg/ml
注射薬 Remifentanil hydrochloride 25 & 250 µg/ml
NaCl 0,9% 59
対応
注射薬 Gentamicin sulfate 40 mg/ml
注射薬 Salbutamol sulfate 1 mg/ml
なし 3216
対応
注射薬 Gentamicin sulfate 5 mg/ml
注射薬 Sargramostim 10 µg/ml
NaCl 0,9% 335
対応
注射薬 Gentamicin sulfate 10 mg/ml
注射薬 Sildenafil citrate 0,6 mg/ml
グルコース5% 4845
対応
注射薬 Gentamicin sulfate 2,4 mg/ml
注射薬 Sodium bicarbonate 40 mg/ml
なし 3122
気泡の生成 非互換
注射薬 Gentamicin sulfate
注射薬 Sodium bicarbonate
3643
対応
注射薬 Gentamicin sulfate 2.5 mg/ml
注射薬 Sodium citrate 40 mg/ml
注射用水 3952
対応
注射薬 Gentamicin sulfate 40 mg/ml
注射薬 Sugammadex 100 mg/ml
なし 3372
対応
注射薬 Gentamicin sulfate 5 mg/ml
注射薬 Sulbactam/durlobactam 15/15 mg/ml
NaCl 0,9% 4801
対応
注射薬 Gentamicin sulfate 4 mg/ml
注射薬 Tacrolimus 1000 µg/ml
NaCl 0,9% 479
対応
注射薬 Gentamicin sulfate
NaCl 0,9% 1704
対応
注射薬 Gentamicin sulfate
NaCl 0,9% 434
不特定の非互換性 非互換
注射薬 Gentamicin sulfate
注射薬 Sodium bicarbonate
3520
対応
注射薬 Gentamicin sulfate 1 >> 5 mg/ml
注射薬 Sodium citrate 40 mg/ml
なし 2019
すぐに濁り 非互換
注射薬 Gentamicin sulfate 5 mg/ml
注射薬 Tedizolid phosphate 0.8 mg/ml
NaCl 0,9% 3827
不特定の非互換性 非互換
注射薬 Gentamicin sulfate
注射薬 Teicoplanine
3656
対応
注射薬 Gentamicin sulfate 5 mg/ml
注射薬 Telavancin hydrochloride 7.5 mg/ml
乳酸リンゲル 3254
対応
注射薬 Gentamicin sulfate 5 mg/ml
注射薬 Telavancin hydrochloride 7.5 mg/ml
NaCl 0,9% 3254
対応
注射薬 Gentamicin sulfate 5 mg/ml
注射薬 Telavancin hydrochloride 7.5 mg/ml
グルコース5% 3254
対応
注射薬 Gentamicin sulfate 6 mg/ml
注射薬 Temocilline 83.33 mg/ml
注射用水 2231
不特定の非互換性 非互換
注射薬 Gentamicin sulfate
注射薬 Temocilline
3643
不特定の非互換性 非互換
注射薬 Gentamicin sulfate
注射薬 Temocilline
3520
不特定の非互換性 非互換
注射薬 Gentamicin sulfate
注射薬 Temocilline
2296
対応
注射薬 Gentamicin sulfate 5 mg/ml
注射薬 Teniposide 0.1 mg/ml
グルコース5% 905
対応
注射薬 Gentamicin sulfate 2 mg/ml
注射薬 Theophylline 4 mg/ml
なし 317
即時降水 非互換
注射薬 Gentamicin sulfate 40 mg/ml
注射薬 Thiopental sodium 25 mg/ml
NaCl 0,9% 3767
対応
注射薬 Gentamicin sulfate 5 mg/ml
注射薬 Thiotepa 1 mg/ml
グルコース5% 249
化学的不安定性 非互換
注射薬 Gentamicin sulfate
注射薬 Ticarcillin / clavulanic acid
3587
不特定の非互換性 非互換
注射薬 Gentamicin sulfate
注射薬 Ticarcillin / clavulanic acid
3643
不特定の非互換性 非互換
注射薬 Gentamicin sulfate
注射薬 Ticarcillin / clavulanic acid
3520
対応
注射薬 Gentamicin sulfate
注射薬 Tigecycline
NaCl 0,9% 3332
対応
注射薬 Gentamicin sulfate 6 mg/ml
注射薬 Vancomycin hydrochloride 10 mg/ml
グルコース5% 3385
対応
注射薬 Gentamicin sulfate 1.2 mg/ml
注射薬 Vasopressin 0.2 UI/ml
NaCl 0,9% 2017
対応
注射薬 Gentamicin sulfate 2 mg/ml
注射薬 Vecuronium bromide 0.1 mg/ml
グルコース5% 402
対応
注射薬 Gentamicin sulfate 0.16 mg/ml
注射薬 Verapamil hydrochloride 0.08 mg/ml
グルコース5% 1057
対応
注射薬 Gentamicin sulfate 0.16 mg/ml
注射薬 Verapamil hydrochloride 0.08 mg/ml
NaCl 0,9% 1057
対応
注射薬 Gentamicin sulfate 5 mg/ml
注射薬 Vinorelbine tartrate 1 mg/ml
NaCl 0,9% 84
すぐに濁り 非互換
注射薬 Gentamicin sulfate 1.6 mg/ml
注射薬 Warfarin sodium 2 mg/ml
グルコース5% 315
対応
注射薬 Gentamicin sulfate 2 mg/ml
注射薬 Zidovudine 4 mg/ml
グルコース5% 337

  Mentions Légales