Dernière mise à jour :
27/04/2026
Antibiotique   Erythromycin lactobionate  
injectable
Stabilité des solutions Stabilité en mélange Facteur influençant la stabilité Compatibilités Voie d’administration Bibliographie pdf
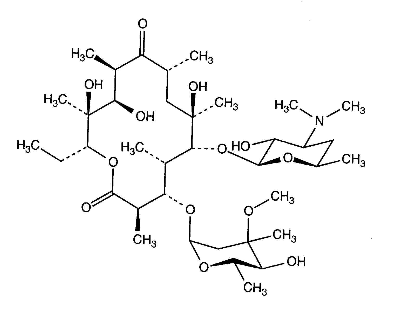
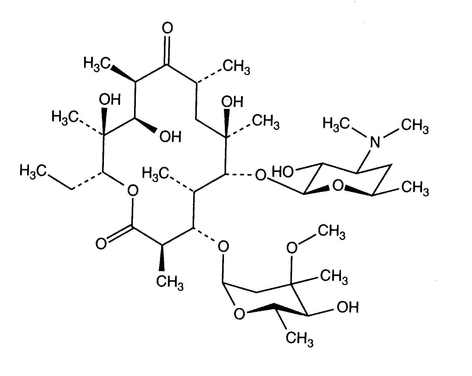
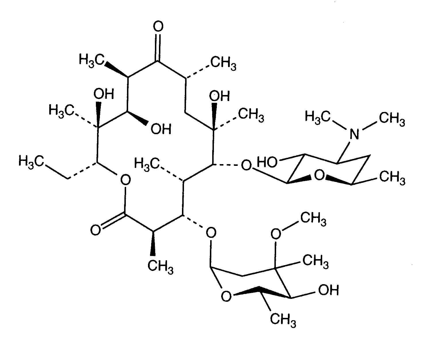
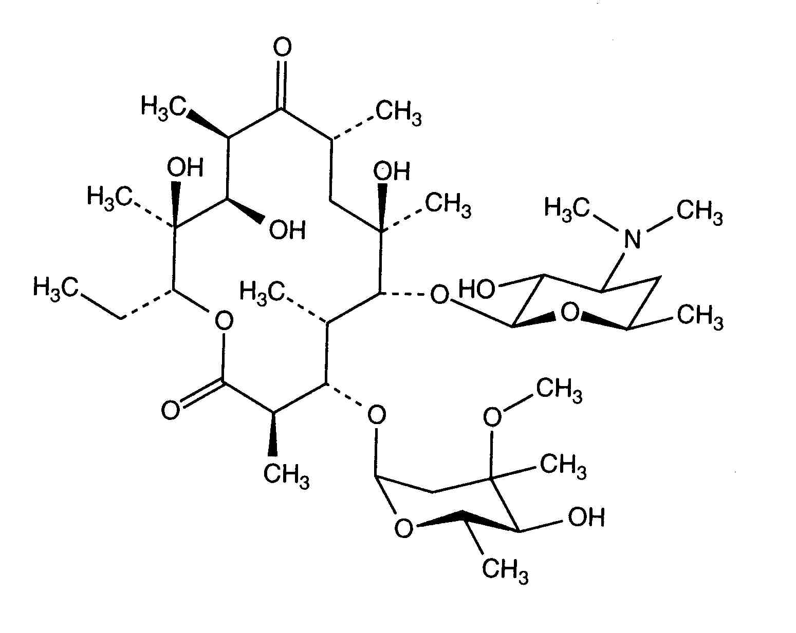
   Structure chimique  

Noms commerciaux   Noms commerciaux     

Les noms commerciaux sont donnés à titre indicatif et la composition en excipients peut être différente selon les pays et selon les laboratoires

Abboticin Danemark, Finlande, Norvège, Suède
Eristin Argentine
Erithromicina Chili
Erycinum Allemagne
Erythrocin Allemagne, Arabie Saoudite, Australie, Autriche, Canada, Etats Unis d’Amérique, Grande Bretagne, Irlande, Nouvelle Zélande
Erythrocin lactobionat ADD Vantage Australie, Autriche
Erythrocine Belgique, France, Luxembourg, Pays bas, Tunisie
Erythromycin Allemagne, Arabie Saoudite, Etats Unis d’Amérique, Grande Bretagne, Hongrie
Erythromycine Luxembourg
Erythromycinum Pologne
Pantomicina Chili, Espagne
Stabilité des solutions   injectable   Stabilité des solutions : Erythromycin lactobionate     
Contenant Solvant Concentration Température Conservation Durée de stabilité Bibliographie
Verre Eau pour préparation injectable 50 mg/ml 2-8°C Non précisée
24 Heure
3674
Données de stabilité du fabricant

Polyvinyl chlorure Chlorure de sodium 0,9% ? mg/ml 5°C A l’abri de la lumière
60 Jour
1154
Niveau de preuve D

Polyvinyl chlorure Chlorure de sodium 0,9% 10 mg/ml -20°C A l’abri de la lumière
30 Jour
573
Méthode biologique

Polyvinyl chlorure Chlorure de sodium 0,9% 4,54 mg/ml -20°C A l’abri de la lumière
365 Jour
22
Niveau de preuve A +

Polyvinyl chlorure Glucose 5% 10 mg/ml -20°C A l’abri de la lumière
30 Jour
573
Méthode biologique


  Mentions Légales