Останнє оновлення :
16/12/2025
Антибіотик   Azithromycine  
ін'єкція
Мазі
Стійкість в розчинах Стійкість сумішей Фактори, що впливають на стабільність Сумісність Шлях введення Список літератури pdf
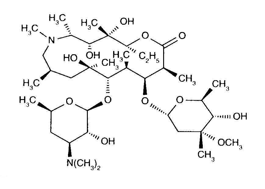
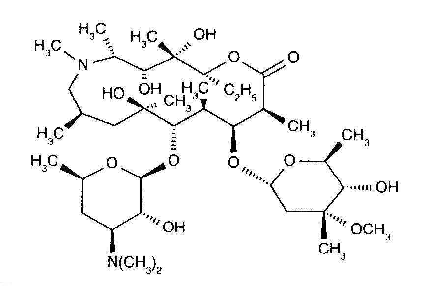
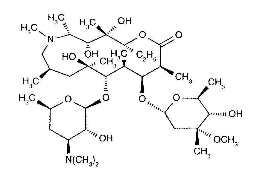
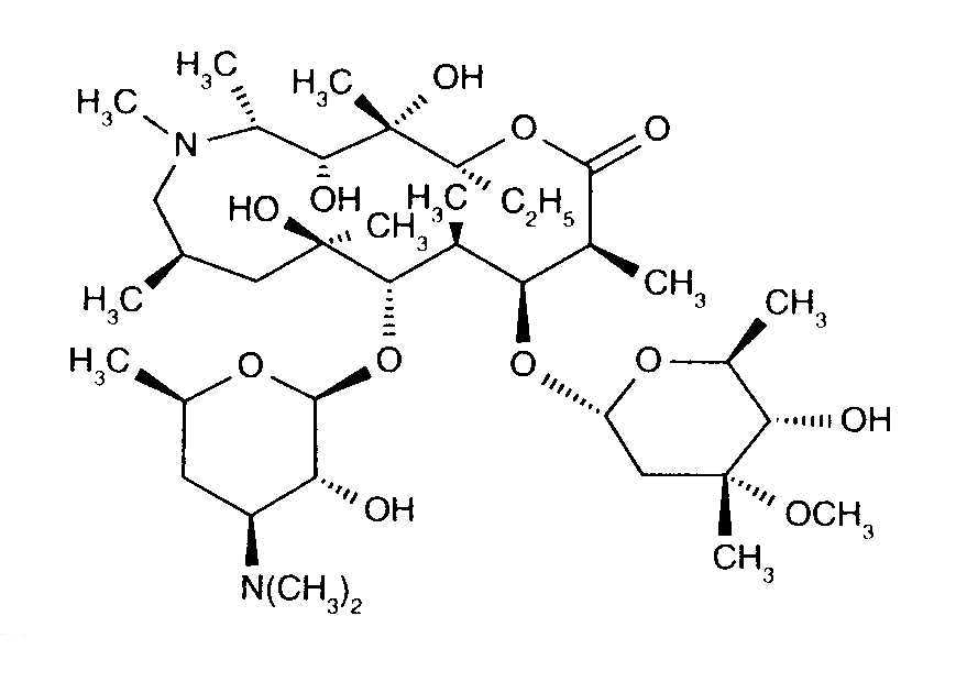
   Хімічна структура  

Торгова назва   Торгова назва     

Торгові назви є орієнтовними, а склад допоміжних речовин може бути різним залежно від країни та виробника

Azithromycin Канада
Azithromycina Еквадор
Azithromycine Dr Erbeth Німеччина
Azitromax Швеція
Sumamed Польща, Угорщина
Zaret Колумбія
Zedbac Ірландія, Великобританія
Zetamac Чеська Республіка
Zithromac Японія
Zithromax Єгипет, Австралія, Канада, Малайзія, Об'єднані Арабські Емірати, Португалія, Саудівська Аравія, Сполучені Штати Америки, Фінляндія, Чилі
Стійкість в розчинах   ін'єкція   Стійкість в розчинах : Azithromycine     
7 / 5 000 Résultats de traduction Немає даних

  Mentions Légales