Posledná aktualizácia :
27/04/2026
antibiotikum   Gentamicin sulfate  
Injekcia
Očná instilácia
Stabilita roztokov Stabilita v zmesiach Faktory ovplyvňujúce stabilitu Kompatibility spôsob podania Odkazy na literatúru PDF
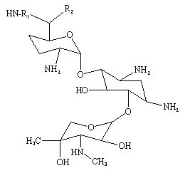
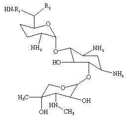
   Chemický vzorec  

Obchodný názov   Obchodný názov     

Obchodné názvy sú orientačné, a zloženie pomocných látok sa môže líšiť v závislosti od krajiny a výrobcu.

Azupel peru
Cidomycin Egypt, Tunisko, Veľká Británia
Dabroson Grécko
Epigent Egypt
Garalone Portugalsko
Garamicina Brazília, Ekvádor, Kolumbia, Mexiko
Garamycin Chorvátsko, Dánsko, Egypt, Grécko, Holandsko, India, Nórsko, Poľsko, Spojené arabské emiráty, Švajčiarsko
Genmisin Turecko
Gensif Turecko
Gensumycin Fínsko, Nórsko, Švédsko
Genta-Gobens Španielsko
Gentalline Maroko
Gentamen Maroko
Genticin Írsko, Spojené arabské emiráty, Veľká Británia
Gentreks Turecko
Hexamycin Dánsko
Plurisemina Argentína
Refobacin Egypt, Kolumbia, Nemecko, Rakúsko
Rupegen Argentína
Kompatibility   Injekcia   Kompatibility : Gentamicin sulfate              
Toto okno zobrazuje kompatibility alebo inkombatibility, v prípade inkompatibility aj jej typ (vyzrážanie, zmena farby, zmena emulzie atď.). Tu vymenované kompatibility sú väčšinou len fyzikálne, chemická stabilita každej zo zlúčenín sa hodnotila len zriedkavo. Tieto zmesi sa skúmali za účelom možnosti súbežného podávania pacientovi cez infúznu spojku Y. Údaje sa nedajú použiť na prípravu zmesí vo vakoch alebo striekačkách. Taká informácia sa nachádza v okne „Stabilita v zmesiach“.
Zlúčenina rozpúšťadlo odkazy na lieteratúru
kompatibilný
Injekcia Gentamicin sulfate 1.6 mg/ml
Injekcia Aciclovir sodium 5 mg/ml
5% glukóza 336
Okamžité zrážanie nezlučiteľný
Injekcia Gentamicin sulfate 30 mg/ml
Injekcia Aciclovir sodium 5 mg/ml
0,9% chlorid sodný 2335
Zrážky po 1 hodine nezlučiteľný
Injekcia Gentamicin sulfate 5 mg/ml
Injekcia Allopurinol sodium 3 mg/ml
0,9% chlorid sodný 307
kompatibilný
Injekcia Gentamicin sulfate 1 mg/ml
Injekcia Alprostadil 15 µg/ml
3201
kompatibilný
Injekcia Gentamicin sulfate 5 mg/ml
Injekcia Amifostine 10 mg/ml
5% glukóza 3
kompatibilný
Injekcia Gentamicin sulfate 0.8 mg/ml
Injekcia Amiodarone hydrochloride 4 mg/ml
0,9% chlorid sodný 385
kompatibilný
Injekcia Gentamicin sulfate 0.8 mg/ml
Injekcia Amiodarone hydrochloride 4 mg/ml
5% glukóza 385
Nešpecifikovaná nekompatibilita nezlučiteľný
Injekcia Gentamicin sulfate
Injekcia Amoxicillin sodium
3643
Nešpecifikovaná nekompatibilita nezlučiteľný
Injekcia Gentamicin sulfate
Injekcia Amoxicillin sodium
3520
Chemická nestabilita nezlučiteľný
Injekcia Gentamicin sulfate
Injekcia Amoxicillin sodium
3527
Nešpecifikovaná nekompatibilita nezlučiteľný
Injekcia Gentamicin sulfate
Injekcia Amoxicillin sodium / clavulanic acid
3643
Nešpecifikovaná nekompatibilita nezlučiteľný
Injekcia Gentamicin sulfate
Injekcia Amoxicillin sodium / clavulanic acid
3545
Nešpecifikovaná nekompatibilita nezlučiteľný
Injekcia Gentamicin sulfate
Injekcia Amoxicillin sodium / clavulanic acid
3520
kompatibilný
Injekcia Gentamicin sulfate 40 mg/ml
Injekcia Amoxicillin sodium / clavulanic acid 100/10 mg/ml
3824
Okamžité zrážanie nezlučiteľný
Injekcia Gentamicin sulfate 5 mg/ml
Injekcia Amphotericin B cholesteryl sulfate complex 0,83 mg/ml
5% glukóza 921
Nešpecifikovaná nekompatibilita nezlučiteľný
Injekcia Gentamicin sulfate
Injekcia Ampicillin sodium
3643
Nešpecifikovaná nekompatibilita nezlučiteľný
Injekcia Gentamicin sulfate
Injekcia Ampicillin sodium
3520
Nešpecifikovaná nekompatibilita nezlučiteľný
Injekcia Gentamicin sulfate
Injekcia Ampicillin sodium - sulbactam sodium
3643
Nešpecifikovaná nekompatibilita nezlučiteľný
Injekcia Gentamicin sulfate
Injekcia Ampicillin sodium - sulbactam sodium
3520
kompatibilný
Injekcia Gentamicin sulfate 5 mg/ml
Injekcia Amsacrine 1 mg/ml
5% glukóza 253
kompatibilný
Injekcia Gentamicin sulfate 5 mg/ml
Injekcia Anidulafungin 0.5 mg/ml
5% glukóza 1982
kompatibilný
Injekcia Gentamicin sulfate 0,8 mg/ml
Injekcia Atosiban 0,75 mg/ml
4642
kompatibilný
Injekcia Gentamicin sulfate 2 mg/ml
Injekcia Atracurium besylate 0.5 mg/ml
5% glukóza 402
Okamžité zrážanie nezlučiteľný
Injekcia Gentamicin sulfate 21 mg/ml
Injekcia Azithromycine 2 mg/ml
0,9% chlorid sodný 1800
kompatibilný
Injekcia Gentamicin sulfate 5 mg/ml
Injekcia Aztreonam 40 mg/ml
5% glukóza 99
kompatibilný
Injekcia Gentamicin sulfate 0.2 & 0.8 mg/ml
Injekcia Aztreonam 10 & 20 mg/ml
0,9% chlorid sodný 19
kompatibilný
Injekcia Gentamicin sulfate 0.2 & 0.8 mg/ml
Injekcia Aztreonam 10 & 20 mg/ml
5% glukóza 19
kompatibilný
Injekcia Gentamicin sulfate 5 mg/ml
Injekcia Bivalirudin 5 mg/ml
5% glukóza 1713
kompatibilný
Injekcia Gentamicin sulfate 10 mg/ml
Injekcia Caffeine 10 mg/ml
Žiadny 3964
kompatibilný
Injekcia Gentamicin sulfate 10 mg/ml
Injekcia Caffeine 10 mg/ml
0,9% chlorid sodný 4837
kompatibilný
Injekcia Gentamicin sulfate 10 mg/ml
Injekcia Caffeine citrate 20 mg/ml
0,9% chlorid sodný 4837
Nešpecifikovaná nekompatibilita nezlučiteľný
Injekcia Gentamicin sulfate
Injekcia Calcium gluconate
3644
nezlučiteľný
Injekcia Gentamicin sulfate
Injekcia Calcium gluconate
4964
kompatibilný
Injekcia Gentamicin sulfate 5 mg/ml
Injekcia Caspofungin acetate 0,7 mg/ml
0,9% chlorid sodný 2247
Nešpecifikovaná nekompatibilita nezlučiteľný
Injekcia Gentamicin sulfate
Injekcia Cefalotin sodium
3520
Nešpecifikovaná nekompatibilita nezlučiteľný
Injekcia Gentamicin sulfate
Injekcia Cefalotin sodium
3643
Okamžité zrážanie nezlučiteľný
Injekcia Gentamicin sulfate
Injekcia Cefamandole nafate 2 >> 100 mg/ml
5% glukóza 612
Nešpecifikovaná nekompatibilita nezlučiteľný
Injekcia Gentamicin sulfate
Injekcia Cefamandole nafate
3643
Nešpecifikovaná nekompatibilita nezlučiteľný
Injekcia Gentamicin sulfate
Injekcia Cefamandole nafate
3520
Nešpecifikovaná nekompatibilita nezlučiteľný
Injekcia Gentamicin sulfate
Injekcia Cefamandole nafate
3546
Okamžité zrážanie nezlučiteľný
Injekcia Gentamicin sulfate
Injekcia Cefamandole nafate 2 >> 100 mg/ml
0,9% chlorid sodný 612
Nešpecifikovaná nekompatibilita nezlučiteľný
Injekcia Gentamicin sulfate
Injekcia Cefazolin sodium
3520
Nešpecifikovaná nekompatibilita nezlučiteľný
Injekcia Gentamicin sulfate
Injekcia Cefazolin sodium
3643
Nešpecifikovaná nekompatibilita nezlučiteľný
Injekcia Gentamicin sulfate
Injekcia Cefepime dihydrochloride
3520
kompatibilný
Injekcia Gentamicin sulfate 6 mg/ml
Injekcia Cefepime dihydrochloride 125 mg/ml
voda na injekciu 2141
Nešpecifikovaná nekompatibilita nezlučiteľný
Injekcia Gentamicin sulfate
Injekcia Cefepime dihydrochloride
3548
Nešpecifikovaná nekompatibilita nezlučiteľný
Injekcia Gentamicin sulfate
Injekcia Cefepime dihydrochloride
3643
kompatibilný
Injekcia Gentamicin sulfate 5 mg/ml
Injekcia Cefiderocol sulfate tosylate 20 mg/mL
5% glukóza 4528
kompatibilný
Injekcia Gentamicin sulfate 5 mg/ml
Injekcia Cefiderocol sulfate tosylate 20 mg/mL
0,9% chlorid sodný 4528
Nešpecifikovaná nekompatibilita nezlučiteľný
Injekcia Gentamicin sulfate
Injekcia Cefmenoxime
3520
Nešpecifikovaná nekompatibilita nezlučiteľný
Injekcia Gentamicin sulfate
Injekcia Cefmenoxime
3643
Nešpecifikovaná nekompatibilita nezlučiteľný
Injekcia Gentamicin sulfate
Injekcia Cefmetazole sodium
3520
Nešpecifikovaná nekompatibilita nezlučiteľný
Injekcia Gentamicin sulfate
Injekcia Cefmetazole sodium
3643
Nešpecifikovaná nekompatibilita nezlučiteľný
Injekcia Gentamicin sulfate
Injekcia Cefonicid sodium
3643
Nešpecifikovaná nekompatibilita nezlučiteľný
Injekcia Gentamicin sulfate
Injekcia Cefonicid sodium
3520
Nešpecifikovaná nekompatibilita nezlučiteľný
Injekcia Gentamicin sulfate
Injekcia Cefoperazone sodium
3544
Nešpecifikovaná nekompatibilita nezlučiteľný
Injekcia Gentamicin sulfate
Injekcia Cefoperazone sodium
3643
Okamžité zrážanie nezlučiteľný
Injekcia Gentamicin sulfate 0.8 mg/ml
Injekcia Cefoperazone sodium 10 mg/ml
5% glukóza 1206
Nešpecifikovaná nekompatibilita nezlučiteľný
Injekcia Gentamicin sulfate
Injekcia Cefoperazone sodium
3520
Nešpecifikovaná nekompatibilita nezlučiteľný
Injekcia Gentamicin sulfate
Injekcia Ceforanide
3643
Nešpecifikovaná nekompatibilita nezlučiteľný
Injekcia Gentamicin sulfate
Injekcia Ceforanide
3520
Nešpecifikovaná nekompatibilita nezlučiteľný
Injekcia Gentamicin sulfate
Injekcia Cefotaxime sodium
3520
Nešpecifikovaná nekompatibilita nezlučiteľný
Injekcia Gentamicin sulfate
Injekcia Cefotaxime sodium
3643
Nešpecifikovaná nekompatibilita nezlučiteľný
Injekcia Gentamicin sulfate
Injekcia Cefoxitin sodium
3643
Nešpecifikovaná nekompatibilita nezlučiteľný
Injekcia Gentamicin sulfate
Injekcia Cefoxitin sodium
3520
kompatibilný
Injekcia Gentamicin sulfate 1 mg/ml
Injekcia Cefpirome sulfate 50 mg/ml
0,9% chlorid sodný 280
kompatibilný
Injekcia Gentamicin sulfate 1 mg/ml
Injekcia Cefpirome sulfate 50 mg/ml
Ringerov laktátový roztok 280
kompatibilný
Injekcia Gentamicin sulfate 1 mg/ml
Injekcia Cefpirome sulfate 50 mg/ml
0,45 % chlorid sodný 280
Nešpecifikovaná nekompatibilita nezlučiteľný
Injekcia Gentamicin sulfate
Injekcia Cefpirome sulfate
3643
Nešpecifikovaná nekompatibilita nezlučiteľný
Injekcia Gentamicin sulfate
Injekcia Cefpirome sulfate
3677
kompatibilný
Injekcia Gentamicin sulfate 1 mg/ml
Injekcia Cefpirome sulfate 50 mg/ml
5% glukóza 280
Nešpecifikovaná nekompatibilita nezlučiteľný
Injekcia Gentamicin sulfate
Injekcia Cefpirome sulfate
3520
kompatibilný
Injekcia Gentamicin sulfate 5 mg/ml
Injekcia Ceftaroline fosamil 2,22 mg/ml
0,9% chlorid sodný 3249
kompatibilný
Injekcia Gentamicin sulfate 5 mg/ml
Injekcia Ceftaroline fosamil 2,22 mg/ml
Ringerov laktátový roztok 3249
kompatibilný
Injekcia Gentamicin sulfate 5 mg/ml
Injekcia Ceftaroline fosamil 2,22 mg/ml
5% glukóza 3249
Nešpecifikovaná nekompatibilita nezlučiteľný
Injekcia Gentamicin sulfate
Injekcia Ceftaroline fosamil
3643
Nešpecifikovaná nekompatibilita nezlučiteľný
Injekcia Gentamicin sulfate
Injekcia Ceftaroline fosamil
3520
Nešpecifikovaná nekompatibilita nezlučiteľný
Injekcia Gentamicin sulfate
Injekcia Ceftazidime
3543
Nešpecifikovaná nekompatibilita nezlučiteľný
Injekcia Gentamicin sulfate
Injekcia Ceftazidime
3520
Nešpecifikovaná nekompatibilita nezlučiteľný
Injekcia Gentamicin sulfate
Injekcia Ceftazidime
3643
kompatibilný
Injekcia Gentamicin sulfate 6 mg/ml
Injekcia Ceftazidime 125 mg/ml
voda na injekciu 2141
kompatibilný
Injekcia Gentamicin sulfate 6 mg/ml
Injekcia Ceftazidime 83.3 mg/ml
1759
Nešpecifikovaná nekompatibilita nezlučiteľný
Injekcia Gentamicin sulfate
Injekcia Ceftazidime
3883
Nešpecifikovaná nekompatibilita nezlučiteľný
Injekcia Gentamicin sulfate
Injekcia Ceftazidime Avibactam
3520
Nešpecifikovaná nekompatibilita nezlučiteľný
Injekcia Gentamicin sulfate
Injekcia Ceftazidime Avibactam
3643
Nešpecifikovaná nekompatibilita nezlučiteľný
Injekcia Gentamicin sulfate
Injekcia Ceftizoxime sodium
3643
Nešpecifikovaná nekompatibilita nezlučiteľný
Injekcia Gentamicin sulfate
Injekcia Ceftizoxime sodium
3520
Nešpecifikovaná nekompatibilita nezlučiteľný
Injekcia Gentamicin sulfate
Injekcia Ceftobiprole medocaril sodium
3643
Nešpecifikovaná nekompatibilita nezlučiteľný
Injekcia Gentamicin sulfate
Injekcia Ceftobiprole medocaril sodium
4650
Okamžité zrážanie nezlučiteľný
Injekcia Gentamicin sulfate 5 mg/ml
Injekcia Ceftobiprole medocaril sodium 2 mg/ml
5% glukóza 2269
Okamžité zrážanie nezlučiteľný
Injekcia Gentamicin sulfate 5 mg/ml
Injekcia Ceftobiprole medocaril sodium 2 mg/ml
Ringerov laktátový roztok 2269
Okamžité zrážanie nezlučiteľný
Injekcia Gentamicin sulfate 5 mg/ml
Injekcia Ceftobiprole medocaril sodium 2 mg/ml
0,9% chlorid sodný 2269
Nešpecifikovaná nekompatibilita nezlučiteľný
Injekcia Gentamicin sulfate
Injekcia Ceftobiprole medocaril sodium
3520
kompatibilný
Injekcia Gentamicin sulfate 5 mg/ml
Injekcia Ceftolozane / tazobactam 10/5 mg/ml
5% glukóza 3828
Nešpecifikovaná nekompatibilita nezlučiteľný
Injekcia Gentamicin sulfate
Injekcia Ceftolozane / tazobactam
3643
Nešpecifikovaná nekompatibilita nezlučiteľný
Injekcia Gentamicin sulfate
Injekcia Ceftolozane / tazobactam
3520
kompatibilný
Injekcia Gentamicin sulfate 5 mg/ml
Injekcia Ceftolozane / tazobactam 10/5 mg/ml
0,9% chlorid sodný 3828
Nešpecifikovaná nekompatibilita nezlučiteľný
Injekcia Gentamicin sulfate
Injekcia Ceftriaxone disodium
3523
Nešpecifikovaná nekompatibilita nezlučiteľný
Injekcia Gentamicin sulfate
Injekcia Ceftriaxone disodium
3643
Nešpecifikovaná nekompatibilita nezlučiteľný
Injekcia Gentamicin sulfate
Injekcia Ceftriaxone disodium
3520
Nešpecifikovaná nekompatibilita nezlučiteľný
Injekcia Gentamicin sulfate
Injekcia Cefuroxime sodium
3643
Nešpecifikovaná nekompatibilita nezlučiteľný
Injekcia Gentamicin sulfate
Injekcia Cefuroxime sodium
3520
Nešpecifikovaná nekompatibilita nezlučiteľný
Injekcia Gentamicin sulfate
Injekcia Cefuroxime sodium
3687
Nešpecifikovaná nekompatibilita nezlučiteľný
Injekcia Gentamicin sulfate
Injekcia Cefuzonam
3520
kompatibilný
Injekcia Gentamicin sulfate 0.8 mg/ml
Injekcia Cimetidine hydrochloride 3 mg/ml
5% glukóza 1201
kompatibilný
Injekcia Gentamicin sulfate 0.08 mg/ml
Injekcia Cimetidine hydrochloride 1.2 & 5 mg/ml
0,9% chlorid sodný 1201
kompatibilný
Injekcia Gentamicin sulfate 0.08 mg/ml
Injekcia Cimetidine hydrochloride 1.2 & 5 mg/ml
5% glukóza 1201
kompatibilný
Injekcia Gentamicin sulfate 10 mg/ml
Injekcia Ciprofloxacin lactate 2 mg/ml
0,9% chlorid sodný 289
kompatibilný
Injekcia Gentamicin sulfate 1.6 mg/ml
Injekcia Ciprofloxacin lactate 2 mg/ml
5% glukóza 285
kompatibilný
Injekcia Gentamicin sulfate 5 mg/ml
Injekcia Cisatracurium besylate 0.1 >> 5 mg/ml
5% glukóza 299
Chemická nestabilita nezlučiteľný
Injekcia Gentamicin sulfate
Injekcia Cisplatin
3578
kompatibilný
Injekcia Gentamicin sulfate 12 mg/ml
Injekcia Clindamycin phosphate 90 mg/ml
0,9% chlorid sodný 639
kompatibilný
Injekcia Gentamicin sulfate 0.67 mg/ml
Injekcia Clindamycin phosphate 6 mg/ml
5% glukóza 423
kompatibilný
Injekcia Gentamicin sulfate
5% glukóza 434
Nešpecifikovaná nekompatibilita nezlučiteľný
Injekcia Gentamicin sulfate
Injekcia Cefuzonam
3643
kompatibilný
Injekcia Gentamicin sulfate 1 mg/ml
Injekcia Ciprofloxacin lactate 1.5 mg/ml
0,9% chlorid sodný 434
kompatibilný
Injekcia Gentamicin sulfate 1.6 mg/ml
Injekcia Ciprofloxacin lactate 2 mg/ml
5% glukóza 288
kompatibilný
Injekcia Gentamicin sulfate 1.6 mg/ml
Injekcia Ciprofloxacin lactate 2 mg/ml
0,9% chlorid sodný 288
kompatibilný
Injekcia Gentamicin sulfate 1 mg/ml
Injekcia Ciprofloxacin lactate 1.5 mg/ml
5% glukóza 434
kompatibilný
Injekcia Gentamicin sulfate
Injekcia Clindamycin phosphate
0,9% chlorid sodný 3526
Okamžité zrážanie nezlučiteľný
Injekcia Gentamicin sulfate 40 mg/ml
Injekcia Cloxacillin sodium 100 mg/ml
voda na injekciu 3012
kompatibilný
Injekcia Gentamicin sulfate 15 mg/ml
Injekcia Cytarabine 16 mg/ml
0,9% chlorid sodný 132
nezlučiteľný
Injekcia Gentamicin sulfate 2 & 10 mg/ml
Parenterálna výživa (lipidy) 4924
kompatibilný
Injekcia Gentamicin sulfate
Injekcia Clindamycin phosphate
5% glukóza 3526
Nešpecifikovaná nekompatibilita nezlučiteľný
Injekcia Gentamicin sulfate
Injekcia Cloxacillin sodium
3520
Nešpecifikovaná nekompatibilita nezlučiteľný
Injekcia Gentamicin sulfate
Injekcia Cytarabine
3580
kompatibilný
Injekcia Gentamicin sulfate 1,5 mg/ml
Injekcia Daptomycin 19,2 mg/ml
0,9% chlorid sodný 1937
kompatibilný
Injekcia Gentamicin sulfate 0,05 mg/ml
parenterálna výživa (binárna zmes) 4445
Nešpecifikovaná nekompatibilita nezlučiteľný
Injekcia Gentamicin sulfate
Injekcia Cloxacillin sodium
3643
Nestabilita emulzie po 4 hodinách nezlučiteľný
Injekcia Gentamicin sulfate 2 mg/ml
Parenterálna výživa (lipidy) 4507
Nešpecifikovaná nekompatibilita nezlučiteľný
Injekcia Gentamicin sulfate
Injekcia Dalteparin sodium
3643
kompatibilný
Injekcia Gentamicin sulfate
Injekcia Daptomycin
2271
kompatibilný
Injekcia Gentamicin sulfate 10 mg/ml
parenterálna výživa (binárna zmes) 316
kompatibilný
Injekcia Gentamicin sulfate
Injekcia Dimenhydrinate
2087
kompatibilný
Injekcia Gentamicin sulfate 10 & 40 mg/ml
parenterálna výživa (binárna zmes) 999
Subvisuálna nezlučiteľnosť nezlučiteľný
Injekcia Gentamicin sulfate
Injekcia Daunorubicin/cytarabine liposomale
4354
kompatibilný
Injekcia Gentamicin sulfate 1 mg/ml
parenterálna výživa (binárna zmes) 939
Okamžitá zákal nezlučiteľný
Injekcia Gentamicin sulfate
Injekcia Daunorubicin/cytarabine liposomale 0,4 mg/mL
0,9% chlorid sodný 4654
kompatibilný
Injekcia Gentamicin sulfate 0.8 mg/ml
Injekcia Diatrizoate meglumine 283 mg/ml
Žiadny 1085
kompatibilný
Injekcia Gentamicin sulfate 2.4 & 40 mg/ml
Injekcia Diltiazem hydrochloride 5 mg/ml
0,9% chlorid sodný 198
kompatibilný
Injekcia Gentamicin sulfate 5 mg/ml
Injekcia Docetaxel 0.9 mg/ml
5% glukóza 1754
Nešpecifikovaná nekompatibilita nezlučiteľný
Injekcia Gentamicin sulfate
Injekcia Dopamine hydrochloride
3638
kompatibilný
Injekcia Gentamicin sulfate 5 mg/ml
parenterálna výživa (binárna zmes) 301
kompatibilný
Injekcia Gentamicin sulfate 5 mg/ml
Injekcia Doripenem 5 mg/ml
0,9% chlorid sodný 2262
Nešpecifikovaná nekompatibilita nezlučiteľný
Injekcia Gentamicin sulfate
NaHCO3 3520
kompatibilný
Injekcia Gentamicin sulfate 2 mg/ml
Injekcia Dopamine hydrochloride 0.8 mg/ml
5% glukóza 738
Výroba plynových bublín nezlučiteľný
Injekcia Gentamicin sulfate
NaHCO3 3643
kompatibilný
Injekcia Gentamicin sulfate 5 mg/ml
Injekcia Dexmedetomidine 4 µg/ml
0,9% chlorid sodný 1712
kompatibilný
Injekcia Gentamicin sulfate 5 mg/ml
Injekcia Doripenem 5 mg/ml
5% glukóza 2262
kompatibilný
Injekcia Gentamicin sulfate 5 mg/ml
Parenterálna výživa (lipidy) 1415
kompatibilný
Injekcia Gentamicin sulfate 10 mg/ml
Injekcia Doxapram hydrochloride 2 mg/ml
5% glukóza 1802
kompatibilný
Injekcia Gentamicin sulfate 5 mg/ml
Injekcia Doxorubicin hydrochloride liposome peg 0.4 mg/ml
5% glukóza 251
kompatibilný
Injekcia Gentamicin sulfate 0.8 mg/ml
Injekcia Enalaprilate 0.05 mg/ml
0,9% chlorid sodný 1315
Nešpecifikovaná nekompatibilita nezlučiteľný
Injekcia Gentamicin sulfate
Injekcia Enoxaparin sodium
3643
kompatibilný
Injekcia Gentamicin sulfate 5 mg/ml
Injekcia Eravacycline 0,6 mg/ml
0,9% chlorid sodný 4434
Nešpecifikovaná nekompatibilita nezlučiteľný
Injekcia Gentamicin sulfate
Injekcia Erythromycin lactobionate
3674
Nešpecifikovaná nekompatibilita nezlučiteľný
Injekcia Gentamicin sulfate
Injekcia Erythromycin lactobionate
3520
Nešpecifikovaná nekompatibilita nezlučiteľný
Injekcia Gentamicin sulfate
Injekcia Erythromycin lactobionate
3643
kompatibilný
Injekcia Gentamicin sulfate 0,8 mg/ml
Injekcia Esmolol hydrochloride 10 mg/ml
5% glukóza 384
kompatibilný
Injekcia Gentamicin sulfate 5 mg/ml
Injekcia Etoposide phosphate 5 mg/ml
5% glukóza 1410
kompatibilný
Injekcia Gentamicin sulfate 5 mg/ml
Injekcia Famotidine 2 mg/ml
0,9% chlorid sodný 215
kompatibilný
Injekcia Gentamicin sulfate 0,8 mg/ml
Injekcia Famotidine
5% glukóza 397
kompatibilný
Injekcia Gentamicin sulfate 5 mg/ml
Injekcia Fenoldopam mesylate 80 µg/ml
0,9% chlorid sodný 1803
kompatibilný
Injekcia Gentamicin sulfate 10 mg/ml
Injekcia Fentanyl citrate 50 µg/ml
5% glukóza 63
kompatibilný
Injekcia Gentamicin sulfate 1.6 mg/ml
Injekcia Filgrastim 40 µg/ml
5% glukóza 104
kompatibilný
Injekcia Gentamicin sulfate 5 mg/ml
Injekcia Filgrastim 30 µg/ml
5% glukóza 244
Nešpecifikovaná nekompatibilita nezlučiteľný
Injekcia Gentamicin sulfate
Injekcia Flucloxacillin sodium
3643
Okamžité zrážanie nezlučiteľný
Injekcia Gentamicin sulfate
Injekcia Flucloxacillin sodium
3522
kompatibilný
Injekcia Gentamicin sulfate 1 mg/ml
Injekcia Fluconazole 2 mg/ml
Žiadny 256
kompatibilný
Injekcia Gentamicin sulfate 4 mg/ml
Injekcia Fluconazole 2 mg/ml
0,9% chlorid sodný 496
kompatibilný
Injekcia Gentamicin sulfate 5 mg/ml
Injekcia Fludarabine phosphate 1 mg/ml
5% glukóza 492
kompatibilný
Injekcia Gentamicin sulfate 2 mg/ml
Injekcia Foscarnet sodium 24 mg/ml
0,9% chlorid sodný 1135
kompatibilný
Injekcia Gentamicin sulfate 2 mg/ml
Injekcia Foscarnet sodium 24 mg/ml
5% glukóza 1135
kompatibilný
Injekcia Gentamicin sulfate 4 mg/ml
Injekcia Foscarnet sodium 24 mg/ml
Žiadny 73
kompatibilný
Injekcia Gentamicin sulfate 10 mg/ml
Ringerov laktátový roztok 4603
kompatibilný
Injekcia Gentamicin sulfate 5 mg/ml
Injekcia Fosfomycin 30 mg/ml
0,9% chlorid sodný 4055
Okamžité zrážanie nezlučiteľný
Injekcia Gentamicin sulfate 0,4 mg/ml
Parenterálna výživa (lipidy) 4440
kompatibilný
Injekcia Gentamicin sulfate 40 mg/ml
Parenterálna výživa (lipidy) 673
kompatibilný
Injekcia Gentamicin sulfate 5 mg/ml
Injekcia Fosfomycin 30 mg/ml
5% glukóza 4055
Okamžité zrážanie nezlučiteľný
Injekcia Gentamicin sulfate 10 mg/ml
Injekcia Furosemide 10 mg/ml
789
Okamžité zrážanie nezlučiteľný
Injekcia Gentamicin sulfate 1,6 mg/ml
Injekcia Furosemide 0,8 mg/ml
5% glukóza 367
Okamžité zrážanie nezlučiteľný
Injekcia Gentamicin sulfate 1,6 mg/ml
Injekcia Furosemide 0,8 mg/ml
0,9% chlorid sodný 367
Okamžitá zákal nezlučiteľný
Injekcia Gentamicin sulfate 6.4 mg/ml
Injekcia Furosemide 5 mg/ml
805
Zrážky po 2 hodinách nezlučiteľný
Injekcia Gentamicin sulfate 8 mg/ml
Injekcia Furosemide 1 mg/ml
0,9% chlorid sodný 1232
kompatibilný
Injekcia Gentamicin sulfate 5 mg/ml
Injekcia Gemcitabine hydrochloride 10 mg/ml
0,9% chlorid sodný 1423
kompatibilný
Injekcia Gentamicin sulfate 1.5 mg/ml
Injekcia Granisetron hydrochloride 1 mg/ml
0,9% chlorid sodný 57
kompatibilný
Injekcia Gentamicin sulfate 1 & 2 mg/ml
Injekcia Heparin sodium 2500 UI/ml
4612
Okamžité zrážanie nezlučiteľný
Injekcia Gentamicin sulfate 4 >> 40 mg/ml
Injekcia Heparin sodium 10 >> 40 UI/ml
1258
Okamžité zrážanie nezlučiteľný
Injekcia Gentamicin sulfate
Injekcia Heparin sodium
1022
Nešpecifikovaná nekompatibilita nezlučiteľný
Injekcia Gentamicin sulfate 2 mg/ml
Injekcia Heparin sodium 50 UI/ml
Žiadny 317
Nešpecifikovaná nekompatibilita nezlučiteľný
Injekcia Gentamicin sulfate
Injekcia Heparin sodium
3643
Nešpecifikovaná nekompatibilita nezlučiteľný
Injekcia Gentamicin sulfate
Injekcia Heparin sodium
3520
Nešpecifikovaná nekompatibilita nezlučiteľný
Injekcia Gentamicin sulfate
Injekcia Heparin sodium
3540
Okamžitá zákal nezlučiteľný
Injekcia Gentamicin sulfate 3 mg/ml
Injekcia Heparin sodium 2500 UI/ml
4612
Okamžité zrážanie nezlučiteľný
Injekcia Gentamicin sulfate 4 & 5 mg/ml
Injekcia Heparin sodium 2500 UI/ml
4612
kompatibilný
Injekcia Gentamicin sulfate 5 mg/ml
Injekcia Hetastarch 60 mg/ml
Špeciálne rozpúšťadlá 1721
Okamžité zrážanie nezlučiteľný
Injekcia Gentamicin sulfate 0.8 mg/ml
Injekcia Hetastarch 60 mg/ml
0,9% chlorid sodný 472
kompatibilný
Injekcia Gentamicin sulfate 0.8 mg/ml
Injekcia Hydromorphone hydrochloride 0.2 mg/ml
5% glukóza 405
Zmena farby nezlučiteľný
Injekcia Gentamicin sulfate 3 mg/ml
Injekcia Idarubicin hydrochloride 1 mg/ml
0,9% chlorid sodný 491
Okamžité zrážanie nezlučiteľný
Injekcia Gentamicin sulfate 1 mg/ml
Injekcia Indomethacin sodium trihydrate 0,5 & 1 mg/ml
5% glukóza 494
Zrážky po 15 hodinách nezlučiteľný
Injekcia Gentamicin sulfate 1 mg/ml
Injekcia Indomethacin sodium trihydrate 0,5 & 1 mg/ml
5% glukóza 1745
kompatibilný
Injekcia Gentamicin sulfate 1.2 >> 2 mg/ml
Injekcia Insulin 0.2 UI/ml
0,9% chlorid sodný 129
kompatibilný
Injekcia Gentamicin sulfate 0.8 mg/ml
Injekcia Iohexol 300 mg I/ml
Žiadny 1085
Okamžité zrážanie nezlučiteľný
Injekcia Gentamicin sulfate 0.8 mg/ml
Injekcia Ioxaglate 320 mg I/ml
Žiadny 1085
kompatibilný
Injekcia Gentamicin sulfate 5 mg/ml
Injekcia Isavuconazonium sulfate 1.5 mg/ml
5% glukóza 3829
kompatibilný
Injekcia Gentamicin sulfate 5 mg/ml
Injekcia Isavuconazonium sulfate 1.5 mg/ml
0,9% chlorid sodný 3829
kompatibilný
Injekcia Gentamicin sulfate 40 mg/ml
Injekcia Ketamine hydrochloride 50 mg/ml
2109
kompatibilný
Injekcia Gentamicin sulfate 0.8 mg/ml
Injekcia Labetalol hydrochloride 1 mg/ml
5% glukóza 386
kompatibilný
Injekcia Gentamicin sulfate 5 mg/ml
Injekcia Lansoprazole 0.55 mg/ml
0,9% chlorid sodný 1625
kompatibilný
Injekcia Gentamicin sulfate 10 mg/ml
Injekcia Levofloxacine 5 mg/ml
5% glukóza 1072
kompatibilný
Injekcia Gentamicin sulfate 0,75 mg/ml
Injekcia Linezolid 1,80 mg/ml
2353
kompatibilný
Injekcia Gentamicin sulfate 5 mg/ml
Injekcia Linezolid 2 mg/ml
Žiadny 1925
kompatibilný
Injekcia Gentamicin sulfate 3 mg/ml
Injekcia Lorazepam 0.33 mg/ml
0,9% chlorid sodný 186
kompatibilný
Injekcia Gentamicin sulfate 0.8 mg/ml
Injekcia Magnesium sulfate 16.67 >> 100 mg/ml
5% glukóza 1047
kompatibilný
Injekcia Gentamicin sulfate 5 mg/ml
Injekcia Melphalan 0.1 mg/ml
0,9% chlorid sodný 169
kompatibilný
Injekcia Gentamicin sulfate 40 mg/ml
Injekcia Meropenem 50 mg/ml
voda na injekciu 4319
kompatibilný
Injekcia Gentamicin sulfate 0.8 mg/ml
Injekcia Meropenem 1 & 20 mg/ml
0,9% chlorid sodný 266
kompatibilný
Injekcia Gentamicin sulfate 4 mg/ml
Injekcia Meropenem 1 & 50 mg/ml
0,9% chlorid sodný 266
kompatibilný
Injekcia Gentamicin sulfate 30 mg/ml
Injekcia Meropenem 10 mg/ml
0,9% chlorid sodný 2335
kompatibilný
Injekcia Gentamicin sulfate 0,8 & 1,2 mg/ml
Injekcia Metronidazole 5 mg/ml
Žiadny 1243
kompatibilný
Injekcia Gentamicin sulfate 0.8 mg/ml
Injekcia Metronidazole 5 mg/ml
Žiadny 1035
kompatibilný
Injekcia Gentamicin sulfate
Injekcia Metronidazole
3594
kompatibilný
Injekcia Gentamicin sulfate 3 mg/ml
Injekcia Midazolam hydrochloride 5 mg/ml
Žiadny 186
kompatibilný
Injekcia Gentamicin sulfate 10 mg/ml
Injekcia Midazolam hydrochloride 1 mg/ml
5% glukóza 176
kompatibilný
Injekcia Gentamicin sulfate 0.8 mg/ml
Injekcia Midazolam hydrochloride 0.05 >> 0.4 mg/ml
0,9% chlorid sodný 1888
Nešpecifikovaná nekompatibilita nezlučiteľný
Injekcia Gentamicin sulfate
Injekcia Mitomycin
4471
Chemická nestabilita nezlučiteľný
Injekcia Gentamicin sulfate
Injekcia Mitomycin
3128
kompatibilný
Injekcia Gentamicin sulfate 1.2 & 2 mg/ml
Injekcia Morphine sulfate 1 mg/ml
0,9% chlorid sodný 406
kompatibilný
Injekcia Gentamicin sulfate 0.8 mg/ml
Injekcia Morphine sulfate 1 mg/ml
5% glukóza 405
Nešpecifikovaná nekompatibilita nezlučiteľný
Injekcia Gentamicin sulfate
Injekcia Moxalactam
3643
Nešpecifikovaná nekompatibilita nezlučiteľný
Injekcia Gentamicin sulfate
Injekcia Moxalactam
3520
kompatibilný
Injekcia Gentamicin sulfate 40 mg/ml
Injekcia N-acetylcysteine 200 mg/ml
Žiadny 3766
Nešpecifikovaná nekompatibilita nezlučiteľný
Injekcia Gentamicin sulfate
Injekcia Nadroparin
3643
Nešpecifikovaná nekompatibilita nezlučiteľný
Injekcia Gentamicin sulfate
Injekcia Nafcillin sodium
3643
Nešpecifikovaná nekompatibilita nezlučiteľný
Injekcia Gentamicin sulfate
Injekcia Nafcillin sodium
3520
kompatibilný
Injekcia Gentamicin sulfate 40 mg/ml
Injekcia Naloxone hydrochloride 0.4 mg/ml
Žiadny 3408
kompatibilný
Injekcia Gentamicin sulfate 4.17 mg/ml
Injekcia Nefopam 0.16 mg/ml
0,9% chlorid sodný 4254
kompatibilný
Injekcia Gentamicin sulfate 4.17 mg/ml
Injekcia Nefopam 0.16 mg/ml
5% glukóza 4254
kompatibilný
Injekcia Gentamicin sulfate 0.8 mg/ml
Injekcia Nicardipine hydrochloride 0.1 mg/ml
5% glukóza 1490
kompatibilný
Injekcia Gentamicin sulfate 0.8 mg/ml
Injekcia Nicardipine hydrochloride 0.1 mg/ml
0,9% chlorid sodný 1490
kompatibilný
Injekcia Gentamicin sulfate 0,8 mg/ml
Injekcia Ofloxacin 2 mg/ml
Žiadny 889
kompatibilný
Injekcia Gentamicin sulfate 5 mg/ml
Injekcia Ondansetron hydrochloride 1 mg/ml
0,9% chlorid sodný 334
kompatibilný
Injekcia Gentamicin sulfate 5 mg/ml
Injekcia Oritavancin 0.8 >>2 mg/ml
5% glukóza 3152
Nešpecifikovaná nekompatibilita nezlučiteľný
Injekcia Gentamicin sulfate
Injekcia Oxacillin sodium
3643
Nešpecifikovaná nekompatibilita nezlučiteľný
Injekcia Gentamicin sulfate
Injekcia Oxacillin sodium
3520
kompatibilný
Injekcia Gentamicin sulfate 40 mg/ml
Injekcia Oxycodone hydrochloride 1 mg/ml
0,9% chlorid sodný 4842
kompatibilný
Injekcia Gentamicin sulfate 5 mg/ml
Injekcia Paclitaxel 1.2 mg/ml
5% glukóza 248
kompatibilný
Injekcia Gentamicin sulfate 5 mg/ml
Injekcia Palonosetron hydrochloride 50 µg/ml
5% glukóza 2228
kompatibilný
Injekcia Gentamicin sulfate 2 mg/ml
Injekcia Pancuronium bromide 0.05 mg/ml
5% glukóza 402
Okamžité zrážanie nezlučiteľný
Injekcia Gentamicin sulfate
Injekcia Pantoprazole sodium
2090
kompatibilný
Injekcia Gentamicin sulfate 40 mg/ml
Injekcia Paracetamol 10 mg/ml
4742
Okamžité zrážanie nezlučiteľný
Injekcia Gentamicin sulfate 5 mg/ml
Injekcia Pemetrexed disodium 20 mg/ml
1953
Nešpecifikovaná nekompatibilita nezlučiteľný
Injekcia Gentamicin sulfate
Injekcia Penicillin G potassium
3643
Nešpecifikovaná nekompatibilita nezlučiteľný
Injekcia Gentamicin sulfate
Injekcia Penicillin G potassium
3520
Nešpecifikovaná nekompatibilita nezlučiteľný
Injekcia Gentamicin sulfate
Injekcia Penicillin G sodium
3643
Nešpecifikovaná nekompatibilita nezlučiteľný
Injekcia Gentamicin sulfate
Injekcia Penicillin G sodium
3520
kompatibilný
Injekcia Gentamicin sulfate 10 mg/ml
Injekcia Pentoxifyllin 5 mg/ml
0,9% chlorid sodný 4543
kompatibilný
Injekcia Gentamicin sulfate 0.8 mg/ml
Injekcia Pethidine hydrochloride 10 mg/ml
5% glukóza 405
Okamžité zrážanie nezlučiteľný
Injekcia Gentamicin sulfate 10 mg/ml
Injekcia Phenytoin sodium 50 mg/ml
789
kompatibilný
Injekcia Gentamicin sulfate 20 mg/ml
Injekcia Phloroglucinol 2,5 mg/ml
3791
Nešpecifikovaná nekompatibilita nezlučiteľný
Injekcia Gentamicin sulfate
Injekcia Piperacillin sodium
3520
Nešpecifikovaná nekompatibilita nezlučiteľný
Injekcia Gentamicin sulfate
Injekcia Piperacillin sodium
3643
Nešpecifikovaná nekompatibilita nezlučiteľný
Injekcia Gentamicin sulfate
Injekcia Piperacillin sodium / tazobactam
3520
Chemická nestabilita nezlučiteľný
Injekcia Gentamicin sulfate
Injekcia Piperacillin sodium / tazobactam
3586
Nešpecifikovaná nekompatibilita nezlučiteľný
Injekcia Gentamicin sulfate
Injekcia Piperacillin sodium / tazobactam
3643
kompatibilný
Injekcia Gentamicin sulfate
Injekcia Posaconazole
4380
kompatibilný
Injekcia Gentamicin sulfate 30 mg/ml
Injekcia Potassium chloride 20 mEq/l
0,45% chlorid sodný (a) 5% glukóza 2335
Okamžitá nestabilita emulzie nezlučiteľný
Injekcia Gentamicin sulfate 2 mg/ml
Injekcia Propofol
660
Nešpecifikovaná nekompatibilita nezlučiteľný
Injekcia Gentamicin sulfate 40 mg/ml
Injekcia Propofol
4524
Okamžité zrážanie nezlučiteľný
Injekcia Gentamicin sulfate 5 mg/ml
Injekcia Propofol 10 mg/ml
Žiadny 300
kompatibilný
Injekcia Gentamicin sulfate 5 mg/ml
Injekcia Remifentanil hydrochloride 25 & 250 µg/ml
0,9% chlorid sodný 59
kompatibilný
Injekcia Gentamicin sulfate 40 mg/ml
Injekcia Salbutamol sulfate 1 mg/ml
Žiadny 3216
kompatibilný
Injekcia Gentamicin sulfate 5 mg/ml
Injekcia Sargramostim 10 µg/ml
0,9% chlorid sodný 335
kompatibilný
Injekcia Gentamicin sulfate 10 mg/ml
Injekcia Sildenafil citrate 0,6 mg/ml
5% glukóza 4845
kompatibilný
Injekcia Gentamicin sulfate 2,4 mg/ml
Injekcia Sodium bicarbonate 40 mg/ml
Žiadny 3122
Výroba plynových bublín nezlučiteľný
Injekcia Gentamicin sulfate
Injekcia Sodium bicarbonate
3643
kompatibilný
Injekcia Gentamicin sulfate 2.5 mg/ml
Injekcia Sodium citrate 40 mg/ml
voda na injekciu 3952
kompatibilný
Injekcia Gentamicin sulfate 40 mg/ml
Injekcia Sugammadex 100 mg/ml
Žiadny 3372
kompatibilný
Injekcia Gentamicin sulfate 5 mg/ml
Injekcia Sulbactam/durlobactam 15/15 mg/ml
0,9% chlorid sodný 4801
kompatibilný
Injekcia Gentamicin sulfate 4 mg/ml
Injekcia Tacrolimus 1000 µg/ml
0,9% chlorid sodný 479
kompatibilný
Injekcia Gentamicin sulfate
0,9% chlorid sodný 1704
kompatibilný
Injekcia Gentamicin sulfate
0,9% chlorid sodný 434
Nešpecifikovaná nekompatibilita nezlučiteľný
Injekcia Gentamicin sulfate
Injekcia Sodium bicarbonate
3520
kompatibilný
Injekcia Gentamicin sulfate 1 >> 5 mg/ml
Injekcia Sodium citrate 40 mg/ml
Žiadny 2019
Okamžitá zákal nezlučiteľný
Injekcia Gentamicin sulfate 5 mg/ml
Injekcia Tedizolid phosphate 0.8 mg/ml
0,9% chlorid sodný 3827
Nešpecifikovaná nekompatibilita nezlučiteľný
Injekcia Gentamicin sulfate
Injekcia Teicoplanine
3656
kompatibilný
Injekcia Gentamicin sulfate 5 mg/ml
Injekcia Telavancin hydrochloride 7.5 mg/ml
Ringerov laktátový roztok 3254
kompatibilný
Injekcia Gentamicin sulfate 5 mg/ml
Injekcia Telavancin hydrochloride 7.5 mg/ml
0,9% chlorid sodný 3254
kompatibilný
Injekcia Gentamicin sulfate 5 mg/ml
Injekcia Telavancin hydrochloride 7.5 mg/ml
5% glukóza 3254
kompatibilný
Injekcia Gentamicin sulfate 6 mg/ml
Injekcia Temocilline 83.33 mg/ml
voda na injekciu 2231
Nešpecifikovaná nekompatibilita nezlučiteľný
Injekcia Gentamicin sulfate
Injekcia Temocilline
3643
Nešpecifikovaná nekompatibilita nezlučiteľný
Injekcia Gentamicin sulfate
Injekcia Temocilline
3520
Nešpecifikovaná nekompatibilita nezlučiteľný
Injekcia Gentamicin sulfate
Injekcia Temocilline
2296
kompatibilný
Injekcia Gentamicin sulfate 5 mg/ml
Injekcia Teniposide 0.1 mg/ml
5% glukóza 905
kompatibilný
Injekcia Gentamicin sulfate 2 mg/ml
Injekcia Theophylline 4 mg/ml
Žiadny 317
Okamžité zrážanie nezlučiteľný
Injekcia Gentamicin sulfate 40 mg/ml
Injekcia Thiopental sodium 25 mg/ml
0,9% chlorid sodný 3767
kompatibilný
Injekcia Gentamicin sulfate 5 mg/ml
Injekcia Thiotepa 1 mg/ml
5% glukóza 249
Chemická nestabilita nezlučiteľný
Injekcia Gentamicin sulfate
Injekcia Ticarcillin / clavulanic acid
3587
Nešpecifikovaná nekompatibilita nezlučiteľný
Injekcia Gentamicin sulfate
Injekcia Ticarcillin / clavulanic acid
3643
Nešpecifikovaná nekompatibilita nezlučiteľný
Injekcia Gentamicin sulfate
Injekcia Ticarcillin / clavulanic acid
3520
kompatibilný
Injekcia Gentamicin sulfate
Injekcia Tigecycline
0,9% chlorid sodný 3332
kompatibilný
Injekcia Gentamicin sulfate 6 mg/ml
Injekcia Vancomycin hydrochloride 10 mg/ml
5% glukóza 3385
kompatibilný
Injekcia Gentamicin sulfate 1.2 mg/ml
Injekcia Vasopressin 0.2 UI/ml
0,9% chlorid sodný 2017
kompatibilný
Injekcia Gentamicin sulfate 2 mg/ml
Injekcia Vecuronium bromide 0.1 mg/ml
5% glukóza 402
kompatibilný
Injekcia Gentamicin sulfate 0.16 mg/ml
Injekcia Verapamil hydrochloride 0.08 mg/ml
5% glukóza 1057
kompatibilný
Injekcia Gentamicin sulfate 0.16 mg/ml
Injekcia Verapamil hydrochloride 0.08 mg/ml
0,9% chlorid sodný 1057
kompatibilný
Injekcia Gentamicin sulfate 5 mg/ml
Injekcia Vinorelbine tartrate 1 mg/ml
0,9% chlorid sodný 84
Okamžitá zákal nezlučiteľný
Injekcia Gentamicin sulfate 1.6 mg/ml
Injekcia Warfarin sodium 2 mg/ml
5% glukóza 315
kompatibilný
Injekcia Gentamicin sulfate 2 mg/ml
Injekcia Zidovudine 4 mg/ml
5% glukóza 337

  Mentions Légales