Última actualización :
18/03/2026
Vasodilatador   Alprostadil  
Inyectables
Estabilidad en solucion Estabilidad en mezcla Factores que influyen sobre la estabilidad Compatibilidades método de inyección Bibliografía pdf
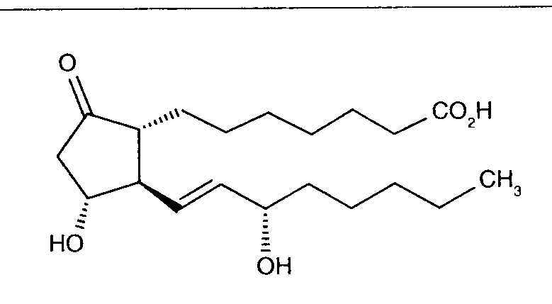
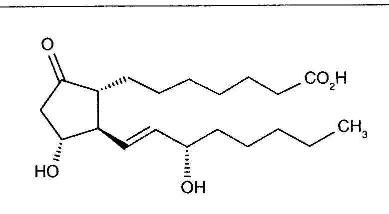
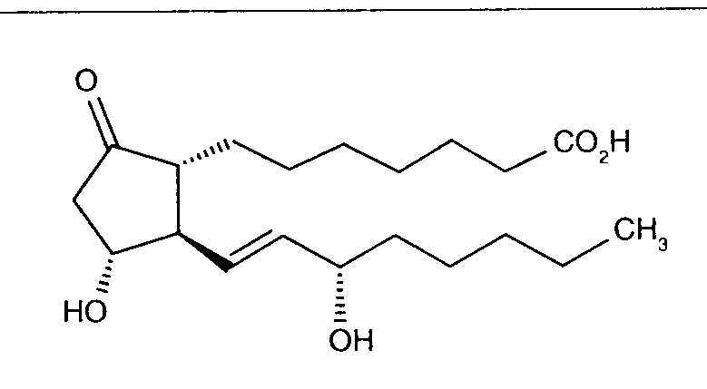
   Estructura química  

Nombre comercial   Nombre comercial     

Los nombres comerciales son orientativos y los excipientes de la formulación pueden ser distintos dependiendo del país y del laboratorio fabricante.

Alfaprostin Egipto
Alistint Marruecos, México
Alprostadil Alemania, Arabia Saudita, Argentina, Australia, Canadá, Chile, Ecuador, España, Estados Unidos de América, Malasia, Marruecos, Rumania, Turquía
Alprostapint Argentina, Austria, Colombia, Ecuador, Hungría, Marruecos
Alprostar Italia
Aplicav
Cardiobonisol Polonia
Caverject Austria, Bélgica, Brasil, Canadá, Chile, Colombia, Dinamarca, Emiratos Árabes Unidos, Eslovenia, España, Estados Unidos de América, Francia, Gran Bretaña, Italia, Noruega, Polonia, Portugal, Suecia, Suiza, Turquía
Edex Estados Unidos de América, Francia, Grecia, Túnez
Liple Japón
Minprog Alemania, Austria
Ostapint Marruecos, México
Palux Japón
Pridax Alemania, Austria, España, Rumania
Prolisina VR Argentina
Prostandin Japón
Prostavasin Alemania, Austria, Egipto, Hungría, Irán, Italia, Luxemburgo, Polonia
Prostin VR Arabia Saudita, Bélgica, Canadá, Colombia, Croacia, Dinamarca, Estados Unidos de América, Finlandia, Gran Bretaña, Grecia, Hungría, Irán, Italia, Luxemburgo, Malasia, Noruega, Países Bajos, Polonia, Portugal, Suiza, Venezuela
Prostine VR Francia
Vasaprostan Rumania
Estabilidad en solucion   Inyectables   Estabilidad en solucion : Alprostadil     
Envase Solvente Concentración Temperatura Conservación Duración de la estabilidad Bibliografía
Vidrio Cloruro de sodio 0,9% 25 µg/ml 4°C No precisada
82 Día
2003
Nivel de evidencia B

Cloruro de polivinilo Cloruro de sodio 0,9% 11 µg/ml 2-8°C A cubierto de la luz
10 Día
3961
Nivel de evidencia D

Polipropileno Glucosa 10% 1.5 µg/ml 28-32°C Luz
48 Hora
4069
Nivel de evidencia C+

Polipropileno Glucosa 10% 15 µg/ml 28-32°C Luz
48 Hora
4069
Nivel de evidencia C+

jeringa polipropileno Glucosa 10% 1,5 µg/ml 28-32°C Luz
48 Hora
3761
Nivel de evidencia D

jeringa polipropileno Glucosa 10% 15 µg/ml 28-32°C Luz
48 Hora
3761
Nivel de evidencia D

No precisado Cloruro de sodio 0,9% 10 µg/ml 2-8°C A cubierto de la luz
15 Día
2151
Nivel de evidencia B


  Mentions Légales