Poslední aktualizace :
16/12/2025
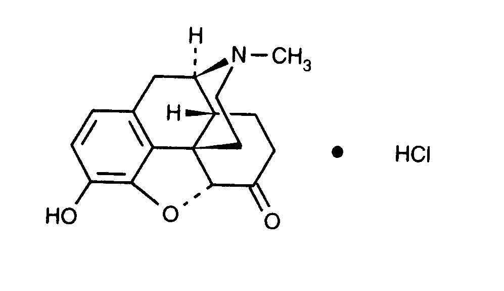
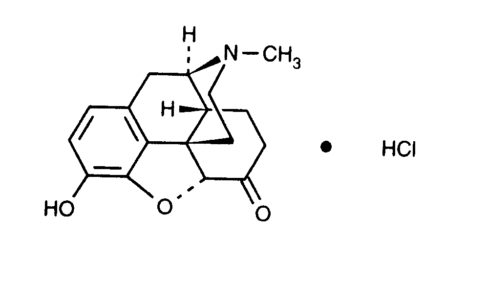
Analgetikum   Hydromorphone hydrochloride  
injekce
Stabilita roztoků Stabilita směsí Faktory ovlivňující stabilitu Kompatibilita Způsoby aplikace Odkazy pdf
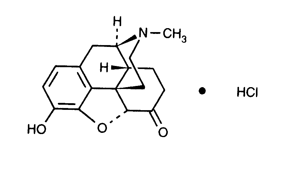
   Chemický vzorec  

Obchodní název   Obchodní název     

Trade names are indicative and excipients composition can be different depending on the country and manufacturers

Dilaudid Kanada, USA
Hydal Rakousko
Palladon Dánsko, Švýcarsko
Palladone Velká Británie
Stabilita roztoků   injekce   Stabilita roztoků : Hydromorphone hydrochloride     
Obal RozpouötÏdlo Koncentrace Teplota Uchovávání Trvání stability Odkazy
Sklo Nespecifikováno 50 mg/ml 37°C Chráněno před světlem
90 Den
2305

Polyvinyl chlorid Chlorid sodný 0,9% ? mg/ml 25°C Nespecifikováno
7 Den
5073
Údaje o stabilitě od výrobce

Polyvinyl chlorid Chlorid sodný 0,9% ? mg/ml 37°C Nespecifikováno
7 Den
5073
Údaje o stabilitě od výrobce

Polyvinyl chlorid Chlorid sodný 0,9% ? mg/ml 4°C Nespecifikováno
7 Den
5073
Údaje o stabilitě od výrobce

Polyvinyl chlorid Chlorid sodný 0,9% 0,2 & 10 mg/ml 23°C Nespecifikováno
90 Den
4230
Úroveň zkoušky A

Polyvinyl chlorid Chlorid sodný 0,9% 1 & 5 mg/ml 23°C Nespecifikováno
42 Den
120
Úroveň zkoušky C

Polyvinyl chlorid Chlorid sodný 0,9% 1 & 5 mg/ml 4°C Chráněno před světlem
42 Den
120
Úroveň zkoušky C

Polyvinyl chlorid Chlorid sodný 0,9% 20 mg/ml 22°C Nespecifikováno
7 Den
4664
Úroveň zkoušky D

Polyvinyl chlorid Chlorid sodný 0,9% 20 mg/ml 37°C Nespecifikováno
7 Den
4664
Úroveň zkoušky D

Polyvinyl chlorid GlukÛza 5% ? mg/ml 25°C Nespecifikováno
7 Den
5073
Údaje o stabilitě od výrobce

Polyvinyl chlorid GlukÛza 5% ? mg/ml 37°C Nespecifikováno
7 Den
5073
Údaje o stabilitě od výrobce

Polyvinyl chlorid GlukÛza 5% ? mg/ml 4°C Nespecifikováno
7 Den
5073
Údaje o stabilitě od výrobce

Polyvinyl chlorid GlukÛza 5% 1 & 5 mg/ml 23°C Nespecifikováno
42 Den
120
Úroveň zkoušky C

Polyvinyl chlorid GlukÛza 5% 1 & 5 mg/ml 4°C Chráněno před světlem
42 Den
120
Úroveň zkoušky C

Polyethylen Chlorid sodný 0,9% ? mg/ml 25°C Nespecifikováno
7 Den
5073
Údaje o stabilitě od výrobce

Polyethylen Chlorid sodný 0,9% ? mg/ml 37°C Nespecifikováno
7 Den
5073
Údaje o stabilitě od výrobce

Polyethylen Chlorid sodný 0,9% ? mg/ml 4°C Nespecifikováno
7 Den
5073
Údaje o stabilitě od výrobce

Polyethylen GlukÛza 5% ? mg/ml 25°C Nespecifikováno
7 Den
5073
Údaje o stabilitě od výrobce

Polyethylen GlukÛza 5% ? mg/ml 37°C Nespecifikováno
7 Den
5073
Údaje o stabilitě od výrobce

Polyethylen GlukÛza 5% ? mg/ml 4°C Nespecifikováno
7 Den
5073
Údaje o stabilitě od výrobce

Polyoleofin Chlorid sodný 0,9% 0,2 & 10 mg/ml 23°C Nespecifikováno
90 Den
4230
Úroveň zkoušky A

Ethylen vinyl acetát Chlorid sodný 0,9% ? mg/ml 25°C Nespecifikováno
7 Den
5073
Údaje o stabilitě od výrobce

Ethylen vinyl acetát Chlorid sodný 0,9% ? mg/ml 37°C Nespecifikováno
7 Den
5073
Údaje o stabilitě od výrobce

Ethylen vinyl acetát Chlorid sodný 0,9% ? mg/ml 4°C Nespecifikováno
7 Den
5073
Údaje o stabilitě od výrobce

Ethylen vinyl acetát GlukÛza 5% ? mg/ml 25°C Nespecifikováno
7 Den
5073
Údaje o stabilitě od výrobce

Ethylen vinyl acetát GlukÛza 5% ? mg/ml 37°C Nespecifikováno
7 Den
5073
Údaje o stabilitě od výrobce

Ethylen vinyl acetát GlukÛza 5% ? mg/ml 4°C Nespecifikováno
7 Den
5073
Údaje o stabilitě od výrobce

stříkačka polypropylen Chlorid sodný 0,9% ? mg/ml 25°C Nespecifikováno
7 Den
5073
Údaje o stabilitě od výrobce

stříkačka polypropylen Chlorid sodný 0,9% ? mg/ml 37°C Nespecifikováno
7 Den
5073
Údaje o stabilitě od výrobce

stříkačka polypropylen Chlorid sodný 0,9% ? mg/ml 4°C Nespecifikováno
7 Den
5073
Údaje o stabilitě od výrobce

stříkačka polypropylen Chlorid sodný 0,9% 0,1 mg/ml 25°C Nespecifikováno
100 Den
4303
Úroveň zkoušky A

stříkačka polypropylen Chlorid sodný 0,9% 0,1 mg/ml 30°C Nespecifikováno
30 Den
5
Úroveň zkoušky B

stříkačka polypropylen Chlorid sodný 0,9% 1,5 & 80 mg/ml 23°C SvÏtlo
60 Den
1706
Úroveň zkoušky A+

stříkačka polypropylen Chlorid sodný 0,9% 1,5 & 80 mg/ml 37°C Chráněno před světlem
48 Hodina
1706
Úroveň zkoušky A+

stříkačka polypropylen Chlorid sodný 0,9% 1,5 & 80 mg/ml 4°C Chráněno před světlem
60 Den
1706
Úroveň zkoušky A+

stříkačka polypropylen GlukÛza 5% ? mg/ml 25°C Nespecifikováno
7 Den
5073
Údaje o stabilitě od výrobce

stříkačka polypropylen GlukÛza 5% ? mg/ml 37°C Nespecifikováno
7 Den
5073
Údaje o stabilitě od výrobce

stříkačka polypropylen GlukÛza 5% ? mg/ml 4°C Nespecifikováno
7 Den
5073
Údaje o stabilitě od výrobce

stříkačka polypropylen Žádné 10 mg/ml 30°C Nespecifikováno
30 Den
5
Úroveň zkoušky B

Nespecifikováno Chlorid sodný 0,9% 0,2 mg/ml 20°C S nebo bez svÏtla
112 Den
2659
Úroveň zkoušky A

Nespecifikováno Chlorid sodný 0,9% 0,2 mg/ml 35°C Chráněno před světlem
112 Den
2659
Úroveň zkoušky A

Nespecifikováno Chlorid sodný 0,9% 0,2 mg/ml 5°C Chráněno před světlem
112 Den
2659
Úroveň zkoušky A

Nespecifikováno Žádné 10 mg/ml 37°C Chráněno před světlem
120 Den
1867
Úroveň zkoušky D


  Mentions Légales