Останнє оновлення :
27/01/2026
Антикоагулянти   Heparin sodium  
ін'єкція
Стійкість в розчинах Стійкість сумішей Фактори, що впливають на стабільність Сумісність Шлях введення Список літератури pdf
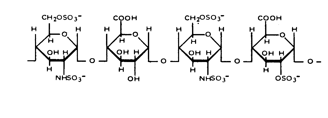
   Хімічна структура  

Торгова назва   Торгова назва     

Торгові назви є орієнтовними, а склад допоміжних речовин може бути різним залежно від країни та виробника

Arapin Чилі
Ateroclar Італія
Clarisco Італія
Epsoclar Італія
Hepaflex Норвегія, Фінляндія
Hepamax Еквадор, Колумбія, Чилі
Heparin Австрія, Великобританія, Греція, Данія, Канада, Нідерланди, Норвегія, Південно-Африканська Республіка, російський, Сербія, Сполучені Штати Америки, Таїланд, Туреччина, Угорщина, Фінляндія, Швейцарія, Швеція
Heparine Бельгія, Франція
Heparinised Австралія
Heparstad Німеччина
Liquemin Туреччина, Швейцарія
Liquemine Бразилія
Monoparin Саудівська Аравія
Normoparin Італія
Nuparin Еквадор
Pharepa Італія
Riveparin Аргентина
Sobrius Аргентина, Еквадор
Thrombophob Німеччина
Сумісність   ін'єкція   Сумісність : Heparin sodium              
explication_incompatibilite_molecules
З'єднання Розчинник Список літератури
сумісний
ін'єкція Heparin sodium 100 UI/ml
ін'єкція Aciclovir sodium 5 mg/ml
Натрію хлорид 0,9% 2335
сумісний
ін'єкція Heparin sodium 50 UI/ml
ін'єкція Aciclovir sodium 5 mg/ml
Глюкоза 5% 336
сумісний
ін'єкція Heparin sodium 100 UI/ml
ін'єкція Aldesleukin 0.0338 MUI/ml
Глюкоза 5% 36
сумісний
ін'єкція Heparin sodium 100 UI/ml
ін'єкція Allopurinol sodium 3 mg/ml
Натрію хлорид 0,9% 307
сумісний
ін'єкція Heparin sodium 1 UI/ml
ін'єкція Alprostadil 20 µg/ml
Натрію хлорид 0,9% 4491
сумісний
ін'єкція Heparin sodium 1 UI/ml
ін'єкція Alprostadil 20 µg/ml
Глюкоза 5% 4651
Опади через 24 годин Несумісні
ін'єкція Heparin sodium 100 UI/ml
ін'єкція Alteplase 1 mg/ml
Вода для ін'єкцій 92
Неуточнена несумісність Несумісні
ін'єкція Heparin sodium
ін'єкція Alteplase
3540
Миттєві опади Несумісні
ін'єкція Heparin sodium 40 UI/ml
ін'єкція Alteplase 0.5 mg/ml
Вода для ін'єкцій 240
Неуточнена несумісність Несумісні
ін'єкція Heparin sodium
ін'єкція Alteplase
3616
сумісний
ін'єкція Heparin sodium 100 UI/ml
ін'єкція Amifostine 10 mg/ml
Глюкоза 5% 3
Миттєві опади Несумісні
ін'єкція Heparin sodium
ін'єкція Amikacin sulfate
1022
Неуточнена несумісність Несумісні
ін'єкція Heparin sodium
ін'єкція Amikacin sulfate
3549
Неуточнена несумісність Несумісні
ін'єкція Heparin sodium
ін'єкція Amikacin sulfate
3540
Неуточнена несумісність Несумісні
ін'єкція Heparin sodium 500 UI/ml
ін'єкція Amiodarone hydrochloride 15 mg/ml
Натрію хлорид 0,9% 3823
Неуточнена несумісність Несумісні
ін'єкція Heparin sodium
ін'єкція Amiodarone hydrochloride
3540
Негайне помутніння Несумісні
ін'єкція Heparin sodium 500 UI/ml
ін'єкція Amiodarone hydrochloride 15 mg/ml
Натрію хлорид 0,9% 3463
Неуточнена несумісність Несумісні
ін'єкція Heparin sodium
ін'єкція Amiodarone hydrochloride
3464
Неуточнена несумісність Несумісні
ін'єкція Heparin sodium 500 UI/ml
ін'єкція Amiodarone hydrochloride 15 mg/ml
Глюкоза 5% 3823
Негайне помутніння Несумісні
ін'єкція Heparin sodium 500 UI/ml
ін'єкція Amiodarone hydrochloride 15 mg/ml
Глюкоза 5% 3463
сумісний
ін'єкція Heparin sodium 208 UI/ml
ін'єкція Amoxicillin sodium 20.83 & 83.3 mg/ml
Натрію хлорид 0,9% 4254
сумісний
ін'єкція Heparin sodium 1000 UI/ml
ін'єкція Amoxicillin sodium / clavulanic acid 100/10 mg/ml
3824
сумісний
ін'єкція Heparin sodium
ін'єкція Ampicillin sodium
5088
сумісний
ін'єкція Heparin sodium 50 UI/ml
ін'єкція Ampicillin sodium 20 mg/ml
Жодного 317
сумісний
ін'єкція Heparin sodium 50 UI/ml
ін'єкція Ampicillin sodium - sulbactam sodium 30 mg/ml
Жодного 317
Миттєві опади Несумісні
ін'єкція Heparin sodium 40 UI/ml
ін'єкція Amsacrine 1 mg/ml
Глюкоза 5% 253
сумісний
ін'єкція Heparin sodium 100 UI/ml
ін'єкція Anidulafungin 0.5 mg/ml
Глюкоза 5% 1982
Миттєві опади Несумісні
ін'єкція Heparin sodium
ін'єкція Antithymocyte globulin (rabbit)
4958
Миттєві опади Несумісні
ін'єкція Heparin sodium 2 UI/ml
ін'єкція Antithymocyte globulin (rabbit) 0,2 & 0,3 mg/ml
Глюкоза 5% 1822
сумісний
ін'єкція Heparin sodium 100 UI/ml
ін'єкція Antithymocyte globulin (rabbit) 0,2 & 0,3 mg/ml
Глюкоза 5% 1822
сумісний
ін'єкція Heparin sodium 2 & 100 UI/ml
ін'єкція Antithymocyte globulin (rabbit) 0,2 & 0,3 mg/ml
Натрію хлорид 0,9% 1822
сумісний
ін'єкція Heparin sodium 40 UI/ml
ін'єкція Atracurium besylate 0.5 mg/ml
Глюкоза 5% 402
сумісний
ін'єкція Heparin sodium 1 UI/ml
ін'єкція Atropine sulfate 0.5 mg/ml
Глюкоза 5% 1228
сумісний
ін'єкція Heparin sodium 500 UI/ml
Парентеральне харчування (ліпідами) 4507
Миттєві опади Несумісні
ін'єкція Heparin sodium 1000 UI/ml
ін'єкція Amphotericin B cholesteryl sulfate complex 0.83 mg/ml
Глюкоза 5% 921
Неуточнена несумісність Несумісні
ін'єкція Heparin sodium
ін'єкція Ampicillin sodium
3540
сумісний
ін'єкція Heparin sodium 10 & 5000 UI/ml
ін'єкція Ampicillin sodium 10 mg/ml
Натрію хлорид 0,9% 2037
сумісний
ін'єкція Heparin sodium 1 UI/ml
ін'єкція Atropine sulfate 0.5 mg/ml
Розчин лактату Рінгера 1228
сумісний
ін'єкція Heparin sodium 1 UI/ml
ін'єкція Atropine sulfate 0.5 mg/ml
Натрію хлорид 0,9% 1228
сумісний
ін'єкція Heparin sodium 100 UI/ml
ін'єкція Aztreonam 40 mg/ml
Глюкоза 5% 99
сумісний
ін'єкція Heparin sodium 50 UI/ml
ін'єкція Aztreonam 20 mg/ml
Жодного 317
сумісний
ін'єкція Heparin sodium 1 UI/ml
ін'єкція Betamethasone sodium phosphate 3 mg/ml
Натрію хлорид 0,9% 1228
сумісний
ін'єкція Heparin sodium 1 UI/ml
ін'єкція Betamethasone sodium phosphate 3 mg/ml
Глюкоза 5% 1228
сумісний
ін'єкція Heparin sodium 1 UI/ml
ін'єкція Betamethasone sodium phosphate 3 mg/ml
Розчин лактату Рінгера 1228
сумісний
ін'єкція Heparin sodium 100 UI/ml
ін'єкція Bivalirudin 5 mg/ml
Глюкоза 5% 1713
Миттєві опади Несумісні
ін'єкція Heparin sodium 192.3 UI/ml
ін'єкція Blinatumomab 0.125 & 0.375 µg/ml
Натрію хлорид 0,9% 3976
сумісний
ін'єкція Heparin sodium 1000 UI/ml
ін'єкція Caffeine 10 mg/ml
Жодного 3964
сумісний
ін'єкція Heparin sodium 100 UI/ml
ін'єкція Caffeine 10 mg/ml
Натрію хлорид 0,9% 4837
сумісний
ін'єкція Heparin sodium 100 UI/ml
ін'єкція Caffeine citrate 20 mg/ml
Натрію хлорид 0,9% 4837
Опади через 30 хв Несумісні
ін'єкція Heparin sodium 2 UI/ml
ін'єкція Calcium chloride 20 mg/ml
Глюкоза 5% 4732
сумісний
ін'єкція Heparin sodium 100 UI/ml
ін'єкція Calcium chloride 20 mg/ml
Глюкоза 5% 4732
Негайна нестійкість емульсії Несумісні
ін'єкція Heparin sodium
ін'єкція Calcium chloride
Парентеральне харчування (ліпідами) 1084
Негайна нестійкість емульсії Несумісні
ін'єкція Heparin sodium
ін'єкція Calcium gluconate
Парентеральне харчування (ліпідами) 1084
Миттєві опади Несумісні
ін'єкція Heparin sodium 100 UI/ml
ін'єкція Caspofungin acetate 0.5 mg/ml
Натрію хлорид 0,9% 2233
Миттєві опади Несумісні
ін'єкція Heparin sodium 100 UI/ml
ін'єкція Caspofungin acetate 0,7 mg/ml
Натрію хлорид 0,9% 2247
Неуточнена несумісність Несумісні
ін'єкція Heparin sodium
ін'єкція Cefalotin sodium
3540
сумісний
ін'єкція Heparin sodium 10 & 5000 UI/ml
ін'єкція Cefazolin sodium 10 mg/ml
Натрію хлорид 0,9% 2037
сумісний
ін'єкція Heparin sodium 50 UI/ml
ін'єкція Cefazolin sodium 20 mg/ml
Жодного 317
сумісний
ін'єкція Heparin sodium 0.667 UI/ml
ін'єкція Cefazolin sodium 0.333 mg/ml
Dianéal® PD2 1.5% glucose (Baxter) 1979
сумісний
ін'єкція Heparin sodium 10 & 50 UI/ml
ін'єкція Cefepime dihydrochloride 4 mg/ml
Натрію хлорид 0,9% 3548
сумісний
ін'єкція Heparin sodium 10 & 50 UI/ml
ін'єкція Cefepime dihydrochloride 4 mg/ml
Глюкоза 5% 3548
сумісний
ін'єкція Heparin sodium 1000 UI/ml
ін'єкція Cefiderocol sulfate tosylate 20 mg/mL
Глюкоза 5% 4528
сумісний
ін'єкція Heparin sodium 1000 UI/ml
ін'єкція Cefiderocol sulfate tosylate 20 mg/mL
Натрію хлорид 0,9% 4528
Хімічна нестійкість Несумісні
ін'єкція Heparin sodium 100 UI/ml
ін'єкція Cefmetazole sodium 100 mg/ml
Вода для ін'єкцій 93
сумісний
ін'єкція Heparin sodium 208 UI/ml
ін'єкція Cefotaxime sodium 41.6 & 125 mg/ml
Глюкоза 5% 4254
сумісний
ін'єкція Heparin sodium 208 UI/ml
ін'єкція Cefotaxime sodium 41.6 & 125 mg/ml
Натрію хлорид 0,9% 4254
сумісний
ін'єкція Heparin sodium 5000 UI/ml
ін'єкція Cefotaxime sodium 10 mg/ml
Вода для ін'єкцій 3125
сумісний
ін'єкція Heparin sodium 100 UI/ml
ін'єкція Ceftaroline fosamil 2,22 mg/ml
Розчин лактату Рінгера 3249
сумісний
ін'єкція Heparin sodium 100 UI/ml
ін'єкція Ceftaroline fosamil 2,22 mg/ml
Натрію хлорид 0,9% 3249
сумісний
ін'єкція Heparin sodium 100 UI/ml
ін'єкція Ceftaroline fosamil 2,22 mg/ml
Глюкоза 5% 3249
сумісний
ін'єкція Heparin sodium 0.5 UI/ml
ін'єкція Ceftazidime 0.125 mg/ml
Extraneal® (Baxter) 4056
сумісний
ін'єкція Heparin sodium 0.5 UI/ml
ін'єкція Ceftazidime 0.125 mg/ml
Dianéal® PD2 4.25% glucose (Baxter) 4056
сумісний
ін'єкція Heparin sodium 50 UI/ml
ін'єкція Ceftazidime 20 mg/ml
Жодного 317
сумісний
ін'єкція Heparin sodium 0.5 UI/ml
ін'єкція Ceftazidime 0.125 mg/ml
Dianéal® PD2 2.5% glucose (Baxter) 4056
сумісний
ін'єкція Heparin sodium 100 UI/ml
ін'єкція Ceftobiprole medocaril sodium 2 mg/ml
Натрію хлорид 0,9% 2269
сумісний
ін'єкція Heparin sodium 100 UI/ml
ін'єкція Ceftobiprole medocaril sodium 2 mg/ml
Глюкоза 5% 2269
сумісний
ін'єкція Heparin sodium 100 UI/ml
ін'єкція Ceftobiprole medocaril sodium 2 mg/ml
Розчин лактату Рінгера 2269
сумісний
ін'єкція Heparin sodium 1000 UI/ml
ін'єкція Ceftolozane / tazobactam 10/5 mg/ml
Натрію хлорид 0,9% 3828
сумісний
ін'єкція Heparin sodium 1000 UI/ml
ін'єкція Ceftolozane / tazobactam 10/5 mg/ml
Глюкоза 5% 3828
сумісний
ін'єкція Heparin sodium 50 UI/ml
ін'єкція Ceftriaxone disodium 20 mg/ml
Жодного 317
сумісний
ін'єкція Heparin sodium 10 & 50 UI/ml
ін'єкція Cefuroxime sodium
Натрію хлорид 0,9% 3687
сумісний
ін'єкція Heparin sodium 58,34 UI/ml
ін'єкція Chlorpromazine hydrochloride 0,26 mg/ml
Глюкоза 5% 1289
сумісний
ін'єкція Heparin sodium 1 UI/ml
ін'єкція Chlorpromazine hydrochloride 10 mg/ml
Натрію хлорид 0,9% 1228
сумісний
ін'єкція Heparin sodium 1 UI/ml
ін'єкція Chlorpromazine hydrochloride 10 mg/ml
Глюкоза 5% 1228
Неуточнена несумісність Несумісні
ін'єкція Heparin sodium
ін'єкція Chlorpromazine hydrochloride
3540
сумісний
ін'єкція Heparin sodium 1 UI/ml
ін'єкція Chlorpromazine hydrochloride 10 mg/ml
Розчин лактату Рінгера 1228
сумісний
ін'єкція Heparin sodium 50 UI/ml
ін'єкція Cimetidine hydrochloride 6 mg/ml
Жодного 317
сумісний
ін'єкція Heparin sodium 5000 & 10000 UI/ml
ін'єкція Ciprofloxacin lactate 0.4 & 0.6 mg/ml
Натрію хлорид 0,9% 2057
Миттєві опади Несумісні
ін'єкція Heparin sodium 10 >> 10000 UI/ml
ін'єкція Ciprofloxacin lactate 1 mg/ml
Натрію хлорид 0,9% 2057
Миттєві опади Несумісні
ін'єкція Heparin sodium 10 & 100 UI/ml
ін'єкція Ciprofloxacin lactate 0.2 mg/ml
Натрію хлорид 0,9% 2057
Неуточнена несумісність Несумісні
ін'єкція Heparin sodium
ін'єкція Ciprofloxacin lactate
3540
Миттєві опади Несумісні
ін'єкція Heparin sodium 10 >> 1000 UI/ml
ін'єкція Ciprofloxacin lactate 0.4 & 0.6 mg/ml
Натрію хлорид 0,9% 2057
сумісний
ін'єкція Heparin sodium 1000 >> 10000 UI/ml
ін'єкція Ciprofloxacin lactate 0.2 mg/ml
Натрію хлорид 0,9% 2057
Миттєві опади Несумісні
ін'єкція Heparin sodium 10 >> 5000 UI/ml
ін'єкція Ciprofloxacin lactate 0.8 mg/ml
Натрію хлорид 0,9% 2057
сумісний
ін'єкція Heparin sodium 10 >> 10000 UI/ml
ін'єкція Ciprofloxacin lactate 0.1 mg/ml
Натрію хлорид 0,9% 2057
Миттєві опади Несумісні
ін'єкція Heparin sodium 100 UI/ml
ін'єкція Ciprofloxacin lactate 2 mg/ml
Натрію хлорид 0,9% 288
Неуточнена несумісність Несумісні
ін'єкція Heparin sodium
ін'єкція Ciprofloxacin lactate
3529
Миттєві опади Несумісні
ін'єкція Heparin sodium 100 UI/ml
ін'єкція Ciprofloxacin lactate 2 mg/ml
Глюкоза 5% 288
Миттєві опади Несумісні
ін'єкція Heparin sodium 10 >> 1000 UI/ml
ін'єкція Ciprofloxacin lactate 2 mg/ml
Натрію хлорид 0,9% 289
Негайне помутніння Несумісні
ін'єкція Heparin sodium 10 UI/ml
ін'єкція Ciprofloxacin lactate 2 mg/ml
Жодного 1393
сумісний
ін'єкція Heparin sodium 10000 UI/ml
ін'єкція Ciprofloxacin lactate 0.8 mg/ml
Натрію хлорид 0,9% 2057
сумісний
ін'єкція Heparin sodium 100 UI/ml
ін'єкція Cisatracurium besylate 0.1 & 2 mg/ml
Глюкоза 5% 299
Миттєві опади Несумісні
ін'єкція Heparin sodium 100 UI/ml
ін'єкція Cisatracurium besylate 5 mg/ml
Глюкоза 5% 299
Зміна кольору Несумісні
ін'єкція Heparin sodium 500 UI/ml
ін'єкція Cisatracurium besylate 5 mg/ml
Натрію хлорид 0,9% 3463
Неуточнена несумісність Несумісні
ін'єкція Heparin sodium 500 UI/ml
ін'єкція Cisatracurium besylate 5 mg/ml
Натрію хлорид 0,9% 3823
Неуточнена несумісність Несумісні
ін'єкція Heparin sodium
ін'єкція Cisatracurium besylate
3540
сумісний
ін'єкція Heparin sodium 100 UI/ml
ін'єкція Cladribine 0.5 mg/ml
NaCl 0,9% + антибактеріальний 1496
сумісний
ін'єкція Heparin sodium 100 UI/ml
ін'єкція Cladribine 0.015 mg/ml
Натрію хлорид 0,9% 1496
сумісний
ін'єкція Heparin sodium 50 UI/ml
ін'єкція Clindamycin phosphate 12 mg/ml
Жодного 317
сумісний
ін'єкція Heparin sodium 50 UI/ml
ін'єкція Clonidine hydrochloride 0.0075 mg/ml
Натрію хлорид 0,9% 1506
сумісний
ін'єкція Heparin sodium 50 UI/ml
ін'єкція Clonidine hydrochloride 0.0075 mg/ml
Глюкоза 5% 1506
сумісний
ін'єкція Heparin sodium 100 UI/ml
ін'єкція Cloxacillin sodium 100 mg/ml
Вода для ін'єкцій 3012
Опади через 4 год Несумісні
ін'єкція Heparin sodium 208 UI/ml
ін'єкція Co-trimoxazole 3.2/0.64 & 80/16 mg/ml
Натрію хлорид 0,9% 4254
Опади через 4 год Несумісні
ін'єкція Heparin sodium 208 UI/ml
ін'єкція Co-trimoxazole 3.2/0.64 & 80/16 mg/ml
Глюкоза 5% 4254
сумісний
ін'єкція Heparin sodium 1 UI/ml
ін'єкція Cyanocobalamine 0.1 mg/ml
Розчин лактату Рінгера 1228
сумісний
ін'єкція Heparin sodium 1 UI/ml
ін'єкція Cyanocobalamine 0.1 mg/ml
Глюкоза 5% 1228
сумісний
ін'єкція Heparin sodium 1 UI/ml
ін'єкція Cyanocobalamine 0.1 mg/ml
Натрію хлорид 0,9% 1228
Неуточнена несумісність Несумісні
ін'єкція Heparin sodium
ін'єкція Cytarabine
3540
Неуточнена несумісність Несумісні
ін'єкція Heparin sodium
ін'єкція Cytarabine
3580
Неуточнена несумісність Несумісні
ін'єкція Heparin sodium
ін'єкція Dacarbazine
3605
Миттєві опади Несумісні
ін'єкція Heparin sodium 100 UI/ml
ін'єкція Dacarbazine 25 mg/ml
Натрію хлорид 0,9% 860
Неуточнена несумісність Несумісні
ін'єкція Heparin sodium
ін'єкція Dacarbazine
3267
Неуточнена несумісність Несумісні
ін'єкція Heparin sodium
ін'єкція Dacarbazine
3540
сумісний
ін'єкція Heparin sodium
ін'єкція Daptomycin
2271
сумісний
ін'єкція Heparin sodium 98 UI/ml
ін'єкція Daptomycin 19,6 mg/ml
Натрію хлорид 0,9% 1937
Миттєві опади Несумісні
ін'єкція Heparin sodium
ін'єкція Daunorubicin hydrochloride
3604
Неуточнена несумісність Несумісні
ін'єкція Heparin sodium
ін'єкція Daunorubicin hydrochloride
3540
Миттєві опади Несумісні
ін'єкція Heparin sodium
ін'єкція Daunorubicin hydrochloride liposome
3577
Негайне помутніння Несумісні
ін'єкція Heparin sodium
ін'єкція Daunorubicin/cytarabine liposomale 0,4 mg/mL
Натрію хлорид 0,9% 4654
сумісний
ін'єкція Heparin sodium 373 UI/ml
ін'єкція Defibrotide 8 mg/ml
Натрію хлорид 0,9% 3728
сумісний
ін'єкція Heparin sodium 50 UI/ml
ін'єкція Dexamethasone sodium phosphate 0.08 mg/ml
Жодного 317
сумісний
ін'єкція Heparin sodium
ін'єкція Dexketoprofen
4981
сумісний
ін'єкція Heparin sodium 100 UI/ml
ін'єкція Dexmedetomidine 4 µg/ml
Натрію хлорид 0,9% 1712
сумісний
ін'єкція Heparin sodium 10000 UI/ml
ін'єкція Diatrizoate meglumine 283 mg/ml
Жодного 1085
Неуточнена несумісність Несумісні
ін'єкція Heparin sodium
ін'єкція Diazepam
3540
сумісний
ін'єкція Heparin sodium 100 UI/ml
ін'єкція Diltiazem hydrochloride 1 mg/ml
314
Миттєві опади Несумісні
ін'єкція Heparin sodium 20000 UI/ml
ін'єкція Diltiazem hydrochloride 5 mg/ml
Натрію хлорид 0,9% 198
сумісний
ін'єкція Heparin sodium 100 UI/ml
ін'єкція Diltiazem hydrochloride 1 mg/ml
Глюкоза 5% 4556
Негайне помутніння Несумісні
ін'єкція Heparin sodium 100 UI/ml
ін'єкція Diltiazem hydrochloride 5 mg/ml
Глюкоза 5% 4556
сумісний
ін'єкція Heparin sodium 20000 UI/ml
ін'єкція Diltiazem hydrochloride 1 mg/ml
Натрію хлорид 0,9% 198
сумісний
ін'єкція Heparin sodium
ін'єкція Diltiazem hydrochloride
5090
сумісний
ін'єкція Heparin sodium 80 >> 10000 UI/ml
ін'єкція Diltiazem hydrochloride 1 & 5 mg/ml
Натрію хлорид 0,9% 198
Миттєві опади Несумісні
ін'єкція Heparin sodium
ін'єкція Dimenhydrinate
2087
сумісний
ін'єкція Heparin sodium 1 UI/ml
ін'єкція Diphenhydramine hydrochloride 50 mg/ml
Натрію хлорид 0,9% 1228
сумісний
ін'єкція Heparin sodium 1 UI/ml
ін'єкція Diphenhydramine hydrochloride 50 mg/ml
Глюкоза 5% 1228
сумісний
ін'єкція Heparin sodium 1 UI/ml
ін'єкція Diphenhydramine hydrochloride 50 mg/ml
Розчин лактату Рінгера 1228
Опади через 4 год Несумісні
ін'єкція Heparin sodium 100 UI/ml
ін'єкція Dobutamine hydrochloride 4 mg/ml
314
сумісний
ін'єкція Heparin sodium 40 UI/ml
ін'єкція Dobutamine hydrochloride 1 mg/ml
Натрію хлорид 0,9% 1058
сумісний
ін'єкція Heparin sodium 100 UI/ml
ін'єкція Dobutamine hydrochloride 2 mg/ml
Глюкоза 5% 1041
Миттєві опади Несумісні
ін'єкція Heparin sodium 100 UI/ml
ін'єкція Dobutamine hydrochloride 2 mg/ml
Глюкоза 5% 1352
Негайне помутніння Несумісні
ін'єкція Heparin sodium 100 UI/ml
ін'єкція Dobutamine hydrochloride 4 mg/ml
Глюкоза 5% 295
Миттєві опади Несумісні
ін'єкція Heparin sodium
ін'єкція Dobutamine hydrochloride
3540
Зміна кольору через 6 годин Несумісні
ін'єкція Heparin sodium 10000 UI/ml
ін'єкція Dobutamine hydrochloride 2 mg/ml
Глюкоза 5% 1041
сумісний
ін'єкція Heparin sodium 40 UI/ml
ін'єкція Dobutamine hydrochloride 1 mg/ml
Глюкоза 5% 1058
сумісний
ін'єкція Heparin sodium 50 UI/ml
ін'єкція Dobutamine hydrochloride 1 mg/ml
Жодного 317
сумісний
ін'єкція Heparin sodium 100 UI/ml
ін'єкція Docetaxel 0.9 mg/ml
Глюкоза 5% 1754
сумісний
ін'єкція Heparin sodium 1 UI/ml
ін'єкція Dopamine hydrochloride 40 mg/ml
Натрію хлорид 0,9% 1228
сумісний
ін'єкція Heparin sodium 50 UI/ml
ін'єкція Dopamine hydrochloride 1.6 mg/ml
Жодного 317
сумісний
ін'єкція Heparin sodium 100 UI/ml
ін'єкція Dopamine hydrochloride 3.2 mg/ml
314
сумісний
ін'єкція Heparin sodium 1 UI/ml
ін'єкція Dopamine hydrochloride 40 mg/ml
Розчин лактату Рінгера 1228
сумісний
ін'єкція Heparin sodium 200 UI/ml
ін'єкція Dopamine hydrochloride 0.8 mg/ml
Глюкоза 5% 738
сумісний
ін'єкція Heparin sodium 1 UI/ml
ін'єкція Dopamine hydrochloride 40 mg/ml
Глюкоза 5% 1228
сумісний
ін'єкція Heparin sodium 100 UI/ml
ін'єкція Dopamine hydrochloride 3,2 mg/ml
4389
Неуточнена несумісність Несумісні
ін'єкція Heparin sodium 187 UI/ml
ін'єкція Dopamine hydrochloride 1,7 >> 3,4 mg/ml
Глюкоза 5% 377
сумісний
ін'єкція Heparin sodium 100 UI/ml
ін'єкція Doripenem 5 mg/ml
Натрію хлорид 0,9% 2262
сумісний
ін'єкція Heparin sodium 100 UI/ml
ін'єкція Doripenem 5 mg/ml
Глюкоза 5% 2262
сумісний
ін'єкція Heparin sodium 1 UI/ml
ін'єкція Doxapram hydrochloride 2 mg/ml
Глюкоза 5% 1802
Неуточнена несумісність Несумісні
ін'єкція Heparin sodium
ін'єкція Doxorubicin hydrochloride
3540
Миттєві опади Несумісні
ін'єкція Heparin sodium
ін'єкція Doxorubicin hydrochloride
3645
Миттєві опади Несумісні
ін'єкція Heparin sodium 1000 UI/ml
ін'єкція Doxorubicin hydrochloride 2 mg/ml
763
сумісний
ін'єкція Heparin sodium 1000 UI/ml
ін'єкція Doxorubicin hydrochloride liposome peg 0.4 mg/ml
Глюкоза 5% 251
Неуточнена несумісність Несумісні
ін'єкція Heparin sodium 50 UI/ml
ін'єкція Doxycycline hyclate 1 mg/ml
Жодного 317
Миттєві опади Несумісні
ін'єкція Heparin sodium 1000 UI/ml
ін'єкція Droperidol 2,5 mg/ml
763
сумісний
ін'єкція Heparin sodium 1 UI/ml
ін'єкція Droperidol 1.25 mg/ml
Натрію хлорид 0,9% 1228
сумісний
ін'єкція Heparin sodium 1 UI/ml
ін'єкція Droperidol 1.25 mg/ml
Розчин лактату Рінгера 1228
сумісний
ін'єкція Heparin sodium 1 UI/ml
ін'єкція Droperidol 1.25 mg/ml
Глюкоза 5% 1228
Неуточнена несумісність Несумісні
ін'єкція Heparin sodium
ін'єкція Droperidol
3540
сумісний
ін'єкція Heparin sodium 45,45 UI/ml
ін'єкція Enalaprilate 0,011 mg/ml
Глюкоза 5% 963
сумісний
ін'єкція Heparin sodium 40 UI/ml
ін'єкція Enalaprilate 0.05 mg/ml
Натрію хлорид 0,9% 1315
сумісний
ін'єкція Heparin sodium 50 UI/ml
ін'єкція Enalaprilate 0.0125 mg/ml
Натрію хлорид 0,9% 1703
сумісний
ін'єкція Heparin sodium 1 UI/ml
ін'єкція Epinephrine hydrochloride 100 µg/ml
Розчин лактату Рінгера 1228
сумісний
ін'єкція Heparin sodium 100 UI/ml
ін'єкція Epinephrine hydrochloride 20 µg/ml
314
сумісний
ін'єкція Heparin sodium 1 UI/ml
ін'єкція Epinephrine hydrochloride 100 µg/ml
Натрію хлорид 0,9% 1228
сумісний
ін'єкція Heparin sodium 1 UI/ml
ін'єкція Epinephrine hydrochloride 100 µg/ml
Глюкоза 5% 1228
Неуточнена несумісність Несумісні
ін'єкція Heparin sodium
ін'єкція Epirubicin hydrochloride
3632
сумісний
ін'єкція Heparin sodium
ін'єкція Eptifibatide
3934
сумісний
ін'єкція Heparin sodium 1000 UI/ml
ін'єкція Eravacycline 0,6 mg/ml
Натрію хлорид 0,9% 4434
Негайне помутніння Несумісні
ін'єкція Heparin sodium 1 UI/ml
ін'єкція Ergotamine tartrate 0.5 mg/ml
Натрію хлорид 0,9% 1228
Опади через 4 год Несумісні
ін'єкція Heparin sodium 1 UI/ml
ін'єкція Ergotamine tartrate 0.5 mg/ml
Розчин лактату Рінгера 1228
Опади через 4 год Несумісні
ін'єкція Heparin sodium 1 UI/ml
ін'єкція Ergotamine tartrate 0.5 mg/ml
Глюкоза 5% 1228
сумісний
ін'єкція Heparin sodium 50 & 100 UI/ml
ін'єкція Ertapenem 10 & 20 mg/ml
Натрію хлорид 0,9% 1906
сумісний
ін'єкція Heparin sodium 50 UI/ml
ін'єкція Erythromycin lactobionate 3.3 mg/ml
Жодного 317
Неуточнена несумісність Несумісні
ін'єкція Heparin sodium
ін'єкція Erythromycin lactobionate
3674
Неуточнена несумісність Несумісні
ін'єкція Heparin sodium
ін'єкція Erythromycin lactobionate
3540
сумісний
ін'єкція Heparin sodium 50 UI/ml
ін'єкція Esmolol hydrochloride 6 mg/ml
Глюкоза 5% 174
сумісний
ін'єкція Heparin sodium 40 UI/ml
ін'єкція Esmolol hydrochloride 10 mg/ml
Глюкоза 5% 384
сумісний
ін'єкція Heparin sodium 500 UI/ml
ін'єкція Esmolol hydrochloride 10 mg/ml
Натрію хлорид 0,9% 3823
Миттєві опади Несумісні
ін'єкція Heparin sodium 1000 UI/ml
ін'єкція Ethanol 70 %
Вода для ін'єкцій + антибактеріальний засіб 2221
Миттєві опади Несумісні
ін'єкція Heparin sodium 1000 UI/ml
ін'єкція Ethanol 70 %
Вода для ін'єкцій 2221
Опади через 1 год Несумісні
ін'єкція Heparin sodium 10 UI/ml
ін'єкція Ethanol 70 %
Вода для ін'єкцій + антибактеріальний засіб 2221
Миттєві опади Несумісні
ін'єкція Heparin sodium 10 UI/ml
ін'єкція Ethanol 70 %
Вода для ін'єкцій 2221
сумісний
ін'єкція Heparin sodium 100 UI/ml
ін'єкція Etoposide phosphate 5 mg/ml
Глюкоза 5% 1410
сумісний
ін'єкція Heparin sodium 40 UI/ml
ін'єкція Famotidine
Глюкоза 5% 397
сумісний
ін'єкція Heparin sodium 50 UI/ml
ін'єкція Famotidine 0.2 mg/ml
Глюкоза 5% 398
сумісний
ін'єкція Heparin sodium 40 UI/ml
ін'єкція Famotidine 2 mg/ml
Натрію хлорид 0,9% 215
сумісний
ін'єкція Heparin sodium 100 UI/ml
ін'єкція Fenoldopam mesylate 80 µg/ml
Натрію хлорид 0,9% 1803
сумісний
ін'єкція Heparin sodium 100 UI/ml
ін'єкція Fentanyl citrate 50 µg/ml
4389
сумісний
ін'єкція Heparin sodium 1 UI/ml
ін'єкція Fentanyl citrate 50 µg/ml
Глюкоза 5% 1228
сумісний
ін'єкція Heparin sodium 1 UI/ml
ін'єкція Fentanyl citrate 50 µg/ml
Розчин лактату Рінгера 1228
сумісний
ін'єкція Heparin sodium 1 UI/ml
ін'єкція Fentanyl citrate 50 µg/ml
Натрію хлорид 0,9% 1228
сумісний
ін'єкція Heparin sodium 100 UI/ml
ін'єкція Fentanyl citrate 50 µg/ml
314
Миттєві опади Несумісні
ін'єкція Heparin sodium 100 UI/ml
ін'єкція Filgrastim 30 µg/ml
Глюкоза 5% 244
сумісний
ін'єкція Heparin sodium 1000 UI/ml
ін'єкція Fluconazole 2 mg/ml
Натрію хлорид 0,9% 496
сумісний
ін'єкція Heparin sodium 50 UI/ml
ін'єкція Fluconazole 2 mg/ml
Жодного 317
сумісний
ін'єкція Heparin sodium 40 >> 1000 UI/ml
ін'єкція Fludarabine phosphate 1 mg/ml
Глюкоза 5% 492
сумісний
ін'єкція Heparin sodium 50 UI/ml
ін'єкція Flumazenil 0,02 mg/ml
Глюкоза 5% 187
сумісний
ін'єкція Heparin sodium 5 UI/ml
ін'єкція Fluorouracil 0,8 mg/ml
Натрію хлорид 0,9% 156
сумісний
ін'єкція Heparin sodium 5 UI/ml
ін'єкція Fluorouracil 0,8 mg/ml
Глюкоза 5% 156
сумісний
ін'єкція Heparin sodium 1 UI/ml
ін'єкція Fluorouracil 50 mg/ml
Натрію хлорид 0,9% 1228
сумісний
ін'єкція Heparin sodium 960 UI/ml
ін'єкція Fluorouracil 24 mg/ml
Глюкоза 5% 163
сумісний
ін'єкція Heparin sodium 1 UI/ml
ін'єкція Fluorouracil 50 mg/ml
Глюкоза 5% 1228
сумісний
ін'єкція Heparin sodium 1000 UI/ml
ін'єкція Fluorouracil 50 mg/ml
763
сумісний
ін'єкція Heparin sodium 1 UI/ml
ін'єкція Fluorouracil 50 mg/ml
Розчин лактату Рінгера 1228
сумісний
ін'єкція Heparin sodium 1000 UI/ml
ін'єкція Folinate calcium 10 mg/ml
763
сумісний
ін'єкція Heparin sodium 100 UI/ml
ін'єкція Foscarnet sodium 24 mg/ml
Глюкоза 5% 1135
сумісний
ін'єкція Heparin sodium 100 UI/ml
ін'єкція Foscarnet sodium 24 mg/ml
Натрію хлорид 0,9% 1135
сумісний
ін'єкція Heparin sodium 1000 UI/ml
ін'єкція Foscarnet sodium 24 mg/ml
Жодного 73
сумісний
ін'єкція Heparin sodium 1000 UI/ml
ін'єкція Fosfomycin 30 mg/ml
Глюкоза 5% 4055
сумісний
ін'єкція Heparin sodium 1000 UI/ml
ін'єкція Fosfomycin 30 mg/ml
Натрію хлорид 0,9% 4055
сумісний
ін'єкція Heparin sodium 100 UI/ml
ін'єкція Furosemide 10 mg/ml
314
сумісний
ін'єкція Heparin sodium 1 UI/ml
ін'єкція Furosemide 10 mg/ml
Натрію хлорид 0,9% 1228
Опади через 5 годин Несумісні
ін'єкція Heparin sodium 100 UI/ml
ін'єкція Furosemide 10 mg/ml
Глюкоза 5% 4724
сумісний
ін'єкція Heparin sodium 20 UI/ml
ін'єкція Furosemide 1 mg/ml
Натрію хлорид 0,9% 1232
сумісний
ін'єкція Heparin sodium 58,34 UI/ml
ін'єкція Furosemide 5,21 mg/ml
Глюкоза 5% 1289
сумісний
ін'єкція Heparin sodium
ін'єкція Furosemide
3465
сумісний
ін'єкція Heparin sodium 1 UI/ml
ін'єкція Furosemide 10 mg/ml
Розчин лактату Рінгера 1228
сумісний
ін'єкція Heparin sodium 1000 UI/ml
ін'єкція Furosemide 10 mg/ml
763
сумісний
ін'єкція Heparin sodium 10 UI/ml
ін'єкція Furosemide 10 mg/ml
Жодного 3210
сумісний
ін'єкція Heparin sodium 500 UI/ml
ін'єкція Furosemide 10 mg/ml
Натрію хлорид 0,9% 3823
сумісний
ін'єкція Heparin sodium 500 UI/ml
ін'єкція Furosemide 10 mg/ml
Жодного 3134
сумісний
ін'єкція Heparin sodium 1 UI/ml
ін'єкція Furosemide 10 mg/ml
Глюкоза 5% 1228
сумісний
ін'єкція Heparin sodium 40 UI/ml
ін'єкція Gallium nitrate 1 mg/ml
Натрію хлорид 0,9% 91
сумісний
ін'єкція Heparin sodium 100 UI/ml
ін'єкція Gemcitabine hydrochloride 10 mg/ml
Натрію хлорид 0,9% 1423
Негайне помутніння Несумісні
ін'єкція Heparin sodium 2500 UI/ml
ін'єкція Gentamicin sulfate 3 mg/ml
4612
Неуточнена несумісність Несумісні
ін'єкція Heparin sodium
ін'єкція Gentamicin sulfate
3520
Неуточнена несумісність Несумісні
ін'єкція Heparin sodium
ін'єкція Gentamicin sulfate
3643
Миттєві опади Несумісні
ін'єкція Heparin sodium
ін'єкція Gentamicin sulfate
1022
Неуточнена несумісність Несумісні
ін'єкція Heparin sodium 50 UI/ml
ін'єкція Gentamicin sulfate 2 mg/ml
Жодного 317
Миттєві опади Несумісні
ін'єкція Heparin sodium 10 >> 40 UI/ml
ін'єкція Gentamicin sulfate 4 >> 40 mg/ml
1258
Миттєві опади Несумісні
ін'єкція Heparin sodium 2500 UI/ml
ін'єкція Gentamicin sulfate 4 & 5 mg/ml
4612
Неуточнена несумісність Несумісні
ін'єкція Heparin sodium
ін'єкція Gentamicin sulfate
3540
сумісний
ін'єкція Heparin sodium 2500 UI/ml
ін'єкція Gentamicin sulfate 1 & 2 mg/ml
4612
сумісний
ін'єкція Heparin sodium 50 UI/ml
ін'єкція Glycerophosphate disodium
Натрію хлорид 0,9% 4332
сумісний
ін'єкція Heparin sodium 100 UI/ml
ін'єкція Granisetron hydrochloride 0.05 mg/ml
Глюкоза 5% 182
Миттєві опади Несумісні
ін'єкція Heparin sodium 100 & 200 UI/ml
ін'єкція Haloperidol lactate 5 mg/ml
Глюкоза 5% 617
Миттєві опади Несумісні
ін'єкція Heparin sodium 100 & 200 UI/ml
ін'єкція Haloperidol lactate 5 mg/ml
Натрію хлорид 0,9% 617
сумісний
ін'єкція Heparin sodium 500 UI/ml
ін'єкція Haloperidol lactate 0.5 mg/ml
Натрію хлорид 0,9% 3823
Неуточнена несумісність Несумісні
ін'єкція Heparin sodium
ін'єкція Haloperidol lactate
3540
сумісний
ін'єкція Heparin sodium 100 UI/ml
ін'єкція Hetastarch 60 mg/ml
специфічний розчинник 1721
Неуточнена несумісність Несумісні
ін'єкція Heparin sodium
ін'єкція Hyaluronidase
3617
Неуточнена несумісність Несумісні
ін'єкція Heparin sodium
ін'єкція Hyaluronidase
3184
Неуточнена несумісність Несумісні
ін'єкція Heparin sodium
ін'єкція Hyaluronidase
3540
сумісний
ін'єкція Heparin sodium 1 UI/ml
ін'єкція Hydralazine hydrochloride 20 mg/ml
Глюкоза 5% 1228
сумісний
ін'єкція Heparin sodium 1 UI/ml
ін'єкція Hydralazine hydrochloride 20 mg/ml
Розчин лактату Рінгера 1228
сумісний
ін'єкція Heparin sodium 1 UI/ml
ін'єкція Hydralazine hydrochloride 20 mg/ml
Натрію хлорид 0,9% 1228
сумісний
ін'єкція Heparin sodium 100 UI/ml
ін'єкція Hydrocortisone sodium succinate 125 mg/ml
Натрію хлорид 0,9% 132
Неуточнена несумісність Несумісні
ін'єкція Heparin sodium
ін'єкція Hydrocortisone sodium succinate
3540
сумісний
ін'єкція Heparin sodium 50 UI/ml
ін'єкція Hydrocortisone sodium succinate 2 mg/ml
Жодного 317
сумісний
ін'єкція Heparin sodium 100 UI/ml
ін'єкція Hydrocortisone sodium succinate 125 mg/ml
Глюкоза 5% 132
сумісний
ін'єкція Heparin sodium
ін'єкція Hydromorphone hydrochloride <12.5 mg/ml
Натрію хлорид 0,9% 66
сумісний
ін'єкція Heparin sodium 100 UI/ml
ін'єкція Hydromorphone hydrochloride 1 mg/ml
314
Миттєві опади Несумісні
ін'єкція Heparin sodium <12,5 UI/ml
ін'єкція Hydromorphone hydrochloride >25 mg/ml
Натрію хлорид 0,9% 66
сумісний
ін'єкція Heparin sodium
ін'єкція Hydromorphone hydrochloride <12.5 mg/ml
Вода для ін'єкцій 66
Миттєві опади Несумісні
ін'єкція Heparin sodium <1 UI/ml
ін'єкція Hydromorphone hydrochloride >10 mg/ml
Вода для ін'єкцій 66
Миттєві опади Несумісні
ін'єкція Heparin sodium <12,5 UI/ml
ін'єкція Hydromorphone hydrochloride >25 mg/ml
Вода для ін'єкцій 66
сумісний
ін'єкція Heparin sodium 100 UI/ml
ін'єкція Ibuprofen lysinate 10 mg/ml
Вода для ін'єкцій 4419
сумісний
ін'єкція Heparin sodium 10 UI/ml
ін'єкція Ibuprofen lysinate 10 mg/ml
Вода для ін'єкцій 4419
Негайне помутніння Несумісні
ін'єкція Heparin sodium 100 & 1000 UI/ml
ін'єкція Idarubicin hydrochloride 1 mg/ml
Натрію хлорид 0,9% 491
Миттєві опади Несумісні
ін'єкція Heparin sodium
ін'єкція Idarubicin hydrochloride
5075
сумісний
ін'єкція Heparin sodium
ін'єкція Imipenem-Cilastatin / Relebactam
4809
сумісний
ін'єкція Heparin sodium 1000 UI/ml
ін'єкція Imipenem-Cilastatin / Relebactam 5 mg/ml
Натрію хлорид 0,9% 4433
сумісний
ін'єкція Heparin sodium 1000 UI/ml
ін'єкція Imipenem-Cilastatin / Relebactam 5 mg/ml
Глюкоза 5% 4433
сумісний
ін'єкція Heparin sodium 500 UI/ml
ін'єкція Insulin 2 UI/ml
Натрію хлорид 0,9% 3823
сумісний
ін'єкція Heparin sodium 60 UI/ml
ін'єкція Insulin 0.2 UI/ml
Натрію хлорид 0,9% 129
сумісний
ін'єкція Heparin sodium 50 & 400 UI/ml
ін'єкція Insulin aspart 1 UI/ml
Глюкоза 5% 1508
сумісний
ін'єкція Heparin sodium 50 & 400 UI/ml
ін'єкція Insulin aspart 1 UI/ml
Натрію хлорид 0,9% 1508
сумісний
ін'єкція Heparin sodium 10000 UI/ml
ін'єкція Iohexol 300 mg I/ml
Жодного 1085
сумісний
ін'єкція Heparin sodium 10000 UI/ml
ін'єкція Ioxaglate 320 mg I/ml
Жодного 1085
Негайне помутніння Несумісні
ін'єкція Heparin sodium 1000 UI/ml
ін'єкція Isavuconazonium sulfate 1.5 mg/ml
Натрію хлорид 0,9% 3829
Негайне помутніння Несумісні
ін'єкція Heparin sodium 1000 UI/ml
ін'єкція Isavuconazonium sulfate 1.5 mg/ml
Глюкоза 5% 3829
сумісний
ін'єкція Heparin sodium 1 UI/ml
ін'єкція Isoprenaline hydrochloride 0.2 mg/ml
Глюкоза 5% 1228
сумісний
ін'єкція Heparin sodium 1 UI/ml
ін'єкція Isoprenaline hydrochloride 0.2 mg/ml
Натрію хлорид 0,9% 1228
сумісний
ін'єкція Heparin sodium 1 UI/ml
ін'єкція Isoprenaline hydrochloride 0.2 mg/ml
Розчин лактату Рінгера 1228
Неуточнена несумісність Несумісні
ін'єкція Heparin sodium
ін'єкція Kanamycin sulfate
3540
Миттєві опади Несумісні
ін'єкція Heparin sodium 25000 UI/ml
ін'єкція Ketamine hydrochloride 50 mg/ml
2109
сумісний
ін'єкція Heparin sodium 100 UI/ml
ін'єкція Labetalol hydrochloride 2 mg/ml
314
Неуточнена несумісність Несумісні
ін'єкція Heparin sodium 500 UI/ml
ін'єкція Labetalol hydrochloride 4 mg/ml
Натрію хлорид 0,9% 3823
Неуточнена несумісність Несумісні
ін'єкція Heparin sodium
ін'єкція Labetalol hydrochloride
3540
Миттєві опади Несумісні
ін'єкція Heparin sodium 100 UI/ml
ін'єкція Labetalol hydrochloride 5 mg/ml
Глюкоза 5% 295
сумісний
ін'єкція Heparin sodium 40 UI/ml
ін'єкція Labetalol hydrochloride 1 mg/ml
Глюкоза 5% 386
сумісний
ін'єкція Heparin sodium 100 UI/ml
ін'єкція Lansoprazole 0.55 mg/ml
Натрію хлорид 0,9% 1625
Помутніння через 4 години Несумісні
ін'єкція Heparin sodium 100 UI/ml
ін'єкція Levetiracetam 100 mg/ml
Глюкоза 5% 4108
Негайне помутніння Несумісні
ін'єкція Heparin sodium 208,3 UI/ml
ін'єкція Levetiracetam 15 mg/ml
Натрію хлорид 0,9% 4698
Неуточнена несумісність Несумісні
ін'єкція Heparin sodium
ін'єкція Levofloxacine
3920
Миттєві опади Несумісні
ін'єкція Heparin sodium 10 UI/ml
ін'єкція Levofloxacine 5 mg/ml
Глюкоза 5% 1072
Неуточнена несумісність Несумісні
ін'єкція Heparin sodium
ін'єкція Levomepromazine
3540
сумісний
ін'єкція Heparin sodium 100 UI/ml
ін'єкція Levosimendan 2,5 mg/ml
Глюкоза 5% 4389
сумісний
ін'єкція Heparin sodium 50 UI/ml
ін'єкція Lidocaine hydrochloride 4 mg/ml
Жодного 317
сумісний
ін'єкція Heparin sodium 1000 UI/ml
ін'єкція Linezolid 2 mg/ml
Жодного 1925
сумісний
ін'єкція Heparin sodium 10 >> 10000 UI/ml
ін'єкція Linezolid 0.2 >> 1.92 mg/ml
Натрію хлорид 0,9% 2057
сумісний
ін'єкція Heparin sodium 417 UI/ml
ін'єкція Lorazepam 0.33 mg/ml
Натрію хлорид 0,9% 186
сумісний
ін'єкція Heparin sodium 100 UI/ml
ін'єкція Lorazepam 0.5 mg/ml
314
сумісний
ін'єкція Heparin sodium 1 UI/ml
ін'єкція Magnesium sulfate 5 mg/ml
Натрію хлорид 0,9% 1228
сумісний
ін'єкція Heparin sodium 50 UI/ml
ін'єкція Magnesium sulfate 15.6 mg/ml
Натрію хлорид 0,9% 2100
сумісний
ін'єкція Heparin sodium 1 UI/ml
ін'єкція Magnesium sulfate 5 mg/ml
Розчин лактату Рінгера 1228
сумісний
ін'єкція Heparin sodium 1 UI/ml
ін'єкція Magnesium sulfate 5 mg/ml
Глюкоза 5% 1228
сумісний
ін'єкція Heparin sodium 100 UI/ml
ін'єкція Melphalan 0.1 mg/ml
Натрію хлорид 0,9% 169
сумісний
ін'єкція Heparin sodium 0.5 UI/ml
ін'єкція Meropenem 0.5 mg/ml
Dianéal® 4.25% glucose (Baxter) 4180
сумісний
ін'єкція Heparin sodium 0.5 UI/ml
ін'єкція Meropenem 0.5 mg/ml
Extraneal® (Baxter) 4180
сумісний
ін'єкція Heparin sodium 1000 UI/ml
ін'єкція Meropenem 50 mg/ml
Вода для ін'єкцій 4319
сумісний
ін'єкція Heparin sodium 1 UI/ml
ін'єкція Meropenem 1 & 50 mg/ml
Натрію хлорид 0,9% 266
сумісний
ін'єкція Heparin sodium 0.5 UI/ml
ін'єкція Meropenem 0.5 mg/ml
Dianéal® 1.5% glucose (Baxter) 4180
сумісний
ін'єкція Heparin sodium 20 UI/ml
ін'єкція Meropenem 1 & 20 mg/ml
Натрію хлорид 0,9% 266
сумісний
ін'єкція Heparin sodium 0.5 UI/ml
ін'єкція Meropenem 0.5 mg/ml
Dianéal® 2.5% glucose (Baxter) 4180
сумісний
ін'єкція Heparin sodium 50 UI/ml
ін'єкція Methadone hydrochloride 0.2 mg/ml
Глюкоза 5% 1506
сумісний
ін'єкція Heparin sodium 50 UI/ml
ін'єкція Methadone hydrochloride 0.2 mg/ml
Натрію хлорид 0,9% 1506
Неуточнена несумісність Несумісні
ін'єкція Heparin sodium
ін'єкція Methotrexate sodium
3637
сумісний
ін'єкція Heparin sodium 1000 UI/ml
ін'єкція Methotrexate sodium 25 mg/ml
763
сумісний
ін'єкція Heparin sodium 500 UI/ml
ін'єкція Methotrexate sodium 30 mg/ml
Натрію хлорид 0,9% 150
сумісний
ін'єкція Heparin sodium 100 UI/ml
ін'єкція Methylprednisolone sodium succinate 5 mg/ml
Глюкоза 5% 132
сумісний
ін'єкція Heparin sodium 50 UI/ml
ін'єкція Methylprednisolone sodium succinate 2.5 mg/ml
Жодного 317
сумісний
ін'єкція Heparin sodium 100 UI/ml
ін'єкція Methylprednisolone sodium succinate 5 mg/ml
Натрію хлорид 0,9% 132
сумісний
ін'єкція Heparin sodium 1000 UI/ml
ін'єкція Metoclopramide hydrochloride 5 mg/ml
763
Хімічна нестійкість Несумісні
ін'єкція Heparin sodium 1000 UI/ml
ін'єкція Metoprolol tartrate 1 mg/ml
Жодного 2346
сумісний
ін'єкція Heparin sodium 50 UI/ml
ін'єкція Metronidazole 5 mg/ml
Жодного 317
сумісний
ін'єкція Heparin sodium 100 UI/ml
ін'єкція Micafungin 1.5 mg/ml
Натрію хлорид 0,9% 2108
Негайне помутніння Несумісні
ін'єкція Heparin sodium 208,3 UI/ml
ін'єкція Midazolam hydrochloride 1 mg/ml
Натрію хлорид 0,9% 4698
сумісний
ін'єкція Heparin sodium 500 UI/ml
ін'єкція Midazolam hydrochloride 2.1 mg/ml
Натрію хлорид 0,9% 3823
сумісний
ін'єкція Heparin sodium 417 UI/ml
ін'єкція Midazolam hydrochloride 5 mg/ml
Жодного 186
сумісний
ін'єкція Heparin sodium 100 UI/ml
ін'єкція Midazolam hydrochloride 5 mg/ml
4389
сумісний
ін'єкція Heparin sodium 100 UI/ml
ін'єкція Midazolam hydrochloride 2 mg/ml
314
сумісний
ін'єкція Heparin sodium 200 UI/ml
ін'єкція Milrinone lactate 0.8 mg/ml
Глюкоза 5% 813
сумісний
ін'єкція Heparin sodium 100 UI/ml
ін'єкція Milrinone lactate 0.2 mg/ml
314
сумісний
ін'єкція Heparin sodium 1 UI/ml
ін'єкція Minocycline hydrochloride 0.2 mg/ml
Глюкоза 5% 1228
сумісний
ін'єкція Heparin sodium 1 UI/ml
ін'єкція Minocycline hydrochloride 0.2 mg/ml
Розчин лактату Рінгера 1228
сумісний
ін'єкція Heparin sodium 1 UI/ml
ін'єкція Minocycline hydrochloride 0.2 mg/ml
Натрію хлорид 0,9% 1228
Неуточнена несумісність Несумісні
ін'єкція Heparin sodium
ін'єкція Mitoxantrone dihydrochloride
3640
Неуточнена несумісність Несумісні
ін'єкція Heparin sodium
ін'єкція Morphine hydrochloride
5069
сумісний
ін'єкція Heparin sodium 100 & 200 UI/ml
ін'єкція Morphine sulfate 1 >> 5 mg/ml
Вода для ін'єкцій 341
сумісний
ін'єкція Heparin sodium 1 UI/ml
ін'єкція Morphine sulfate 15 mg/ml
Розчин лактату Рінгера 1228
Неуточнена несумісність Несумісні
ін'єкція Heparin sodium
ін'єкція Morphine sulfate
3531
сумісний
ін'єкція Heparin sodium 1 UI/ml
ін'єкція Morphine sulfate 15 mg/ml
Глюкоза 5% 1228
сумісний
ін'єкція Heparin sodium 1 UI/ml
ін'єкція Morphine sulfate 15 mg/ml
Натрію хлорид 0,9% 1228
сумісний
ін'єкція Heparin sodium 60 UI/ml
ін'єкція Morphine sulfate 1 mg/ml
Натрію хлорид 0,9% 406
сумісний
ін'єкція Heparin sodium 100 & 200 UI/ml
ін'єкція Morphine sulfate 10 mg/ml
Вода для ін'єкцій 341
сумісний
ін'єкція Heparin sodium 100 UI/ml
ін'єкція Morphine sulfate 2 mg/ml
314
Хімічна нестійкість Несумісні
ін'єкція Heparin sodium 100 & 200 UI/ml
ін'єкція Morphine sulfate 1 >> 10 mg/ml
Натрію хлорид 0,9% 341
сумісний
ін'єкція Heparin sodium 1000 UI/ml
ін'єкція N-acetylcysteine 200 mg/ml
Жодного 3766
сумісний
ін'єкція Heparin sodium 50 UI/ml
ін'єкція Nafcillin sodium 20 mg/ml
Жодного 317
сумісний
ін'єкція Heparin sodium 1000 UI/ml
ін'єкція Naloxone hydrochloride 0.4 mg/ml
Жодного 3408
Негайне помутніння Несумісні
ін'єкція Heparin sodium 208,3 UI/ml
ін'єкція Nefopam 1,7 mg/ml
Натрію хлорид 0,9% 4698
сумісний
ін'єкція Heparin sodium 1 UI/ml
ін'єкція Neostigmine methylsulfate 0.5 mg/ml
Глюкоза 5% 1228
сумісний
ін'єкція Heparin sodium 1 UI/ml
ін'єкція Neostigmine methylsulfate 0.5 mg/ml
Натрію хлорид 0,9% 1228
сумісний
ін'єкція Heparin sodium 1 UI/ml
ін'єкція Neostigmine methylsulfate 0.5 mg/ml
Розчин лактату Рінгера 1228
Неуточнена несумісність Несумісні
ін'єкція Heparin sodium
ін'єкція Nesiritide
5048
Неуточнена несумісність Несумісні
ін'єкція Heparin sodium
ін'єкція Netilmicin sulfate
3540
Миттєві опади Несумісні
ін'єкція Heparin sodium
ін'єкція Netilmicin sulfate
1022
Миттєві опади Несумісні
ін'єкція Heparin sodium 100 UI/ml
ін'єкція Nicardipine hydrochloride 1 mg/ml
314
Неуточнена несумісність Несумісні
ін'єкція Heparin sodium
ін'єкція Nicardipine hydrochloride
3540
сумісний
ін'єкція Heparin sodium 40 UI/ml
ін'єкція Nicardipine hydrochloride 0.1 mg/ml
Глюкоза 5% 1490
сумісний
ін'єкція Heparin sodium 40 UI/ml
ін'єкція Nicardipine hydrochloride 0.1 mg/ml
Натрію хлорид 0,9% 1490
Миттєві опади Несумісні
ін'єкція Heparin sodium 100 UI/ml
ін'єкція Nitroglycerin 1,6 >> 3,25 mg/ml
Глюкоза 5% 295
сумісний
ін'єкція Heparin sodium 500 UI/ml
ін'єкція Nitroglycerin 0.2 mg/ml
Натрію хлорид 0,9% 3823
Виробництво бульбашок газу Несумісні
ін'єкція Heparin sodium 50 UI/ml
ін'єкція Nitroglycerin 0.2 mg/ml
Жодного 317
сумісний
ін'єкція Heparin sodium 500 UI/ml
ін'єкція Nitroglycerin 0.2 mg/ml
Глюкоза 5% 3823
сумісний
ін'єкція Heparin sodium 100 UI/ml
ін'єкція Nitroglycerin 0.4 mg/ml
314
сумісний
ін'єкція Heparin sodium 50 UI/ml
ін'єкція Nitroprusside sodium 0.2 mg/ml
Жодного 317
сумісний
ін'єкція Heparin sodium 100 UI/ml
ін'єкція Nitroprusside sodium 0.2 mg/ml
Глюкоза 5% 295
сумісний
ін'єкція Heparin sodium 100 UI/ml
ін'єкція Norepinephrine bitartrate 0.128 mg/ml
314
Неуточнена несумісність Несумісні
ін'єкція Heparin sodium
ін'єкція Ofloxacin
3562
сумісний
ін'єкція Heparin sodium 40 UI/ml
ін'єкція Ondansetron hydrochloride 1 mg/ml
Натрію хлорид 0,9% 334
Несумісні
ін'єкція Heparin sodium 200 UI/ml
ін'єкція Ondansetron hydrochloride 1.6 mg/ml
1699
Негайне помутніння Несумісні
ін'єкція Heparin sodium 100 UI/ml
ін'єкція Oritavancin 0.8 >>1.2 mg/ml
Глюкоза 5% 3152
Опади через 4 год Несумісні
ін'єкція Heparin sodium 100 UI/ml
ін'єкція Oritavancin 2 mg/ml
Глюкоза 5% 3152
сумісний
ін'єкція Heparin sodium 208 UI/ml
ін'єкція Ornidazole 31.25 mg/ml
Натрію хлорид 0,9% 4254
сумісний
ін'єкція Heparin sodium 1 UI/ml
ін'єкція Oxacillin sodium 100 mg/ml
Глюкоза 5% 1228
сумісний
ін'єкція Heparin sodium 1 UI/ml
ін'єкція Oxacillin sodium 100 mg/ml
Розчин лактату Рінгера 1228
сумісний
ін'єкція Heparin sodium 1 UI/ml
ін'єкція Oxacillin sodium 100 mg/ml
Натрію хлорид 0,9% 1228
сумісний
ін'єкція Heparin sodium 100 UI/ml
ін'єкція Oxaliplatin 0,5 mg/ml
Глюкоза 5% 1662
Неуточнена несумісність Несумісні
ін'єкція Heparin sodium
ін'єкція Oxytetracycline hydrochloride
3540
сумісний
ін'єкція Heparin sodium 100 UI/ml
ін'єкція Paclitaxel 1.2 mg/ml
Глюкоза 5% 248
сумісний
ін'єкція Heparin sodium 100 UI/ml
ін'єкція Palonosetron hydrochloride 50 µg/ml
Глюкоза 5% 2279
сумісний
ін'єкція Heparin sodium 40 UI/ml
ін'єкція Pancuronium bromide 0.05 mg/ml
Глюкоза 5% 402
Опади через 1 год Несумісні
ін'єкція Heparin sodium
ін'єкція Pantoprazole sodium
2090
сумісний
ін'єкція Heparin sodium 208,3 UI/ml
ін'єкція Paracetamol 10 mg/ml
Натрію хлорид 0,9% 4698
сумісний
ін'єкція Heparin sodium 1000 UI/ml
ін'єкція Paracetamol 10 mg/ml
4742
сумісний
ін'єкція Heparin sodium 100 UI/ml
ін'єкція Pemetrexed disodium 20 mg/ml
Натрію хлорид 0,9% 1953
Неуточнена несумісність Несумісні
ін'єкція Heparin sodium
ін'єкція Penicillin G potassium
3540
сумісний
ін'єкція Heparin sodium 50 UI/ml
ін'єкція Penicillin G potassium 0.04 MUI/ml
Жодного 317
Неуточнена несумісність Несумісні
ін'єкція Heparin sodium
ін'єкція Penicillin G sodium
3540
сумісний
ін'єкція Heparin sodium 100 UI/ml
ін'єкція Pentoxifyllin 5 mg/ml
Натрію хлорид 0,9% 4538
Негайне помутніння Несумісні
ін'єкція Heparin sodium
ін'єкція Pethidine hydrochloride
3525
сумісний
ін'єкція Heparin sodium 60 UI/ml
ін'єкція Pethidine hydrochloride 10 mg/ml
Натрію хлорид 0,9% 406
Неуточнена несумісність Несумісні
ін'єкція Heparin sodium
ін'єкція Pethidine hydrochloride
3540
Миттєві опади Несумісні
ін'єкція Heparin sodium 50 UI/ml
ін'єкція Phenytoin sodium 2 mg/ml
Жодного 317
сумісний
ін'єкція Heparin sodium 50 UI/ml
ін'єкція Piperacillin sodium 60 mg/ml
Жодного 317
сумісний
ін'єкція Heparin sodium 10 & 5000 UI/ml
ін'єкція Piperacillin sodium 40 mg/ml
Натрію хлорид 0,9% 2037
сумісний
ін'єкція Heparin sodium 0.5 UI/ml
ін'єкція Piperacillin sodium / tazobactam 0.5/0.0625 mg/ml
Dianéal® 2.5% glucose (Baxter) 4180
сумісний
ін'єкція Heparin sodium 0.5 UI/ml
ін'єкція Piperacillin sodium / tazobactam 0.5/0.0625 mg/ml
Dianéal® 4.25% glucose (Baxter) 4180
Негайне помутніння Несумісні
ін'єкція Heparin sodium 1000 UI/ml
ін'єкція Plazomicin sulfate 24 mg/ml
Натрію хлорид 0,9% 4145
Неуточнена несумісність Несумісні
ін'єкція Heparin sodium
ін'єкція Polymyxine B
3540
сумісний
ін'єкція Heparin sodium 50 UI/ml
ін'єкція Potassium chloride 200 mEq/l
Жодного 317
сумісний
ін'єкція Heparin sodium 1 UI/ml
ін'єкція Procainamide hydrochloride 100 mg/ml
Розчин лактату Рінгера 1228
сумісний
ін'єкція Heparin sodium 1 UI/ml
ін'єкція Procainamide hydrochloride 100 mg/ml
Натрію хлорид 0,9% 1228
сумісний
ін'єкція Heparin sodium 1 UI/ml
ін'єкція Prochlorperazine edysilate 5 mg/ml
Натрію хлорид 0,9% 1228
сумісний
ін'єкція Heparin sodium 3 >> 20 UI/ml
Парентеральне харчування (бінарна суміш) 791
сумісний
ін'єкція Heparin sodium 100 UI/ml
Парентеральне харчування (бінарна суміш) 301
сумісний
ін'єкція Heparin sodium 500 UI/ml
Парентеральне харчування (бінарна суміш) 939
сумісний
ін'єкція Heparin sodium 1 UI/ml
ін'єкція Prochlorperazine edysilate 5 mg/ml
Розчин лактату Рінгера 1228
сумісний
ін'єкція Heparin sodium 1 UI/ml
ін'єкція Promethazine hydrochloride 50 mg/ml
Натрію хлорид 0,9% 1228
сумісний
ін'єкція Heparin sodium 1 UI/ml
ін'єкція Promethazine hydrochloride 50 mg/ml
Розчин лактату Рінгера 1228
сумісний
ін'єкція Heparin sodium 1 UI/ml
ін'єкція Propranolol hydrochloride 1 mg/ml
Розчин лактату Рінгера 1228
сумісний
ін'єкція Heparin sodium 1 UI/ml
ін'єкція Propranolol hydrochloride 1 mg/ml
Натрію хлорид 0,9% 1228
сумісний
ін'єкція Heparin sodium 50 UI/ml
ін'єкція Ranitidine hydrochloride 0,5 mg/ml
Глюкоза 5% 396
сумісний
ін'єкція Heparin sodium 10 & 40 UI/ml
ін'єкція Ranitidine hydrochloride 0.05 & 2 mg/ml
Натрію хлорид 0,9% 214
сумісний
ін'єкція Heparin sodium 50 UI/ml
ін'єкція Ranitidine hydrochloride 1 mg/ml
Жодного 317
сумісний
ін'єкція Heparin sodium 1000 UI/ml
ін'єкція Remdesivir 1 mg/ml
Натрію хлорид 0,9% 4768
сумісний
ін'єкція Heparin sodium 100 UI/ml
ін'єкція Remifentanil hydrochloride 25 & 250 µg/ml
Натрію хлорид 0,9% 59
сумісний
ін'єкція Heparin sodium 500 UI/ml
ін'єкція Remifentanil hydrochloride 100 µg/ml
Натрію хлорид 0,9% 3823
сумісний
ін'єкція Heparin sodium 500 UI/ml
NaHCO3 150
сумісний
ін'єкція Heparin sodium 1.4 UI/ml
ін'єкція Piperacillin sodium / tazobactam 1.38/0.1725 mg/ml
Physionéal® 2.27 (Baxter) 4180
сумісний
ін'єкція Heparin sodium 1.4 UI/ml
ін'єкція Piperacillin sodium / tazobactam 1.38/0.1725 mg/ml
Physionéal® 1.36 (Baxter) 4180
сумісний
ін'єкція Heparin sodium 0.5 UI/ml
ін'єкція Piperacillin sodium / tazobactam 0.5/0.0625 mg/ml
Dianéal® 1.5% glucose (Baxter) 4180
сумісний
ін'єкція Heparin sodium 1.4 UI/ml
ін'єкція Piperacillin sodium / tazobactam 1.38/0.1725 mg/ml
Physionéal® 3.86 (Baxter) 4180
сумісний
ін'єкція Heparin sodium 100 UI/ml
ін'єкція Piperacillin sodium / tazobactam 40/5 mg/ml
Глюкоза 5% 81
сумісний
ін'єкція Heparin sodium 0.5 UI/ml
ін'єкція Piperacillin sodium / tazobactam 0.5/0.0625 mg/ml
Extraneal® (Baxter) 4180
сумісний
ін'єкція Heparin sodium 500 UI/ml
ін'єкція Potassium chloride 10 mEq/l
Натрію хлорид 0,9% 3823
сумісний
ін'єкція Heparin sodium 58,34 UI/ml
ін'єкція Potassium chloride 1250 mEq/l
Глюкоза 5% 1289
сумісний
ін'єкція Heparin sodium
ін'єкція Potassium phosphate
3781
сумісний
ін'єкція Heparin sodium 1 UI/ml
ін'єкція Procainamide hydrochloride 100 mg/ml
Глюкоза 5% 1228
сумісний
ін'єкція Heparin sodium 1 UI/ml
ін'єкція Prochlorperazine edysilate 5 mg/ml
Глюкоза 5% 1228
сумісний
ін'єкція Heparin sodium 1 UI/ml
ін'єкція Promethazine hydrochloride 50 mg/ml
Глюкоза 5% 1228
Неуточнена несумісність Несумісні
ін'єкція Heparin sodium
ін'єкція Promethazine hydrochloride
3540
Нестійкість емульсії через 1 год Несумісні
ін'єкція Heparin sodium 1000 UI/ml
ін'єкція Propofol
660
сумісний
ін'єкція Heparin sodium 100 UI/ml
ін'єкція Propofol 10 mg/ml
Жодного 300
сумісний
ін'єкція Heparin sodium 1 UI/ml
ін'єкція Propranolol hydrochloride 1 mg/ml
Глюкоза 5% 1228
сумісний
ін'єкція Heparin sodium 100 UI/ml
ін'єкція Ranitidine hydrochloride 1 mg/ml
314
сумісний
ін'єкція Heparin sodium 10 & 40 UI/ml
ін'єкція Ranitidine hydrochloride 0.05 & 2 mg/ml
Глюкоза 5% 214
сумісний
ін'єкція Heparin sodium 416.7 UI/ml
ін'єкція Remifentanil hydrochloride 120 µg/ml
Глюкоза 5% 3294
сумісний
ін'єкція Heparin sodium 416.7 UI/ml
ін'єкція Remifentanil hydrochloride 120 µg/ml
Глюкоза 5% 3176
Неуточнена несумісність Несумісні
ін'єкція Heparin sodium
ін'єкція Reteplase
2212
сумісний
ін'єкція Heparin sodium 20,458 >> 28,000 UI/ml
Парентеральне харчування (ліпідами) 1868
Неуточнена несумісність Несумісні
ін'єкція Heparin sodium
ін'єкція Reteplase
3540
сумісний
ін'єкція Heparin sodium 1000 UI/ml
ін'єкція Salbutamol sulfate 1 mg/ml
Жодного 3216
сумісний
ін'єкція Heparin sodium 100 UI/ml
ін'єкція Sargramostim 6 §15 µg/ml
Натрію хлорид 0,9% 891
сумісний
ін'єкція Heparin sodium 100 UI/ml
ін'єкція Sargramostim 10 µg/ml
Натрію хлорид 0,9% 335
сумісний
ін'єкція Heparin sodium 1 UI/ml
ін'єкція Scopolamine hydrobromide 0.86 mg/ml
Натрію хлорид 0,9% 1228
сумісний
ін'єкція Heparin sodium 1 UI/ml
ін'єкція Scopolamine hydrobromide 0.86 mg/ml
Розчин лактату Рінгера 1228
сумісний
ін'єкція Heparin sodium 1 UI/ml
ін'єкція Scopolamine hydrobromide 0.86 mg/ml
Глюкоза 5% 1228
сумісний
ін'єкція Heparin sodium 100 UI/ml
ін'єкція Sildenafil citrate 0,6 mg/ml
Глюкоза 5% 4845
сумісний
ін'єкція Heparin sodium 100 UI/ml
ін'єкція Sildenafil citrate 0,06 mg/ml
Глюкоза 5% 4845
сумісний
ін'єкція Heparin sodium 1 UI/ml
ін'єкція Sildenafil citrate 0,4 mg/ml
Глюкоза 5% 3923
сумісний
ін'єкція Heparin sodium 2 UI/ml
ін'єкція Sildenafil citrate 0,6 mg/ml
Глюкоза 5% 4845
сумісний
ін'єкція Heparin sodium
Натрію хлорид 0,9% 3540
Негайна нестійкість емульсії Несумісні
ін'єкція Heparin sodium 100 UI/ml
Парентеральне харчування (ліпідами) 132
Негайне помутніння Несумісні
ін'єкція Heparin sodium 100 UI/ml
ін'єкція Sildenafil citrate 0,6 mg/ml
Глюкоза 5% 4845
сумісний
ін'єкція Heparin sodium 500 UI/ml
ін'єкція Sodium bicarbonate 84 mg/ml
Натрію хлорид 0,9% 3823
сумісний
ін'єкція Heparin sodium
ін'єкція Sodium bicarbonate
3466
сумісний
ін'єкція Heparin sodium 500 UI/ml
ін'єкція Sodium bicarbonate 14 mg/ml
Жодного 150
сумісний
ін'єкція Heparin sodium 500 UI/ml
ін'єкція Sodium bicarbonate 84 mg/ml
Жодного 3212
сумісний
ін'єкція Heparin sodium 208 UI/ml
ін'єкція Spiramycine adipate 0.0625 MUI/ml
Натрію хлорид 0,9% 4254
сумісний
ін'єкція Heparin sodium 100 UI/ml
ін'єкція Streptokinase 30000 UI/ml
Глюкоза 5% 92
Неуточнена несумісність Несумісні
ін'єкція Heparin sodium
ін'єкція Streptomycin sulfate
3540
сумісний
ін'єкція Heparin sodium 416.7 UI/ml
ін'єкція Sufentanil citrate 0.005 mg/ml
Глюкоза 5% 3294
сумісний
ін'єкція Heparin sodium 1000 UI/ml
ін'єкція Sugammadex 100 mg/ml
Жодного 3372
сумісний
ін'єкція Heparin sodium 10 UI/ml
ін'єкція Tacrolimus 1000 µg/ml
Натрію хлорид 0,9% 479
сумісний
ін'єкція Heparin sodium 1000 UI/ml
Розчин лактату Рінгера 4603
сумісний
ін'єкція Heparin sodium 1000 UI/ml
ін'єкція Sulbactam/durlobactam 15/15 mg/ml
Натрію хлорид 0,9% 4801
сумісний
ін'єкція Heparin sodium 1000 UI/ml
ін'єкція Tedizolid phosphate 0.8 mg/ml
Натрію хлорид 0,9% 3827
сумісний
ін'єкція Heparin sodium 10 >> 10000 UI/ml
ін'єкція Teicoplanine 0.02 >> 10 mg/ml
Натрію хлорид 0,9% 2057
Негайне помутніння Несумісні
ін'єкція Heparin sodium 1000 UI/ml
ін'єкція Telavancin hydrochloride 7,5 mg/ml
Глюкоза 5% 3254
Негайне помутніння Несумісні
ін'єкція Heparin sodium 1000 UI/ml
ін'єкція Telavancin hydrochloride 7,5 mg/ml
Натрію хлорид 0,9% 3254
сумісний
ін'єкція Heparin sodium 1000 UI/ml
ін'єкція Telavancin hydrochloride 7.5 mg/ml
Розчин лактату Рінгера 3254
Миттєві опади Несумісні
ін'єкція Heparin sodium 1000 UI/ml
ін'єкція Thiopental sodium 25 mg/ml
Натрію хлорид 0,9% 3767
Негайна нестійкість емульсії Несумісні
ін'єкція Heparin sodium 1 UI/ml
Парентеральне харчування (ліпідами) 1391
сумісний
ін'єкція Heparin sodium 100 UI/ml
ін'єкція Teniposide 0.1 mg/ml
Глюкоза 5% 905
сумісний
ін'єкція Heparin sodium 50 UI/ml
ін'єкція Theophylline 4 mg/ml
Жодного 317
сумісний
ін'єкція Heparin sodium 100 UI/ml
ін'єкція Thiopental sodium 25 mg/ml
314
Негайна нестійкість емульсії Несумісні
ін'єкція Heparin sodium 100 UI/ml
Парентеральне харчування (ліпідами) 1415
сумісний
ін'єкція Heparin sodium 500 UI/ml
ін'єкція Thiopental sodium 60 mg/ml
Натрію хлорид 0,9% 3823
сумісний
ін'єкція Heparin sodium 100 UI/ml
ін'єкція Thiotepa 1 mg/ml
Глюкоза 5% 249
сумісний
ін'єкція Heparin sodium 50 UI/ml
ін'єкція Ticarcillin / clavulanic acid 31 mg/ml
Жодного 317
сумісний
ін'єкція Heparin sodium 500 UI/ml
ін'єкція Tirofiban 250 µg/ml
Натрію хлорид 0,9% 3823
сумісний
ін'єкція Heparin sodium 40 & 100 UI/ml
ін'єкція Tirofiban 50 µg/ml
Натрію хлорид 0,9% 1420
сумісний
ін'єкція Heparin sodium
Глюкоза 5% 3540
сумісний
ін'єкція Heparin sodium
ін'єкція Tirofiban
1512
сумісний
ін'єкція Heparin sodium 40 & 100 UI/ml
ін'єкція Tirofiban 50 µg/ml
Глюкоза 5% 1420
Неуточнена несумісність Несумісні
ін'єкція Heparin sodium 50 UI/ml
ін'єкція Tobramycin sulfate 0.8 mg/ml
Жодного 317
Неуточнена несумісність Несумісні
ін'єкція Heparin sodium
ін'єкція Tobramycin sulfate
3540
сумісний
ін'єкція Heparin sodium
ін'єкція Tranexamic acid
5016
Неуточнена несумісність Несумісні
ін'єкція Heparin sodium
ін'єкція Triflupromazine hydrochloride
3540
сумісний
ін'єкція Heparin sodium 500 UI/ml
ін'єкція Urapidil 5 mg/ml
Натрію хлорид 0,9% 3823
Миттєві опади Несумісні
ін'єкція Heparin sodium 0,5 >> 14,3 UI/ml
ін'єкція Vancomycin hydrochloride 6,9 >> 14,3 mg/ml
Dianéal® PD1 4.25% glucose (Baxter) 2375
Неуточнена несумісність Несумісні
ін'єкція Heparin sodium
ін'єкція Vancomycin hydrochloride
3588
Неуточнена несумісність Несумісні
ін'єкція Heparin sodium
ін'єкція Vancomycin hydrochloride
3540
сумісний
ін'єкція Heparin sodium 0,5 >> 14,3 UI/ml
ін'єкція Vancomycin hydrochloride 0,015 >> 6,8 mg/ml
Dianéal® PD2 2.5% glucose (Baxter) 2375
Миттєві опади Несумісні
ін'єкція Heparin sodium 0,5 >> 14,3 UI/ml
ін'єкція Vancomycin hydrochloride 6,9 >> 14,3 mg/ml
Dianéal® PD2 2.5% glucose (Baxter) 2375
сумісний
ін'єкція Heparin sodium 10 UI/ml
ін'єкція Vancomycin hydrochloride 0.025 mg/ml
Вода для ін'єкцій 3125
сумісний
ін'єкція Heparin sodium 0,5 >> 14,3 UI/ml
ін'єкція Vancomycin hydrochloride 0,015 >> 6,8 mg/ml
Dianéal® PD1 4.25% glucose (Baxter) 2375
Неуточнена несумісність Несумісні
ін'єкція Heparin sodium 50 UI/ml
ін'єкція Vancomycin hydrochloride 6.6 mg/ml
Жодного 317
сумісний
ін'єкція Heparin sodium 100 UI/ml
ін'єкція Vancomycin hydrochloride 0.025 mg/ml
Натрію хлорид 0,9% 1414
сумісний
ін'єкція Heparin sodium 10 UI/ml
ін'єкція Vancomycin hydrochloride 2 mg/ml
Натрію хлорид 0,9% 2037
Миттєві опади Несумісні
ін'єкція Heparin sodium 100 UI/ml
ін'єкція Vancomycin hydrochloride 10 mg/ml
Парентеральне харчування (бінарна суміш) 132
сумісний
ін'єкція Heparin sodium 5000 UI/ml
ін'єкція Vancomycin hydrochloride 2.5 mg/ml
Натрію хлорид 0,9% 2037
сумісний
ін'єкція Heparin sodium 100 UI/ml
ін'єкція Vancomycin hydrochloride 0.025 mg/ml
Натрію хлорид 0,9% 895
сумісний
ін'єкція Heparin sodium 100 UI/ml
ін'єкція Vasopressin 2 & 4 UI/ml
Натрію хлорид 0,9% 1801
сумісний
ін'єкція Heparin sodium 100 UI/ml
ін'єкція Vecuronium bromide 1 mg/ml
314
сумісний
ін'єкція Heparin sodium 40 UI/ml
ін'єкція Vecuronium bromide 0.1 mg/ml
Глюкоза 5% 402
сумісний
ін'єкція Heparin sodium 20 UI/ml
ін'єкція Verapamil hydrochloride 0.08 mg/ml
Натрію хлорид 0,9% 1057
сумісний
ін'єкція Heparin sodium 20 UI/ml
ін'єкція Verapamil hydrochloride 0.08 mg/ml
Глюкоза 5% 1057
Неуточнена несумісність Несумісні
ін'єкція Heparin sodium
ін'єкція Vinblastine sulfate
3540
сумісний
ін'єкція Heparin sodium 1000 UI/ml
ін'єкція Vinblastine sulfate 1 mg/ml
763
сумісний
ін'єкція Heparin sodium 1000 UI/ml
ін'єкція Vincristine sulfate 1 mg/ml
763
сумісний
ін'єкція Heparin sodium 100 UI/ml
ін'єкція Vinorelbine tartrate 1 mg/ml
Натрію хлорид 0,9% 84
сумісний
ін'єкція Heparin sodium 100 UI/ml
ін'єкція Vinorelbine tartrate 1 mg/ml
Натрію хлорид 0,9% 1070
Миттєві опади Несумісні
ін'єкція Heparin sodium 10 & 100 UI/ml
ін'єкція Vinorelbine tartrate 2 & 3 mg/ml
Натрію хлорид 0,9% 1070
сумісний
ін'єкція Heparin sodium 208 UI/ml
ін'єкція Voriconazole 8 mg/ml
Глюкоза 5% 4254
сумісний
ін'єкція Heparin sodium 208 UI/ml
ін'єкція Voriconazole 8 mg/ml
Натрію хлорид 0,9% 4254
сумісний
ін'єкція Heparin sodium 100 UI/ml
ін'єкція Warfarin sodium 2 mg/ml
Глюкоза 5% 315
сумісний
ін'єкція Heparin sodium 100 UI/ml
ін'єкція Zidovudine 4 mg/ml
Глюкоза 5% 337

  Mentions Légales