Последно актуализиране :
03/03/2026
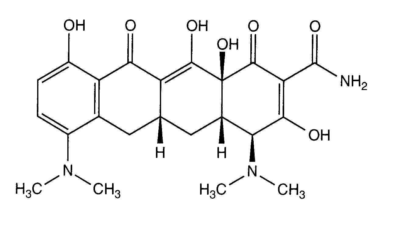
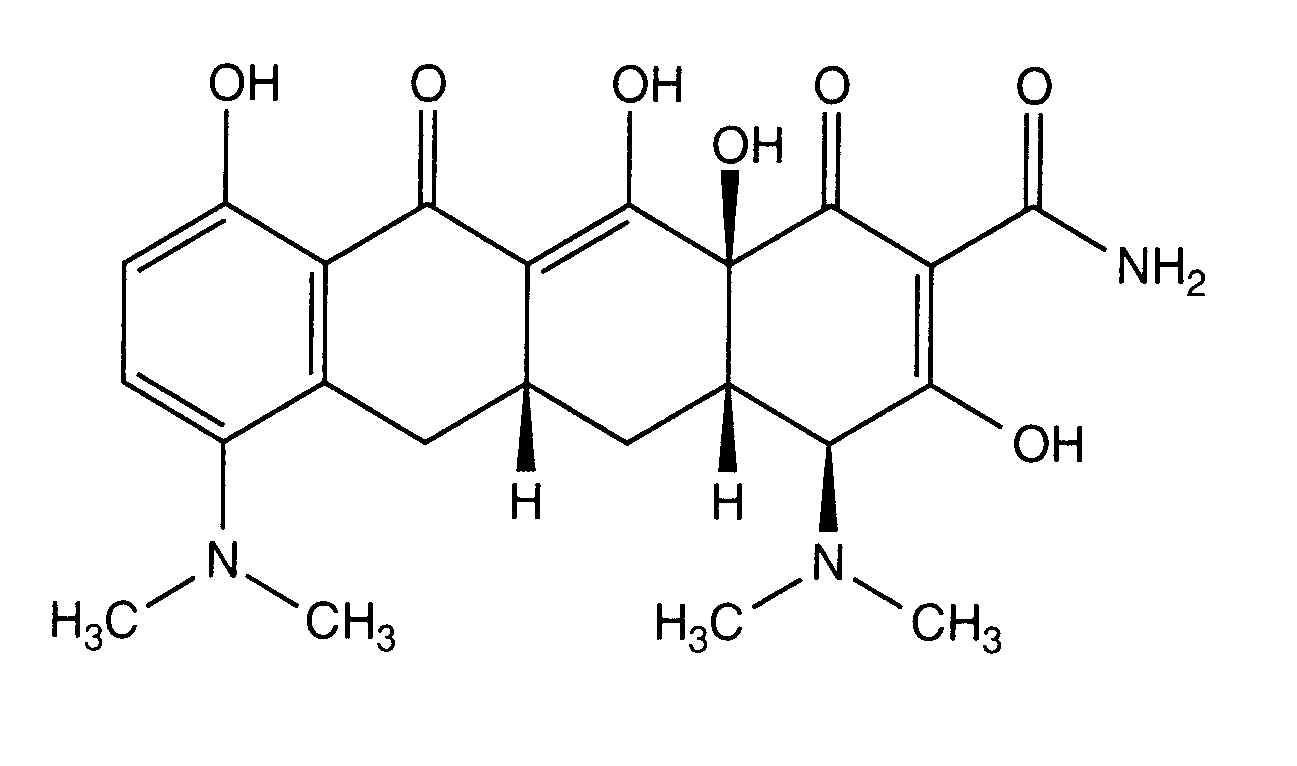
Антибиотик   Minocycline hydrochloride  
Инжекция/Инжекционен
Орален разтвор
Стабилност на разтвори Стабилност на смеси Фактори, повлияващи стабилността Съвместимост Път на въвеждане Библиография Pdf
   Химична структура  

Търговско наименование   Търговско наименование     

Търговските имена са примерни и съставът на помощните вещества може да бъде различен в зависимост от държавата и лабораториите

Minocin Съединени Американски щати / САЩ
Стабилност на разтвори   Инжекция/Инжекционен   Стабилност на разтвори : Minocycline hydrochloride     
Контейнер Разтворител Концентрация Температура Съхранение Продължителност на стабилността Библиография
Поливинил хлорид Sodium chloride 0,9% 0,1 mg/ml 24°C Не е уточнено
7 Ден
263
Степен на доказаност B+

Поливинил хлорид Sodium chloride 0,9% 0,1 mg/ml 4°C Не е уточнено
7 Ден
263
Степен на доказаност B+

Поливинил хлорид Glucose 5% 0,1 mg/ml 24°C Не е уточнено
7 Ден
263
Степен на доказаност B+

Поливинил хлорид Glucose 5% 0,1 mg/ml 4°C Не е уточнено
7 Ден
263
Степен на доказаност B+


  Mentions Légales