Letztes “update” :
27/01/2026
Antikoagulans   Heparin sodium  
Injektion
Stabilität der Lösung Gemengestabilität Stabilitätbeeinflussende Faktoren Kompatibilitäten Applikationsart Literaturverzeichnis pdf
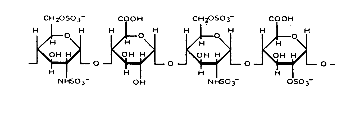
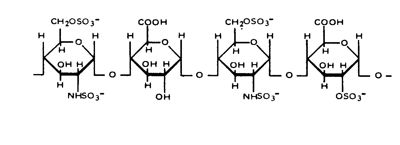
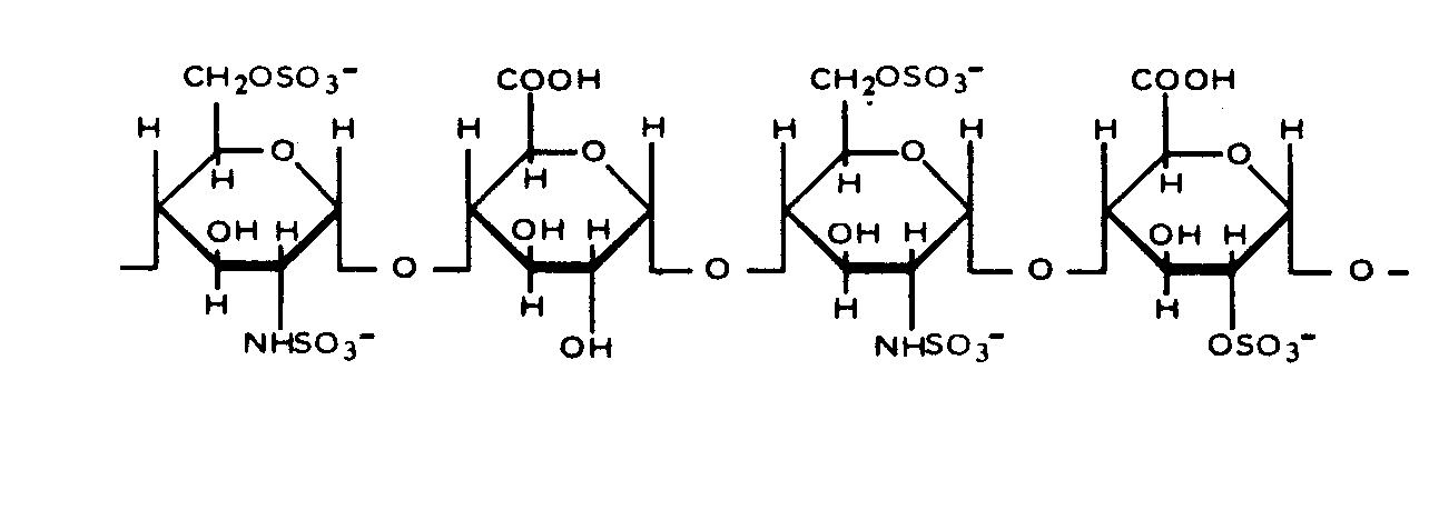
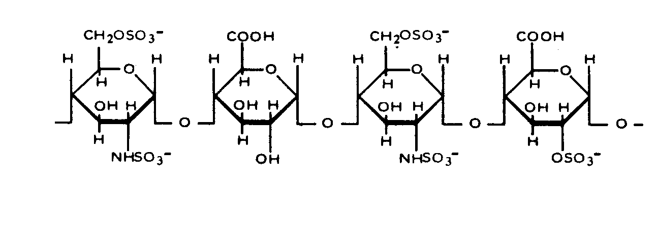
   Chemische Struktur  

Handelsmarke   Handelsmarke     

Handelsnamen sind als beispielhaft anzusehen. Sonstige Bestandteile können je nach Hersteller oder Land verschieden sein

Arapin Chile
Ateroclar Italien
Clarisco Italien
Epsoclar Italien
Hepaflex Finnland, Norwegen
Hepamax Chile, Ecuador, Kolumbien
Heparin Dänemark, Finnland, Griechenland, Großbritannien, Jugoslawien, Kanada, Niederlande, Norwegen, Österreich, russisch, Schweden, Schweiz, Südafrika, Thailand, Türkei, Ungarn, Vereinigte Staaten von Amerika
Heparine Belgien, Frankreich
Heparinised Australien
Heparstad Deutschland
Liquemin Schweiz, Türkei
Liquemine Brasilien
Monoparin Saudi-Arabien
Normoparin Italien
Nuparin Ecuador
Pharepa Italien
Riveparin Argentinien
Sobrius Argentinien, Ecuador
Thrombophob Deutschland
Kompatibilitäten   Injektion   Kompatibilitäten : Heparin sodium              
Dieser Bildschirm zeigt die Kompatibilitäten oder Inkompatibilitäten mit der Art der Inkompatibilität (hier: Ausfällung, Farbänderung, Modifikation einer Emulsion usw.) an. Die hier gezeigten Kompatibilitäten sind meist nur physikalisch, wobei die chemische Stabilität jedes Moleküls selten bewertet wird. Die Bewertung dieser Gemische wurde untersucht, um die Möglichkeit einer Verabreichung über eine Y-Verbindung zu berücksichtigen. Diese Daten können daher nicht zur Herstellung von Mischungen im Voraus in Beuteln oder Spritzen verwendet werden. Sie finden diese Informationen auf dem Bildschirm "Stabilität in Mischung».
Molekül Lösungsmittel Literaturverzeichnis
kompatibel
Injektion Heparin sodium 100 UI/ml
Injektion Aciclovir sodium 5 mg/ml
0,9% Natriumchlorid 2335
kompatibel
Injektion Heparin sodium 50 UI/ml
Injektion Aciclovir sodium 5 mg/ml
5% Glucose 336
kompatibel
Injektion Heparin sodium 100 UI/ml
Injektion Aldesleukin 0.0338 MUI/ml
5% Glucose 36
kompatibel
Injektion Heparin sodium 100 UI/ml
Injektion Allopurinol sodium 3 mg/ml
0,9% Natriumchlorid 307
kompatibel
Injektion Heparin sodium 1 UI/ml
Injektion Alprostadil 20 µg/ml
0,9% Natriumchlorid 4491
kompatibel
Injektion Heparin sodium 1 UI/ml
Injektion Alprostadil 20 µg/ml
5% Glucose 4651
Niederschlag nach 24 Stunden nicht kompatibel
Injektion Heparin sodium 100 UI/ml
Injektion Alteplase 1 mg/ml
Wasser für injektable präparate 92
Nicht spezifizierte Inkompatibilität nicht kompatibel
Injektion Heparin sodium
Injektion Alteplase
3540
Sofortiger Niederschlag nicht kompatibel
Injektion Heparin sodium 40 UI/ml
Injektion Alteplase 0.5 mg/ml
Wasser für injektable präparate 240
Nicht spezifizierte Inkompatibilität nicht kompatibel
Injektion Heparin sodium
Injektion Alteplase
3616
kompatibel
Injektion Heparin sodium 100 UI/ml
Injektion Amifostine 10 mg/ml
5% Glucose 3
Sofortiger Niederschlag nicht kompatibel
Injektion Heparin sodium
Injektion Amikacin sulfate
1022
Nicht spezifizierte Inkompatibilität nicht kompatibel
Injektion Heparin sodium
Injektion Amikacin sulfate
3549
Nicht spezifizierte Inkompatibilität nicht kompatibel
Injektion Heparin sodium
Injektion Amikacin sulfate
3540
Nicht spezifizierte Inkompatibilität nicht kompatibel
Injektion Heparin sodium 500 UI/ml
Injektion Amiodarone hydrochloride 15 mg/ml
0,9% Natriumchlorid 3823
Nicht spezifizierte Inkompatibilität nicht kompatibel
Injektion Heparin sodium
Injektion Amiodarone hydrochloride
3540
Sofortige Trübung nicht kompatibel
Injektion Heparin sodium 500 UI/ml
Injektion Amiodarone hydrochloride 15 mg/ml
0,9% Natriumchlorid 3463
Nicht spezifizierte Inkompatibilität nicht kompatibel
Injektion Heparin sodium
Injektion Amiodarone hydrochloride
3464
Nicht spezifizierte Inkompatibilität nicht kompatibel
Injektion Heparin sodium 500 UI/ml
Injektion Amiodarone hydrochloride 15 mg/ml
5% Glucose 3823
Sofortige Trübung nicht kompatibel
Injektion Heparin sodium 500 UI/ml
Injektion Amiodarone hydrochloride 15 mg/ml
5% Glucose 3463
kompatibel
Injektion Heparin sodium 208 UI/ml
Injektion Amoxicillin sodium 20.83 & 83.3 mg/ml
0,9% Natriumchlorid 4254
kompatibel
Injektion Heparin sodium 1000 UI/ml
Injektion Amoxicillin sodium / clavulanic acid 100/10 mg/ml
3824
kompatibel
Injektion Heparin sodium
Injektion Ampicillin sodium
5088
kompatibel
Injektion Heparin sodium 50 UI/ml
Injektion Ampicillin sodium 20 mg/ml
Kein 317
kompatibel
Injektion Heparin sodium 50 UI/ml
Injektion Ampicillin sodium - sulbactam sodium 30 mg/ml
Kein 317
Sofortiger Niederschlag nicht kompatibel
Injektion Heparin sodium 40 UI/ml
Injektion Amsacrine 1 mg/ml
5% Glucose 253
kompatibel
Injektion Heparin sodium 100 UI/ml
Injektion Anidulafungin 0.5 mg/ml
5% Glucose 1982
Sofortiger Niederschlag nicht kompatibel
Injektion Heparin sodium
Injektion Antithymocyte globulin (rabbit)
4958
Sofortiger Niederschlag nicht kompatibel
Injektion Heparin sodium 2 UI/ml
Injektion Antithymocyte globulin (rabbit) 0,2 & 0,3 mg/ml
5% Glucose 1822
kompatibel
Injektion Heparin sodium 100 UI/ml
Injektion Antithymocyte globulin (rabbit) 0,2 & 0,3 mg/ml
5% Glucose 1822
kompatibel
Injektion Heparin sodium 2 & 100 UI/ml
Injektion Antithymocyte globulin (rabbit) 0,2 & 0,3 mg/ml
0,9% Natriumchlorid 1822
kompatibel
Injektion Heparin sodium 40 UI/ml
Injektion Atracurium besylate 0.5 mg/ml
5% Glucose 402
kompatibel
Injektion Heparin sodium 1 UI/ml
Injektion Atropine sulfate 0.5 mg/ml
5% Glucose 1228
kompatibel
Injektion Heparin sodium 500 UI/ml
Parenterale Ernährung (mit Lipiden) 4507
Sofortiger Niederschlag nicht kompatibel
Injektion Heparin sodium 1000 UI/ml
Injektion Amphotericin B cholesteryl sulfate complex 0.83 mg/ml
5% Glucose 921
Nicht spezifizierte Inkompatibilität nicht kompatibel
Injektion Heparin sodium
Injektion Ampicillin sodium
3540
kompatibel
Injektion Heparin sodium 10 & 5000 UI/ml
Injektion Ampicillin sodium 10 mg/ml
0,9% Natriumchlorid 2037
kompatibel
Injektion Heparin sodium 1 UI/ml
Injektion Atropine sulfate 0.5 mg/ml
Ringer Lactat - Lösung 1228
kompatibel
Injektion Heparin sodium 1 UI/ml
Injektion Atropine sulfate 0.5 mg/ml
0,9% Natriumchlorid 1228
kompatibel
Injektion Heparin sodium 100 UI/ml
Injektion Aztreonam 40 mg/ml
5% Glucose 99
kompatibel
Injektion Heparin sodium 50 UI/ml
Injektion Aztreonam 20 mg/ml
Kein 317
kompatibel
Injektion Heparin sodium 1 UI/ml
Injektion Betamethasone sodium phosphate 3 mg/ml
0,9% Natriumchlorid 1228
kompatibel
Injektion Heparin sodium 1 UI/ml
Injektion Betamethasone sodium phosphate 3 mg/ml
5% Glucose 1228
kompatibel
Injektion Heparin sodium 1 UI/ml
Injektion Betamethasone sodium phosphate 3 mg/ml
Ringer Lactat - Lösung 1228
kompatibel
Injektion Heparin sodium 100 UI/ml
Injektion Bivalirudin 5 mg/ml
5% Glucose 1713
Sofortiger Niederschlag nicht kompatibel
Injektion Heparin sodium 192.3 UI/ml
Injektion Blinatumomab 0.125 & 0.375 µg/ml
0,9% Natriumchlorid 3976
kompatibel
Injektion Heparin sodium 1000 UI/ml
Injektion Caffeine 10 mg/ml
Kein 3964
kompatibel
Injektion Heparin sodium 100 UI/ml
Injektion Caffeine 10 mg/ml
0,9% Natriumchlorid 4837
kompatibel
Injektion Heparin sodium 100 UI/ml
Injektion Caffeine citrate 20 mg/ml
0,9% Natriumchlorid 4837
Niederschlag nach 30 Minuten nicht kompatibel
Injektion Heparin sodium 2 UI/ml
Injektion Calcium chloride 20 mg/ml
5% Glucose 4732
kompatibel
Injektion Heparin sodium 100 UI/ml
Injektion Calcium chloride 20 mg/ml
5% Glucose 4732
Sofortige Instabilität der Emulsion nicht kompatibel
Injektion Heparin sodium
Injektion Calcium chloride
Parenterale Ernährung (mit Lipiden) 1084
Sofortige Instabilität der Emulsion nicht kompatibel
Injektion Heparin sodium
Injektion Calcium gluconate
Parenterale Ernährung (mit Lipiden) 1084
Sofortiger Niederschlag nicht kompatibel
Injektion Heparin sodium 100 UI/ml
Injektion Caspofungin acetate 0.5 mg/ml
0,9% Natriumchlorid 2233
Sofortiger Niederschlag nicht kompatibel
Injektion Heparin sodium 100 UI/ml
Injektion Caspofungin acetate 0,7 mg/ml
0,9% Natriumchlorid 2247
Nicht spezifizierte Inkompatibilität nicht kompatibel
Injektion Heparin sodium
Injektion Cefalotin sodium
3540
kompatibel
Injektion Heparin sodium 10 & 5000 UI/ml
Injektion Cefazolin sodium 10 mg/ml
0,9% Natriumchlorid 2037
kompatibel
Injektion Heparin sodium 50 UI/ml
Injektion Cefazolin sodium 20 mg/ml
Kein 317
kompatibel
Injektion Heparin sodium 0.667 UI/ml
Injektion Cefazolin sodium 0.333 mg/ml
Dianéal® PD2 1.5% glucose (Baxter) 1979
kompatibel
Injektion Heparin sodium 10 & 50 UI/ml
Injektion Cefepime dihydrochloride 4 mg/ml
0,9% Natriumchlorid 3548
kompatibel
Injektion Heparin sodium 10 & 50 UI/ml
Injektion Cefepime dihydrochloride 4 mg/ml
5% Glucose 3548
kompatibel
Injektion Heparin sodium 1000 UI/ml
Injektion Cefiderocol sulfate tosylate 20 mg/mL
5% Glucose 4528
kompatibel
Injektion Heparin sodium 1000 UI/ml
Injektion Cefiderocol sulfate tosylate 20 mg/mL
0,9% Natriumchlorid 4528
Chemische Instabilität nicht kompatibel
Injektion Heparin sodium 100 UI/ml
Injektion Cefmetazole sodium 100 mg/ml
Wasser für injektable präparate 93
kompatibel
Injektion Heparin sodium 208 UI/ml
Injektion Cefotaxime sodium 41.6 & 125 mg/ml
5% Glucose 4254
kompatibel
Injektion Heparin sodium 208 UI/ml
Injektion Cefotaxime sodium 41.6 & 125 mg/ml
0,9% Natriumchlorid 4254
kompatibel
Injektion Heparin sodium 5000 UI/ml
Injektion Cefotaxime sodium 10 mg/ml
Wasser für injektable präparate 3125
kompatibel
Injektion Heparin sodium 100 UI/ml
Injektion Ceftaroline fosamil 2,22 mg/ml
Ringer Lactat - Lösung 3249
kompatibel
Injektion Heparin sodium 100 UI/ml
Injektion Ceftaroline fosamil 2,22 mg/ml
0,9% Natriumchlorid 3249
kompatibel
Injektion Heparin sodium 100 UI/ml
Injektion Ceftaroline fosamil 2,22 mg/ml
5% Glucose 3249
kompatibel
Injektion Heparin sodium 0.5 UI/ml
Injektion Ceftazidime 0.125 mg/ml
Extraneal® (Baxter) 4056
kompatibel
Injektion Heparin sodium 0.5 UI/ml
Injektion Ceftazidime 0.125 mg/ml
Dianéal® PD2 4.25% glucose (Baxter) 4056
kompatibel
Injektion Heparin sodium 50 UI/ml
Injektion Ceftazidime 20 mg/ml
Kein 317
kompatibel
Injektion Heparin sodium 0.5 UI/ml
Injektion Ceftazidime 0.125 mg/ml
Dianéal® PD2 2.5% glucose (Baxter) 4056
kompatibel
Injektion Heparin sodium 100 UI/ml
Injektion Ceftobiprole medocaril sodium 2 mg/ml
0,9% Natriumchlorid 2269
kompatibel
Injektion Heparin sodium 100 UI/ml
Injektion Ceftobiprole medocaril sodium 2 mg/ml
5% Glucose 2269
kompatibel
Injektion Heparin sodium 100 UI/ml
Injektion Ceftobiprole medocaril sodium 2 mg/ml
Ringer Lactat - Lösung 2269
kompatibel
Injektion Heparin sodium 1000 UI/ml
Injektion Ceftolozane / tazobactam 10/5 mg/ml
0,9% Natriumchlorid 3828
kompatibel
Injektion Heparin sodium 1000 UI/ml
Injektion Ceftolozane / tazobactam 10/5 mg/ml
5% Glucose 3828
kompatibel
Injektion Heparin sodium 50 UI/ml
Injektion Ceftriaxone disodium 20 mg/ml
Kein 317
kompatibel
Injektion Heparin sodium 10 & 50 UI/ml
Injektion Cefuroxime sodium
0,9% Natriumchlorid 3687
kompatibel
Injektion Heparin sodium 58,34 UI/ml
Injektion Chlorpromazine hydrochloride 0,26 mg/ml
5% Glucose 1289
kompatibel
Injektion Heparin sodium 1 UI/ml
Injektion Chlorpromazine hydrochloride 10 mg/ml
0,9% Natriumchlorid 1228
kompatibel
Injektion Heparin sodium 1 UI/ml
Injektion Chlorpromazine hydrochloride 10 mg/ml
5% Glucose 1228
Nicht spezifizierte Inkompatibilität nicht kompatibel
Injektion Heparin sodium
Injektion Chlorpromazine hydrochloride
3540
kompatibel
Injektion Heparin sodium 1 UI/ml
Injektion Chlorpromazine hydrochloride 10 mg/ml
Ringer Lactat - Lösung 1228
kompatibel
Injektion Heparin sodium 50 UI/ml
Injektion Cimetidine hydrochloride 6 mg/ml
Kein 317
kompatibel
Injektion Heparin sodium 5000 & 10000 UI/ml
Injektion Ciprofloxacin lactate 0.4 & 0.6 mg/ml
0,9% Natriumchlorid 2057
Sofortiger Niederschlag nicht kompatibel
Injektion Heparin sodium 10 >> 10000 UI/ml
Injektion Ciprofloxacin lactate 1 mg/ml
0,9% Natriumchlorid 2057
Sofortiger Niederschlag nicht kompatibel
Injektion Heparin sodium 10 & 100 UI/ml
Injektion Ciprofloxacin lactate 0.2 mg/ml
0,9% Natriumchlorid 2057
Nicht spezifizierte Inkompatibilität nicht kompatibel
Injektion Heparin sodium
Injektion Ciprofloxacin lactate
3540
Sofortiger Niederschlag nicht kompatibel
Injektion Heparin sodium 10 >> 1000 UI/ml
Injektion Ciprofloxacin lactate 0.4 & 0.6 mg/ml
0,9% Natriumchlorid 2057
kompatibel
Injektion Heparin sodium 1000 >> 10000 UI/ml
Injektion Ciprofloxacin lactate 0.2 mg/ml
0,9% Natriumchlorid 2057
Sofortiger Niederschlag nicht kompatibel
Injektion Heparin sodium 10 >> 5000 UI/ml
Injektion Ciprofloxacin lactate 0.8 mg/ml
0,9% Natriumchlorid 2057
kompatibel
Injektion Heparin sodium 10 >> 10000 UI/ml
Injektion Ciprofloxacin lactate 0.1 mg/ml
0,9% Natriumchlorid 2057
Sofortiger Niederschlag nicht kompatibel
Injektion Heparin sodium 100 UI/ml
Injektion Ciprofloxacin lactate 2 mg/ml
0,9% Natriumchlorid 288
Nicht spezifizierte Inkompatibilität nicht kompatibel
Injektion Heparin sodium
Injektion Ciprofloxacin lactate
3529
Sofortiger Niederschlag nicht kompatibel
Injektion Heparin sodium 100 UI/ml
Injektion Ciprofloxacin lactate 2 mg/ml
5% Glucose 288
Sofortiger Niederschlag nicht kompatibel
Injektion Heparin sodium 10 >> 1000 UI/ml
Injektion Ciprofloxacin lactate 2 mg/ml
0,9% Natriumchlorid 289
Sofortige Trübung nicht kompatibel
Injektion Heparin sodium 10 UI/ml
Injektion Ciprofloxacin lactate 2 mg/ml
Kein 1393
kompatibel
Injektion Heparin sodium 10000 UI/ml
Injektion Ciprofloxacin lactate 0.8 mg/ml
0,9% Natriumchlorid 2057
kompatibel
Injektion Heparin sodium 100 UI/ml
Injektion Cisatracurium besylate 0.1 & 2 mg/ml
5% Glucose 299
Sofortiger Niederschlag nicht kompatibel
Injektion Heparin sodium 100 UI/ml
Injektion Cisatracurium besylate 5 mg/ml
5% Glucose 299
Farbwechsel nicht kompatibel
Injektion Heparin sodium 500 UI/ml
Injektion Cisatracurium besylate 5 mg/ml
0,9% Natriumchlorid 3463
Nicht spezifizierte Inkompatibilität nicht kompatibel
Injektion Heparin sodium 500 UI/ml
Injektion Cisatracurium besylate 5 mg/ml
0,9% Natriumchlorid 3823
Nicht spezifizierte Inkompatibilität nicht kompatibel
Injektion Heparin sodium
Injektion Cisatracurium besylate
3540
kompatibel
Injektion Heparin sodium 100 UI/ml
Injektion Cladribine 0.5 mg/ml
0,9% NaCl  + bakterostatsich 1496
kompatibel
Injektion Heparin sodium 100 UI/ml
Injektion Cladribine 0.015 mg/ml
0,9% Natriumchlorid 1496
kompatibel
Injektion Heparin sodium 50 UI/ml
Injektion Clindamycin phosphate 12 mg/ml
Kein 317
kompatibel
Injektion Heparin sodium 50 UI/ml
Injektion Clonidine hydrochloride 0.0075 mg/ml
0,9% Natriumchlorid 1506
kompatibel
Injektion Heparin sodium 50 UI/ml
Injektion Clonidine hydrochloride 0.0075 mg/ml
5% Glucose 1506
kompatibel
Injektion Heparin sodium 100 UI/ml
Injektion Cloxacillin sodium 100 mg/ml
Wasser für injektable präparate 3012
Niederschlag nach 4 Stunden nicht kompatibel
Injektion Heparin sodium 208 UI/ml
Injektion Co-trimoxazole 3.2/0.64 & 80/16 mg/ml
0,9% Natriumchlorid 4254
Niederschlag nach 4 Stunden nicht kompatibel
Injektion Heparin sodium 208 UI/ml
Injektion Co-trimoxazole 3.2/0.64 & 80/16 mg/ml
5% Glucose 4254
kompatibel
Injektion Heparin sodium 1 UI/ml
Injektion Cyanocobalamine 0.1 mg/ml
Ringer Lactat - Lösung 1228
kompatibel
Injektion Heparin sodium 1 UI/ml
Injektion Cyanocobalamine 0.1 mg/ml
5% Glucose 1228
kompatibel
Injektion Heparin sodium 1 UI/ml
Injektion Cyanocobalamine 0.1 mg/ml
0,9% Natriumchlorid 1228
Nicht spezifizierte Inkompatibilität nicht kompatibel
Injektion Heparin sodium
Injektion Cytarabine
3540
Nicht spezifizierte Inkompatibilität nicht kompatibel
Injektion Heparin sodium
Injektion Cytarabine
3580
Nicht spezifizierte Inkompatibilität nicht kompatibel
Injektion Heparin sodium
Injektion Dacarbazine
3605
Sofortiger Niederschlag nicht kompatibel
Injektion Heparin sodium 100 UI/ml
Injektion Dacarbazine 25 mg/ml
0,9% Natriumchlorid 860
Nicht spezifizierte Inkompatibilität nicht kompatibel
Injektion Heparin sodium
Injektion Dacarbazine
3267
Nicht spezifizierte Inkompatibilität nicht kompatibel
Injektion Heparin sodium
Injektion Dacarbazine
3540
kompatibel
Injektion Heparin sodium
Injektion Daptomycin
2271
kompatibel
Injektion Heparin sodium 98 UI/ml
Injektion Daptomycin 19,6 mg/ml
0,9% Natriumchlorid 1937
Sofortiger Niederschlag nicht kompatibel
Injektion Heparin sodium
Injektion Daunorubicin hydrochloride
3604
Nicht spezifizierte Inkompatibilität nicht kompatibel
Injektion Heparin sodium
Injektion Daunorubicin hydrochloride
3540
Sofortiger Niederschlag nicht kompatibel
Injektion Heparin sodium
Injektion Daunorubicin hydrochloride liposome
3577
Sofortige Trübung nicht kompatibel
Injektion Heparin sodium
Injektion Daunorubicin/cytarabine liposomale 0,4 mg/mL
0,9% Natriumchlorid 4654
kompatibel
Injektion Heparin sodium 373 UI/ml
Injektion Defibrotide 8 mg/ml
0,9% Natriumchlorid 3728
kompatibel
Injektion Heparin sodium 50 UI/ml
Injektion Dexamethasone sodium phosphate 0.08 mg/ml
Kein 317
kompatibel
Injektion Heparin sodium
Injektion Dexketoprofen
4981
kompatibel
Injektion Heparin sodium 100 UI/ml
Injektion Dexmedetomidine 4 µg/ml
0,9% Natriumchlorid 1712
kompatibel
Injektion Heparin sodium 10000 UI/ml
Injektion Diatrizoate meglumine 283 mg/ml
Kein 1085
Nicht spezifizierte Inkompatibilität nicht kompatibel
Injektion Heparin sodium
Injektion Diazepam
3540
kompatibel
Injektion Heparin sodium 100 UI/ml
Injektion Diltiazem hydrochloride 1 mg/ml
314
Sofortiger Niederschlag nicht kompatibel
Injektion Heparin sodium 20000 UI/ml
Injektion Diltiazem hydrochloride 5 mg/ml
0,9% Natriumchlorid 198
kompatibel
Injektion Heparin sodium 100 UI/ml
Injektion Diltiazem hydrochloride 1 mg/ml
5% Glucose 4556
Sofortige Trübung nicht kompatibel
Injektion Heparin sodium 100 UI/ml
Injektion Diltiazem hydrochloride 5 mg/ml
5% Glucose 4556
kompatibel
Injektion Heparin sodium 20000 UI/ml
Injektion Diltiazem hydrochloride 1 mg/ml
0,9% Natriumchlorid 198
kompatibel
Injektion Heparin sodium
Injektion Diltiazem hydrochloride
5090
kompatibel
Injektion Heparin sodium 80 >> 10000 UI/ml
Injektion Diltiazem hydrochloride 1 & 5 mg/ml
0,9% Natriumchlorid 198
Sofortiger Niederschlag nicht kompatibel
Injektion Heparin sodium
Injektion Dimenhydrinate
2087
kompatibel
Injektion Heparin sodium 1 UI/ml
Injektion Diphenhydramine hydrochloride 50 mg/ml
0,9% Natriumchlorid 1228
kompatibel
Injektion Heparin sodium 1 UI/ml
Injektion Diphenhydramine hydrochloride 50 mg/ml
5% Glucose 1228
kompatibel
Injektion Heparin sodium 1 UI/ml
Injektion Diphenhydramine hydrochloride 50 mg/ml
Ringer Lactat - Lösung 1228
Niederschlag nach 4 Stunden nicht kompatibel
Injektion Heparin sodium 100 UI/ml
Injektion Dobutamine hydrochloride 4 mg/ml
314
kompatibel
Injektion Heparin sodium 40 UI/ml
Injektion Dobutamine hydrochloride 1 mg/ml
0,9% Natriumchlorid 1058
kompatibel
Injektion Heparin sodium 100 UI/ml
Injektion Dobutamine hydrochloride 2 mg/ml
5% Glucose 1041
Sofortiger Niederschlag nicht kompatibel
Injektion Heparin sodium 100 UI/ml
Injektion Dobutamine hydrochloride 2 mg/ml
5% Glucose 1352
Sofortige Trübung nicht kompatibel
Injektion Heparin sodium 100 UI/ml
Injektion Dobutamine hydrochloride 4 mg/ml
5% Glucose 295
Sofortiger Niederschlag nicht kompatibel
Injektion Heparin sodium
Injektion Dobutamine hydrochloride
3540
Farbwechsel nach 6 Stunden nicht kompatibel
Injektion Heparin sodium 10000 UI/ml
Injektion Dobutamine hydrochloride 2 mg/ml
5% Glucose 1041
kompatibel
Injektion Heparin sodium 40 UI/ml
Injektion Dobutamine hydrochloride 1 mg/ml
5% Glucose 1058
kompatibel
Injektion Heparin sodium 50 UI/ml
Injektion Dobutamine hydrochloride 1 mg/ml
Kein 317
kompatibel
Injektion Heparin sodium 100 UI/ml
Injektion Docetaxel 0.9 mg/ml
5% Glucose 1754
kompatibel
Injektion Heparin sodium 1 UI/ml
Injektion Dopamine hydrochloride 40 mg/ml
0,9% Natriumchlorid 1228
kompatibel
Injektion Heparin sodium 50 UI/ml
Injektion Dopamine hydrochloride 1.6 mg/ml
Kein 317
kompatibel
Injektion Heparin sodium 100 UI/ml
Injektion Dopamine hydrochloride 3.2 mg/ml
314
kompatibel
Injektion Heparin sodium 1 UI/ml
Injektion Dopamine hydrochloride 40 mg/ml
Ringer Lactat - Lösung 1228
kompatibel
Injektion Heparin sodium 200 UI/ml
Injektion Dopamine hydrochloride 0.8 mg/ml
5% Glucose 738
kompatibel
Injektion Heparin sodium 1 UI/ml
Injektion Dopamine hydrochloride 40 mg/ml
5% Glucose 1228
kompatibel
Injektion Heparin sodium 100 UI/ml
Injektion Dopamine hydrochloride 3,2 mg/ml
4389
Nicht spezifizierte Inkompatibilität nicht kompatibel
Injektion Heparin sodium 187 UI/ml
Injektion Dopamine hydrochloride 1,7 >> 3,4 mg/ml
5% Glucose 377
kompatibel
Injektion Heparin sodium 100 UI/ml
Injektion Doripenem 5 mg/ml
0,9% Natriumchlorid 2262
kompatibel
Injektion Heparin sodium 100 UI/ml
Injektion Doripenem 5 mg/ml
5% Glucose 2262
kompatibel
Injektion Heparin sodium 1 UI/ml
Injektion Doxapram hydrochloride 2 mg/ml
5% Glucose 1802
Nicht spezifizierte Inkompatibilität nicht kompatibel
Injektion Heparin sodium
Injektion Doxorubicin hydrochloride
3540
Sofortiger Niederschlag nicht kompatibel
Injektion Heparin sodium
Injektion Doxorubicin hydrochloride
3645
Sofortiger Niederschlag nicht kompatibel
Injektion Heparin sodium 1000 UI/ml
Injektion Doxorubicin hydrochloride 2 mg/ml
763
kompatibel
Injektion Heparin sodium 1000 UI/ml
Injektion Doxorubicin hydrochloride liposome peg 0.4 mg/ml
5% Glucose 251
Nicht spezifizierte Inkompatibilität nicht kompatibel
Injektion Heparin sodium 50 UI/ml
Injektion Doxycycline hyclate 1 mg/ml
Kein 317
Sofortiger Niederschlag nicht kompatibel
Injektion Heparin sodium 1000 UI/ml
Injektion Droperidol 2,5 mg/ml
763
kompatibel
Injektion Heparin sodium 1 UI/ml
Injektion Droperidol 1.25 mg/ml
0,9% Natriumchlorid 1228
kompatibel
Injektion Heparin sodium 1 UI/ml
Injektion Droperidol 1.25 mg/ml
Ringer Lactat - Lösung 1228
kompatibel
Injektion Heparin sodium 1 UI/ml
Injektion Droperidol 1.25 mg/ml
5% Glucose 1228
Nicht spezifizierte Inkompatibilität nicht kompatibel
Injektion Heparin sodium
Injektion Droperidol
3540
kompatibel
Injektion Heparin sodium 45,45 UI/ml
Injektion Enalaprilate 0,011 mg/ml
5% Glucose 963
kompatibel
Injektion Heparin sodium 40 UI/ml
Injektion Enalaprilate 0.05 mg/ml
0,9% Natriumchlorid 1315
kompatibel
Injektion Heparin sodium 50 UI/ml
Injektion Enalaprilate 0.0125 mg/ml
0,9% Natriumchlorid 1703
kompatibel
Injektion Heparin sodium 1 UI/ml
Injektion Epinephrine hydrochloride 100 µg/ml
Ringer Lactat - Lösung 1228
kompatibel
Injektion Heparin sodium 100 UI/ml
Injektion Epinephrine hydrochloride 20 µg/ml
314
kompatibel
Injektion Heparin sodium 1 UI/ml
Injektion Epinephrine hydrochloride 100 µg/ml
0,9% Natriumchlorid 1228
kompatibel
Injektion Heparin sodium 1 UI/ml
Injektion Epinephrine hydrochloride 100 µg/ml
5% Glucose 1228
Nicht spezifizierte Inkompatibilität nicht kompatibel
Injektion Heparin sodium
Injektion Epirubicin hydrochloride
3632
kompatibel
Injektion Heparin sodium
Injektion Eptifibatide
3934
kompatibel
Injektion Heparin sodium 1000 UI/ml
Injektion Eravacycline 0,6 mg/ml
0,9% Natriumchlorid 4434
Sofortige Trübung nicht kompatibel
Injektion Heparin sodium 1 UI/ml
Injektion Ergotamine tartrate 0.5 mg/ml
0,9% Natriumchlorid 1228
Niederschlag nach 4 Stunden nicht kompatibel
Injektion Heparin sodium 1 UI/ml
Injektion Ergotamine tartrate 0.5 mg/ml
Ringer Lactat - Lösung 1228
Niederschlag nach 4 Stunden nicht kompatibel
Injektion Heparin sodium 1 UI/ml
Injektion Ergotamine tartrate 0.5 mg/ml
5% Glucose 1228
kompatibel
Injektion Heparin sodium 50 & 100 UI/ml
Injektion Ertapenem 10 & 20 mg/ml
0,9% Natriumchlorid 1906
kompatibel
Injektion Heparin sodium 50 UI/ml
Injektion Erythromycin lactobionate 3.3 mg/ml
Kein 317
Nicht spezifizierte Inkompatibilität nicht kompatibel
Injektion Heparin sodium
Injektion Erythromycin lactobionate
3674
Nicht spezifizierte Inkompatibilität nicht kompatibel
Injektion Heparin sodium
Injektion Erythromycin lactobionate
3540
kompatibel
Injektion Heparin sodium 50 UI/ml
Injektion Esmolol hydrochloride 6 mg/ml
5% Glucose 174
kompatibel
Injektion Heparin sodium 40 UI/ml
Injektion Esmolol hydrochloride 10 mg/ml
5% Glucose 384
kompatibel
Injektion Heparin sodium 500 UI/ml
Injektion Esmolol hydrochloride 10 mg/ml
0,9% Natriumchlorid 3823
Sofortiger Niederschlag nicht kompatibel
Injektion Heparin sodium 1000 UI/ml
Injektion Ethanol 70 %
Bakteriostatisches  Wasser 2221
Sofortiger Niederschlag nicht kompatibel
Injektion Heparin sodium 1000 UI/ml
Injektion Ethanol 70 %
Wasser für injektable präparate 2221
Niederschlag nach 1 Stunde nicht kompatibel
Injektion Heparin sodium 10 UI/ml
Injektion Ethanol 70 %
Bakteriostatisches  Wasser 2221
Sofortiger Niederschlag nicht kompatibel
Injektion Heparin sodium 10 UI/ml
Injektion Ethanol 70 %
Wasser für injektable präparate 2221
kompatibel
Injektion Heparin sodium 100 UI/ml
Injektion Etoposide phosphate 5 mg/ml
5% Glucose 1410
kompatibel
Injektion Heparin sodium 40 UI/ml
Injektion Famotidine
5% Glucose 397
kompatibel
Injektion Heparin sodium 50 UI/ml
Injektion Famotidine 0.2 mg/ml
5% Glucose 398
kompatibel
Injektion Heparin sodium 40 UI/ml
Injektion Famotidine 2 mg/ml
0,9% Natriumchlorid 215
kompatibel
Injektion Heparin sodium 100 UI/ml
Injektion Fenoldopam mesylate 80 µg/ml
0,9% Natriumchlorid 1803
kompatibel
Injektion Heparin sodium 100 UI/ml
Injektion Fentanyl citrate 50 µg/ml
4389
kompatibel
Injektion Heparin sodium 1 UI/ml
Injektion Fentanyl citrate 50 µg/ml
5% Glucose 1228
kompatibel
Injektion Heparin sodium 1 UI/ml
Injektion Fentanyl citrate 50 µg/ml
Ringer Lactat - Lösung 1228
kompatibel
Injektion Heparin sodium 1 UI/ml
Injektion Fentanyl citrate 50 µg/ml
0,9% Natriumchlorid 1228
kompatibel
Injektion Heparin sodium 100 UI/ml
Injektion Fentanyl citrate 50 µg/ml
314
Sofortiger Niederschlag nicht kompatibel
Injektion Heparin sodium 100 UI/ml
Injektion Filgrastim 30 µg/ml
5% Glucose 244
kompatibel
Injektion Heparin sodium 1000 UI/ml
Injektion Fluconazole 2 mg/ml
0,9% Natriumchlorid 496
kompatibel
Injektion Heparin sodium 50 UI/ml
Injektion Fluconazole 2 mg/ml
Kein 317
kompatibel
Injektion Heparin sodium 40 >> 1000 UI/ml
Injektion Fludarabine phosphate 1 mg/ml
5% Glucose 492
kompatibel
Injektion Heparin sodium 50 UI/ml
Injektion Flumazenil 0,02 mg/ml
5% Glucose 187
kompatibel
Injektion Heparin sodium 5 UI/ml
Injektion Fluorouracil 0,8 mg/ml
0,9% Natriumchlorid 156
kompatibel
Injektion Heparin sodium 5 UI/ml
Injektion Fluorouracil 0,8 mg/ml
5% Glucose 156
kompatibel
Injektion Heparin sodium 1 UI/ml
Injektion Fluorouracil 50 mg/ml
0,9% Natriumchlorid 1228
kompatibel
Injektion Heparin sodium 960 UI/ml
Injektion Fluorouracil 24 mg/ml
5% Glucose 163
kompatibel
Injektion Heparin sodium 1 UI/ml
Injektion Fluorouracil 50 mg/ml
5% Glucose 1228
kompatibel
Injektion Heparin sodium 1000 UI/ml
Injektion Fluorouracil 50 mg/ml
763
kompatibel
Injektion Heparin sodium 1 UI/ml
Injektion Fluorouracil 50 mg/ml
Ringer Lactat - Lösung 1228
kompatibel
Injektion Heparin sodium 1000 UI/ml
Injektion Folinate calcium 10 mg/ml
763
kompatibel
Injektion Heparin sodium 100 UI/ml
Injektion Foscarnet sodium 24 mg/ml
5% Glucose 1135
kompatibel
Injektion Heparin sodium 100 UI/ml
Injektion Foscarnet sodium 24 mg/ml
0,9% Natriumchlorid 1135
kompatibel
Injektion Heparin sodium 1000 UI/ml
Injektion Foscarnet sodium 24 mg/ml
Kein 73
kompatibel
Injektion Heparin sodium 1000 UI/ml
Injektion Fosfomycin 30 mg/ml
5% Glucose 4055
kompatibel
Injektion Heparin sodium 1000 UI/ml
Injektion Fosfomycin 30 mg/ml
0,9% Natriumchlorid 4055
kompatibel
Injektion Heparin sodium 100 UI/ml
Injektion Furosemide 10 mg/ml
314
kompatibel
Injektion Heparin sodium 1 UI/ml
Injektion Furosemide 10 mg/ml
0,9% Natriumchlorid 1228
Niederschlag nach 5 Stunden nicht kompatibel
Injektion Heparin sodium 100 UI/ml
Injektion Furosemide 10 mg/ml
5% Glucose 4724
kompatibel
Injektion Heparin sodium 20 UI/ml
Injektion Furosemide 1 mg/ml
0,9% Natriumchlorid 1232
kompatibel
Injektion Heparin sodium 58,34 UI/ml
Injektion Furosemide 5,21 mg/ml
5% Glucose 1289
kompatibel
Injektion Heparin sodium
Injektion Furosemide
3465
kompatibel
Injektion Heparin sodium 1 UI/ml
Injektion Furosemide 10 mg/ml
Ringer Lactat - Lösung 1228
kompatibel
Injektion Heparin sodium 1000 UI/ml
Injektion Furosemide 10 mg/ml
763
kompatibel
Injektion Heparin sodium 10 UI/ml
Injektion Furosemide 10 mg/ml
Kein 3210
kompatibel
Injektion Heparin sodium 500 UI/ml
Injektion Furosemide 10 mg/ml
0,9% Natriumchlorid 3823
kompatibel
Injektion Heparin sodium 500 UI/ml
Injektion Furosemide 10 mg/ml
Kein 3134
kompatibel
Injektion Heparin sodium 1 UI/ml
Injektion Furosemide 10 mg/ml
5% Glucose 1228
kompatibel
Injektion Heparin sodium 40 UI/ml
Injektion Gallium nitrate 1 mg/ml
0,9% Natriumchlorid 91
kompatibel
Injektion Heparin sodium 100 UI/ml
Injektion Gemcitabine hydrochloride 10 mg/ml
0,9% Natriumchlorid 1423
Sofortige Trübung nicht kompatibel
Injektion Heparin sodium 2500 UI/ml
Injektion Gentamicin sulfate 3 mg/ml
4612
Nicht spezifizierte Inkompatibilität nicht kompatibel
Injektion Heparin sodium
Injektion Gentamicin sulfate
3520
Nicht spezifizierte Inkompatibilität nicht kompatibel
Injektion Heparin sodium
Injektion Gentamicin sulfate
3643
Sofortiger Niederschlag nicht kompatibel
Injektion Heparin sodium
Injektion Gentamicin sulfate
1022
Nicht spezifizierte Inkompatibilität nicht kompatibel
Injektion Heparin sodium 50 UI/ml
Injektion Gentamicin sulfate 2 mg/ml
Kein 317
Sofortiger Niederschlag nicht kompatibel
Injektion Heparin sodium 10 >> 40 UI/ml
Injektion Gentamicin sulfate 4 >> 40 mg/ml
1258
Sofortiger Niederschlag nicht kompatibel
Injektion Heparin sodium 2500 UI/ml
Injektion Gentamicin sulfate 4 & 5 mg/ml
4612
Nicht spezifizierte Inkompatibilität nicht kompatibel
Injektion Heparin sodium
Injektion Gentamicin sulfate
3540
kompatibel
Injektion Heparin sodium 2500 UI/ml
Injektion Gentamicin sulfate 1 & 2 mg/ml
4612
kompatibel
Injektion Heparin sodium 50 UI/ml
Injektion Glycerophosphate disodium
0,9% Natriumchlorid 4332
kompatibel
Injektion Heparin sodium 100 UI/ml
Injektion Granisetron hydrochloride 0.05 mg/ml
5% Glucose 182
Sofortiger Niederschlag nicht kompatibel
Injektion Heparin sodium 100 & 200 UI/ml
Injektion Haloperidol lactate 5 mg/ml
5% Glucose 617
Sofortiger Niederschlag nicht kompatibel
Injektion Heparin sodium 100 & 200 UI/ml
Injektion Haloperidol lactate 5 mg/ml
0,9% Natriumchlorid 617
kompatibel
Injektion Heparin sodium 500 UI/ml
Injektion Haloperidol lactate 0.5 mg/ml
0,9% Natriumchlorid 3823
Nicht spezifizierte Inkompatibilität nicht kompatibel
Injektion Heparin sodium
Injektion Haloperidol lactate
3540
kompatibel
Injektion Heparin sodium 100 UI/ml
Injektion Hetastarch 60 mg/ml
spezifische Lösungsmittel 1721
Nicht spezifizierte Inkompatibilität nicht kompatibel
Injektion Heparin sodium
Injektion Hyaluronidase
3617
Nicht spezifizierte Inkompatibilität nicht kompatibel
Injektion Heparin sodium
Injektion Hyaluronidase
3184
Nicht spezifizierte Inkompatibilität nicht kompatibel
Injektion Heparin sodium
Injektion Hyaluronidase
3540
kompatibel
Injektion Heparin sodium 1 UI/ml
Injektion Hydralazine hydrochloride 20 mg/ml
5% Glucose 1228
kompatibel
Injektion Heparin sodium 1 UI/ml
Injektion Hydralazine hydrochloride 20 mg/ml
Ringer Lactat - Lösung 1228
kompatibel
Injektion Heparin sodium 1 UI/ml
Injektion Hydralazine hydrochloride 20 mg/ml
0,9% Natriumchlorid 1228
kompatibel
Injektion Heparin sodium 100 UI/ml
Injektion Hydrocortisone sodium succinate 125 mg/ml
0,9% Natriumchlorid 132
Nicht spezifizierte Inkompatibilität nicht kompatibel
Injektion Heparin sodium
Injektion Hydrocortisone sodium succinate
3540
kompatibel
Injektion Heparin sodium 50 UI/ml
Injektion Hydrocortisone sodium succinate 2 mg/ml
Kein 317
kompatibel
Injektion Heparin sodium 100 UI/ml
Injektion Hydrocortisone sodium succinate 125 mg/ml
5% Glucose 132
kompatibel
Injektion Heparin sodium
Injektion Hydromorphone hydrochloride <12.5 mg/ml
0,9% Natriumchlorid 66
kompatibel
Injektion Heparin sodium 100 UI/ml
Injektion Hydromorphone hydrochloride 1 mg/ml
314
Sofortiger Niederschlag nicht kompatibel
Injektion Heparin sodium <12,5 UI/ml
Injektion Hydromorphone hydrochloride >25 mg/ml
0,9% Natriumchlorid 66
kompatibel
Injektion Heparin sodium
Injektion Hydromorphone hydrochloride <12.5 mg/ml
Wasser für injektable präparate 66
Sofortiger Niederschlag nicht kompatibel
Injektion Heparin sodium <1 UI/ml
Injektion Hydromorphone hydrochloride >10 mg/ml
Wasser für injektable präparate 66
Sofortiger Niederschlag nicht kompatibel
Injektion Heparin sodium <12,5 UI/ml
Injektion Hydromorphone hydrochloride >25 mg/ml
Wasser für injektable präparate 66
kompatibel
Injektion Heparin sodium 100 UI/ml
Injektion Ibuprofen lysinate 10 mg/ml
Wasser für injektable präparate 4419
kompatibel
Injektion Heparin sodium 10 UI/ml
Injektion Ibuprofen lysinate 10 mg/ml
Wasser für injektable präparate 4419
Sofortige Trübung nicht kompatibel
Injektion Heparin sodium 100 & 1000 UI/ml
Injektion Idarubicin hydrochloride 1 mg/ml
0,9% Natriumchlorid 491
Sofortiger Niederschlag nicht kompatibel
Injektion Heparin sodium
Injektion Idarubicin hydrochloride
5075
kompatibel
Injektion Heparin sodium
Injektion Imipenem-Cilastatin / Relebactam
4809
kompatibel
Injektion Heparin sodium 1000 UI/ml
Injektion Imipenem-Cilastatin / Relebactam 5 mg/ml
0,9% Natriumchlorid 4433
kompatibel
Injektion Heparin sodium 1000 UI/ml
Injektion Imipenem-Cilastatin / Relebactam 5 mg/ml
5% Glucose 4433
kompatibel
Injektion Heparin sodium 500 UI/ml
Injektion Insulin 2 UI/ml
0,9% Natriumchlorid 3823
kompatibel
Injektion Heparin sodium 60 UI/ml
Injektion Insulin 0.2 UI/ml
0,9% Natriumchlorid 129
kompatibel
Injektion Heparin sodium 50 & 400 UI/ml
Injektion Insulin aspart 1 UI/ml
5% Glucose 1508
kompatibel
Injektion Heparin sodium 50 & 400 UI/ml
Injektion Insulin aspart 1 UI/ml
0,9% Natriumchlorid 1508
kompatibel
Injektion Heparin sodium 10000 UI/ml
Injektion Iohexol 300 mg I/ml
Kein 1085
kompatibel
Injektion Heparin sodium 10000 UI/ml
Injektion Ioxaglate 320 mg I/ml
Kein 1085
Sofortige Trübung nicht kompatibel
Injektion Heparin sodium 1000 UI/ml
Injektion Isavuconazonium sulfate 1.5 mg/ml
0,9% Natriumchlorid 3829
Sofortige Trübung nicht kompatibel
Injektion Heparin sodium 1000 UI/ml
Injektion Isavuconazonium sulfate 1.5 mg/ml
5% Glucose 3829
kompatibel
Injektion Heparin sodium 1 UI/ml
Injektion Isoprenaline hydrochloride 0.2 mg/ml
5% Glucose 1228
kompatibel
Injektion Heparin sodium 1 UI/ml
Injektion Isoprenaline hydrochloride 0.2 mg/ml
0,9% Natriumchlorid 1228
kompatibel
Injektion Heparin sodium 1 UI/ml
Injektion Isoprenaline hydrochloride 0.2 mg/ml
Ringer Lactat - Lösung 1228
Nicht spezifizierte Inkompatibilität nicht kompatibel
Injektion Heparin sodium
Injektion Kanamycin sulfate
3540
Sofortiger Niederschlag nicht kompatibel
Injektion Heparin sodium 25000 UI/ml
Injektion Ketamine hydrochloride 50 mg/ml
2109
kompatibel
Injektion Heparin sodium 100 UI/ml
Injektion Labetalol hydrochloride 2 mg/ml
314
Nicht spezifizierte Inkompatibilität nicht kompatibel
Injektion Heparin sodium 500 UI/ml
Injektion Labetalol hydrochloride 4 mg/ml
0,9% Natriumchlorid 3823
Nicht spezifizierte Inkompatibilität nicht kompatibel
Injektion Heparin sodium
Injektion Labetalol hydrochloride
3540
Sofortiger Niederschlag nicht kompatibel
Injektion Heparin sodium 100 UI/ml
Injektion Labetalol hydrochloride 5 mg/ml
5% Glucose 295
kompatibel
Injektion Heparin sodium 40 UI/ml
Injektion Labetalol hydrochloride 1 mg/ml
5% Glucose 386
kompatibel
Injektion Heparin sodium 100 UI/ml
Injektion Lansoprazole 0.55 mg/ml
0,9% Natriumchlorid 1625
Trübung in 4 Stunden nicht kompatibel
Injektion Heparin sodium 100 UI/ml
Injektion Levetiracetam 100 mg/ml
5% Glucose 4108
Sofortige Trübung nicht kompatibel
Injektion Heparin sodium 208,3 UI/ml
Injektion Levetiracetam 15 mg/ml
0,9% Natriumchlorid 4698
Nicht spezifizierte Inkompatibilität nicht kompatibel
Injektion Heparin sodium
Injektion Levofloxacine
3920
Sofortiger Niederschlag nicht kompatibel
Injektion Heparin sodium 10 UI/ml
Injektion Levofloxacine 5 mg/ml
5% Glucose 1072
Nicht spezifizierte Inkompatibilität nicht kompatibel
Injektion Heparin sodium
Injektion Levomepromazine
3540
kompatibel
Injektion Heparin sodium 100 UI/ml
Injektion Levosimendan 2,5 mg/ml
5% Glucose 4389
kompatibel
Injektion Heparin sodium 50 UI/ml
Injektion Lidocaine hydrochloride 4 mg/ml
Kein 317
kompatibel
Injektion Heparin sodium 1000 UI/ml
Injektion Linezolid 2 mg/ml
Kein 1925
kompatibel
Injektion Heparin sodium 10 >> 10000 UI/ml
Injektion Linezolid 0.2 >> 1.92 mg/ml
0,9% Natriumchlorid 2057
kompatibel
Injektion Heparin sodium 417 UI/ml
Injektion Lorazepam 0.33 mg/ml
0,9% Natriumchlorid 186
kompatibel
Injektion Heparin sodium 100 UI/ml
Injektion Lorazepam 0.5 mg/ml
314
kompatibel
Injektion Heparin sodium 1 UI/ml
Injektion Magnesium sulfate 5 mg/ml
0,9% Natriumchlorid 1228
kompatibel
Injektion Heparin sodium 50 UI/ml
Injektion Magnesium sulfate 15.6 mg/ml
0,9% Natriumchlorid 2100
kompatibel
Injektion Heparin sodium 1 UI/ml
Injektion Magnesium sulfate 5 mg/ml
Ringer Lactat - Lösung 1228
kompatibel
Injektion Heparin sodium 1 UI/ml
Injektion Magnesium sulfate 5 mg/ml
5% Glucose 1228
kompatibel
Injektion Heparin sodium 100 UI/ml
Injektion Melphalan 0.1 mg/ml
0,9% Natriumchlorid 169
kompatibel
Injektion Heparin sodium 0.5 UI/ml
Injektion Meropenem 0.5 mg/ml
Dianéal® 4.25% glucose (Baxter) 4180
kompatibel
Injektion Heparin sodium 0.5 UI/ml
Injektion Meropenem 0.5 mg/ml
Extraneal® (Baxter) 4180
kompatibel
Injektion Heparin sodium 1000 UI/ml
Injektion Meropenem 50 mg/ml
Wasser für injektable präparate 4319
kompatibel
Injektion Heparin sodium 1 UI/ml
Injektion Meropenem 1 & 50 mg/ml
0,9% Natriumchlorid 266
kompatibel
Injektion Heparin sodium 0.5 UI/ml
Injektion Meropenem 0.5 mg/ml
Dianéal® 1.5% glucose (Baxter) 4180
kompatibel
Injektion Heparin sodium 20 UI/ml
Injektion Meropenem 1 & 20 mg/ml
0,9% Natriumchlorid 266
kompatibel
Injektion Heparin sodium 0.5 UI/ml
Injektion Meropenem 0.5 mg/ml
Dianéal® 2.5% glucose (Baxter) 4180
kompatibel
Injektion Heparin sodium 50 UI/ml
Injektion Methadone hydrochloride 0.2 mg/ml
5% Glucose 1506
kompatibel
Injektion Heparin sodium 50 UI/ml
Injektion Methadone hydrochloride 0.2 mg/ml
0,9% Natriumchlorid 1506
Nicht spezifizierte Inkompatibilität nicht kompatibel
Injektion Heparin sodium
Injektion Methotrexate sodium
3637
kompatibel
Injektion Heparin sodium 1000 UI/ml
Injektion Methotrexate sodium 25 mg/ml
763
kompatibel
Injektion Heparin sodium 500 UI/ml
Injektion Methotrexate sodium 30 mg/ml
0,9% Natriumchlorid 150
kompatibel
Injektion Heparin sodium 100 UI/ml
Injektion Methylprednisolone sodium succinate 5 mg/ml
5% Glucose 132
kompatibel
Injektion Heparin sodium 50 UI/ml
Injektion Methylprednisolone sodium succinate 2.5 mg/ml
Kein 317
kompatibel
Injektion Heparin sodium 100 UI/ml
Injektion Methylprednisolone sodium succinate 5 mg/ml
0,9% Natriumchlorid 132
kompatibel
Injektion Heparin sodium 1000 UI/ml
Injektion Metoclopramide hydrochloride 5 mg/ml
763
Chemische Instabilität nicht kompatibel
Injektion Heparin sodium 1000 UI/ml
Injektion Metoprolol tartrate 1 mg/ml
Kein 2346
kompatibel
Injektion Heparin sodium 50 UI/ml
Injektion Metronidazole 5 mg/ml
Kein 317
kompatibel
Injektion Heparin sodium 100 UI/ml
Injektion Micafungin 1.5 mg/ml
0,9% Natriumchlorid 2108
Sofortige Trübung nicht kompatibel
Injektion Heparin sodium 208,3 UI/ml
Injektion Midazolam hydrochloride 1 mg/ml
0,9% Natriumchlorid 4698
kompatibel
Injektion Heparin sodium 500 UI/ml
Injektion Midazolam hydrochloride 2.1 mg/ml
0,9% Natriumchlorid 3823
kompatibel
Injektion Heparin sodium 417 UI/ml
Injektion Midazolam hydrochloride 5 mg/ml
Kein 186
kompatibel
Injektion Heparin sodium 100 UI/ml
Injektion Midazolam hydrochloride 5 mg/ml
4389
kompatibel
Injektion Heparin sodium 100 UI/ml
Injektion Midazolam hydrochloride 2 mg/ml
314
kompatibel
Injektion Heparin sodium 200 UI/ml
Injektion Milrinone lactate 0.8 mg/ml
5% Glucose 813
kompatibel
Injektion Heparin sodium 100 UI/ml
Injektion Milrinone lactate 0.2 mg/ml
314
kompatibel
Injektion Heparin sodium 1 UI/ml
Injektion Minocycline hydrochloride 0.2 mg/ml
5% Glucose 1228
kompatibel
Injektion Heparin sodium 1 UI/ml
Injektion Minocycline hydrochloride 0.2 mg/ml
Ringer Lactat - Lösung 1228
kompatibel
Injektion Heparin sodium 1 UI/ml
Injektion Minocycline hydrochloride 0.2 mg/ml
0,9% Natriumchlorid 1228
Nicht spezifizierte Inkompatibilität nicht kompatibel
Injektion Heparin sodium
Injektion Mitoxantrone dihydrochloride
3640
Nicht spezifizierte Inkompatibilität nicht kompatibel
Injektion Heparin sodium
Injektion Morphine hydrochloride
5069
kompatibel
Injektion Heparin sodium 100 & 200 UI/ml
Injektion Morphine sulfate 1 >> 5 mg/ml
Wasser für injektable präparate 341
kompatibel
Injektion Heparin sodium 1 UI/ml
Injektion Morphine sulfate 15 mg/ml
Ringer Lactat - Lösung 1228
Nicht spezifizierte Inkompatibilität nicht kompatibel
Injektion Heparin sodium
Injektion Morphine sulfate
3531
kompatibel
Injektion Heparin sodium 1 UI/ml
Injektion Morphine sulfate 15 mg/ml
5% Glucose 1228
kompatibel
Injektion Heparin sodium 1 UI/ml
Injektion Morphine sulfate 15 mg/ml
0,9% Natriumchlorid 1228
kompatibel
Injektion Heparin sodium 60 UI/ml
Injektion Morphine sulfate 1 mg/ml
0,9% Natriumchlorid 406
kompatibel
Injektion Heparin sodium 100 & 200 UI/ml
Injektion Morphine sulfate 10 mg/ml
Wasser für injektable präparate 341
kompatibel
Injektion Heparin sodium 100 UI/ml
Injektion Morphine sulfate 2 mg/ml
314
Chemische Instabilität nicht kompatibel
Injektion Heparin sodium 100 & 200 UI/ml
Injektion Morphine sulfate 1 >> 10 mg/ml
0,9% Natriumchlorid 341
kompatibel
Injektion Heparin sodium 1000 UI/ml
Injektion N-acetylcysteine 200 mg/ml
Kein 3766
kompatibel
Injektion Heparin sodium 50 UI/ml
Injektion Nafcillin sodium 20 mg/ml
Kein 317
kompatibel
Injektion Heparin sodium 1000 UI/ml
Injektion Naloxone hydrochloride 0.4 mg/ml
Kein 3408
Sofortige Trübung nicht kompatibel
Injektion Heparin sodium 208,3 UI/ml
Injektion Nefopam 1,7 mg/ml
0,9% Natriumchlorid 4698
kompatibel
Injektion Heparin sodium 1 UI/ml
Injektion Neostigmine methylsulfate 0.5 mg/ml
5% Glucose 1228
kompatibel
Injektion Heparin sodium 1 UI/ml
Injektion Neostigmine methylsulfate 0.5 mg/ml
0,9% Natriumchlorid 1228
kompatibel
Injektion Heparin sodium 1 UI/ml
Injektion Neostigmine methylsulfate 0.5 mg/ml
Ringer Lactat - Lösung 1228
Nicht spezifizierte Inkompatibilität nicht kompatibel
Injektion Heparin sodium
Injektion Nesiritide
5048
Nicht spezifizierte Inkompatibilität nicht kompatibel
Injektion Heparin sodium
Injektion Netilmicin sulfate
3540
Sofortiger Niederschlag nicht kompatibel
Injektion Heparin sodium
Injektion Netilmicin sulfate
1022
Sofortiger Niederschlag nicht kompatibel
Injektion Heparin sodium 100 UI/ml
Injektion Nicardipine hydrochloride 1 mg/ml
314
Nicht spezifizierte Inkompatibilität nicht kompatibel
Injektion Heparin sodium
Injektion Nicardipine hydrochloride
3540
kompatibel
Injektion Heparin sodium 40 UI/ml
Injektion Nicardipine hydrochloride 0.1 mg/ml
5% Glucose 1490
kompatibel
Injektion Heparin sodium 40 UI/ml
Injektion Nicardipine hydrochloride 0.1 mg/ml
0,9% Natriumchlorid 1490
Sofortiger Niederschlag nicht kompatibel
Injektion Heparin sodium 100 UI/ml
Injektion Nitroglycerin 1,6 >> 3,25 mg/ml
5% Glucose 295
kompatibel
Injektion Heparin sodium 500 UI/ml
Injektion Nitroglycerin 0.2 mg/ml
0,9% Natriumchlorid 3823
Produktion von Gasblasen nicht kompatibel
Injektion Heparin sodium 50 UI/ml
Injektion Nitroglycerin 0.2 mg/ml
Kein 317
kompatibel
Injektion Heparin sodium 500 UI/ml
Injektion Nitroglycerin 0.2 mg/ml
5% Glucose 3823
kompatibel
Injektion Heparin sodium 100 UI/ml
Injektion Nitroglycerin 0.4 mg/ml
314
kompatibel
Injektion Heparin sodium 50 UI/ml
Injektion Nitroprusside sodium 0.2 mg/ml
Kein 317
kompatibel
Injektion Heparin sodium 100 UI/ml
Injektion Nitroprusside sodium 0.2 mg/ml
5% Glucose 295
kompatibel
Injektion Heparin sodium 100 UI/ml
Injektion Norepinephrine bitartrate 0.128 mg/ml
314
Nicht spezifizierte Inkompatibilität nicht kompatibel
Injektion Heparin sodium
Injektion Ofloxacin
3562
kompatibel
Injektion Heparin sodium 40 UI/ml
Injektion Ondansetron hydrochloride 1 mg/ml
0,9% Natriumchlorid 334
nicht kompatibel
Injektion Heparin sodium 200 UI/ml
Injektion Ondansetron hydrochloride 1.6 mg/ml
1699
Sofortige Trübung nicht kompatibel
Injektion Heparin sodium 100 UI/ml
Injektion Oritavancin 0.8 >>1.2 mg/ml
5% Glucose 3152
Niederschlag nach 4 Stunden nicht kompatibel
Injektion Heparin sodium 100 UI/ml
Injektion Oritavancin 2 mg/ml
5% Glucose 3152
kompatibel
Injektion Heparin sodium 208 UI/ml
Injektion Ornidazole 31.25 mg/ml
0,9% Natriumchlorid 4254
kompatibel
Injektion Heparin sodium 1 UI/ml
Injektion Oxacillin sodium 100 mg/ml
5% Glucose 1228
kompatibel
Injektion Heparin sodium 1 UI/ml
Injektion Oxacillin sodium 100 mg/ml
Ringer Lactat - Lösung 1228
kompatibel
Injektion Heparin sodium 1 UI/ml
Injektion Oxacillin sodium 100 mg/ml
0,9% Natriumchlorid 1228
kompatibel
Injektion Heparin sodium 100 UI/ml
Injektion Oxaliplatin 0,5 mg/ml
5% Glucose 1662
Nicht spezifizierte Inkompatibilität nicht kompatibel
Injektion Heparin sodium
Injektion Oxytetracycline hydrochloride
3540
kompatibel
Injektion Heparin sodium 100 UI/ml
Injektion Paclitaxel 1.2 mg/ml
5% Glucose 248
kompatibel
Injektion Heparin sodium 100 UI/ml
Injektion Palonosetron hydrochloride 50 µg/ml
5% Glucose 2279
kompatibel
Injektion Heparin sodium 40 UI/ml
Injektion Pancuronium bromide 0.05 mg/ml
5% Glucose 402
Niederschlag nach 1 Stunde nicht kompatibel
Injektion Heparin sodium
Injektion Pantoprazole sodium
2090
kompatibel
Injektion Heparin sodium 208,3 UI/ml
Injektion Paracetamol 10 mg/ml
0,9% Natriumchlorid 4698
kompatibel
Injektion Heparin sodium 1000 UI/ml
Injektion Paracetamol 10 mg/ml
4742
kompatibel
Injektion Heparin sodium 100 UI/ml
Injektion Pemetrexed disodium 20 mg/ml
0,9% Natriumchlorid 1953
Nicht spezifizierte Inkompatibilität nicht kompatibel
Injektion Heparin sodium
Injektion Penicillin G potassium
3540
kompatibel
Injektion Heparin sodium 50 UI/ml
Injektion Penicillin G potassium 0.04 MUI/ml
Kein 317
Nicht spezifizierte Inkompatibilität nicht kompatibel
Injektion Heparin sodium
Injektion Penicillin G sodium
3540
kompatibel
Injektion Heparin sodium 100 UI/ml
Injektion Pentoxifyllin 5 mg/ml
0,9% Natriumchlorid 4538
Sofortige Trübung nicht kompatibel
Injektion Heparin sodium
Injektion Pethidine hydrochloride
3525
kompatibel
Injektion Heparin sodium 60 UI/ml
Injektion Pethidine hydrochloride 10 mg/ml
0,9% Natriumchlorid 406
Nicht spezifizierte Inkompatibilität nicht kompatibel
Injektion Heparin sodium
Injektion Pethidine hydrochloride
3540
Sofortiger Niederschlag nicht kompatibel
Injektion Heparin sodium 50 UI/ml
Injektion Phenytoin sodium 2 mg/ml
Kein 317
kompatibel
Injektion Heparin sodium 50 UI/ml
Injektion Piperacillin sodium 60 mg/ml
Kein 317
kompatibel
Injektion Heparin sodium 10 & 5000 UI/ml
Injektion Piperacillin sodium 40 mg/ml
0,9% Natriumchlorid 2037
kompatibel
Injektion Heparin sodium 0.5 UI/ml
Injektion Piperacillin sodium / tazobactam 0.5/0.0625 mg/ml
Dianéal® 2.5% glucose (Baxter) 4180
kompatibel
Injektion Heparin sodium 0.5 UI/ml
Injektion Piperacillin sodium / tazobactam 0.5/0.0625 mg/ml
Dianéal® 4.25% glucose (Baxter) 4180
Sofortige Trübung nicht kompatibel
Injektion Heparin sodium 1000 UI/ml
Injektion Plazomicin sulfate 24 mg/ml
0,9% Natriumchlorid 4145
Nicht spezifizierte Inkompatibilität nicht kompatibel
Injektion Heparin sodium
Injektion Polymyxine B
3540
kompatibel
Injektion Heparin sodium 50 UI/ml
Injektion Potassium chloride 200 mEq/l
Kein 317
kompatibel
Injektion Heparin sodium 1 UI/ml
Injektion Procainamide hydrochloride 100 mg/ml
Ringer Lactat - Lösung 1228
kompatibel
Injektion Heparin sodium 1 UI/ml
Injektion Procainamide hydrochloride 100 mg/ml
0,9% Natriumchlorid 1228
kompatibel
Injektion Heparin sodium 1 UI/ml
Injektion Prochlorperazine edysilate 5 mg/ml
0,9% Natriumchlorid 1228
kompatibel
Injektion Heparin sodium 3 >> 20 UI/ml
Parenterale Ernährung (Lipid-frei) 791
kompatibel
Injektion Heparin sodium 100 UI/ml
Parenterale Ernährung (Lipid-frei) 301
kompatibel
Injektion Heparin sodium 500 UI/ml
Parenterale Ernährung (Lipid-frei) 939
kompatibel
Injektion Heparin sodium 1 UI/ml
Injektion Prochlorperazine edysilate 5 mg/ml
Ringer Lactat - Lösung 1228
kompatibel
Injektion Heparin sodium 1 UI/ml
Injektion Promethazine hydrochloride 50 mg/ml
0,9% Natriumchlorid 1228
kompatibel
Injektion Heparin sodium 1 UI/ml
Injektion Promethazine hydrochloride 50 mg/ml
Ringer Lactat - Lösung 1228
kompatibel
Injektion Heparin sodium 1 UI/ml
Injektion Propranolol hydrochloride 1 mg/ml
Ringer Lactat - Lösung 1228
kompatibel
Injektion Heparin sodium 1 UI/ml
Injektion Propranolol hydrochloride 1 mg/ml
0,9% Natriumchlorid 1228
kompatibel
Injektion Heparin sodium 50 UI/ml
Injektion Ranitidine hydrochloride 0,5 mg/ml
5% Glucose 396
kompatibel
Injektion Heparin sodium 10 & 40 UI/ml
Injektion Ranitidine hydrochloride 0.05 & 2 mg/ml
0,9% Natriumchlorid 214
kompatibel
Injektion Heparin sodium 50 UI/ml
Injektion Ranitidine hydrochloride 1 mg/ml
Kein 317
kompatibel
Injektion Heparin sodium 1000 UI/ml
Injektion Remdesivir 1 mg/ml
0,9% Natriumchlorid 4768
kompatibel
Injektion Heparin sodium 100 UI/ml
Injektion Remifentanil hydrochloride 25 & 250 µg/ml
0,9% Natriumchlorid 59
kompatibel
Injektion Heparin sodium 500 UI/ml
Injektion Remifentanil hydrochloride 100 µg/ml
0,9% Natriumchlorid 3823
kompatibel
Injektion Heparin sodium 500 UI/ml
NaHCO3 150
kompatibel
Injektion Heparin sodium 1.4 UI/ml
Injektion Piperacillin sodium / tazobactam 1.38/0.1725 mg/ml
Physionéal® 2.27 (Baxter) 4180
kompatibel
Injektion Heparin sodium 1.4 UI/ml
Injektion Piperacillin sodium / tazobactam 1.38/0.1725 mg/ml
Physionéal® 1.36 (Baxter) 4180
kompatibel
Injektion Heparin sodium 0.5 UI/ml
Injektion Piperacillin sodium / tazobactam 0.5/0.0625 mg/ml
Dianéal® 1.5% glucose (Baxter) 4180
kompatibel
Injektion Heparin sodium 1.4 UI/ml
Injektion Piperacillin sodium / tazobactam 1.38/0.1725 mg/ml
Physionéal® 3.86 (Baxter) 4180
kompatibel
Injektion Heparin sodium 100 UI/ml
Injektion Piperacillin sodium / tazobactam 40/5 mg/ml
5% Glucose 81
kompatibel
Injektion Heparin sodium 0.5 UI/ml
Injektion Piperacillin sodium / tazobactam 0.5/0.0625 mg/ml
Extraneal® (Baxter) 4180
kompatibel
Injektion Heparin sodium 500 UI/ml
Injektion Potassium chloride 10 mEq/l
0,9% Natriumchlorid 3823
kompatibel
Injektion Heparin sodium 58,34 UI/ml
Injektion Potassium chloride 1250 mEq/l
5% Glucose 1289
kompatibel
Injektion Heparin sodium
Injektion Potassium phosphate
3781
kompatibel
Injektion Heparin sodium 1 UI/ml
Injektion Procainamide hydrochloride 100 mg/ml
5% Glucose 1228
kompatibel
Injektion Heparin sodium 1 UI/ml
Injektion Prochlorperazine edysilate 5 mg/ml
5% Glucose 1228
kompatibel
Injektion Heparin sodium 1 UI/ml
Injektion Promethazine hydrochloride 50 mg/ml
5% Glucose 1228
Nicht spezifizierte Inkompatibilität nicht kompatibel
Injektion Heparin sodium
Injektion Promethazine hydrochloride
3540
Instabilität der Emulsion nach 1 Stunde nicht kompatibel
Injektion Heparin sodium 1000 UI/ml
Injektion Propofol
660
kompatibel
Injektion Heparin sodium 100 UI/ml
Injektion Propofol 10 mg/ml
Kein 300
kompatibel
Injektion Heparin sodium 1 UI/ml
Injektion Propranolol hydrochloride 1 mg/ml
5% Glucose 1228
kompatibel
Injektion Heparin sodium 100 UI/ml
Injektion Ranitidine hydrochloride 1 mg/ml
314
kompatibel
Injektion Heparin sodium 10 & 40 UI/ml
Injektion Ranitidine hydrochloride 0.05 & 2 mg/ml
5% Glucose 214
kompatibel
Injektion Heparin sodium 416.7 UI/ml
Injektion Remifentanil hydrochloride 120 µg/ml
5% Glucose 3294
kompatibel
Injektion Heparin sodium 416.7 UI/ml
Injektion Remifentanil hydrochloride 120 µg/ml
5% Glucose 3176
Nicht spezifizierte Inkompatibilität nicht kompatibel
Injektion Heparin sodium
Injektion Reteplase
2212
kompatibel
Injektion Heparin sodium 20,458 >> 28,000 UI/ml
Parenterale Ernährung (mit Lipiden) 1868
Nicht spezifizierte Inkompatibilität nicht kompatibel
Injektion Heparin sodium
Injektion Reteplase
3540
kompatibel
Injektion Heparin sodium 1000 UI/ml
Injektion Salbutamol sulfate 1 mg/ml
Kein 3216
kompatibel
Injektion Heparin sodium 100 UI/ml
Injektion Sargramostim 6 §15 µg/ml
0,9% Natriumchlorid 891
kompatibel
Injektion Heparin sodium 100 UI/ml
Injektion Sargramostim 10 µg/ml
0,9% Natriumchlorid 335
kompatibel
Injektion Heparin sodium 1 UI/ml
Injektion Scopolamine hydrobromide 0.86 mg/ml
0,9% Natriumchlorid 1228
kompatibel
Injektion Heparin sodium 1 UI/ml
Injektion Scopolamine hydrobromide 0.86 mg/ml
Ringer Lactat - Lösung 1228
kompatibel
Injektion Heparin sodium 1 UI/ml
Injektion Scopolamine hydrobromide 0.86 mg/ml
5% Glucose 1228
kompatibel
Injektion Heparin sodium 100 UI/ml
Injektion Sildenafil citrate 0,6 mg/ml
5% Glucose 4845
kompatibel
Injektion Heparin sodium 100 UI/ml
Injektion Sildenafil citrate 0,06 mg/ml
5% Glucose 4845
kompatibel
Injektion Heparin sodium 1 UI/ml
Injektion Sildenafil citrate 0,4 mg/ml
5% Glucose 3923
kompatibel
Injektion Heparin sodium 2 UI/ml
Injektion Sildenafil citrate 0,6 mg/ml
5% Glucose 4845
kompatibel
Injektion Heparin sodium
0,9% Natriumchlorid 3540
Sofortige Instabilität der Emulsion nicht kompatibel
Injektion Heparin sodium 100 UI/ml
Parenterale Ernährung (mit Lipiden) 132
Sofortige Trübung nicht kompatibel
Injektion Heparin sodium 100 UI/ml
Injektion Sildenafil citrate 0,6 mg/ml
5% Glucose 4845
kompatibel
Injektion Heparin sodium 500 UI/ml
Injektion Sodium bicarbonate 84 mg/ml
0,9% Natriumchlorid 3823
kompatibel
Injektion Heparin sodium
Injektion Sodium bicarbonate
3466
kompatibel
Injektion Heparin sodium 500 UI/ml
Injektion Sodium bicarbonate 14 mg/ml
Kein 150
kompatibel
Injektion Heparin sodium 500 UI/ml
Injektion Sodium bicarbonate 84 mg/ml
Kein 3212
kompatibel
Injektion Heparin sodium 208 UI/ml
Injektion Spiramycine adipate 0.0625 MUI/ml
0,9% Natriumchlorid 4254
kompatibel
Injektion Heparin sodium 100 UI/ml
Injektion Streptokinase 30000 UI/ml
5% Glucose 92
Nicht spezifizierte Inkompatibilität nicht kompatibel
Injektion Heparin sodium
Injektion Streptomycin sulfate
3540
kompatibel
Injektion Heparin sodium 416.7 UI/ml
Injektion Sufentanil citrate 0.005 mg/ml
5% Glucose 3294
kompatibel
Injektion Heparin sodium 1000 UI/ml
Injektion Sugammadex 100 mg/ml
Kein 3372
kompatibel
Injektion Heparin sodium 10 UI/ml
Injektion Tacrolimus 1000 µg/ml
0,9% Natriumchlorid 479
kompatibel
Injektion Heparin sodium 1000 UI/ml
Ringer Lactat - Lösung 4603
kompatibel
Injektion Heparin sodium 1000 UI/ml
Injektion Sulbactam/durlobactam 15/15 mg/ml
0,9% Natriumchlorid 4801
kompatibel
Injektion Heparin sodium 1000 UI/ml
Injektion Tedizolid phosphate 0.8 mg/ml
0,9% Natriumchlorid 3827
kompatibel
Injektion Heparin sodium 10 >> 10000 UI/ml
Injektion Teicoplanine 0.02 >> 10 mg/ml
0,9% Natriumchlorid 2057
Sofortige Trübung nicht kompatibel
Injektion Heparin sodium 1000 UI/ml
Injektion Telavancin hydrochloride 7,5 mg/ml
5% Glucose 3254
Sofortige Trübung nicht kompatibel
Injektion Heparin sodium 1000 UI/ml
Injektion Telavancin hydrochloride 7,5 mg/ml
0,9% Natriumchlorid 3254
kompatibel
Injektion Heparin sodium 1000 UI/ml
Injektion Telavancin hydrochloride 7.5 mg/ml
Ringer Lactat - Lösung 3254
Sofortiger Niederschlag nicht kompatibel
Injektion Heparin sodium 1000 UI/ml
Injektion Thiopental sodium 25 mg/ml
0,9% Natriumchlorid 3767
Sofortige Instabilität der Emulsion nicht kompatibel
Injektion Heparin sodium 1 UI/ml
Parenterale Ernährung (mit Lipiden) 1391
kompatibel
Injektion Heparin sodium 100 UI/ml
Injektion Teniposide 0.1 mg/ml
5% Glucose 905
kompatibel
Injektion Heparin sodium 50 UI/ml
Injektion Theophylline 4 mg/ml
Kein 317
kompatibel
Injektion Heparin sodium 100 UI/ml
Injektion Thiopental sodium 25 mg/ml
314
Sofortige Instabilität der Emulsion nicht kompatibel
Injektion Heparin sodium 100 UI/ml
Parenterale Ernährung (mit Lipiden) 1415
kompatibel
Injektion Heparin sodium 500 UI/ml
Injektion Thiopental sodium 60 mg/ml
0,9% Natriumchlorid 3823
kompatibel
Injektion Heparin sodium 100 UI/ml
Injektion Thiotepa 1 mg/ml
5% Glucose 249
kompatibel
Injektion Heparin sodium 50 UI/ml
Injektion Ticarcillin / clavulanic acid 31 mg/ml
Kein 317
kompatibel
Injektion Heparin sodium 500 UI/ml
Injektion Tirofiban 250 µg/ml
0,9% Natriumchlorid 3823
kompatibel
Injektion Heparin sodium 40 & 100 UI/ml
Injektion Tirofiban 50 µg/ml
0,9% Natriumchlorid 1420
kompatibel
Injektion Heparin sodium
5% Glucose 3540
kompatibel
Injektion Heparin sodium
Injektion Tirofiban
1512
kompatibel
Injektion Heparin sodium 40 & 100 UI/ml
Injektion Tirofiban 50 µg/ml
5% Glucose 1420
Nicht spezifizierte Inkompatibilität nicht kompatibel
Injektion Heparin sodium 50 UI/ml
Injektion Tobramycin sulfate 0.8 mg/ml
Kein 317
Nicht spezifizierte Inkompatibilität nicht kompatibel
Injektion Heparin sodium
Injektion Tobramycin sulfate
3540
kompatibel
Injektion Heparin sodium
Injektion Tranexamic acid
5016
Nicht spezifizierte Inkompatibilität nicht kompatibel
Injektion Heparin sodium
Injektion Triflupromazine hydrochloride
3540
kompatibel
Injektion Heparin sodium 500 UI/ml
Injektion Urapidil 5 mg/ml
0,9% Natriumchlorid 3823
Sofortiger Niederschlag nicht kompatibel
Injektion Heparin sodium 0,5 >> 14,3 UI/ml
Injektion Vancomycin hydrochloride 6,9 >> 14,3 mg/ml
Dianéal® PD1 4.25% glucose (Baxter) 2375
Nicht spezifizierte Inkompatibilität nicht kompatibel
Injektion Heparin sodium
Injektion Vancomycin hydrochloride
3588
Nicht spezifizierte Inkompatibilität nicht kompatibel
Injektion Heparin sodium
Injektion Vancomycin hydrochloride
3540
kompatibel
Injektion Heparin sodium 0,5 >> 14,3 UI/ml
Injektion Vancomycin hydrochloride 0,015 >> 6,8 mg/ml
Dianéal® PD2 2.5% glucose (Baxter) 2375
Sofortiger Niederschlag nicht kompatibel
Injektion Heparin sodium 0,5 >> 14,3 UI/ml
Injektion Vancomycin hydrochloride 6,9 >> 14,3 mg/ml
Dianéal® PD2 2.5% glucose (Baxter) 2375
kompatibel
Injektion Heparin sodium 10 UI/ml
Injektion Vancomycin hydrochloride 0.025 mg/ml
Wasser für injektable präparate 3125
kompatibel
Injektion Heparin sodium 0,5 >> 14,3 UI/ml
Injektion Vancomycin hydrochloride 0,015 >> 6,8 mg/ml
Dianéal® PD1 4.25% glucose (Baxter) 2375
Nicht spezifizierte Inkompatibilität nicht kompatibel
Injektion Heparin sodium 50 UI/ml
Injektion Vancomycin hydrochloride 6.6 mg/ml
Kein 317
kompatibel
Injektion Heparin sodium 100 UI/ml
Injektion Vancomycin hydrochloride 0.025 mg/ml
0,9% Natriumchlorid 1414
kompatibel
Injektion Heparin sodium 10 UI/ml
Injektion Vancomycin hydrochloride 2 mg/ml
0,9% Natriumchlorid 2037
Sofortiger Niederschlag nicht kompatibel
Injektion Heparin sodium 100 UI/ml
Injektion Vancomycin hydrochloride 10 mg/ml
Parenterale Ernährung (Lipid-frei) 132
kompatibel
Injektion Heparin sodium 5000 UI/ml
Injektion Vancomycin hydrochloride 2.5 mg/ml
0,9% Natriumchlorid 2037
kompatibel
Injektion Heparin sodium 100 UI/ml
Injektion Vancomycin hydrochloride 0.025 mg/ml
0,9% Natriumchlorid 895
kompatibel
Injektion Heparin sodium 100 UI/ml
Injektion Vasopressin 2 & 4 UI/ml
0,9% Natriumchlorid 1801
kompatibel
Injektion Heparin sodium 100 UI/ml
Injektion Vecuronium bromide 1 mg/ml
314
kompatibel
Injektion Heparin sodium 40 UI/ml
Injektion Vecuronium bromide 0.1 mg/ml
5% Glucose 402
kompatibel
Injektion Heparin sodium 20 UI/ml
Injektion Verapamil hydrochloride 0.08 mg/ml
0,9% Natriumchlorid 1057
kompatibel
Injektion Heparin sodium 20 UI/ml
Injektion Verapamil hydrochloride 0.08 mg/ml
5% Glucose 1057
Nicht spezifizierte Inkompatibilität nicht kompatibel
Injektion Heparin sodium
Injektion Vinblastine sulfate
3540
kompatibel
Injektion Heparin sodium 1000 UI/ml
Injektion Vinblastine sulfate 1 mg/ml
763
kompatibel
Injektion Heparin sodium 1000 UI/ml
Injektion Vincristine sulfate 1 mg/ml
763
kompatibel
Injektion Heparin sodium 100 UI/ml
Injektion Vinorelbine tartrate 1 mg/ml
0,9% Natriumchlorid 84
kompatibel
Injektion Heparin sodium 100 UI/ml
Injektion Vinorelbine tartrate 1 mg/ml
0,9% Natriumchlorid 1070
Sofortiger Niederschlag nicht kompatibel
Injektion Heparin sodium 10 & 100 UI/ml
Injektion Vinorelbine tartrate 2 & 3 mg/ml
0,9% Natriumchlorid 1070
kompatibel
Injektion Heparin sodium 208 UI/ml
Injektion Voriconazole 8 mg/ml
5% Glucose 4254
kompatibel
Injektion Heparin sodium 208 UI/ml
Injektion Voriconazole 8 mg/ml
0,9% Natriumchlorid 4254
kompatibel
Injektion Heparin sodium 100 UI/ml
Injektion Warfarin sodium 2 mg/ml
5% Glucose 315
kompatibel
Injektion Heparin sodium 100 UI/ml
Injektion Zidovudine 4 mg/ml
5% Glucose 337

  Mentions Légales