Dernière mise à jour :
27/01/2026
Anticoagulant   Heparin sodium  
injectable
Stabilité des solutions Stabilité en mélange Facteur influençant la stabilité Compatibilités Voie d’administration Bibliographie pdf
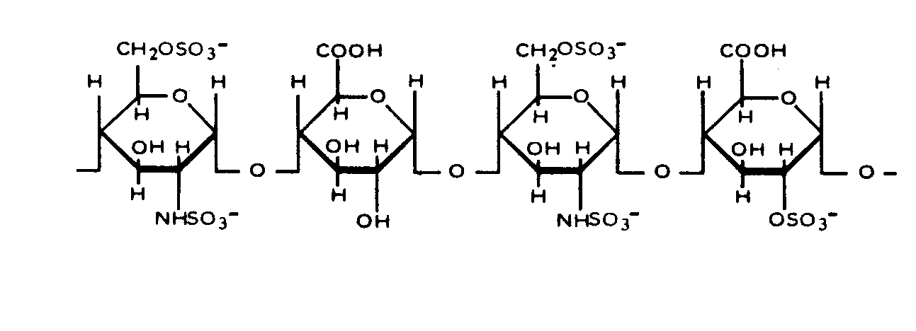
   Structure chimique  

Noms commerciaux   Noms commerciaux     

Les noms commerciaux sont donnés à titre indicatif et la composition en excipients peut être différente selon les pays et selon les laboratoires

Arapin Chili
Ateroclar Italie
Clarisco Italie
Epsoclar Italie
Hepaflex Finlande, Norvège
Hepamax Chili, Colombie, Equateur
Heparin Afrique du sud, Autriche, Canada, Danemark, Etats Unis d’Amérique, Finlande, Grande Bretagne, Grèce, Hongrie, Norvège, Pays bas, Russie, Serbie, Suède, Suisse, Thaïlande, Turquie
Heparine Belgique, France
Heparinised Australie
Heparstad Allemagne
Liquemin Suisse, Turquie
Liquemine Brésil
Monoparin Arabie Saoudite
Normoparin Italie
Nuparin Equateur
Pharepa Italie
Riveparin Argentine
Sobrius Argentine, Equateur
Thrombophob Allemagne
Compatibilités   injectable   Compatibilités : Heparin sodium              
Cet écran indique les compatibilités ou incompatibilités avec, dans ce cas, le type d'incompatibilité (précipitation, changement de couleur, modification d'une émulsion, etc.). Les compatibilités présentées ici sont pour la plupart uniquement physiques, la stabilité chimique de chaque molécule étant rarement évaluée. L'évaluation de ces mélanges a été étudiée pour envisager la possibilité d'une administration en site Y au patient. Ces données ne peuvent pas être utilisées pour préparer des mélanges à l'avance dans des poches de perfusion ou des seringues. Ce type d'informations est disponible dans l'écran « Stabilité en mélange ».
Molécule Solvant Bibliographie
Compatible
injectable Heparin sodium 100 UI/ml
injectable Aciclovir sodium 5 mg/ml
Chlorure de sodium 0,9% 2335
Compatible
injectable Heparin sodium 50 UI/ml
injectable Aciclovir sodium 5 mg/ml
Glucose 5% 336
Compatible
injectable Heparin sodium 100 UI/ml
injectable Aldesleukin 0.0338 MUI/ml
Glucose 5% 36
Compatible
injectable Heparin sodium 100 UI/ml
injectable Allopurinol sodium 3 mg/ml
Chlorure de sodium 0,9% 307
Compatible
injectable Heparin sodium 1 UI/ml
injectable Alprostadil 20 µg/ml
Chlorure de sodium 0,9% 4491
Compatible
injectable Heparin sodium 1 UI/ml
injectable Alprostadil 20 µg/ml
Glucose 5% 4651
Précipitation en 24 heures Incompatible
injectable Heparin sodium 100 UI/ml
injectable Alteplase 1 mg/ml
Eau pour préparation injectable 92
Incompatibilité non précisée Incompatible
injectable Heparin sodium
injectable Alteplase
3540
Précipitation immédiate Incompatible
injectable Heparin sodium 40 UI/ml
injectable Alteplase 0.5 mg/ml
Eau pour préparation injectable 240
Incompatibilité non précisée Incompatible
injectable Heparin sodium
injectable Alteplase
3616
Compatible
injectable Heparin sodium 100 UI/ml
injectable Amifostine 10 mg/ml
Glucose 5% 3
Précipitation immédiate Incompatible
injectable Heparin sodium
injectable Amikacin sulfate
1022
Incompatibilité non précisée Incompatible
injectable Heparin sodium
injectable Amikacin sulfate
3549
Incompatibilité non précisée Incompatible
injectable Heparin sodium
injectable Amikacin sulfate
3540
Incompatibilité non précisée Incompatible
injectable Heparin sodium 500 UI/ml
injectable Amiodarone hydrochloride 15 mg/ml
Chlorure de sodium 0,9% 3823
Incompatibilité non précisée Incompatible
injectable Heparin sodium
injectable Amiodarone hydrochloride
3540
Turbidité immédiate Incompatible
injectable Heparin sodium 500 UI/ml
injectable Amiodarone hydrochloride 15 mg/ml
Chlorure de sodium 0,9% 3463
Incompatibilité non précisée Incompatible
injectable Heparin sodium
injectable Amiodarone hydrochloride
3464
Incompatibilité non précisée Incompatible
injectable Heparin sodium 500 UI/ml
injectable Amiodarone hydrochloride 15 mg/ml
Glucose 5% 3823
Turbidité immédiate Incompatible
injectable Heparin sodium 500 UI/ml
injectable Amiodarone hydrochloride 15 mg/ml
Glucose 5% 3463
Compatible
injectable Heparin sodium 208 UI/ml
injectable Amoxicillin sodium 20.83 & 83.3 mg/ml
Chlorure de sodium 0,9% 4254
Compatible
injectable Heparin sodium 1000 UI/ml
injectable Amoxicillin sodium / clavulanic acid 100/10 mg/ml
3824
Compatible
injectable Heparin sodium
injectable Ampicillin sodium
5088
Compatible
injectable Heparin sodium 50 UI/ml
injectable Ampicillin sodium 20 mg/ml
Aucun 317
Compatible
injectable Heparin sodium 50 UI/ml
injectable Ampicillin sodium - sulbactam sodium 30 mg/ml
Aucun 317
Précipitation immédiate Incompatible
injectable Heparin sodium 40 UI/ml
injectable Amsacrine 1 mg/ml
Glucose 5% 253
Compatible
injectable Heparin sodium 100 UI/ml
injectable Anidulafungin 0.5 mg/ml
Glucose 5% 1982
Précipitation immédiate Incompatible
injectable Heparin sodium
injectable Antithymocyte globulin (rabbit)
4958
Précipitation immédiate Incompatible
injectable Heparin sodium 2 UI/ml
injectable Antithymocyte globulin (rabbit) 0,2 & 0,3 mg/ml
Glucose 5% 1822
Compatible
injectable Heparin sodium 100 UI/ml
injectable Antithymocyte globulin (rabbit) 0,2 & 0,3 mg/ml
Glucose 5% 1822
Compatible
injectable Heparin sodium 2 & 100 UI/ml
injectable Antithymocyte globulin (rabbit) 0,2 & 0,3 mg/ml
Chlorure de sodium 0,9% 1822
Compatible
injectable Heparin sodium 40 UI/ml
injectable Atracurium besylate 0.5 mg/ml
Glucose 5% 402
Compatible
injectable Heparin sodium 1 UI/ml
injectable Atropine sulfate 0.5 mg/ml
Glucose 5% 1228
Compatible
injectable Heparin sodium 500 UI/ml
Nutrition parentérale (mélange ternaire) 4507
Précipitation immédiate Incompatible
injectable Heparin sodium 1000 UI/ml
injectable Amphotericin B cholesteryl sulfate complex 0.83 mg/ml
Glucose 5% 921
Incompatibilité non précisée Incompatible
injectable Heparin sodium
injectable Ampicillin sodium
3540
Compatible
injectable Heparin sodium 10 & 5000 UI/ml
injectable Ampicillin sodium 10 mg/ml
Chlorure de sodium 0,9% 2037
Compatible
injectable Heparin sodium 1 UI/ml
injectable Atropine sulfate 0.5 mg/ml
Ringer lactate 1228
Compatible
injectable Heparin sodium 1 UI/ml
injectable Atropine sulfate 0.5 mg/ml
Chlorure de sodium 0,9% 1228
Compatible
injectable Heparin sodium 100 UI/ml
injectable Aztreonam 40 mg/ml
Glucose 5% 99
Compatible
injectable Heparin sodium 50 UI/ml
injectable Aztreonam 20 mg/ml
Aucun 317
Compatible
injectable Heparin sodium 1 UI/ml
injectable Betamethasone sodium phosphate 3 mg/ml
Chlorure de sodium 0,9% 1228
Compatible
injectable Heparin sodium 1 UI/ml
injectable Betamethasone sodium phosphate 3 mg/ml
Glucose 5% 1228
Compatible
injectable Heparin sodium 1 UI/ml
injectable Betamethasone sodium phosphate 3 mg/ml
Ringer lactate 1228
Compatible
injectable Heparin sodium 100 UI/ml
injectable Bivalirudin 5 mg/ml
Glucose 5% 1713
Précipitation immédiate Incompatible
injectable Heparin sodium 192.3 UI/ml
injectable Blinatumomab 0.125 & 0.375 µg/ml
Chlorure de sodium 0,9% 3976
Compatible
injectable Heparin sodium 1000 UI/ml
injectable Caffeine 10 mg/ml
Aucun 3964
Compatible
injectable Heparin sodium 100 UI/ml
injectable Caffeine 10 mg/ml
Chlorure de sodium 0,9% 4837
Compatible
injectable Heparin sodium 100 UI/ml
injectable Caffeine citrate 20 mg/ml
Chlorure de sodium 0,9% 4837
Précipitation en 30 minutes Incompatible
injectable Heparin sodium 2 UI/ml
injectable Calcium chloride 20 mg/ml
Glucose 5% 4732
Compatible
injectable Heparin sodium 100 UI/ml
injectable Calcium chloride 20 mg/ml
Glucose 5% 4732
Instabilité de l'émulsion immédiate Incompatible
injectable Heparin sodium
injectable Calcium chloride
Nutrition parentérale (mélange ternaire) 1084
Instabilité de l'émulsion immédiate Incompatible
injectable Heparin sodium
injectable Calcium gluconate
Nutrition parentérale (mélange ternaire) 1084
Précipitation immédiate Incompatible
injectable Heparin sodium 100 UI/ml
injectable Caspofungin acetate 0.5 mg/ml
Chlorure de sodium 0,9% 2233
Précipitation immédiate Incompatible
injectable Heparin sodium 100 UI/ml
injectable Caspofungin acetate 0,7 mg/ml
Chlorure de sodium 0,9% 2247
Incompatibilité non précisée Incompatible
injectable Heparin sodium
injectable Cefalotin sodium
3540
Compatible
injectable Heparin sodium 10 & 5000 UI/ml
injectable Cefazolin sodium 10 mg/ml
Chlorure de sodium 0,9% 2037
Compatible
injectable Heparin sodium 50 UI/ml
injectable Cefazolin sodium 20 mg/ml
Aucun 317
Compatible
injectable Heparin sodium 0.667 UI/ml
injectable Cefazolin sodium 0.333 mg/ml
Dianéal® PD2 1.5% glucose (Baxter) 1979
Compatible
injectable Heparin sodium 10 & 50 UI/ml
injectable Cefepime dihydrochloride 4 mg/ml
Chlorure de sodium 0,9% 3548
Compatible
injectable Heparin sodium 10 & 50 UI/ml
injectable Cefepime dihydrochloride 4 mg/ml
Glucose 5% 3548
Compatible
injectable Heparin sodium 1000 UI/ml
injectable Cefiderocol sulfate tosylate 20 mg/mL
Glucose 5% 4528
Compatible
injectable Heparin sodium 1000 UI/ml
injectable Cefiderocol sulfate tosylate 20 mg/mL
Chlorure de sodium 0,9% 4528
Instabilité chimique Incompatible
injectable Heparin sodium 100 UI/ml
injectable Cefmetazole sodium 100 mg/ml
Eau pour préparation injectable 93
Compatible
injectable Heparin sodium 208 UI/ml
injectable Cefotaxime sodium 41.6 & 125 mg/ml
Glucose 5% 4254
Compatible
injectable Heparin sodium 208 UI/ml
injectable Cefotaxime sodium 41.6 & 125 mg/ml
Chlorure de sodium 0,9% 4254
Compatible
injectable Heparin sodium 5000 UI/ml
injectable Cefotaxime sodium 10 mg/ml
Eau pour préparation injectable 3125
Compatible
injectable Heparin sodium 100 UI/ml
injectable Ceftaroline fosamil 2,22 mg/ml
Ringer lactate 3249
Compatible
injectable Heparin sodium 100 UI/ml
injectable Ceftaroline fosamil 2,22 mg/ml
Chlorure de sodium 0,9% 3249
Compatible
injectable Heparin sodium 100 UI/ml
injectable Ceftaroline fosamil 2,22 mg/ml
Glucose 5% 3249
Compatible
injectable Heparin sodium 0.5 UI/ml
injectable Ceftazidime 0.125 mg/ml
Extraneal® (Baxter) 4056
Compatible
injectable Heparin sodium 0.5 UI/ml
injectable Ceftazidime 0.125 mg/ml
Dianéal® PD2 4.25% glucose (Baxter) 4056
Compatible
injectable Heparin sodium 50 UI/ml
injectable Ceftazidime 20 mg/ml
Aucun 317
Compatible
injectable Heparin sodium 0.5 UI/ml
injectable Ceftazidime 0.125 mg/ml
Dianéal® PD2 2.5% glucose (Baxter) 4056
Compatible
injectable Heparin sodium 100 UI/ml
injectable Ceftobiprole medocaril sodium 2 mg/ml
Chlorure de sodium 0,9% 2269
Compatible
injectable Heparin sodium 100 UI/ml
injectable Ceftobiprole medocaril sodium 2 mg/ml
Glucose 5% 2269
Compatible
injectable Heparin sodium 100 UI/ml
injectable Ceftobiprole medocaril sodium 2 mg/ml
Ringer lactate 2269
Compatible
injectable Heparin sodium 1000 UI/ml
injectable Ceftolozane / tazobactam 10/5 mg/ml
Chlorure de sodium 0,9% 3828
Compatible
injectable Heparin sodium 1000 UI/ml
injectable Ceftolozane / tazobactam 10/5 mg/ml
Glucose 5% 3828
Compatible
injectable Heparin sodium 50 UI/ml
injectable Ceftriaxone disodium 20 mg/ml
Aucun 317
Compatible
injectable Heparin sodium 10 & 50 UI/ml
injectable Cefuroxime sodium
Chlorure de sodium 0,9% 3687
Compatible
injectable Heparin sodium 58,34 UI/ml
injectable Chlorpromazine hydrochloride 0,26 mg/ml
Glucose 5% 1289
Compatible
injectable Heparin sodium 1 UI/ml
injectable Chlorpromazine hydrochloride 10 mg/ml
Chlorure de sodium 0,9% 1228
Compatible
injectable Heparin sodium 1 UI/ml
injectable Chlorpromazine hydrochloride 10 mg/ml
Glucose 5% 1228
Incompatibilité non précisée Incompatible
injectable Heparin sodium
injectable Chlorpromazine hydrochloride
3540
Compatible
injectable Heparin sodium 1 UI/ml
injectable Chlorpromazine hydrochloride 10 mg/ml
Ringer lactate 1228
Compatible
injectable Heparin sodium 50 UI/ml
injectable Cimetidine hydrochloride 6 mg/ml
Aucun 317
Compatible
injectable Heparin sodium 5000 & 10000 UI/ml
injectable Ciprofloxacin lactate 0.4 & 0.6 mg/ml
Chlorure de sodium 0,9% 2057
Précipitation immédiate Incompatible
injectable Heparin sodium 10 >> 10000 UI/ml
injectable Ciprofloxacin lactate 1 mg/ml
Chlorure de sodium 0,9% 2057
Précipitation immédiate Incompatible
injectable Heparin sodium 10 & 100 UI/ml
injectable Ciprofloxacin lactate 0.2 mg/ml
Chlorure de sodium 0,9% 2057
Incompatibilité non précisée Incompatible
injectable Heparin sodium
injectable Ciprofloxacin lactate
3540
Précipitation immédiate Incompatible
injectable Heparin sodium 10 >> 1000 UI/ml
injectable Ciprofloxacin lactate 0.4 & 0.6 mg/ml
Chlorure de sodium 0,9% 2057
Compatible
injectable Heparin sodium 1000 >> 10000 UI/ml
injectable Ciprofloxacin lactate 0.2 mg/ml
Chlorure de sodium 0,9% 2057
Précipitation immédiate Incompatible
injectable Heparin sodium 10 >> 5000 UI/ml
injectable Ciprofloxacin lactate 0.8 mg/ml
Chlorure de sodium 0,9% 2057
Compatible
injectable Heparin sodium 10 >> 10000 UI/ml
injectable Ciprofloxacin lactate 0.1 mg/ml
Chlorure de sodium 0,9% 2057
Précipitation immédiate Incompatible
injectable Heparin sodium 100 UI/ml
injectable Ciprofloxacin lactate 2 mg/ml
Chlorure de sodium 0,9% 288
Incompatibilité non précisée Incompatible
injectable Heparin sodium
injectable Ciprofloxacin lactate
3529
Précipitation immédiate Incompatible
injectable Heparin sodium 100 UI/ml
injectable Ciprofloxacin lactate 2 mg/ml
Glucose 5% 288
Précipitation immédiate Incompatible
injectable Heparin sodium 10 >> 1000 UI/ml
injectable Ciprofloxacin lactate 2 mg/ml
Chlorure de sodium 0,9% 289
Turbidité immédiate Incompatible
injectable Heparin sodium 10 UI/ml
injectable Ciprofloxacin lactate 2 mg/ml
Aucun 1393
Compatible
injectable Heparin sodium 10000 UI/ml
injectable Ciprofloxacin lactate 0.8 mg/ml
Chlorure de sodium 0,9% 2057
Compatible
injectable Heparin sodium 100 UI/ml
injectable Cisatracurium besylate 0.1 & 2 mg/ml
Glucose 5% 299
Précipitation immédiate Incompatible
injectable Heparin sodium 100 UI/ml
injectable Cisatracurium besylate 5 mg/ml
Glucose 5% 299
Changement de couleur Incompatible
injectable Heparin sodium 500 UI/ml
injectable Cisatracurium besylate 5 mg/ml
Chlorure de sodium 0,9% 3463
Incompatibilité non précisée Incompatible
injectable Heparin sodium 500 UI/ml
injectable Cisatracurium besylate 5 mg/ml
Chlorure de sodium 0,9% 3823
Incompatibilité non précisée Incompatible
injectable Heparin sodium
injectable Cisatracurium besylate
3540
Compatible
injectable Heparin sodium 100 UI/ml
injectable Cladribine 0.5 mg/ml
NaCl 0,9% + bactériosatique 1496
Compatible
injectable Heparin sodium 100 UI/ml
injectable Cladribine 0.015 mg/ml
Chlorure de sodium 0,9% 1496
Compatible
injectable Heparin sodium 50 UI/ml
injectable Clindamycin phosphate 12 mg/ml
Aucun 317
Compatible
injectable Heparin sodium 50 UI/ml
injectable Clonidine hydrochloride 0.0075 mg/ml
Chlorure de sodium 0,9% 1506
Compatible
injectable Heparin sodium 50 UI/ml
injectable Clonidine hydrochloride 0.0075 mg/ml
Glucose 5% 1506
Compatible
injectable Heparin sodium 100 UI/ml
injectable Cloxacillin sodium 100 mg/ml
Eau pour préparation injectable 3012
Précipitation en 4 heures Incompatible
injectable Heparin sodium 208 UI/ml
injectable Co-trimoxazole 3.2/0.64 & 80/16 mg/ml
Chlorure de sodium 0,9% 4254
Précipitation en 4 heures Incompatible
injectable Heparin sodium 208 UI/ml
injectable Co-trimoxazole 3.2/0.64 & 80/16 mg/ml
Glucose 5% 4254
Compatible
injectable Heparin sodium 1 UI/ml
injectable Cyanocobalamine 0.1 mg/ml
Ringer lactate 1228
Compatible
injectable Heparin sodium 1 UI/ml
injectable Cyanocobalamine 0.1 mg/ml
Glucose 5% 1228
Compatible
injectable Heparin sodium 1 UI/ml
injectable Cyanocobalamine 0.1 mg/ml
Chlorure de sodium 0,9% 1228
Incompatibilité non précisée Incompatible
injectable Heparin sodium
injectable Cytarabine
3540
Incompatibilité non précisée Incompatible
injectable Heparin sodium
injectable Cytarabine
3580
Incompatibilité non précisée Incompatible
injectable Heparin sodium
injectable Dacarbazine
3605
Précipitation immédiate Incompatible
injectable Heparin sodium 100 UI/ml
injectable Dacarbazine 25 mg/ml
Chlorure de sodium 0,9% 860
Incompatibilité non précisée Incompatible
injectable Heparin sodium
injectable Dacarbazine
3267
Incompatibilité non précisée Incompatible
injectable Heparin sodium
injectable Dacarbazine
3540
Compatible
injectable Heparin sodium
injectable Daptomycin
2271
Compatible
injectable Heparin sodium 98 UI/ml
injectable Daptomycin 19,6 mg/ml
Chlorure de sodium 0,9% 1937
Précipitation immédiate Incompatible
injectable Heparin sodium
injectable Daunorubicin hydrochloride
3604
Incompatibilité non précisée Incompatible
injectable Heparin sodium
injectable Daunorubicin hydrochloride
3540
Précipitation immédiate Incompatible
injectable Heparin sodium
injectable Daunorubicin hydrochloride liposome
3577
Turbidité immédiate Incompatible
injectable Heparin sodium
injectable Daunorubicin/cytarabine liposomale 0,4 mg/mL
Chlorure de sodium 0,9% 4654
Compatible
injectable Heparin sodium 373 UI/ml
injectable Defibrotide 8 mg/ml
Chlorure de sodium 0,9% 3728
Compatible
injectable Heparin sodium 50 UI/ml
injectable Dexamethasone sodium phosphate 0.08 mg/ml
Aucun 317
Compatible
injectable Heparin sodium
injectable Dexketoprofen
4981
Compatible
injectable Heparin sodium 100 UI/ml
injectable Dexmedetomidine 4 µg/ml
Chlorure de sodium 0,9% 1712
Compatible
injectable Heparin sodium 10000 UI/ml
injectable Diatrizoate meglumine 283 mg/ml
Aucun 1085
Incompatibilité non précisée Incompatible
injectable Heparin sodium
injectable Diazepam
3540
Compatible
injectable Heparin sodium 100 UI/ml
injectable Diltiazem hydrochloride 1 mg/ml
314
Précipitation immédiate Incompatible
injectable Heparin sodium 20000 UI/ml
injectable Diltiazem hydrochloride 5 mg/ml
Chlorure de sodium 0,9% 198
Compatible
injectable Heparin sodium 100 UI/ml
injectable Diltiazem hydrochloride 1 mg/ml
Glucose 5% 4556
Turbidité immédiate Incompatible
injectable Heparin sodium 100 UI/ml
injectable Diltiazem hydrochloride 5 mg/ml
Glucose 5% 4556
Compatible
injectable Heparin sodium 20000 UI/ml
injectable Diltiazem hydrochloride 1 mg/ml
Chlorure de sodium 0,9% 198
Compatible
injectable Heparin sodium
injectable Diltiazem hydrochloride
5090
Compatible
injectable Heparin sodium 80 >> 10000 UI/ml
injectable Diltiazem hydrochloride 1 & 5 mg/ml
Chlorure de sodium 0,9% 198
Précipitation immédiate Incompatible
injectable Heparin sodium
injectable Dimenhydrinate
2087
Compatible
injectable Heparin sodium 1 UI/ml
injectable Diphenhydramine hydrochloride 50 mg/ml
Chlorure de sodium 0,9% 1228
Compatible
injectable Heparin sodium 1 UI/ml
injectable Diphenhydramine hydrochloride 50 mg/ml
Glucose 5% 1228
Compatible
injectable Heparin sodium 1 UI/ml
injectable Diphenhydramine hydrochloride 50 mg/ml
Ringer lactate 1228
Précipitation en 4 heures Incompatible
injectable Heparin sodium 100 UI/ml
injectable Dobutamine hydrochloride 4 mg/ml
314
Compatible
injectable Heparin sodium 40 UI/ml
injectable Dobutamine hydrochloride 1 mg/ml
Chlorure de sodium 0,9% 1058
Compatible
injectable Heparin sodium 100 UI/ml
injectable Dobutamine hydrochloride 2 mg/ml
Glucose 5% 1041
Précipitation immédiate Incompatible
injectable Heparin sodium 100 UI/ml
injectable Dobutamine hydrochloride 2 mg/ml
Glucose 5% 1352
Turbidité immédiate Incompatible
injectable Heparin sodium 100 UI/ml
injectable Dobutamine hydrochloride 4 mg/ml
Glucose 5% 295
Précipitation immédiate Incompatible
injectable Heparin sodium
injectable Dobutamine hydrochloride
3540
Changement de couleur à 6 heures Incompatible
injectable Heparin sodium 10000 UI/ml
injectable Dobutamine hydrochloride 2 mg/ml
Glucose 5% 1041
Compatible
injectable Heparin sodium 40 UI/ml
injectable Dobutamine hydrochloride 1 mg/ml
Glucose 5% 1058
Compatible
injectable Heparin sodium 50 UI/ml
injectable Dobutamine hydrochloride 1 mg/ml
Aucun 317
Compatible
injectable Heparin sodium 100 UI/ml
injectable Docetaxel 0.9 mg/ml
Glucose 5% 1754
Compatible
injectable Heparin sodium 1 UI/ml
injectable Dopamine hydrochloride 40 mg/ml
Chlorure de sodium 0,9% 1228
Compatible
injectable Heparin sodium 50 UI/ml
injectable Dopamine hydrochloride 1.6 mg/ml
Aucun 317
Compatible
injectable Heparin sodium 100 UI/ml
injectable Dopamine hydrochloride 3.2 mg/ml
314
Compatible
injectable Heparin sodium 1 UI/ml
injectable Dopamine hydrochloride 40 mg/ml
Ringer lactate 1228
Compatible
injectable Heparin sodium 200 UI/ml
injectable Dopamine hydrochloride 0.8 mg/ml
Glucose 5% 738
Compatible
injectable Heparin sodium 1 UI/ml
injectable Dopamine hydrochloride 40 mg/ml
Glucose 5% 1228
Compatible
injectable Heparin sodium 100 UI/ml
injectable Dopamine hydrochloride 3,2 mg/ml
4389
Incompatibilité non précisée Incompatible
injectable Heparin sodium 187 UI/ml
injectable Dopamine hydrochloride 1,7 >> 3,4 mg/ml
Glucose 5% 377
Compatible
injectable Heparin sodium 100 UI/ml
injectable Doripenem 5 mg/ml
Chlorure de sodium 0,9% 2262
Compatible
injectable Heparin sodium 100 UI/ml
injectable Doripenem 5 mg/ml
Glucose 5% 2262
Compatible
injectable Heparin sodium 1 UI/ml
injectable Doxapram hydrochloride 2 mg/ml
Glucose 5% 1802
Incompatibilité non précisée Incompatible
injectable Heparin sodium
injectable Doxorubicin hydrochloride
3540
Précipitation immédiate Incompatible
injectable Heparin sodium
injectable Doxorubicin hydrochloride
3645
Précipitation immédiate Incompatible
injectable Heparin sodium 1000 UI/ml
injectable Doxorubicin hydrochloride 2 mg/ml
763
Compatible
injectable Heparin sodium 1000 UI/ml
injectable Doxorubicin hydrochloride liposome peg 0.4 mg/ml
Glucose 5% 251
Incompatibilité non précisée Incompatible
injectable Heparin sodium 50 UI/ml
injectable Doxycycline hyclate 1 mg/ml
Aucun 317
Précipitation immédiate Incompatible
injectable Heparin sodium 1000 UI/ml
injectable Droperidol 2,5 mg/ml
763
Compatible
injectable Heparin sodium 1 UI/ml
injectable Droperidol 1.25 mg/ml
Chlorure de sodium 0,9% 1228
Compatible
injectable Heparin sodium 1 UI/ml
injectable Droperidol 1.25 mg/ml
Ringer lactate 1228
Compatible
injectable Heparin sodium 1 UI/ml
injectable Droperidol 1.25 mg/ml
Glucose 5% 1228
Incompatibilité non précisée Incompatible
injectable Heparin sodium
injectable Droperidol
3540
Compatible
injectable Heparin sodium 45,45 UI/ml
injectable Enalaprilate 0,011 mg/ml
Glucose 5% 963
Compatible
injectable Heparin sodium 40 UI/ml
injectable Enalaprilate 0.05 mg/ml
Chlorure de sodium 0,9% 1315
Compatible
injectable Heparin sodium 50 UI/ml
injectable Enalaprilate 0.0125 mg/ml
Chlorure de sodium 0,9% 1703
Compatible
injectable Heparin sodium 1 UI/ml
injectable Epinephrine hydrochloride 100 µg/ml
Ringer lactate 1228
Compatible
injectable Heparin sodium 100 UI/ml
injectable Epinephrine hydrochloride 20 µg/ml
314
Compatible
injectable Heparin sodium 1 UI/ml
injectable Epinephrine hydrochloride 100 µg/ml
Chlorure de sodium 0,9% 1228
Compatible
injectable Heparin sodium 1 UI/ml
injectable Epinephrine hydrochloride 100 µg/ml
Glucose 5% 1228
Incompatibilité non précisée Incompatible
injectable Heparin sodium
injectable Epirubicin hydrochloride
3632
Compatible
injectable Heparin sodium
injectable Eptifibatide
3934
Compatible
injectable Heparin sodium 1000 UI/ml
injectable Eravacycline 0,6 mg/ml
Chlorure de sodium 0,9% 4434
Turbidité immédiate Incompatible
injectable Heparin sodium 1 UI/ml
injectable Ergotamine tartrate 0.5 mg/ml
Chlorure de sodium 0,9% 1228
Précipitation en 4 heures Incompatible
injectable Heparin sodium 1 UI/ml
injectable Ergotamine tartrate 0.5 mg/ml
Ringer lactate 1228
Précipitation en 4 heures Incompatible
injectable Heparin sodium 1 UI/ml
injectable Ergotamine tartrate 0.5 mg/ml
Glucose 5% 1228
Compatible
injectable Heparin sodium 50 & 100 UI/ml
injectable Ertapenem 10 & 20 mg/ml
Chlorure de sodium 0,9% 1906
Compatible
injectable Heparin sodium 50 UI/ml
injectable Erythromycin lactobionate 3.3 mg/ml
Aucun 317
Incompatibilité non précisée Incompatible
injectable Heparin sodium
injectable Erythromycin lactobionate
3674
Incompatibilité non précisée Incompatible
injectable Heparin sodium
injectable Erythromycin lactobionate
3540
Compatible
injectable Heparin sodium 50 UI/ml
injectable Esmolol hydrochloride 6 mg/ml
Glucose 5% 174
Compatible
injectable Heparin sodium 40 UI/ml
injectable Esmolol hydrochloride 10 mg/ml
Glucose 5% 384
Compatible
injectable Heparin sodium 500 UI/ml
injectable Esmolol hydrochloride 10 mg/ml
Chlorure de sodium 0,9% 3823
Précipitation immédiate Incompatible
injectable Heparin sodium 1000 UI/ml
injectable Ethanol 70 %
Eau ppi  + bactériostatique 2221
Précipitation immédiate Incompatible
injectable Heparin sodium 1000 UI/ml
injectable Ethanol 70 %
Eau pour préparation injectable 2221
Précipitation en 1 heure Incompatible
injectable Heparin sodium 10 UI/ml
injectable Ethanol 70 %
Eau ppi  + bactériostatique 2221
Précipitation immédiate Incompatible
injectable Heparin sodium 10 UI/ml
injectable Ethanol 70 %
Eau pour préparation injectable 2221
Compatible
injectable Heparin sodium 100 UI/ml
injectable Etoposide phosphate 5 mg/ml
Glucose 5% 1410
Compatible
injectable Heparin sodium 40 UI/ml
injectable Famotidine
Glucose 5% 397
Compatible
injectable Heparin sodium 50 UI/ml
injectable Famotidine 0.2 mg/ml
Glucose 5% 398
Compatible
injectable Heparin sodium 40 UI/ml
injectable Famotidine 2 mg/ml
Chlorure de sodium 0,9% 215
Compatible
injectable Heparin sodium 100 UI/ml
injectable Fenoldopam mesylate 80 µg/ml
Chlorure de sodium 0,9% 1803
Compatible
injectable Heparin sodium 100 UI/ml
injectable Fentanyl citrate 50 µg/ml
4389
Compatible
injectable Heparin sodium 1 UI/ml
injectable Fentanyl citrate 50 µg/ml
Glucose 5% 1228
Compatible
injectable Heparin sodium 1 UI/ml
injectable Fentanyl citrate 50 µg/ml
Ringer lactate 1228
Compatible
injectable Heparin sodium 1 UI/ml
injectable Fentanyl citrate 50 µg/ml
Chlorure de sodium 0,9% 1228
Compatible
injectable Heparin sodium 100 UI/ml
injectable Fentanyl citrate 50 µg/ml
314
Précipitation immédiate Incompatible
injectable Heparin sodium 100 UI/ml
injectable Filgrastim 30 µg/ml
Glucose 5% 244
Compatible
injectable Heparin sodium 1000 UI/ml
injectable Fluconazole 2 mg/ml
Chlorure de sodium 0,9% 496
Compatible
injectable Heparin sodium 50 UI/ml
injectable Fluconazole 2 mg/ml
Aucun 317
Compatible
injectable Heparin sodium 40 >> 1000 UI/ml
injectable Fludarabine phosphate 1 mg/ml
Glucose 5% 492
Compatible
injectable Heparin sodium 50 UI/ml
injectable Flumazenil 0,02 mg/ml
Glucose 5% 187
Compatible
injectable Heparin sodium 5 UI/ml
injectable Fluorouracil 0,8 mg/ml
Chlorure de sodium 0,9% 156
Compatible
injectable Heparin sodium 5 UI/ml
injectable Fluorouracil 0,8 mg/ml
Glucose 5% 156
Compatible
injectable Heparin sodium 1 UI/ml
injectable Fluorouracil 50 mg/ml
Chlorure de sodium 0,9% 1228
Compatible
injectable Heparin sodium 960 UI/ml
injectable Fluorouracil 24 mg/ml
Glucose 5% 163
Compatible
injectable Heparin sodium 1 UI/ml
injectable Fluorouracil 50 mg/ml
Glucose 5% 1228
Compatible
injectable Heparin sodium 1000 UI/ml
injectable Fluorouracil 50 mg/ml
763
Compatible
injectable Heparin sodium 1 UI/ml
injectable Fluorouracil 50 mg/ml
Ringer lactate 1228
Compatible
injectable Heparin sodium 1000 UI/ml
injectable Folinate calcium 10 mg/ml
763
Compatible
injectable Heparin sodium 100 UI/ml
injectable Foscarnet sodium 24 mg/ml
Glucose 5% 1135
Compatible
injectable Heparin sodium 100 UI/ml
injectable Foscarnet sodium 24 mg/ml
Chlorure de sodium 0,9% 1135
Compatible
injectable Heparin sodium 1000 UI/ml
injectable Foscarnet sodium 24 mg/ml
Aucun 73
Compatible
injectable Heparin sodium 1000 UI/ml
injectable Fosfomycin 30 mg/ml
Glucose 5% 4055
Compatible
injectable Heparin sodium 1000 UI/ml
injectable Fosfomycin 30 mg/ml
Chlorure de sodium 0,9% 4055
Compatible
injectable Heparin sodium 100 UI/ml
injectable Furosemide 10 mg/ml
314
Compatible
injectable Heparin sodium 1 UI/ml
injectable Furosemide 10 mg/ml
Chlorure de sodium 0,9% 1228
Précipitation en 5 heures Incompatible
injectable Heparin sodium 100 UI/ml
injectable Furosemide 10 mg/ml
Glucose 5% 4724
Compatible
injectable Heparin sodium 20 UI/ml
injectable Furosemide 1 mg/ml
Chlorure de sodium 0,9% 1232
Compatible
injectable Heparin sodium 58,34 UI/ml
injectable Furosemide 5,21 mg/ml
Glucose 5% 1289
Compatible
injectable Heparin sodium
injectable Furosemide
3465
Compatible
injectable Heparin sodium 1 UI/ml
injectable Furosemide 10 mg/ml
Ringer lactate 1228
Compatible
injectable Heparin sodium 1000 UI/ml
injectable Furosemide 10 mg/ml
763
Compatible
injectable Heparin sodium 10 UI/ml
injectable Furosemide 10 mg/ml
Aucun 3210
Compatible
injectable Heparin sodium 500 UI/ml
injectable Furosemide 10 mg/ml
Chlorure de sodium 0,9% 3823
Compatible
injectable Heparin sodium 500 UI/ml
injectable Furosemide 10 mg/ml
Aucun 3134
Compatible
injectable Heparin sodium 1 UI/ml
injectable Furosemide 10 mg/ml
Glucose 5% 1228
Compatible
injectable Heparin sodium 40 UI/ml
injectable Gallium nitrate 1 mg/ml
Chlorure de sodium 0,9% 91
Compatible
injectable Heparin sodium 100 UI/ml
injectable Gemcitabine hydrochloride 10 mg/ml
Chlorure de sodium 0,9% 1423
Turbidité immédiate Incompatible
injectable Heparin sodium 2500 UI/ml
injectable Gentamicin sulfate 3 mg/ml
4612
Incompatibilité non précisée Incompatible
injectable Heparin sodium
injectable Gentamicin sulfate
3520
Incompatibilité non précisée Incompatible
injectable Heparin sodium
injectable Gentamicin sulfate
3643
Précipitation immédiate Incompatible
injectable Heparin sodium
injectable Gentamicin sulfate
1022
Incompatibilité non précisée Incompatible
injectable Heparin sodium 50 UI/ml
injectable Gentamicin sulfate 2 mg/ml
Aucun 317
Précipitation immédiate Incompatible
injectable Heparin sodium 10 >> 40 UI/ml
injectable Gentamicin sulfate 4 >> 40 mg/ml
1258
Précipitation immédiate Incompatible
injectable Heparin sodium 2500 UI/ml
injectable Gentamicin sulfate 4 & 5 mg/ml
4612
Incompatibilité non précisée Incompatible
injectable Heparin sodium
injectable Gentamicin sulfate
3540
Compatible
injectable Heparin sodium 2500 UI/ml
injectable Gentamicin sulfate 1 & 2 mg/ml
4612
Compatible
injectable Heparin sodium 50 UI/ml
injectable Glycerophosphate disodium
Chlorure de sodium 0,9% 4332
Compatible
injectable Heparin sodium 100 UI/ml
injectable Granisetron hydrochloride 0.05 mg/ml
Glucose 5% 182
Précipitation immédiate Incompatible
injectable Heparin sodium 100 & 200 UI/ml
injectable Haloperidol lactate 5 mg/ml
Glucose 5% 617
Précipitation immédiate Incompatible
injectable Heparin sodium 100 & 200 UI/ml
injectable Haloperidol lactate 5 mg/ml
Chlorure de sodium 0,9% 617
Compatible
injectable Heparin sodium 500 UI/ml
injectable Haloperidol lactate 0.5 mg/ml
Chlorure de sodium 0,9% 3823
Incompatibilité non précisée Incompatible
injectable Heparin sodium
injectable Haloperidol lactate
3540
Compatible
injectable Heparin sodium 100 UI/ml
injectable Hetastarch 60 mg/ml
Solvant spécifique 1721
Incompatibilité non précisée Incompatible
injectable Heparin sodium
injectable Hyaluronidase
3617
Incompatibilité non précisée Incompatible
injectable Heparin sodium
injectable Hyaluronidase
3184
Incompatibilité non précisée Incompatible
injectable Heparin sodium
injectable Hyaluronidase
3540
Compatible
injectable Heparin sodium 1 UI/ml
injectable Hydralazine hydrochloride 20 mg/ml
Glucose 5% 1228
Compatible
injectable Heparin sodium 1 UI/ml
injectable Hydralazine hydrochloride 20 mg/ml
Ringer lactate 1228
Compatible
injectable Heparin sodium 1 UI/ml
injectable Hydralazine hydrochloride 20 mg/ml
Chlorure de sodium 0,9% 1228
Compatible
injectable Heparin sodium 100 UI/ml
injectable Hydrocortisone sodium succinate 125 mg/ml
Chlorure de sodium 0,9% 132
Incompatibilité non précisée Incompatible
injectable Heparin sodium
injectable Hydrocortisone sodium succinate
3540
Compatible
injectable Heparin sodium 50 UI/ml
injectable Hydrocortisone sodium succinate 2 mg/ml
Aucun 317
Compatible
injectable Heparin sodium 100 UI/ml
injectable Hydrocortisone sodium succinate 125 mg/ml
Glucose 5% 132
Compatible
injectable Heparin sodium
injectable Hydromorphone hydrochloride <12.5 mg/ml
Chlorure de sodium 0,9% 66
Compatible
injectable Heparin sodium 100 UI/ml
injectable Hydromorphone hydrochloride 1 mg/ml
314
Précipitation immédiate Incompatible
injectable Heparin sodium <12,5 UI/ml
injectable Hydromorphone hydrochloride >25 mg/ml
Chlorure de sodium 0,9% 66
Compatible
injectable Heparin sodium
injectable Hydromorphone hydrochloride <12.5 mg/ml
Eau pour préparation injectable 66
Précipitation immédiate Incompatible
injectable Heparin sodium <1 UI/ml
injectable Hydromorphone hydrochloride >10 mg/ml
Eau pour préparation injectable 66
Précipitation immédiate Incompatible
injectable Heparin sodium <12,5 UI/ml
injectable Hydromorphone hydrochloride >25 mg/ml
Eau pour préparation injectable 66
Compatible
injectable Heparin sodium 100 UI/ml
injectable Ibuprofen lysinate 10 mg/ml
Eau pour préparation injectable 4419
Compatible
injectable Heparin sodium 10 UI/ml
injectable Ibuprofen lysinate 10 mg/ml
Eau pour préparation injectable 4419
Turbidité immédiate Incompatible
injectable Heparin sodium 100 & 1000 UI/ml
injectable Idarubicin hydrochloride 1 mg/ml
Chlorure de sodium 0,9% 491
Précipitation immédiate Incompatible
injectable Heparin sodium
injectable Idarubicin hydrochloride
5075
Compatible
injectable Heparin sodium
injectable Imipenem-Cilastatin / Relebactam
4809
Compatible
injectable Heparin sodium 1000 UI/ml
injectable Imipenem-Cilastatin / Relebactam 5 mg/ml
Chlorure de sodium 0,9% 4433
Compatible
injectable Heparin sodium 1000 UI/ml
injectable Imipenem-Cilastatin / Relebactam 5 mg/ml
Glucose 5% 4433
Compatible
injectable Heparin sodium 500 UI/ml
injectable Insulin 2 UI/ml
Chlorure de sodium 0,9% 3823
Compatible
injectable Heparin sodium 60 UI/ml
injectable Insulin 0.2 UI/ml
Chlorure de sodium 0,9% 129
Compatible
injectable Heparin sodium 50 & 400 UI/ml
injectable Insulin aspart 1 UI/ml
Glucose 5% 1508
Compatible
injectable Heparin sodium 50 & 400 UI/ml
injectable Insulin aspart 1 UI/ml
Chlorure de sodium 0,9% 1508
Compatible
injectable Heparin sodium 10000 UI/ml
injectable Iohexol 300 mg I/ml
Aucun 1085
Compatible
injectable Heparin sodium 10000 UI/ml
injectable Ioxaglate 320 mg I/ml
Aucun 1085
Turbidité immédiate Incompatible
injectable Heparin sodium 1000 UI/ml
injectable Isavuconazonium sulfate 1.5 mg/ml
Chlorure de sodium 0,9% 3829
Turbidité immédiate Incompatible
injectable Heparin sodium 1000 UI/ml
injectable Isavuconazonium sulfate 1.5 mg/ml
Glucose 5% 3829
Compatible
injectable Heparin sodium 1 UI/ml
injectable Isoprenaline hydrochloride 0.2 mg/ml
Glucose 5% 1228
Compatible
injectable Heparin sodium 1 UI/ml
injectable Isoprenaline hydrochloride 0.2 mg/ml
Chlorure de sodium 0,9% 1228
Compatible
injectable Heparin sodium 1 UI/ml
injectable Isoprenaline hydrochloride 0.2 mg/ml
Ringer lactate 1228
Incompatibilité non précisée Incompatible
injectable Heparin sodium
injectable Kanamycin sulfate
3540
Précipitation immédiate Incompatible
injectable Heparin sodium 25000 UI/ml
injectable Ketamine hydrochloride 50 mg/ml
2109
Compatible
injectable Heparin sodium 100 UI/ml
injectable Labetalol hydrochloride 2 mg/ml
314
Incompatibilité non précisée Incompatible
injectable Heparin sodium 500 UI/ml
injectable Labetalol hydrochloride 4 mg/ml
Chlorure de sodium 0,9% 3823
Incompatibilité non précisée Incompatible
injectable Heparin sodium
injectable Labetalol hydrochloride
3540
Précipitation immédiate Incompatible
injectable Heparin sodium 100 UI/ml
injectable Labetalol hydrochloride 5 mg/ml
Glucose 5% 295
Compatible
injectable Heparin sodium 40 UI/ml
injectable Labetalol hydrochloride 1 mg/ml
Glucose 5% 386
Compatible
injectable Heparin sodium 100 UI/ml
injectable Lansoprazole 0.55 mg/ml
Chlorure de sodium 0,9% 1625
Turbidité en 4 heures Incompatible
injectable Heparin sodium 100 UI/ml
injectable Levetiracetam 100 mg/ml
Glucose 5% 4108
Turbidité immédiate Incompatible
injectable Heparin sodium 208,3 UI/ml
injectable Levetiracetam 15 mg/ml
Chlorure de sodium 0,9% 4698
Incompatibilité non précisée Incompatible
injectable Heparin sodium
injectable Levofloxacine
3920
Précipitation immédiate Incompatible
injectable Heparin sodium 10 UI/ml
injectable Levofloxacine 5 mg/ml
Glucose 5% 1072
Incompatibilité non précisée Incompatible
injectable Heparin sodium
injectable Levomepromazine
3540
Compatible
injectable Heparin sodium 100 UI/ml
injectable Levosimendan 2,5 mg/ml
Glucose 5% 4389
Compatible
injectable Heparin sodium 50 UI/ml
injectable Lidocaine hydrochloride 4 mg/ml
Aucun 317
Compatible
injectable Heparin sodium 1000 UI/ml
injectable Linezolid 2 mg/ml
Aucun 1925
Compatible
injectable Heparin sodium 10 >> 10000 UI/ml
injectable Linezolid 0.2 >> 1.92 mg/ml
Chlorure de sodium 0,9% 2057
Compatible
injectable Heparin sodium 417 UI/ml
injectable Lorazepam 0.33 mg/ml
Chlorure de sodium 0,9% 186
Compatible
injectable Heparin sodium 100 UI/ml
injectable Lorazepam 0.5 mg/ml
314
Compatible
injectable Heparin sodium 1 UI/ml
injectable Magnesium sulfate 5 mg/ml
Chlorure de sodium 0,9% 1228
Compatible
injectable Heparin sodium 50 UI/ml
injectable Magnesium sulfate 15.6 mg/ml
Chlorure de sodium 0,9% 2100
Compatible
injectable Heparin sodium 1 UI/ml
injectable Magnesium sulfate 5 mg/ml
Ringer lactate 1228
Compatible
injectable Heparin sodium 1 UI/ml
injectable Magnesium sulfate 5 mg/ml
Glucose 5% 1228
Compatible
injectable Heparin sodium 100 UI/ml
injectable Melphalan 0.1 mg/ml
Chlorure de sodium 0,9% 169
Compatible
injectable Heparin sodium 0.5 UI/ml
injectable Meropenem 0.5 mg/ml
Dianéal® 4.25% glucose (Baxter) 4180
Compatible
injectable Heparin sodium 0.5 UI/ml
injectable Meropenem 0.5 mg/ml
Extraneal® (Baxter) 4180
Compatible
injectable Heparin sodium 1000 UI/ml
injectable Meropenem 50 mg/ml
Eau pour préparation injectable 4319
Compatible
injectable Heparin sodium 1 UI/ml
injectable Meropenem 1 & 50 mg/ml
Chlorure de sodium 0,9% 266
Compatible
injectable Heparin sodium 0.5 UI/ml
injectable Meropenem 0.5 mg/ml
Dianéal® 1.5% glucose (Baxter) 4180
Compatible
injectable Heparin sodium 20 UI/ml
injectable Meropenem 1 & 20 mg/ml
Chlorure de sodium 0,9% 266
Compatible
injectable Heparin sodium 0.5 UI/ml
injectable Meropenem 0.5 mg/ml
Dianéal® 2.5% glucose (Baxter) 4180
Compatible
injectable Heparin sodium 50 UI/ml
injectable Methadone hydrochloride 0.2 mg/ml
Glucose 5% 1506
Compatible
injectable Heparin sodium 50 UI/ml
injectable Methadone hydrochloride 0.2 mg/ml
Chlorure de sodium 0,9% 1506
Incompatibilité non précisée Incompatible
injectable Heparin sodium
injectable Methotrexate sodium
3637
Compatible
injectable Heparin sodium 1000 UI/ml
injectable Methotrexate sodium 25 mg/ml
763
Compatible
injectable Heparin sodium 500 UI/ml
injectable Methotrexate sodium 30 mg/ml
Chlorure de sodium 0,9% 150
Compatible
injectable Heparin sodium 100 UI/ml
injectable Methylprednisolone sodium succinate 5 mg/ml
Glucose 5% 132
Compatible
injectable Heparin sodium 50 UI/ml
injectable Methylprednisolone sodium succinate 2.5 mg/ml
Aucun 317
Compatible
injectable Heparin sodium 100 UI/ml
injectable Methylprednisolone sodium succinate 5 mg/ml
Chlorure de sodium 0,9% 132
Compatible
injectable Heparin sodium 1000 UI/ml
injectable Metoclopramide hydrochloride 5 mg/ml
763
Instabilité chimique Incompatible
injectable Heparin sodium 1000 UI/ml
injectable Metoprolol tartrate 1 mg/ml
Aucun 2346
Compatible
injectable Heparin sodium 50 UI/ml
injectable Metronidazole 5 mg/ml
Aucun 317
Compatible
injectable Heparin sodium 100 UI/ml
injectable Micafungin 1.5 mg/ml
Chlorure de sodium 0,9% 2108
Turbidité immédiate Incompatible
injectable Heparin sodium 208,3 UI/ml
injectable Midazolam hydrochloride 1 mg/ml
Chlorure de sodium 0,9% 4698
Compatible
injectable Heparin sodium 500 UI/ml
injectable Midazolam hydrochloride 2.1 mg/ml
Chlorure de sodium 0,9% 3823
Compatible
injectable Heparin sodium 417 UI/ml
injectable Midazolam hydrochloride 5 mg/ml
Aucun 186
Compatible
injectable Heparin sodium 100 UI/ml
injectable Midazolam hydrochloride 5 mg/ml
4389
Compatible
injectable Heparin sodium 100 UI/ml
injectable Midazolam hydrochloride 2 mg/ml
314
Compatible
injectable Heparin sodium 200 UI/ml
injectable Milrinone lactate 0.8 mg/ml
Glucose 5% 813
Compatible
injectable Heparin sodium 100 UI/ml
injectable Milrinone lactate 0.2 mg/ml
314
Compatible
injectable Heparin sodium 1 UI/ml
injectable Minocycline hydrochloride 0.2 mg/ml
Glucose 5% 1228
Compatible
injectable Heparin sodium 1 UI/ml
injectable Minocycline hydrochloride 0.2 mg/ml
Ringer lactate 1228
Compatible
injectable Heparin sodium 1 UI/ml
injectable Minocycline hydrochloride 0.2 mg/ml
Chlorure de sodium 0,9% 1228
Incompatibilité non précisée Incompatible
injectable Heparin sodium
injectable Mitoxantrone dihydrochloride
3640
Incompatibilité non précisée Incompatible
injectable Heparin sodium
injectable Morphine hydrochloride
5069
Compatible
injectable Heparin sodium 100 & 200 UI/ml
injectable Morphine sulfate 1 >> 5 mg/ml
Eau pour préparation injectable 341
Compatible
injectable Heparin sodium 1 UI/ml
injectable Morphine sulfate 15 mg/ml
Ringer lactate 1228
Incompatibilité non précisée Incompatible
injectable Heparin sodium
injectable Morphine sulfate
3531
Compatible
injectable Heparin sodium 1 UI/ml
injectable Morphine sulfate 15 mg/ml
Glucose 5% 1228
Compatible
injectable Heparin sodium 1 UI/ml
injectable Morphine sulfate 15 mg/ml
Chlorure de sodium 0,9% 1228
Compatible
injectable Heparin sodium 60 UI/ml
injectable Morphine sulfate 1 mg/ml
Chlorure de sodium 0,9% 406
Compatible
injectable Heparin sodium 100 & 200 UI/ml
injectable Morphine sulfate 10 mg/ml
Eau pour préparation injectable 341
Compatible
injectable Heparin sodium 100 UI/ml
injectable Morphine sulfate 2 mg/ml
314
Instabilité chimique Incompatible
injectable Heparin sodium 100 & 200 UI/ml
injectable Morphine sulfate 1 >> 10 mg/ml
Chlorure de sodium 0,9% 341
Compatible
injectable Heparin sodium 1000 UI/ml
injectable N-acetylcysteine 200 mg/ml
Aucun 3766
Compatible
injectable Heparin sodium 50 UI/ml
injectable Nafcillin sodium 20 mg/ml
Aucun 317
Compatible
injectable Heparin sodium 1000 UI/ml
injectable Naloxone hydrochloride 0.4 mg/ml
Aucun 3408
Turbidité immédiate Incompatible
injectable Heparin sodium 208,3 UI/ml
injectable Nefopam 1,7 mg/ml
Chlorure de sodium 0,9% 4698
Compatible
injectable Heparin sodium 1 UI/ml
injectable Neostigmine methylsulfate 0.5 mg/ml
Glucose 5% 1228
Compatible
injectable Heparin sodium 1 UI/ml
injectable Neostigmine methylsulfate 0.5 mg/ml
Chlorure de sodium 0,9% 1228
Compatible
injectable Heparin sodium 1 UI/ml
injectable Neostigmine methylsulfate 0.5 mg/ml
Ringer lactate 1228
Incompatibilité non précisée Incompatible
injectable Heparin sodium
injectable Nesiritide
5048
Incompatibilité non précisée Incompatible
injectable Heparin sodium
injectable Netilmicin sulfate
3540
Précipitation immédiate Incompatible
injectable Heparin sodium
injectable Netilmicin sulfate
1022
Précipitation immédiate Incompatible
injectable Heparin sodium 100 UI/ml
injectable Nicardipine hydrochloride 1 mg/ml
314
Incompatibilité non précisée Incompatible
injectable Heparin sodium
injectable Nicardipine hydrochloride
3540
Compatible
injectable Heparin sodium 40 UI/ml
injectable Nicardipine hydrochloride 0.1 mg/ml
Glucose 5% 1490
Compatible
injectable Heparin sodium 40 UI/ml
injectable Nicardipine hydrochloride 0.1 mg/ml
Chlorure de sodium 0,9% 1490
Précipitation immédiate Incompatible
injectable Heparin sodium 100 UI/ml
injectable Nitroglycerin 1,6 >> 3,25 mg/ml
Glucose 5% 295
Compatible
injectable Heparin sodium 500 UI/ml
injectable Nitroglycerin 0.2 mg/ml
Chlorure de sodium 0,9% 3823
Dégagement gazeux Incompatible
injectable Heparin sodium 50 UI/ml
injectable Nitroglycerin 0.2 mg/ml
Aucun 317
Compatible
injectable Heparin sodium 500 UI/ml
injectable Nitroglycerin 0.2 mg/ml
Glucose 5% 3823
Compatible
injectable Heparin sodium 100 UI/ml
injectable Nitroglycerin 0.4 mg/ml
314
Compatible
injectable Heparin sodium 50 UI/ml
injectable Nitroprusside sodium 0.2 mg/ml
Aucun 317
Compatible
injectable Heparin sodium 100 UI/ml
injectable Nitroprusside sodium 0.2 mg/ml
Glucose 5% 295
Compatible
injectable Heparin sodium 100 UI/ml
injectable Norepinephrine bitartrate 0.128 mg/ml
314
Incompatibilité non précisée Incompatible
injectable Heparin sodium
injectable Ofloxacin
3562
Compatible
injectable Heparin sodium 40 UI/ml
injectable Ondansetron hydrochloride 1 mg/ml
Chlorure de sodium 0,9% 334
Incompatible
injectable Heparin sodium 200 UI/ml
injectable Ondansetron hydrochloride 1.6 mg/ml
1699
Turbidité immédiate Incompatible
injectable Heparin sodium 100 UI/ml
injectable Oritavancin 0.8 >>1.2 mg/ml
Glucose 5% 3152
Précipitation en 4 heures Incompatible
injectable Heparin sodium 100 UI/ml
injectable Oritavancin 2 mg/ml
Glucose 5% 3152
Compatible
injectable Heparin sodium 208 UI/ml
injectable Ornidazole 31.25 mg/ml
Chlorure de sodium 0,9% 4254
Compatible
injectable Heparin sodium 1 UI/ml
injectable Oxacillin sodium 100 mg/ml
Glucose 5% 1228
Compatible
injectable Heparin sodium 1 UI/ml
injectable Oxacillin sodium 100 mg/ml
Ringer lactate 1228
Compatible
injectable Heparin sodium 1 UI/ml
injectable Oxacillin sodium 100 mg/ml
Chlorure de sodium 0,9% 1228
Compatible
injectable Heparin sodium 100 UI/ml
injectable Oxaliplatin 0,5 mg/ml
Glucose 5% 1662
Incompatibilité non précisée Incompatible
injectable Heparin sodium
injectable Oxytetracycline hydrochloride
3540
Compatible
injectable Heparin sodium 100 UI/ml
injectable Paclitaxel 1.2 mg/ml
Glucose 5% 248
Compatible
injectable Heparin sodium 100 UI/ml
injectable Palonosetron hydrochloride 50 µg/ml
Glucose 5% 2279
Compatible
injectable Heparin sodium 40 UI/ml
injectable Pancuronium bromide 0.05 mg/ml
Glucose 5% 402
Précipitation en 1 heure Incompatible
injectable Heparin sodium
injectable Pantoprazole sodium
2090
Compatible
injectable Heparin sodium 208,3 UI/ml
injectable Paracetamol 10 mg/ml
Chlorure de sodium 0,9% 4698
Compatible
injectable Heparin sodium 1000 UI/ml
injectable Paracetamol 10 mg/ml
4742
Compatible
injectable Heparin sodium 100 UI/ml
injectable Pemetrexed disodium 20 mg/ml
Chlorure de sodium 0,9% 1953
Incompatibilité non précisée Incompatible
injectable Heparin sodium
injectable Penicillin G potassium
3540
Compatible
injectable Heparin sodium 50 UI/ml
injectable Penicillin G potassium 0.04 MUI/ml
Aucun 317
Incompatibilité non précisée Incompatible
injectable Heparin sodium
injectable Penicillin G sodium
3540
Compatible
injectable Heparin sodium 100 UI/ml
injectable Pentoxifyllin 5 mg/ml
Chlorure de sodium 0,9% 4538
Turbidité immédiate Incompatible
injectable Heparin sodium
injectable Pethidine hydrochloride
3525
Compatible
injectable Heparin sodium 60 UI/ml
injectable Pethidine hydrochloride 10 mg/ml
Chlorure de sodium 0,9% 406
Incompatibilité non précisée Incompatible
injectable Heparin sodium
injectable Pethidine hydrochloride
3540
Précipitation immédiate Incompatible
injectable Heparin sodium 50 UI/ml
injectable Phenytoin sodium 2 mg/ml
Aucun 317
Compatible
injectable Heparin sodium 50 UI/ml
injectable Piperacillin sodium 60 mg/ml
Aucun 317
Compatible
injectable Heparin sodium 10 & 5000 UI/ml
injectable Piperacillin sodium 40 mg/ml
Chlorure de sodium 0,9% 2037
Compatible
injectable Heparin sodium 0.5 UI/ml
injectable Piperacillin sodium / tazobactam 0.5/0.0625 mg/ml
Dianéal® 2.5% glucose (Baxter) 4180
Compatible
injectable Heparin sodium 0.5 UI/ml
injectable Piperacillin sodium / tazobactam 0.5/0.0625 mg/ml
Dianéal® 4.25% glucose (Baxter) 4180
Turbidité immédiate Incompatible
injectable Heparin sodium 1000 UI/ml
injectable Plazomicin sulfate 24 mg/ml
Chlorure de sodium 0,9% 4145
Incompatibilité non précisée Incompatible
injectable Heparin sodium
injectable Polymyxine B
3540
Compatible
injectable Heparin sodium 50 UI/ml
injectable Potassium chloride 200 mEq/l
Aucun 317
Compatible
injectable Heparin sodium 1 UI/ml
injectable Procainamide hydrochloride 100 mg/ml
Ringer lactate 1228
Compatible
injectable Heparin sodium 1 UI/ml
injectable Procainamide hydrochloride 100 mg/ml
Chlorure de sodium 0,9% 1228
Compatible
injectable Heparin sodium 1 UI/ml
injectable Prochlorperazine edysilate 5 mg/ml
Chlorure de sodium 0,9% 1228
Compatible
injectable Heparin sodium 3 >> 20 UI/ml
Nutrition parentérale (mélange binaire) 791
Compatible
injectable Heparin sodium 100 UI/ml
Nutrition parentérale (mélange binaire) 301
Compatible
injectable Heparin sodium 500 UI/ml
Nutrition parentérale (mélange binaire) 939
Compatible
injectable Heparin sodium 1 UI/ml
injectable Prochlorperazine edysilate 5 mg/ml
Ringer lactate 1228
Compatible
injectable Heparin sodium 1 UI/ml
injectable Promethazine hydrochloride 50 mg/ml
Chlorure de sodium 0,9% 1228
Compatible
injectable Heparin sodium 1 UI/ml
injectable Promethazine hydrochloride 50 mg/ml
Ringer lactate 1228
Compatible
injectable Heparin sodium 1 UI/ml
injectable Propranolol hydrochloride 1 mg/ml
Ringer lactate 1228
Compatible
injectable Heparin sodium 1 UI/ml
injectable Propranolol hydrochloride 1 mg/ml
Chlorure de sodium 0,9% 1228
Compatible
injectable Heparin sodium 50 UI/ml
injectable Ranitidine hydrochloride 0,5 mg/ml
Glucose 5% 396
Compatible
injectable Heparin sodium 10 & 40 UI/ml
injectable Ranitidine hydrochloride 0.05 & 2 mg/ml
Chlorure de sodium 0,9% 214
Compatible
injectable Heparin sodium 50 UI/ml
injectable Ranitidine hydrochloride 1 mg/ml
Aucun 317
Compatible
injectable Heparin sodium 1000 UI/ml
injectable Remdesivir 1 mg/ml
Chlorure de sodium 0,9% 4768
Compatible
injectable Heparin sodium 100 UI/ml
injectable Remifentanil hydrochloride 25 & 250 µg/ml
Chlorure de sodium 0,9% 59
Compatible
injectable Heparin sodium 500 UI/ml
injectable Remifentanil hydrochloride 100 µg/ml
Chlorure de sodium 0,9% 3823
Compatible
injectable Heparin sodium 500 UI/ml
NaHCO3 150
Compatible
injectable Heparin sodium 1.4 UI/ml
injectable Piperacillin sodium / tazobactam 1.38/0.1725 mg/ml
Physionéal® 2.27 (Baxter) 4180
Compatible
injectable Heparin sodium 1.4 UI/ml
injectable Piperacillin sodium / tazobactam 1.38/0.1725 mg/ml
Physionéal® 1.36 (Baxter) 4180
Compatible
injectable Heparin sodium 0.5 UI/ml
injectable Piperacillin sodium / tazobactam 0.5/0.0625 mg/ml
Dianéal® 1.5% glucose (Baxter) 4180
Compatible
injectable Heparin sodium 1.4 UI/ml
injectable Piperacillin sodium / tazobactam 1.38/0.1725 mg/ml
Physionéal® 3.86 (Baxter) 4180
Compatible
injectable Heparin sodium 100 UI/ml
injectable Piperacillin sodium / tazobactam 40/5 mg/ml
Glucose 5% 81
Compatible
injectable Heparin sodium 0.5 UI/ml
injectable Piperacillin sodium / tazobactam 0.5/0.0625 mg/ml
Extraneal® (Baxter) 4180
Compatible
injectable Heparin sodium 500 UI/ml
injectable Potassium chloride 10 mEq/l
Chlorure de sodium 0,9% 3823
Compatible
injectable Heparin sodium 58,34 UI/ml
injectable Potassium chloride 1250 mEq/l
Glucose 5% 1289
Compatible
injectable Heparin sodium
injectable Potassium phosphate
3781
Compatible
injectable Heparin sodium 1 UI/ml
injectable Procainamide hydrochloride 100 mg/ml
Glucose 5% 1228
Compatible
injectable Heparin sodium 1 UI/ml
injectable Prochlorperazine edysilate 5 mg/ml
Glucose 5% 1228
Compatible
injectable Heparin sodium 1 UI/ml
injectable Promethazine hydrochloride 50 mg/ml
Glucose 5% 1228
Incompatibilité non précisée Incompatible
injectable Heparin sodium
injectable Promethazine hydrochloride
3540
Instabilité de l'émulsion en 1 heure Incompatible
injectable Heparin sodium 1000 UI/ml
injectable Propofol
660
Compatible
injectable Heparin sodium 100 UI/ml
injectable Propofol 10 mg/ml
Aucun 300
Compatible
injectable Heparin sodium 1 UI/ml
injectable Propranolol hydrochloride 1 mg/ml
Glucose 5% 1228
Compatible
injectable Heparin sodium 100 UI/ml
injectable Ranitidine hydrochloride 1 mg/ml
314
Compatible
injectable Heparin sodium 10 & 40 UI/ml
injectable Ranitidine hydrochloride 0.05 & 2 mg/ml
Glucose 5% 214
Compatible
injectable Heparin sodium 416.7 UI/ml
injectable Remifentanil hydrochloride 120 µg/ml
Glucose 5% 3294
Compatible
injectable Heparin sodium 416.7 UI/ml
injectable Remifentanil hydrochloride 120 µg/ml
Glucose 5% 3176
Incompatibilité non précisée Incompatible
injectable Heparin sodium
injectable Reteplase
2212
Compatible
injectable Heparin sodium 20,458 >> 28,000 UI/ml
Nutrition parentérale (mélange ternaire) 1868
Incompatibilité non précisée Incompatible
injectable Heparin sodium
injectable Reteplase
3540
Compatible
injectable Heparin sodium 1000 UI/ml
injectable Salbutamol sulfate 1 mg/ml
Aucun 3216
Compatible
injectable Heparin sodium 100 UI/ml
injectable Sargramostim 6 §15 µg/ml
Chlorure de sodium 0,9% 891
Compatible
injectable Heparin sodium 100 UI/ml
injectable Sargramostim 10 µg/ml
Chlorure de sodium 0,9% 335
Compatible
injectable Heparin sodium 1 UI/ml
injectable Scopolamine hydrobromide 0.86 mg/ml
Chlorure de sodium 0,9% 1228
Compatible
injectable Heparin sodium 1 UI/ml
injectable Scopolamine hydrobromide 0.86 mg/ml
Ringer lactate 1228
Compatible
injectable Heparin sodium 1 UI/ml
injectable Scopolamine hydrobromide 0.86 mg/ml
Glucose 5% 1228
Compatible
injectable Heparin sodium 100 UI/ml
injectable Sildenafil citrate 0,6 mg/ml
Glucose 5% 4845
Compatible
injectable Heparin sodium 100 UI/ml
injectable Sildenafil citrate 0,06 mg/ml
Glucose 5% 4845
Compatible
injectable Heparin sodium 1 UI/ml
injectable Sildenafil citrate 0,4 mg/ml
Glucose 5% 3923
Compatible
injectable Heparin sodium 2 UI/ml
injectable Sildenafil citrate 0,6 mg/ml
Glucose 5% 4845
Compatible
injectable Heparin sodium
Chlorure de sodium 0,9% 3540
Instabilité de l'émulsion immédiate Incompatible
injectable Heparin sodium 100 UI/ml
Nutrition parentérale (mélange ternaire) 132
Turbidité immédiate Incompatible
injectable Heparin sodium 100 UI/ml
injectable Sildenafil citrate 0,6 mg/ml
Glucose 5% 4845
Compatible
injectable Heparin sodium 500 UI/ml
injectable Sodium bicarbonate 84 mg/ml
Chlorure de sodium 0,9% 3823
Compatible
injectable Heparin sodium
injectable Sodium bicarbonate
3466
Compatible
injectable Heparin sodium 500 UI/ml
injectable Sodium bicarbonate 14 mg/ml
Aucun 150
Compatible
injectable Heparin sodium 500 UI/ml
injectable Sodium bicarbonate 84 mg/ml
Aucun 3212
Compatible
injectable Heparin sodium 208 UI/ml
injectable Spiramycine adipate 0.0625 MUI/ml
Chlorure de sodium 0,9% 4254
Compatible
injectable Heparin sodium 100 UI/ml
injectable Streptokinase 30000 UI/ml
Glucose 5% 92
Incompatibilité non précisée Incompatible
injectable Heparin sodium
injectable Streptomycin sulfate
3540
Compatible
injectable Heparin sodium 416.7 UI/ml
injectable Sufentanil citrate 0.005 mg/ml
Glucose 5% 3294
Compatible
injectable Heparin sodium 1000 UI/ml
injectable Sugammadex 100 mg/ml
Aucun 3372
Compatible
injectable Heparin sodium 10 UI/ml
injectable Tacrolimus 1000 µg/ml
Chlorure de sodium 0,9% 479
Compatible
injectable Heparin sodium 1000 UI/ml
Ringer lactate 4603
Compatible
injectable Heparin sodium 1000 UI/ml
injectable Sulbactam/durlobactam 15/15 mg/ml
Chlorure de sodium 0,9% 4801
Compatible
injectable Heparin sodium 1000 UI/ml
injectable Tedizolid phosphate 0.8 mg/ml
Chlorure de sodium 0,9% 3827
Compatible
injectable Heparin sodium 10 >> 10000 UI/ml
injectable Teicoplanine 0.02 >> 10 mg/ml
Chlorure de sodium 0,9% 2057
Turbidité immédiate Incompatible
injectable Heparin sodium 1000 UI/ml
injectable Telavancin hydrochloride 7,5 mg/ml
Glucose 5% 3254
Turbidité immédiate Incompatible
injectable Heparin sodium 1000 UI/ml
injectable Telavancin hydrochloride 7,5 mg/ml
Chlorure de sodium 0,9% 3254
Compatible
injectable Heparin sodium 1000 UI/ml
injectable Telavancin hydrochloride 7.5 mg/ml
Ringer lactate 3254
Précipitation immédiate Incompatible
injectable Heparin sodium 1000 UI/ml
injectable Thiopental sodium 25 mg/ml
Chlorure de sodium 0,9% 3767
Instabilité de l'émulsion immédiate Incompatible
injectable Heparin sodium 1 UI/ml
Nutrition parentérale (mélange ternaire) 1391
Compatible
injectable Heparin sodium 100 UI/ml
injectable Teniposide 0.1 mg/ml
Glucose 5% 905
Compatible
injectable Heparin sodium 50 UI/ml
injectable Theophylline 4 mg/ml
Aucun 317
Compatible
injectable Heparin sodium 100 UI/ml
injectable Thiopental sodium 25 mg/ml
314
Instabilité de l'émulsion immédiate Incompatible
injectable Heparin sodium 100 UI/ml
Nutrition parentérale (mélange ternaire) 1415
Compatible
injectable Heparin sodium 500 UI/ml
injectable Thiopental sodium 60 mg/ml
Chlorure de sodium 0,9% 3823
Compatible
injectable Heparin sodium 100 UI/ml
injectable Thiotepa 1 mg/ml
Glucose 5% 249
Compatible
injectable Heparin sodium 50 UI/ml
injectable Ticarcillin / clavulanic acid 31 mg/ml
Aucun 317
Compatible
injectable Heparin sodium 500 UI/ml
injectable Tirofiban 250 µg/ml
Chlorure de sodium 0,9% 3823
Compatible
injectable Heparin sodium 40 & 100 UI/ml
injectable Tirofiban 50 µg/ml
Chlorure de sodium 0,9% 1420
Compatible
injectable Heparin sodium
Glucose 5% 3540
Compatible
injectable Heparin sodium
injectable Tirofiban
1512
Compatible
injectable Heparin sodium 40 & 100 UI/ml
injectable Tirofiban 50 µg/ml
Glucose 5% 1420
Incompatibilité non précisée Incompatible
injectable Heparin sodium 50 UI/ml
injectable Tobramycin sulfate 0.8 mg/ml
Aucun 317
Incompatibilité non précisée Incompatible
injectable Heparin sodium
injectable Tobramycin sulfate
3540
Compatible
injectable Heparin sodium
injectable Tranexamic acid
5016
Incompatibilité non précisée Incompatible
injectable Heparin sodium
injectable Triflupromazine hydrochloride
3540
Compatible
injectable Heparin sodium 500 UI/ml
injectable Urapidil 5 mg/ml
Chlorure de sodium 0,9% 3823
Précipitation immédiate Incompatible
injectable Heparin sodium 0,5 >> 14,3 UI/ml
injectable Vancomycin hydrochloride 6,9 >> 14,3 mg/ml
Dianéal® PD1 4.25% glucose (Baxter) 2375
Incompatibilité non précisée Incompatible
injectable Heparin sodium
injectable Vancomycin hydrochloride
3588
Incompatibilité non précisée Incompatible
injectable Heparin sodium
injectable Vancomycin hydrochloride
3540
Compatible
injectable Heparin sodium 0,5 >> 14,3 UI/ml
injectable Vancomycin hydrochloride 0,015 >> 6,8 mg/ml
Dianéal® PD2 2.5% glucose (Baxter) 2375
Précipitation immédiate Incompatible
injectable Heparin sodium 0,5 >> 14,3 UI/ml
injectable Vancomycin hydrochloride 6,9 >> 14,3 mg/ml
Dianéal® PD2 2.5% glucose (Baxter) 2375
Compatible
injectable Heparin sodium 10 UI/ml
injectable Vancomycin hydrochloride 0.025 mg/ml
Eau pour préparation injectable 3125
Compatible
injectable Heparin sodium 0,5 >> 14,3 UI/ml
injectable Vancomycin hydrochloride 0,015 >> 6,8 mg/ml
Dianéal® PD1 4.25% glucose (Baxter) 2375
Incompatibilité non précisée Incompatible
injectable Heparin sodium 50 UI/ml
injectable Vancomycin hydrochloride 6.6 mg/ml
Aucun 317
Compatible
injectable Heparin sodium 100 UI/ml
injectable Vancomycin hydrochloride 0.025 mg/ml
Chlorure de sodium 0,9% 1414
Compatible
injectable Heparin sodium 10 UI/ml
injectable Vancomycin hydrochloride 2 mg/ml
Chlorure de sodium 0,9% 2037
Précipitation immédiate Incompatible
injectable Heparin sodium 100 UI/ml
injectable Vancomycin hydrochloride 10 mg/ml
Nutrition parentérale (mélange binaire) 132
Compatible
injectable Heparin sodium 5000 UI/ml
injectable Vancomycin hydrochloride 2.5 mg/ml
Chlorure de sodium 0,9% 2037
Compatible
injectable Heparin sodium 100 UI/ml
injectable Vancomycin hydrochloride 0.025 mg/ml
Chlorure de sodium 0,9% 895
Compatible
injectable Heparin sodium 100 UI/ml
injectable Vasopressin 2 & 4 UI/ml
Chlorure de sodium 0,9% 1801
Compatible
injectable Heparin sodium 100 UI/ml
injectable Vecuronium bromide 1 mg/ml
314
Compatible
injectable Heparin sodium 40 UI/ml
injectable Vecuronium bromide 0.1 mg/ml
Glucose 5% 402
Compatible
injectable Heparin sodium 20 UI/ml
injectable Verapamil hydrochloride 0.08 mg/ml
Chlorure de sodium 0,9% 1057
Compatible
injectable Heparin sodium 20 UI/ml
injectable Verapamil hydrochloride 0.08 mg/ml
Glucose 5% 1057
Incompatibilité non précisée Incompatible
injectable Heparin sodium
injectable Vinblastine sulfate
3540
Compatible
injectable Heparin sodium 1000 UI/ml
injectable Vinblastine sulfate 1 mg/ml
763
Compatible
injectable Heparin sodium 1000 UI/ml
injectable Vincristine sulfate 1 mg/ml
763
Compatible
injectable Heparin sodium 100 UI/ml
injectable Vinorelbine tartrate 1 mg/ml
Chlorure de sodium 0,9% 84
Compatible
injectable Heparin sodium 100 UI/ml
injectable Vinorelbine tartrate 1 mg/ml
Chlorure de sodium 0,9% 1070
Précipitation immédiate Incompatible
injectable Heparin sodium 10 & 100 UI/ml
injectable Vinorelbine tartrate 2 & 3 mg/ml
Chlorure de sodium 0,9% 1070
Compatible
injectable Heparin sodium 208 UI/ml
injectable Voriconazole 8 mg/ml
Glucose 5% 4254
Compatible
injectable Heparin sodium 208 UI/ml
injectable Voriconazole 8 mg/ml
Chlorure de sodium 0,9% 4254
Compatible
injectable Heparin sodium 100 UI/ml
injectable Warfarin sodium 2 mg/ml
Glucose 5% 315
Compatible
injectable Heparin sodium 100 UI/ml
injectable Zidovudine 4 mg/ml
Glucose 5% 337

  Mentions Légales