Posledná aktualizácia :
27/01/2026
antikoagulans   Heparin sodium  
Injekcia
Stabilita roztokov Stabilita v zmesiach Faktory ovplyvňujúce stabilitu Kompatibility spôsob podania Odkazy na literatúru PDF
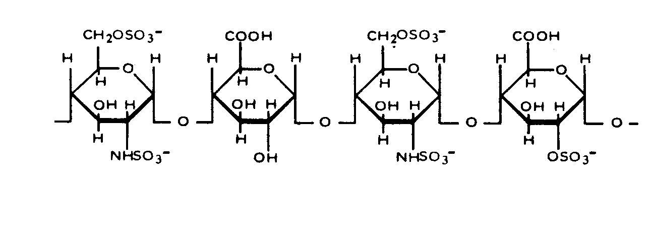
   Chemický vzorec  

Obchodný názov   Obchodný názov     

Obchodné názvy sú orientačné, a zloženie pomocných látok sa môže líšiť v závislosti od krajiny a výrobcu.

Arapin Čile
Ateroclar Taliansko
Clarisco Taliansko
Epsoclar Taliansko
Hepaflex Fínsko, Nórsko
Hepamax Čile, Ekvádor, Kolumbia
Heparin Dánsko, Fínsko, Grécko, Holandsko, Juhoafrická republika, Juhoslávia, Kanada, Maďarsko, Nórsko, Rakúsko, ruský, Spojené štáty Americké, Švajčiarsko, Švédsko, Thajsko, Turecko, Veľká Británia
Heparine Belgicko, Francúzsko
Heparinised Austrália
Heparstad Nemecko
Liquemin Švajčiarsko, Turecko
Liquemine Brazília
Monoparin Saudská Arábia
Normoparin Taliansko
Nuparin Ekvádor
Pharepa Taliansko
Riveparin Argentína
Sobrius Argentína, Ekvádor
Thrombophob Nemecko
Kompatibility   Injekcia   Kompatibility : Heparin sodium              
Toto okno zobrazuje kompatibility alebo inkombatibility, v prípade inkompatibility aj jej typ (vyzrážanie, zmena farby, zmena emulzie atď.). Tu vymenované kompatibility sú väčšinou len fyzikálne, chemická stabilita každej zo zlúčenín sa hodnotila len zriedkavo. Tieto zmesi sa skúmali za účelom možnosti súbežného podávania pacientovi cez infúznu spojku Y. Údaje sa nedajú použiť na prípravu zmesí vo vakoch alebo striekačkách. Taká informácia sa nachádza v okne „Stabilita v zmesiach“.
Zlúčenina rozpúšťadlo odkazy na lieteratúru
kompatibilný
Injekcia Heparin sodium 100 UI/ml
Injekcia Aciclovir sodium 5 mg/ml
0,9% chlorid sodný 2335
kompatibilný
Injekcia Heparin sodium 50 UI/ml
Injekcia Aciclovir sodium 5 mg/ml
5% glukóza 336
kompatibilný
Injekcia Heparin sodium 100 UI/ml
Injekcia Aldesleukin 0.0338 MUI/ml
5% glukóza 36
kompatibilný
Injekcia Heparin sodium 100 UI/ml
Injekcia Allopurinol sodium 3 mg/ml
0,9% chlorid sodný 307
kompatibilný
Injekcia Heparin sodium 1 UI/ml
Injekcia Alprostadil 20 µg/ml
0,9% chlorid sodný 4491
kompatibilný
Injekcia Heparin sodium 1 UI/ml
Injekcia Alprostadil 20 µg/ml
5% glukóza 4651
Zrážky po 24 hodinách nezlučiteľný
Injekcia Heparin sodium 100 UI/ml
Injekcia Alteplase 1 mg/ml
voda na injekciu 92
Nešpecifikovaná nekompatibilita nezlučiteľný
Injekcia Heparin sodium
Injekcia Alteplase
3540
Okamžité zrážanie nezlučiteľný
Injekcia Heparin sodium 40 UI/ml
Injekcia Alteplase 0.5 mg/ml
voda na injekciu 240
Nešpecifikovaná nekompatibilita nezlučiteľný
Injekcia Heparin sodium
Injekcia Alteplase
3616
kompatibilný
Injekcia Heparin sodium 100 UI/ml
Injekcia Amifostine 10 mg/ml
5% glukóza 3
Okamžité zrážanie nezlučiteľný
Injekcia Heparin sodium
Injekcia Amikacin sulfate
1022
Nešpecifikovaná nekompatibilita nezlučiteľný
Injekcia Heparin sodium
Injekcia Amikacin sulfate
3549
Nešpecifikovaná nekompatibilita nezlučiteľný
Injekcia Heparin sodium
Injekcia Amikacin sulfate
3540
Nešpecifikovaná nekompatibilita nezlučiteľný
Injekcia Heparin sodium 500 UI/ml
Injekcia Amiodarone hydrochloride 15 mg/ml
0,9% chlorid sodný 3823
Nešpecifikovaná nekompatibilita nezlučiteľný
Injekcia Heparin sodium
Injekcia Amiodarone hydrochloride
3540
Okamžitá zákal nezlučiteľný
Injekcia Heparin sodium 500 UI/ml
Injekcia Amiodarone hydrochloride 15 mg/ml
0,9% chlorid sodný 3463
Nešpecifikovaná nekompatibilita nezlučiteľný
Injekcia Heparin sodium
Injekcia Amiodarone hydrochloride
3464
Nešpecifikovaná nekompatibilita nezlučiteľný
Injekcia Heparin sodium 500 UI/ml
Injekcia Amiodarone hydrochloride 15 mg/ml
5% glukóza 3823
Okamžitá zákal nezlučiteľný
Injekcia Heparin sodium 500 UI/ml
Injekcia Amiodarone hydrochloride 15 mg/ml
5% glukóza 3463
kompatibilný
Injekcia Heparin sodium 208 UI/ml
Injekcia Amoxicillin sodium 20.83 & 83.3 mg/ml
0,9% chlorid sodný 4254
kompatibilný
Injekcia Heparin sodium 1000 UI/ml
Injekcia Amoxicillin sodium / clavulanic acid 100/10 mg/ml
3824
kompatibilný
Injekcia Heparin sodium
Injekcia Ampicillin sodium
5088
kompatibilný
Injekcia Heparin sodium 50 UI/ml
Injekcia Ampicillin sodium 20 mg/ml
Žiadny 317
kompatibilný
Injekcia Heparin sodium 50 UI/ml
Injekcia Ampicillin sodium - sulbactam sodium 30 mg/ml
Žiadny 317
Okamžité zrážanie nezlučiteľný
Injekcia Heparin sodium 40 UI/ml
Injekcia Amsacrine 1 mg/ml
5% glukóza 253
kompatibilný
Injekcia Heparin sodium 100 UI/ml
Injekcia Anidulafungin 0.5 mg/ml
5% glukóza 1982
Okamžité zrážanie nezlučiteľný
Injekcia Heparin sodium
Injekcia Antithymocyte globulin (rabbit)
4958
Okamžité zrážanie nezlučiteľný
Injekcia Heparin sodium 2 UI/ml
Injekcia Antithymocyte globulin (rabbit) 0,2 & 0,3 mg/ml
5% glukóza 1822
kompatibilný
Injekcia Heparin sodium 100 UI/ml
Injekcia Antithymocyte globulin (rabbit) 0,2 & 0,3 mg/ml
5% glukóza 1822
kompatibilný
Injekcia Heparin sodium 2 & 100 UI/ml
Injekcia Antithymocyte globulin (rabbit) 0,2 & 0,3 mg/ml
0,9% chlorid sodný 1822
kompatibilný
Injekcia Heparin sodium 40 UI/ml
Injekcia Atracurium besylate 0.5 mg/ml
5% glukóza 402
kompatibilný
Injekcia Heparin sodium 1 UI/ml
Injekcia Atropine sulfate 0.5 mg/ml
5% glukóza 1228
kompatibilný
Injekcia Heparin sodium 500 UI/ml
Parenterálna výživa (lipidy) 4507
Okamžité zrážanie nezlučiteľný
Injekcia Heparin sodium 1000 UI/ml
Injekcia Amphotericin B cholesteryl sulfate complex 0.83 mg/ml
5% glukóza 921
Nešpecifikovaná nekompatibilita nezlučiteľný
Injekcia Heparin sodium
Injekcia Ampicillin sodium
3540
kompatibilný
Injekcia Heparin sodium 10 & 5000 UI/ml
Injekcia Ampicillin sodium 10 mg/ml
0,9% chlorid sodný 2037
kompatibilný
Injekcia Heparin sodium 1 UI/ml
Injekcia Atropine sulfate 0.5 mg/ml
Ringerov laktátový roztok 1228
kompatibilný
Injekcia Heparin sodium 1 UI/ml
Injekcia Atropine sulfate 0.5 mg/ml
0,9% chlorid sodný 1228
kompatibilný
Injekcia Heparin sodium 100 UI/ml
Injekcia Aztreonam 40 mg/ml
5% glukóza 99
kompatibilný
Injekcia Heparin sodium 50 UI/ml
Injekcia Aztreonam 20 mg/ml
Žiadny 317
kompatibilný
Injekcia Heparin sodium 1 UI/ml
Injekcia Betamethasone sodium phosphate 3 mg/ml
0,9% chlorid sodný 1228
kompatibilný
Injekcia Heparin sodium 1 UI/ml
Injekcia Betamethasone sodium phosphate 3 mg/ml
5% glukóza 1228
kompatibilný
Injekcia Heparin sodium 1 UI/ml
Injekcia Betamethasone sodium phosphate 3 mg/ml
Ringerov laktátový roztok 1228
kompatibilný
Injekcia Heparin sodium 100 UI/ml
Injekcia Bivalirudin 5 mg/ml
5% glukóza 1713
Okamžité zrážanie nezlučiteľný
Injekcia Heparin sodium 192.3 UI/ml
Injekcia Blinatumomab 0.125 & 0.375 µg/ml
0,9% chlorid sodný 3976
kompatibilný
Injekcia Heparin sodium 1000 UI/ml
Injekcia Caffeine 10 mg/ml
Žiadny 3964
kompatibilný
Injekcia Heparin sodium 100 UI/ml
Injekcia Caffeine 10 mg/ml
0,9% chlorid sodný 4837
kompatibilný
Injekcia Heparin sodium 100 UI/ml
Injekcia Caffeine citrate 20 mg/ml
0,9% chlorid sodný 4837
Zrážky po 30 hodinách nezlučiteľný
Injekcia Heparin sodium 2 UI/ml
Injekcia Calcium chloride 20 mg/ml
5% glukóza 4732
kompatibilný
Injekcia Heparin sodium 100 UI/ml
Injekcia Calcium chloride 20 mg/ml
5% glukóza 4732
Okamžitá nestabilita emulzie nezlučiteľný
Injekcia Heparin sodium
Injekcia Calcium chloride
Parenterálna výživa (lipidy) 1084
Okamžitá nestabilita emulzie nezlučiteľný
Injekcia Heparin sodium
Injekcia Calcium gluconate
Parenterálna výživa (lipidy) 1084
Okamžité zrážanie nezlučiteľný
Injekcia Heparin sodium 100 UI/ml
Injekcia Caspofungin acetate 0.5 mg/ml
0,9% chlorid sodný 2233
Okamžité zrážanie nezlučiteľný
Injekcia Heparin sodium 100 UI/ml
Injekcia Caspofungin acetate 0,7 mg/ml
0,9% chlorid sodný 2247
Nešpecifikovaná nekompatibilita nezlučiteľný
Injekcia Heparin sodium
Injekcia Cefalotin sodium
3540
kompatibilný
Injekcia Heparin sodium 10 & 5000 UI/ml
Injekcia Cefazolin sodium 10 mg/ml
0,9% chlorid sodný 2037
kompatibilný
Injekcia Heparin sodium 50 UI/ml
Injekcia Cefazolin sodium 20 mg/ml
Žiadny 317
kompatibilný
Injekcia Heparin sodium 0.667 UI/ml
Injekcia Cefazolin sodium 0.333 mg/ml
Dianéal® PD2 1.5% glukóza (Baxter) 1979
kompatibilný
Injekcia Heparin sodium 10 & 50 UI/ml
Injekcia Cefepime dihydrochloride 4 mg/ml
0,9% chlorid sodný 3548
kompatibilný
Injekcia Heparin sodium 10 & 50 UI/ml
Injekcia Cefepime dihydrochloride 4 mg/ml
5% glukóza 3548
kompatibilný
Injekcia Heparin sodium 1000 UI/ml
Injekcia Cefiderocol sulfate tosylate 20 mg/mL
5% glukóza 4528
kompatibilný
Injekcia Heparin sodium 1000 UI/ml
Injekcia Cefiderocol sulfate tosylate 20 mg/mL
0,9% chlorid sodný 4528
Chemická nestabilita nezlučiteľný
Injekcia Heparin sodium 100 UI/ml
Injekcia Cefmetazole sodium 100 mg/ml
voda na injekciu 93
kompatibilný
Injekcia Heparin sodium 208 UI/ml
Injekcia Cefotaxime sodium 41.6 & 125 mg/ml
5% glukóza 4254
kompatibilný
Injekcia Heparin sodium 208 UI/ml
Injekcia Cefotaxime sodium 41.6 & 125 mg/ml
0,9% chlorid sodný 4254
kompatibilný
Injekcia Heparin sodium 5000 UI/ml
Injekcia Cefotaxime sodium 10 mg/ml
voda na injekciu 3125
kompatibilný
Injekcia Heparin sodium 100 UI/ml
Injekcia Ceftaroline fosamil 2,22 mg/ml
Ringerov laktátový roztok 3249
kompatibilný
Injekcia Heparin sodium 100 UI/ml
Injekcia Ceftaroline fosamil 2,22 mg/ml
0,9% chlorid sodný 3249
kompatibilný
Injekcia Heparin sodium 100 UI/ml
Injekcia Ceftaroline fosamil 2,22 mg/ml
5% glukóza 3249
kompatibilný
Injekcia Heparin sodium 0.5 UI/ml
Injekcia Ceftazidime 0.125 mg/ml
Extraneal® (Baxter) 4056
kompatibilný
Injekcia Heparin sodium 0.5 UI/ml
Injekcia Ceftazidime 0.125 mg/ml
Dianéal® PD2 4.25% glukóza (Baxter) 4056
kompatibilný
Injekcia Heparin sodium 50 UI/ml
Injekcia Ceftazidime 20 mg/ml
Žiadny 317
kompatibilný
Injekcia Heparin sodium 0.5 UI/ml
Injekcia Ceftazidime 0.125 mg/ml
Dianéal® PD2 2.5% glucose (Baxter) 4056
kompatibilný
Injekcia Heparin sodium 100 UI/ml
Injekcia Ceftobiprole medocaril sodium 2 mg/ml
0,9% chlorid sodný 2269
kompatibilný
Injekcia Heparin sodium 100 UI/ml
Injekcia Ceftobiprole medocaril sodium 2 mg/ml
5% glukóza 2269
kompatibilný
Injekcia Heparin sodium 100 UI/ml
Injekcia Ceftobiprole medocaril sodium 2 mg/ml
Ringerov laktátový roztok 2269
kompatibilný
Injekcia Heparin sodium 1000 UI/ml
Injekcia Ceftolozane / tazobactam 10/5 mg/ml
0,9% chlorid sodný 3828
kompatibilný
Injekcia Heparin sodium 1000 UI/ml
Injekcia Ceftolozane / tazobactam 10/5 mg/ml
5% glukóza 3828
kompatibilný
Injekcia Heparin sodium 50 UI/ml
Injekcia Ceftriaxone disodium 20 mg/ml
Žiadny 317
kompatibilný
Injekcia Heparin sodium 10 & 50 UI/ml
Injekcia Cefuroxime sodium
0,9% chlorid sodný 3687
kompatibilný
Injekcia Heparin sodium 58,34 UI/ml
Injekcia Chlorpromazine hydrochloride 0,26 mg/ml
5% glukóza 1289
kompatibilný
Injekcia Heparin sodium 1 UI/ml
Injekcia Chlorpromazine hydrochloride 10 mg/ml
0,9% chlorid sodný 1228
kompatibilný
Injekcia Heparin sodium 1 UI/ml
Injekcia Chlorpromazine hydrochloride 10 mg/ml
5% glukóza 1228
Nešpecifikovaná nekompatibilita nezlučiteľný
Injekcia Heparin sodium
Injekcia Chlorpromazine hydrochloride
3540
kompatibilný
Injekcia Heparin sodium 1 UI/ml
Injekcia Chlorpromazine hydrochloride 10 mg/ml
Ringerov laktátový roztok 1228
kompatibilný
Injekcia Heparin sodium 50 UI/ml
Injekcia Cimetidine hydrochloride 6 mg/ml
Žiadny 317
kompatibilný
Injekcia Heparin sodium 5000 & 10000 UI/ml
Injekcia Ciprofloxacin lactate 0.4 & 0.6 mg/ml
0,9% chlorid sodný 2057
Okamžité zrážanie nezlučiteľný
Injekcia Heparin sodium 10 >> 10000 UI/ml
Injekcia Ciprofloxacin lactate 1 mg/ml
0,9% chlorid sodný 2057
Okamžité zrážanie nezlučiteľný
Injekcia Heparin sodium 10 & 100 UI/ml
Injekcia Ciprofloxacin lactate 0.2 mg/ml
0,9% chlorid sodný 2057
Nešpecifikovaná nekompatibilita nezlučiteľný
Injekcia Heparin sodium
Injekcia Ciprofloxacin lactate
3540
Okamžité zrážanie nezlučiteľný
Injekcia Heparin sodium 10 >> 1000 UI/ml
Injekcia Ciprofloxacin lactate 0.4 & 0.6 mg/ml
0,9% chlorid sodný 2057
kompatibilný
Injekcia Heparin sodium 1000 >> 10000 UI/ml
Injekcia Ciprofloxacin lactate 0.2 mg/ml
0,9% chlorid sodný 2057
Okamžité zrážanie nezlučiteľný
Injekcia Heparin sodium 10 >> 5000 UI/ml
Injekcia Ciprofloxacin lactate 0.8 mg/ml
0,9% chlorid sodný 2057
kompatibilný
Injekcia Heparin sodium 10 >> 10000 UI/ml
Injekcia Ciprofloxacin lactate 0.1 mg/ml
0,9% chlorid sodný 2057
Okamžité zrážanie nezlučiteľný
Injekcia Heparin sodium 100 UI/ml
Injekcia Ciprofloxacin lactate 2 mg/ml
0,9% chlorid sodný 288
Nešpecifikovaná nekompatibilita nezlučiteľný
Injekcia Heparin sodium
Injekcia Ciprofloxacin lactate
3529
Okamžité zrážanie nezlučiteľný
Injekcia Heparin sodium 100 UI/ml
Injekcia Ciprofloxacin lactate 2 mg/ml
5% glukóza 288
Okamžité zrážanie nezlučiteľný
Injekcia Heparin sodium 10 >> 1000 UI/ml
Injekcia Ciprofloxacin lactate 2 mg/ml
0,9% chlorid sodný 289
Okamžitá zákal nezlučiteľný
Injekcia Heparin sodium 10 UI/ml
Injekcia Ciprofloxacin lactate 2 mg/ml
Žiadny 1393
kompatibilný
Injekcia Heparin sodium 10000 UI/ml
Injekcia Ciprofloxacin lactate 0.8 mg/ml
0,9% chlorid sodný 2057
kompatibilný
Injekcia Heparin sodium 100 UI/ml
Injekcia Cisatracurium besylate 0.1 & 2 mg/ml
5% glukóza 299
Okamžité zrážanie nezlučiteľný
Injekcia Heparin sodium 100 UI/ml
Injekcia Cisatracurium besylate 5 mg/ml
5% glukóza 299
Zmena farby nezlučiteľný
Injekcia Heparin sodium 500 UI/ml
Injekcia Cisatracurium besylate 5 mg/ml
0,9% chlorid sodný 3463
Nešpecifikovaná nekompatibilita nezlučiteľný
Injekcia Heparin sodium 500 UI/ml
Injekcia Cisatracurium besylate 5 mg/ml
0,9% chlorid sodný 3823
Nešpecifikovaná nekompatibilita nezlučiteľný
Injekcia Heparin sodium
Injekcia Cisatracurium besylate
3540
kompatibilný
Injekcia Heparin sodium 100 UI/ml
Injekcia Cladribine 0.5 mg/ml
0,9% chlorid sodný + antibakteriálna látka 1496
kompatibilný
Injekcia Heparin sodium 100 UI/ml
Injekcia Cladribine 0.015 mg/ml
0,9% chlorid sodný 1496
kompatibilný
Injekcia Heparin sodium 50 UI/ml
Injekcia Clindamycin phosphate 12 mg/ml
Žiadny 317
kompatibilný
Injekcia Heparin sodium 50 UI/ml
Injekcia Clonidine hydrochloride 0.0075 mg/ml
0,9% chlorid sodný 1506
kompatibilný
Injekcia Heparin sodium 50 UI/ml
Injekcia Clonidine hydrochloride 0.0075 mg/ml
5% glukóza 1506
kompatibilný
Injekcia Heparin sodium 100 UI/ml
Injekcia Cloxacillin sodium 100 mg/ml
voda na injekciu 3012
Zrážky po 4 hodinách nezlučiteľný
Injekcia Heparin sodium 208 UI/ml
Injekcia Co-trimoxazole 3.2/0.64 & 80/16 mg/ml
0,9% chlorid sodný 4254
Zrážky po 4 hodinách nezlučiteľný
Injekcia Heparin sodium 208 UI/ml
Injekcia Co-trimoxazole 3.2/0.64 & 80/16 mg/ml
5% glukóza 4254
kompatibilný
Injekcia Heparin sodium 1 UI/ml
Injekcia Cyanocobalamine 0.1 mg/ml
Ringerov laktátový roztok 1228
kompatibilný
Injekcia Heparin sodium 1 UI/ml
Injekcia Cyanocobalamine 0.1 mg/ml
5% glukóza 1228
kompatibilný
Injekcia Heparin sodium 1 UI/ml
Injekcia Cyanocobalamine 0.1 mg/ml
0,9% chlorid sodný 1228
Nešpecifikovaná nekompatibilita nezlučiteľný
Injekcia Heparin sodium
Injekcia Cytarabine
3540
Nešpecifikovaná nekompatibilita nezlučiteľný
Injekcia Heparin sodium
Injekcia Cytarabine
3580
Nešpecifikovaná nekompatibilita nezlučiteľný
Injekcia Heparin sodium
Injekcia Dacarbazine
3605
Okamžité zrážanie nezlučiteľný
Injekcia Heparin sodium 100 UI/ml
Injekcia Dacarbazine 25 mg/ml
0,9% chlorid sodný 860
Nešpecifikovaná nekompatibilita nezlučiteľný
Injekcia Heparin sodium
Injekcia Dacarbazine
3267
Nešpecifikovaná nekompatibilita nezlučiteľný
Injekcia Heparin sodium
Injekcia Dacarbazine
3540
kompatibilný
Injekcia Heparin sodium
Injekcia Daptomycin
2271
kompatibilný
Injekcia Heparin sodium 98 UI/ml
Injekcia Daptomycin 19,6 mg/ml
0,9% chlorid sodný 1937
Okamžité zrážanie nezlučiteľný
Injekcia Heparin sodium
Injekcia Daunorubicin hydrochloride
3604
Nešpecifikovaná nekompatibilita nezlučiteľný
Injekcia Heparin sodium
Injekcia Daunorubicin hydrochloride
3540
Okamžité zrážanie nezlučiteľný
Injekcia Heparin sodium
Injekcia Daunorubicin hydrochloride liposome
3577
Okamžitá zákal nezlučiteľný
Injekcia Heparin sodium
Injekcia Daunorubicin/cytarabine liposomale 0,4 mg/mL
0,9% chlorid sodný 4654
kompatibilný
Injekcia Heparin sodium 373 UI/ml
Injekcia Defibrotide 8 mg/ml
0,9% chlorid sodný 3728
kompatibilný
Injekcia Heparin sodium 50 UI/ml
Injekcia Dexamethasone sodium phosphate 0.08 mg/ml
Žiadny 317
kompatibilný
Injekcia Heparin sodium
Injekcia Dexketoprofen
4981
kompatibilný
Injekcia Heparin sodium 100 UI/ml
Injekcia Dexmedetomidine 4 µg/ml
0,9% chlorid sodný 1712
kompatibilný
Injekcia Heparin sodium 10000 UI/ml
Injekcia Diatrizoate meglumine 283 mg/ml
Žiadny 1085
Nešpecifikovaná nekompatibilita nezlučiteľný
Injekcia Heparin sodium
Injekcia Diazepam
3540
kompatibilný
Injekcia Heparin sodium 100 UI/ml
Injekcia Diltiazem hydrochloride 1 mg/ml
314
Okamžité zrážanie nezlučiteľný
Injekcia Heparin sodium 20000 UI/ml
Injekcia Diltiazem hydrochloride 5 mg/ml
0,9% chlorid sodný 198
kompatibilný
Injekcia Heparin sodium 100 UI/ml
Injekcia Diltiazem hydrochloride 1 mg/ml
5% glukóza 4556
Okamžitá zákal nezlučiteľný
Injekcia Heparin sodium 100 UI/ml
Injekcia Diltiazem hydrochloride 5 mg/ml
5% glukóza 4556
kompatibilný
Injekcia Heparin sodium 20000 UI/ml
Injekcia Diltiazem hydrochloride 1 mg/ml
0,9% chlorid sodný 198
kompatibilný
Injekcia Heparin sodium
Injekcia Diltiazem hydrochloride
5090
kompatibilný
Injekcia Heparin sodium 80 >> 10000 UI/ml
Injekcia Diltiazem hydrochloride 1 & 5 mg/ml
0,9% chlorid sodný 198
Okamžité zrážanie nezlučiteľný
Injekcia Heparin sodium
Injekcia Dimenhydrinate
2087
kompatibilný
Injekcia Heparin sodium 1 UI/ml
Injekcia Diphenhydramine hydrochloride 50 mg/ml
0,9% chlorid sodný 1228
kompatibilný
Injekcia Heparin sodium 1 UI/ml
Injekcia Diphenhydramine hydrochloride 50 mg/ml
5% glukóza 1228
kompatibilný
Injekcia Heparin sodium 1 UI/ml
Injekcia Diphenhydramine hydrochloride 50 mg/ml
Ringerov laktátový roztok 1228
Zrážky po 4 hodinách nezlučiteľný
Injekcia Heparin sodium 100 UI/ml
Injekcia Dobutamine hydrochloride 4 mg/ml
314
kompatibilný
Injekcia Heparin sodium 40 UI/ml
Injekcia Dobutamine hydrochloride 1 mg/ml
0,9% chlorid sodný 1058
kompatibilný
Injekcia Heparin sodium 100 UI/ml
Injekcia Dobutamine hydrochloride 2 mg/ml
5% glukóza 1041
Okamžité zrážanie nezlučiteľný
Injekcia Heparin sodium 100 UI/ml
Injekcia Dobutamine hydrochloride 2 mg/ml
5% glukóza 1352
Okamžitá zákal nezlučiteľný
Injekcia Heparin sodium 100 UI/ml
Injekcia Dobutamine hydrochloride 4 mg/ml
5% glukóza 295
Okamžité zrážanie nezlučiteľný
Injekcia Heparin sodium
Injekcia Dobutamine hydrochloride
3540
Zmena farby po 6 hodinách nezlučiteľný
Injekcia Heparin sodium 10000 UI/ml
Injekcia Dobutamine hydrochloride 2 mg/ml
5% glukóza 1041
kompatibilný
Injekcia Heparin sodium 40 UI/ml
Injekcia Dobutamine hydrochloride 1 mg/ml
5% glukóza 1058
kompatibilný
Injekcia Heparin sodium 50 UI/ml
Injekcia Dobutamine hydrochloride 1 mg/ml
Žiadny 317
kompatibilný
Injekcia Heparin sodium 100 UI/ml
Injekcia Docetaxel 0.9 mg/ml
5% glukóza 1754
kompatibilný
Injekcia Heparin sodium 1 UI/ml
Injekcia Dopamine hydrochloride 40 mg/ml
0,9% chlorid sodný 1228
kompatibilný
Injekcia Heparin sodium 50 UI/ml
Injekcia Dopamine hydrochloride 1.6 mg/ml
Žiadny 317
kompatibilný
Injekcia Heparin sodium 100 UI/ml
Injekcia Dopamine hydrochloride 3.2 mg/ml
314
kompatibilný
Injekcia Heparin sodium 1 UI/ml
Injekcia Dopamine hydrochloride 40 mg/ml
Ringerov laktátový roztok 1228
kompatibilný
Injekcia Heparin sodium 200 UI/ml
Injekcia Dopamine hydrochloride 0.8 mg/ml
5% glukóza 738
kompatibilný
Injekcia Heparin sodium 1 UI/ml
Injekcia Dopamine hydrochloride 40 mg/ml
5% glukóza 1228
kompatibilný
Injekcia Heparin sodium 100 UI/ml
Injekcia Dopamine hydrochloride 3,2 mg/ml
4389
Nešpecifikovaná nekompatibilita nezlučiteľný
Injekcia Heparin sodium 187 UI/ml
Injekcia Dopamine hydrochloride 1,7 >> 3,4 mg/ml
5% glukóza 377
kompatibilný
Injekcia Heparin sodium 100 UI/ml
Injekcia Doripenem 5 mg/ml
0,9% chlorid sodný 2262
kompatibilný
Injekcia Heparin sodium 100 UI/ml
Injekcia Doripenem 5 mg/ml
5% glukóza 2262
kompatibilný
Injekcia Heparin sodium 1 UI/ml
Injekcia Doxapram hydrochloride 2 mg/ml
5% glukóza 1802
Nešpecifikovaná nekompatibilita nezlučiteľný
Injekcia Heparin sodium
Injekcia Doxorubicin hydrochloride
3540
Okamžité zrážanie nezlučiteľný
Injekcia Heparin sodium
Injekcia Doxorubicin hydrochloride
3645
Okamžité zrážanie nezlučiteľný
Injekcia Heparin sodium 1000 UI/ml
Injekcia Doxorubicin hydrochloride 2 mg/ml
763
kompatibilný
Injekcia Heparin sodium 1000 UI/ml
Injekcia Doxorubicin hydrochloride liposome peg 0.4 mg/ml
5% glukóza 251
Nešpecifikovaná nekompatibilita nezlučiteľný
Injekcia Heparin sodium 50 UI/ml
Injekcia Doxycycline hyclate 1 mg/ml
Žiadny 317
Okamžité zrážanie nezlučiteľný
Injekcia Heparin sodium 1000 UI/ml
Injekcia Droperidol 2,5 mg/ml
763
kompatibilný
Injekcia Heparin sodium 1 UI/ml
Injekcia Droperidol 1.25 mg/ml
0,9% chlorid sodný 1228
kompatibilný
Injekcia Heparin sodium 1 UI/ml
Injekcia Droperidol 1.25 mg/ml
Ringerov laktátový roztok 1228
kompatibilný
Injekcia Heparin sodium 1 UI/ml
Injekcia Droperidol 1.25 mg/ml
5% glukóza 1228
Nešpecifikovaná nekompatibilita nezlučiteľný
Injekcia Heparin sodium
Injekcia Droperidol
3540
kompatibilný
Injekcia Heparin sodium 45,45 UI/ml
Injekcia Enalaprilate 0,011 mg/ml
5% glukóza 963
kompatibilný
Injekcia Heparin sodium 40 UI/ml
Injekcia Enalaprilate 0.05 mg/ml
0,9% chlorid sodný 1315
kompatibilný
Injekcia Heparin sodium 50 UI/ml
Injekcia Enalaprilate 0.0125 mg/ml
0,9% chlorid sodný 1703
kompatibilný
Injekcia Heparin sodium 1 UI/ml
Injekcia Epinephrine hydrochloride 100 µg/ml
Ringerov laktátový roztok 1228
kompatibilný
Injekcia Heparin sodium 100 UI/ml
Injekcia Epinephrine hydrochloride 20 µg/ml
314
kompatibilný
Injekcia Heparin sodium 1 UI/ml
Injekcia Epinephrine hydrochloride 100 µg/ml
0,9% chlorid sodný 1228
kompatibilný
Injekcia Heparin sodium 1 UI/ml
Injekcia Epinephrine hydrochloride 100 µg/ml
5% glukóza 1228
Nešpecifikovaná nekompatibilita nezlučiteľný
Injekcia Heparin sodium
Injekcia Epirubicin hydrochloride
3632
kompatibilný
Injekcia Heparin sodium
Injekcia Eptifibatide
3934
kompatibilný
Injekcia Heparin sodium 1000 UI/ml
Injekcia Eravacycline 0,6 mg/ml
0,9% chlorid sodný 4434
Okamžitá zákal nezlučiteľný
Injekcia Heparin sodium 1 UI/ml
Injekcia Ergotamine tartrate 0.5 mg/ml
0,9% chlorid sodný 1228
Zrážky po 4 hodinách nezlučiteľný
Injekcia Heparin sodium 1 UI/ml
Injekcia Ergotamine tartrate 0.5 mg/ml
Ringerov laktátový roztok 1228
Zrážky po 4 hodinách nezlučiteľný
Injekcia Heparin sodium 1 UI/ml
Injekcia Ergotamine tartrate 0.5 mg/ml
5% glukóza 1228
kompatibilný
Injekcia Heparin sodium 50 & 100 UI/ml
Injekcia Ertapenem 10 & 20 mg/ml
0,9% chlorid sodný 1906
kompatibilný
Injekcia Heparin sodium 50 UI/ml
Injekcia Erythromycin lactobionate 3.3 mg/ml
Žiadny 317
Nešpecifikovaná nekompatibilita nezlučiteľný
Injekcia Heparin sodium
Injekcia Erythromycin lactobionate
3674
Nešpecifikovaná nekompatibilita nezlučiteľný
Injekcia Heparin sodium
Injekcia Erythromycin lactobionate
3540
kompatibilný
Injekcia Heparin sodium 50 UI/ml
Injekcia Esmolol hydrochloride 6 mg/ml
5% glukóza 174
kompatibilný
Injekcia Heparin sodium 40 UI/ml
Injekcia Esmolol hydrochloride 10 mg/ml
5% glukóza 384
kompatibilný
Injekcia Heparin sodium 500 UI/ml
Injekcia Esmolol hydrochloride 10 mg/ml
0,9% chlorid sodný 3823
Okamžité zrážanie nezlučiteľný
Injekcia Heparin sodium 1000 UI/ml
Injekcia Ethanol 70 %
voda na injekciu + antibakteriálna látka 2221
Okamžité zrážanie nezlučiteľný
Injekcia Heparin sodium 1000 UI/ml
Injekcia Ethanol 70 %
voda na injekciu 2221
Zrážky po 1 hodine nezlučiteľný
Injekcia Heparin sodium 10 UI/ml
Injekcia Ethanol 70 %
voda na injekciu + antibakteriálna látka 2221
Okamžité zrážanie nezlučiteľný
Injekcia Heparin sodium 10 UI/ml
Injekcia Ethanol 70 %
voda na injekciu 2221
kompatibilný
Injekcia Heparin sodium 100 UI/ml
Injekcia Etoposide phosphate 5 mg/ml
5% glukóza 1410
kompatibilný
Injekcia Heparin sodium 40 UI/ml
Injekcia Famotidine
5% glukóza 397
kompatibilný
Injekcia Heparin sodium 50 UI/ml
Injekcia Famotidine 0.2 mg/ml
5% glukóza 398
kompatibilný
Injekcia Heparin sodium 40 UI/ml
Injekcia Famotidine 2 mg/ml
0,9% chlorid sodný 215
kompatibilný
Injekcia Heparin sodium 100 UI/ml
Injekcia Fenoldopam mesylate 80 µg/ml
0,9% chlorid sodný 1803
kompatibilný
Injekcia Heparin sodium 100 UI/ml
Injekcia Fentanyl citrate 50 µg/ml
4389
kompatibilný
Injekcia Heparin sodium 1 UI/ml
Injekcia Fentanyl citrate 50 µg/ml
5% glukóza 1228
kompatibilný
Injekcia Heparin sodium 1 UI/ml
Injekcia Fentanyl citrate 50 µg/ml
Ringerov laktátový roztok 1228
kompatibilný
Injekcia Heparin sodium 1 UI/ml
Injekcia Fentanyl citrate 50 µg/ml
0,9% chlorid sodný 1228
kompatibilný
Injekcia Heparin sodium 100 UI/ml
Injekcia Fentanyl citrate 50 µg/ml
314
Okamžité zrážanie nezlučiteľný
Injekcia Heparin sodium 100 UI/ml
Injekcia Filgrastim 30 µg/ml
5% glukóza 244
kompatibilný
Injekcia Heparin sodium 1000 UI/ml
Injekcia Fluconazole 2 mg/ml
0,9% chlorid sodný 496
kompatibilný
Injekcia Heparin sodium 50 UI/ml
Injekcia Fluconazole 2 mg/ml
Žiadny 317
kompatibilný
Injekcia Heparin sodium 40 >> 1000 UI/ml
Injekcia Fludarabine phosphate 1 mg/ml
5% glukóza 492
kompatibilný
Injekcia Heparin sodium 50 UI/ml
Injekcia Flumazenil 0,02 mg/ml
5% glukóza 187
kompatibilný
Injekcia Heparin sodium 5 UI/ml
Injekcia Fluorouracil 0,8 mg/ml
0,9% chlorid sodný 156
kompatibilný
Injekcia Heparin sodium 5 UI/ml
Injekcia Fluorouracil 0,8 mg/ml
5% glukóza 156
kompatibilný
Injekcia Heparin sodium 1 UI/ml
Injekcia Fluorouracil 50 mg/ml
0,9% chlorid sodný 1228
kompatibilný
Injekcia Heparin sodium 960 UI/ml
Injekcia Fluorouracil 24 mg/ml
5% glukóza 163
kompatibilný
Injekcia Heparin sodium 1 UI/ml
Injekcia Fluorouracil 50 mg/ml
5% glukóza 1228
kompatibilný
Injekcia Heparin sodium 1000 UI/ml
Injekcia Fluorouracil 50 mg/ml
763
kompatibilný
Injekcia Heparin sodium 1 UI/ml
Injekcia Fluorouracil 50 mg/ml
Ringerov laktátový roztok 1228
kompatibilný
Injekcia Heparin sodium 1000 UI/ml
Injekcia Folinate calcium 10 mg/ml
763
kompatibilný
Injekcia Heparin sodium 100 UI/ml
Injekcia Foscarnet sodium 24 mg/ml
5% glukóza 1135
kompatibilný
Injekcia Heparin sodium 100 UI/ml
Injekcia Foscarnet sodium 24 mg/ml
0,9% chlorid sodný 1135
kompatibilný
Injekcia Heparin sodium 1000 UI/ml
Injekcia Foscarnet sodium 24 mg/ml
Žiadny 73
kompatibilný
Injekcia Heparin sodium 1000 UI/ml
Injekcia Fosfomycin 30 mg/ml
5% glukóza 4055
kompatibilný
Injekcia Heparin sodium 1000 UI/ml
Injekcia Fosfomycin 30 mg/ml
0,9% chlorid sodný 4055
kompatibilný
Injekcia Heparin sodium 100 UI/ml
Injekcia Furosemide 10 mg/ml
314
kompatibilný
Injekcia Heparin sodium 1 UI/ml
Injekcia Furosemide 10 mg/ml
0,9% chlorid sodný 1228
Zrážky po 5 hodinách nezlučiteľný
Injekcia Heparin sodium 100 UI/ml
Injekcia Furosemide 10 mg/ml
5% glukóza 4724
kompatibilný
Injekcia Heparin sodium 20 UI/ml
Injekcia Furosemide 1 mg/ml
0,9% chlorid sodný 1232
kompatibilný
Injekcia Heparin sodium 58,34 UI/ml
Injekcia Furosemide 5,21 mg/ml
5% glukóza 1289
kompatibilný
Injekcia Heparin sodium
Injekcia Furosemide
3465
kompatibilný
Injekcia Heparin sodium 1 UI/ml
Injekcia Furosemide 10 mg/ml
Ringerov laktátový roztok 1228
kompatibilný
Injekcia Heparin sodium 1000 UI/ml
Injekcia Furosemide 10 mg/ml
763
kompatibilný
Injekcia Heparin sodium 10 UI/ml
Injekcia Furosemide 10 mg/ml
Žiadny 3210
kompatibilný
Injekcia Heparin sodium 500 UI/ml
Injekcia Furosemide 10 mg/ml
0,9% chlorid sodný 3823
kompatibilný
Injekcia Heparin sodium 500 UI/ml
Injekcia Furosemide 10 mg/ml
Žiadny 3134
kompatibilný
Injekcia Heparin sodium 1 UI/ml
Injekcia Furosemide 10 mg/ml
5% glukóza 1228
kompatibilný
Injekcia Heparin sodium 40 UI/ml
Injekcia Gallium nitrate 1 mg/ml
0,9% chlorid sodný 91
kompatibilný
Injekcia Heparin sodium 100 UI/ml
Injekcia Gemcitabine hydrochloride 10 mg/ml
0,9% chlorid sodný 1423
Okamžitá zákal nezlučiteľný
Injekcia Heparin sodium 2500 UI/ml
Injekcia Gentamicin sulfate 3 mg/ml
4612
Nešpecifikovaná nekompatibilita nezlučiteľný
Injekcia Heparin sodium
Injekcia Gentamicin sulfate
3520
Nešpecifikovaná nekompatibilita nezlučiteľný
Injekcia Heparin sodium
Injekcia Gentamicin sulfate
3643
Okamžité zrážanie nezlučiteľný
Injekcia Heparin sodium
Injekcia Gentamicin sulfate
1022
Nešpecifikovaná nekompatibilita nezlučiteľný
Injekcia Heparin sodium 50 UI/ml
Injekcia Gentamicin sulfate 2 mg/ml
Žiadny 317
Okamžité zrážanie nezlučiteľný
Injekcia Heparin sodium 10 >> 40 UI/ml
Injekcia Gentamicin sulfate 4 >> 40 mg/ml
1258
Okamžité zrážanie nezlučiteľný
Injekcia Heparin sodium 2500 UI/ml
Injekcia Gentamicin sulfate 4 & 5 mg/ml
4612
Nešpecifikovaná nekompatibilita nezlučiteľný
Injekcia Heparin sodium
Injekcia Gentamicin sulfate
3540
kompatibilný
Injekcia Heparin sodium 2500 UI/ml
Injekcia Gentamicin sulfate 1 & 2 mg/ml
4612
kompatibilný
Injekcia Heparin sodium 50 UI/ml
Injekcia Glycerophosphate disodium
0,9% chlorid sodný 4332
kompatibilný
Injekcia Heparin sodium 100 UI/ml
Injekcia Granisetron hydrochloride 0.05 mg/ml
5% glukóza 182
Okamžité zrážanie nezlučiteľný
Injekcia Heparin sodium 100 & 200 UI/ml
Injekcia Haloperidol lactate 5 mg/ml
5% glukóza 617
Okamžité zrážanie nezlučiteľný
Injekcia Heparin sodium 100 & 200 UI/ml
Injekcia Haloperidol lactate 5 mg/ml
0,9% chlorid sodný 617
kompatibilný
Injekcia Heparin sodium 500 UI/ml
Injekcia Haloperidol lactate 0.5 mg/ml
0,9% chlorid sodný 3823
Nešpecifikovaná nekompatibilita nezlučiteľný
Injekcia Heparin sodium
Injekcia Haloperidol lactate
3540
kompatibilný
Injekcia Heparin sodium 100 UI/ml
Injekcia Hetastarch 60 mg/ml
Špeciálne rozpúšťadlá 1721
Nešpecifikovaná nekompatibilita nezlučiteľný
Injekcia Heparin sodium
Injekcia Hyaluronidase
3617
Nešpecifikovaná nekompatibilita nezlučiteľný
Injekcia Heparin sodium
Injekcia Hyaluronidase
3184
Nešpecifikovaná nekompatibilita nezlučiteľný
Injekcia Heparin sodium
Injekcia Hyaluronidase
3540
kompatibilný
Injekcia Heparin sodium 1 UI/ml
Injekcia Hydralazine hydrochloride 20 mg/ml
5% glukóza 1228
kompatibilný
Injekcia Heparin sodium 1 UI/ml
Injekcia Hydralazine hydrochloride 20 mg/ml
Ringerov laktátový roztok 1228
kompatibilný
Injekcia Heparin sodium 1 UI/ml
Injekcia Hydralazine hydrochloride 20 mg/ml
0,9% chlorid sodný 1228
kompatibilný
Injekcia Heparin sodium 100 UI/ml
Injekcia Hydrocortisone sodium succinate 125 mg/ml
0,9% chlorid sodný 132
Nešpecifikovaná nekompatibilita nezlučiteľný
Injekcia Heparin sodium
Injekcia Hydrocortisone sodium succinate
3540
kompatibilný
Injekcia Heparin sodium 50 UI/ml
Injekcia Hydrocortisone sodium succinate 2 mg/ml
Žiadny 317
kompatibilný
Injekcia Heparin sodium 100 UI/ml
Injekcia Hydrocortisone sodium succinate 125 mg/ml
5% glukóza 132
kompatibilný
Injekcia Heparin sodium
Injekcia Hydromorphone hydrochloride <12.5 mg/ml
0,9% chlorid sodný 66
kompatibilný
Injekcia Heparin sodium 100 UI/ml
Injekcia Hydromorphone hydrochloride 1 mg/ml
314
Okamžité zrážanie nezlučiteľný
Injekcia Heparin sodium <12,5 UI/ml
Injekcia Hydromorphone hydrochloride >25 mg/ml
0,9% chlorid sodný 66
kompatibilný
Injekcia Heparin sodium
Injekcia Hydromorphone hydrochloride <12.5 mg/ml
voda na injekciu 66
Okamžité zrážanie nezlučiteľný
Injekcia Heparin sodium <1 UI/ml
Injekcia Hydromorphone hydrochloride >10 mg/ml
voda na injekciu 66
Okamžité zrážanie nezlučiteľný
Injekcia Heparin sodium <12,5 UI/ml
Injekcia Hydromorphone hydrochloride >25 mg/ml
voda na injekciu 66
kompatibilný
Injekcia Heparin sodium 100 UI/ml
Injekcia Ibuprofen lysinate 10 mg/ml
voda na injekciu 4419
kompatibilný
Injekcia Heparin sodium 10 UI/ml
Injekcia Ibuprofen lysinate 10 mg/ml
voda na injekciu 4419
Okamžitá zákal nezlučiteľný
Injekcia Heparin sodium 100 & 1000 UI/ml
Injekcia Idarubicin hydrochloride 1 mg/ml
0,9% chlorid sodný 491
Okamžité zrážanie nezlučiteľný
Injekcia Heparin sodium
Injekcia Idarubicin hydrochloride
5075
kompatibilný
Injekcia Heparin sodium
Injekcia Imipenem-Cilastatin / Relebactam
4809
kompatibilný
Injekcia Heparin sodium 1000 UI/ml
Injekcia Imipenem-Cilastatin / Relebactam 5 mg/ml
0,9% chlorid sodný 4433
kompatibilný
Injekcia Heparin sodium 1000 UI/ml
Injekcia Imipenem-Cilastatin / Relebactam 5 mg/ml
5% glukóza 4433
kompatibilný
Injekcia Heparin sodium 500 UI/ml
Injekcia Insulin 2 UI/ml
0,9% chlorid sodný 3823
kompatibilný
Injekcia Heparin sodium 60 UI/ml
Injekcia Insulin 0.2 UI/ml
0,9% chlorid sodný 129
kompatibilný
Injekcia Heparin sodium 50 & 400 UI/ml
Injekcia Insulin aspart 1 UI/ml
5% glukóza 1508
kompatibilný
Injekcia Heparin sodium 50 & 400 UI/ml
Injekcia Insulin aspart 1 UI/ml
0,9% chlorid sodný 1508
kompatibilný
Injekcia Heparin sodium 10000 UI/ml
Injekcia Iohexol 300 mg I/ml
Žiadny 1085
kompatibilný
Injekcia Heparin sodium 10000 UI/ml
Injekcia Ioxaglate 320 mg I/ml
Žiadny 1085
Okamžitá zákal nezlučiteľný
Injekcia Heparin sodium 1000 UI/ml
Injekcia Isavuconazonium sulfate 1.5 mg/ml
0,9% chlorid sodný 3829
Okamžitá zákal nezlučiteľný
Injekcia Heparin sodium 1000 UI/ml
Injekcia Isavuconazonium sulfate 1.5 mg/ml
5% glukóza 3829
kompatibilný
Injekcia Heparin sodium 1 UI/ml
Injekcia Isoprenaline hydrochloride 0.2 mg/ml
5% glukóza 1228
kompatibilný
Injekcia Heparin sodium 1 UI/ml
Injekcia Isoprenaline hydrochloride 0.2 mg/ml
0,9% chlorid sodný 1228
kompatibilný
Injekcia Heparin sodium 1 UI/ml
Injekcia Isoprenaline hydrochloride 0.2 mg/ml
Ringerov laktátový roztok 1228
Nešpecifikovaná nekompatibilita nezlučiteľný
Injekcia Heparin sodium
Injekcia Kanamycin sulfate
3540
Okamžité zrážanie nezlučiteľný
Injekcia Heparin sodium 25000 UI/ml
Injekcia Ketamine hydrochloride 50 mg/ml
2109
kompatibilný
Injekcia Heparin sodium 100 UI/ml
Injekcia Labetalol hydrochloride 2 mg/ml
314
Nešpecifikovaná nekompatibilita nezlučiteľný
Injekcia Heparin sodium 500 UI/ml
Injekcia Labetalol hydrochloride 4 mg/ml
0,9% chlorid sodný 3823
Nešpecifikovaná nekompatibilita nezlučiteľný
Injekcia Heparin sodium
Injekcia Labetalol hydrochloride
3540
Okamžité zrážanie nezlučiteľný
Injekcia Heparin sodium 100 UI/ml
Injekcia Labetalol hydrochloride 5 mg/ml
5% glukóza 295
kompatibilný
Injekcia Heparin sodium 40 UI/ml
Injekcia Labetalol hydrochloride 1 mg/ml
5% glukóza 386
kompatibilný
Injekcia Heparin sodium 100 UI/ml
Injekcia Lansoprazole 0.55 mg/ml
0,9% chlorid sodný 1625
Zákal za 4 hodiny nezlučiteľný
Injekcia Heparin sodium 100 UI/ml
Injekcia Levetiracetam 100 mg/ml
5% glukóza 4108
Okamžitá zákal nezlučiteľný
Injekcia Heparin sodium 208,3 UI/ml
Injekcia Levetiracetam 15 mg/ml
0,9% chlorid sodný 4698
Nešpecifikovaná nekompatibilita nezlučiteľný
Injekcia Heparin sodium
Injekcia Levofloxacine
3920
Okamžité zrážanie nezlučiteľný
Injekcia Heparin sodium 10 UI/ml
Injekcia Levofloxacine 5 mg/ml
5% glukóza 1072
Nešpecifikovaná nekompatibilita nezlučiteľný
Injekcia Heparin sodium
Injekcia Levomepromazine
3540
kompatibilný
Injekcia Heparin sodium 100 UI/ml
Injekcia Levosimendan 2,5 mg/ml
5% glukóza 4389
kompatibilný
Injekcia Heparin sodium 50 UI/ml
Injekcia Lidocaine hydrochloride 4 mg/ml
Žiadny 317
kompatibilný
Injekcia Heparin sodium 1000 UI/ml
Injekcia Linezolid 2 mg/ml
Žiadny 1925
kompatibilný
Injekcia Heparin sodium 10 >> 10000 UI/ml
Injekcia Linezolid 0.2 >> 1.92 mg/ml
0,9% chlorid sodný 2057
kompatibilný
Injekcia Heparin sodium 417 UI/ml
Injekcia Lorazepam 0.33 mg/ml
0,9% chlorid sodný 186
kompatibilný
Injekcia Heparin sodium 100 UI/ml
Injekcia Lorazepam 0.5 mg/ml
314
kompatibilný
Injekcia Heparin sodium 1 UI/ml
Injekcia Magnesium sulfate 5 mg/ml
0,9% chlorid sodný 1228
kompatibilný
Injekcia Heparin sodium 50 UI/ml
Injekcia Magnesium sulfate 15.6 mg/ml
0,9% chlorid sodný 2100
kompatibilný
Injekcia Heparin sodium 1 UI/ml
Injekcia Magnesium sulfate 5 mg/ml
Ringerov laktátový roztok 1228
kompatibilný
Injekcia Heparin sodium 1 UI/ml
Injekcia Magnesium sulfate 5 mg/ml
5% glukóza 1228
kompatibilný
Injekcia Heparin sodium 100 UI/ml
Injekcia Melphalan 0.1 mg/ml
0,9% chlorid sodný 169
kompatibilný
Injekcia Heparin sodium 0.5 UI/ml
Injekcia Meropenem 0.5 mg/ml
Dianéal® 4.25% glucose (Baxter) 4180
kompatibilný
Injekcia Heparin sodium 0.5 UI/ml
Injekcia Meropenem 0.5 mg/ml
Extraneal® (Baxter) 4180
kompatibilný
Injekcia Heparin sodium 1000 UI/ml
Injekcia Meropenem 50 mg/ml
voda na injekciu 4319
kompatibilný
Injekcia Heparin sodium 1 UI/ml
Injekcia Meropenem 1 & 50 mg/ml
0,9% chlorid sodný 266
kompatibilný
Injekcia Heparin sodium 0.5 UI/ml
Injekcia Meropenem 0.5 mg/ml
Dianéal® 1.5% glucose (Baxter) 4180
kompatibilný
Injekcia Heparin sodium 20 UI/ml
Injekcia Meropenem 1 & 20 mg/ml
0,9% chlorid sodný 266
kompatibilný
Injekcia Heparin sodium 0.5 UI/ml
Injekcia Meropenem 0.5 mg/ml
Dianéal® 2.5% glucose (Baxter) 4180
kompatibilný
Injekcia Heparin sodium 50 UI/ml
Injekcia Methadone hydrochloride 0.2 mg/ml
5% glukóza 1506
kompatibilný
Injekcia Heparin sodium 50 UI/ml
Injekcia Methadone hydrochloride 0.2 mg/ml
0,9% chlorid sodný 1506
Nešpecifikovaná nekompatibilita nezlučiteľný
Injekcia Heparin sodium
Injekcia Methotrexate sodium
3637
kompatibilný
Injekcia Heparin sodium 1000 UI/ml
Injekcia Methotrexate sodium 25 mg/ml
763
kompatibilný
Injekcia Heparin sodium 500 UI/ml
Injekcia Methotrexate sodium 30 mg/ml
0,9% chlorid sodný 150
kompatibilný
Injekcia Heparin sodium 100 UI/ml
Injekcia Methylprednisolone sodium succinate 5 mg/ml
5% glukóza 132
kompatibilný
Injekcia Heparin sodium 50 UI/ml
Injekcia Methylprednisolone sodium succinate 2.5 mg/ml
Žiadny 317
kompatibilný
Injekcia Heparin sodium 100 UI/ml
Injekcia Methylprednisolone sodium succinate 5 mg/ml
0,9% chlorid sodný 132
kompatibilný
Injekcia Heparin sodium 1000 UI/ml
Injekcia Metoclopramide hydrochloride 5 mg/ml
763
Chemická nestabilita nezlučiteľný
Injekcia Heparin sodium 1000 UI/ml
Injekcia Metoprolol tartrate 1 mg/ml
Žiadny 2346
kompatibilný
Injekcia Heparin sodium 50 UI/ml
Injekcia Metronidazole 5 mg/ml
Žiadny 317
kompatibilný
Injekcia Heparin sodium 100 UI/ml
Injekcia Micafungin 1.5 mg/ml
0,9% chlorid sodný 2108
Okamžitá zákal nezlučiteľný
Injekcia Heparin sodium 208,3 UI/ml
Injekcia Midazolam hydrochloride 1 mg/ml
0,9% chlorid sodný 4698
kompatibilný
Injekcia Heparin sodium 500 UI/ml
Injekcia Midazolam hydrochloride 2.1 mg/ml
0,9% chlorid sodný 3823
kompatibilný
Injekcia Heparin sodium 417 UI/ml
Injekcia Midazolam hydrochloride 5 mg/ml
Žiadny 186
kompatibilný
Injekcia Heparin sodium 100 UI/ml
Injekcia Midazolam hydrochloride 5 mg/ml
4389
kompatibilný
Injekcia Heparin sodium 100 UI/ml
Injekcia Midazolam hydrochloride 2 mg/ml
314
kompatibilný
Injekcia Heparin sodium 200 UI/ml
Injekcia Milrinone lactate 0.8 mg/ml
5% glukóza 813
kompatibilný
Injekcia Heparin sodium 100 UI/ml
Injekcia Milrinone lactate 0.2 mg/ml
314
kompatibilný
Injekcia Heparin sodium 1 UI/ml
Injekcia Minocycline hydrochloride 0.2 mg/ml
5% glukóza 1228
kompatibilný
Injekcia Heparin sodium 1 UI/ml
Injekcia Minocycline hydrochloride 0.2 mg/ml
Ringerov laktátový roztok 1228
kompatibilný
Injekcia Heparin sodium 1 UI/ml
Injekcia Minocycline hydrochloride 0.2 mg/ml
0,9% chlorid sodný 1228
Nešpecifikovaná nekompatibilita nezlučiteľný
Injekcia Heparin sodium
Injekcia Mitoxantrone dihydrochloride
3640
Nešpecifikovaná nekompatibilita nezlučiteľný
Injekcia Heparin sodium
Injekcia Morphine hydrochloride
5069
kompatibilný
Injekcia Heparin sodium 100 & 200 UI/ml
Injekcia Morphine sulfate 1 >> 5 mg/ml
voda na injekciu 341
kompatibilný
Injekcia Heparin sodium 1 UI/ml
Injekcia Morphine sulfate 15 mg/ml
Ringerov laktátový roztok 1228
Nešpecifikovaná nekompatibilita nezlučiteľný
Injekcia Heparin sodium
Injekcia Morphine sulfate
3531
kompatibilný
Injekcia Heparin sodium 1 UI/ml
Injekcia Morphine sulfate 15 mg/ml
5% glukóza 1228
kompatibilný
Injekcia Heparin sodium 1 UI/ml
Injekcia Morphine sulfate 15 mg/ml
0,9% chlorid sodný 1228
kompatibilný
Injekcia Heparin sodium 60 UI/ml
Injekcia Morphine sulfate 1 mg/ml
0,9% chlorid sodný 406
kompatibilný
Injekcia Heparin sodium 100 & 200 UI/ml
Injekcia Morphine sulfate 10 mg/ml
voda na injekciu 341
kompatibilný
Injekcia Heparin sodium 100 UI/ml
Injekcia Morphine sulfate 2 mg/ml
314
Chemická nestabilita nezlučiteľný
Injekcia Heparin sodium 100 & 200 UI/ml
Injekcia Morphine sulfate 1 >> 10 mg/ml
0,9% chlorid sodný 341
kompatibilný
Injekcia Heparin sodium 1000 UI/ml
Injekcia N-acetylcysteine 200 mg/ml
Žiadny 3766
kompatibilný
Injekcia Heparin sodium 50 UI/ml
Injekcia Nafcillin sodium 20 mg/ml
Žiadny 317
kompatibilný
Injekcia Heparin sodium 1000 UI/ml
Injekcia Naloxone hydrochloride 0.4 mg/ml
Žiadny 3408
Okamžitá zákal nezlučiteľný
Injekcia Heparin sodium 208,3 UI/ml
Injekcia Nefopam 1,7 mg/ml
0,9% chlorid sodný 4698
kompatibilný
Injekcia Heparin sodium 1 UI/ml
Injekcia Neostigmine methylsulfate 0.5 mg/ml
5% glukóza 1228
kompatibilný
Injekcia Heparin sodium 1 UI/ml
Injekcia Neostigmine methylsulfate 0.5 mg/ml
0,9% chlorid sodný 1228
kompatibilný
Injekcia Heparin sodium 1 UI/ml
Injekcia Neostigmine methylsulfate 0.5 mg/ml
Ringerov laktátový roztok 1228
Nešpecifikovaná nekompatibilita nezlučiteľný
Injekcia Heparin sodium
Injekcia Nesiritide
5048
Nešpecifikovaná nekompatibilita nezlučiteľný
Injekcia Heparin sodium
Injekcia Netilmicin sulfate
3540
Okamžité zrážanie nezlučiteľný
Injekcia Heparin sodium
Injekcia Netilmicin sulfate
1022
Okamžité zrážanie nezlučiteľný
Injekcia Heparin sodium 100 UI/ml
Injekcia Nicardipine hydrochloride 1 mg/ml
314
Nešpecifikovaná nekompatibilita nezlučiteľný
Injekcia Heparin sodium
Injekcia Nicardipine hydrochloride
3540
kompatibilný
Injekcia Heparin sodium 40 UI/ml
Injekcia Nicardipine hydrochloride 0.1 mg/ml
5% glukóza 1490
kompatibilný
Injekcia Heparin sodium 40 UI/ml
Injekcia Nicardipine hydrochloride 0.1 mg/ml
0,9% chlorid sodný 1490
Okamžité zrážanie nezlučiteľný
Injekcia Heparin sodium 100 UI/ml
Injekcia Nitroglycerin 1,6 >> 3,25 mg/ml
5% glukóza 295
kompatibilný
Injekcia Heparin sodium 500 UI/ml
Injekcia Nitroglycerin 0.2 mg/ml
0,9% chlorid sodný 3823
Výroba plynových bublín nezlučiteľný
Injekcia Heparin sodium 50 UI/ml
Injekcia Nitroglycerin 0.2 mg/ml
Žiadny 317
kompatibilný
Injekcia Heparin sodium 500 UI/ml
Injekcia Nitroglycerin 0.2 mg/ml
5% glukóza 3823
kompatibilný
Injekcia Heparin sodium 100 UI/ml
Injekcia Nitroglycerin 0.4 mg/ml
314
kompatibilný
Injekcia Heparin sodium 50 UI/ml
Injekcia Nitroprusside sodium 0.2 mg/ml
Žiadny 317
kompatibilný
Injekcia Heparin sodium 100 UI/ml
Injekcia Nitroprusside sodium 0.2 mg/ml
5% glukóza 295
kompatibilný
Injekcia Heparin sodium 100 UI/ml
Injekcia Norepinephrine bitartrate 0.128 mg/ml
314
Nešpecifikovaná nekompatibilita nezlučiteľný
Injekcia Heparin sodium
Injekcia Ofloxacin
3562
kompatibilný
Injekcia Heparin sodium 40 UI/ml
Injekcia Ondansetron hydrochloride 1 mg/ml
0,9% chlorid sodný 334
nezlučiteľný
Injekcia Heparin sodium 200 UI/ml
Injekcia Ondansetron hydrochloride 1.6 mg/ml
1699
Okamžitá zákal nezlučiteľný
Injekcia Heparin sodium 100 UI/ml
Injekcia Oritavancin 0.8 >>1.2 mg/ml
5% glukóza 3152
Zrážky po 4 hodinách nezlučiteľný
Injekcia Heparin sodium 100 UI/ml
Injekcia Oritavancin 2 mg/ml
5% glukóza 3152
kompatibilný
Injekcia Heparin sodium 208 UI/ml
Injekcia Ornidazole 31.25 mg/ml
0,9% chlorid sodný 4254
kompatibilný
Injekcia Heparin sodium 1 UI/ml
Injekcia Oxacillin sodium 100 mg/ml
5% glukóza 1228
kompatibilný
Injekcia Heparin sodium 1 UI/ml
Injekcia Oxacillin sodium 100 mg/ml
Ringerov laktátový roztok 1228
kompatibilný
Injekcia Heparin sodium 1 UI/ml
Injekcia Oxacillin sodium 100 mg/ml
0,9% chlorid sodný 1228
kompatibilný
Injekcia Heparin sodium 100 UI/ml
Injekcia Oxaliplatin 0,5 mg/ml
5% glukóza 1662
Nešpecifikovaná nekompatibilita nezlučiteľný
Injekcia Heparin sodium
Injekcia Oxytetracycline hydrochloride
3540
kompatibilný
Injekcia Heparin sodium 100 UI/ml
Injekcia Paclitaxel 1.2 mg/ml
5% glukóza 248
kompatibilný
Injekcia Heparin sodium 100 UI/ml
Injekcia Palonosetron hydrochloride 50 µg/ml
5% glukóza 2279
kompatibilný
Injekcia Heparin sodium 40 UI/ml
Injekcia Pancuronium bromide 0.05 mg/ml
5% glukóza 402
Zrážky po 1 hodine nezlučiteľný
Injekcia Heparin sodium
Injekcia Pantoprazole sodium
2090
kompatibilný
Injekcia Heparin sodium 208,3 UI/ml
Injekcia Paracetamol 10 mg/ml
0,9% chlorid sodný 4698
kompatibilný
Injekcia Heparin sodium 1000 UI/ml
Injekcia Paracetamol 10 mg/ml
4742
kompatibilný
Injekcia Heparin sodium 100 UI/ml
Injekcia Pemetrexed disodium 20 mg/ml
0,9% chlorid sodný 1953
Nešpecifikovaná nekompatibilita nezlučiteľný
Injekcia Heparin sodium
Injekcia Penicillin G potassium
3540
kompatibilný
Injekcia Heparin sodium 50 UI/ml
Injekcia Penicillin G potassium 0.04 MUI/ml
Žiadny 317
Nešpecifikovaná nekompatibilita nezlučiteľný
Injekcia Heparin sodium
Injekcia Penicillin G sodium
3540
kompatibilný
Injekcia Heparin sodium 100 UI/ml
Injekcia Pentoxifyllin 5 mg/ml
0,9% chlorid sodný 4538
Okamžitá zákal nezlučiteľný
Injekcia Heparin sodium
Injekcia Pethidine hydrochloride
3525
kompatibilný
Injekcia Heparin sodium 60 UI/ml
Injekcia Pethidine hydrochloride 10 mg/ml
0,9% chlorid sodný 406
Nešpecifikovaná nekompatibilita nezlučiteľný
Injekcia Heparin sodium
Injekcia Pethidine hydrochloride
3540
Okamžité zrážanie nezlučiteľný
Injekcia Heparin sodium 50 UI/ml
Injekcia Phenytoin sodium 2 mg/ml
Žiadny 317
kompatibilný
Injekcia Heparin sodium 50 UI/ml
Injekcia Piperacillin sodium 60 mg/ml
Žiadny 317
kompatibilný
Injekcia Heparin sodium 10 & 5000 UI/ml
Injekcia Piperacillin sodium 40 mg/ml
0,9% chlorid sodný 2037
kompatibilný
Injekcia Heparin sodium 0.5 UI/ml
Injekcia Piperacillin sodium / tazobactam 0.5/0.0625 mg/ml
Dianéal® 2.5% glucose (Baxter) 4180
kompatibilný
Injekcia Heparin sodium 0.5 UI/ml
Injekcia Piperacillin sodium / tazobactam 0.5/0.0625 mg/ml
Dianéal® 4.25% glucose (Baxter) 4180
Okamžitá zákal nezlučiteľný
Injekcia Heparin sodium 1000 UI/ml
Injekcia Plazomicin sulfate 24 mg/ml
0,9% chlorid sodný 4145
Nešpecifikovaná nekompatibilita nezlučiteľný
Injekcia Heparin sodium
Injekcia Polymyxine B
3540
kompatibilný
Injekcia Heparin sodium 50 UI/ml
Injekcia Potassium chloride 200 mEq/l
Žiadny 317
kompatibilný
Injekcia Heparin sodium 1 UI/ml
Injekcia Procainamide hydrochloride 100 mg/ml
Ringerov laktátový roztok 1228
kompatibilný
Injekcia Heparin sodium 1 UI/ml
Injekcia Procainamide hydrochloride 100 mg/ml
0,9% chlorid sodný 1228
kompatibilný
Injekcia Heparin sodium 1 UI/ml
Injekcia Prochlorperazine edysilate 5 mg/ml
0,9% chlorid sodný 1228
kompatibilný
Injekcia Heparin sodium 3 >> 20 UI/ml
parenterálna výživa (binárna zmes) 791
kompatibilný
Injekcia Heparin sodium 100 UI/ml
parenterálna výživa (binárna zmes) 301
kompatibilný
Injekcia Heparin sodium 500 UI/ml
parenterálna výživa (binárna zmes) 939
kompatibilný
Injekcia Heparin sodium 1 UI/ml
Injekcia Prochlorperazine edysilate 5 mg/ml
Ringerov laktátový roztok 1228
kompatibilný
Injekcia Heparin sodium 1 UI/ml
Injekcia Promethazine hydrochloride 50 mg/ml
0,9% chlorid sodný 1228
kompatibilný
Injekcia Heparin sodium 1 UI/ml
Injekcia Promethazine hydrochloride 50 mg/ml
Ringerov laktátový roztok 1228
kompatibilný
Injekcia Heparin sodium 1 UI/ml
Injekcia Propranolol hydrochloride 1 mg/ml
Ringerov laktátový roztok 1228
kompatibilný
Injekcia Heparin sodium 1 UI/ml
Injekcia Propranolol hydrochloride 1 mg/ml
0,9% chlorid sodný 1228
kompatibilný
Injekcia Heparin sodium 50 UI/ml
Injekcia Ranitidine hydrochloride 0,5 mg/ml
5% glukóza 396
kompatibilný
Injekcia Heparin sodium 10 & 40 UI/ml
Injekcia Ranitidine hydrochloride 0.05 & 2 mg/ml
0,9% chlorid sodný 214
kompatibilný
Injekcia Heparin sodium 50 UI/ml
Injekcia Ranitidine hydrochloride 1 mg/ml
Žiadny 317
kompatibilný
Injekcia Heparin sodium 1000 UI/ml
Injekcia Remdesivir 1 mg/ml
0,9% chlorid sodný 4768
kompatibilný
Injekcia Heparin sodium 100 UI/ml
Injekcia Remifentanil hydrochloride 25 & 250 µg/ml
0,9% chlorid sodný 59
kompatibilný
Injekcia Heparin sodium 500 UI/ml
Injekcia Remifentanil hydrochloride 100 µg/ml
0,9% chlorid sodný 3823
kompatibilný
Injekcia Heparin sodium 500 UI/ml
NaHCO3 150
kompatibilný
Injekcia Heparin sodium 1.4 UI/ml
Injekcia Piperacillin sodium / tazobactam 1.38/0.1725 mg/ml
Physionéal® 2.27 (Baxter) 4180
kompatibilný
Injekcia Heparin sodium 1.4 UI/ml
Injekcia Piperacillin sodium / tazobactam 1.38/0.1725 mg/ml
Physionéal® 1.36 (Baxter) 4180
kompatibilný
Injekcia Heparin sodium 0.5 UI/ml
Injekcia Piperacillin sodium / tazobactam 0.5/0.0625 mg/ml
Dianéal® 1.5% glucose (Baxter) 4180
kompatibilný
Injekcia Heparin sodium 1.4 UI/ml
Injekcia Piperacillin sodium / tazobactam 1.38/0.1725 mg/ml
Physionéal® 3.86 (Baxter) 4180
kompatibilný
Injekcia Heparin sodium 100 UI/ml
Injekcia Piperacillin sodium / tazobactam 40/5 mg/ml
5% glukóza 81
kompatibilný
Injekcia Heparin sodium 0.5 UI/ml
Injekcia Piperacillin sodium / tazobactam 0.5/0.0625 mg/ml
Extraneal® (Baxter) 4180
kompatibilný
Injekcia Heparin sodium 500 UI/ml
Injekcia Potassium chloride 10 mEq/l
0,9% chlorid sodný 3823
kompatibilný
Injekcia Heparin sodium 58,34 UI/ml
Injekcia Potassium chloride 1250 mEq/l
5% glukóza 1289
kompatibilný
Injekcia Heparin sodium
Injekcia Potassium phosphate
3781
kompatibilný
Injekcia Heparin sodium 1 UI/ml
Injekcia Procainamide hydrochloride 100 mg/ml
5% glukóza 1228
kompatibilný
Injekcia Heparin sodium 1 UI/ml
Injekcia Prochlorperazine edysilate 5 mg/ml
5% glukóza 1228
kompatibilný
Injekcia Heparin sodium 1 UI/ml
Injekcia Promethazine hydrochloride 50 mg/ml
5% glukóza 1228
Nešpecifikovaná nekompatibilita nezlučiteľný
Injekcia Heparin sodium
Injekcia Promethazine hydrochloride
3540
Nestabilita emulzie po 1 hodine nezlučiteľný
Injekcia Heparin sodium 1000 UI/ml
Injekcia Propofol
660
kompatibilný
Injekcia Heparin sodium 100 UI/ml
Injekcia Propofol 10 mg/ml
Žiadny 300
kompatibilný
Injekcia Heparin sodium 1 UI/ml
Injekcia Propranolol hydrochloride 1 mg/ml
5% glukóza 1228
kompatibilný
Injekcia Heparin sodium 100 UI/ml
Injekcia Ranitidine hydrochloride 1 mg/ml
314
kompatibilný
Injekcia Heparin sodium 10 & 40 UI/ml
Injekcia Ranitidine hydrochloride 0.05 & 2 mg/ml
5% glukóza 214
kompatibilný
Injekcia Heparin sodium 416.7 UI/ml
Injekcia Remifentanil hydrochloride 120 µg/ml
5% glukóza 3294
kompatibilný
Injekcia Heparin sodium 416.7 UI/ml
Injekcia Remifentanil hydrochloride 120 µg/ml
5% glukóza 3176
Nešpecifikovaná nekompatibilita nezlučiteľný
Injekcia Heparin sodium
Injekcia Reteplase
2212
kompatibilný
Injekcia Heparin sodium 20,458 >> 28,000 UI/ml
Parenterálna výživa (lipidy) 1868
Nešpecifikovaná nekompatibilita nezlučiteľný
Injekcia Heparin sodium
Injekcia Reteplase
3540
kompatibilný
Injekcia Heparin sodium 1000 UI/ml
Injekcia Salbutamol sulfate 1 mg/ml
Žiadny 3216
kompatibilný
Injekcia Heparin sodium 100 UI/ml
Injekcia Sargramostim 6 §15 µg/ml
0,9% chlorid sodný 891
kompatibilný
Injekcia Heparin sodium 100 UI/ml
Injekcia Sargramostim 10 µg/ml
0,9% chlorid sodný 335
kompatibilný
Injekcia Heparin sodium 1 UI/ml
Injekcia Scopolamine hydrobromide 0.86 mg/ml
0,9% chlorid sodný 1228
kompatibilný
Injekcia Heparin sodium 1 UI/ml
Injekcia Scopolamine hydrobromide 0.86 mg/ml
Ringerov laktátový roztok 1228
kompatibilný
Injekcia Heparin sodium 1 UI/ml
Injekcia Scopolamine hydrobromide 0.86 mg/ml
5% glukóza 1228
kompatibilný
Injekcia Heparin sodium 100 UI/ml
Injekcia Sildenafil citrate 0,6 mg/ml
5% glukóza 4845
kompatibilný
Injekcia Heparin sodium 100 UI/ml
Injekcia Sildenafil citrate 0,06 mg/ml
5% glukóza 4845
kompatibilný
Injekcia Heparin sodium 1 UI/ml
Injekcia Sildenafil citrate 0,4 mg/ml
5% glukóza 3923
kompatibilný
Injekcia Heparin sodium 2 UI/ml
Injekcia Sildenafil citrate 0,6 mg/ml
5% glukóza 4845
kompatibilný
Injekcia Heparin sodium
0,9% chlorid sodný 3540
Okamžitá nestabilita emulzie nezlučiteľný
Injekcia Heparin sodium 100 UI/ml
Parenterálna výživa (lipidy) 132
Okamžitá zákal nezlučiteľný
Injekcia Heparin sodium 100 UI/ml
Injekcia Sildenafil citrate 0,6 mg/ml
5% glukóza 4845
kompatibilný
Injekcia Heparin sodium 500 UI/ml
Injekcia Sodium bicarbonate 84 mg/ml
0,9% chlorid sodný 3823
kompatibilný
Injekcia Heparin sodium
Injekcia Sodium bicarbonate
3466
kompatibilný
Injekcia Heparin sodium 500 UI/ml
Injekcia Sodium bicarbonate 14 mg/ml
Žiadny 150
kompatibilný
Injekcia Heparin sodium 500 UI/ml
Injekcia Sodium bicarbonate 84 mg/ml
Žiadny 3212
kompatibilný
Injekcia Heparin sodium 208 UI/ml
Injekcia Spiramycine adipate 0.0625 MUI/ml
0,9% chlorid sodný 4254
kompatibilný
Injekcia Heparin sodium 100 UI/ml
Injekcia Streptokinase 30000 UI/ml
5% glukóza 92
Nešpecifikovaná nekompatibilita nezlučiteľný
Injekcia Heparin sodium
Injekcia Streptomycin sulfate
3540
kompatibilný
Injekcia Heparin sodium 416.7 UI/ml
Injekcia Sufentanil citrate 0.005 mg/ml
5% glukóza 3294
kompatibilný
Injekcia Heparin sodium 1000 UI/ml
Injekcia Sugammadex 100 mg/ml
Žiadny 3372
kompatibilný
Injekcia Heparin sodium 10 UI/ml
Injekcia Tacrolimus 1000 µg/ml
0,9% chlorid sodný 479
kompatibilný
Injekcia Heparin sodium 1000 UI/ml
Ringerov laktátový roztok 4603
kompatibilný
Injekcia Heparin sodium 1000 UI/ml
Injekcia Sulbactam/durlobactam 15/15 mg/ml
0,9% chlorid sodný 4801
kompatibilný
Injekcia Heparin sodium 1000 UI/ml
Injekcia Tedizolid phosphate 0.8 mg/ml
0,9% chlorid sodný 3827
kompatibilný
Injekcia Heparin sodium 10 >> 10000 UI/ml
Injekcia Teicoplanine 0.02 >> 10 mg/ml
0,9% chlorid sodný 2057
Okamžitá zákal nezlučiteľný
Injekcia Heparin sodium 1000 UI/ml
Injekcia Telavancin hydrochloride 7,5 mg/ml
5% glukóza 3254
Okamžitá zákal nezlučiteľný
Injekcia Heparin sodium 1000 UI/ml
Injekcia Telavancin hydrochloride 7,5 mg/ml
0,9% chlorid sodný 3254
kompatibilný
Injekcia Heparin sodium 1000 UI/ml
Injekcia Telavancin hydrochloride 7.5 mg/ml
Ringerov laktátový roztok 3254
Okamžité zrážanie nezlučiteľný
Injekcia Heparin sodium 1000 UI/ml
Injekcia Thiopental sodium 25 mg/ml
0,9% chlorid sodný 3767
Okamžitá nestabilita emulzie nezlučiteľný
Injekcia Heparin sodium 1 UI/ml
Parenterálna výživa (lipidy) 1391
kompatibilný
Injekcia Heparin sodium 100 UI/ml
Injekcia Teniposide 0.1 mg/ml
5% glukóza 905
kompatibilný
Injekcia Heparin sodium 50 UI/ml
Injekcia Theophylline 4 mg/ml
Žiadny 317
kompatibilný
Injekcia Heparin sodium 100 UI/ml
Injekcia Thiopental sodium 25 mg/ml
314
Okamžitá nestabilita emulzie nezlučiteľný
Injekcia Heparin sodium 100 UI/ml
Parenterálna výživa (lipidy) 1415
kompatibilný
Injekcia Heparin sodium 500 UI/ml
Injekcia Thiopental sodium 60 mg/ml
0,9% chlorid sodný 3823
kompatibilný
Injekcia Heparin sodium 100 UI/ml
Injekcia Thiotepa 1 mg/ml
5% glukóza 249
kompatibilný
Injekcia Heparin sodium 50 UI/ml
Injekcia Ticarcillin / clavulanic acid 31 mg/ml
Žiadny 317
kompatibilný
Injekcia Heparin sodium 500 UI/ml
Injekcia Tirofiban 250 µg/ml
0,9% chlorid sodný 3823
kompatibilný
Injekcia Heparin sodium 40 & 100 UI/ml
Injekcia Tirofiban 50 µg/ml
0,9% chlorid sodný 1420
kompatibilný
Injekcia Heparin sodium
5% glukóza 3540
kompatibilný
Injekcia Heparin sodium
Injekcia Tirofiban
1512
kompatibilný
Injekcia Heparin sodium 40 & 100 UI/ml
Injekcia Tirofiban 50 µg/ml
5% glukóza 1420
Nešpecifikovaná nekompatibilita nezlučiteľný
Injekcia Heparin sodium 50 UI/ml
Injekcia Tobramycin sulfate 0.8 mg/ml
Žiadny 317
Nešpecifikovaná nekompatibilita nezlučiteľný
Injekcia Heparin sodium
Injekcia Tobramycin sulfate
3540
kompatibilný
Injekcia Heparin sodium
Injekcia Tranexamic acid
5016
Nešpecifikovaná nekompatibilita nezlučiteľný
Injekcia Heparin sodium
Injekcia Triflupromazine hydrochloride
3540
kompatibilný
Injekcia Heparin sodium 500 UI/ml
Injekcia Urapidil 5 mg/ml
0,9% chlorid sodný 3823
Okamžité zrážanie nezlučiteľný
Injekcia Heparin sodium 0,5 >> 14,3 UI/ml
Injekcia Vancomycin hydrochloride 6,9 >> 14,3 mg/ml
Dianéal® PD1 4.25% glukóza (Baxter) 2375
Nešpecifikovaná nekompatibilita nezlučiteľný
Injekcia Heparin sodium
Injekcia Vancomycin hydrochloride
3588
Nešpecifikovaná nekompatibilita nezlučiteľný
Injekcia Heparin sodium
Injekcia Vancomycin hydrochloride
3540
kompatibilný
Injekcia Heparin sodium 0,5 >> 14,3 UI/ml
Injekcia Vancomycin hydrochloride 0,015 >> 6,8 mg/ml
Dianéal® PD2 2.5% glucose (Baxter) 2375
Okamžité zrážanie nezlučiteľný
Injekcia Heparin sodium 0,5 >> 14,3 UI/ml
Injekcia Vancomycin hydrochloride 6,9 >> 14,3 mg/ml
Dianéal® PD2 2.5% glucose (Baxter) 2375
kompatibilný
Injekcia Heparin sodium 10 UI/ml
Injekcia Vancomycin hydrochloride 0.025 mg/ml
voda na injekciu 3125
kompatibilný
Injekcia Heparin sodium 0,5 >> 14,3 UI/ml
Injekcia Vancomycin hydrochloride 0,015 >> 6,8 mg/ml
Dianéal® PD1 4.25% glukóza (Baxter) 2375
Nešpecifikovaná nekompatibilita nezlučiteľný
Injekcia Heparin sodium 50 UI/ml
Injekcia Vancomycin hydrochloride 6.6 mg/ml
Žiadny 317
kompatibilný
Injekcia Heparin sodium 100 UI/ml
Injekcia Vancomycin hydrochloride 0.025 mg/ml
0,9% chlorid sodný 1414
kompatibilný
Injekcia Heparin sodium 10 UI/ml
Injekcia Vancomycin hydrochloride 2 mg/ml
0,9% chlorid sodný 2037
Okamžité zrážanie nezlučiteľný
Injekcia Heparin sodium 100 UI/ml
Injekcia Vancomycin hydrochloride 10 mg/ml
parenterálna výživa (binárna zmes) 132
kompatibilný
Injekcia Heparin sodium 5000 UI/ml
Injekcia Vancomycin hydrochloride 2.5 mg/ml
0,9% chlorid sodný 2037
kompatibilný
Injekcia Heparin sodium 100 UI/ml
Injekcia Vancomycin hydrochloride 0.025 mg/ml
0,9% chlorid sodný 895
kompatibilný
Injekcia Heparin sodium 100 UI/ml
Injekcia Vasopressin 2 & 4 UI/ml
0,9% chlorid sodný 1801
kompatibilný
Injekcia Heparin sodium 100 UI/ml
Injekcia Vecuronium bromide 1 mg/ml
314
kompatibilný
Injekcia Heparin sodium 40 UI/ml
Injekcia Vecuronium bromide 0.1 mg/ml
5% glukóza 402
kompatibilný
Injekcia Heparin sodium 20 UI/ml
Injekcia Verapamil hydrochloride 0.08 mg/ml
0,9% chlorid sodný 1057
kompatibilný
Injekcia Heparin sodium 20 UI/ml
Injekcia Verapamil hydrochloride 0.08 mg/ml
5% glukóza 1057
Nešpecifikovaná nekompatibilita nezlučiteľný
Injekcia Heparin sodium
Injekcia Vinblastine sulfate
3540
kompatibilný
Injekcia Heparin sodium 1000 UI/ml
Injekcia Vinblastine sulfate 1 mg/ml
763
kompatibilný
Injekcia Heparin sodium 1000 UI/ml
Injekcia Vincristine sulfate 1 mg/ml
763
kompatibilný
Injekcia Heparin sodium 100 UI/ml
Injekcia Vinorelbine tartrate 1 mg/ml
0,9% chlorid sodný 84
kompatibilný
Injekcia Heparin sodium 100 UI/ml
Injekcia Vinorelbine tartrate 1 mg/ml
0,9% chlorid sodný 1070
Okamžité zrážanie nezlučiteľný
Injekcia Heparin sodium 10 & 100 UI/ml
Injekcia Vinorelbine tartrate 2 & 3 mg/ml
0,9% chlorid sodný 1070
kompatibilný
Injekcia Heparin sodium 208 UI/ml
Injekcia Voriconazole 8 mg/ml
5% glukóza 4254
kompatibilný
Injekcia Heparin sodium 208 UI/ml
Injekcia Voriconazole 8 mg/ml
0,9% chlorid sodný 4254
kompatibilný
Injekcia Heparin sodium 100 UI/ml
Injekcia Warfarin sodium 2 mg/ml
5% glukóza 315
kompatibilný
Injekcia Heparin sodium 100 UI/ml
Injekcia Zidovudine 4 mg/ml
5% glukóza 337

  Mentions Légales