Última actualización :
27/01/2026
Anticoagulante   Heparin sodium  
Inyectables
Estabilidad en solucion Estabilidad en mezcla Factores que influyen sobre la estabilidad Compatibilidades método de inyección Bibliografía pdf
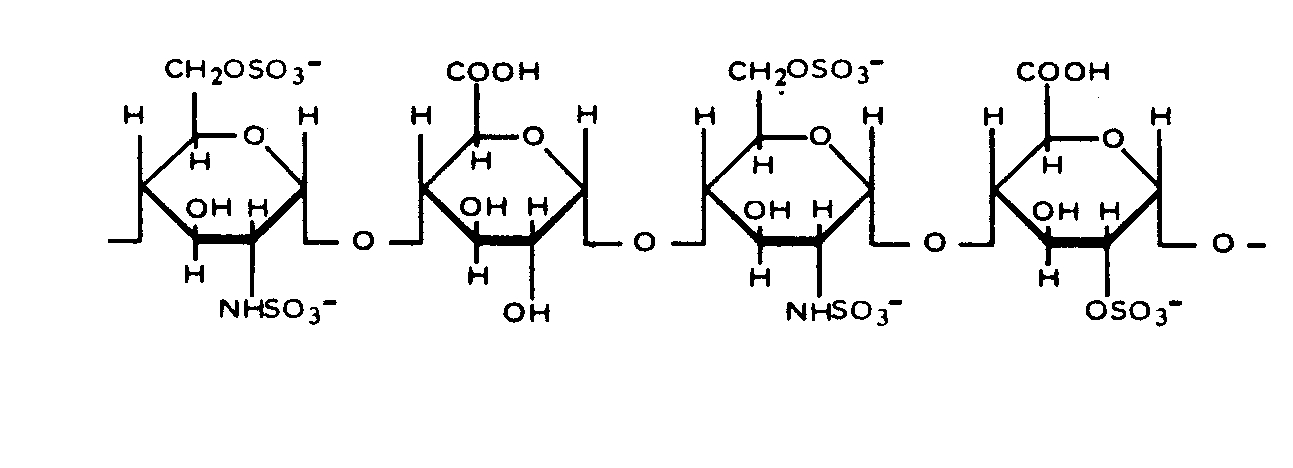
   Estructura química  

Nombre comercial   Nombre comercial     

Los nombres comerciales son orientativos y los excipientes de la formulación pueden ser distintos dependiendo del país y del laboratorio fabricante.

Arapin Chile
Ateroclar Italia
Clarisco Italia
Epsoclar Italia
Hepaflex Finlandia, Noruega
Hepamax Chile, Colombia, Ecuador
Heparin Austria, Canadá, Dinamarca, Estados Unidos de América, Finlandia, Gran Bretaña, Grecia, Hungría, Noruega, Países Bajos, ruso, Sudafrica, Suecia, Suiza, Tailandia, Turquía, Yugoslavia
Heparine Bélgica, Francia
Heparinised Australia
Heparstad Alemania
Liquemin Suiza, Turquía
Liquemine Brasil
Monoparin Arabia Saudita
Normoparin Italia
Nuparin Ecuador
Pharepa Italia
Riveparin Argentina
Sobrius Argentina, Ecuador
Thrombophob Alemania
Compatibilidades   Inyectables   Compatibilidades : Heparin sodium              
Esta pantalla muestra las compatibilidades o incompatibilidades, así como el tipo de incompatibilidad (precipitación, cambio de color, modificación de una emulsión, etc). Las compatibilidades que se recogen aquí son fundamentalmente físicas, mostrando raramente la estabilidad química de la molécula. La evaluación de estas mezclas se estudió con el fin de de comprobar la posibilidad de administración en Y al paciente. Estos datos no pueden utilizarse en el caso de la preparación de mezclas dentro de bolsas o jeringas. Este tipo de información está disponible en la pantalla “Estabilidad en mezcla”.
Molécula Solvente Bibliografía
Compatible
Inyectables Heparin sodium 100 UI/ml
Inyectables Aciclovir sodium 5 mg/ml
Cloruro de sodio 0,9% 2335
Compatible
Inyectables Heparin sodium 50 UI/ml
Inyectables Aciclovir sodium 5 mg/ml
Glucosa 5% 336
Compatible
Inyectables Heparin sodium 100 UI/ml
Inyectables Aldesleukin 0.0338 MUI/ml
Glucosa 5% 36
Compatible
Inyectables Heparin sodium 100 UI/ml
Inyectables Allopurinol sodium 3 mg/ml
Cloruro de sodio 0,9% 307
Compatible
Inyectables Heparin sodium 1 UI/ml
Inyectables Alprostadil 20 µg/ml
Cloruro de sodio 0,9% 4491
Compatible
Inyectables Heparin sodium 1 UI/ml
Inyectables Alprostadil 20 µg/ml
Glucosa 5% 4651
Precipitación después de 24 horas Incompatible
Inyectables Heparin sodium 100 UI/ml
Inyectables Alteplase 1 mg/ml
Agua para preparación inyectable 92
Incompatibilidad no especificada Incompatible
Inyectables Heparin sodium
Inyectables Alteplase
3540
Precipitación inmediata Incompatible
Inyectables Heparin sodium 40 UI/ml
Inyectables Alteplase 0.5 mg/ml
Agua para preparación inyectable 240
Incompatibilidad no especificada Incompatible
Inyectables Heparin sodium
Inyectables Alteplase
3616
Compatible
Inyectables Heparin sodium 100 UI/ml
Inyectables Amifostine 10 mg/ml
Glucosa 5% 3
Precipitación inmediata Incompatible
Inyectables Heparin sodium
Inyectables Amikacin sulfate
1022
Incompatibilidad no especificada Incompatible
Inyectables Heparin sodium
Inyectables Amikacin sulfate
3549
Incompatibilidad no especificada Incompatible
Inyectables Heparin sodium
Inyectables Amikacin sulfate
3540
Incompatibilidad no especificada Incompatible
Inyectables Heparin sodium 500 UI/ml
Inyectables Amiodarone hydrochloride 15 mg/ml
Cloruro de sodio 0,9% 3823
Incompatibilidad no especificada Incompatible
Inyectables Heparin sodium
Inyectables Amiodarone hydrochloride
3540
Turbidez inmediata Incompatible
Inyectables Heparin sodium 500 UI/ml
Inyectables Amiodarone hydrochloride 15 mg/ml
Cloruro de sodio 0,9% 3463
Incompatibilidad no especificada Incompatible
Inyectables Heparin sodium
Inyectables Amiodarone hydrochloride
3464
Incompatibilidad no especificada Incompatible
Inyectables Heparin sodium 500 UI/ml
Inyectables Amiodarone hydrochloride 15 mg/ml
Glucosa 5% 3823
Turbidez inmediata Incompatible
Inyectables Heparin sodium 500 UI/ml
Inyectables Amiodarone hydrochloride 15 mg/ml
Glucosa 5% 3463
Compatible
Inyectables Heparin sodium 208 UI/ml
Inyectables Amoxicillin sodium 20.83 & 83.3 mg/ml
Cloruro de sodio 0,9% 4254
Compatible
Inyectables Heparin sodium 1000 UI/ml
Inyectables Amoxicillin sodium / clavulanic acid 100/10 mg/ml
3824
Compatible
Inyectables Heparin sodium
Inyectables Ampicillin sodium
5088
Compatible
Inyectables Heparin sodium 50 UI/ml
Inyectables Ampicillin sodium 20 mg/ml
Ninguno 317
Compatible
Inyectables Heparin sodium 50 UI/ml
Inyectables Ampicillin sodium - sulbactam sodium 30 mg/ml
Ninguno 317
Precipitación inmediata Incompatible
Inyectables Heparin sodium 40 UI/ml
Inyectables Amsacrine 1 mg/ml
Glucosa 5% 253
Compatible
Inyectables Heparin sodium 100 UI/ml
Inyectables Anidulafungin 0.5 mg/ml
Glucosa 5% 1982
Precipitación inmediata Incompatible
Inyectables Heparin sodium
Inyectables Antithymocyte globulin (rabbit)
4958
Precipitación inmediata Incompatible
Inyectables Heparin sodium 2 UI/ml
Inyectables Antithymocyte globulin (rabbit) 0,2 & 0,3 mg/ml
Glucosa 5% 1822
Compatible
Inyectables Heparin sodium 100 UI/ml
Inyectables Antithymocyte globulin (rabbit) 0,2 & 0,3 mg/ml
Glucosa 5% 1822
Compatible
Inyectables Heparin sodium 2 & 100 UI/ml
Inyectables Antithymocyte globulin (rabbit) 0,2 & 0,3 mg/ml
Cloruro de sodio 0,9% 1822
Compatible
Inyectables Heparin sodium 40 UI/ml
Inyectables Atracurium besylate 0.5 mg/ml
Glucosa 5% 402
Compatible
Inyectables Heparin sodium 1 UI/ml
Inyectables Atropine sulfate 0.5 mg/ml
Glucosa 5% 1228
Compatible
Inyectables Heparin sodium 500 UI/ml
Nutrición parenteral (con lípidos) 4507
Precipitación inmediata Incompatible
Inyectables Heparin sodium 1000 UI/ml
Inyectables Amphotericin B cholesteryl sulfate complex 0.83 mg/ml
Glucosa 5% 921
Incompatibilidad no especificada Incompatible
Inyectables Heparin sodium
Inyectables Ampicillin sodium
3540
Compatible
Inyectables Heparin sodium 10 & 5000 UI/ml
Inyectables Ampicillin sodium 10 mg/ml
Cloruro de sodio 0,9% 2037
Compatible
Inyectables Heparin sodium 1 UI/ml
Inyectables Atropine sulfate 0.5 mg/ml
Ringer lactato 1228
Compatible
Inyectables Heparin sodium 1 UI/ml
Inyectables Atropine sulfate 0.5 mg/ml
Cloruro de sodio 0,9% 1228
Compatible
Inyectables Heparin sodium 100 UI/ml
Inyectables Aztreonam 40 mg/ml
Glucosa 5% 99
Compatible
Inyectables Heparin sodium 50 UI/ml
Inyectables Aztreonam 20 mg/ml
Ninguno 317
Compatible
Inyectables Heparin sodium 1 UI/ml
Inyectables Betamethasone sodium phosphate 3 mg/ml
Cloruro de sodio 0,9% 1228
Compatible
Inyectables Heparin sodium 1 UI/ml
Inyectables Betamethasone sodium phosphate 3 mg/ml
Glucosa 5% 1228
Compatible
Inyectables Heparin sodium 1 UI/ml
Inyectables Betamethasone sodium phosphate 3 mg/ml
Ringer lactato 1228
Compatible
Inyectables Heparin sodium 100 UI/ml
Inyectables Bivalirudin 5 mg/ml
Glucosa 5% 1713
Precipitación inmediata Incompatible
Inyectables Heparin sodium 192.3 UI/ml
Inyectables Blinatumomab 0.125 & 0.375 µg/ml
Cloruro de sodio 0,9% 3976
Compatible
Inyectables Heparin sodium 1000 UI/ml
Inyectables Caffeine 10 mg/ml
Ninguno 3964
Compatible
Inyectables Heparin sodium 100 UI/ml
Inyectables Caffeine 10 mg/ml
Cloruro de sodio 0,9% 4837
Compatible
Inyectables Heparin sodium 100 UI/ml
Inyectables Caffeine citrate 20 mg/ml
Cloruro de sodio 0,9% 4837
Precipitación después de 30 minutos Incompatible
Inyectables Heparin sodium 2 UI/ml
Inyectables Calcium chloride 20 mg/ml
Glucosa 5% 4732
Compatible
Inyectables Heparin sodium 100 UI/ml
Inyectables Calcium chloride 20 mg/ml
Glucosa 5% 4732
Inestabilidad inmediata de la emulsión Incompatible
Inyectables Heparin sodium
Inyectables Calcium chloride
Nutrición parenteral (con lípidos) 1084
Inestabilidad inmediata de la emulsión Incompatible
Inyectables Heparin sodium
Inyectables Calcium gluconate
Nutrición parenteral (con lípidos) 1084
Precipitación inmediata Incompatible
Inyectables Heparin sodium 100 UI/ml
Inyectables Caspofungin acetate 0.5 mg/ml
Cloruro de sodio 0,9% 2233
Precipitación inmediata Incompatible
Inyectables Heparin sodium 100 UI/ml
Inyectables Caspofungin acetate 0,7 mg/ml
Cloruro de sodio 0,9% 2247
Incompatibilidad no especificada Incompatible
Inyectables Heparin sodium
Inyectables Cefalotin sodium
3540
Compatible
Inyectables Heparin sodium 10 & 5000 UI/ml
Inyectables Cefazolin sodium 10 mg/ml
Cloruro de sodio 0,9% 2037
Compatible
Inyectables Heparin sodium 50 UI/ml
Inyectables Cefazolin sodium 20 mg/ml
Ninguno 317
Compatible
Inyectables Heparin sodium 0.667 UI/ml
Inyectables Cefazolin sodium 0.333 mg/ml
Dianéal® PD2 1.5% Glucosa (Baxter) 1979
Compatible
Inyectables Heparin sodium 10 & 50 UI/ml
Inyectables Cefepime dihydrochloride 4 mg/ml
Cloruro de sodio 0,9% 3548
Compatible
Inyectables Heparin sodium 10 & 50 UI/ml
Inyectables Cefepime dihydrochloride 4 mg/ml
Glucosa 5% 3548
Compatible
Inyectables Heparin sodium 1000 UI/ml
Inyectables Cefiderocol sulfate tosylate 20 mg/mL
Glucosa 5% 4528
Compatible
Inyectables Heparin sodium 1000 UI/ml
Inyectables Cefiderocol sulfate tosylate 20 mg/mL
Cloruro de sodio 0,9% 4528
Inestabilidad química Incompatible
Inyectables Heparin sodium 100 UI/ml
Inyectables Cefmetazole sodium 100 mg/ml
Agua para preparación inyectable 93
Compatible
Inyectables Heparin sodium 208 UI/ml
Inyectables Cefotaxime sodium 41.6 & 125 mg/ml
Glucosa 5% 4254
Compatible
Inyectables Heparin sodium 208 UI/ml
Inyectables Cefotaxime sodium 41.6 & 125 mg/ml
Cloruro de sodio 0,9% 4254
Compatible
Inyectables Heparin sodium 5000 UI/ml
Inyectables Cefotaxime sodium 10 mg/ml
Agua para preparación inyectable 3125
Compatible
Inyectables Heparin sodium 100 UI/ml
Inyectables Ceftaroline fosamil 2,22 mg/ml
Ringer lactato 3249
Compatible
Inyectables Heparin sodium 100 UI/ml
Inyectables Ceftaroline fosamil 2,22 mg/ml
Cloruro de sodio 0,9% 3249
Compatible
Inyectables Heparin sodium 100 UI/ml
Inyectables Ceftaroline fosamil 2,22 mg/ml
Glucosa 5% 3249
Compatible
Inyectables Heparin sodium 0.5 UI/ml
Inyectables Ceftazidime 0.125 mg/ml
Extraneal® (Baxter) 4056
Compatible
Inyectables Heparin sodium 0.5 UI/ml
Inyectables Ceftazidime 0.125 mg/ml
Dianéal® PD2 4.25% Glucosa (Baxter) 4056
Compatible
Inyectables Heparin sodium 50 UI/ml
Inyectables Ceftazidime 20 mg/ml
Ninguno 317
Compatible
Inyectables Heparin sodium 0.5 UI/ml
Inyectables Ceftazidime 0.125 mg/ml
Dianéal® PD2 2.5% glucose (Baxter) 4056
Compatible
Inyectables Heparin sodium 100 UI/ml
Inyectables Ceftobiprole medocaril sodium 2 mg/ml
Cloruro de sodio 0,9% 2269
Compatible
Inyectables Heparin sodium 100 UI/ml
Inyectables Ceftobiprole medocaril sodium 2 mg/ml
Glucosa 5% 2269
Compatible
Inyectables Heparin sodium 100 UI/ml
Inyectables Ceftobiprole medocaril sodium 2 mg/ml
Ringer lactato 2269
Compatible
Inyectables Heparin sodium 1000 UI/ml
Inyectables Ceftolozane / tazobactam 10/5 mg/ml
Cloruro de sodio 0,9% 3828
Compatible
Inyectables Heparin sodium 1000 UI/ml
Inyectables Ceftolozane / tazobactam 10/5 mg/ml
Glucosa 5% 3828
Compatible
Inyectables Heparin sodium 50 UI/ml
Inyectables Ceftriaxone disodium 20 mg/ml
Ninguno 317
Compatible
Inyectables Heparin sodium 10 & 50 UI/ml
Inyectables Cefuroxime sodium
Cloruro de sodio 0,9% 3687
Compatible
Inyectables Heparin sodium 58,34 UI/ml
Inyectables Chlorpromazine hydrochloride 0,26 mg/ml
Glucosa 5% 1289
Compatible
Inyectables Heparin sodium 1 UI/ml
Inyectables Chlorpromazine hydrochloride 10 mg/ml
Cloruro de sodio 0,9% 1228
Compatible
Inyectables Heparin sodium 1 UI/ml
Inyectables Chlorpromazine hydrochloride 10 mg/ml
Glucosa 5% 1228
Incompatibilidad no especificada Incompatible
Inyectables Heparin sodium
Inyectables Chlorpromazine hydrochloride
3540
Compatible
Inyectables Heparin sodium 1 UI/ml
Inyectables Chlorpromazine hydrochloride 10 mg/ml
Ringer lactato 1228
Compatible
Inyectables Heparin sodium 50 UI/ml
Inyectables Cimetidine hydrochloride 6 mg/ml
Ninguno 317
Compatible
Inyectables Heparin sodium 5000 & 10000 UI/ml
Inyectables Ciprofloxacin lactate 0.4 & 0.6 mg/ml
Cloruro de sodio 0,9% 2057
Precipitación inmediata Incompatible
Inyectables Heparin sodium 10 >> 10000 UI/ml
Inyectables Ciprofloxacin lactate 1 mg/ml
Cloruro de sodio 0,9% 2057
Precipitación inmediata Incompatible
Inyectables Heparin sodium 10 & 100 UI/ml
Inyectables Ciprofloxacin lactate 0.2 mg/ml
Cloruro de sodio 0,9% 2057
Incompatibilidad no especificada Incompatible
Inyectables Heparin sodium
Inyectables Ciprofloxacin lactate
3540
Precipitación inmediata Incompatible
Inyectables Heparin sodium 10 >> 1000 UI/ml
Inyectables Ciprofloxacin lactate 0.4 & 0.6 mg/ml
Cloruro de sodio 0,9% 2057
Compatible
Inyectables Heparin sodium 1000 >> 10000 UI/ml
Inyectables Ciprofloxacin lactate 0.2 mg/ml
Cloruro de sodio 0,9% 2057
Precipitación inmediata Incompatible
Inyectables Heparin sodium 10 >> 5000 UI/ml
Inyectables Ciprofloxacin lactate 0.8 mg/ml
Cloruro de sodio 0,9% 2057
Compatible
Inyectables Heparin sodium 10 >> 10000 UI/ml
Inyectables Ciprofloxacin lactate 0.1 mg/ml
Cloruro de sodio 0,9% 2057
Precipitación inmediata Incompatible
Inyectables Heparin sodium 100 UI/ml
Inyectables Ciprofloxacin lactate 2 mg/ml
Cloruro de sodio 0,9% 288
Incompatibilidad no especificada Incompatible
Inyectables Heparin sodium
Inyectables Ciprofloxacin lactate
3529
Precipitación inmediata Incompatible
Inyectables Heparin sodium 100 UI/ml
Inyectables Ciprofloxacin lactate 2 mg/ml
Glucosa 5% 288
Precipitación inmediata Incompatible
Inyectables Heparin sodium 10 >> 1000 UI/ml
Inyectables Ciprofloxacin lactate 2 mg/ml
Cloruro de sodio 0,9% 289
Turbidez inmediata Incompatible
Inyectables Heparin sodium 10 UI/ml
Inyectables Ciprofloxacin lactate 2 mg/ml
Ninguno 1393
Compatible
Inyectables Heparin sodium 10000 UI/ml
Inyectables Ciprofloxacin lactate 0.8 mg/ml
Cloruro de sodio 0,9% 2057
Compatible
Inyectables Heparin sodium 100 UI/ml
Inyectables Cisatracurium besylate 0.1 & 2 mg/ml
Glucosa 5% 299
Precipitación inmediata Incompatible
Inyectables Heparin sodium 100 UI/ml
Inyectables Cisatracurium besylate 5 mg/ml
Glucosa 5% 299
Cambio de color Incompatible
Inyectables Heparin sodium 500 UI/ml
Inyectables Cisatracurium besylate 5 mg/ml
Cloruro de sodio 0,9% 3463
Incompatibilidad no especificada Incompatible
Inyectables Heparin sodium 500 UI/ml
Inyectables Cisatracurium besylate 5 mg/ml
Cloruro de sodio 0,9% 3823
Incompatibilidad no especificada Incompatible
Inyectables Heparin sodium
Inyectables Cisatracurium besylate
3540
Compatible
Inyectables Heparin sodium 100 UI/ml
Inyectables Cladribine 0.5 mg/ml
NaCl 0,9% + bacteriostático 1496
Compatible
Inyectables Heparin sodium 100 UI/ml
Inyectables Cladribine 0.015 mg/ml
Cloruro de sodio 0,9% 1496
Compatible
Inyectables Heparin sodium 50 UI/ml
Inyectables Clindamycin phosphate 12 mg/ml
Ninguno 317
Compatible
Inyectables Heparin sodium 50 UI/ml
Inyectables Clonidine hydrochloride 0.0075 mg/ml
Cloruro de sodio 0,9% 1506
Compatible
Inyectables Heparin sodium 50 UI/ml
Inyectables Clonidine hydrochloride 0.0075 mg/ml
Glucosa 5% 1506
Compatible
Inyectables Heparin sodium 100 UI/ml
Inyectables Cloxacillin sodium 100 mg/ml
Agua para preparación inyectable 3012
Precipitación después de 4 horas. Incompatible
Inyectables Heparin sodium 208 UI/ml
Inyectables Co-trimoxazole 3.2/0.64 & 80/16 mg/ml
Cloruro de sodio 0,9% 4254
Precipitación después de 4 horas. Incompatible
Inyectables Heparin sodium 208 UI/ml
Inyectables Co-trimoxazole 3.2/0.64 & 80/16 mg/ml
Glucosa 5% 4254
Compatible
Inyectables Heparin sodium 1 UI/ml
Inyectables Cyanocobalamine 0.1 mg/ml
Ringer lactato 1228
Compatible
Inyectables Heparin sodium 1 UI/ml
Inyectables Cyanocobalamine 0.1 mg/ml
Glucosa 5% 1228
Compatible
Inyectables Heparin sodium 1 UI/ml
Inyectables Cyanocobalamine 0.1 mg/ml
Cloruro de sodio 0,9% 1228
Incompatibilidad no especificada Incompatible
Inyectables Heparin sodium
Inyectables Cytarabine
3540
Incompatibilidad no especificada Incompatible
Inyectables Heparin sodium
Inyectables Cytarabine
3580
Incompatibilidad no especificada Incompatible
Inyectables Heparin sodium
Inyectables Dacarbazine
3605
Precipitación inmediata Incompatible
Inyectables Heparin sodium 100 UI/ml
Inyectables Dacarbazine 25 mg/ml
Cloruro de sodio 0,9% 860
Incompatibilidad no especificada Incompatible
Inyectables Heparin sodium
Inyectables Dacarbazine
3267
Incompatibilidad no especificada Incompatible
Inyectables Heparin sodium
Inyectables Dacarbazine
3540
Compatible
Inyectables Heparin sodium
Inyectables Daptomycin
2271
Compatible
Inyectables Heparin sodium 98 UI/ml
Inyectables Daptomycin 19,6 mg/ml
Cloruro de sodio 0,9% 1937
Precipitación inmediata Incompatible
Inyectables Heparin sodium
Inyectables Daunorubicin hydrochloride
3604
Incompatibilidad no especificada Incompatible
Inyectables Heparin sodium
Inyectables Daunorubicin hydrochloride
3540
Precipitación inmediata Incompatible
Inyectables Heparin sodium
Inyectables Daunorubicin hydrochloride liposome
3577
Turbidez inmediata Incompatible
Inyectables Heparin sodium
Inyectables Daunorubicin/cytarabine liposomale 0,4 mg/mL
Cloruro de sodio 0,9% 4654
Compatible
Inyectables Heparin sodium 373 UI/ml
Inyectables Defibrotide 8 mg/ml
Cloruro de sodio 0,9% 3728
Compatible
Inyectables Heparin sodium 50 UI/ml
Inyectables Dexamethasone sodium phosphate 0.08 mg/ml
Ninguno 317
Compatible
Inyectables Heparin sodium
Inyectables Dexketoprofen
4981
Compatible
Inyectables Heparin sodium 100 UI/ml
Inyectables Dexmedetomidine 4 µg/ml
Cloruro de sodio 0,9% 1712
Compatible
Inyectables Heparin sodium 10000 UI/ml
Inyectables Diatrizoate meglumine 283 mg/ml
Ninguno 1085
Incompatibilidad no especificada Incompatible
Inyectables Heparin sodium
Inyectables Diazepam
3540
Compatible
Inyectables Heparin sodium 100 UI/ml
Inyectables Diltiazem hydrochloride 1 mg/ml
314
Precipitación inmediata Incompatible
Inyectables Heparin sodium 20000 UI/ml
Inyectables Diltiazem hydrochloride 5 mg/ml
Cloruro de sodio 0,9% 198
Compatible
Inyectables Heparin sodium 100 UI/ml
Inyectables Diltiazem hydrochloride 1 mg/ml
Glucosa 5% 4556
Turbidez inmediata Incompatible
Inyectables Heparin sodium 100 UI/ml
Inyectables Diltiazem hydrochloride 5 mg/ml
Glucosa 5% 4556
Compatible
Inyectables Heparin sodium 20000 UI/ml
Inyectables Diltiazem hydrochloride 1 mg/ml
Cloruro de sodio 0,9% 198
Compatible
Inyectables Heparin sodium
Inyectables Diltiazem hydrochloride
5090
Compatible
Inyectables Heparin sodium 80 >> 10000 UI/ml
Inyectables Diltiazem hydrochloride 1 & 5 mg/ml
Cloruro de sodio 0,9% 198
Precipitación inmediata Incompatible
Inyectables Heparin sodium
Inyectables Dimenhydrinate
2087
Compatible
Inyectables Heparin sodium 1 UI/ml
Inyectables Diphenhydramine hydrochloride 50 mg/ml
Cloruro de sodio 0,9% 1228
Compatible
Inyectables Heparin sodium 1 UI/ml
Inyectables Diphenhydramine hydrochloride 50 mg/ml
Glucosa 5% 1228
Compatible
Inyectables Heparin sodium 1 UI/ml
Inyectables Diphenhydramine hydrochloride 50 mg/ml
Ringer lactato 1228
Precipitación después de 4 horas. Incompatible
Inyectables Heparin sodium 100 UI/ml
Inyectables Dobutamine hydrochloride 4 mg/ml
314
Compatible
Inyectables Heparin sodium 40 UI/ml
Inyectables Dobutamine hydrochloride 1 mg/ml
Cloruro de sodio 0,9% 1058
Compatible
Inyectables Heparin sodium 100 UI/ml
Inyectables Dobutamine hydrochloride 2 mg/ml
Glucosa 5% 1041
Precipitación inmediata Incompatible
Inyectables Heparin sodium 100 UI/ml
Inyectables Dobutamine hydrochloride 2 mg/ml
Glucosa 5% 1352
Turbidez inmediata Incompatible
Inyectables Heparin sodium 100 UI/ml
Inyectables Dobutamine hydrochloride 4 mg/ml
Glucosa 5% 295
Precipitación inmediata Incompatible
Inyectables Heparin sodium
Inyectables Dobutamine hydrochloride
3540
Cambio de color después de 6 horas. Incompatible
Inyectables Heparin sodium 10000 UI/ml
Inyectables Dobutamine hydrochloride 2 mg/ml
Glucosa 5% 1041
Compatible
Inyectables Heparin sodium 40 UI/ml
Inyectables Dobutamine hydrochloride 1 mg/ml
Glucosa 5% 1058
Compatible
Inyectables Heparin sodium 50 UI/ml
Inyectables Dobutamine hydrochloride 1 mg/ml
Ninguno 317
Compatible
Inyectables Heparin sodium 100 UI/ml
Inyectables Docetaxel 0.9 mg/ml
Glucosa 5% 1754
Compatible
Inyectables Heparin sodium 1 UI/ml
Inyectables Dopamine hydrochloride 40 mg/ml
Cloruro de sodio 0,9% 1228
Compatible
Inyectables Heparin sodium 50 UI/ml
Inyectables Dopamine hydrochloride 1.6 mg/ml
Ninguno 317
Compatible
Inyectables Heparin sodium 100 UI/ml
Inyectables Dopamine hydrochloride 3.2 mg/ml
314
Compatible
Inyectables Heparin sodium 1 UI/ml
Inyectables Dopamine hydrochloride 40 mg/ml
Ringer lactato 1228
Compatible
Inyectables Heparin sodium 200 UI/ml
Inyectables Dopamine hydrochloride 0.8 mg/ml
Glucosa 5% 738
Compatible
Inyectables Heparin sodium 1 UI/ml
Inyectables Dopamine hydrochloride 40 mg/ml
Glucosa 5% 1228
Compatible
Inyectables Heparin sodium 100 UI/ml
Inyectables Dopamine hydrochloride 3,2 mg/ml
4389
Incompatibilidad no especificada Incompatible
Inyectables Heparin sodium 187 UI/ml
Inyectables Dopamine hydrochloride 1,7 >> 3,4 mg/ml
Glucosa 5% 377
Compatible
Inyectables Heparin sodium 100 UI/ml
Inyectables Doripenem 5 mg/ml
Cloruro de sodio 0,9% 2262
Compatible
Inyectables Heparin sodium 100 UI/ml
Inyectables Doripenem 5 mg/ml
Glucosa 5% 2262
Compatible
Inyectables Heparin sodium 1 UI/ml
Inyectables Doxapram hydrochloride 2 mg/ml
Glucosa 5% 1802
Incompatibilidad no especificada Incompatible
Inyectables Heparin sodium
Inyectables Doxorubicin hydrochloride
3540
Precipitación inmediata Incompatible
Inyectables Heparin sodium
Inyectables Doxorubicin hydrochloride
3645
Precipitación inmediata Incompatible
Inyectables Heparin sodium 1000 UI/ml
Inyectables Doxorubicin hydrochloride 2 mg/ml
763
Compatible
Inyectables Heparin sodium 1000 UI/ml
Inyectables Doxorubicin hydrochloride liposome peg 0.4 mg/ml
Glucosa 5% 251
Incompatibilidad no especificada Incompatible
Inyectables Heparin sodium 50 UI/ml
Inyectables Doxycycline hyclate 1 mg/ml
Ninguno 317
Precipitación inmediata Incompatible
Inyectables Heparin sodium 1000 UI/ml
Inyectables Droperidol 2,5 mg/ml
763
Compatible
Inyectables Heparin sodium 1 UI/ml
Inyectables Droperidol 1.25 mg/ml
Cloruro de sodio 0,9% 1228
Compatible
Inyectables Heparin sodium 1 UI/ml
Inyectables Droperidol 1.25 mg/ml
Ringer lactato 1228
Compatible
Inyectables Heparin sodium 1 UI/ml
Inyectables Droperidol 1.25 mg/ml
Glucosa 5% 1228
Incompatibilidad no especificada Incompatible
Inyectables Heparin sodium
Inyectables Droperidol
3540
Compatible
Inyectables Heparin sodium 45,45 UI/ml
Inyectables Enalaprilate 0,011 mg/ml
Glucosa 5% 963
Compatible
Inyectables Heparin sodium 40 UI/ml
Inyectables Enalaprilate 0.05 mg/ml
Cloruro de sodio 0,9% 1315
Compatible
Inyectables Heparin sodium 50 UI/ml
Inyectables Enalaprilate 0.0125 mg/ml
Cloruro de sodio 0,9% 1703
Compatible
Inyectables Heparin sodium 1 UI/ml
Inyectables Epinephrine hydrochloride 100 µg/ml
Ringer lactato 1228
Compatible
Inyectables Heparin sodium 100 UI/ml
Inyectables Epinephrine hydrochloride 20 µg/ml
314
Compatible
Inyectables Heparin sodium 1 UI/ml
Inyectables Epinephrine hydrochloride 100 µg/ml
Cloruro de sodio 0,9% 1228
Compatible
Inyectables Heparin sodium 1 UI/ml
Inyectables Epinephrine hydrochloride 100 µg/ml
Glucosa 5% 1228
Incompatibilidad no especificada Incompatible
Inyectables Heparin sodium
Inyectables Epirubicin hydrochloride
3632
Compatible
Inyectables Heparin sodium
Inyectables Eptifibatide
3934
Compatible
Inyectables Heparin sodium 1000 UI/ml
Inyectables Eravacycline 0,6 mg/ml
Cloruro de sodio 0,9% 4434
Turbidez inmediata Incompatible
Inyectables Heparin sodium 1 UI/ml
Inyectables Ergotamine tartrate 0.5 mg/ml
Cloruro de sodio 0,9% 1228
Precipitación después de 4 horas. Incompatible
Inyectables Heparin sodium 1 UI/ml
Inyectables Ergotamine tartrate 0.5 mg/ml
Ringer lactato 1228
Precipitación después de 4 horas. Incompatible
Inyectables Heparin sodium 1 UI/ml
Inyectables Ergotamine tartrate 0.5 mg/ml
Glucosa 5% 1228
Compatible
Inyectables Heparin sodium 50 & 100 UI/ml
Inyectables Ertapenem 10 & 20 mg/ml
Cloruro de sodio 0,9% 1906
Compatible
Inyectables Heparin sodium 50 UI/ml
Inyectables Erythromycin lactobionate 3.3 mg/ml
Ninguno 317
Incompatibilidad no especificada Incompatible
Inyectables Heparin sodium
Inyectables Erythromycin lactobionate
3674
Incompatibilidad no especificada Incompatible
Inyectables Heparin sodium
Inyectables Erythromycin lactobionate
3540
Compatible
Inyectables Heparin sodium 50 UI/ml
Inyectables Esmolol hydrochloride 6 mg/ml
Glucosa 5% 174
Compatible
Inyectables Heparin sodium 40 UI/ml
Inyectables Esmolol hydrochloride 10 mg/ml
Glucosa 5% 384
Compatible
Inyectables Heparin sodium 500 UI/ml
Inyectables Esmolol hydrochloride 10 mg/ml
Cloruro de sodio 0,9% 3823
Precipitación inmediata Incompatible
Inyectables Heparin sodium 1000 UI/ml
Inyectables Ethanol 70 %
Agua + bacteriostático 2221
Precipitación inmediata Incompatible
Inyectables Heparin sodium 1000 UI/ml
Inyectables Ethanol 70 %
Agua para preparación inyectable 2221
Precipitación después de 1 hora Incompatible
Inyectables Heparin sodium 10 UI/ml
Inyectables Ethanol 70 %
Agua + bacteriostático 2221
Precipitación inmediata Incompatible
Inyectables Heparin sodium 10 UI/ml
Inyectables Ethanol 70 %
Agua para preparación inyectable 2221
Compatible
Inyectables Heparin sodium 100 UI/ml
Inyectables Etoposide phosphate 5 mg/ml
Glucosa 5% 1410
Compatible
Inyectables Heparin sodium 40 UI/ml
Inyectables Famotidine
Glucosa 5% 397
Compatible
Inyectables Heparin sodium 50 UI/ml
Inyectables Famotidine 0.2 mg/ml
Glucosa 5% 398
Compatible
Inyectables Heparin sodium 40 UI/ml
Inyectables Famotidine 2 mg/ml
Cloruro de sodio 0,9% 215
Compatible
Inyectables Heparin sodium 100 UI/ml
Inyectables Fenoldopam mesylate 80 µg/ml
Cloruro de sodio 0,9% 1803
Compatible
Inyectables Heparin sodium 100 UI/ml
Inyectables Fentanyl citrate 50 µg/ml
4389
Compatible
Inyectables Heparin sodium 1 UI/ml
Inyectables Fentanyl citrate 50 µg/ml
Glucosa 5% 1228
Compatible
Inyectables Heparin sodium 1 UI/ml
Inyectables Fentanyl citrate 50 µg/ml
Ringer lactato 1228
Compatible
Inyectables Heparin sodium 1 UI/ml
Inyectables Fentanyl citrate 50 µg/ml
Cloruro de sodio 0,9% 1228
Compatible
Inyectables Heparin sodium 100 UI/ml
Inyectables Fentanyl citrate 50 µg/ml
314
Precipitación inmediata Incompatible
Inyectables Heparin sodium 100 UI/ml
Inyectables Filgrastim 30 µg/ml
Glucosa 5% 244
Compatible
Inyectables Heparin sodium 1000 UI/ml
Inyectables Fluconazole 2 mg/ml
Cloruro de sodio 0,9% 496
Compatible
Inyectables Heparin sodium 50 UI/ml
Inyectables Fluconazole 2 mg/ml
Ninguno 317
Compatible
Inyectables Heparin sodium 40 >> 1000 UI/ml
Inyectables Fludarabine phosphate 1 mg/ml
Glucosa 5% 492
Compatible
Inyectables Heparin sodium 50 UI/ml
Inyectables Flumazenil 0,02 mg/ml
Glucosa 5% 187
Compatible
Inyectables Heparin sodium 5 UI/ml
Inyectables Fluorouracil 0,8 mg/ml
Cloruro de sodio 0,9% 156
Compatible
Inyectables Heparin sodium 5 UI/ml
Inyectables Fluorouracil 0,8 mg/ml
Glucosa 5% 156
Compatible
Inyectables Heparin sodium 1 UI/ml
Inyectables Fluorouracil 50 mg/ml
Cloruro de sodio 0,9% 1228
Compatible
Inyectables Heparin sodium 960 UI/ml
Inyectables Fluorouracil 24 mg/ml
Glucosa 5% 163
Compatible
Inyectables Heparin sodium 1 UI/ml
Inyectables Fluorouracil 50 mg/ml
Glucosa 5% 1228
Compatible
Inyectables Heparin sodium 1000 UI/ml
Inyectables Fluorouracil 50 mg/ml
763
Compatible
Inyectables Heparin sodium 1 UI/ml
Inyectables Fluorouracil 50 mg/ml
Ringer lactato 1228
Compatible
Inyectables Heparin sodium 1000 UI/ml
Inyectables Folinate calcium 10 mg/ml
763
Compatible
Inyectables Heparin sodium 100 UI/ml
Inyectables Foscarnet sodium 24 mg/ml
Glucosa 5% 1135
Compatible
Inyectables Heparin sodium 100 UI/ml
Inyectables Foscarnet sodium 24 mg/ml
Cloruro de sodio 0,9% 1135
Compatible
Inyectables Heparin sodium 1000 UI/ml
Inyectables Foscarnet sodium 24 mg/ml
Ninguno 73
Compatible
Inyectables Heparin sodium 1000 UI/ml
Inyectables Fosfomycin 30 mg/ml
Glucosa 5% 4055
Compatible
Inyectables Heparin sodium 1000 UI/ml
Inyectables Fosfomycin 30 mg/ml
Cloruro de sodio 0,9% 4055
Compatible
Inyectables Heparin sodium 100 UI/ml
Inyectables Furosemide 10 mg/ml
314
Compatible
Inyectables Heparin sodium 1 UI/ml
Inyectables Furosemide 10 mg/ml
Cloruro de sodio 0,9% 1228
Precipitación después de 5 horas. Incompatible
Inyectables Heparin sodium 100 UI/ml
Inyectables Furosemide 10 mg/ml
Glucosa 5% 4724
Compatible
Inyectables Heparin sodium 20 UI/ml
Inyectables Furosemide 1 mg/ml
Cloruro de sodio 0,9% 1232
Compatible
Inyectables Heparin sodium 58,34 UI/ml
Inyectables Furosemide 5,21 mg/ml
Glucosa 5% 1289
Compatible
Inyectables Heparin sodium
Inyectables Furosemide
3465
Compatible
Inyectables Heparin sodium 1 UI/ml
Inyectables Furosemide 10 mg/ml
Ringer lactato 1228
Compatible
Inyectables Heparin sodium 1000 UI/ml
Inyectables Furosemide 10 mg/ml
763
Compatible
Inyectables Heparin sodium 10 UI/ml
Inyectables Furosemide 10 mg/ml
Ninguno 3210
Compatible
Inyectables Heparin sodium 500 UI/ml
Inyectables Furosemide 10 mg/ml
Cloruro de sodio 0,9% 3823
Compatible
Inyectables Heparin sodium 500 UI/ml
Inyectables Furosemide 10 mg/ml
Ninguno 3134
Compatible
Inyectables Heparin sodium 1 UI/ml
Inyectables Furosemide 10 mg/ml
Glucosa 5% 1228
Compatible
Inyectables Heparin sodium 40 UI/ml
Inyectables Gallium nitrate 1 mg/ml
Cloruro de sodio 0,9% 91
Compatible
Inyectables Heparin sodium 100 UI/ml
Inyectables Gemcitabine hydrochloride 10 mg/ml
Cloruro de sodio 0,9% 1423
Turbidez inmediata Incompatible
Inyectables Heparin sodium 2500 UI/ml
Inyectables Gentamicin sulfate 3 mg/ml
4612
Incompatibilidad no especificada Incompatible
Inyectables Heparin sodium
Inyectables Gentamicin sulfate
3520
Incompatibilidad no especificada Incompatible
Inyectables Heparin sodium
Inyectables Gentamicin sulfate
3643
Precipitación inmediata Incompatible
Inyectables Heparin sodium
Inyectables Gentamicin sulfate
1022
Incompatibilidad no especificada Incompatible
Inyectables Heparin sodium 50 UI/ml
Inyectables Gentamicin sulfate 2 mg/ml
Ninguno 317
Precipitación inmediata Incompatible
Inyectables Heparin sodium 10 >> 40 UI/ml
Inyectables Gentamicin sulfate 4 >> 40 mg/ml
1258
Precipitación inmediata Incompatible
Inyectables Heparin sodium 2500 UI/ml
Inyectables Gentamicin sulfate 4 & 5 mg/ml
4612
Incompatibilidad no especificada Incompatible
Inyectables Heparin sodium
Inyectables Gentamicin sulfate
3540
Compatible
Inyectables Heparin sodium 2500 UI/ml
Inyectables Gentamicin sulfate 1 & 2 mg/ml
4612
Compatible
Inyectables Heparin sodium 50 UI/ml
Inyectables Glycerophosphate disodium
Cloruro de sodio 0,9% 4332
Compatible
Inyectables Heparin sodium 100 UI/ml
Inyectables Granisetron hydrochloride 0.05 mg/ml
Glucosa 5% 182
Precipitación inmediata Incompatible
Inyectables Heparin sodium 100 & 200 UI/ml
Inyectables Haloperidol lactate 5 mg/ml
Glucosa 5% 617
Precipitación inmediata Incompatible
Inyectables Heparin sodium 100 & 200 UI/ml
Inyectables Haloperidol lactate 5 mg/ml
Cloruro de sodio 0,9% 617
Compatible
Inyectables Heparin sodium 500 UI/ml
Inyectables Haloperidol lactate 0.5 mg/ml
Cloruro de sodio 0,9% 3823
Incompatibilidad no especificada Incompatible
Inyectables Heparin sodium
Inyectables Haloperidol lactate
3540
Compatible
Inyectables Heparin sodium 100 UI/ml
Inyectables Hetastarch 60 mg/ml
específico disolvente 1721
Incompatibilidad no especificada Incompatible
Inyectables Heparin sodium
Inyectables Hyaluronidase
3617
Incompatibilidad no especificada Incompatible
Inyectables Heparin sodium
Inyectables Hyaluronidase
3184
Incompatibilidad no especificada Incompatible
Inyectables Heparin sodium
Inyectables Hyaluronidase
3540
Compatible
Inyectables Heparin sodium 1 UI/ml
Inyectables Hydralazine hydrochloride 20 mg/ml
Glucosa 5% 1228
Compatible
Inyectables Heparin sodium 1 UI/ml
Inyectables Hydralazine hydrochloride 20 mg/ml
Ringer lactato 1228
Compatible
Inyectables Heparin sodium 1 UI/ml
Inyectables Hydralazine hydrochloride 20 mg/ml
Cloruro de sodio 0,9% 1228
Compatible
Inyectables Heparin sodium 100 UI/ml
Inyectables Hydrocortisone sodium succinate 125 mg/ml
Cloruro de sodio 0,9% 132
Incompatibilidad no especificada Incompatible
Inyectables Heparin sodium
Inyectables Hydrocortisone sodium succinate
3540
Compatible
Inyectables Heparin sodium 50 UI/ml
Inyectables Hydrocortisone sodium succinate 2 mg/ml
Ninguno 317
Compatible
Inyectables Heparin sodium 100 UI/ml
Inyectables Hydrocortisone sodium succinate 125 mg/ml
Glucosa 5% 132
Compatible
Inyectables Heparin sodium
Inyectables Hydromorphone hydrochloride <12.5 mg/ml
Cloruro de sodio 0,9% 66
Compatible
Inyectables Heparin sodium 100 UI/ml
Inyectables Hydromorphone hydrochloride 1 mg/ml
314
Precipitación inmediata Incompatible
Inyectables Heparin sodium <12,5 UI/ml
Inyectables Hydromorphone hydrochloride >25 mg/ml
Cloruro de sodio 0,9% 66
Compatible
Inyectables Heparin sodium
Inyectables Hydromorphone hydrochloride <12.5 mg/ml
Agua para preparación inyectable 66
Precipitación inmediata Incompatible
Inyectables Heparin sodium <1 UI/ml
Inyectables Hydromorphone hydrochloride >10 mg/ml
Agua para preparación inyectable 66
Precipitación inmediata Incompatible
Inyectables Heparin sodium <12,5 UI/ml
Inyectables Hydromorphone hydrochloride >25 mg/ml
Agua para preparación inyectable 66
Compatible
Inyectables Heparin sodium 100 UI/ml
Inyectables Ibuprofen lysinate 10 mg/ml
Agua para preparación inyectable 4419
Compatible
Inyectables Heparin sodium 10 UI/ml
Inyectables Ibuprofen lysinate 10 mg/ml
Agua para preparación inyectable 4419
Turbidez inmediata Incompatible
Inyectables Heparin sodium 100 & 1000 UI/ml
Inyectables Idarubicin hydrochloride 1 mg/ml
Cloruro de sodio 0,9% 491
Precipitación inmediata Incompatible
Inyectables Heparin sodium
Inyectables Idarubicin hydrochloride
5075
Compatible
Inyectables Heparin sodium
Inyectables Imipenem-Cilastatin / Relebactam
4809
Compatible
Inyectables Heparin sodium 1000 UI/ml
Inyectables Imipenem-Cilastatin / Relebactam 5 mg/ml
Cloruro de sodio 0,9% 4433
Compatible
Inyectables Heparin sodium 1000 UI/ml
Inyectables Imipenem-Cilastatin / Relebactam 5 mg/ml
Glucosa 5% 4433
Compatible
Inyectables Heparin sodium 500 UI/ml
Inyectables Insulin 2 UI/ml
Cloruro de sodio 0,9% 3823
Compatible
Inyectables Heparin sodium 60 UI/ml
Inyectables Insulin 0.2 UI/ml
Cloruro de sodio 0,9% 129
Compatible
Inyectables Heparin sodium 50 & 400 UI/ml
Inyectables Insulin aspart 1 UI/ml
Glucosa 5% 1508
Compatible
Inyectables Heparin sodium 50 & 400 UI/ml
Inyectables Insulin aspart 1 UI/ml
Cloruro de sodio 0,9% 1508
Compatible
Inyectables Heparin sodium 10000 UI/ml
Inyectables Iohexol 300 mg I/ml
Ninguno 1085
Compatible
Inyectables Heparin sodium 10000 UI/ml
Inyectables Ioxaglate 320 mg I/ml
Ninguno 1085
Turbidez inmediata Incompatible
Inyectables Heparin sodium 1000 UI/ml
Inyectables Isavuconazonium sulfate 1.5 mg/ml
Cloruro de sodio 0,9% 3829
Turbidez inmediata Incompatible
Inyectables Heparin sodium 1000 UI/ml
Inyectables Isavuconazonium sulfate 1.5 mg/ml
Glucosa 5% 3829
Compatible
Inyectables Heparin sodium 1 UI/ml
Inyectables Isoprenaline hydrochloride 0.2 mg/ml
Glucosa 5% 1228
Compatible
Inyectables Heparin sodium 1 UI/ml
Inyectables Isoprenaline hydrochloride 0.2 mg/ml
Cloruro de sodio 0,9% 1228
Compatible
Inyectables Heparin sodium 1 UI/ml
Inyectables Isoprenaline hydrochloride 0.2 mg/ml
Ringer lactato 1228
Incompatibilidad no especificada Incompatible
Inyectables Heparin sodium
Inyectables Kanamycin sulfate
3540
Precipitación inmediata Incompatible
Inyectables Heparin sodium 25000 UI/ml
Inyectables Ketamine hydrochloride 50 mg/ml
2109
Compatible
Inyectables Heparin sodium 100 UI/ml
Inyectables Labetalol hydrochloride 2 mg/ml
314
Incompatibilidad no especificada Incompatible
Inyectables Heparin sodium 500 UI/ml
Inyectables Labetalol hydrochloride 4 mg/ml
Cloruro de sodio 0,9% 3823
Incompatibilidad no especificada Incompatible
Inyectables Heparin sodium
Inyectables Labetalol hydrochloride
3540
Precipitación inmediata Incompatible
Inyectables Heparin sodium 100 UI/ml
Inyectables Labetalol hydrochloride 5 mg/ml
Glucosa 5% 295
Compatible
Inyectables Heparin sodium 40 UI/ml
Inyectables Labetalol hydrochloride 1 mg/ml
Glucosa 5% 386
Compatible
Inyectables Heparin sodium 100 UI/ml
Inyectables Lansoprazole 0.55 mg/ml
Cloruro de sodio 0,9% 1625
Turbidez en 4 horas Incompatible
Inyectables Heparin sodium 100 UI/ml
Inyectables Levetiracetam 100 mg/ml
Glucosa 5% 4108
Turbidez inmediata Incompatible
Inyectables Heparin sodium 208,3 UI/ml
Inyectables Levetiracetam 15 mg/ml
Cloruro de sodio 0,9% 4698
Incompatibilidad no especificada Incompatible
Inyectables Heparin sodium
Inyectables Levofloxacine
3920
Precipitación inmediata Incompatible
Inyectables Heparin sodium 10 UI/ml
Inyectables Levofloxacine 5 mg/ml
Glucosa 5% 1072
Incompatibilidad no especificada Incompatible
Inyectables Heparin sodium
Inyectables Levomepromazine
3540
Compatible
Inyectables Heparin sodium 100 UI/ml
Inyectables Levosimendan 2,5 mg/ml
Glucosa 5% 4389
Compatible
Inyectables Heparin sodium 50 UI/ml
Inyectables Lidocaine hydrochloride 4 mg/ml
Ninguno 317
Compatible
Inyectables Heparin sodium 1000 UI/ml
Inyectables Linezolid 2 mg/ml
Ninguno 1925
Compatible
Inyectables Heparin sodium 10 >> 10000 UI/ml
Inyectables Linezolid 0.2 >> 1.92 mg/ml
Cloruro de sodio 0,9% 2057
Compatible
Inyectables Heparin sodium 417 UI/ml
Inyectables Lorazepam 0.33 mg/ml
Cloruro de sodio 0,9% 186
Compatible
Inyectables Heparin sodium 100 UI/ml
Inyectables Lorazepam 0.5 mg/ml
314
Compatible
Inyectables Heparin sodium 1 UI/ml
Inyectables Magnesium sulfate 5 mg/ml
Cloruro de sodio 0,9% 1228
Compatible
Inyectables Heparin sodium 50 UI/ml
Inyectables Magnesium sulfate 15.6 mg/ml
Cloruro de sodio 0,9% 2100
Compatible
Inyectables Heparin sodium 1 UI/ml
Inyectables Magnesium sulfate 5 mg/ml
Ringer lactato 1228
Compatible
Inyectables Heparin sodium 1 UI/ml
Inyectables Magnesium sulfate 5 mg/ml
Glucosa 5% 1228
Compatible
Inyectables Heparin sodium 100 UI/ml
Inyectables Melphalan 0.1 mg/ml
Cloruro de sodio 0,9% 169
Compatible
Inyectables Heparin sodium 0.5 UI/ml
Inyectables Meropenem 0.5 mg/ml
Dianéal® 4.25% glucose (Baxter) 4180
Compatible
Inyectables Heparin sodium 0.5 UI/ml
Inyectables Meropenem 0.5 mg/ml
Extraneal® (Baxter) 4180
Compatible
Inyectables Heparin sodium 1000 UI/ml
Inyectables Meropenem 50 mg/ml
Agua para preparación inyectable 4319
Compatible
Inyectables Heparin sodium 1 UI/ml
Inyectables Meropenem 1 & 50 mg/ml
Cloruro de sodio 0,9% 266
Compatible
Inyectables Heparin sodium 0.5 UI/ml
Inyectables Meropenem 0.5 mg/ml
Dianéal® 1.5% glucose (Baxter) 4180
Compatible
Inyectables Heparin sodium 20 UI/ml
Inyectables Meropenem 1 & 20 mg/ml
Cloruro de sodio 0,9% 266
Compatible
Inyectables Heparin sodium 0.5 UI/ml
Inyectables Meropenem 0.5 mg/ml
Dianéal® 2.5% glucose (Baxter) 4180
Compatible
Inyectables Heparin sodium 50 UI/ml
Inyectables Methadone hydrochloride 0.2 mg/ml
Glucosa 5% 1506
Compatible
Inyectables Heparin sodium 50 UI/ml
Inyectables Methadone hydrochloride 0.2 mg/ml
Cloruro de sodio 0,9% 1506
Incompatibilidad no especificada Incompatible
Inyectables Heparin sodium
Inyectables Methotrexate sodium
3637
Compatible
Inyectables Heparin sodium 1000 UI/ml
Inyectables Methotrexate sodium 25 mg/ml
763
Compatible
Inyectables Heparin sodium 500 UI/ml
Inyectables Methotrexate sodium 30 mg/ml
Cloruro de sodio 0,9% 150
Compatible
Inyectables Heparin sodium 100 UI/ml
Inyectables Methylprednisolone sodium succinate 5 mg/ml
Glucosa 5% 132
Compatible
Inyectables Heparin sodium 50 UI/ml
Inyectables Methylprednisolone sodium succinate 2.5 mg/ml
Ninguno 317
Compatible
Inyectables Heparin sodium 100 UI/ml
Inyectables Methylprednisolone sodium succinate 5 mg/ml
Cloruro de sodio 0,9% 132
Compatible
Inyectables Heparin sodium 1000 UI/ml
Inyectables Metoclopramide hydrochloride 5 mg/ml
763
Inestabilidad química Incompatible
Inyectables Heparin sodium 1000 UI/ml
Inyectables Metoprolol tartrate 1 mg/ml
Ninguno 2346
Compatible
Inyectables Heparin sodium 50 UI/ml
Inyectables Metronidazole 5 mg/ml
Ninguno 317
Compatible
Inyectables Heparin sodium 100 UI/ml
Inyectables Micafungin 1.5 mg/ml
Cloruro de sodio 0,9% 2108
Turbidez inmediata Incompatible
Inyectables Heparin sodium 208,3 UI/ml
Inyectables Midazolam hydrochloride 1 mg/ml
Cloruro de sodio 0,9% 4698
Compatible
Inyectables Heparin sodium 500 UI/ml
Inyectables Midazolam hydrochloride 2.1 mg/ml
Cloruro de sodio 0,9% 3823
Compatible
Inyectables Heparin sodium 417 UI/ml
Inyectables Midazolam hydrochloride 5 mg/ml
Ninguno 186
Compatible
Inyectables Heparin sodium 100 UI/ml
Inyectables Midazolam hydrochloride 5 mg/ml
4389
Compatible
Inyectables Heparin sodium 100 UI/ml
Inyectables Midazolam hydrochloride 2 mg/ml
314
Compatible
Inyectables Heparin sodium 200 UI/ml
Inyectables Milrinone lactate 0.8 mg/ml
Glucosa 5% 813
Compatible
Inyectables Heparin sodium 100 UI/ml
Inyectables Milrinone lactate 0.2 mg/ml
314
Compatible
Inyectables Heparin sodium 1 UI/ml
Inyectables Minocycline hydrochloride 0.2 mg/ml
Glucosa 5% 1228
Compatible
Inyectables Heparin sodium 1 UI/ml
Inyectables Minocycline hydrochloride 0.2 mg/ml
Ringer lactato 1228
Compatible
Inyectables Heparin sodium 1 UI/ml
Inyectables Minocycline hydrochloride 0.2 mg/ml
Cloruro de sodio 0,9% 1228
Incompatibilidad no especificada Incompatible
Inyectables Heparin sodium
Inyectables Mitoxantrone dihydrochloride
3640
Incompatibilidad no especificada Incompatible
Inyectables Heparin sodium
Inyectables Morphine hydrochloride
5069
Compatible
Inyectables Heparin sodium 100 & 200 UI/ml
Inyectables Morphine sulfate 1 >> 5 mg/ml
Agua para preparación inyectable 341
Compatible
Inyectables Heparin sodium 1 UI/ml
Inyectables Morphine sulfate 15 mg/ml
Ringer lactato 1228
Incompatibilidad no especificada Incompatible
Inyectables Heparin sodium
Inyectables Morphine sulfate
3531
Compatible
Inyectables Heparin sodium 1 UI/ml
Inyectables Morphine sulfate 15 mg/ml
Glucosa 5% 1228
Compatible
Inyectables Heparin sodium 1 UI/ml
Inyectables Morphine sulfate 15 mg/ml
Cloruro de sodio 0,9% 1228
Compatible
Inyectables Heparin sodium 60 UI/ml
Inyectables Morphine sulfate 1 mg/ml
Cloruro de sodio 0,9% 406
Compatible
Inyectables Heparin sodium 100 & 200 UI/ml
Inyectables Morphine sulfate 10 mg/ml
Agua para preparación inyectable 341
Compatible
Inyectables Heparin sodium 100 UI/ml
Inyectables Morphine sulfate 2 mg/ml
314
Inestabilidad química Incompatible
Inyectables Heparin sodium 100 & 200 UI/ml
Inyectables Morphine sulfate 1 >> 10 mg/ml
Cloruro de sodio 0,9% 341
Compatible
Inyectables Heparin sodium 1000 UI/ml
Inyectables N-acetylcysteine 200 mg/ml
Ninguno 3766
Compatible
Inyectables Heparin sodium 50 UI/ml
Inyectables Nafcillin sodium 20 mg/ml
Ninguno 317
Compatible
Inyectables Heparin sodium 1000 UI/ml
Inyectables Naloxone hydrochloride 0.4 mg/ml
Ninguno 3408
Turbidez inmediata Incompatible
Inyectables Heparin sodium 208,3 UI/ml
Inyectables Nefopam 1,7 mg/ml
Cloruro de sodio 0,9% 4698
Compatible
Inyectables Heparin sodium 1 UI/ml
Inyectables Neostigmine methylsulfate 0.5 mg/ml
Glucosa 5% 1228
Compatible
Inyectables Heparin sodium 1 UI/ml
Inyectables Neostigmine methylsulfate 0.5 mg/ml
Cloruro de sodio 0,9% 1228
Compatible
Inyectables Heparin sodium 1 UI/ml
Inyectables Neostigmine methylsulfate 0.5 mg/ml
Ringer lactato 1228
Incompatibilidad no especificada Incompatible
Inyectables Heparin sodium
Inyectables Nesiritide
5048
Incompatibilidad no especificada Incompatible
Inyectables Heparin sodium
Inyectables Netilmicin sulfate
3540
Precipitación inmediata Incompatible
Inyectables Heparin sodium
Inyectables Netilmicin sulfate
1022
Precipitación inmediata Incompatible
Inyectables Heparin sodium 100 UI/ml
Inyectables Nicardipine hydrochloride 1 mg/ml
314
Incompatibilidad no especificada Incompatible
Inyectables Heparin sodium
Inyectables Nicardipine hydrochloride
3540
Compatible
Inyectables Heparin sodium 40 UI/ml
Inyectables Nicardipine hydrochloride 0.1 mg/ml
Glucosa 5% 1490
Compatible
Inyectables Heparin sodium 40 UI/ml
Inyectables Nicardipine hydrochloride 0.1 mg/ml
Cloruro de sodio 0,9% 1490
Precipitación inmediata Incompatible
Inyectables Heparin sodium 100 UI/ml
Inyectables Nitroglycerin 1,6 >> 3,25 mg/ml
Glucosa 5% 295
Compatible
Inyectables Heparin sodium 500 UI/ml
Inyectables Nitroglycerin 0.2 mg/ml
Cloruro de sodio 0,9% 3823
Producción de burbujas de gas. Incompatible
Inyectables Heparin sodium 50 UI/ml
Inyectables Nitroglycerin 0.2 mg/ml
Ninguno 317
Compatible
Inyectables Heparin sodium 500 UI/ml
Inyectables Nitroglycerin 0.2 mg/ml
Glucosa 5% 3823
Compatible
Inyectables Heparin sodium 100 UI/ml
Inyectables Nitroglycerin 0.4 mg/ml
314
Compatible
Inyectables Heparin sodium 50 UI/ml
Inyectables Nitroprusside sodium 0.2 mg/ml
Ninguno 317
Compatible
Inyectables Heparin sodium 100 UI/ml
Inyectables Nitroprusside sodium 0.2 mg/ml
Glucosa 5% 295
Compatible
Inyectables Heparin sodium 100 UI/ml
Inyectables Norepinephrine bitartrate 0.128 mg/ml
314
Incompatibilidad no especificada Incompatible
Inyectables Heparin sodium
Inyectables Ofloxacin
3562
Compatible
Inyectables Heparin sodium 40 UI/ml
Inyectables Ondansetron hydrochloride 1 mg/ml
Cloruro de sodio 0,9% 334
Incompatible
Inyectables Heparin sodium 200 UI/ml
Inyectables Ondansetron hydrochloride 1.6 mg/ml
1699
Turbidez inmediata Incompatible
Inyectables Heparin sodium 100 UI/ml
Inyectables Oritavancin 0.8 >>1.2 mg/ml
Glucosa 5% 3152
Precipitación después de 4 horas. Incompatible
Inyectables Heparin sodium 100 UI/ml
Inyectables Oritavancin 2 mg/ml
Glucosa 5% 3152
Compatible
Inyectables Heparin sodium 208 UI/ml
Inyectables Ornidazole 31.25 mg/ml
Cloruro de sodio 0,9% 4254
Compatible
Inyectables Heparin sodium 1 UI/ml
Inyectables Oxacillin sodium 100 mg/ml
Glucosa 5% 1228
Compatible
Inyectables Heparin sodium 1 UI/ml
Inyectables Oxacillin sodium 100 mg/ml
Ringer lactato 1228
Compatible
Inyectables Heparin sodium 1 UI/ml
Inyectables Oxacillin sodium 100 mg/ml
Cloruro de sodio 0,9% 1228
Compatible
Inyectables Heparin sodium 100 UI/ml
Inyectables Oxaliplatin 0,5 mg/ml
Glucosa 5% 1662
Incompatibilidad no especificada Incompatible
Inyectables Heparin sodium
Inyectables Oxytetracycline hydrochloride
3540
Compatible
Inyectables Heparin sodium 100 UI/ml
Inyectables Paclitaxel 1.2 mg/ml
Glucosa 5% 248
Compatible
Inyectables Heparin sodium 100 UI/ml
Inyectables Palonosetron hydrochloride 50 µg/ml
Glucosa 5% 2279
Compatible
Inyectables Heparin sodium 40 UI/ml
Inyectables Pancuronium bromide 0.05 mg/ml
Glucosa 5% 402
Precipitación después de 1 hora Incompatible
Inyectables Heparin sodium
Inyectables Pantoprazole sodium
2090
Compatible
Inyectables Heparin sodium 208,3 UI/ml
Inyectables Paracetamol 10 mg/ml
Cloruro de sodio 0,9% 4698
Compatible
Inyectables Heparin sodium 1000 UI/ml
Inyectables Paracetamol 10 mg/ml
4742
Compatible
Inyectables Heparin sodium 100 UI/ml
Inyectables Pemetrexed disodium 20 mg/ml
Cloruro de sodio 0,9% 1953
Incompatibilidad no especificada Incompatible
Inyectables Heparin sodium
Inyectables Penicillin G potassium
3540
Compatible
Inyectables Heparin sodium 50 UI/ml
Inyectables Penicillin G potassium 0.04 MUI/ml
Ninguno 317
Incompatibilidad no especificada Incompatible
Inyectables Heparin sodium
Inyectables Penicillin G sodium
3540
Compatible
Inyectables Heparin sodium 100 UI/ml
Inyectables Pentoxifyllin 5 mg/ml
Cloruro de sodio 0,9% 4538
Turbidez inmediata Incompatible
Inyectables Heparin sodium
Inyectables Pethidine hydrochloride
3525
Compatible
Inyectables Heparin sodium 60 UI/ml
Inyectables Pethidine hydrochloride 10 mg/ml
Cloruro de sodio 0,9% 406
Incompatibilidad no especificada Incompatible
Inyectables Heparin sodium
Inyectables Pethidine hydrochloride
3540
Precipitación inmediata Incompatible
Inyectables Heparin sodium 50 UI/ml
Inyectables Phenytoin sodium 2 mg/ml
Ninguno 317
Compatible
Inyectables Heparin sodium 50 UI/ml
Inyectables Piperacillin sodium 60 mg/ml
Ninguno 317
Compatible
Inyectables Heparin sodium 10 & 5000 UI/ml
Inyectables Piperacillin sodium 40 mg/ml
Cloruro de sodio 0,9% 2037
Compatible
Inyectables Heparin sodium 0.5 UI/ml
Inyectables Piperacillin sodium / tazobactam 0.5/0.0625 mg/ml
Dianéal® 2.5% glucose (Baxter) 4180
Compatible
Inyectables Heparin sodium 0.5 UI/ml
Inyectables Piperacillin sodium / tazobactam 0.5/0.0625 mg/ml
Dianéal® 4.25% glucose (Baxter) 4180
Turbidez inmediata Incompatible
Inyectables Heparin sodium 1000 UI/ml
Inyectables Plazomicin sulfate 24 mg/ml
Cloruro de sodio 0,9% 4145
Incompatibilidad no especificada Incompatible
Inyectables Heparin sodium
Inyectables Polymyxine B
3540
Compatible
Inyectables Heparin sodium 50 UI/ml
Inyectables Potassium chloride 200 mEq/l
Ninguno 317
Compatible
Inyectables Heparin sodium 1 UI/ml
Inyectables Procainamide hydrochloride 100 mg/ml
Ringer lactato 1228
Compatible
Inyectables Heparin sodium 1 UI/ml
Inyectables Procainamide hydrochloride 100 mg/ml
Cloruro de sodio 0,9% 1228
Compatible
Inyectables Heparin sodium 1 UI/ml
Inyectables Prochlorperazine edysilate 5 mg/ml
Cloruro de sodio 0,9% 1228
Compatible
Inyectables Heparin sodium 3 >> 20 UI/ml
Nutrición parenteral (libre de lípidos) 791
Compatible
Inyectables Heparin sodium 100 UI/ml
Nutrición parenteral (libre de lípidos) 301
Compatible
Inyectables Heparin sodium 500 UI/ml
Nutrición parenteral (libre de lípidos) 939
Compatible
Inyectables Heparin sodium 1 UI/ml
Inyectables Prochlorperazine edysilate 5 mg/ml
Ringer lactato 1228
Compatible
Inyectables Heparin sodium 1 UI/ml
Inyectables Promethazine hydrochloride 50 mg/ml
Cloruro de sodio 0,9% 1228
Compatible
Inyectables Heparin sodium 1 UI/ml
Inyectables Promethazine hydrochloride 50 mg/ml
Ringer lactato 1228
Compatible
Inyectables Heparin sodium 1 UI/ml
Inyectables Propranolol hydrochloride 1 mg/ml
Ringer lactato 1228
Compatible
Inyectables Heparin sodium 1 UI/ml
Inyectables Propranolol hydrochloride 1 mg/ml
Cloruro de sodio 0,9% 1228
Compatible
Inyectables Heparin sodium 50 UI/ml
Inyectables Ranitidine hydrochloride 0,5 mg/ml
Glucosa 5% 396
Compatible
Inyectables Heparin sodium 10 & 40 UI/ml
Inyectables Ranitidine hydrochloride 0.05 & 2 mg/ml
Cloruro de sodio 0,9% 214
Compatible
Inyectables Heparin sodium 50 UI/ml
Inyectables Ranitidine hydrochloride 1 mg/ml
Ninguno 317
Compatible
Inyectables Heparin sodium 1000 UI/ml
Inyectables Remdesivir 1 mg/ml
Cloruro de sodio 0,9% 4768
Compatible
Inyectables Heparin sodium 100 UI/ml
Inyectables Remifentanil hydrochloride 25 & 250 µg/ml
Cloruro de sodio 0,9% 59
Compatible
Inyectables Heparin sodium 500 UI/ml
Inyectables Remifentanil hydrochloride 100 µg/ml
Cloruro de sodio 0,9% 3823
Compatible
Inyectables Heparin sodium 500 UI/ml
NaHCO3 150
Compatible
Inyectables Heparin sodium 1.4 UI/ml
Inyectables Piperacillin sodium / tazobactam 1.38/0.1725 mg/ml
Physionéal® 2.27 (Baxter) 4180
Compatible
Inyectables Heparin sodium 1.4 UI/ml
Inyectables Piperacillin sodium / tazobactam 1.38/0.1725 mg/ml
Physionéal® 1.36 (Baxter) 4180
Compatible
Inyectables Heparin sodium 0.5 UI/ml
Inyectables Piperacillin sodium / tazobactam 0.5/0.0625 mg/ml
Dianéal® 1.5% glucose (Baxter) 4180
Compatible
Inyectables Heparin sodium 1.4 UI/ml
Inyectables Piperacillin sodium / tazobactam 1.38/0.1725 mg/ml
Physionéal® 3.86 (Baxter) 4180
Compatible
Inyectables Heparin sodium 100 UI/ml
Inyectables Piperacillin sodium / tazobactam 40/5 mg/ml
Glucosa 5% 81
Compatible
Inyectables Heparin sodium 0.5 UI/ml
Inyectables Piperacillin sodium / tazobactam 0.5/0.0625 mg/ml
Extraneal® (Baxter) 4180
Compatible
Inyectables Heparin sodium 500 UI/ml
Inyectables Potassium chloride 10 mEq/l
Cloruro de sodio 0,9% 3823
Compatible
Inyectables Heparin sodium 58,34 UI/ml
Inyectables Potassium chloride 1250 mEq/l
Glucosa 5% 1289
Compatible
Inyectables Heparin sodium
Inyectables Potassium phosphate
3781
Compatible
Inyectables Heparin sodium 1 UI/ml
Inyectables Procainamide hydrochloride 100 mg/ml
Glucosa 5% 1228
Compatible
Inyectables Heparin sodium 1 UI/ml
Inyectables Prochlorperazine edysilate 5 mg/ml
Glucosa 5% 1228
Compatible
Inyectables Heparin sodium 1 UI/ml
Inyectables Promethazine hydrochloride 50 mg/ml
Glucosa 5% 1228
Incompatibilidad no especificada Incompatible
Inyectables Heparin sodium
Inyectables Promethazine hydrochloride
3540
Inestabilidad de la emulsión después de 1 hora. Incompatible
Inyectables Heparin sodium 1000 UI/ml
Inyectables Propofol
660
Compatible
Inyectables Heparin sodium 100 UI/ml
Inyectables Propofol 10 mg/ml
Ninguno 300
Compatible
Inyectables Heparin sodium 1 UI/ml
Inyectables Propranolol hydrochloride 1 mg/ml
Glucosa 5% 1228
Compatible
Inyectables Heparin sodium 100 UI/ml
Inyectables Ranitidine hydrochloride 1 mg/ml
314
Compatible
Inyectables Heparin sodium 10 & 40 UI/ml
Inyectables Ranitidine hydrochloride 0.05 & 2 mg/ml
Glucosa 5% 214
Compatible
Inyectables Heparin sodium 416.7 UI/ml
Inyectables Remifentanil hydrochloride 120 µg/ml
Glucosa 5% 3294
Compatible
Inyectables Heparin sodium 416.7 UI/ml
Inyectables Remifentanil hydrochloride 120 µg/ml
Glucosa 5% 3176
Incompatibilidad no especificada Incompatible
Inyectables Heparin sodium
Inyectables Reteplase
2212
Compatible
Inyectables Heparin sodium 20,458 >> 28,000 UI/ml
Nutrición parenteral (con lípidos) 1868
Incompatibilidad no especificada Incompatible
Inyectables Heparin sodium
Inyectables Reteplase
3540
Compatible
Inyectables Heparin sodium 1000 UI/ml
Inyectables Salbutamol sulfate 1 mg/ml
Ninguno 3216
Compatible
Inyectables Heparin sodium 100 UI/ml
Inyectables Sargramostim 6 §15 µg/ml
Cloruro de sodio 0,9% 891
Compatible
Inyectables Heparin sodium 100 UI/ml
Inyectables Sargramostim 10 µg/ml
Cloruro de sodio 0,9% 335
Compatible
Inyectables Heparin sodium 1 UI/ml
Inyectables Scopolamine hydrobromide 0.86 mg/ml
Cloruro de sodio 0,9% 1228
Compatible
Inyectables Heparin sodium 1 UI/ml
Inyectables Scopolamine hydrobromide 0.86 mg/ml
Ringer lactato 1228
Compatible
Inyectables Heparin sodium 1 UI/ml
Inyectables Scopolamine hydrobromide 0.86 mg/ml
Glucosa 5% 1228
Compatible
Inyectables Heparin sodium 100 UI/ml
Inyectables Sildenafil citrate 0,6 mg/ml
Glucosa 5% 4845
Compatible
Inyectables Heparin sodium 100 UI/ml
Inyectables Sildenafil citrate 0,06 mg/ml
Glucosa 5% 4845
Compatible
Inyectables Heparin sodium 1 UI/ml
Inyectables Sildenafil citrate 0,4 mg/ml
Glucosa 5% 3923
Compatible
Inyectables Heparin sodium 2 UI/ml
Inyectables Sildenafil citrate 0,6 mg/ml
Glucosa 5% 4845
Compatible
Inyectables Heparin sodium
Cloruro de sodio 0,9% 3540
Inestabilidad inmediata de la emulsión Incompatible
Inyectables Heparin sodium 100 UI/ml
Nutrición parenteral (con lípidos) 132
Turbidez inmediata Incompatible
Inyectables Heparin sodium 100 UI/ml
Inyectables Sildenafil citrate 0,6 mg/ml
Glucosa 5% 4845
Compatible
Inyectables Heparin sodium 500 UI/ml
Inyectables Sodium bicarbonate 84 mg/ml
Cloruro de sodio 0,9% 3823
Compatible
Inyectables Heparin sodium
Inyectables Sodium bicarbonate
3466
Compatible
Inyectables Heparin sodium 500 UI/ml
Inyectables Sodium bicarbonate 14 mg/ml
Ninguno 150
Compatible
Inyectables Heparin sodium 500 UI/ml
Inyectables Sodium bicarbonate 84 mg/ml
Ninguno 3212
Compatible
Inyectables Heparin sodium 208 UI/ml
Inyectables Spiramycine adipate 0.0625 MUI/ml
Cloruro de sodio 0,9% 4254
Compatible
Inyectables Heparin sodium 100 UI/ml
Inyectables Streptokinase 30000 UI/ml
Glucosa 5% 92
Incompatibilidad no especificada Incompatible
Inyectables Heparin sodium
Inyectables Streptomycin sulfate
3540
Compatible
Inyectables Heparin sodium 416.7 UI/ml
Inyectables Sufentanil citrate 0.005 mg/ml
Glucosa 5% 3294
Compatible
Inyectables Heparin sodium 1000 UI/ml
Inyectables Sugammadex 100 mg/ml
Ninguno 3372
Compatible
Inyectables Heparin sodium 10 UI/ml
Inyectables Tacrolimus 1000 µg/ml
Cloruro de sodio 0,9% 479
Compatible
Inyectables Heparin sodium 1000 UI/ml
Ringer lactato 4603
Compatible
Inyectables Heparin sodium 1000 UI/ml
Inyectables Sulbactam/durlobactam 15/15 mg/ml
Cloruro de sodio 0,9% 4801
Compatible
Inyectables Heparin sodium 1000 UI/ml
Inyectables Tedizolid phosphate 0.8 mg/ml
Cloruro de sodio 0,9% 3827
Compatible
Inyectables Heparin sodium 10 >> 10000 UI/ml
Inyectables Teicoplanine 0.02 >> 10 mg/ml
Cloruro de sodio 0,9% 2057
Turbidez inmediata Incompatible
Inyectables Heparin sodium 1000 UI/ml
Inyectables Telavancin hydrochloride 7,5 mg/ml
Glucosa 5% 3254
Turbidez inmediata Incompatible
Inyectables Heparin sodium 1000 UI/ml
Inyectables Telavancin hydrochloride 7,5 mg/ml
Cloruro de sodio 0,9% 3254
Compatible
Inyectables Heparin sodium 1000 UI/ml
Inyectables Telavancin hydrochloride 7.5 mg/ml
Ringer lactato 3254
Precipitación inmediata Incompatible
Inyectables Heparin sodium 1000 UI/ml
Inyectables Thiopental sodium 25 mg/ml
Cloruro de sodio 0,9% 3767
Inestabilidad inmediata de la emulsión Incompatible
Inyectables Heparin sodium 1 UI/ml
Nutrición parenteral (con lípidos) 1391
Compatible
Inyectables Heparin sodium 100 UI/ml
Inyectables Teniposide 0.1 mg/ml
Glucosa 5% 905
Compatible
Inyectables Heparin sodium 50 UI/ml
Inyectables Theophylline 4 mg/ml
Ninguno 317
Compatible
Inyectables Heparin sodium 100 UI/ml
Inyectables Thiopental sodium 25 mg/ml
314
Inestabilidad inmediata de la emulsión Incompatible
Inyectables Heparin sodium 100 UI/ml
Nutrición parenteral (con lípidos) 1415
Compatible
Inyectables Heparin sodium 500 UI/ml
Inyectables Thiopental sodium 60 mg/ml
Cloruro de sodio 0,9% 3823
Compatible
Inyectables Heparin sodium 100 UI/ml
Inyectables Thiotepa 1 mg/ml
Glucosa 5% 249
Compatible
Inyectables Heparin sodium 50 UI/ml
Inyectables Ticarcillin / clavulanic acid 31 mg/ml
Ninguno 317
Compatible
Inyectables Heparin sodium 500 UI/ml
Inyectables Tirofiban 250 µg/ml
Cloruro de sodio 0,9% 3823
Compatible
Inyectables Heparin sodium 40 & 100 UI/ml
Inyectables Tirofiban 50 µg/ml
Cloruro de sodio 0,9% 1420
Compatible
Inyectables Heparin sodium
Glucosa 5% 3540
Compatible
Inyectables Heparin sodium
Inyectables Tirofiban
1512
Compatible
Inyectables Heparin sodium 40 & 100 UI/ml
Inyectables Tirofiban 50 µg/ml
Glucosa 5% 1420
Incompatibilidad no especificada Incompatible
Inyectables Heparin sodium 50 UI/ml
Inyectables Tobramycin sulfate 0.8 mg/ml
Ninguno 317
Incompatibilidad no especificada Incompatible
Inyectables Heparin sodium
Inyectables Tobramycin sulfate
3540
Compatible
Inyectables Heparin sodium
Inyectables Tranexamic acid
5016
Incompatibilidad no especificada Incompatible
Inyectables Heparin sodium
Inyectables Triflupromazine hydrochloride
3540
Compatible
Inyectables Heparin sodium 500 UI/ml
Inyectables Urapidil 5 mg/ml
Cloruro de sodio 0,9% 3823
Precipitación inmediata Incompatible
Inyectables Heparin sodium 0,5 >> 14,3 UI/ml
Inyectables Vancomycin hydrochloride 6,9 >> 14,3 mg/ml
Dianéal® PD1 4.25% Glucosa (Baxter) 2375
Incompatibilidad no especificada Incompatible
Inyectables Heparin sodium
Inyectables Vancomycin hydrochloride
3588
Incompatibilidad no especificada Incompatible
Inyectables Heparin sodium
Inyectables Vancomycin hydrochloride
3540
Compatible
Inyectables Heparin sodium 0,5 >> 14,3 UI/ml
Inyectables Vancomycin hydrochloride 0,015 >> 6,8 mg/ml
Dianéal® PD2 2.5% glucose (Baxter) 2375
Precipitación inmediata Incompatible
Inyectables Heparin sodium 0,5 >> 14,3 UI/ml
Inyectables Vancomycin hydrochloride 6,9 >> 14,3 mg/ml
Dianéal® PD2 2.5% glucose (Baxter) 2375
Compatible
Inyectables Heparin sodium 10 UI/ml
Inyectables Vancomycin hydrochloride 0.025 mg/ml
Agua para preparación inyectable 3125
Compatible
Inyectables Heparin sodium 0,5 >> 14,3 UI/ml
Inyectables Vancomycin hydrochloride 0,015 >> 6,8 mg/ml
Dianéal® PD1 4.25% Glucosa (Baxter) 2375
Incompatibilidad no especificada Incompatible
Inyectables Heparin sodium 50 UI/ml
Inyectables Vancomycin hydrochloride 6.6 mg/ml
Ninguno 317
Compatible
Inyectables Heparin sodium 100 UI/ml
Inyectables Vancomycin hydrochloride 0.025 mg/ml
Cloruro de sodio 0,9% 1414
Compatible
Inyectables Heparin sodium 10 UI/ml
Inyectables Vancomycin hydrochloride 2 mg/ml
Cloruro de sodio 0,9% 2037
Precipitación inmediata Incompatible
Inyectables Heparin sodium 100 UI/ml
Inyectables Vancomycin hydrochloride 10 mg/ml
Nutrición parenteral (libre de lípidos) 132
Compatible
Inyectables Heparin sodium 5000 UI/ml
Inyectables Vancomycin hydrochloride 2.5 mg/ml
Cloruro de sodio 0,9% 2037
Compatible
Inyectables Heparin sodium 100 UI/ml
Inyectables Vancomycin hydrochloride 0.025 mg/ml
Cloruro de sodio 0,9% 895
Compatible
Inyectables Heparin sodium 100 UI/ml
Inyectables Vasopressin 2 & 4 UI/ml
Cloruro de sodio 0,9% 1801
Compatible
Inyectables Heparin sodium 100 UI/ml
Inyectables Vecuronium bromide 1 mg/ml
314
Compatible
Inyectables Heparin sodium 40 UI/ml
Inyectables Vecuronium bromide 0.1 mg/ml
Glucosa 5% 402
Compatible
Inyectables Heparin sodium 20 UI/ml
Inyectables Verapamil hydrochloride 0.08 mg/ml
Cloruro de sodio 0,9% 1057
Compatible
Inyectables Heparin sodium 20 UI/ml
Inyectables Verapamil hydrochloride 0.08 mg/ml
Glucosa 5% 1057
Incompatibilidad no especificada Incompatible
Inyectables Heparin sodium
Inyectables Vinblastine sulfate
3540
Compatible
Inyectables Heparin sodium 1000 UI/ml
Inyectables Vinblastine sulfate 1 mg/ml
763
Compatible
Inyectables Heparin sodium 1000 UI/ml
Inyectables Vincristine sulfate 1 mg/ml
763
Compatible
Inyectables Heparin sodium 100 UI/ml
Inyectables Vinorelbine tartrate 1 mg/ml
Cloruro de sodio 0,9% 84
Compatible
Inyectables Heparin sodium 100 UI/ml
Inyectables Vinorelbine tartrate 1 mg/ml
Cloruro de sodio 0,9% 1070
Precipitación inmediata Incompatible
Inyectables Heparin sodium 10 & 100 UI/ml
Inyectables Vinorelbine tartrate 2 & 3 mg/ml
Cloruro de sodio 0,9% 1070
Compatible
Inyectables Heparin sodium 208 UI/ml
Inyectables Voriconazole 8 mg/ml
Glucosa 5% 4254
Compatible
Inyectables Heparin sodium 208 UI/ml
Inyectables Voriconazole 8 mg/ml
Cloruro de sodio 0,9% 4254
Compatible
Inyectables Heparin sodium 100 UI/ml
Inyectables Warfarin sodium 2 mg/ml
Glucosa 5% 315
Compatible
Inyectables Heparin sodium 100 UI/ml
Inyectables Zidovudine 4 mg/ml
Glucosa 5% 337

  Mentions Légales