Utolsó frissítés :
16/12/2025
Vitamin   Cyanocobalamine  
Injekció
Az oldatok stabilitása A keverékek stabilitása Stabilitást befolyásoló tényezők Kompatibilitás Az alkalmazás módja Irodalom pdf
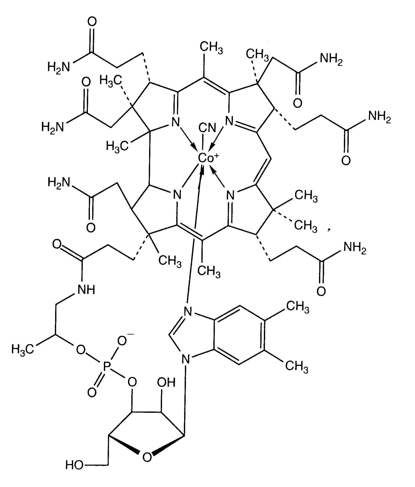
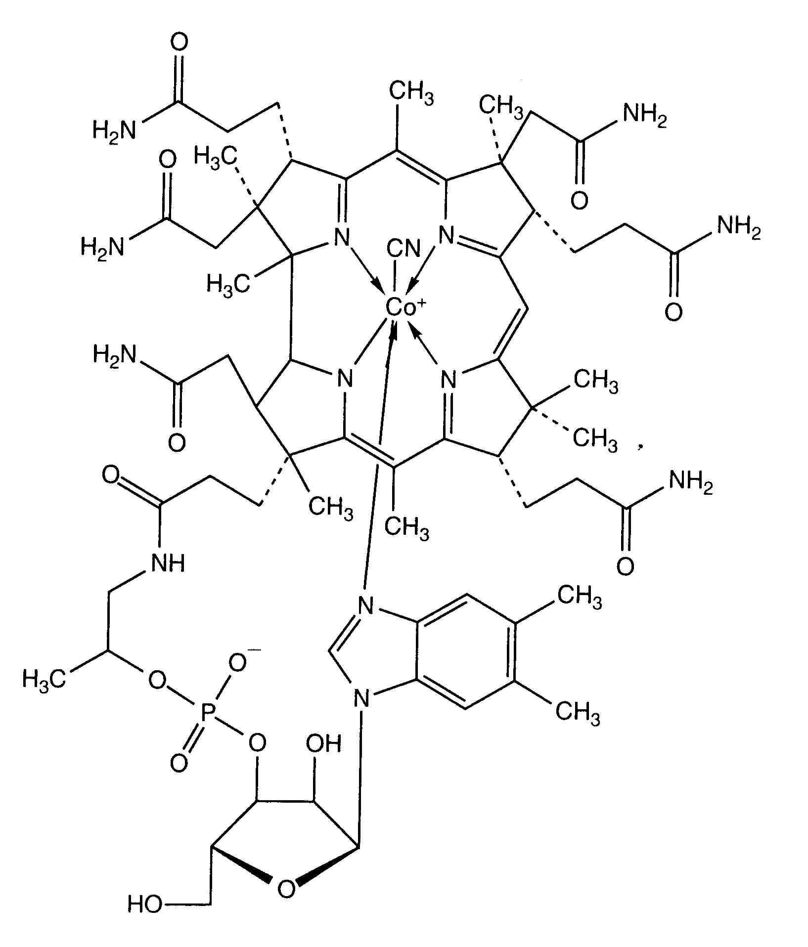
   Kémiai szerkezet   

Kereskedelmi név   Kereskedelmi név     

A kereskedelmi név meghatározó jelentőségű: a készítmények összetétele országonként, előállítóként eltérő lehet

Ambe 12 Németország
Ambene B Németország
B12 Ankermann Németország
B12 Asmedic Németország
B12 for injection Kanada, Németország
B12 Vicotrat Németország
Beto 12 Egyiptom
Betolvex Dánia, Egyesült Arab Emírségek, Egyiptom, Finnország, Norvégia, Svájc, Svédország, Szaúd-Arábiában
Bitavion Irán
Cianocobalamina Chile, Colombia, Ecuador, Venezuela
Cidulvex Egyiptom
Citon India
Cobal Malaysia
Cobex Kanada
Cozamon Venezuela
Cromatonbic B12 Spanyolország
Cyanocobalamin Amerikai Egyesült Államok, Egyiptom, Malaysia, új-Zéland
Cyanocobalamine Franciaország, Malaysia
Cyanvit Irán
Cynovit Egyesült Arab Emírségek, Szaúd-Arábiában
Cytamen Ausztrália, Írország, Nagy-Britannia
Cytobion Németország, Szaúd-Arábiában
Dobetin Olaszország
Dodex Törökország
Droxofor Venezuela
Duradoce Mexikó
Emicobal Egyiptom
Hamo Vilobex Németország
Hidro Doce 5000 Venezuela
Ibedox Venezuela
L Vit 12 India
Lifaton B12 Spanyolország
Lophakomp B12 Németország
Optovite B12 Spanyolország
Osve Vitamin B12 Irán
Permadoze Portugália
Reedvit Argentína
Reiculoger Ecuador, Spanyolország
Rowo Vitamin B12 Németország
Rubivamin Amerikai Egyesült Államok, Egyiptom
Vibalmin Irán
Vicapan Németország
Viplex B12 Törökország
Vitakobal Törökország
Vitamina B12 Ausztria, Belgium, Colombia, Ecuador, Egyesült Arab Emírségek, Irán, Kanada, Malaysia, Marokkó, Németország, Norvégia, Románia, Svájc, Tunézia, Venezuela
Vitaminum B12 Lengyelország
Vitarubine Svájc
Az oldatok stabilitása   Injekció   Az oldatok stabilitása : Cyanocobalamine     
Hiányzó adat

  Mentions Légales