Last update :
27/01/2026
Anticoagulant   Heparin sodium  
injection
Stability in solutions Stability of mixtures Factors which affect stability Compatibility Route of administration References pdf
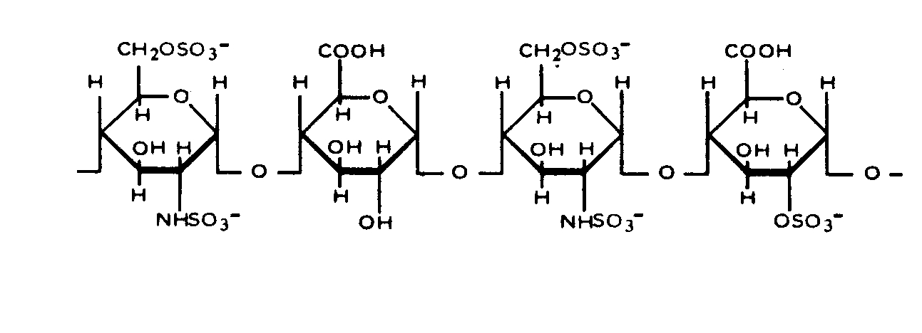
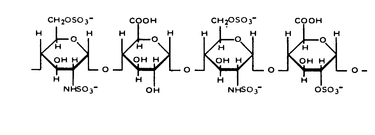
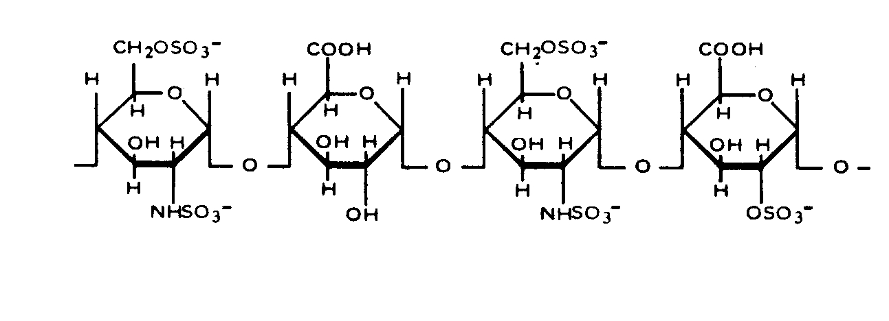
   Chemical structure  

Tradename   Tradename     

Trade names are indicative and excipients composition can be different depending on the country and manufacturers

Arapin Chile
Ateroclar Italy
Clarisco Italy
Epsoclar Italy
Hepaflex Finland, Norway
Hepamax Chile, Colombia, Ecuador
Heparin Austria, Canada, Denmark, Finland, Great Britain, Greece, Hungary, Netherlands, Norway, Republic of South Africa, russian, Serbia, Sweden, Switzerland, Thailand, Turkey, United States of America
Heparine Belgium, France
Heparinised Australia
Heparstad Germany
Liquemin Switzerland, Turkey
Liquemine Brazil
Monoparin Saudi Arabia
Normoparin Italy
Nuparin Ecuador
Pharepa Italy
Riveparin Argentina
Sobrius Argentina, Ecuador
Thrombophob Germany
Compatibility   injection   Compatibility : Heparin sodium              
This screen indicates the compatibilities or incompatibilities with, in this case, the type of incompatibility (precipitation, color change, modification of an emulsion, etc.). The compatibilities shown here are mostly physical only, with the chemical stability of each molecule rarely being assessed. The evaluation of these mixtures was studied to consider the possibility of Y-site administration to the patient. These data cannot be used for making mixtures in advance in bags or syringes. This type of information is available in the screen "Stability in mixture ».
Compound Solvent References
Compatible
injection Heparin sodium 100 UI/ml
injection Aciclovir sodium 5 mg/ml
Sodium chloride 0,9% 2335
Compatible
injection Heparin sodium 50 UI/ml
injection Aciclovir sodium 5 mg/ml
Glucose 5% 336
Compatible
injection Heparin sodium 100 UI/ml
injection Aldesleukin 0.0338 MUI/ml
Glucose 5% 36
Compatible
injection Heparin sodium 100 UI/ml
injection Allopurinol sodium 3 mg/ml
Sodium chloride 0,9% 307
Compatible
injection Heparin sodium 1 UI/ml
injection Alprostadil 20 µg/ml
Sodium chloride 0,9% 4491
Compatible
injection Heparin sodium 1 UI/ml
injection Alprostadil 20 µg/ml
Glucose 5% 4651
Precipitation after 24 hours Incompatible
injection Heparin sodium 100 UI/ml
injection Alteplase 1 mg/ml
Water for Injection 92
Unspecified incompatibility Incompatible
injection Heparin sodium
injection Alteplase
3540
Immediate precipitation Incompatible
injection Heparin sodium 40 UI/ml
injection Alteplase 0.5 mg/ml
Water for Injection 240
Unspecified incompatibility Incompatible
injection Heparin sodium
injection Alteplase
3616
Compatible
injection Heparin sodium 100 UI/ml
injection Amifostine 10 mg/ml
Glucose 5% 3
Immediate precipitation Incompatible
injection Heparin sodium
injection Amikacin sulfate
1022
Unspecified incompatibility Incompatible
injection Heparin sodium
injection Amikacin sulfate
3549
Unspecified incompatibility Incompatible
injection Heparin sodium
injection Amikacin sulfate
3540
Unspecified incompatibility Incompatible
injection Heparin sodium 500 UI/ml
injection Amiodarone hydrochloride 15 mg/ml
Sodium chloride 0,9% 3823
Unspecified incompatibility Incompatible
injection Heparin sodium
injection Amiodarone hydrochloride
3540
Immediate turbidity Incompatible
injection Heparin sodium 500 UI/ml
injection Amiodarone hydrochloride 15 mg/ml
Sodium chloride 0,9% 3463
Unspecified incompatibility Incompatible
injection Heparin sodium
injection Amiodarone hydrochloride
3464
Unspecified incompatibility Incompatible
injection Heparin sodium 500 UI/ml
injection Amiodarone hydrochloride 15 mg/ml
Glucose 5% 3823
Immediate turbidity Incompatible
injection Heparin sodium 500 UI/ml
injection Amiodarone hydrochloride 15 mg/ml
Glucose 5% 3463
Compatible
injection Heparin sodium 208 UI/ml
injection Amoxicillin sodium 20.83 & 83.3 mg/ml
Sodium chloride 0,9% 4254
Compatible
injection Heparin sodium 1000 UI/ml
injection Amoxicillin sodium / clavulanic acid 100/10 mg/ml
3824
Compatible
injection Heparin sodium
injection Ampicillin sodium
5088
Compatible
injection Heparin sodium 50 UI/ml
injection Ampicillin sodium 20 mg/ml
None 317
Compatible
injection Heparin sodium 50 UI/ml
injection Ampicillin sodium - sulbactam sodium 30 mg/ml
None 317
Immediate precipitation Incompatible
injection Heparin sodium 40 UI/ml
injection Amsacrine 1 mg/ml
Glucose 5% 253
Compatible
injection Heparin sodium 100 UI/ml
injection Anidulafungin 0.5 mg/ml
Glucose 5% 1982
Immediate precipitation Incompatible
injection Heparin sodium
injection Antithymocyte globulin (rabbit)
4958
Immediate precipitation Incompatible
injection Heparin sodium 2 UI/ml
injection Antithymocyte globulin (rabbit) 0,2 & 0,3 mg/ml
Glucose 5% 1822
Compatible
injection Heparin sodium 100 UI/ml
injection Antithymocyte globulin (rabbit) 0,2 & 0,3 mg/ml
Glucose 5% 1822
Compatible
injection Heparin sodium 2 & 100 UI/ml
injection Antithymocyte globulin (rabbit) 0,2 & 0,3 mg/ml
Sodium chloride 0,9% 1822
Compatible
injection Heparin sodium 40 UI/ml
injection Atracurium besylate 0.5 mg/ml
Glucose 5% 402
Compatible
injection Heparin sodium 1 UI/ml
injection Atropine sulfate 0.5 mg/ml
Glucose 5% 1228
Compatible
injection Heparin sodium 500 UI/ml
Parenteral nutrition (with lipids) 4507
Immediate precipitation Incompatible
injection Heparin sodium 1000 UI/ml
injection Amphotericin B cholesteryl sulfate complex 0.83 mg/ml
Glucose 5% 921
Unspecified incompatibility Incompatible
injection Heparin sodium
injection Ampicillin sodium
3540
Compatible
injection Heparin sodium 10 & 5000 UI/ml
injection Ampicillin sodium 10 mg/ml
Sodium chloride 0,9% 2037
Compatible
injection Heparin sodium 1 UI/ml
injection Atropine sulfate 0.5 mg/ml
Ringer’s lactate solution 1228
Compatible
injection Heparin sodium 1 UI/ml
injection Atropine sulfate 0.5 mg/ml
Sodium chloride 0,9% 1228
Compatible
injection Heparin sodium 100 UI/ml
injection Aztreonam 40 mg/ml
Glucose 5% 99
Compatible
injection Heparin sodium 50 UI/ml
injection Aztreonam 20 mg/ml
None 317
Compatible
injection Heparin sodium 1 UI/ml
injection Betamethasone sodium phosphate 3 mg/ml
Sodium chloride 0,9% 1228
Compatible
injection Heparin sodium 1 UI/ml
injection Betamethasone sodium phosphate 3 mg/ml
Glucose 5% 1228
Compatible
injection Heparin sodium 1 UI/ml
injection Betamethasone sodium phosphate 3 mg/ml
Ringer’s lactate solution 1228
Compatible
injection Heparin sodium 100 UI/ml
injection Bivalirudin 5 mg/ml
Glucose 5% 1713
Immediate precipitation Incompatible
injection Heparin sodium 192.3 UI/ml
injection Blinatumomab 0.125 & 0.375 µg/ml
Sodium chloride 0,9% 3976
Compatible
injection Heparin sodium 1000 UI/ml
injection Caffeine 10 mg/ml
None 3964
Compatible
injection Heparin sodium 100 UI/ml
injection Caffeine 10 mg/ml
Sodium chloride 0,9% 4837
Compatible
injection Heparin sodium 100 UI/ml
injection Caffeine citrate 20 mg/ml
Sodium chloride 0,9% 4837
Precipitation after 30 minutes Incompatible
injection Heparin sodium 2 UI/ml
injection Calcium chloride 20 mg/ml
Glucose 5% 4732
Compatible
injection Heparin sodium 100 UI/ml
injection Calcium chloride 20 mg/ml
Glucose 5% 4732
Immediate instability of the emulsion Incompatible
injection Heparin sodium
injection Calcium chloride
Parenteral nutrition (with lipids) 1084
Immediate instability of the emulsion Incompatible
injection Heparin sodium
injection Calcium gluconate
Parenteral nutrition (with lipids) 1084
Immediate precipitation Incompatible
injection Heparin sodium 100 UI/ml
injection Caspofungin acetate 0.5 mg/ml
Sodium chloride 0,9% 2233
Immediate precipitation Incompatible
injection Heparin sodium 100 UI/ml
injection Caspofungin acetate 0,7 mg/ml
Sodium chloride 0,9% 2247
Unspecified incompatibility Incompatible
injection Heparin sodium
injection Cefalotin sodium
3540
Compatible
injection Heparin sodium 10 & 5000 UI/ml
injection Cefazolin sodium 10 mg/ml
Sodium chloride 0,9% 2037
Compatible
injection Heparin sodium 50 UI/ml
injection Cefazolin sodium 20 mg/ml
None 317
Compatible
injection Heparin sodium 0.667 UI/ml
injection Cefazolin sodium 0.333 mg/ml
Dianéal® PD2 1.5% glucose (Baxter) 1979
Compatible
injection Heparin sodium 10 & 50 UI/ml
injection Cefepime dihydrochloride 4 mg/ml
Sodium chloride 0,9% 3548
Compatible
injection Heparin sodium 10 & 50 UI/ml
injection Cefepime dihydrochloride 4 mg/ml
Glucose 5% 3548
Compatible
injection Heparin sodium 1000 UI/ml
injection Cefiderocol sulfate tosylate 20 mg/mL
Glucose 5% 4528
Compatible
injection Heparin sodium 1000 UI/ml
injection Cefiderocol sulfate tosylate 20 mg/mL
Sodium chloride 0,9% 4528
Chemical instability Incompatible
injection Heparin sodium 100 UI/ml
injection Cefmetazole sodium 100 mg/ml
Water for Injection 93
Compatible
injection Heparin sodium 208 UI/ml
injection Cefotaxime sodium 41.6 & 125 mg/ml
Glucose 5% 4254
Compatible
injection Heparin sodium 208 UI/ml
injection Cefotaxime sodium 41.6 & 125 mg/ml
Sodium chloride 0,9% 4254
Compatible
injection Heparin sodium 5000 UI/ml
injection Cefotaxime sodium 10 mg/ml
Water for Injection 3125
Compatible
injection Heparin sodium 100 UI/ml
injection Ceftaroline fosamil 2,22 mg/ml
Ringer’s lactate solution 3249
Compatible
injection Heparin sodium 100 UI/ml
injection Ceftaroline fosamil 2,22 mg/ml
Sodium chloride 0,9% 3249
Compatible
injection Heparin sodium 100 UI/ml
injection Ceftaroline fosamil 2,22 mg/ml
Glucose 5% 3249
Compatible
injection Heparin sodium 0.5 UI/ml
injection Ceftazidime 0.125 mg/ml
Extraneal® (Baxter) 4056
Compatible
injection Heparin sodium 0.5 UI/ml
injection Ceftazidime 0.125 mg/ml
Dianéal® PD2 4.25% glucose (Baxter) 4056
Compatible
injection Heparin sodium 50 UI/ml
injection Ceftazidime 20 mg/ml
None 317
Compatible
injection Heparin sodium 0.5 UI/ml
injection Ceftazidime 0.125 mg/ml
Dianéal® PD2 2.5% glucose (Baxter) 4056
Compatible
injection Heparin sodium 100 UI/ml
injection Ceftobiprole medocaril sodium 2 mg/ml
Sodium chloride 0,9% 2269
Compatible
injection Heparin sodium 100 UI/ml
injection Ceftobiprole medocaril sodium 2 mg/ml
Glucose 5% 2269
Compatible
injection Heparin sodium 100 UI/ml
injection Ceftobiprole medocaril sodium 2 mg/ml
Ringer’s lactate solution 2269
Compatible
injection Heparin sodium 1000 UI/ml
injection Ceftolozane / tazobactam 10/5 mg/ml
Sodium chloride 0,9% 3828
Compatible
injection Heparin sodium 1000 UI/ml
injection Ceftolozane / tazobactam 10/5 mg/ml
Glucose 5% 3828
Compatible
injection Heparin sodium 50 UI/ml
injection Ceftriaxone disodium 20 mg/ml
None 317
Compatible
injection Heparin sodium 10 & 50 UI/ml
injection Cefuroxime sodium
Sodium chloride 0,9% 3687
Compatible
injection Heparin sodium 58,34 UI/ml
injection Chlorpromazine hydrochloride 0,26 mg/ml
Glucose 5% 1289
Compatible
injection Heparin sodium 1 UI/ml
injection Chlorpromazine hydrochloride 10 mg/ml
Sodium chloride 0,9% 1228
Compatible
injection Heparin sodium 1 UI/ml
injection Chlorpromazine hydrochloride 10 mg/ml
Glucose 5% 1228
Unspecified incompatibility Incompatible
injection Heparin sodium
injection Chlorpromazine hydrochloride
3540
Compatible
injection Heparin sodium 1 UI/ml
injection Chlorpromazine hydrochloride 10 mg/ml
Ringer’s lactate solution 1228
Compatible
injection Heparin sodium 50 UI/ml
injection Cimetidine hydrochloride 6 mg/ml
None 317
Compatible
injection Heparin sodium 5000 & 10000 UI/ml
injection Ciprofloxacin lactate 0.4 & 0.6 mg/ml
Sodium chloride 0,9% 2057
Immediate precipitation Incompatible
injection Heparin sodium 10 >> 10000 UI/ml
injection Ciprofloxacin lactate 1 mg/ml
Sodium chloride 0,9% 2057
Immediate precipitation Incompatible
injection Heparin sodium 10 & 100 UI/ml
injection Ciprofloxacin lactate 0.2 mg/ml
Sodium chloride 0,9% 2057
Unspecified incompatibility Incompatible
injection Heparin sodium
injection Ciprofloxacin lactate
3540
Immediate precipitation Incompatible
injection Heparin sodium 10 >> 1000 UI/ml
injection Ciprofloxacin lactate 0.4 & 0.6 mg/ml
Sodium chloride 0,9% 2057
Compatible
injection Heparin sodium 1000 >> 10000 UI/ml
injection Ciprofloxacin lactate 0.2 mg/ml
Sodium chloride 0,9% 2057
Immediate precipitation Incompatible
injection Heparin sodium 10 >> 5000 UI/ml
injection Ciprofloxacin lactate 0.8 mg/ml
Sodium chloride 0,9% 2057
Compatible
injection Heparin sodium 10 >> 10000 UI/ml
injection Ciprofloxacin lactate 0.1 mg/ml
Sodium chloride 0,9% 2057
Immediate precipitation Incompatible
injection Heparin sodium 100 UI/ml
injection Ciprofloxacin lactate 2 mg/ml
Sodium chloride 0,9% 288
Unspecified incompatibility Incompatible
injection Heparin sodium
injection Ciprofloxacin lactate
3529
Immediate precipitation Incompatible
injection Heparin sodium 100 UI/ml
injection Ciprofloxacin lactate 2 mg/ml
Glucose 5% 288
Immediate precipitation Incompatible
injection Heparin sodium 10 >> 1000 UI/ml
injection Ciprofloxacin lactate 2 mg/ml
Sodium chloride 0,9% 289
Immediate turbidity Incompatible
injection Heparin sodium 10 UI/ml
injection Ciprofloxacin lactate 2 mg/ml
None 1393
Compatible
injection Heparin sodium 10000 UI/ml
injection Ciprofloxacin lactate 0.8 mg/ml
Sodium chloride 0,9% 2057
Compatible
injection Heparin sodium 100 UI/ml
injection Cisatracurium besylate 0.1 & 2 mg/ml
Glucose 5% 299
Immediate precipitation Incompatible
injection Heparin sodium 100 UI/ml
injection Cisatracurium besylate 5 mg/ml
Glucose 5% 299
Color change Incompatible
injection Heparin sodium 500 UI/ml
injection Cisatracurium besylate 5 mg/ml
Sodium chloride 0,9% 3463
Unspecified incompatibility Incompatible
injection Heparin sodium 500 UI/ml
injection Cisatracurium besylate 5 mg/ml
Sodium chloride 0,9% 3823
Unspecified incompatibility Incompatible
injection Heparin sodium
injection Cisatracurium besylate
3540
Compatible
injection Heparin sodium 100 UI/ml
injection Cladribine 0.5 mg/ml
NaCl 0,9% + antibacterial 1496
Compatible
injection Heparin sodium 100 UI/ml
injection Cladribine 0.015 mg/ml
Sodium chloride 0,9% 1496
Compatible
injection Heparin sodium 50 UI/ml
injection Clindamycin phosphate 12 mg/ml
None 317
Compatible
injection Heparin sodium 50 UI/ml
injection Clonidine hydrochloride 0.0075 mg/ml
Sodium chloride 0,9% 1506
Compatible
injection Heparin sodium 50 UI/ml
injection Clonidine hydrochloride 0.0075 mg/ml
Glucose 5% 1506
Compatible
injection Heparin sodium 100 UI/ml
injection Cloxacillin sodium 100 mg/ml
Water for Injection 3012
Precipitation after 4 hours Incompatible
injection Heparin sodium 208 UI/ml
injection Co-trimoxazole 3.2/0.64 & 80/16 mg/ml
Sodium chloride 0,9% 4254
Precipitation after 4 hours Incompatible
injection Heparin sodium 208 UI/ml
injection Co-trimoxazole 3.2/0.64 & 80/16 mg/ml
Glucose 5% 4254
Compatible
injection Heparin sodium 1 UI/ml
injection Cyanocobalamine 0.1 mg/ml
Ringer’s lactate solution 1228
Compatible
injection Heparin sodium 1 UI/ml
injection Cyanocobalamine 0.1 mg/ml
Glucose 5% 1228
Compatible
injection Heparin sodium 1 UI/ml
injection Cyanocobalamine 0.1 mg/ml
Sodium chloride 0,9% 1228
Unspecified incompatibility Incompatible
injection Heparin sodium
injection Cytarabine
3540
Unspecified incompatibility Incompatible
injection Heparin sodium
injection Cytarabine
3580
Unspecified incompatibility Incompatible
injection Heparin sodium
injection Dacarbazine
3605
Immediate precipitation Incompatible
injection Heparin sodium 100 UI/ml
injection Dacarbazine 25 mg/ml
Sodium chloride 0,9% 860
Unspecified incompatibility Incompatible
injection Heparin sodium
injection Dacarbazine
3267
Unspecified incompatibility Incompatible
injection Heparin sodium
injection Dacarbazine
3540
Compatible
injection Heparin sodium
injection Daptomycin
2271
Compatible
injection Heparin sodium 98 UI/ml
injection Daptomycin 19,6 mg/ml
Sodium chloride 0,9% 1937
Immediate precipitation Incompatible
injection Heparin sodium
injection Daunorubicin hydrochloride
3604
Unspecified incompatibility Incompatible
injection Heparin sodium
injection Daunorubicin hydrochloride
3540
Immediate precipitation Incompatible
injection Heparin sodium
injection Daunorubicin hydrochloride liposome
3577
Immediate turbidity Incompatible
injection Heparin sodium
injection Daunorubicin/cytarabine liposomale 0,4 mg/mL
Sodium chloride 0,9% 4654
Compatible
injection Heparin sodium 373 UI/ml
injection Defibrotide 8 mg/ml
Sodium chloride 0,9% 3728
Compatible
injection Heparin sodium 50 UI/ml
injection Dexamethasone sodium phosphate 0.08 mg/ml
None 317
Compatible
injection Heparin sodium
injection Dexketoprofen
4981
Compatible
injection Heparin sodium 100 UI/ml
injection Dexmedetomidine 4 µg/ml
Sodium chloride 0,9% 1712
Compatible
injection Heparin sodium 10000 UI/ml
injection Diatrizoate meglumine 283 mg/ml
None 1085
Unspecified incompatibility Incompatible
injection Heparin sodium
injection Diazepam
3540
Compatible
injection Heparin sodium 100 UI/ml
injection Diltiazem hydrochloride 1 mg/ml
314
Immediate precipitation Incompatible
injection Heparin sodium 20000 UI/ml
injection Diltiazem hydrochloride 5 mg/ml
Sodium chloride 0,9% 198
Compatible
injection Heparin sodium 100 UI/ml
injection Diltiazem hydrochloride 1 mg/ml
Glucose 5% 4556
Immediate turbidity Incompatible
injection Heparin sodium 100 UI/ml
injection Diltiazem hydrochloride 5 mg/ml
Glucose 5% 4556
Compatible
injection Heparin sodium 20000 UI/ml
injection Diltiazem hydrochloride 1 mg/ml
Sodium chloride 0,9% 198
Compatible
injection Heparin sodium
injection Diltiazem hydrochloride
5090
Compatible
injection Heparin sodium 80 >> 10000 UI/ml
injection Diltiazem hydrochloride 1 & 5 mg/ml
Sodium chloride 0,9% 198
Immediate precipitation Incompatible
injection Heparin sodium
injection Dimenhydrinate
2087
Compatible
injection Heparin sodium 1 UI/ml
injection Diphenhydramine hydrochloride 50 mg/ml
Sodium chloride 0,9% 1228
Compatible
injection Heparin sodium 1 UI/ml
injection Diphenhydramine hydrochloride 50 mg/ml
Glucose 5% 1228
Compatible
injection Heparin sodium 1 UI/ml
injection Diphenhydramine hydrochloride 50 mg/ml
Ringer’s lactate solution 1228
Precipitation after 4 hours Incompatible
injection Heparin sodium 100 UI/ml
injection Dobutamine hydrochloride 4 mg/ml
314
Compatible
injection Heparin sodium 40 UI/ml
injection Dobutamine hydrochloride 1 mg/ml
Sodium chloride 0,9% 1058
Compatible
injection Heparin sodium 100 UI/ml
injection Dobutamine hydrochloride 2 mg/ml
Glucose 5% 1041
Immediate precipitation Incompatible
injection Heparin sodium 100 UI/ml
injection Dobutamine hydrochloride 2 mg/ml
Glucose 5% 1352
Immediate turbidity Incompatible
injection Heparin sodium 100 UI/ml
injection Dobutamine hydrochloride 4 mg/ml
Glucose 5% 295
Immediate precipitation Incompatible
injection Heparin sodium
injection Dobutamine hydrochloride
3540
Color change after 6 hours Incompatible
injection Heparin sodium 10000 UI/ml
injection Dobutamine hydrochloride 2 mg/ml
Glucose 5% 1041
Compatible
injection Heparin sodium 40 UI/ml
injection Dobutamine hydrochloride 1 mg/ml
Glucose 5% 1058
Compatible
injection Heparin sodium 50 UI/ml
injection Dobutamine hydrochloride 1 mg/ml
None 317
Compatible
injection Heparin sodium 100 UI/ml
injection Docetaxel 0.9 mg/ml
Glucose 5% 1754
Compatible
injection Heparin sodium 1 UI/ml
injection Dopamine hydrochloride 40 mg/ml
Sodium chloride 0,9% 1228
Compatible
injection Heparin sodium 50 UI/ml
injection Dopamine hydrochloride 1.6 mg/ml
None 317
Compatible
injection Heparin sodium 100 UI/ml
injection Dopamine hydrochloride 3.2 mg/ml
314
Compatible
injection Heparin sodium 1 UI/ml
injection Dopamine hydrochloride 40 mg/ml
Ringer’s lactate solution 1228
Compatible
injection Heparin sodium 200 UI/ml
injection Dopamine hydrochloride 0.8 mg/ml
Glucose 5% 738
Compatible
injection Heparin sodium 1 UI/ml
injection Dopamine hydrochloride 40 mg/ml
Glucose 5% 1228
Compatible
injection Heparin sodium 100 UI/ml
injection Dopamine hydrochloride 3,2 mg/ml
4389
Unspecified incompatibility Incompatible
injection Heparin sodium 187 UI/ml
injection Dopamine hydrochloride 1,7 >> 3,4 mg/ml
Glucose 5% 377
Compatible
injection Heparin sodium 100 UI/ml
injection Doripenem 5 mg/ml
Sodium chloride 0,9% 2262
Compatible
injection Heparin sodium 100 UI/ml
injection Doripenem 5 mg/ml
Glucose 5% 2262
Compatible
injection Heparin sodium 1 UI/ml
injection Doxapram hydrochloride 2 mg/ml
Glucose 5% 1802
Unspecified incompatibility Incompatible
injection Heparin sodium
injection Doxorubicin hydrochloride
3540
Immediate precipitation Incompatible
injection Heparin sodium
injection Doxorubicin hydrochloride
3645
Immediate precipitation Incompatible
injection Heparin sodium 1000 UI/ml
injection Doxorubicin hydrochloride 2 mg/ml
763
Compatible
injection Heparin sodium 1000 UI/ml
injection Doxorubicin hydrochloride liposome peg 0.4 mg/ml
Glucose 5% 251
Unspecified incompatibility Incompatible
injection Heparin sodium 50 UI/ml
injection Doxycycline hyclate 1 mg/ml
None 317
Immediate precipitation Incompatible
injection Heparin sodium 1000 UI/ml
injection Droperidol 2,5 mg/ml
763
Compatible
injection Heparin sodium 1 UI/ml
injection Droperidol 1.25 mg/ml
Sodium chloride 0,9% 1228
Compatible
injection Heparin sodium 1 UI/ml
injection Droperidol 1.25 mg/ml
Ringer’s lactate solution 1228
Compatible
injection Heparin sodium 1 UI/ml
injection Droperidol 1.25 mg/ml
Glucose 5% 1228
Unspecified incompatibility Incompatible
injection Heparin sodium
injection Droperidol
3540
Compatible
injection Heparin sodium 45,45 UI/ml
injection Enalaprilate 0,011 mg/ml
Glucose 5% 963
Compatible
injection Heparin sodium 40 UI/ml
injection Enalaprilate 0.05 mg/ml
Sodium chloride 0,9% 1315
Compatible
injection Heparin sodium 50 UI/ml
injection Enalaprilate 0.0125 mg/ml
Sodium chloride 0,9% 1703
Compatible
injection Heparin sodium 1 UI/ml
injection Epinephrine hydrochloride 100 µg/ml
Ringer’s lactate solution 1228
Compatible
injection Heparin sodium 100 UI/ml
injection Epinephrine hydrochloride 20 µg/ml
314
Compatible
injection Heparin sodium 1 UI/ml
injection Epinephrine hydrochloride 100 µg/ml
Sodium chloride 0,9% 1228
Compatible
injection Heparin sodium 1 UI/ml
injection Epinephrine hydrochloride 100 µg/ml
Glucose 5% 1228
Unspecified incompatibility Incompatible
injection Heparin sodium
injection Epirubicin hydrochloride
3632
Compatible
injection Heparin sodium
injection Eptifibatide
3934
Compatible
injection Heparin sodium 1000 UI/ml
injection Eravacycline 0,6 mg/ml
Sodium chloride 0,9% 4434
Immediate turbidity Incompatible
injection Heparin sodium 1 UI/ml
injection Ergotamine tartrate 0.5 mg/ml
Sodium chloride 0,9% 1228
Precipitation after 4 hours Incompatible
injection Heparin sodium 1 UI/ml
injection Ergotamine tartrate 0.5 mg/ml
Ringer’s lactate solution 1228
Precipitation after 4 hours Incompatible
injection Heparin sodium 1 UI/ml
injection Ergotamine tartrate 0.5 mg/ml
Glucose 5% 1228
Compatible
injection Heparin sodium 50 & 100 UI/ml
injection Ertapenem 10 & 20 mg/ml
Sodium chloride 0,9% 1906
Compatible
injection Heparin sodium 50 UI/ml
injection Erythromycin lactobionate 3.3 mg/ml
None 317
Unspecified incompatibility Incompatible
injection Heparin sodium
injection Erythromycin lactobionate
3674
Unspecified incompatibility Incompatible
injection Heparin sodium
injection Erythromycin lactobionate
3540
Compatible
injection Heparin sodium 50 UI/ml
injection Esmolol hydrochloride 6 mg/ml
Glucose 5% 174
Compatible
injection Heparin sodium 40 UI/ml
injection Esmolol hydrochloride 10 mg/ml
Glucose 5% 384
Compatible
injection Heparin sodium 500 UI/ml
injection Esmolol hydrochloride 10 mg/ml
Sodium chloride 0,9% 3823
Immediate precipitation Incompatible
injection Heparin sodium 1000 UI/ml
injection Ethanol 70 %
Water for injection + antibacterial 2221
Immediate precipitation Incompatible
injection Heparin sodium 1000 UI/ml
injection Ethanol 70 %
Water for Injection 2221
Precipitation after 1 hour Incompatible
injection Heparin sodium 10 UI/ml
injection Ethanol 70 %
Water for injection + antibacterial 2221
Immediate precipitation Incompatible
injection Heparin sodium 10 UI/ml
injection Ethanol 70 %
Water for Injection 2221
Compatible
injection Heparin sodium 100 UI/ml
injection Etoposide phosphate 5 mg/ml
Glucose 5% 1410
Compatible
injection Heparin sodium 40 UI/ml
injection Famotidine
Glucose 5% 397
Compatible
injection Heparin sodium 50 UI/ml
injection Famotidine 0.2 mg/ml
Glucose 5% 398
Compatible
injection Heparin sodium 40 UI/ml
injection Famotidine 2 mg/ml
Sodium chloride 0,9% 215
Compatible
injection Heparin sodium 100 UI/ml
injection Fenoldopam mesylate 80 µg/ml
Sodium chloride 0,9% 1803
Compatible
injection Heparin sodium 100 UI/ml
injection Fentanyl citrate 50 µg/ml
4389
Compatible
injection Heparin sodium 1 UI/ml
injection Fentanyl citrate 50 µg/ml
Glucose 5% 1228
Compatible
injection Heparin sodium 1 UI/ml
injection Fentanyl citrate 50 µg/ml
Ringer’s lactate solution 1228
Compatible
injection Heparin sodium 1 UI/ml
injection Fentanyl citrate 50 µg/ml
Sodium chloride 0,9% 1228
Compatible
injection Heparin sodium 100 UI/ml
injection Fentanyl citrate 50 µg/ml
314
Immediate precipitation Incompatible
injection Heparin sodium 100 UI/ml
injection Filgrastim 30 µg/ml
Glucose 5% 244
Compatible
injection Heparin sodium 1000 UI/ml
injection Fluconazole 2 mg/ml
Sodium chloride 0,9% 496
Compatible
injection Heparin sodium 50 UI/ml
injection Fluconazole 2 mg/ml
None 317
Compatible
injection Heparin sodium 40 >> 1000 UI/ml
injection Fludarabine phosphate 1 mg/ml
Glucose 5% 492
Compatible
injection Heparin sodium 50 UI/ml
injection Flumazenil 0,02 mg/ml
Glucose 5% 187
Compatible
injection Heparin sodium 5 UI/ml
injection Fluorouracil 0,8 mg/ml
Sodium chloride 0,9% 156
Compatible
injection Heparin sodium 5 UI/ml
injection Fluorouracil 0,8 mg/ml
Glucose 5% 156
Compatible
injection Heparin sodium 1 UI/ml
injection Fluorouracil 50 mg/ml
Sodium chloride 0,9% 1228
Compatible
injection Heparin sodium 960 UI/ml
injection Fluorouracil 24 mg/ml
Glucose 5% 163
Compatible
injection Heparin sodium 1 UI/ml
injection Fluorouracil 50 mg/ml
Glucose 5% 1228
Compatible
injection Heparin sodium 1000 UI/ml
injection Fluorouracil 50 mg/ml
763
Compatible
injection Heparin sodium 1 UI/ml
injection Fluorouracil 50 mg/ml
Ringer’s lactate solution 1228
Compatible
injection Heparin sodium 1000 UI/ml
injection Folinate calcium 10 mg/ml
763
Compatible
injection Heparin sodium 100 UI/ml
injection Foscarnet sodium 24 mg/ml
Glucose 5% 1135
Compatible
injection Heparin sodium 100 UI/ml
injection Foscarnet sodium 24 mg/ml
Sodium chloride 0,9% 1135
Compatible
injection Heparin sodium 1000 UI/ml
injection Foscarnet sodium 24 mg/ml
None 73
Compatible
injection Heparin sodium 1000 UI/ml
injection Fosfomycin 30 mg/ml
Glucose 5% 4055
Compatible
injection Heparin sodium 1000 UI/ml
injection Fosfomycin 30 mg/ml
Sodium chloride 0,9% 4055
Compatible
injection Heparin sodium 100 UI/ml
injection Furosemide 10 mg/ml
314
Compatible
injection Heparin sodium 1 UI/ml
injection Furosemide 10 mg/ml
Sodium chloride 0,9% 1228
Precipitation after 5 hours Incompatible
injection Heparin sodium 100 UI/ml
injection Furosemide 10 mg/ml
Glucose 5% 4724
Compatible
injection Heparin sodium 20 UI/ml
injection Furosemide 1 mg/ml
Sodium chloride 0,9% 1232
Compatible
injection Heparin sodium 58,34 UI/ml
injection Furosemide 5,21 mg/ml
Glucose 5% 1289
Compatible
injection Heparin sodium
injection Furosemide
3465
Compatible
injection Heparin sodium 1 UI/ml
injection Furosemide 10 mg/ml
Ringer’s lactate solution 1228
Compatible
injection Heparin sodium 1000 UI/ml
injection Furosemide 10 mg/ml
763
Compatible
injection Heparin sodium 10 UI/ml
injection Furosemide 10 mg/ml
None 3210
Compatible
injection Heparin sodium 500 UI/ml
injection Furosemide 10 mg/ml
Sodium chloride 0,9% 3823
Compatible
injection Heparin sodium 500 UI/ml
injection Furosemide 10 mg/ml
None 3134
Compatible
injection Heparin sodium 1 UI/ml
injection Furosemide 10 mg/ml
Glucose 5% 1228
Compatible
injection Heparin sodium 40 UI/ml
injection Gallium nitrate 1 mg/ml
Sodium chloride 0,9% 91
Compatible
injection Heparin sodium 100 UI/ml
injection Gemcitabine hydrochloride 10 mg/ml
Sodium chloride 0,9% 1423
Immediate turbidity Incompatible
injection Heparin sodium 2500 UI/ml
injection Gentamicin sulfate 3 mg/ml
4612
Unspecified incompatibility Incompatible
injection Heparin sodium
injection Gentamicin sulfate
3520
Unspecified incompatibility Incompatible
injection Heparin sodium
injection Gentamicin sulfate
3643
Immediate precipitation Incompatible
injection Heparin sodium
injection Gentamicin sulfate
1022
Unspecified incompatibility Incompatible
injection Heparin sodium 50 UI/ml
injection Gentamicin sulfate 2 mg/ml
None 317
Immediate precipitation Incompatible
injection Heparin sodium 10 >> 40 UI/ml
injection Gentamicin sulfate 4 >> 40 mg/ml
1258
Immediate precipitation Incompatible
injection Heparin sodium 2500 UI/ml
injection Gentamicin sulfate 4 & 5 mg/ml
4612
Unspecified incompatibility Incompatible
injection Heparin sodium
injection Gentamicin sulfate
3540
Compatible
injection Heparin sodium 2500 UI/ml
injection Gentamicin sulfate 1 & 2 mg/ml
4612
Compatible
injection Heparin sodium 50 UI/ml
injection Glycerophosphate disodium
Sodium chloride 0,9% 4332
Compatible
injection Heparin sodium 100 UI/ml
injection Granisetron hydrochloride 0.05 mg/ml
Glucose 5% 182
Immediate precipitation Incompatible
injection Heparin sodium 100 & 200 UI/ml
injection Haloperidol lactate 5 mg/ml
Glucose 5% 617
Immediate precipitation Incompatible
injection Heparin sodium 100 & 200 UI/ml
injection Haloperidol lactate 5 mg/ml
Sodium chloride 0,9% 617
Compatible
injection Heparin sodium 500 UI/ml
injection Haloperidol lactate 0.5 mg/ml
Sodium chloride 0,9% 3823
Unspecified incompatibility Incompatible
injection Heparin sodium
injection Haloperidol lactate
3540
Compatible
injection Heparin sodium 100 UI/ml
injection Hetastarch 60 mg/ml
specific solvent 1721
Unspecified incompatibility Incompatible
injection Heparin sodium
injection Hyaluronidase
3617
Unspecified incompatibility Incompatible
injection Heparin sodium
injection Hyaluronidase
3184
Unspecified incompatibility Incompatible
injection Heparin sodium
injection Hyaluronidase
3540
Compatible
injection Heparin sodium 1 UI/ml
injection Hydralazine hydrochloride 20 mg/ml
Glucose 5% 1228
Compatible
injection Heparin sodium 1 UI/ml
injection Hydralazine hydrochloride 20 mg/ml
Ringer’s lactate solution 1228
Compatible
injection Heparin sodium 1 UI/ml
injection Hydralazine hydrochloride 20 mg/ml
Sodium chloride 0,9% 1228
Compatible
injection Heparin sodium 100 UI/ml
injection Hydrocortisone sodium succinate 125 mg/ml
Sodium chloride 0,9% 132
Unspecified incompatibility Incompatible
injection Heparin sodium
injection Hydrocortisone sodium succinate
3540
Compatible
injection Heparin sodium 50 UI/ml
injection Hydrocortisone sodium succinate 2 mg/ml
None 317
Compatible
injection Heparin sodium 100 UI/ml
injection Hydrocortisone sodium succinate 125 mg/ml
Glucose 5% 132
Compatible
injection Heparin sodium
injection Hydromorphone hydrochloride <12.5 mg/ml
Sodium chloride 0,9% 66
Compatible
injection Heparin sodium 100 UI/ml
injection Hydromorphone hydrochloride 1 mg/ml
314
Immediate precipitation Incompatible
injection Heparin sodium <12,5 UI/ml
injection Hydromorphone hydrochloride >25 mg/ml
Sodium chloride 0,9% 66
Compatible
injection Heparin sodium
injection Hydromorphone hydrochloride <12.5 mg/ml
Water for Injection 66
Immediate precipitation Incompatible
injection Heparin sodium <1 UI/ml
injection Hydromorphone hydrochloride >10 mg/ml
Water for Injection 66
Immediate precipitation Incompatible
injection Heparin sodium <12,5 UI/ml
injection Hydromorphone hydrochloride >25 mg/ml
Water for Injection 66
Compatible
injection Heparin sodium 100 UI/ml
injection Ibuprofen lysinate 10 mg/ml
Water for Injection 4419
Compatible
injection Heparin sodium 10 UI/ml
injection Ibuprofen lysinate 10 mg/ml
Water for Injection 4419
Immediate turbidity Incompatible
injection Heparin sodium 100 & 1000 UI/ml
injection Idarubicin hydrochloride 1 mg/ml
Sodium chloride 0,9% 491
Immediate precipitation Incompatible
injection Heparin sodium
injection Idarubicin hydrochloride
5075
Compatible
injection Heparin sodium
injection Imipenem-Cilastatin / Relebactam
4809
Compatible
injection Heparin sodium 1000 UI/ml
injection Imipenem-Cilastatin / Relebactam 5 mg/ml
Sodium chloride 0,9% 4433
Compatible
injection Heparin sodium 1000 UI/ml
injection Imipenem-Cilastatin / Relebactam 5 mg/ml
Glucose 5% 4433
Compatible
injection Heparin sodium 500 UI/ml
injection Insulin 2 UI/ml
Sodium chloride 0,9% 3823
Compatible
injection Heparin sodium 60 UI/ml
injection Insulin 0.2 UI/ml
Sodium chloride 0,9% 129
Compatible
injection Heparin sodium 50 & 400 UI/ml
injection Insulin aspart 1 UI/ml
Glucose 5% 1508
Compatible
injection Heparin sodium 50 & 400 UI/ml
injection Insulin aspart 1 UI/ml
Sodium chloride 0,9% 1508
Compatible
injection Heparin sodium 10000 UI/ml
injection Iohexol 300 mg I/ml
None 1085
Compatible
injection Heparin sodium 10000 UI/ml
injection Ioxaglate 320 mg I/ml
None 1085
Immediate turbidity Incompatible
injection Heparin sodium 1000 UI/ml
injection Isavuconazonium sulfate 1.5 mg/ml
Sodium chloride 0,9% 3829
Immediate turbidity Incompatible
injection Heparin sodium 1000 UI/ml
injection Isavuconazonium sulfate 1.5 mg/ml
Glucose 5% 3829
Compatible
injection Heparin sodium 1 UI/ml
injection Isoprenaline hydrochloride 0.2 mg/ml
Glucose 5% 1228
Compatible
injection Heparin sodium 1 UI/ml
injection Isoprenaline hydrochloride 0.2 mg/ml
Sodium chloride 0,9% 1228
Compatible
injection Heparin sodium 1 UI/ml
injection Isoprenaline hydrochloride 0.2 mg/ml
Ringer’s lactate solution 1228
Unspecified incompatibility Incompatible
injection Heparin sodium
injection Kanamycin sulfate
3540
Immediate precipitation Incompatible
injection Heparin sodium 25000 UI/ml
injection Ketamine hydrochloride 50 mg/ml
2109
Compatible
injection Heparin sodium 100 UI/ml
injection Labetalol hydrochloride 2 mg/ml
314
Unspecified incompatibility Incompatible
injection Heparin sodium 500 UI/ml
injection Labetalol hydrochloride 4 mg/ml
Sodium chloride 0,9% 3823
Unspecified incompatibility Incompatible
injection Heparin sodium
injection Labetalol hydrochloride
3540
Immediate precipitation Incompatible
injection Heparin sodium 100 UI/ml
injection Labetalol hydrochloride 5 mg/ml
Glucose 5% 295
Compatible
injection Heparin sodium 40 UI/ml
injection Labetalol hydrochloride 1 mg/ml
Glucose 5% 386
Compatible
injection Heparin sodium 100 UI/ml
injection Lansoprazole 0.55 mg/ml
Sodium chloride 0,9% 1625
Turbidity in 4 hours Incompatible
injection Heparin sodium 100 UI/ml
injection Levetiracetam 100 mg/ml
Glucose 5% 4108
Immediate turbidity Incompatible
injection Heparin sodium 208,3 UI/ml
injection Levetiracetam 15 mg/ml
Sodium chloride 0,9% 4698
Unspecified incompatibility Incompatible
injection Heparin sodium
injection Levofloxacine
3920
Immediate precipitation Incompatible
injection Heparin sodium 10 UI/ml
injection Levofloxacine 5 mg/ml
Glucose 5% 1072
Unspecified incompatibility Incompatible
injection Heparin sodium
injection Levomepromazine
3540
Compatible
injection Heparin sodium 100 UI/ml
injection Levosimendan 2,5 mg/ml
Glucose 5% 4389
Compatible
injection Heparin sodium 50 UI/ml
injection Lidocaine hydrochloride 4 mg/ml
None 317
Compatible
injection Heparin sodium 1000 UI/ml
injection Linezolid 2 mg/ml
None 1925
Compatible
injection Heparin sodium 10 >> 10000 UI/ml
injection Linezolid 0.2 >> 1.92 mg/ml
Sodium chloride 0,9% 2057
Compatible
injection Heparin sodium 417 UI/ml
injection Lorazepam 0.33 mg/ml
Sodium chloride 0,9% 186
Compatible
injection Heparin sodium 100 UI/ml
injection Lorazepam 0.5 mg/ml
314
Compatible
injection Heparin sodium 1 UI/ml
injection Magnesium sulfate 5 mg/ml
Sodium chloride 0,9% 1228
Compatible
injection Heparin sodium 50 UI/ml
injection Magnesium sulfate 15.6 mg/ml
Sodium chloride 0,9% 2100
Compatible
injection Heparin sodium 1 UI/ml
injection Magnesium sulfate 5 mg/ml
Ringer’s lactate solution 1228
Compatible
injection Heparin sodium 1 UI/ml
injection Magnesium sulfate 5 mg/ml
Glucose 5% 1228
Compatible
injection Heparin sodium 100 UI/ml
injection Melphalan 0.1 mg/ml
Sodium chloride 0,9% 169
Compatible
injection Heparin sodium 0.5 UI/ml
injection Meropenem 0.5 mg/ml
Dianéal® 4.25% glucose (Baxter) 4180
Compatible
injection Heparin sodium 0.5 UI/ml
injection Meropenem 0.5 mg/ml
Extraneal® (Baxter) 4180
Compatible
injection Heparin sodium 1000 UI/ml
injection Meropenem 50 mg/ml
Water for Injection 4319
Compatible
injection Heparin sodium 1 UI/ml
injection Meropenem 1 & 50 mg/ml
Sodium chloride 0,9% 266
Compatible
injection Heparin sodium 0.5 UI/ml
injection Meropenem 0.5 mg/ml
Dianéal® 1.5% glucose (Baxter) 4180
Compatible
injection Heparin sodium 20 UI/ml
injection Meropenem 1 & 20 mg/ml
Sodium chloride 0,9% 266
Compatible
injection Heparin sodium 0.5 UI/ml
injection Meropenem 0.5 mg/ml
Dianéal® 2.5% glucose (Baxter) 4180
Compatible
injection Heparin sodium 50 UI/ml
injection Methadone hydrochloride 0.2 mg/ml
Glucose 5% 1506
Compatible
injection Heparin sodium 50 UI/ml
injection Methadone hydrochloride 0.2 mg/ml
Sodium chloride 0,9% 1506
Unspecified incompatibility Incompatible
injection Heparin sodium
injection Methotrexate sodium
3637
Compatible
injection Heparin sodium 1000 UI/ml
injection Methotrexate sodium 25 mg/ml
763
Compatible
injection Heparin sodium 500 UI/ml
injection Methotrexate sodium 30 mg/ml
Sodium chloride 0,9% 150
Compatible
injection Heparin sodium 100 UI/ml
injection Methylprednisolone sodium succinate 5 mg/ml
Glucose 5% 132
Compatible
injection Heparin sodium 50 UI/ml
injection Methylprednisolone sodium succinate 2.5 mg/ml
None 317
Compatible
injection Heparin sodium 100 UI/ml
injection Methylprednisolone sodium succinate 5 mg/ml
Sodium chloride 0,9% 132
Compatible
injection Heparin sodium 1000 UI/ml
injection Metoclopramide hydrochloride 5 mg/ml
763
Chemical instability Incompatible
injection Heparin sodium 1000 UI/ml
injection Metoprolol tartrate 1 mg/ml
None 2346
Compatible
injection Heparin sodium 50 UI/ml
injection Metronidazole 5 mg/ml
None 317
Compatible
injection Heparin sodium 100 UI/ml
injection Micafungin 1.5 mg/ml
Sodium chloride 0,9% 2108
Immediate turbidity Incompatible
injection Heparin sodium 208,3 UI/ml
injection Midazolam hydrochloride 1 mg/ml
Sodium chloride 0,9% 4698
Compatible
injection Heparin sodium 500 UI/ml
injection Midazolam hydrochloride 2.1 mg/ml
Sodium chloride 0,9% 3823
Compatible
injection Heparin sodium 417 UI/ml
injection Midazolam hydrochloride 5 mg/ml
None 186
Compatible
injection Heparin sodium 100 UI/ml
injection Midazolam hydrochloride 5 mg/ml
4389
Compatible
injection Heparin sodium 100 UI/ml
injection Midazolam hydrochloride 2 mg/ml
314
Compatible
injection Heparin sodium 200 UI/ml
injection Milrinone lactate 0.8 mg/ml
Glucose 5% 813
Compatible
injection Heparin sodium 100 UI/ml
injection Milrinone lactate 0.2 mg/ml
314
Compatible
injection Heparin sodium 1 UI/ml
injection Minocycline hydrochloride 0.2 mg/ml
Glucose 5% 1228
Compatible
injection Heparin sodium 1 UI/ml
injection Minocycline hydrochloride 0.2 mg/ml
Ringer’s lactate solution 1228
Compatible
injection Heparin sodium 1 UI/ml
injection Minocycline hydrochloride 0.2 mg/ml
Sodium chloride 0,9% 1228
Unspecified incompatibility Incompatible
injection Heparin sodium
injection Mitoxantrone dihydrochloride
3640
Unspecified incompatibility Incompatible
injection Heparin sodium
injection Morphine hydrochloride
5069
Compatible
injection Heparin sodium 100 & 200 UI/ml
injection Morphine sulfate 1 >> 5 mg/ml
Water for Injection 341
Compatible
injection Heparin sodium 1 UI/ml
injection Morphine sulfate 15 mg/ml
Ringer’s lactate solution 1228
Unspecified incompatibility Incompatible
injection Heparin sodium
injection Morphine sulfate
3531
Compatible
injection Heparin sodium 1 UI/ml
injection Morphine sulfate 15 mg/ml
Glucose 5% 1228
Compatible
injection Heparin sodium 1 UI/ml
injection Morphine sulfate 15 mg/ml
Sodium chloride 0,9% 1228
Compatible
injection Heparin sodium 60 UI/ml
injection Morphine sulfate 1 mg/ml
Sodium chloride 0,9% 406
Compatible
injection Heparin sodium 100 & 200 UI/ml
injection Morphine sulfate 10 mg/ml
Water for Injection 341
Compatible
injection Heparin sodium 100 UI/ml
injection Morphine sulfate 2 mg/ml
314
Chemical instability Incompatible
injection Heparin sodium 100 & 200 UI/ml
injection Morphine sulfate 1 >> 10 mg/ml
Sodium chloride 0,9% 341
Compatible
injection Heparin sodium 1000 UI/ml
injection N-acetylcysteine 200 mg/ml
None 3766
Compatible
injection Heparin sodium 50 UI/ml
injection Nafcillin sodium 20 mg/ml
None 317
Compatible
injection Heparin sodium 1000 UI/ml
injection Naloxone hydrochloride 0.4 mg/ml
None 3408
Immediate turbidity Incompatible
injection Heparin sodium 208,3 UI/ml
injection Nefopam 1,7 mg/ml
Sodium chloride 0,9% 4698
Compatible
injection Heparin sodium 1 UI/ml
injection Neostigmine methylsulfate 0.5 mg/ml
Glucose 5% 1228
Compatible
injection Heparin sodium 1 UI/ml
injection Neostigmine methylsulfate 0.5 mg/ml
Sodium chloride 0,9% 1228
Compatible
injection Heparin sodium 1 UI/ml
injection Neostigmine methylsulfate 0.5 mg/ml
Ringer’s lactate solution 1228
Unspecified incompatibility Incompatible
injection Heparin sodium
injection Nesiritide
5048
Unspecified incompatibility Incompatible
injection Heparin sodium
injection Netilmicin sulfate
3540
Immediate precipitation Incompatible
injection Heparin sodium
injection Netilmicin sulfate
1022
Immediate precipitation Incompatible
injection Heparin sodium 100 UI/ml
injection Nicardipine hydrochloride 1 mg/ml
314
Unspecified incompatibility Incompatible
injection Heparin sodium
injection Nicardipine hydrochloride
3540
Compatible
injection Heparin sodium 40 UI/ml
injection Nicardipine hydrochloride 0.1 mg/ml
Glucose 5% 1490
Compatible
injection Heparin sodium 40 UI/ml
injection Nicardipine hydrochloride 0.1 mg/ml
Sodium chloride 0,9% 1490
Immediate precipitation Incompatible
injection Heparin sodium 100 UI/ml
injection Nitroglycerin 1,6 >> 3,25 mg/ml
Glucose 5% 295
Compatible
injection Heparin sodium 500 UI/ml
injection Nitroglycerin 0.2 mg/ml
Sodium chloride 0,9% 3823
Production of gas bubbles Incompatible
injection Heparin sodium 50 UI/ml
injection Nitroglycerin 0.2 mg/ml
None 317
Compatible
injection Heparin sodium 500 UI/ml
injection Nitroglycerin 0.2 mg/ml
Glucose 5% 3823
Compatible
injection Heparin sodium 100 UI/ml
injection Nitroglycerin 0.4 mg/ml
314
Compatible
injection Heparin sodium 50 UI/ml
injection Nitroprusside sodium 0.2 mg/ml
None 317
Compatible
injection Heparin sodium 100 UI/ml
injection Nitroprusside sodium 0.2 mg/ml
Glucose 5% 295
Compatible
injection Heparin sodium 100 UI/ml
injection Norepinephrine bitartrate 0.128 mg/ml
314
Unspecified incompatibility Incompatible
injection Heparin sodium
injection Ofloxacin
3562
Compatible
injection Heparin sodium 40 UI/ml
injection Ondansetron hydrochloride 1 mg/ml
Sodium chloride 0,9% 334
Incompatible
injection Heparin sodium 200 UI/ml
injection Ondansetron hydrochloride 1.6 mg/ml
1699
Immediate turbidity Incompatible
injection Heparin sodium 100 UI/ml
injection Oritavancin 0.8 >>1.2 mg/ml
Glucose 5% 3152
Precipitation after 4 hours Incompatible
injection Heparin sodium 100 UI/ml
injection Oritavancin 2 mg/ml
Glucose 5% 3152
Compatible
injection Heparin sodium 208 UI/ml
injection Ornidazole 31.25 mg/ml
Sodium chloride 0,9% 4254
Compatible
injection Heparin sodium 1 UI/ml
injection Oxacillin sodium 100 mg/ml
Glucose 5% 1228
Compatible
injection Heparin sodium 1 UI/ml
injection Oxacillin sodium 100 mg/ml
Ringer’s lactate solution 1228
Compatible
injection Heparin sodium 1 UI/ml
injection Oxacillin sodium 100 mg/ml
Sodium chloride 0,9% 1228
Compatible
injection Heparin sodium 100 UI/ml
injection Oxaliplatin 0,5 mg/ml
Glucose 5% 1662
Unspecified incompatibility Incompatible
injection Heparin sodium
injection Oxytetracycline hydrochloride
3540
Compatible
injection Heparin sodium 100 UI/ml
injection Paclitaxel 1.2 mg/ml
Glucose 5% 248
Compatible
injection Heparin sodium 100 UI/ml
injection Palonosetron hydrochloride 50 µg/ml
Glucose 5% 2279
Compatible
injection Heparin sodium 40 UI/ml
injection Pancuronium bromide 0.05 mg/ml
Glucose 5% 402
Precipitation after 1 hour Incompatible
injection Heparin sodium
injection Pantoprazole sodium
2090
Compatible
injection Heparin sodium 208,3 UI/ml
injection Paracetamol 10 mg/ml
Sodium chloride 0,9% 4698
Compatible
injection Heparin sodium 1000 UI/ml
injection Paracetamol 10 mg/ml
4742
Compatible
injection Heparin sodium 100 UI/ml
injection Pemetrexed disodium 20 mg/ml
Sodium chloride 0,9% 1953
Unspecified incompatibility Incompatible
injection Heparin sodium
injection Penicillin G potassium
3540
Compatible
injection Heparin sodium 50 UI/ml
injection Penicillin G potassium 0.04 MUI/ml
None 317
Unspecified incompatibility Incompatible
injection Heparin sodium
injection Penicillin G sodium
3540
Compatible
injection Heparin sodium 100 UI/ml
injection Pentoxifyllin 5 mg/ml
Sodium chloride 0,9% 4538
Immediate turbidity Incompatible
injection Heparin sodium
injection Pethidine hydrochloride
3525
Compatible
injection Heparin sodium 60 UI/ml
injection Pethidine hydrochloride 10 mg/ml
Sodium chloride 0,9% 406
Unspecified incompatibility Incompatible
injection Heparin sodium
injection Pethidine hydrochloride
3540
Immediate precipitation Incompatible
injection Heparin sodium 50 UI/ml
injection Phenytoin sodium 2 mg/ml
None 317
Compatible
injection Heparin sodium 50 UI/ml
injection Piperacillin sodium 60 mg/ml
None 317
Compatible
injection Heparin sodium 10 & 5000 UI/ml
injection Piperacillin sodium 40 mg/ml
Sodium chloride 0,9% 2037
Compatible
injection Heparin sodium 0.5 UI/ml
injection Piperacillin sodium / tazobactam 0.5/0.0625 mg/ml
Dianéal® 2.5% glucose (Baxter) 4180
Compatible
injection Heparin sodium 0.5 UI/ml
injection Piperacillin sodium / tazobactam 0.5/0.0625 mg/ml
Dianéal® 4.25% glucose (Baxter) 4180
Immediate turbidity Incompatible
injection Heparin sodium 1000 UI/ml
injection Plazomicin sulfate 24 mg/ml
Sodium chloride 0,9% 4145
Unspecified incompatibility Incompatible
injection Heparin sodium
injection Polymyxine B
3540
Compatible
injection Heparin sodium 50 UI/ml
injection Potassium chloride 200 mEq/l
None 317
Compatible
injection Heparin sodium 1 UI/ml
injection Procainamide hydrochloride 100 mg/ml
Ringer’s lactate solution 1228
Compatible
injection Heparin sodium 1 UI/ml
injection Procainamide hydrochloride 100 mg/ml
Sodium chloride 0,9% 1228
Compatible
injection Heparin sodium 1 UI/ml
injection Prochlorperazine edysilate 5 mg/ml
Sodium chloride 0,9% 1228
Compatible
injection Heparin sodium 3 >> 20 UI/ml
Parenteral nutrition (binary mixture) 791
Compatible
injection Heparin sodium 100 UI/ml
Parenteral nutrition (binary mixture) 301
Compatible
injection Heparin sodium 500 UI/ml
Parenteral nutrition (binary mixture) 939
Compatible
injection Heparin sodium 1 UI/ml
injection Prochlorperazine edysilate 5 mg/ml
Ringer’s lactate solution 1228
Compatible
injection Heparin sodium 1 UI/ml
injection Promethazine hydrochloride 50 mg/ml
Sodium chloride 0,9% 1228
Compatible
injection Heparin sodium 1 UI/ml
injection Promethazine hydrochloride 50 mg/ml
Ringer’s lactate solution 1228
Compatible
injection Heparin sodium 1 UI/ml
injection Propranolol hydrochloride 1 mg/ml
Ringer’s lactate solution 1228
Compatible
injection Heparin sodium 1 UI/ml
injection Propranolol hydrochloride 1 mg/ml
Sodium chloride 0,9% 1228
Compatible
injection Heparin sodium 50 UI/ml
injection Ranitidine hydrochloride 0,5 mg/ml
Glucose 5% 396
Compatible
injection Heparin sodium 10 & 40 UI/ml
injection Ranitidine hydrochloride 0.05 & 2 mg/ml
Sodium chloride 0,9% 214
Compatible
injection Heparin sodium 50 UI/ml
injection Ranitidine hydrochloride 1 mg/ml
None 317
Compatible
injection Heparin sodium 1000 UI/ml
injection Remdesivir 1 mg/ml
Sodium chloride 0,9% 4768
Compatible
injection Heparin sodium 100 UI/ml
injection Remifentanil hydrochloride 25 & 250 µg/ml
Sodium chloride 0,9% 59
Compatible
injection Heparin sodium 500 UI/ml
injection Remifentanil hydrochloride 100 µg/ml
Sodium chloride 0,9% 3823
Compatible
injection Heparin sodium 500 UI/ml
NaHCO3 150
Compatible
injection Heparin sodium 1.4 UI/ml
injection Piperacillin sodium / tazobactam 1.38/0.1725 mg/ml
Physionéal® 2.27 (Baxter) 4180
Compatible
injection Heparin sodium 1.4 UI/ml
injection Piperacillin sodium / tazobactam 1.38/0.1725 mg/ml
Physionéal® 1.36 (Baxter) 4180
Compatible
injection Heparin sodium 0.5 UI/ml
injection Piperacillin sodium / tazobactam 0.5/0.0625 mg/ml
Dianéal® 1.5% glucose (Baxter) 4180
Compatible
injection Heparin sodium 1.4 UI/ml
injection Piperacillin sodium / tazobactam 1.38/0.1725 mg/ml
Physionéal® 3.86 (Baxter) 4180
Compatible
injection Heparin sodium 100 UI/ml
injection Piperacillin sodium / tazobactam 40/5 mg/ml
Glucose 5% 81
Compatible
injection Heparin sodium 0.5 UI/ml
injection Piperacillin sodium / tazobactam 0.5/0.0625 mg/ml
Extraneal® (Baxter) 4180
Compatible
injection Heparin sodium 500 UI/ml
injection Potassium chloride 10 mEq/l
Sodium chloride 0,9% 3823
Compatible
injection Heparin sodium 58,34 UI/ml
injection Potassium chloride 1250 mEq/l
Glucose 5% 1289
Compatible
injection Heparin sodium
injection Potassium phosphate
3781
Compatible
injection Heparin sodium 1 UI/ml
injection Procainamide hydrochloride 100 mg/ml
Glucose 5% 1228
Compatible
injection Heparin sodium 1 UI/ml
injection Prochlorperazine edysilate 5 mg/ml
Glucose 5% 1228
Compatible
injection Heparin sodium 1 UI/ml
injection Promethazine hydrochloride 50 mg/ml
Glucose 5% 1228
Unspecified incompatibility Incompatible
injection Heparin sodium
injection Promethazine hydrochloride
3540
Instability of the emulsion after 1 hour Incompatible
injection Heparin sodium 1000 UI/ml
injection Propofol
660
Compatible
injection Heparin sodium 100 UI/ml
injection Propofol 10 mg/ml
None 300
Compatible
injection Heparin sodium 1 UI/ml
injection Propranolol hydrochloride 1 mg/ml
Glucose 5% 1228
Compatible
injection Heparin sodium 100 UI/ml
injection Ranitidine hydrochloride 1 mg/ml
314
Compatible
injection Heparin sodium 10 & 40 UI/ml
injection Ranitidine hydrochloride 0.05 & 2 mg/ml
Glucose 5% 214
Compatible
injection Heparin sodium 416.7 UI/ml
injection Remifentanil hydrochloride 120 µg/ml
Glucose 5% 3294
Compatible
injection Heparin sodium 416.7 UI/ml
injection Remifentanil hydrochloride 120 µg/ml
Glucose 5% 3176
Unspecified incompatibility Incompatible
injection Heparin sodium
injection Reteplase
2212
Compatible
injection Heparin sodium 20,458 >> 28,000 UI/ml
Parenteral nutrition (with lipids) 1868
Unspecified incompatibility Incompatible
injection Heparin sodium
injection Reteplase
3540
Compatible
injection Heparin sodium 1000 UI/ml
injection Salbutamol sulfate 1 mg/ml
None 3216
Compatible
injection Heparin sodium 100 UI/ml
injection Sargramostim 6 §15 µg/ml
Sodium chloride 0,9% 891
Compatible
injection Heparin sodium 100 UI/ml
injection Sargramostim 10 µg/ml
Sodium chloride 0,9% 335
Compatible
injection Heparin sodium 1 UI/ml
injection Scopolamine hydrobromide 0.86 mg/ml
Sodium chloride 0,9% 1228
Compatible
injection Heparin sodium 1 UI/ml
injection Scopolamine hydrobromide 0.86 mg/ml
Ringer’s lactate solution 1228
Compatible
injection Heparin sodium 1 UI/ml
injection Scopolamine hydrobromide 0.86 mg/ml
Glucose 5% 1228
Compatible
injection Heparin sodium 100 UI/ml
injection Sildenafil citrate 0,6 mg/ml
Glucose 5% 4845
Compatible
injection Heparin sodium 100 UI/ml
injection Sildenafil citrate 0,06 mg/ml
Glucose 5% 4845
Compatible
injection Heparin sodium 1 UI/ml
injection Sildenafil citrate 0,4 mg/ml
Glucose 5% 3923
Compatible
injection Heparin sodium 2 UI/ml
injection Sildenafil citrate 0,6 mg/ml
Glucose 5% 4845
Compatible
injection Heparin sodium
Sodium chloride 0,9% 3540
Immediate instability of the emulsion Incompatible
injection Heparin sodium 100 UI/ml
Parenteral nutrition (with lipids) 132
Immediate turbidity Incompatible
injection Heparin sodium 100 UI/ml
injection Sildenafil citrate 0,6 mg/ml
Glucose 5% 4845
Compatible
injection Heparin sodium 500 UI/ml
injection Sodium bicarbonate 84 mg/ml
Sodium chloride 0,9% 3823
Compatible
injection Heparin sodium
injection Sodium bicarbonate
3466
Compatible
injection Heparin sodium 500 UI/ml
injection Sodium bicarbonate 14 mg/ml
None 150
Compatible
injection Heparin sodium 500 UI/ml
injection Sodium bicarbonate 84 mg/ml
None 3212
Compatible
injection Heparin sodium 208 UI/ml
injection Spiramycine adipate 0.0625 MUI/ml
Sodium chloride 0,9% 4254
Compatible
injection Heparin sodium 100 UI/ml
injection Streptokinase 30000 UI/ml
Glucose 5% 92
Unspecified incompatibility Incompatible
injection Heparin sodium
injection Streptomycin sulfate
3540
Compatible
injection Heparin sodium 416.7 UI/ml
injection Sufentanil citrate 0.005 mg/ml
Glucose 5% 3294
Compatible
injection Heparin sodium 1000 UI/ml
injection Sugammadex 100 mg/ml
None 3372
Compatible
injection Heparin sodium 10 UI/ml
injection Tacrolimus 1000 µg/ml
Sodium chloride 0,9% 479
Compatible
injection Heparin sodium 1000 UI/ml
Ringer’s lactate solution 4603
Compatible
injection Heparin sodium 1000 UI/ml
injection Sulbactam/durlobactam 15/15 mg/ml
Sodium chloride 0,9% 4801
Compatible
injection Heparin sodium 1000 UI/ml
injection Tedizolid phosphate 0.8 mg/ml
Sodium chloride 0,9% 3827
Compatible
injection Heparin sodium 10 >> 10000 UI/ml
injection Teicoplanine 0.02 >> 10 mg/ml
Sodium chloride 0,9% 2057
Immediate turbidity Incompatible
injection Heparin sodium 1000 UI/ml
injection Telavancin hydrochloride 7,5 mg/ml
Glucose 5% 3254
Immediate turbidity Incompatible
injection Heparin sodium 1000 UI/ml
injection Telavancin hydrochloride 7,5 mg/ml
Sodium chloride 0,9% 3254
Compatible
injection Heparin sodium 1000 UI/ml
injection Telavancin hydrochloride 7.5 mg/ml
Ringer’s lactate solution 3254
Immediate precipitation Incompatible
injection Heparin sodium 1000 UI/ml
injection Thiopental sodium 25 mg/ml
Sodium chloride 0,9% 3767
Immediate instability of the emulsion Incompatible
injection Heparin sodium 1 UI/ml
Parenteral nutrition (with lipids) 1391
Compatible
injection Heparin sodium 100 UI/ml
injection Teniposide 0.1 mg/ml
Glucose 5% 905
Compatible
injection Heparin sodium 50 UI/ml
injection Theophylline 4 mg/ml
None 317
Compatible
injection Heparin sodium 100 UI/ml
injection Thiopental sodium 25 mg/ml
314
Immediate instability of the emulsion Incompatible
injection Heparin sodium 100 UI/ml
Parenteral nutrition (with lipids) 1415
Compatible
injection Heparin sodium 500 UI/ml
injection Thiopental sodium 60 mg/ml
Sodium chloride 0,9% 3823
Compatible
injection Heparin sodium 100 UI/ml
injection Thiotepa 1 mg/ml
Glucose 5% 249
Compatible
injection Heparin sodium 50 UI/ml
injection Ticarcillin / clavulanic acid 31 mg/ml
None 317
Compatible
injection Heparin sodium 500 UI/ml
injection Tirofiban 250 µg/ml
Sodium chloride 0,9% 3823
Compatible
injection Heparin sodium 40 & 100 UI/ml
injection Tirofiban 50 µg/ml
Sodium chloride 0,9% 1420
Compatible
injection Heparin sodium
Glucose 5% 3540
Compatible
injection Heparin sodium
injection Tirofiban
1512
Compatible
injection Heparin sodium 40 & 100 UI/ml
injection Tirofiban 50 µg/ml
Glucose 5% 1420
Unspecified incompatibility Incompatible
injection Heparin sodium 50 UI/ml
injection Tobramycin sulfate 0.8 mg/ml
None 317
Unspecified incompatibility Incompatible
injection Heparin sodium
injection Tobramycin sulfate
3540
Compatible
injection Heparin sodium
injection Tranexamic acid
5016
Unspecified incompatibility Incompatible
injection Heparin sodium
injection Triflupromazine hydrochloride
3540
Compatible
injection Heparin sodium 500 UI/ml
injection Urapidil 5 mg/ml
Sodium chloride 0,9% 3823
Immediate precipitation Incompatible
injection Heparin sodium 0,5 >> 14,3 UI/ml
injection Vancomycin hydrochloride 6,9 >> 14,3 mg/ml
Dianéal® PD1 4.25% glucose (Baxter) 2375
Unspecified incompatibility Incompatible
injection Heparin sodium
injection Vancomycin hydrochloride
3588
Unspecified incompatibility Incompatible
injection Heparin sodium
injection Vancomycin hydrochloride
3540
Compatible
injection Heparin sodium 0,5 >> 14,3 UI/ml
injection Vancomycin hydrochloride 0,015 >> 6,8 mg/ml
Dianéal® PD2 2.5% glucose (Baxter) 2375
Immediate precipitation Incompatible
injection Heparin sodium 0,5 >> 14,3 UI/ml
injection Vancomycin hydrochloride 6,9 >> 14,3 mg/ml
Dianéal® PD2 2.5% glucose (Baxter) 2375
Compatible
injection Heparin sodium 10 UI/ml
injection Vancomycin hydrochloride 0.025 mg/ml
Water for Injection 3125
Compatible
injection Heparin sodium 0,5 >> 14,3 UI/ml
injection Vancomycin hydrochloride 0,015 >> 6,8 mg/ml
Dianéal® PD1 4.25% glucose (Baxter) 2375
Unspecified incompatibility Incompatible
injection Heparin sodium 50 UI/ml
injection Vancomycin hydrochloride 6.6 mg/ml
None 317
Compatible
injection Heparin sodium 100 UI/ml
injection Vancomycin hydrochloride 0.025 mg/ml
Sodium chloride 0,9% 1414
Compatible
injection Heparin sodium 10 UI/ml
injection Vancomycin hydrochloride 2 mg/ml
Sodium chloride 0,9% 2037
Immediate precipitation Incompatible
injection Heparin sodium 100 UI/ml
injection Vancomycin hydrochloride 10 mg/ml
Parenteral nutrition (binary mixture) 132
Compatible
injection Heparin sodium 5000 UI/ml
injection Vancomycin hydrochloride 2.5 mg/ml
Sodium chloride 0,9% 2037
Compatible
injection Heparin sodium 100 UI/ml
injection Vancomycin hydrochloride 0.025 mg/ml
Sodium chloride 0,9% 895
Compatible
injection Heparin sodium 100 UI/ml
injection Vasopressin 2 & 4 UI/ml
Sodium chloride 0,9% 1801
Compatible
injection Heparin sodium 100 UI/ml
injection Vecuronium bromide 1 mg/ml
314
Compatible
injection Heparin sodium 40 UI/ml
injection Vecuronium bromide 0.1 mg/ml
Glucose 5% 402
Compatible
injection Heparin sodium 20 UI/ml
injection Verapamil hydrochloride 0.08 mg/ml
Sodium chloride 0,9% 1057
Compatible
injection Heparin sodium 20 UI/ml
injection Verapamil hydrochloride 0.08 mg/ml
Glucose 5% 1057
Unspecified incompatibility Incompatible
injection Heparin sodium
injection Vinblastine sulfate
3540
Compatible
injection Heparin sodium 1000 UI/ml
injection Vinblastine sulfate 1 mg/ml
763
Compatible
injection Heparin sodium 1000 UI/ml
injection Vincristine sulfate 1 mg/ml
763
Compatible
injection Heparin sodium 100 UI/ml
injection Vinorelbine tartrate 1 mg/ml
Sodium chloride 0,9% 84
Compatible
injection Heparin sodium 100 UI/ml
injection Vinorelbine tartrate 1 mg/ml
Sodium chloride 0,9% 1070
Immediate precipitation Incompatible
injection Heparin sodium 10 & 100 UI/ml
injection Vinorelbine tartrate 2 & 3 mg/ml
Sodium chloride 0,9% 1070
Compatible
injection Heparin sodium 208 UI/ml
injection Voriconazole 8 mg/ml
Glucose 5% 4254
Compatible
injection Heparin sodium 208 UI/ml
injection Voriconazole 8 mg/ml
Sodium chloride 0,9% 4254
Compatible
injection Heparin sodium 100 UI/ml
injection Warfarin sodium 2 mg/ml
Glucose 5% 315
Compatible
injection Heparin sodium 100 UI/ml
injection Zidovudine 4 mg/ml
Glucose 5% 337

  Mentions Légales