Utolsó frissítés :
27/01/2026
Véralvadásgátló   Heparin sodium  
Injekció
Az oldatok stabilitása A keverékek stabilitása Stabilitást befolyásoló tényezők Kompatibilitás Az alkalmazás módja Irodalom pdf
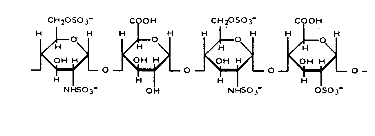
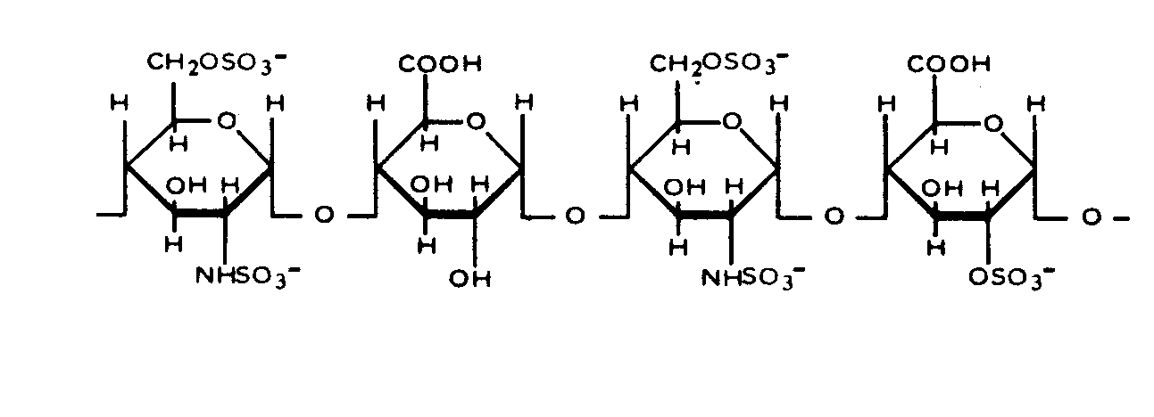
   Kémiai szerkezet   

Kereskedelmi név   Kereskedelmi név     

A kereskedelmi név meghatározó jelentőségű: a készítmények összetétele országonként, előállítóként eltérő lehet

Arapin Chile
Ateroclar Olaszország
Clarisco Olaszország
Epsoclar Olaszország
Hepaflex Finnország, Norvégia
Hepamax Chile, Colombia, Ecuador
Heparin Amerikai Egyesült Államok, Ausztria, Dánia, Dél-Afrikai Köztársaság, Finnország, Görögország, Hollandia, Jugoszlávia, Kanada, Magyarország, Nagy-Britannia, Norvégia, orosz, Svájc, Svédország, Thaiföld, Törökország
Heparine Belgium, Franciaország
Heparinised Ausztrália
Heparstad Németország
Liquemin Svájc, Törökország
Liquemine Brazília
Monoparin Szaúd-Arábiában
Normoparin Olaszország
Nuparin Ecuador
Pharepa Olaszország
Riveparin Argentína
Sobrius Argentína, Ecuador
Thrombophob Németország
Kompatibilitás   Injekció   Kompatibilitás : Heparin sodium              
Ovdje su prikazane kompatibilnosti ili nekompatibilnosti s tipom nekompatibilnosti (taloženje, promjena boje, modifikacija emulzije itd.) u ovom slučaju. Kompatibilnosti prikazane ovdje najčešće su fizikalne dok se kemijska stabilnost molekule rijetko procjenjuje. Procjena ovih mikstura je proučavana kako bi se razmotrila mogućnost primjene lijeka putem Y-mjesta. Ovi se podaci ne smiju koristiti za pripremu mikstura unaprijed u vrećicama ili štrcaljkama. Ova vrsta informacije se može pronaći u odjeljku « stabilnost u miksturama ».
Vegyület Oldószer Irodalom
Összeegyeztethető
Injekció Heparin sodium 100 UI/ml
Injekció Aciclovir sodium 5 mg/ml
0,9% nátrium-klorid 2335
Összeegyeztethető
Injekció Heparin sodium 50 UI/ml
Injekció Aciclovir sodium 5 mg/ml
5% glükóz 336
Összeegyeztethető
Injekció Heparin sodium 100 UI/ml
Injekció Aldesleukin 0.0338 MUI/ml
5% glükóz 36
Összeegyeztethető
Injekció Heparin sodium 100 UI/ml
Injekció Allopurinol sodium 3 mg/ml
0,9% nátrium-klorid 307
Összeegyeztethető
Injekció Heparin sodium 1 UI/ml
Injekció Alprostadil 20 µg/ml
0,9% nátrium-klorid 4491
Összeegyeztethető
Injekció Heparin sodium 1 UI/ml
Injekció Alprostadil 20 µg/ml
5% glükóz 4651
Csapadék 24 óra múlva Összeegyeztethetetlen
Injekció Heparin sodium 100 UI/ml
Injekció Alteplase 1 mg/ml
Injekcióhoz való víz 92
Meghatározatlan összeférhetetlenség Összeegyeztethetetlen
Injekció Heparin sodium
Injekció Alteplase
3540
Azonnali csapadék Összeegyeztethetetlen
Injekció Heparin sodium 40 UI/ml
Injekció Alteplase 0.5 mg/ml
Injekcióhoz való víz 240
Meghatározatlan összeférhetetlenség Összeegyeztethetetlen
Injekció Heparin sodium
Injekció Alteplase
3616
Összeegyeztethető
Injekció Heparin sodium 100 UI/ml
Injekció Amifostine 10 mg/ml
5% glükóz 3
Azonnali csapadék Összeegyeztethetetlen
Injekció Heparin sodium
Injekció Amikacin sulfate
1022
Meghatározatlan összeférhetetlenség Összeegyeztethetetlen
Injekció Heparin sodium
Injekció Amikacin sulfate
3549
Meghatározatlan összeférhetetlenség Összeegyeztethetetlen
Injekció Heparin sodium
Injekció Amikacin sulfate
3540
Meghatározatlan összeférhetetlenség Összeegyeztethetetlen
Injekció Heparin sodium 500 UI/ml
Injekció Amiodarone hydrochloride 15 mg/ml
0,9% nátrium-klorid 3823
Meghatározatlan összeférhetetlenség Összeegyeztethetetlen
Injekció Heparin sodium
Injekció Amiodarone hydrochloride
3540
Azonnali zavarosság Összeegyeztethetetlen
Injekció Heparin sodium 500 UI/ml
Injekció Amiodarone hydrochloride 15 mg/ml
0,9% nátrium-klorid 3463
Meghatározatlan összeférhetetlenség Összeegyeztethetetlen
Injekció Heparin sodium
Injekció Amiodarone hydrochloride
3464
Meghatározatlan összeférhetetlenség Összeegyeztethetetlen
Injekció Heparin sodium 500 UI/ml
Injekció Amiodarone hydrochloride 15 mg/ml
5% glükóz 3823
Azonnali zavarosság Összeegyeztethetetlen
Injekció Heparin sodium 500 UI/ml
Injekció Amiodarone hydrochloride 15 mg/ml
5% glükóz 3463
Összeegyeztethető
Injekció Heparin sodium 208 UI/ml
Injekció Amoxicillin sodium 20.83 & 83.3 mg/ml
0,9% nátrium-klorid 4254
Összeegyeztethető
Injekció Heparin sodium 1000 UI/ml
Injekció Amoxicillin sodium / clavulanic acid 100/10 mg/ml
3824
Összeegyeztethető
Injekció Heparin sodium
Injekció Ampicillin sodium
5088
Összeegyeztethető
Injekció Heparin sodium 50 UI/ml
Injekció Ampicillin sodium 20 mg/ml
Egy sem 317
Összeegyeztethető
Injekció Heparin sodium 50 UI/ml
Injekció Ampicillin sodium - sulbactam sodium 30 mg/ml
Egy sem 317
Azonnali csapadék Összeegyeztethetetlen
Injekció Heparin sodium 40 UI/ml
Injekció Amsacrine 1 mg/ml
5% glükóz 253
Összeegyeztethető
Injekció Heparin sodium 100 UI/ml
Injekció Anidulafungin 0.5 mg/ml
5% glükóz 1982
Azonnali csapadék Összeegyeztethetetlen
Injekció Heparin sodium
Injekció Antithymocyte globulin (rabbit)
4958
Azonnali csapadék Összeegyeztethetetlen
Injekció Heparin sodium 2 UI/ml
Injekció Antithymocyte globulin (rabbit) 0,2 & 0,3 mg/ml
5% glükóz 1822
Összeegyeztethető
Injekció Heparin sodium 100 UI/ml
Injekció Antithymocyte globulin (rabbit) 0,2 & 0,3 mg/ml
5% glükóz 1822
Összeegyeztethető
Injekció Heparin sodium 2 & 100 UI/ml
Injekció Antithymocyte globulin (rabbit) 0,2 & 0,3 mg/ml
0,9% nátrium-klorid 1822
Összeegyeztethető
Injekció Heparin sodium 40 UI/ml
Injekció Atracurium besylate 0.5 mg/ml
5% glükóz 402
Összeegyeztethető
Injekció Heparin sodium 1 UI/ml
Injekció Atropine sulfate 0.5 mg/ml
5% glükóz 1228
Összeegyeztethető
Injekció Heparin sodium 500 UI/ml
Parenterális táplálás (lipid) 4507
Azonnali csapadék Összeegyeztethetetlen
Injekció Heparin sodium 1000 UI/ml
Injekció Amphotericin B cholesteryl sulfate complex 0.83 mg/ml
5% glükóz 921
Meghatározatlan összeférhetetlenség Összeegyeztethetetlen
Injekció Heparin sodium
Injekció Ampicillin sodium
3540
Összeegyeztethető
Injekció Heparin sodium 10 & 5000 UI/ml
Injekció Ampicillin sodium 10 mg/ml
0,9% nátrium-klorid 2037
Összeegyeztethető
Injekció Heparin sodium 1 UI/ml
Injekció Atropine sulfate 0.5 mg/ml
Ringer-laktát oldat 1228
Összeegyeztethető
Injekció Heparin sodium 1 UI/ml
Injekció Atropine sulfate 0.5 mg/ml
0,9% nátrium-klorid 1228
Összeegyeztethető
Injekció Heparin sodium 100 UI/ml
Injekció Aztreonam 40 mg/ml
5% glükóz 99
Összeegyeztethető
Injekció Heparin sodium 50 UI/ml
Injekció Aztreonam 20 mg/ml
Egy sem 317
Összeegyeztethető
Injekció Heparin sodium 1 UI/ml
Injekció Betamethasone sodium phosphate 3 mg/ml
0,9% nátrium-klorid 1228
Összeegyeztethető
Injekció Heparin sodium 1 UI/ml
Injekció Betamethasone sodium phosphate 3 mg/ml
5% glükóz 1228
Összeegyeztethető
Injekció Heparin sodium 1 UI/ml
Injekció Betamethasone sodium phosphate 3 mg/ml
Ringer-laktát oldat 1228
Összeegyeztethető
Injekció Heparin sodium 100 UI/ml
Injekció Bivalirudin 5 mg/ml
5% glükóz 1713
Azonnali csapadék Összeegyeztethetetlen
Injekció Heparin sodium 192.3 UI/ml
Injekció Blinatumomab 0.125 & 0.375 µg/ml
0,9% nátrium-klorid 3976
Összeegyeztethető
Injekció Heparin sodium 1000 UI/ml
Injekció Caffeine 10 mg/ml
Egy sem 3964
Összeegyeztethető
Injekció Heparin sodium 100 UI/ml
Injekció Caffeine 10 mg/ml
0,9% nátrium-klorid 4837
Összeegyeztethető
Injekció Heparin sodium 100 UI/ml
Injekció Caffeine citrate 20 mg/ml
0,9% nátrium-klorid 4837
30 perc múlva csapadék Összeegyeztethetetlen
Injekció Heparin sodium 2 UI/ml
Injekció Calcium chloride 20 mg/ml
5% glükóz 4732
Összeegyeztethető
Injekció Heparin sodium 100 UI/ml
Injekció Calcium chloride 20 mg/ml
5% glükóz 4732
Az emulzió azonnali instabilitása Összeegyeztethetetlen
Injekció Heparin sodium
Injekció Calcium chloride
Parenterális táplálás (lipid) 1084
Az emulzió azonnali instabilitása Összeegyeztethetetlen
Injekció Heparin sodium
Injekció Calcium gluconate
Parenterális táplálás (lipid) 1084
Azonnali csapadék Összeegyeztethetetlen
Injekció Heparin sodium 100 UI/ml
Injekció Caspofungin acetate 0.5 mg/ml
0,9% nátrium-klorid 2233
Azonnali csapadék Összeegyeztethetetlen
Injekció Heparin sodium 100 UI/ml
Injekció Caspofungin acetate 0,7 mg/ml
0,9% nátrium-klorid 2247
Meghatározatlan összeférhetetlenség Összeegyeztethetetlen
Injekció Heparin sodium
Injekció Cefalotin sodium
3540
Összeegyeztethető
Injekció Heparin sodium 10 & 5000 UI/ml
Injekció Cefazolin sodium 10 mg/ml
0,9% nátrium-klorid 2037
Összeegyeztethető
Injekció Heparin sodium 50 UI/ml
Injekció Cefazolin sodium 20 mg/ml
Egy sem 317
Összeegyeztethető
Injekció Heparin sodium 0.667 UI/ml
Injekció Cefazolin sodium 0.333 mg/ml
Dianéal® PD2 1.5% glükóz (Baxter) 1979
Összeegyeztethető
Injekció Heparin sodium 10 & 50 UI/ml
Injekció Cefepime dihydrochloride 4 mg/ml
0,9% nátrium-klorid 3548
Összeegyeztethető
Injekció Heparin sodium 10 & 50 UI/ml
Injekció Cefepime dihydrochloride 4 mg/ml
5% glükóz 3548
Összeegyeztethető
Injekció Heparin sodium 1000 UI/ml
Injekció Cefiderocol sulfate tosylate 20 mg/mL
5% glükóz 4528
Összeegyeztethető
Injekció Heparin sodium 1000 UI/ml
Injekció Cefiderocol sulfate tosylate 20 mg/mL
0,9% nátrium-klorid 4528
Kémiai instabilitás Összeegyeztethetetlen
Injekció Heparin sodium 100 UI/ml
Injekció Cefmetazole sodium 100 mg/ml
Injekcióhoz való víz 93
Összeegyeztethető
Injekció Heparin sodium 208 UI/ml
Injekció Cefotaxime sodium 41.6 & 125 mg/ml
5% glükóz 4254
Összeegyeztethető
Injekció Heparin sodium 208 UI/ml
Injekció Cefotaxime sodium 41.6 & 125 mg/ml
0,9% nátrium-klorid 4254
Összeegyeztethető
Injekció Heparin sodium 5000 UI/ml
Injekció Cefotaxime sodium 10 mg/ml
Injekcióhoz való víz 3125
Összeegyeztethető
Injekció Heparin sodium 100 UI/ml
Injekció Ceftaroline fosamil 2,22 mg/ml
Ringer-laktát oldat 3249
Összeegyeztethető
Injekció Heparin sodium 100 UI/ml
Injekció Ceftaroline fosamil 2,22 mg/ml
0,9% nátrium-klorid 3249
Összeegyeztethető
Injekció Heparin sodium 100 UI/ml
Injekció Ceftaroline fosamil 2,22 mg/ml
5% glükóz 3249
Összeegyeztethető
Injekció Heparin sodium 0.5 UI/ml
Injekció Ceftazidime 0.125 mg/ml
Extraneal® (Baxter) 4056
Összeegyeztethető
Injekció Heparin sodium 0.5 UI/ml
Injekció Ceftazidime 0.125 mg/ml
Dianéal® PD2 4.25% glükóz (Baxter) 4056
Összeegyeztethető
Injekció Heparin sodium 50 UI/ml
Injekció Ceftazidime 20 mg/ml
Egy sem 317
Összeegyeztethető
Injekció Heparin sodium 0.5 UI/ml
Injekció Ceftazidime 0.125 mg/ml
Dianéal® PD2 2.5% glucose (Baxter) 4056
Összeegyeztethető
Injekció Heparin sodium 100 UI/ml
Injekció Ceftobiprole medocaril sodium 2 mg/ml
0,9% nátrium-klorid 2269
Összeegyeztethető
Injekció Heparin sodium 100 UI/ml
Injekció Ceftobiprole medocaril sodium 2 mg/ml
5% glükóz 2269
Összeegyeztethető
Injekció Heparin sodium 100 UI/ml
Injekció Ceftobiprole medocaril sodium 2 mg/ml
Ringer-laktát oldat 2269
Összeegyeztethető
Injekció Heparin sodium 1000 UI/ml
Injekció Ceftolozane / tazobactam 10/5 mg/ml
0,9% nátrium-klorid 3828
Összeegyeztethető
Injekció Heparin sodium 1000 UI/ml
Injekció Ceftolozane / tazobactam 10/5 mg/ml
5% glükóz 3828
Összeegyeztethető
Injekció Heparin sodium 50 UI/ml
Injekció Ceftriaxone disodium 20 mg/ml
Egy sem 317
Összeegyeztethető
Injekció Heparin sodium 10 & 50 UI/ml
Injekció Cefuroxime sodium
0,9% nátrium-klorid 3687
Összeegyeztethető
Injekció Heparin sodium 58,34 UI/ml
Injekció Chlorpromazine hydrochloride 0,26 mg/ml
5% glükóz 1289
Összeegyeztethető
Injekció Heparin sodium 1 UI/ml
Injekció Chlorpromazine hydrochloride 10 mg/ml
0,9% nátrium-klorid 1228
Összeegyeztethető
Injekció Heparin sodium 1 UI/ml
Injekció Chlorpromazine hydrochloride 10 mg/ml
5% glükóz 1228
Meghatározatlan összeférhetetlenség Összeegyeztethetetlen
Injekció Heparin sodium
Injekció Chlorpromazine hydrochloride
3540
Összeegyeztethető
Injekció Heparin sodium 1 UI/ml
Injekció Chlorpromazine hydrochloride 10 mg/ml
Ringer-laktát oldat 1228
Összeegyeztethető
Injekció Heparin sodium 50 UI/ml
Injekció Cimetidine hydrochloride 6 mg/ml
Egy sem 317
Összeegyeztethető
Injekció Heparin sodium 5000 & 10000 UI/ml
Injekció Ciprofloxacin lactate 0.4 & 0.6 mg/ml
0,9% nátrium-klorid 2057
Azonnali csapadék Összeegyeztethetetlen
Injekció Heparin sodium 10 >> 10000 UI/ml
Injekció Ciprofloxacin lactate 1 mg/ml
0,9% nátrium-klorid 2057
Azonnali csapadék Összeegyeztethetetlen
Injekció Heparin sodium 10 & 100 UI/ml
Injekció Ciprofloxacin lactate 0.2 mg/ml
0,9% nátrium-klorid 2057
Meghatározatlan összeférhetetlenség Összeegyeztethetetlen
Injekció Heparin sodium
Injekció Ciprofloxacin lactate
3540
Azonnali csapadék Összeegyeztethetetlen
Injekció Heparin sodium 10 >> 1000 UI/ml
Injekció Ciprofloxacin lactate 0.4 & 0.6 mg/ml
0,9% nátrium-klorid 2057
Összeegyeztethető
Injekció Heparin sodium 1000 >> 10000 UI/ml
Injekció Ciprofloxacin lactate 0.2 mg/ml
0,9% nátrium-klorid 2057
Azonnali csapadék Összeegyeztethetetlen
Injekció Heparin sodium 10 >> 5000 UI/ml
Injekció Ciprofloxacin lactate 0.8 mg/ml
0,9% nátrium-klorid 2057
Összeegyeztethető
Injekció Heparin sodium 10 >> 10000 UI/ml
Injekció Ciprofloxacin lactate 0.1 mg/ml
0,9% nátrium-klorid 2057
Azonnali csapadék Összeegyeztethetetlen
Injekció Heparin sodium 100 UI/ml
Injekció Ciprofloxacin lactate 2 mg/ml
0,9% nátrium-klorid 288
Meghatározatlan összeférhetetlenség Összeegyeztethetetlen
Injekció Heparin sodium
Injekció Ciprofloxacin lactate
3529
Azonnali csapadék Összeegyeztethetetlen
Injekció Heparin sodium 100 UI/ml
Injekció Ciprofloxacin lactate 2 mg/ml
5% glükóz 288
Azonnali csapadék Összeegyeztethetetlen
Injekció Heparin sodium 10 >> 1000 UI/ml
Injekció Ciprofloxacin lactate 2 mg/ml
0,9% nátrium-klorid 289
Azonnali zavarosság Összeegyeztethetetlen
Injekció Heparin sodium 10 UI/ml
Injekció Ciprofloxacin lactate 2 mg/ml
Egy sem 1393
Összeegyeztethető
Injekció Heparin sodium 10000 UI/ml
Injekció Ciprofloxacin lactate 0.8 mg/ml
0,9% nátrium-klorid 2057
Összeegyeztethető
Injekció Heparin sodium 100 UI/ml
Injekció Cisatracurium besylate 0.1 & 2 mg/ml
5% glükóz 299
Azonnali csapadék Összeegyeztethetetlen
Injekció Heparin sodium 100 UI/ml
Injekció Cisatracurium besylate 5 mg/ml
5% glükóz 299
Színváltozás Összeegyeztethetetlen
Injekció Heparin sodium 500 UI/ml
Injekció Cisatracurium besylate 5 mg/ml
0,9% nátrium-klorid 3463
Meghatározatlan összeférhetetlenség Összeegyeztethetetlen
Injekció Heparin sodium 500 UI/ml
Injekció Cisatracurium besylate 5 mg/ml
0,9% nátrium-klorid 3823
Meghatározatlan összeférhetetlenség Összeegyeztethetetlen
Injekció Heparin sodium
Injekció Cisatracurium besylate
3540
Összeegyeztethető
Injekció Heparin sodium 100 UI/ml
Injekció Cladribine 0.5 mg/ml
0,9% NaCl + antibakteriális szer 1496
Összeegyeztethető
Injekció Heparin sodium 100 UI/ml
Injekció Cladribine 0.015 mg/ml
0,9% nátrium-klorid 1496
Összeegyeztethető
Injekció Heparin sodium 50 UI/ml
Injekció Clindamycin phosphate 12 mg/ml
Egy sem 317
Összeegyeztethető
Injekció Heparin sodium 50 UI/ml
Injekció Clonidine hydrochloride 0.0075 mg/ml
0,9% nátrium-klorid 1506
Összeegyeztethető
Injekció Heparin sodium 50 UI/ml
Injekció Clonidine hydrochloride 0.0075 mg/ml
5% glükóz 1506
Összeegyeztethető
Injekció Heparin sodium 100 UI/ml
Injekció Cloxacillin sodium 100 mg/ml
Injekcióhoz való víz 3012
Csapadék 4 óra után Összeegyeztethetetlen
Injekció Heparin sodium 208 UI/ml
Injekció Co-trimoxazole 3.2/0.64 & 80/16 mg/ml
0,9% nátrium-klorid 4254
Csapadék 4 óra után Összeegyeztethetetlen
Injekció Heparin sodium 208 UI/ml
Injekció Co-trimoxazole 3.2/0.64 & 80/16 mg/ml
5% glükóz 4254
Összeegyeztethető
Injekció Heparin sodium 1 UI/ml
Injekció Cyanocobalamine 0.1 mg/ml
Ringer-laktát oldat 1228
Összeegyeztethető
Injekció Heparin sodium 1 UI/ml
Injekció Cyanocobalamine 0.1 mg/ml
5% glükóz 1228
Összeegyeztethető
Injekció Heparin sodium 1 UI/ml
Injekció Cyanocobalamine 0.1 mg/ml
0,9% nátrium-klorid 1228
Meghatározatlan összeférhetetlenség Összeegyeztethetetlen
Injekció Heparin sodium
Injekció Cytarabine
3540
Meghatározatlan összeférhetetlenség Összeegyeztethetetlen
Injekció Heparin sodium
Injekció Cytarabine
3580
Meghatározatlan összeférhetetlenség Összeegyeztethetetlen
Injekció Heparin sodium
Injekció Dacarbazine
3605
Azonnali csapadék Összeegyeztethetetlen
Injekció Heparin sodium 100 UI/ml
Injekció Dacarbazine 25 mg/ml
0,9% nátrium-klorid 860
Meghatározatlan összeférhetetlenség Összeegyeztethetetlen
Injekció Heparin sodium
Injekció Dacarbazine
3267
Meghatározatlan összeférhetetlenség Összeegyeztethetetlen
Injekció Heparin sodium
Injekció Dacarbazine
3540
Összeegyeztethető
Injekció Heparin sodium
Injekció Daptomycin
2271
Összeegyeztethető
Injekció Heparin sodium 98 UI/ml
Injekció Daptomycin 19,6 mg/ml
0,9% nátrium-klorid 1937
Azonnali csapadék Összeegyeztethetetlen
Injekció Heparin sodium
Injekció Daunorubicin hydrochloride
3604
Meghatározatlan összeférhetetlenség Összeegyeztethetetlen
Injekció Heparin sodium
Injekció Daunorubicin hydrochloride
3540
Azonnali csapadék Összeegyeztethetetlen
Injekció Heparin sodium
Injekció Daunorubicin hydrochloride liposome
3577
Azonnali zavarosság Összeegyeztethetetlen
Injekció Heparin sodium
Injekció Daunorubicin/cytarabine liposomale 0,4 mg/mL
0,9% nátrium-klorid 4654
Összeegyeztethető
Injekció Heparin sodium 373 UI/ml
Injekció Defibrotide 8 mg/ml
0,9% nátrium-klorid 3728
Összeegyeztethető
Injekció Heparin sodium 50 UI/ml
Injekció Dexamethasone sodium phosphate 0.08 mg/ml
Egy sem 317
Összeegyeztethető
Injekció Heparin sodium
Injekció Dexketoprofen
4981
Összeegyeztethető
Injekció Heparin sodium 100 UI/ml
Injekció Dexmedetomidine 4 µg/ml
0,9% nátrium-klorid 1712
Összeegyeztethető
Injekció Heparin sodium 10000 UI/ml
Injekció Diatrizoate meglumine 283 mg/ml
Egy sem 1085
Meghatározatlan összeférhetetlenség Összeegyeztethetetlen
Injekció Heparin sodium
Injekció Diazepam
3540
Összeegyeztethető
Injekció Heparin sodium 100 UI/ml
Injekció Diltiazem hydrochloride 1 mg/ml
314
Azonnali csapadék Összeegyeztethetetlen
Injekció Heparin sodium 20000 UI/ml
Injekció Diltiazem hydrochloride 5 mg/ml
0,9% nátrium-klorid 198
Összeegyeztethető
Injekció Heparin sodium 100 UI/ml
Injekció Diltiazem hydrochloride 1 mg/ml
5% glükóz 4556
Azonnali zavarosság Összeegyeztethetetlen
Injekció Heparin sodium 100 UI/ml
Injekció Diltiazem hydrochloride 5 mg/ml
5% glükóz 4556
Összeegyeztethető
Injekció Heparin sodium 20000 UI/ml
Injekció Diltiazem hydrochloride 1 mg/ml
0,9% nátrium-klorid 198
Összeegyeztethető
Injekció Heparin sodium
Injekció Diltiazem hydrochloride
5090
Összeegyeztethető
Injekció Heparin sodium 80 >> 10000 UI/ml
Injekció Diltiazem hydrochloride 1 & 5 mg/ml
0,9% nátrium-klorid 198
Azonnali csapadék Összeegyeztethetetlen
Injekció Heparin sodium
Injekció Dimenhydrinate
2087
Összeegyeztethető
Injekció Heparin sodium 1 UI/ml
Injekció Diphenhydramine hydrochloride 50 mg/ml
0,9% nátrium-klorid 1228
Összeegyeztethető
Injekció Heparin sodium 1 UI/ml
Injekció Diphenhydramine hydrochloride 50 mg/ml
5% glükóz 1228
Összeegyeztethető
Injekció Heparin sodium 1 UI/ml
Injekció Diphenhydramine hydrochloride 50 mg/ml
Ringer-laktát oldat 1228
Csapadék 4 óra után Összeegyeztethetetlen
Injekció Heparin sodium 100 UI/ml
Injekció Dobutamine hydrochloride 4 mg/ml
314
Összeegyeztethető
Injekció Heparin sodium 40 UI/ml
Injekció Dobutamine hydrochloride 1 mg/ml
0,9% nátrium-klorid 1058
Összeegyeztethető
Injekció Heparin sodium 100 UI/ml
Injekció Dobutamine hydrochloride 2 mg/ml
5% glükóz 1041
Azonnali csapadék Összeegyeztethetetlen
Injekció Heparin sodium 100 UI/ml
Injekció Dobutamine hydrochloride 2 mg/ml
5% glükóz 1352
Azonnali zavarosság Összeegyeztethetetlen
Injekció Heparin sodium 100 UI/ml
Injekció Dobutamine hydrochloride 4 mg/ml
5% glükóz 295
Azonnali csapadék Összeegyeztethetetlen
Injekció Heparin sodium
Injekció Dobutamine hydrochloride
3540
Színváltozás 6 óra után Összeegyeztethetetlen
Injekció Heparin sodium 10000 UI/ml
Injekció Dobutamine hydrochloride 2 mg/ml
5% glükóz 1041
Összeegyeztethető
Injekció Heparin sodium 40 UI/ml
Injekció Dobutamine hydrochloride 1 mg/ml
5% glükóz 1058
Összeegyeztethető
Injekció Heparin sodium 50 UI/ml
Injekció Dobutamine hydrochloride 1 mg/ml
Egy sem 317
Összeegyeztethető
Injekció Heparin sodium 100 UI/ml
Injekció Docetaxel 0.9 mg/ml
5% glükóz 1754
Összeegyeztethető
Injekció Heparin sodium 1 UI/ml
Injekció Dopamine hydrochloride 40 mg/ml
0,9% nátrium-klorid 1228
Összeegyeztethető
Injekció Heparin sodium 50 UI/ml
Injekció Dopamine hydrochloride 1.6 mg/ml
Egy sem 317
Összeegyeztethető
Injekció Heparin sodium 100 UI/ml
Injekció Dopamine hydrochloride 3.2 mg/ml
314
Összeegyeztethető
Injekció Heparin sodium 1 UI/ml
Injekció Dopamine hydrochloride 40 mg/ml
Ringer-laktát oldat 1228
Összeegyeztethető
Injekció Heparin sodium 200 UI/ml
Injekció Dopamine hydrochloride 0.8 mg/ml
5% glükóz 738
Összeegyeztethető
Injekció Heparin sodium 1 UI/ml
Injekció Dopamine hydrochloride 40 mg/ml
5% glükóz 1228
Összeegyeztethető
Injekció Heparin sodium 100 UI/ml
Injekció Dopamine hydrochloride 3,2 mg/ml
4389
Meghatározatlan összeférhetetlenség Összeegyeztethetetlen
Injekció Heparin sodium 187 UI/ml
Injekció Dopamine hydrochloride 1,7 >> 3,4 mg/ml
5% glükóz 377
Összeegyeztethető
Injekció Heparin sodium 100 UI/ml
Injekció Doripenem 5 mg/ml
0,9% nátrium-klorid 2262
Összeegyeztethető
Injekció Heparin sodium 100 UI/ml
Injekció Doripenem 5 mg/ml
5% glükóz 2262
Összeegyeztethető
Injekció Heparin sodium 1 UI/ml
Injekció Doxapram hydrochloride 2 mg/ml
5% glükóz 1802
Meghatározatlan összeférhetetlenség Összeegyeztethetetlen
Injekció Heparin sodium
Injekció Doxorubicin hydrochloride
3540
Azonnali csapadék Összeegyeztethetetlen
Injekció Heparin sodium
Injekció Doxorubicin hydrochloride
3645
Azonnali csapadék Összeegyeztethetetlen
Injekció Heparin sodium 1000 UI/ml
Injekció Doxorubicin hydrochloride 2 mg/ml
763
Összeegyeztethető
Injekció Heparin sodium 1000 UI/ml
Injekció Doxorubicin hydrochloride liposome peg 0.4 mg/ml
5% glükóz 251
Meghatározatlan összeférhetetlenség Összeegyeztethetetlen
Injekció Heparin sodium 50 UI/ml
Injekció Doxycycline hyclate 1 mg/ml
Egy sem 317
Azonnali csapadék Összeegyeztethetetlen
Injekció Heparin sodium 1000 UI/ml
Injekció Droperidol 2,5 mg/ml
763
Összeegyeztethető
Injekció Heparin sodium 1 UI/ml
Injekció Droperidol 1.25 mg/ml
0,9% nátrium-klorid 1228
Összeegyeztethető
Injekció Heparin sodium 1 UI/ml
Injekció Droperidol 1.25 mg/ml
Ringer-laktát oldat 1228
Összeegyeztethető
Injekció Heparin sodium 1 UI/ml
Injekció Droperidol 1.25 mg/ml
5% glükóz 1228
Meghatározatlan összeférhetetlenség Összeegyeztethetetlen
Injekció Heparin sodium
Injekció Droperidol
3540
Összeegyeztethető
Injekció Heparin sodium 45,45 UI/ml
Injekció Enalaprilate 0,011 mg/ml
5% glükóz 963
Összeegyeztethető
Injekció Heparin sodium 40 UI/ml
Injekció Enalaprilate 0.05 mg/ml
0,9% nátrium-klorid 1315
Összeegyeztethető
Injekció Heparin sodium 50 UI/ml
Injekció Enalaprilate 0.0125 mg/ml
0,9% nátrium-klorid 1703
Összeegyeztethető
Injekció Heparin sodium 1 UI/ml
Injekció Epinephrine hydrochloride 100 µg/ml
Ringer-laktát oldat 1228
Összeegyeztethető
Injekció Heparin sodium 100 UI/ml
Injekció Epinephrine hydrochloride 20 µg/ml
314
Összeegyeztethető
Injekció Heparin sodium 1 UI/ml
Injekció Epinephrine hydrochloride 100 µg/ml
0,9% nátrium-klorid 1228
Összeegyeztethető
Injekció Heparin sodium 1 UI/ml
Injekció Epinephrine hydrochloride 100 µg/ml
5% glükóz 1228
Meghatározatlan összeférhetetlenség Összeegyeztethetetlen
Injekció Heparin sodium
Injekció Epirubicin hydrochloride
3632
Összeegyeztethető
Injekció Heparin sodium
Injekció Eptifibatide
3934
Összeegyeztethető
Injekció Heparin sodium 1000 UI/ml
Injekció Eravacycline 0,6 mg/ml
0,9% nátrium-klorid 4434
Azonnali zavarosság Összeegyeztethetetlen
Injekció Heparin sodium 1 UI/ml
Injekció Ergotamine tartrate 0.5 mg/ml
0,9% nátrium-klorid 1228
Csapadék 4 óra után Összeegyeztethetetlen
Injekció Heparin sodium 1 UI/ml
Injekció Ergotamine tartrate 0.5 mg/ml
Ringer-laktát oldat 1228
Csapadék 4 óra után Összeegyeztethetetlen
Injekció Heparin sodium 1 UI/ml
Injekció Ergotamine tartrate 0.5 mg/ml
5% glükóz 1228
Összeegyeztethető
Injekció Heparin sodium 50 & 100 UI/ml
Injekció Ertapenem 10 & 20 mg/ml
0,9% nátrium-klorid 1906
Összeegyeztethető
Injekció Heparin sodium 50 UI/ml
Injekció Erythromycin lactobionate 3.3 mg/ml
Egy sem 317
Meghatározatlan összeférhetetlenség Összeegyeztethetetlen
Injekció Heparin sodium
Injekció Erythromycin lactobionate
3674
Meghatározatlan összeférhetetlenség Összeegyeztethetetlen
Injekció Heparin sodium
Injekció Erythromycin lactobionate
3540
Összeegyeztethető
Injekció Heparin sodium 50 UI/ml
Injekció Esmolol hydrochloride 6 mg/ml
5% glükóz 174
Összeegyeztethető
Injekció Heparin sodium 40 UI/ml
Injekció Esmolol hydrochloride 10 mg/ml
5% glükóz 384
Összeegyeztethető
Injekció Heparin sodium 500 UI/ml
Injekció Esmolol hydrochloride 10 mg/ml
0,9% nátrium-klorid 3823
Azonnali csapadék Összeegyeztethetetlen
Injekció Heparin sodium 1000 UI/ml
Injekció Ethanol 70 %
Injekcióhoz való víz + antibakteriális szer 2221
Azonnali csapadék Összeegyeztethetetlen
Injekció Heparin sodium 1000 UI/ml
Injekció Ethanol 70 %
Injekcióhoz való víz 2221
Csapadék 1 óra után Összeegyeztethetetlen
Injekció Heparin sodium 10 UI/ml
Injekció Ethanol 70 %
Injekcióhoz való víz + antibakteriális szer 2221
Azonnali csapadék Összeegyeztethetetlen
Injekció Heparin sodium 10 UI/ml
Injekció Ethanol 70 %
Injekcióhoz való víz 2221
Összeegyeztethető
Injekció Heparin sodium 100 UI/ml
Injekció Etoposide phosphate 5 mg/ml
5% glükóz 1410
Összeegyeztethető
Injekció Heparin sodium 40 UI/ml
Injekció Famotidine
5% glükóz 397
Összeegyeztethető
Injekció Heparin sodium 50 UI/ml
Injekció Famotidine 0.2 mg/ml
5% glükóz 398
Összeegyeztethető
Injekció Heparin sodium 40 UI/ml
Injekció Famotidine 2 mg/ml
0,9% nátrium-klorid 215
Összeegyeztethető
Injekció Heparin sodium 100 UI/ml
Injekció Fenoldopam mesylate 80 µg/ml
0,9% nátrium-klorid 1803
Összeegyeztethető
Injekció Heparin sodium 100 UI/ml
Injekció Fentanyl citrate 50 µg/ml
4389
Összeegyeztethető
Injekció Heparin sodium 1 UI/ml
Injekció Fentanyl citrate 50 µg/ml
5% glükóz 1228
Összeegyeztethető
Injekció Heparin sodium 1 UI/ml
Injekció Fentanyl citrate 50 µg/ml
Ringer-laktát oldat 1228
Összeegyeztethető
Injekció Heparin sodium 1 UI/ml
Injekció Fentanyl citrate 50 µg/ml
0,9% nátrium-klorid 1228
Összeegyeztethető
Injekció Heparin sodium 100 UI/ml
Injekció Fentanyl citrate 50 µg/ml
314
Azonnali csapadék Összeegyeztethetetlen
Injekció Heparin sodium 100 UI/ml
Injekció Filgrastim 30 µg/ml
5% glükóz 244
Összeegyeztethető
Injekció Heparin sodium 1000 UI/ml
Injekció Fluconazole 2 mg/ml
0,9% nátrium-klorid 496
Összeegyeztethető
Injekció Heparin sodium 50 UI/ml
Injekció Fluconazole 2 mg/ml
Egy sem 317
Összeegyeztethető
Injekció Heparin sodium 40 >> 1000 UI/ml
Injekció Fludarabine phosphate 1 mg/ml
5% glükóz 492
Összeegyeztethető
Injekció Heparin sodium 50 UI/ml
Injekció Flumazenil 0,02 mg/ml
5% glükóz 187
Összeegyeztethető
Injekció Heparin sodium 5 UI/ml
Injekció Fluorouracil 0,8 mg/ml
0,9% nátrium-klorid 156
Összeegyeztethető
Injekció Heparin sodium 5 UI/ml
Injekció Fluorouracil 0,8 mg/ml
5% glükóz 156
Összeegyeztethető
Injekció Heparin sodium 1 UI/ml
Injekció Fluorouracil 50 mg/ml
0,9% nátrium-klorid 1228
Összeegyeztethető
Injekció Heparin sodium 960 UI/ml
Injekció Fluorouracil 24 mg/ml
5% glükóz 163
Összeegyeztethető
Injekció Heparin sodium 1 UI/ml
Injekció Fluorouracil 50 mg/ml
5% glükóz 1228
Összeegyeztethető
Injekció Heparin sodium 1000 UI/ml
Injekció Fluorouracil 50 mg/ml
763
Összeegyeztethető
Injekció Heparin sodium 1 UI/ml
Injekció Fluorouracil 50 mg/ml
Ringer-laktát oldat 1228
Összeegyeztethető
Injekció Heparin sodium 1000 UI/ml
Injekció Folinate calcium 10 mg/ml
763
Összeegyeztethető
Injekció Heparin sodium 100 UI/ml
Injekció Foscarnet sodium 24 mg/ml
5% glükóz 1135
Összeegyeztethető
Injekció Heparin sodium 100 UI/ml
Injekció Foscarnet sodium 24 mg/ml
0,9% nátrium-klorid 1135
Összeegyeztethető
Injekció Heparin sodium 1000 UI/ml
Injekció Foscarnet sodium 24 mg/ml
Egy sem 73
Összeegyeztethető
Injekció Heparin sodium 1000 UI/ml
Injekció Fosfomycin 30 mg/ml
5% glükóz 4055
Összeegyeztethető
Injekció Heparin sodium 1000 UI/ml
Injekció Fosfomycin 30 mg/ml
0,9% nátrium-klorid 4055
Összeegyeztethető
Injekció Heparin sodium 100 UI/ml
Injekció Furosemide 10 mg/ml
314
Összeegyeztethető
Injekció Heparin sodium 1 UI/ml
Injekció Furosemide 10 mg/ml
0,9% nátrium-klorid 1228
Csapadék 5 óra után Összeegyeztethetetlen
Injekció Heparin sodium 100 UI/ml
Injekció Furosemide 10 mg/ml
5% glükóz 4724
Összeegyeztethető
Injekció Heparin sodium 20 UI/ml
Injekció Furosemide 1 mg/ml
0,9% nátrium-klorid 1232
Összeegyeztethető
Injekció Heparin sodium 58,34 UI/ml
Injekció Furosemide 5,21 mg/ml
5% glükóz 1289
Összeegyeztethető
Injekció Heparin sodium
Injekció Furosemide
3465
Összeegyeztethető
Injekció Heparin sodium 1 UI/ml
Injekció Furosemide 10 mg/ml
Ringer-laktát oldat 1228
Összeegyeztethető
Injekció Heparin sodium 1000 UI/ml
Injekció Furosemide 10 mg/ml
763
Összeegyeztethető
Injekció Heparin sodium 10 UI/ml
Injekció Furosemide 10 mg/ml
Egy sem 3210
Összeegyeztethető
Injekció Heparin sodium 500 UI/ml
Injekció Furosemide 10 mg/ml
0,9% nátrium-klorid 3823
Összeegyeztethető
Injekció Heparin sodium 500 UI/ml
Injekció Furosemide 10 mg/ml
Egy sem 3134
Összeegyeztethető
Injekció Heparin sodium 1 UI/ml
Injekció Furosemide 10 mg/ml
5% glükóz 1228
Összeegyeztethető
Injekció Heparin sodium 40 UI/ml
Injekció Gallium nitrate 1 mg/ml
0,9% nátrium-klorid 91
Összeegyeztethető
Injekció Heparin sodium 100 UI/ml
Injekció Gemcitabine hydrochloride 10 mg/ml
0,9% nátrium-klorid 1423
Azonnali zavarosság Összeegyeztethetetlen
Injekció Heparin sodium 2500 UI/ml
Injekció Gentamicin sulfate 3 mg/ml
4612
Meghatározatlan összeférhetetlenség Összeegyeztethetetlen
Injekció Heparin sodium
Injekció Gentamicin sulfate
3520
Meghatározatlan összeférhetetlenség Összeegyeztethetetlen
Injekció Heparin sodium
Injekció Gentamicin sulfate
3643
Azonnali csapadék Összeegyeztethetetlen
Injekció Heparin sodium
Injekció Gentamicin sulfate
1022
Meghatározatlan összeférhetetlenség Összeegyeztethetetlen
Injekció Heparin sodium 50 UI/ml
Injekció Gentamicin sulfate 2 mg/ml
Egy sem 317
Azonnali csapadék Összeegyeztethetetlen
Injekció Heparin sodium 10 >> 40 UI/ml
Injekció Gentamicin sulfate 4 >> 40 mg/ml
1258
Azonnali csapadék Összeegyeztethetetlen
Injekció Heparin sodium 2500 UI/ml
Injekció Gentamicin sulfate 4 & 5 mg/ml
4612
Meghatározatlan összeférhetetlenség Összeegyeztethetetlen
Injekció Heparin sodium
Injekció Gentamicin sulfate
3540
Összeegyeztethető
Injekció Heparin sodium 2500 UI/ml
Injekció Gentamicin sulfate 1 & 2 mg/ml
4612
Összeegyeztethető
Injekció Heparin sodium 50 UI/ml
Injekció Glycerophosphate disodium
0,9% nátrium-klorid 4332
Összeegyeztethető
Injekció Heparin sodium 100 UI/ml
Injekció Granisetron hydrochloride 0.05 mg/ml
5% glükóz 182
Azonnali csapadék Összeegyeztethetetlen
Injekció Heparin sodium 100 & 200 UI/ml
Injekció Haloperidol lactate 5 mg/ml
5% glükóz 617
Azonnali csapadék Összeegyeztethetetlen
Injekció Heparin sodium 100 & 200 UI/ml
Injekció Haloperidol lactate 5 mg/ml
0,9% nátrium-klorid 617
Összeegyeztethető
Injekció Heparin sodium 500 UI/ml
Injekció Haloperidol lactate 0.5 mg/ml
0,9% nátrium-klorid 3823
Meghatározatlan összeférhetetlenség Összeegyeztethetetlen
Injekció Heparin sodium
Injekció Haloperidol lactate
3540
Összeegyeztethető
Injekció Heparin sodium 100 UI/ml
Injekció Hetastarch 60 mg/ml
egyedi oldószer 1721
Meghatározatlan összeférhetetlenség Összeegyeztethetetlen
Injekció Heparin sodium
Injekció Hyaluronidase
3617
Meghatározatlan összeférhetetlenség Összeegyeztethetetlen
Injekció Heparin sodium
Injekció Hyaluronidase
3184
Meghatározatlan összeférhetetlenség Összeegyeztethetetlen
Injekció Heparin sodium
Injekció Hyaluronidase
3540
Összeegyeztethető
Injekció Heparin sodium 1 UI/ml
Injekció Hydralazine hydrochloride 20 mg/ml
5% glükóz 1228
Összeegyeztethető
Injekció Heparin sodium 1 UI/ml
Injekció Hydralazine hydrochloride 20 mg/ml
Ringer-laktát oldat 1228
Összeegyeztethető
Injekció Heparin sodium 1 UI/ml
Injekció Hydralazine hydrochloride 20 mg/ml
0,9% nátrium-klorid 1228
Összeegyeztethető
Injekció Heparin sodium 100 UI/ml
Injekció Hydrocortisone sodium succinate 125 mg/ml
0,9% nátrium-klorid 132
Meghatározatlan összeférhetetlenség Összeegyeztethetetlen
Injekció Heparin sodium
Injekció Hydrocortisone sodium succinate
3540
Összeegyeztethető
Injekció Heparin sodium 50 UI/ml
Injekció Hydrocortisone sodium succinate 2 mg/ml
Egy sem 317
Összeegyeztethető
Injekció Heparin sodium 100 UI/ml
Injekció Hydrocortisone sodium succinate 125 mg/ml
5% glükóz 132
Összeegyeztethető
Injekció Heparin sodium
Injekció Hydromorphone hydrochloride <12.5 mg/ml
0,9% nátrium-klorid 66
Összeegyeztethető
Injekció Heparin sodium 100 UI/ml
Injekció Hydromorphone hydrochloride 1 mg/ml
314
Azonnali csapadék Összeegyeztethetetlen
Injekció Heparin sodium <12,5 UI/ml
Injekció Hydromorphone hydrochloride >25 mg/ml
0,9% nátrium-klorid 66
Összeegyeztethető
Injekció Heparin sodium
Injekció Hydromorphone hydrochloride <12.5 mg/ml
Injekcióhoz való víz 66
Azonnali csapadék Összeegyeztethetetlen
Injekció Heparin sodium <1 UI/ml
Injekció Hydromorphone hydrochloride >10 mg/ml
Injekcióhoz való víz 66
Azonnali csapadék Összeegyeztethetetlen
Injekció Heparin sodium <12,5 UI/ml
Injekció Hydromorphone hydrochloride >25 mg/ml
Injekcióhoz való víz 66
Összeegyeztethető
Injekció Heparin sodium 100 UI/ml
Injekció Ibuprofen lysinate 10 mg/ml
Injekcióhoz való víz 4419
Összeegyeztethető
Injekció Heparin sodium 10 UI/ml
Injekció Ibuprofen lysinate 10 mg/ml
Injekcióhoz való víz 4419
Azonnali zavarosság Összeegyeztethetetlen
Injekció Heparin sodium 100 & 1000 UI/ml
Injekció Idarubicin hydrochloride 1 mg/ml
0,9% nátrium-klorid 491
Azonnali csapadék Összeegyeztethetetlen
Injekció Heparin sodium
Injekció Idarubicin hydrochloride
5075
Összeegyeztethető
Injekció Heparin sodium
Injekció Imipenem-Cilastatin / Relebactam
4809
Összeegyeztethető
Injekció Heparin sodium 1000 UI/ml
Injekció Imipenem-Cilastatin / Relebactam 5 mg/ml
0,9% nátrium-klorid 4433
Összeegyeztethető
Injekció Heparin sodium 1000 UI/ml
Injekció Imipenem-Cilastatin / Relebactam 5 mg/ml
5% glükóz 4433
Összeegyeztethető
Injekció Heparin sodium 500 UI/ml
Injekció Insulin 2 UI/ml
0,9% nátrium-klorid 3823
Összeegyeztethető
Injekció Heparin sodium 60 UI/ml
Injekció Insulin 0.2 UI/ml
0,9% nátrium-klorid 129
Összeegyeztethető
Injekció Heparin sodium 50 & 400 UI/ml
Injekció Insulin aspart 1 UI/ml
5% glükóz 1508
Összeegyeztethető
Injekció Heparin sodium 50 & 400 UI/ml
Injekció Insulin aspart 1 UI/ml
0,9% nátrium-klorid 1508
Összeegyeztethető
Injekció Heparin sodium 10000 UI/ml
Injekció Iohexol 300 mg I/ml
Egy sem 1085
Összeegyeztethető
Injekció Heparin sodium 10000 UI/ml
Injekció Ioxaglate 320 mg I/ml
Egy sem 1085
Azonnali zavarosság Összeegyeztethetetlen
Injekció Heparin sodium 1000 UI/ml
Injekció Isavuconazonium sulfate 1.5 mg/ml
0,9% nátrium-klorid 3829
Azonnali zavarosság Összeegyeztethetetlen
Injekció Heparin sodium 1000 UI/ml
Injekció Isavuconazonium sulfate 1.5 mg/ml
5% glükóz 3829
Összeegyeztethető
Injekció Heparin sodium 1 UI/ml
Injekció Isoprenaline hydrochloride 0.2 mg/ml
5% glükóz 1228
Összeegyeztethető
Injekció Heparin sodium 1 UI/ml
Injekció Isoprenaline hydrochloride 0.2 mg/ml
0,9% nátrium-klorid 1228
Összeegyeztethető
Injekció Heparin sodium 1 UI/ml
Injekció Isoprenaline hydrochloride 0.2 mg/ml
Ringer-laktát oldat 1228
Meghatározatlan összeférhetetlenség Összeegyeztethetetlen
Injekció Heparin sodium
Injekció Kanamycin sulfate
3540
Azonnali csapadék Összeegyeztethetetlen
Injekció Heparin sodium 25000 UI/ml
Injekció Ketamine hydrochloride 50 mg/ml
2109
Összeegyeztethető
Injekció Heparin sodium 100 UI/ml
Injekció Labetalol hydrochloride 2 mg/ml
314
Meghatározatlan összeférhetetlenség Összeegyeztethetetlen
Injekció Heparin sodium 500 UI/ml
Injekció Labetalol hydrochloride 4 mg/ml
0,9% nátrium-klorid 3823
Meghatározatlan összeférhetetlenség Összeegyeztethetetlen
Injekció Heparin sodium
Injekció Labetalol hydrochloride
3540
Azonnali csapadék Összeegyeztethetetlen
Injekció Heparin sodium 100 UI/ml
Injekció Labetalol hydrochloride 5 mg/ml
5% glükóz 295
Összeegyeztethető
Injekció Heparin sodium 40 UI/ml
Injekció Labetalol hydrochloride 1 mg/ml
5% glükóz 386
Összeegyeztethető
Injekció Heparin sodium 100 UI/ml
Injekció Lansoprazole 0.55 mg/ml
0,9% nátrium-klorid 1625
Zavarosság 4 óra alatt Összeegyeztethetetlen
Injekció Heparin sodium 100 UI/ml
Injekció Levetiracetam 100 mg/ml
5% glükóz 4108
Azonnali zavarosság Összeegyeztethetetlen
Injekció Heparin sodium 208,3 UI/ml
Injekció Levetiracetam 15 mg/ml
0,9% nátrium-klorid 4698
Meghatározatlan összeférhetetlenség Összeegyeztethetetlen
Injekció Heparin sodium
Injekció Levofloxacine
3920
Azonnali csapadék Összeegyeztethetetlen
Injekció Heparin sodium 10 UI/ml
Injekció Levofloxacine 5 mg/ml
5% glükóz 1072
Meghatározatlan összeférhetetlenség Összeegyeztethetetlen
Injekció Heparin sodium
Injekció Levomepromazine
3540
Összeegyeztethető
Injekció Heparin sodium 100 UI/ml
Injekció Levosimendan 2,5 mg/ml
5% glükóz 4389
Összeegyeztethető
Injekció Heparin sodium 50 UI/ml
Injekció Lidocaine hydrochloride 4 mg/ml
Egy sem 317
Összeegyeztethető
Injekció Heparin sodium 1000 UI/ml
Injekció Linezolid 2 mg/ml
Egy sem 1925
Összeegyeztethető
Injekció Heparin sodium 10 >> 10000 UI/ml
Injekció Linezolid 0.2 >> 1.92 mg/ml
0,9% nátrium-klorid 2057
Összeegyeztethető
Injekció Heparin sodium 417 UI/ml
Injekció Lorazepam 0.33 mg/ml
0,9% nátrium-klorid 186
Összeegyeztethető
Injekció Heparin sodium 100 UI/ml
Injekció Lorazepam 0.5 mg/ml
314
Összeegyeztethető
Injekció Heparin sodium 1 UI/ml
Injekció Magnesium sulfate 5 mg/ml
0,9% nátrium-klorid 1228
Összeegyeztethető
Injekció Heparin sodium 50 UI/ml
Injekció Magnesium sulfate 15.6 mg/ml
0,9% nátrium-klorid 2100
Összeegyeztethető
Injekció Heparin sodium 1 UI/ml
Injekció Magnesium sulfate 5 mg/ml
Ringer-laktát oldat 1228
Összeegyeztethető
Injekció Heparin sodium 1 UI/ml
Injekció Magnesium sulfate 5 mg/ml
5% glükóz 1228
Összeegyeztethető
Injekció Heparin sodium 100 UI/ml
Injekció Melphalan 0.1 mg/ml
0,9% nátrium-klorid 169
Összeegyeztethető
Injekció Heparin sodium 0.5 UI/ml
Injekció Meropenem 0.5 mg/ml
Dianéal® 4.25% glucose (Baxter) 4180
Összeegyeztethető
Injekció Heparin sodium 0.5 UI/ml
Injekció Meropenem 0.5 mg/ml
Extraneal® (Baxter) 4180
Összeegyeztethető
Injekció Heparin sodium 1000 UI/ml
Injekció Meropenem 50 mg/ml
Injekcióhoz való víz 4319
Összeegyeztethető
Injekció Heparin sodium 1 UI/ml
Injekció Meropenem 1 & 50 mg/ml
0,9% nátrium-klorid 266
Összeegyeztethető
Injekció Heparin sodium 0.5 UI/ml
Injekció Meropenem 0.5 mg/ml
Dianéal® 1.5% glucose (Baxter) 4180
Összeegyeztethető
Injekció Heparin sodium 20 UI/ml
Injekció Meropenem 1 & 20 mg/ml
0,9% nátrium-klorid 266
Összeegyeztethető
Injekció Heparin sodium 0.5 UI/ml
Injekció Meropenem 0.5 mg/ml
Dianéal® 2.5% glucose (Baxter) 4180
Összeegyeztethető
Injekció Heparin sodium 50 UI/ml
Injekció Methadone hydrochloride 0.2 mg/ml
5% glükóz 1506
Összeegyeztethető
Injekció Heparin sodium 50 UI/ml
Injekció Methadone hydrochloride 0.2 mg/ml
0,9% nátrium-klorid 1506
Meghatározatlan összeférhetetlenség Összeegyeztethetetlen
Injekció Heparin sodium
Injekció Methotrexate sodium
3637
Összeegyeztethető
Injekció Heparin sodium 1000 UI/ml
Injekció Methotrexate sodium 25 mg/ml
763
Összeegyeztethető
Injekció Heparin sodium 500 UI/ml
Injekció Methotrexate sodium 30 mg/ml
0,9% nátrium-klorid 150
Összeegyeztethető
Injekció Heparin sodium 100 UI/ml
Injekció Methylprednisolone sodium succinate 5 mg/ml
5% glükóz 132
Összeegyeztethető
Injekció Heparin sodium 50 UI/ml
Injekció Methylprednisolone sodium succinate 2.5 mg/ml
Egy sem 317
Összeegyeztethető
Injekció Heparin sodium 100 UI/ml
Injekció Methylprednisolone sodium succinate 5 mg/ml
0,9% nátrium-klorid 132
Összeegyeztethető
Injekció Heparin sodium 1000 UI/ml
Injekció Metoclopramide hydrochloride 5 mg/ml
763
Kémiai instabilitás Összeegyeztethetetlen
Injekció Heparin sodium 1000 UI/ml
Injekció Metoprolol tartrate 1 mg/ml
Egy sem 2346
Összeegyeztethető
Injekció Heparin sodium 50 UI/ml
Injekció Metronidazole 5 mg/ml
Egy sem 317
Összeegyeztethető
Injekció Heparin sodium 100 UI/ml
Injekció Micafungin 1.5 mg/ml
0,9% nátrium-klorid 2108
Azonnali zavarosság Összeegyeztethetetlen
Injekció Heparin sodium 208,3 UI/ml
Injekció Midazolam hydrochloride 1 mg/ml
0,9% nátrium-klorid 4698
Összeegyeztethető
Injekció Heparin sodium 500 UI/ml
Injekció Midazolam hydrochloride 2.1 mg/ml
0,9% nátrium-klorid 3823
Összeegyeztethető
Injekció Heparin sodium 417 UI/ml
Injekció Midazolam hydrochloride 5 mg/ml
Egy sem 186
Összeegyeztethető
Injekció Heparin sodium 100 UI/ml
Injekció Midazolam hydrochloride 5 mg/ml
4389
Összeegyeztethető
Injekció Heparin sodium 100 UI/ml
Injekció Midazolam hydrochloride 2 mg/ml
314
Összeegyeztethető
Injekció Heparin sodium 200 UI/ml
Injekció Milrinone lactate 0.8 mg/ml
5% glükóz 813
Összeegyeztethető
Injekció Heparin sodium 100 UI/ml
Injekció Milrinone lactate 0.2 mg/ml
314
Összeegyeztethető
Injekció Heparin sodium 1 UI/ml
Injekció Minocycline hydrochloride 0.2 mg/ml
5% glükóz 1228
Összeegyeztethető
Injekció Heparin sodium 1 UI/ml
Injekció Minocycline hydrochloride 0.2 mg/ml
Ringer-laktát oldat 1228
Összeegyeztethető
Injekció Heparin sodium 1 UI/ml
Injekció Minocycline hydrochloride 0.2 mg/ml
0,9% nátrium-klorid 1228
Meghatározatlan összeférhetetlenség Összeegyeztethetetlen
Injekció Heparin sodium
Injekció Mitoxantrone dihydrochloride
3640
Meghatározatlan összeférhetetlenség Összeegyeztethetetlen
Injekció Heparin sodium
Injekció Morphine hydrochloride
5069
Összeegyeztethető
Injekció Heparin sodium 100 & 200 UI/ml
Injekció Morphine sulfate 1 >> 5 mg/ml
Injekcióhoz való víz 341
Összeegyeztethető
Injekció Heparin sodium 1 UI/ml
Injekció Morphine sulfate 15 mg/ml
Ringer-laktát oldat 1228
Meghatározatlan összeférhetetlenség Összeegyeztethetetlen
Injekció Heparin sodium
Injekció Morphine sulfate
3531
Összeegyeztethető
Injekció Heparin sodium 1 UI/ml
Injekció Morphine sulfate 15 mg/ml
5% glükóz 1228
Összeegyeztethető
Injekció Heparin sodium 1 UI/ml
Injekció Morphine sulfate 15 mg/ml
0,9% nátrium-klorid 1228
Összeegyeztethető
Injekció Heparin sodium 60 UI/ml
Injekció Morphine sulfate 1 mg/ml
0,9% nátrium-klorid 406
Összeegyeztethető
Injekció Heparin sodium 100 & 200 UI/ml
Injekció Morphine sulfate 10 mg/ml
Injekcióhoz való víz 341
Összeegyeztethető
Injekció Heparin sodium 100 UI/ml
Injekció Morphine sulfate 2 mg/ml
314
Kémiai instabilitás Összeegyeztethetetlen
Injekció Heparin sodium 100 & 200 UI/ml
Injekció Morphine sulfate 1 >> 10 mg/ml
0,9% nátrium-klorid 341
Összeegyeztethető
Injekció Heparin sodium 1000 UI/ml
Injekció N-acetylcysteine 200 mg/ml
Egy sem 3766
Összeegyeztethető
Injekció Heparin sodium 50 UI/ml
Injekció Nafcillin sodium 20 mg/ml
Egy sem 317
Összeegyeztethető
Injekció Heparin sodium 1000 UI/ml
Injekció Naloxone hydrochloride 0.4 mg/ml
Egy sem 3408
Azonnali zavarosság Összeegyeztethetetlen
Injekció Heparin sodium 208,3 UI/ml
Injekció Nefopam 1,7 mg/ml
0,9% nátrium-klorid 4698
Összeegyeztethető
Injekció Heparin sodium 1 UI/ml
Injekció Neostigmine methylsulfate 0.5 mg/ml
5% glükóz 1228
Összeegyeztethető
Injekció Heparin sodium 1 UI/ml
Injekció Neostigmine methylsulfate 0.5 mg/ml
0,9% nátrium-klorid 1228
Összeegyeztethető
Injekció Heparin sodium 1 UI/ml
Injekció Neostigmine methylsulfate 0.5 mg/ml
Ringer-laktát oldat 1228
Meghatározatlan összeférhetetlenség Összeegyeztethetetlen
Injekció Heparin sodium
Injekció Nesiritide
5048
Meghatározatlan összeférhetetlenség Összeegyeztethetetlen
Injekció Heparin sodium
Injekció Netilmicin sulfate
3540
Azonnali csapadék Összeegyeztethetetlen
Injekció Heparin sodium
Injekció Netilmicin sulfate
1022
Azonnali csapadék Összeegyeztethetetlen
Injekció Heparin sodium 100 UI/ml
Injekció Nicardipine hydrochloride 1 mg/ml
314
Meghatározatlan összeférhetetlenség Összeegyeztethetetlen
Injekció Heparin sodium
Injekció Nicardipine hydrochloride
3540
Összeegyeztethető
Injekció Heparin sodium 40 UI/ml
Injekció Nicardipine hydrochloride 0.1 mg/ml
5% glükóz 1490
Összeegyeztethető
Injekció Heparin sodium 40 UI/ml
Injekció Nicardipine hydrochloride 0.1 mg/ml
0,9% nátrium-klorid 1490
Azonnali csapadék Összeegyeztethetetlen
Injekció Heparin sodium 100 UI/ml
Injekció Nitroglycerin 1,6 >> 3,25 mg/ml
5% glükóz 295
Összeegyeztethető
Injekció Heparin sodium 500 UI/ml
Injekció Nitroglycerin 0.2 mg/ml
0,9% nátrium-klorid 3823
Gázbuborékok előállítása Összeegyeztethetetlen
Injekció Heparin sodium 50 UI/ml
Injekció Nitroglycerin 0.2 mg/ml
Egy sem 317
Összeegyeztethető
Injekció Heparin sodium 500 UI/ml
Injekció Nitroglycerin 0.2 mg/ml
5% glükóz 3823
Összeegyeztethető
Injekció Heparin sodium 100 UI/ml
Injekció Nitroglycerin 0.4 mg/ml
314
Összeegyeztethető
Injekció Heparin sodium 50 UI/ml
Injekció Nitroprusside sodium 0.2 mg/ml
Egy sem 317
Összeegyeztethető
Injekció Heparin sodium 100 UI/ml
Injekció Nitroprusside sodium 0.2 mg/ml
5% glükóz 295
Összeegyeztethető
Injekció Heparin sodium 100 UI/ml
Injekció Norepinephrine bitartrate 0.128 mg/ml
314
Meghatározatlan összeférhetetlenség Összeegyeztethetetlen
Injekció Heparin sodium
Injekció Ofloxacin
3562
Összeegyeztethető
Injekció Heparin sodium 40 UI/ml
Injekció Ondansetron hydrochloride 1 mg/ml
0,9% nátrium-klorid 334
Összeegyeztethetetlen
Injekció Heparin sodium 200 UI/ml
Injekció Ondansetron hydrochloride 1.6 mg/ml
1699
Azonnali zavarosság Összeegyeztethetetlen
Injekció Heparin sodium 100 UI/ml
Injekció Oritavancin 0.8 >>1.2 mg/ml
5% glükóz 3152
Csapadék 4 óra után Összeegyeztethetetlen
Injekció Heparin sodium 100 UI/ml
Injekció Oritavancin 2 mg/ml
5% glükóz 3152
Összeegyeztethető
Injekció Heparin sodium 208 UI/ml
Injekció Ornidazole 31.25 mg/ml
0,9% nátrium-klorid 4254
Összeegyeztethető
Injekció Heparin sodium 1 UI/ml
Injekció Oxacillin sodium 100 mg/ml
5% glükóz 1228
Összeegyeztethető
Injekció Heparin sodium 1 UI/ml
Injekció Oxacillin sodium 100 mg/ml
Ringer-laktát oldat 1228
Összeegyeztethető
Injekció Heparin sodium 1 UI/ml
Injekció Oxacillin sodium 100 mg/ml
0,9% nátrium-klorid 1228
Összeegyeztethető
Injekció Heparin sodium 100 UI/ml
Injekció Oxaliplatin 0,5 mg/ml
5% glükóz 1662
Meghatározatlan összeférhetetlenség Összeegyeztethetetlen
Injekció Heparin sodium
Injekció Oxytetracycline hydrochloride
3540
Összeegyeztethető
Injekció Heparin sodium 100 UI/ml
Injekció Paclitaxel 1.2 mg/ml
5% glükóz 248
Összeegyeztethető
Injekció Heparin sodium 100 UI/ml
Injekció Palonosetron hydrochloride 50 µg/ml
5% glükóz 2279
Összeegyeztethető
Injekció Heparin sodium 40 UI/ml
Injekció Pancuronium bromide 0.05 mg/ml
5% glükóz 402
Csapadék 1 óra után Összeegyeztethetetlen
Injekció Heparin sodium
Injekció Pantoprazole sodium
2090
Összeegyeztethető
Injekció Heparin sodium 208,3 UI/ml
Injekció Paracetamol 10 mg/ml
0,9% nátrium-klorid 4698
Összeegyeztethető
Injekció Heparin sodium 1000 UI/ml
Injekció Paracetamol 10 mg/ml
4742
Összeegyeztethető
Injekció Heparin sodium 100 UI/ml
Injekció Pemetrexed disodium 20 mg/ml
0,9% nátrium-klorid 1953
Meghatározatlan összeférhetetlenség Összeegyeztethetetlen
Injekció Heparin sodium
Injekció Penicillin G potassium
3540
Összeegyeztethető
Injekció Heparin sodium 50 UI/ml
Injekció Penicillin G potassium 0.04 MUI/ml
Egy sem 317
Meghatározatlan összeférhetetlenség Összeegyeztethetetlen
Injekció Heparin sodium
Injekció Penicillin G sodium
3540
Összeegyeztethető
Injekció Heparin sodium 100 UI/ml
Injekció Pentoxifyllin 5 mg/ml
0,9% nátrium-klorid 4538
Azonnali zavarosság Összeegyeztethetetlen
Injekció Heparin sodium
Injekció Pethidine hydrochloride
3525
Összeegyeztethető
Injekció Heparin sodium 60 UI/ml
Injekció Pethidine hydrochloride 10 mg/ml
0,9% nátrium-klorid 406
Meghatározatlan összeférhetetlenség Összeegyeztethetetlen
Injekció Heparin sodium
Injekció Pethidine hydrochloride
3540
Azonnali csapadék Összeegyeztethetetlen
Injekció Heparin sodium 50 UI/ml
Injekció Phenytoin sodium 2 mg/ml
Egy sem 317
Összeegyeztethető
Injekció Heparin sodium 50 UI/ml
Injekció Piperacillin sodium 60 mg/ml
Egy sem 317
Összeegyeztethető
Injekció Heparin sodium 10 & 5000 UI/ml
Injekció Piperacillin sodium 40 mg/ml
0,9% nátrium-klorid 2037
Összeegyeztethető
Injekció Heparin sodium 0.5 UI/ml
Injekció Piperacillin sodium / tazobactam 0.5/0.0625 mg/ml
Dianéal® 2.5% glucose (Baxter) 4180
Összeegyeztethető
Injekció Heparin sodium 0.5 UI/ml
Injekció Piperacillin sodium / tazobactam 0.5/0.0625 mg/ml
Dianéal® 4.25% glucose (Baxter) 4180
Azonnali zavarosság Összeegyeztethetetlen
Injekció Heparin sodium 1000 UI/ml
Injekció Plazomicin sulfate 24 mg/ml
0,9% nátrium-klorid 4145
Meghatározatlan összeférhetetlenség Összeegyeztethetetlen
Injekció Heparin sodium
Injekció Polymyxine B
3540
Összeegyeztethető
Injekció Heparin sodium 50 UI/ml
Injekció Potassium chloride 200 mEq/l
Egy sem 317
Összeegyeztethető
Injekció Heparin sodium 1 UI/ml
Injekció Procainamide hydrochloride 100 mg/ml
Ringer-laktát oldat 1228
Összeegyeztethető
Injekció Heparin sodium 1 UI/ml
Injekció Procainamide hydrochloride 100 mg/ml
0,9% nátrium-klorid 1228
Összeegyeztethető
Injekció Heparin sodium 1 UI/ml
Injekció Prochlorperazine edysilate 5 mg/ml
0,9% nátrium-klorid 1228
Összeegyeztethető
Injekció Heparin sodium 3 >> 20 UI/ml
Parenterális táplálás (lipid-mentes) 791
Összeegyeztethető
Injekció Heparin sodium 100 UI/ml
Parenterális táplálás (lipid-mentes) 301
Összeegyeztethető
Injekció Heparin sodium 500 UI/ml
Parenterális táplálás (lipid-mentes) 939
Összeegyeztethető
Injekció Heparin sodium 1 UI/ml
Injekció Prochlorperazine edysilate 5 mg/ml
Ringer-laktát oldat 1228
Összeegyeztethető
Injekció Heparin sodium 1 UI/ml
Injekció Promethazine hydrochloride 50 mg/ml
0,9% nátrium-klorid 1228
Összeegyeztethető
Injekció Heparin sodium 1 UI/ml
Injekció Promethazine hydrochloride 50 mg/ml
Ringer-laktát oldat 1228
Összeegyeztethető
Injekció Heparin sodium 1 UI/ml
Injekció Propranolol hydrochloride 1 mg/ml
Ringer-laktát oldat 1228
Összeegyeztethető
Injekció Heparin sodium 1 UI/ml
Injekció Propranolol hydrochloride 1 mg/ml
0,9% nátrium-klorid 1228
Összeegyeztethető
Injekció Heparin sodium 50 UI/ml
Injekció Ranitidine hydrochloride 0,5 mg/ml
5% glükóz 396
Összeegyeztethető
Injekció Heparin sodium 10 & 40 UI/ml
Injekció Ranitidine hydrochloride 0.05 & 2 mg/ml
0,9% nátrium-klorid 214
Összeegyeztethető
Injekció Heparin sodium 50 UI/ml
Injekció Ranitidine hydrochloride 1 mg/ml
Egy sem 317
Összeegyeztethető
Injekció Heparin sodium 1000 UI/ml
Injekció Remdesivir 1 mg/ml
0,9% nátrium-klorid 4768
Összeegyeztethető
Injekció Heparin sodium 100 UI/ml
Injekció Remifentanil hydrochloride 25 & 250 µg/ml
0,9% nátrium-klorid 59
Összeegyeztethető
Injekció Heparin sodium 500 UI/ml
Injekció Remifentanil hydrochloride 100 µg/ml
0,9% nátrium-klorid 3823
Összeegyeztethető
Injekció Heparin sodium 500 UI/ml
NaHCO3 150
Összeegyeztethető
Injekció Heparin sodium 1.4 UI/ml
Injekció Piperacillin sodium / tazobactam 1.38/0.1725 mg/ml
Physionéal® 2.27 (Baxter) 4180
Összeegyeztethető
Injekció Heparin sodium 1.4 UI/ml
Injekció Piperacillin sodium / tazobactam 1.38/0.1725 mg/ml
Physionéal® 1.36 (Baxter) 4180
Összeegyeztethető
Injekció Heparin sodium 0.5 UI/ml
Injekció Piperacillin sodium / tazobactam 0.5/0.0625 mg/ml
Dianéal® 1.5% glucose (Baxter) 4180
Összeegyeztethető
Injekció Heparin sodium 1.4 UI/ml
Injekció Piperacillin sodium / tazobactam 1.38/0.1725 mg/ml
Physionéal® 3.86 (Baxter) 4180
Összeegyeztethető
Injekció Heparin sodium 100 UI/ml
Injekció Piperacillin sodium / tazobactam 40/5 mg/ml
5% glükóz 81
Összeegyeztethető
Injekció Heparin sodium 0.5 UI/ml
Injekció Piperacillin sodium / tazobactam 0.5/0.0625 mg/ml
Extraneal® (Baxter) 4180
Összeegyeztethető
Injekció Heparin sodium 500 UI/ml
Injekció Potassium chloride 10 mEq/l
0,9% nátrium-klorid 3823
Összeegyeztethető
Injekció Heparin sodium 58,34 UI/ml
Injekció Potassium chloride 1250 mEq/l
5% glükóz 1289
Összeegyeztethető
Injekció Heparin sodium
Injekció Potassium phosphate
3781
Összeegyeztethető
Injekció Heparin sodium 1 UI/ml
Injekció Procainamide hydrochloride 100 mg/ml
5% glükóz 1228
Összeegyeztethető
Injekció Heparin sodium 1 UI/ml
Injekció Prochlorperazine edysilate 5 mg/ml
5% glükóz 1228
Összeegyeztethető
Injekció Heparin sodium 1 UI/ml
Injekció Promethazine hydrochloride 50 mg/ml
5% glükóz 1228
Meghatározatlan összeférhetetlenség Összeegyeztethetetlen
Injekció Heparin sodium
Injekció Promethazine hydrochloride
3540
Az emulzió instabilitása 1 óra múlva Összeegyeztethetetlen
Injekció Heparin sodium 1000 UI/ml
Injekció Propofol
660
Összeegyeztethető
Injekció Heparin sodium 100 UI/ml
Injekció Propofol 10 mg/ml
Egy sem 300
Összeegyeztethető
Injekció Heparin sodium 1 UI/ml
Injekció Propranolol hydrochloride 1 mg/ml
5% glükóz 1228
Összeegyeztethető
Injekció Heparin sodium 100 UI/ml
Injekció Ranitidine hydrochloride 1 mg/ml
314
Összeegyeztethető
Injekció Heparin sodium 10 & 40 UI/ml
Injekció Ranitidine hydrochloride 0.05 & 2 mg/ml
5% glükóz 214
Összeegyeztethető
Injekció Heparin sodium 416.7 UI/ml
Injekció Remifentanil hydrochloride 120 µg/ml
5% glükóz 3294
Összeegyeztethető
Injekció Heparin sodium 416.7 UI/ml
Injekció Remifentanil hydrochloride 120 µg/ml
5% glükóz 3176
Meghatározatlan összeférhetetlenség Összeegyeztethetetlen
Injekció Heparin sodium
Injekció Reteplase
2212
Összeegyeztethető
Injekció Heparin sodium 20,458 >> 28,000 UI/ml
Parenterális táplálás (lipid) 1868
Meghatározatlan összeférhetetlenség Összeegyeztethetetlen
Injekció Heparin sodium
Injekció Reteplase
3540
Összeegyeztethető
Injekció Heparin sodium 1000 UI/ml
Injekció Salbutamol sulfate 1 mg/ml
Egy sem 3216
Összeegyeztethető
Injekció Heparin sodium 100 UI/ml
Injekció Sargramostim 6 §15 µg/ml
0,9% nátrium-klorid 891
Összeegyeztethető
Injekció Heparin sodium 100 UI/ml
Injekció Sargramostim 10 µg/ml
0,9% nátrium-klorid 335
Összeegyeztethető
Injekció Heparin sodium 1 UI/ml
Injekció Scopolamine hydrobromide 0.86 mg/ml
0,9% nátrium-klorid 1228
Összeegyeztethető
Injekció Heparin sodium 1 UI/ml
Injekció Scopolamine hydrobromide 0.86 mg/ml
Ringer-laktát oldat 1228
Összeegyeztethető
Injekció Heparin sodium 1 UI/ml
Injekció Scopolamine hydrobromide 0.86 mg/ml
5% glükóz 1228
Összeegyeztethető
Injekció Heparin sodium 100 UI/ml
Injekció Sildenafil citrate 0,6 mg/ml
5% glükóz 4845
Összeegyeztethető
Injekció Heparin sodium 100 UI/ml
Injekció Sildenafil citrate 0,06 mg/ml
5% glükóz 4845
Összeegyeztethető
Injekció Heparin sodium 1 UI/ml
Injekció Sildenafil citrate 0,4 mg/ml
5% glükóz 3923
Összeegyeztethető
Injekció Heparin sodium 2 UI/ml
Injekció Sildenafil citrate 0,6 mg/ml
5% glükóz 4845
Összeegyeztethető
Injekció Heparin sodium
0,9% nátrium-klorid 3540
Az emulzió azonnali instabilitása Összeegyeztethetetlen
Injekció Heparin sodium 100 UI/ml
Parenterális táplálás (lipid) 132
Azonnali zavarosság Összeegyeztethetetlen
Injekció Heparin sodium 100 UI/ml
Injekció Sildenafil citrate 0,6 mg/ml
5% glükóz 4845
Összeegyeztethető
Injekció Heparin sodium 500 UI/ml
Injekció Sodium bicarbonate 84 mg/ml
0,9% nátrium-klorid 3823
Összeegyeztethető
Injekció Heparin sodium
Injekció Sodium bicarbonate
3466
Összeegyeztethető
Injekció Heparin sodium 500 UI/ml
Injekció Sodium bicarbonate 14 mg/ml
Egy sem 150
Összeegyeztethető
Injekció Heparin sodium 500 UI/ml
Injekció Sodium bicarbonate 84 mg/ml
Egy sem 3212
Összeegyeztethető
Injekció Heparin sodium 208 UI/ml
Injekció Spiramycine adipate 0.0625 MUI/ml
0,9% nátrium-klorid 4254
Összeegyeztethető
Injekció Heparin sodium 100 UI/ml
Injekció Streptokinase 30000 UI/ml
5% glükóz 92
Meghatározatlan összeférhetetlenség Összeegyeztethetetlen
Injekció Heparin sodium
Injekció Streptomycin sulfate
3540
Összeegyeztethető
Injekció Heparin sodium 416.7 UI/ml
Injekció Sufentanil citrate 0.005 mg/ml
5% glükóz 3294
Összeegyeztethető
Injekció Heparin sodium 1000 UI/ml
Injekció Sugammadex 100 mg/ml
Egy sem 3372
Összeegyeztethető
Injekció Heparin sodium 10 UI/ml
Injekció Tacrolimus 1000 µg/ml
0,9% nátrium-klorid 479
Összeegyeztethető
Injekció Heparin sodium 1000 UI/ml
Ringer-laktát oldat 4603
Összeegyeztethető
Injekció Heparin sodium 1000 UI/ml
Injekció Sulbactam/durlobactam 15/15 mg/ml
0,9% nátrium-klorid 4801
Összeegyeztethető
Injekció Heparin sodium 1000 UI/ml
Injekció Tedizolid phosphate 0.8 mg/ml
0,9% nátrium-klorid 3827
Összeegyeztethető
Injekció Heparin sodium 10 >> 10000 UI/ml
Injekció Teicoplanine 0.02 >> 10 mg/ml
0,9% nátrium-klorid 2057
Azonnali zavarosság Összeegyeztethetetlen
Injekció Heparin sodium 1000 UI/ml
Injekció Telavancin hydrochloride 7,5 mg/ml
5% glükóz 3254
Azonnali zavarosság Összeegyeztethetetlen
Injekció Heparin sodium 1000 UI/ml
Injekció Telavancin hydrochloride 7,5 mg/ml
0,9% nátrium-klorid 3254
Összeegyeztethető
Injekció Heparin sodium 1000 UI/ml
Injekció Telavancin hydrochloride 7.5 mg/ml
Ringer-laktát oldat 3254
Azonnali csapadék Összeegyeztethetetlen
Injekció Heparin sodium 1000 UI/ml
Injekció Thiopental sodium 25 mg/ml
0,9% nátrium-klorid 3767
Az emulzió azonnali instabilitása Összeegyeztethetetlen
Injekció Heparin sodium 1 UI/ml
Parenterális táplálás (lipid) 1391
Összeegyeztethető
Injekció Heparin sodium 100 UI/ml
Injekció Teniposide 0.1 mg/ml
5% glükóz 905
Összeegyeztethető
Injekció Heparin sodium 50 UI/ml
Injekció Theophylline 4 mg/ml
Egy sem 317
Összeegyeztethető
Injekció Heparin sodium 100 UI/ml
Injekció Thiopental sodium 25 mg/ml
314
Az emulzió azonnali instabilitása Összeegyeztethetetlen
Injekció Heparin sodium 100 UI/ml
Parenterális táplálás (lipid) 1415
Összeegyeztethető
Injekció Heparin sodium 500 UI/ml
Injekció Thiopental sodium 60 mg/ml
0,9% nátrium-klorid 3823
Összeegyeztethető
Injekció Heparin sodium 100 UI/ml
Injekció Thiotepa 1 mg/ml
5% glükóz 249
Összeegyeztethető
Injekció Heparin sodium 50 UI/ml
Injekció Ticarcillin / clavulanic acid 31 mg/ml
Egy sem 317
Összeegyeztethető
Injekció Heparin sodium 500 UI/ml
Injekció Tirofiban 250 µg/ml
0,9% nátrium-klorid 3823
Összeegyeztethető
Injekció Heparin sodium 40 & 100 UI/ml
Injekció Tirofiban 50 µg/ml
0,9% nátrium-klorid 1420
Összeegyeztethető
Injekció Heparin sodium
5% glükóz 3540
Összeegyeztethető
Injekció Heparin sodium
Injekció Tirofiban
1512
Összeegyeztethető
Injekció Heparin sodium 40 & 100 UI/ml
Injekció Tirofiban 50 µg/ml
5% glükóz 1420
Meghatározatlan összeférhetetlenség Összeegyeztethetetlen
Injekció Heparin sodium 50 UI/ml
Injekció Tobramycin sulfate 0.8 mg/ml
Egy sem 317
Meghatározatlan összeférhetetlenség Összeegyeztethetetlen
Injekció Heparin sodium
Injekció Tobramycin sulfate
3540
Összeegyeztethető
Injekció Heparin sodium
Injekció Tranexamic acid
5016
Meghatározatlan összeférhetetlenség Összeegyeztethetetlen
Injekció Heparin sodium
Injekció Triflupromazine hydrochloride
3540
Összeegyeztethető
Injekció Heparin sodium 500 UI/ml
Injekció Urapidil 5 mg/ml
0,9% nátrium-klorid 3823
Azonnali csapadék Összeegyeztethetetlen
Injekció Heparin sodium 0,5 >> 14,3 UI/ml
Injekció Vancomycin hydrochloride 6,9 >> 14,3 mg/ml
Dianéal® PD1 4.25% glükóz (Baxter) 2375
Meghatározatlan összeférhetetlenség Összeegyeztethetetlen
Injekció Heparin sodium
Injekció Vancomycin hydrochloride
3588
Meghatározatlan összeférhetetlenség Összeegyeztethetetlen
Injekció Heparin sodium
Injekció Vancomycin hydrochloride
3540
Összeegyeztethető
Injekció Heparin sodium 0,5 >> 14,3 UI/ml
Injekció Vancomycin hydrochloride 0,015 >> 6,8 mg/ml
Dianéal® PD2 2.5% glucose (Baxter) 2375
Azonnali csapadék Összeegyeztethetetlen
Injekció Heparin sodium 0,5 >> 14,3 UI/ml
Injekció Vancomycin hydrochloride 6,9 >> 14,3 mg/ml
Dianéal® PD2 2.5% glucose (Baxter) 2375
Összeegyeztethető
Injekció Heparin sodium 10 UI/ml
Injekció Vancomycin hydrochloride 0.025 mg/ml
Injekcióhoz való víz 3125
Összeegyeztethető
Injekció Heparin sodium 0,5 >> 14,3 UI/ml
Injekció Vancomycin hydrochloride 0,015 >> 6,8 mg/ml
Dianéal® PD1 4.25% glükóz (Baxter) 2375
Meghatározatlan összeférhetetlenség Összeegyeztethetetlen
Injekció Heparin sodium 50 UI/ml
Injekció Vancomycin hydrochloride 6.6 mg/ml
Egy sem 317
Összeegyeztethető
Injekció Heparin sodium 100 UI/ml
Injekció Vancomycin hydrochloride 0.025 mg/ml
0,9% nátrium-klorid 1414
Összeegyeztethető
Injekció Heparin sodium 10 UI/ml
Injekció Vancomycin hydrochloride 2 mg/ml
0,9% nátrium-klorid 2037
Azonnali csapadék Összeegyeztethetetlen
Injekció Heparin sodium 100 UI/ml
Injekció Vancomycin hydrochloride 10 mg/ml
Parenterális táplálás (lipid-mentes) 132
Összeegyeztethető
Injekció Heparin sodium 5000 UI/ml
Injekció Vancomycin hydrochloride 2.5 mg/ml
0,9% nátrium-klorid 2037
Összeegyeztethető
Injekció Heparin sodium 100 UI/ml
Injekció Vancomycin hydrochloride 0.025 mg/ml
0,9% nátrium-klorid 895
Összeegyeztethető
Injekció Heparin sodium 100 UI/ml
Injekció Vasopressin 2 & 4 UI/ml
0,9% nátrium-klorid 1801
Összeegyeztethető
Injekció Heparin sodium 100 UI/ml
Injekció Vecuronium bromide 1 mg/ml
314
Összeegyeztethető
Injekció Heparin sodium 40 UI/ml
Injekció Vecuronium bromide 0.1 mg/ml
5% glükóz 402
Összeegyeztethető
Injekció Heparin sodium 20 UI/ml
Injekció Verapamil hydrochloride 0.08 mg/ml
0,9% nátrium-klorid 1057
Összeegyeztethető
Injekció Heparin sodium 20 UI/ml
Injekció Verapamil hydrochloride 0.08 mg/ml
5% glükóz 1057
Meghatározatlan összeférhetetlenség Összeegyeztethetetlen
Injekció Heparin sodium
Injekció Vinblastine sulfate
3540
Összeegyeztethető
Injekció Heparin sodium 1000 UI/ml
Injekció Vinblastine sulfate 1 mg/ml
763
Összeegyeztethető
Injekció Heparin sodium 1000 UI/ml
Injekció Vincristine sulfate 1 mg/ml
763
Összeegyeztethető
Injekció Heparin sodium 100 UI/ml
Injekció Vinorelbine tartrate 1 mg/ml
0,9% nátrium-klorid 84
Összeegyeztethető
Injekció Heparin sodium 100 UI/ml
Injekció Vinorelbine tartrate 1 mg/ml
0,9% nátrium-klorid 1070
Azonnali csapadék Összeegyeztethetetlen
Injekció Heparin sodium 10 & 100 UI/ml
Injekció Vinorelbine tartrate 2 & 3 mg/ml
0,9% nátrium-klorid 1070
Összeegyeztethető
Injekció Heparin sodium 208 UI/ml
Injekció Voriconazole 8 mg/ml
5% glükóz 4254
Összeegyeztethető
Injekció Heparin sodium 208 UI/ml
Injekció Voriconazole 8 mg/ml
0,9% nátrium-klorid 4254
Összeegyeztethető
Injekció Heparin sodium 100 UI/ml
Injekció Warfarin sodium 2 mg/ml
5% glükóz 315
Összeegyeztethető
Injekció Heparin sodium 100 UI/ml
Injekció Zidovudine 4 mg/ml
5% glükóz 337

  Mentions Légales