最新更新 :
27/01/2026
抗凝固薬   Heparin sodium  
注射薬
溶媒内の安定性 混合時の安定性 安定性に影響する因子 互換性 投与経路 引用文献 PDF
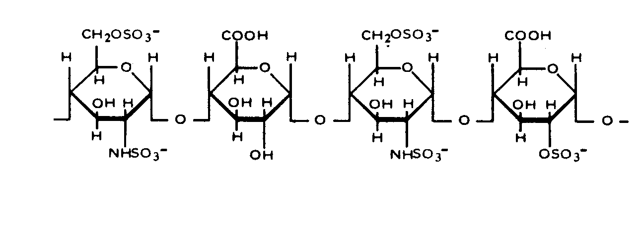
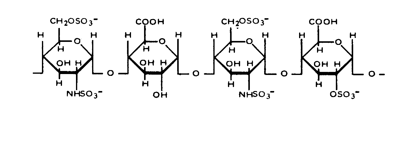
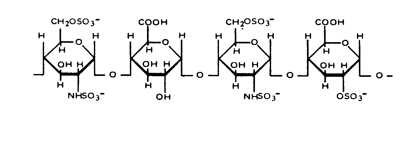
   化学構造  

商品名   商品名     

商品名、賦形剤は国、製薬会社ごとに異なることがあります

Arapin チリ
Ateroclar イタリア
Clarisco イタリア
Epsoclar イタリア
Hepaflex ノルウェー, フィンランド
Hepamax エクアドル, コロンビア, チリ
Heparin アメリカ, イギリス, オランダ, オーストリア, カナダ, ギリシア, スイス, スウェーデン, セルビア, タイ, デンマーク, トルコ, ノルウェー, ハンガリー, フィンランド, ロシア, 南アフリカ共和国
Heparine フランス, ベルギー
Heparinised アーストラリア
Heparstad ドイツ
Liquemin スイス, トルコ
Liquemine ブラジル
Monoparin サウジアラビア
Normoparin イタリア
Nuparin エクアドル
Pharepa イタリア
Riveparin アルゼンチン
Sobrius アルゼンチン, エクアドル
Thrombophob ドイツ
互換性   注射薬   互換性 : Heparin sodium              
This screen indicates the compatibilities or incompatibilities with, in this case, the type of incompatibility (precipitation, color change, modification of an emulsion, etc.). The compatibilities shown here are mostly physical only, with the chemical stability of each molecule rarely being assessed. The evaluation of these mixtures was studied to consider the possibility of Y-site administration to the patient. These data cannot be used for making mixtures in advance in bags or syringes. This type of information is available in the screen "Stability in mixture ».
化合物 溶媒 引用文献
対応
注射薬 Heparin sodium 100 UI/ml
注射薬 Aciclovir sodium 5 mg/ml
NaCl 0,9% 2335
対応
注射薬 Heparin sodium 50 UI/ml
注射薬 Aciclovir sodium 5 mg/ml
グルコース5% 336
対応
注射薬 Heparin sodium 100 UI/ml
注射薬 Aldesleukin 0.0338 MUI/ml
グルコース5% 36
対応
注射薬 Heparin sodium 100 UI/ml
注射薬 Allopurinol sodium 3 mg/ml
NaCl 0,9% 307
対応
注射薬 Heparin sodium 1 UI/ml
注射薬 Alprostadil 20 µg/ml
NaCl 0,9% 4491
対応
注射薬 Heparin sodium 1 UI/ml
注射薬 Alprostadil 20 µg/ml
グルコース5% 4651
24時間後の沈殿 非互換
注射薬 Heparin sodium 100 UI/ml
注射薬 Alteplase 1 mg/ml
注射用水 92
不特定の非互換性 非互換
注射薬 Heparin sodium
注射薬 Alteplase
3540
即時降水 非互換
注射薬 Heparin sodium 40 UI/ml
注射薬 Alteplase 0.5 mg/ml
注射用水 240
不特定の非互換性 非互換
注射薬 Heparin sodium
注射薬 Alteplase
3616
対応
注射薬 Heparin sodium 100 UI/ml
注射薬 Amifostine 10 mg/ml
グルコース5% 3
即時降水 非互換
注射薬 Heparin sodium
注射薬 Amikacin sulfate
1022
不特定の非互換性 非互換
注射薬 Heparin sodium
注射薬 Amikacin sulfate
3549
不特定の非互換性 非互換
注射薬 Heparin sodium
注射薬 Amikacin sulfate
3540
不特定の非互換性 非互換
注射薬 Heparin sodium 500 UI/ml
注射薬 Amiodarone hydrochloride 15 mg/ml
NaCl 0,9% 3823
不特定の非互換性 非互換
注射薬 Heparin sodium
注射薬 Amiodarone hydrochloride
3540
すぐに濁り 非互換
注射薬 Heparin sodium 500 UI/ml
注射薬 Amiodarone hydrochloride 15 mg/ml
NaCl 0,9% 3463
不特定の非互換性 非互換
注射薬 Heparin sodium
注射薬 Amiodarone hydrochloride
3464
不特定の非互換性 非互換
注射薬 Heparin sodium 500 UI/ml
注射薬 Amiodarone hydrochloride 15 mg/ml
グルコース5% 3823
すぐに濁り 非互換
注射薬 Heparin sodium 500 UI/ml
注射薬 Amiodarone hydrochloride 15 mg/ml
グルコース5% 3463
対応
注射薬 Heparin sodium 208 UI/ml
注射薬 Amoxicillin sodium 20.83 & 83.3 mg/ml
NaCl 0,9% 4254
対応
注射薬 Heparin sodium 1000 UI/ml
注射薬 Amoxicillin sodium / clavulanic acid 100/10 mg/ml
3824
対応
注射薬 Heparin sodium
注射薬 Ampicillin sodium
5088
対応
注射薬 Heparin sodium 50 UI/ml
注射薬 Ampicillin sodium 20 mg/ml
なし 317
対応
注射薬 Heparin sodium 50 UI/ml
注射薬 Ampicillin sodium - sulbactam sodium 30 mg/ml
なし 317
即時降水 非互換
注射薬 Heparin sodium 40 UI/ml
注射薬 Amsacrine 1 mg/ml
グルコース5% 253
対応
注射薬 Heparin sodium 100 UI/ml
注射薬 Anidulafungin 0.5 mg/ml
グルコース5% 1982
即時降水 非互換
注射薬 Heparin sodium
注射薬 Antithymocyte globulin (rabbit)
4958
即時降水 非互換
注射薬 Heparin sodium 2 UI/ml
注射薬 Antithymocyte globulin (rabbit) 0,2 & 0,3 mg/ml
グルコース5% 1822
対応
注射薬 Heparin sodium 100 UI/ml
注射薬 Antithymocyte globulin (rabbit) 0,2 & 0,3 mg/ml
グルコース5% 1822
対応
注射薬 Heparin sodium 2 & 100 UI/ml
注射薬 Antithymocyte globulin (rabbit) 0,2 & 0,3 mg/ml
NaCl 0,9% 1822
対応
注射薬 Heparin sodium 40 UI/ml
注射薬 Atracurium besylate 0.5 mg/ml
グルコース5% 402
対応
注射薬 Heparin sodium 1 UI/ml
注射薬 Atropine sulfate 0.5 mg/ml
グルコース5% 1228
対応
注射薬 Heparin sodium 500 UI/ml
非経口的栄養(脂肪含む) 4507
即時降水 非互換
注射薬 Heparin sodium 1000 UI/ml
注射薬 Amphotericin B cholesteryl sulfate complex 0.83 mg/ml
グルコース5% 921
不特定の非互換性 非互換
注射薬 Heparin sodium
注射薬 Ampicillin sodium
3540
対応
注射薬 Heparin sodium 10 & 5000 UI/ml
注射薬 Ampicillin sodium 10 mg/ml
NaCl 0,9% 2037
対応
注射薬 Heparin sodium 1 UI/ml
注射薬 Atropine sulfate 0.5 mg/ml
乳酸リンゲル 1228
対応
注射薬 Heparin sodium 1 UI/ml
注射薬 Atropine sulfate 0.5 mg/ml
NaCl 0,9% 1228
対応
注射薬 Heparin sodium 100 UI/ml
注射薬 Aztreonam 40 mg/ml
グルコース5% 99
対応
注射薬 Heparin sodium 50 UI/ml
注射薬 Aztreonam 20 mg/ml
なし 317
対応
注射薬 Heparin sodium 1 UI/ml
注射薬 Betamethasone sodium phosphate 3 mg/ml
NaCl 0,9% 1228
対応
注射薬 Heparin sodium 1 UI/ml
注射薬 Betamethasone sodium phosphate 3 mg/ml
グルコース5% 1228
対応
注射薬 Heparin sodium 1 UI/ml
注射薬 Betamethasone sodium phosphate 3 mg/ml
乳酸リンゲル 1228
対応
注射薬 Heparin sodium 100 UI/ml
注射薬 Bivalirudin 5 mg/ml
グルコース5% 1713
即時降水 非互換
注射薬 Heparin sodium 192.3 UI/ml
注射薬 Blinatumomab 0.125 & 0.375 µg/ml
NaCl 0,9% 3976
対応
注射薬 Heparin sodium 1000 UI/ml
注射薬 Caffeine 10 mg/ml
なし 3964
対応
注射薬 Heparin sodium 100 UI/ml
注射薬 Caffeine 10 mg/ml
NaCl 0,9% 4837
対応
注射薬 Heparin sodium 100 UI/ml
注射薬 Caffeine citrate 20 mg/ml
NaCl 0,9% 4837
30分後の沈殿 非互換
注射薬 Heparin sodium 2 UI/ml
注射薬 Calcium chloride 20 mg/ml
グルコース5% 4732
対応
注射薬 Heparin sodium 100 UI/ml
注射薬 Calcium chloride 20 mg/ml
グルコース5% 4732
エマルジョンの即時の不安定性 非互換
注射薬 Heparin sodium
注射薬 Calcium chloride
非経口的栄養(脂肪含む) 1084
エマルジョンの即時の不安定性 非互換
注射薬 Heparin sodium
注射薬 Calcium gluconate
非経口的栄養(脂肪含む) 1084
即時降水 非互換
注射薬 Heparin sodium 100 UI/ml
注射薬 Caspofungin acetate 0.5 mg/ml
NaCl 0,9% 2233
即時降水 非互換
注射薬 Heparin sodium 100 UI/ml
注射薬 Caspofungin acetate 0,7 mg/ml
NaCl 0,9% 2247
不特定の非互換性 非互換
注射薬 Heparin sodium
注射薬 Cefalotin sodium
3540
対応
注射薬 Heparin sodium 10 & 5000 UI/ml
注射薬 Cefazolin sodium 10 mg/ml
NaCl 0,9% 2037
対応
注射薬 Heparin sodium 50 UI/ml
注射薬 Cefazolin sodium 20 mg/ml
なし 317
対応
注射薬 Heparin sodium 0.667 UI/ml
注射薬 Cefazolin sodium 0.333 mg/ml
Dianéal® PD2 1.5% glucose (Baxter) 1979
対応
注射薬 Heparin sodium 10 & 50 UI/ml
注射薬 Cefepime dihydrochloride 4 mg/ml
NaCl 0,9% 3548
対応
注射薬 Heparin sodium 10 & 50 UI/ml
注射薬 Cefepime dihydrochloride 4 mg/ml
グルコース5% 3548
対応
注射薬 Heparin sodium 1000 UI/ml
注射薬 Cefiderocol sulfate tosylate 20 mg/mL
グルコース5% 4528
対応
注射薬 Heparin sodium 1000 UI/ml
注射薬 Cefiderocol sulfate tosylate 20 mg/mL
NaCl 0,9% 4528
化学的不安定性 非互換
注射薬 Heparin sodium 100 UI/ml
注射薬 Cefmetazole sodium 100 mg/ml
注射用水 93
対応
注射薬 Heparin sodium 208 UI/ml
注射薬 Cefotaxime sodium 41.6 & 125 mg/ml
グルコース5% 4254
対応
注射薬 Heparin sodium 208 UI/ml
注射薬 Cefotaxime sodium 41.6 & 125 mg/ml
NaCl 0,9% 4254
対応
注射薬 Heparin sodium 5000 UI/ml
注射薬 Cefotaxime sodium 10 mg/ml
注射用水 3125
対応
注射薬 Heparin sodium 100 UI/ml
注射薬 Ceftaroline fosamil 2,22 mg/ml
乳酸リンゲル 3249
対応
注射薬 Heparin sodium 100 UI/ml
注射薬 Ceftaroline fosamil 2,22 mg/ml
NaCl 0,9% 3249
対応
注射薬 Heparin sodium 100 UI/ml
注射薬 Ceftaroline fosamil 2,22 mg/ml
グルコース5% 3249
対応
注射薬 Heparin sodium 0.5 UI/ml
注射薬 Ceftazidime 0.125 mg/ml
Extraneal® (Baxter) 4056
対応
注射薬 Heparin sodium 0.5 UI/ml
注射薬 Ceftazidime 0.125 mg/ml
Dianéal® PD2 4.25% glucose (Baxter) 4056
対応
注射薬 Heparin sodium 50 UI/ml
注射薬 Ceftazidime 20 mg/ml
なし 317
対応
注射薬 Heparin sodium 0.5 UI/ml
注射薬 Ceftazidime 0.125 mg/ml
Dianéal® PD2 2.5% glucose (Baxter) 4056
対応
注射薬 Heparin sodium 100 UI/ml
注射薬 Ceftobiprole medocaril sodium 2 mg/ml
NaCl 0,9% 2269
対応
注射薬 Heparin sodium 100 UI/ml
注射薬 Ceftobiprole medocaril sodium 2 mg/ml
グルコース5% 2269
対応
注射薬 Heparin sodium 100 UI/ml
注射薬 Ceftobiprole medocaril sodium 2 mg/ml
乳酸リンゲル 2269
対応
注射薬 Heparin sodium 1000 UI/ml
注射薬 Ceftolozane / tazobactam 10/5 mg/ml
NaCl 0,9% 3828
対応
注射薬 Heparin sodium 1000 UI/ml
注射薬 Ceftolozane / tazobactam 10/5 mg/ml
グルコース5% 3828
対応
注射薬 Heparin sodium 50 UI/ml
注射薬 Ceftriaxone disodium 20 mg/ml
なし 317
対応
注射薬 Heparin sodium 10 & 50 UI/ml
注射薬 Cefuroxime sodium
NaCl 0,9% 3687
対応
注射薬 Heparin sodium 58,34 UI/ml
注射薬 Chlorpromazine hydrochloride 0,26 mg/ml
グルコース5% 1289
対応
注射薬 Heparin sodium 1 UI/ml
注射薬 Chlorpromazine hydrochloride 10 mg/ml
NaCl 0,9% 1228
対応
注射薬 Heparin sodium 1 UI/ml
注射薬 Chlorpromazine hydrochloride 10 mg/ml
グルコース5% 1228
不特定の非互換性 非互換
注射薬 Heparin sodium
注射薬 Chlorpromazine hydrochloride
3540
対応
注射薬 Heparin sodium 1 UI/ml
注射薬 Chlorpromazine hydrochloride 10 mg/ml
乳酸リンゲル 1228
対応
注射薬 Heparin sodium 50 UI/ml
注射薬 Cimetidine hydrochloride 6 mg/ml
なし 317
対応
注射薬 Heparin sodium 5000 & 10000 UI/ml
注射薬 Ciprofloxacin lactate 0.4 & 0.6 mg/ml
NaCl 0,9% 2057
即時降水 非互換
注射薬 Heparin sodium 10 >> 10000 UI/ml
注射薬 Ciprofloxacin lactate 1 mg/ml
NaCl 0,9% 2057
即時降水 非互換
注射薬 Heparin sodium 10 & 100 UI/ml
注射薬 Ciprofloxacin lactate 0.2 mg/ml
NaCl 0,9% 2057
不特定の非互換性 非互換
注射薬 Heparin sodium
注射薬 Ciprofloxacin lactate
3540
即時降水 非互換
注射薬 Heparin sodium 10 >> 1000 UI/ml
注射薬 Ciprofloxacin lactate 0.4 & 0.6 mg/ml
NaCl 0,9% 2057
対応
注射薬 Heparin sodium 1000 >> 10000 UI/ml
注射薬 Ciprofloxacin lactate 0.2 mg/ml
NaCl 0,9% 2057
即時降水 非互換
注射薬 Heparin sodium 10 >> 5000 UI/ml
注射薬 Ciprofloxacin lactate 0.8 mg/ml
NaCl 0,9% 2057
対応
注射薬 Heparin sodium 10 >> 10000 UI/ml
注射薬 Ciprofloxacin lactate 0.1 mg/ml
NaCl 0,9% 2057
即時降水 非互換
注射薬 Heparin sodium 100 UI/ml
注射薬 Ciprofloxacin lactate 2 mg/ml
NaCl 0,9% 288
不特定の非互換性 非互換
注射薬 Heparin sodium
注射薬 Ciprofloxacin lactate
3529
即時降水 非互換
注射薬 Heparin sodium 100 UI/ml
注射薬 Ciprofloxacin lactate 2 mg/ml
グルコース5% 288
即時降水 非互換
注射薬 Heparin sodium 10 >> 1000 UI/ml
注射薬 Ciprofloxacin lactate 2 mg/ml
NaCl 0,9% 289
すぐに濁り 非互換
注射薬 Heparin sodium 10 UI/ml
注射薬 Ciprofloxacin lactate 2 mg/ml
なし 1393
対応
注射薬 Heparin sodium 10000 UI/ml
注射薬 Ciprofloxacin lactate 0.8 mg/ml
NaCl 0,9% 2057
対応
注射薬 Heparin sodium 100 UI/ml
注射薬 Cisatracurium besylate 0.1 & 2 mg/ml
グルコース5% 299
即時降水 非互換
注射薬 Heparin sodium 100 UI/ml
注射薬 Cisatracurium besylate 5 mg/ml
グルコース5% 299
色変更 非互換
注射薬 Heparin sodium 500 UI/ml
注射薬 Cisatracurium besylate 5 mg/ml
NaCl 0,9% 3463
不特定の非互換性 非互換
注射薬 Heparin sodium 500 UI/ml
注射薬 Cisatracurium besylate 5 mg/ml
NaCl 0,9% 3823
不特定の非互換性 非互換
注射薬 Heparin sodium
注射薬 Cisatracurium besylate
3540
対応
注射薬 Heparin sodium 100 UI/ml
注射薬 Cladribine 0.5 mg/ml
NaCl 0,9% +抗菌 1496
対応
注射薬 Heparin sodium 100 UI/ml
注射薬 Cladribine 0.015 mg/ml
NaCl 0,9% 1496
対応
注射薬 Heparin sodium 50 UI/ml
注射薬 Clindamycin phosphate 12 mg/ml
なし 317
対応
注射薬 Heparin sodium 50 UI/ml
注射薬 Clonidine hydrochloride 0.0075 mg/ml
NaCl 0,9% 1506
対応
注射薬 Heparin sodium 50 UI/ml
注射薬 Clonidine hydrochloride 0.0075 mg/ml
グルコース5% 1506
対応
注射薬 Heparin sodium 100 UI/ml
注射薬 Cloxacillin sodium 100 mg/ml
注射用水 3012
4時間後の降水 非互換
注射薬 Heparin sodium 208 UI/ml
注射薬 Co-trimoxazole 3.2/0.64 & 80/16 mg/ml
NaCl 0,9% 4254
4時間後の降水 非互換
注射薬 Heparin sodium 208 UI/ml
注射薬 Co-trimoxazole 3.2/0.64 & 80/16 mg/ml
グルコース5% 4254
対応
注射薬 Heparin sodium 1 UI/ml
注射薬 Cyanocobalamine 0.1 mg/ml
乳酸リンゲル 1228
対応
注射薬 Heparin sodium 1 UI/ml
注射薬 Cyanocobalamine 0.1 mg/ml
グルコース5% 1228
対応
注射薬 Heparin sodium 1 UI/ml
注射薬 Cyanocobalamine 0.1 mg/ml
NaCl 0,9% 1228
不特定の非互換性 非互換
注射薬 Heparin sodium
注射薬 Cytarabine
3540
不特定の非互換性 非互換
注射薬 Heparin sodium
注射薬 Cytarabine
3580
不特定の非互換性 非互換
注射薬 Heparin sodium
注射薬 Dacarbazine
3605
即時降水 非互換
注射薬 Heparin sodium 100 UI/ml
注射薬 Dacarbazine 25 mg/ml
NaCl 0,9% 860
不特定の非互換性 非互換
注射薬 Heparin sodium
注射薬 Dacarbazine
3267
不特定の非互換性 非互換
注射薬 Heparin sodium
注射薬 Dacarbazine
3540
対応
注射薬 Heparin sodium
注射薬 Daptomycin
2271
対応
注射薬 Heparin sodium 98 UI/ml
注射薬 Daptomycin 19,6 mg/ml
NaCl 0,9% 1937
即時降水 非互換
注射薬 Heparin sodium
注射薬 Daunorubicin hydrochloride
3604
不特定の非互換性 非互換
注射薬 Heparin sodium
注射薬 Daunorubicin hydrochloride
3540
即時降水 非互換
注射薬 Heparin sodium
注射薬 Daunorubicin hydrochloride liposome
3577
すぐに濁り 非互換
注射薬 Heparin sodium
注射薬 Daunorubicin/cytarabine liposomale 0,4 mg/mL
NaCl 0,9% 4654
対応
注射薬 Heparin sodium 373 UI/ml
注射薬 Defibrotide 8 mg/ml
NaCl 0,9% 3728
対応
注射薬 Heparin sodium 50 UI/ml
注射薬 Dexamethasone sodium phosphate 0.08 mg/ml
なし 317
対応
注射薬 Heparin sodium
注射薬 Dexketoprofen
4981
対応
注射薬 Heparin sodium 100 UI/ml
注射薬 Dexmedetomidine 4 µg/ml
NaCl 0,9% 1712
対応
注射薬 Heparin sodium 10000 UI/ml
注射薬 Diatrizoate meglumine 283 mg/ml
なし 1085
不特定の非互換性 非互換
注射薬 Heparin sodium
注射薬 Diazepam
3540
対応
注射薬 Heparin sodium 100 UI/ml
注射薬 Diltiazem hydrochloride 1 mg/ml
314
即時降水 非互換
注射薬 Heparin sodium 20000 UI/ml
注射薬 Diltiazem hydrochloride 5 mg/ml
NaCl 0,9% 198
対応
注射薬 Heparin sodium 100 UI/ml
注射薬 Diltiazem hydrochloride 1 mg/ml
グルコース5% 4556
すぐに濁り 非互換
注射薬 Heparin sodium 100 UI/ml
注射薬 Diltiazem hydrochloride 5 mg/ml
グルコース5% 4556
対応
注射薬 Heparin sodium 20000 UI/ml
注射薬 Diltiazem hydrochloride 1 mg/ml
NaCl 0,9% 198
対応
注射薬 Heparin sodium
注射薬 Diltiazem hydrochloride
5090
対応
注射薬 Heparin sodium 80 >> 10000 UI/ml
注射薬 Diltiazem hydrochloride 1 & 5 mg/ml
NaCl 0,9% 198
即時降水 非互換
注射薬 Heparin sodium
注射薬 Dimenhydrinate
2087
対応
注射薬 Heparin sodium 1 UI/ml
注射薬 Diphenhydramine hydrochloride 50 mg/ml
NaCl 0,9% 1228
対応
注射薬 Heparin sodium 1 UI/ml
注射薬 Diphenhydramine hydrochloride 50 mg/ml
グルコース5% 1228
対応
注射薬 Heparin sodium 1 UI/ml
注射薬 Diphenhydramine hydrochloride 50 mg/ml
乳酸リンゲル 1228
4時間後の降水 非互換
注射薬 Heparin sodium 100 UI/ml
注射薬 Dobutamine hydrochloride 4 mg/ml
314
対応
注射薬 Heparin sodium 40 UI/ml
注射薬 Dobutamine hydrochloride 1 mg/ml
NaCl 0,9% 1058
対応
注射薬 Heparin sodium 100 UI/ml
注射薬 Dobutamine hydrochloride 2 mg/ml
グルコース5% 1041
即時降水 非互換
注射薬 Heparin sodium 100 UI/ml
注射薬 Dobutamine hydrochloride 2 mg/ml
グルコース5% 1352
すぐに濁り 非互換
注射薬 Heparin sodium 100 UI/ml
注射薬 Dobutamine hydrochloride 4 mg/ml
グルコース5% 295
即時降水 非互換
注射薬 Heparin sodium
注射薬 Dobutamine hydrochloride
3540
6時間後の色の変化 非互換
注射薬 Heparin sodium 10000 UI/ml
注射薬 Dobutamine hydrochloride 2 mg/ml
グルコース5% 1041
対応
注射薬 Heparin sodium 40 UI/ml
注射薬 Dobutamine hydrochloride 1 mg/ml
グルコース5% 1058
対応
注射薬 Heparin sodium 50 UI/ml
注射薬 Dobutamine hydrochloride 1 mg/ml
なし 317
対応
注射薬 Heparin sodium 100 UI/ml
注射薬 Docetaxel 0.9 mg/ml
グルコース5% 1754
対応
注射薬 Heparin sodium 1 UI/ml
注射薬 Dopamine hydrochloride 40 mg/ml
NaCl 0,9% 1228
対応
注射薬 Heparin sodium 50 UI/ml
注射薬 Dopamine hydrochloride 1.6 mg/ml
なし 317
対応
注射薬 Heparin sodium 100 UI/ml
注射薬 Dopamine hydrochloride 3.2 mg/ml
314
対応
注射薬 Heparin sodium 1 UI/ml
注射薬 Dopamine hydrochloride 40 mg/ml
乳酸リンゲル 1228
対応
注射薬 Heparin sodium 200 UI/ml
注射薬 Dopamine hydrochloride 0.8 mg/ml
グルコース5% 738
対応
注射薬 Heparin sodium 1 UI/ml
注射薬 Dopamine hydrochloride 40 mg/ml
グルコース5% 1228
対応
注射薬 Heparin sodium 100 UI/ml
注射薬 Dopamine hydrochloride 3,2 mg/ml
4389
不特定の非互換性 非互換
注射薬 Heparin sodium 187 UI/ml
注射薬 Dopamine hydrochloride 1,7 >> 3,4 mg/ml
グルコース5% 377
対応
注射薬 Heparin sodium 100 UI/ml
注射薬 Doripenem 5 mg/ml
NaCl 0,9% 2262
対応
注射薬 Heparin sodium 100 UI/ml
注射薬 Doripenem 5 mg/ml
グルコース5% 2262
対応
注射薬 Heparin sodium 1 UI/ml
注射薬 Doxapram hydrochloride 2 mg/ml
グルコース5% 1802
不特定の非互換性 非互換
注射薬 Heparin sodium
注射薬 Doxorubicin hydrochloride
3540
即時降水 非互換
注射薬 Heparin sodium
注射薬 Doxorubicin hydrochloride
3645
即時降水 非互換
注射薬 Heparin sodium 1000 UI/ml
注射薬 Doxorubicin hydrochloride 2 mg/ml
763
対応
注射薬 Heparin sodium 1000 UI/ml
注射薬 Doxorubicin hydrochloride liposome peg 0.4 mg/ml
グルコース5% 251
不特定の非互換性 非互換
注射薬 Heparin sodium 50 UI/ml
注射薬 Doxycycline hyclate 1 mg/ml
なし 317
即時降水 非互換
注射薬 Heparin sodium 1000 UI/ml
注射薬 Droperidol 2,5 mg/ml
763
対応
注射薬 Heparin sodium 1 UI/ml
注射薬 Droperidol 1.25 mg/ml
NaCl 0,9% 1228
対応
注射薬 Heparin sodium 1 UI/ml
注射薬 Droperidol 1.25 mg/ml
乳酸リンゲル 1228
対応
注射薬 Heparin sodium 1 UI/ml
注射薬 Droperidol 1.25 mg/ml
グルコース5% 1228
不特定の非互換性 非互換
注射薬 Heparin sodium
注射薬 Droperidol
3540
対応
注射薬 Heparin sodium 45,45 UI/ml
注射薬 Enalaprilate 0,011 mg/ml
グルコース5% 963
対応
注射薬 Heparin sodium 40 UI/ml
注射薬 Enalaprilate 0.05 mg/ml
NaCl 0,9% 1315
対応
注射薬 Heparin sodium 50 UI/ml
注射薬 Enalaprilate 0.0125 mg/ml
NaCl 0,9% 1703
対応
注射薬 Heparin sodium 1 UI/ml
注射薬 Epinephrine hydrochloride 100 µg/ml
乳酸リンゲル 1228
対応
注射薬 Heparin sodium 100 UI/ml
注射薬 Epinephrine hydrochloride 20 µg/ml
314
対応
注射薬 Heparin sodium 1 UI/ml
注射薬 Epinephrine hydrochloride 100 µg/ml
NaCl 0,9% 1228
対応
注射薬 Heparin sodium 1 UI/ml
注射薬 Epinephrine hydrochloride 100 µg/ml
グルコース5% 1228
不特定の非互換性 非互換
注射薬 Heparin sodium
注射薬 Epirubicin hydrochloride
3632
対応
注射薬 Heparin sodium
注射薬 Eptifibatide
3934
対応
注射薬 Heparin sodium 1000 UI/ml
注射薬 Eravacycline 0,6 mg/ml
NaCl 0,9% 4434
すぐに濁り 非互換
注射薬 Heparin sodium 1 UI/ml
注射薬 Ergotamine tartrate 0.5 mg/ml
NaCl 0,9% 1228
4時間後の降水 非互換
注射薬 Heparin sodium 1 UI/ml
注射薬 Ergotamine tartrate 0.5 mg/ml
乳酸リンゲル 1228
4時間後の降水 非互換
注射薬 Heparin sodium 1 UI/ml
注射薬 Ergotamine tartrate 0.5 mg/ml
グルコース5% 1228
対応
注射薬 Heparin sodium 50 & 100 UI/ml
注射薬 Ertapenem 10 & 20 mg/ml
NaCl 0,9% 1906
対応
注射薬 Heparin sodium 50 UI/ml
注射薬 Erythromycin lactobionate 3.3 mg/ml
なし 317
不特定の非互換性 非互換
注射薬 Heparin sodium
注射薬 Erythromycin lactobionate
3674
不特定の非互換性 非互換
注射薬 Heparin sodium
注射薬 Erythromycin lactobionate
3540
対応
注射薬 Heparin sodium 50 UI/ml
注射薬 Esmolol hydrochloride 6 mg/ml
グルコース5% 174
対応
注射薬 Heparin sodium 40 UI/ml
注射薬 Esmolol hydrochloride 10 mg/ml
グルコース5% 384
対応
注射薬 Heparin sodium 500 UI/ml
注射薬 Esmolol hydrochloride 10 mg/ml
NaCl 0,9% 3823
即時降水 非互換
注射薬 Heparin sodium 1000 UI/ml
注射薬 Ethanol 70 %
注射用水 +滅菌 2221
即時降水 非互換
注射薬 Heparin sodium 1000 UI/ml
注射薬 Ethanol 70 %
注射用水 2221
1時間後の降水 非互換
注射薬 Heparin sodium 10 UI/ml
注射薬 Ethanol 70 %
注射用水 +滅菌 2221
即時降水 非互換
注射薬 Heparin sodium 10 UI/ml
注射薬 Ethanol 70 %
注射用水 2221
対応
注射薬 Heparin sodium 100 UI/ml
注射薬 Etoposide phosphate 5 mg/ml
グルコース5% 1410
対応
注射薬 Heparin sodium 40 UI/ml
注射薬 Famotidine
グルコース5% 397
対応
注射薬 Heparin sodium 50 UI/ml
注射薬 Famotidine 0.2 mg/ml
グルコース5% 398
対応
注射薬 Heparin sodium 40 UI/ml
注射薬 Famotidine 2 mg/ml
NaCl 0,9% 215
対応
注射薬 Heparin sodium 100 UI/ml
注射薬 Fenoldopam mesylate 80 µg/ml
NaCl 0,9% 1803
対応
注射薬 Heparin sodium 100 UI/ml
注射薬 Fentanyl citrate 50 µg/ml
4389
対応
注射薬 Heparin sodium 1 UI/ml
注射薬 Fentanyl citrate 50 µg/ml
グルコース5% 1228
対応
注射薬 Heparin sodium 1 UI/ml
注射薬 Fentanyl citrate 50 µg/ml
乳酸リンゲル 1228
対応
注射薬 Heparin sodium 1 UI/ml
注射薬 Fentanyl citrate 50 µg/ml
NaCl 0,9% 1228
対応
注射薬 Heparin sodium 100 UI/ml
注射薬 Fentanyl citrate 50 µg/ml
314
即時降水 非互換
注射薬 Heparin sodium 100 UI/ml
注射薬 Filgrastim 30 µg/ml
グルコース5% 244
対応
注射薬 Heparin sodium 1000 UI/ml
注射薬 Fluconazole 2 mg/ml
NaCl 0,9% 496
対応
注射薬 Heparin sodium 50 UI/ml
注射薬 Fluconazole 2 mg/ml
なし 317
対応
注射薬 Heparin sodium 40 >> 1000 UI/ml
注射薬 Fludarabine phosphate 1 mg/ml
グルコース5% 492
対応
注射薬 Heparin sodium 50 UI/ml
注射薬 Flumazenil 0,02 mg/ml
グルコース5% 187
対応
注射薬 Heparin sodium 5 UI/ml
注射薬 Fluorouracil 0,8 mg/ml
NaCl 0,9% 156
対応
注射薬 Heparin sodium 5 UI/ml
注射薬 Fluorouracil 0,8 mg/ml
グルコース5% 156
対応
注射薬 Heparin sodium 1 UI/ml
注射薬 Fluorouracil 50 mg/ml
NaCl 0,9% 1228
対応
注射薬 Heparin sodium 960 UI/ml
注射薬 Fluorouracil 24 mg/ml
グルコース5% 163
対応
注射薬 Heparin sodium 1 UI/ml
注射薬 Fluorouracil 50 mg/ml
グルコース5% 1228
対応
注射薬 Heparin sodium 1000 UI/ml
注射薬 Fluorouracil 50 mg/ml
763
対応
注射薬 Heparin sodium 1 UI/ml
注射薬 Fluorouracil 50 mg/ml
乳酸リンゲル 1228
対応
注射薬 Heparin sodium 1000 UI/ml
注射薬 Folinate calcium 10 mg/ml
763
対応
注射薬 Heparin sodium 100 UI/ml
注射薬 Foscarnet sodium 24 mg/ml
グルコース5% 1135
対応
注射薬 Heparin sodium 100 UI/ml
注射薬 Foscarnet sodium 24 mg/ml
NaCl 0,9% 1135
対応
注射薬 Heparin sodium 1000 UI/ml
注射薬 Foscarnet sodium 24 mg/ml
なし 73
対応
注射薬 Heparin sodium 1000 UI/ml
注射薬 Fosfomycin 30 mg/ml
グルコース5% 4055
対応
注射薬 Heparin sodium 1000 UI/ml
注射薬 Fosfomycin 30 mg/ml
NaCl 0,9% 4055
対応
注射薬 Heparin sodium 100 UI/ml
注射薬 Furosemide 10 mg/ml
314
対応
注射薬 Heparin sodium 1 UI/ml
注射薬 Furosemide 10 mg/ml
NaCl 0,9% 1228
5時間後の降水 非互換
注射薬 Heparin sodium 100 UI/ml
注射薬 Furosemide 10 mg/ml
グルコース5% 4724
対応
注射薬 Heparin sodium 20 UI/ml
注射薬 Furosemide 1 mg/ml
NaCl 0,9% 1232
対応
注射薬 Heparin sodium 58,34 UI/ml
注射薬 Furosemide 5,21 mg/ml
グルコース5% 1289
対応
注射薬 Heparin sodium
注射薬 Furosemide
3465
対応
注射薬 Heparin sodium 1 UI/ml
注射薬 Furosemide 10 mg/ml
乳酸リンゲル 1228
対応
注射薬 Heparin sodium 1000 UI/ml
注射薬 Furosemide 10 mg/ml
763
対応
注射薬 Heparin sodium 10 UI/ml
注射薬 Furosemide 10 mg/ml
なし 3210
対応
注射薬 Heparin sodium 500 UI/ml
注射薬 Furosemide 10 mg/ml
NaCl 0,9% 3823
対応
注射薬 Heparin sodium 500 UI/ml
注射薬 Furosemide 10 mg/ml
なし 3134
対応
注射薬 Heparin sodium 1 UI/ml
注射薬 Furosemide 10 mg/ml
グルコース5% 1228
対応
注射薬 Heparin sodium 40 UI/ml
注射薬 Gallium nitrate 1 mg/ml
NaCl 0,9% 91
対応
注射薬 Heparin sodium 100 UI/ml
注射薬 Gemcitabine hydrochloride 10 mg/ml
NaCl 0,9% 1423
すぐに濁り 非互換
注射薬 Heparin sodium 2500 UI/ml
注射薬 Gentamicin sulfate 3 mg/ml
4612
不特定の非互換性 非互換
注射薬 Heparin sodium
注射薬 Gentamicin sulfate
3520
不特定の非互換性 非互換
注射薬 Heparin sodium
注射薬 Gentamicin sulfate
3643
即時降水 非互換
注射薬 Heparin sodium
注射薬 Gentamicin sulfate
1022
不特定の非互換性 非互換
注射薬 Heparin sodium 50 UI/ml
注射薬 Gentamicin sulfate 2 mg/ml
なし 317
即時降水 非互換
注射薬 Heparin sodium 10 >> 40 UI/ml
注射薬 Gentamicin sulfate 4 >> 40 mg/ml
1258
即時降水 非互換
注射薬 Heparin sodium 2500 UI/ml
注射薬 Gentamicin sulfate 4 & 5 mg/ml
4612
不特定の非互換性 非互換
注射薬 Heparin sodium
注射薬 Gentamicin sulfate
3540
対応
注射薬 Heparin sodium 2500 UI/ml
注射薬 Gentamicin sulfate 1 & 2 mg/ml
4612
対応
注射薬 Heparin sodium 50 UI/ml
注射薬 Glycerophosphate disodium
NaCl 0,9% 4332
対応
注射薬 Heparin sodium 100 UI/ml
注射薬 Granisetron hydrochloride 0.05 mg/ml
グルコース5% 182
即時降水 非互換
注射薬 Heparin sodium 100 & 200 UI/ml
注射薬 Haloperidol lactate 5 mg/ml
グルコース5% 617
即時降水 非互換
注射薬 Heparin sodium 100 & 200 UI/ml
注射薬 Haloperidol lactate 5 mg/ml
NaCl 0,9% 617
対応
注射薬 Heparin sodium 500 UI/ml
注射薬 Haloperidol lactate 0.5 mg/ml
NaCl 0,9% 3823
不特定の非互換性 非互換
注射薬 Heparin sodium
注射薬 Haloperidol lactate
3540
対応
注射薬 Heparin sodium 100 UI/ml
注射薬 Hetastarch 60 mg/ml
特定の溶媒 1721
不特定の非互換性 非互換
注射薬 Heparin sodium
注射薬 Hyaluronidase
3617
不特定の非互換性 非互換
注射薬 Heparin sodium
注射薬 Hyaluronidase
3184
不特定の非互換性 非互換
注射薬 Heparin sodium
注射薬 Hyaluronidase
3540
対応
注射薬 Heparin sodium 1 UI/ml
注射薬 Hydralazine hydrochloride 20 mg/ml
グルコース5% 1228
対応
注射薬 Heparin sodium 1 UI/ml
注射薬 Hydralazine hydrochloride 20 mg/ml
乳酸リンゲル 1228
対応
注射薬 Heparin sodium 1 UI/ml
注射薬 Hydralazine hydrochloride 20 mg/ml
NaCl 0,9% 1228
対応
注射薬 Heparin sodium 100 UI/ml
注射薬 Hydrocortisone sodium succinate 125 mg/ml
NaCl 0,9% 132
不特定の非互換性 非互換
注射薬 Heparin sodium
注射薬 Hydrocortisone sodium succinate
3540
対応
注射薬 Heparin sodium 50 UI/ml
注射薬 Hydrocortisone sodium succinate 2 mg/ml
なし 317
対応
注射薬 Heparin sodium 100 UI/ml
注射薬 Hydrocortisone sodium succinate 125 mg/ml
グルコース5% 132
対応
注射薬 Heparin sodium
注射薬 Hydromorphone hydrochloride <12.5 mg/ml
NaCl 0,9% 66
対応
注射薬 Heparin sodium 100 UI/ml
注射薬 Hydromorphone hydrochloride 1 mg/ml
314
即時降水 非互換
注射薬 Heparin sodium <12,5 UI/ml
注射薬 Hydromorphone hydrochloride >25 mg/ml
NaCl 0,9% 66
対応
注射薬 Heparin sodium
注射薬 Hydromorphone hydrochloride <12.5 mg/ml
注射用水 66
即時降水 非互換
注射薬 Heparin sodium <1 UI/ml
注射薬 Hydromorphone hydrochloride >10 mg/ml
注射用水 66
即時降水 非互換
注射薬 Heparin sodium <12,5 UI/ml
注射薬 Hydromorphone hydrochloride >25 mg/ml
注射用水 66
対応
注射薬 Heparin sodium 100 UI/ml
注射薬 Ibuprofen lysinate 10 mg/ml
注射用水 4419
対応
注射薬 Heparin sodium 10 UI/ml
注射薬 Ibuprofen lysinate 10 mg/ml
注射用水 4419
すぐに濁り 非互換
注射薬 Heparin sodium 100 & 1000 UI/ml
注射薬 Idarubicin hydrochloride 1 mg/ml
NaCl 0,9% 491
即時降水 非互換
注射薬 Heparin sodium
注射薬 Idarubicin hydrochloride
5075
対応
注射薬 Heparin sodium
注射薬 Imipenem-Cilastatin / Relebactam
4809
対応
注射薬 Heparin sodium 1000 UI/ml
注射薬 Imipenem-Cilastatin / Relebactam 5 mg/ml
NaCl 0,9% 4433
対応
注射薬 Heparin sodium 1000 UI/ml
注射薬 Imipenem-Cilastatin / Relebactam 5 mg/ml
グルコース5% 4433
対応
注射薬 Heparin sodium 500 UI/ml
注射薬 Insulin 2 UI/ml
NaCl 0,9% 3823
対応
注射薬 Heparin sodium 60 UI/ml
注射薬 Insulin 0.2 UI/ml
NaCl 0,9% 129
対応
注射薬 Heparin sodium 50 & 400 UI/ml
注射薬 Insulin aspart 1 UI/ml
グルコース5% 1508
対応
注射薬 Heparin sodium 50 & 400 UI/ml
注射薬 Insulin aspart 1 UI/ml
NaCl 0,9% 1508
対応
注射薬 Heparin sodium 10000 UI/ml
注射薬 Iohexol 300 mg I/ml
なし 1085
対応
注射薬 Heparin sodium 10000 UI/ml
注射薬 Ioxaglate 320 mg I/ml
なし 1085
すぐに濁り 非互換
注射薬 Heparin sodium 1000 UI/ml
注射薬 Isavuconazonium sulfate 1.5 mg/ml
NaCl 0,9% 3829
すぐに濁り 非互換
注射薬 Heparin sodium 1000 UI/ml
注射薬 Isavuconazonium sulfate 1.5 mg/ml
グルコース5% 3829
対応
注射薬 Heparin sodium 1 UI/ml
注射薬 Isoprenaline hydrochloride 0.2 mg/ml
グルコース5% 1228
対応
注射薬 Heparin sodium 1 UI/ml
注射薬 Isoprenaline hydrochloride 0.2 mg/ml
NaCl 0,9% 1228
対応
注射薬 Heparin sodium 1 UI/ml
注射薬 Isoprenaline hydrochloride 0.2 mg/ml
乳酸リンゲル 1228
不特定の非互換性 非互換
注射薬 Heparin sodium
注射薬 Kanamycin sulfate
3540
即時降水 非互換
注射薬 Heparin sodium 25000 UI/ml
注射薬 Ketamine hydrochloride 50 mg/ml
2109
対応
注射薬 Heparin sodium 100 UI/ml
注射薬 Labetalol hydrochloride 2 mg/ml
314
不特定の非互換性 非互換
注射薬 Heparin sodium 500 UI/ml
注射薬 Labetalol hydrochloride 4 mg/ml
NaCl 0,9% 3823
不特定の非互換性 非互換
注射薬 Heparin sodium
注射薬 Labetalol hydrochloride
3540
即時降水 非互換
注射薬 Heparin sodium 100 UI/ml
注射薬 Labetalol hydrochloride 5 mg/ml
グルコース5% 295
対応
注射薬 Heparin sodium 40 UI/ml
注射薬 Labetalol hydrochloride 1 mg/ml
グルコース5% 386
対応
注射薬 Heparin sodium 100 UI/ml
注射薬 Lansoprazole 0.55 mg/ml
NaCl 0,9% 1625
4時間で濁り 非互換
注射薬 Heparin sodium 100 UI/ml
注射薬 Levetiracetam 100 mg/ml
グルコース5% 4108
すぐに濁り 非互換
注射薬 Heparin sodium 208,3 UI/ml
注射薬 Levetiracetam 15 mg/ml
NaCl 0,9% 4698
不特定の非互換性 非互換
注射薬 Heparin sodium
注射薬 Levofloxacine
3920
即時降水 非互換
注射薬 Heparin sodium 10 UI/ml
注射薬 Levofloxacine 5 mg/ml
グルコース5% 1072
不特定の非互換性 非互換
注射薬 Heparin sodium
注射薬 Levomepromazine
3540
対応
注射薬 Heparin sodium 100 UI/ml
注射薬 Levosimendan 2,5 mg/ml
グルコース5% 4389
対応
注射薬 Heparin sodium 50 UI/ml
注射薬 Lidocaine hydrochloride 4 mg/ml
なし 317
対応
注射薬 Heparin sodium 1000 UI/ml
注射薬 Linezolid 2 mg/ml
なし 1925
対応
注射薬 Heparin sodium 10 >> 10000 UI/ml
注射薬 Linezolid 0.2 >> 1.92 mg/ml
NaCl 0,9% 2057
対応
注射薬 Heparin sodium 417 UI/ml
注射薬 Lorazepam 0.33 mg/ml
NaCl 0,9% 186
対応
注射薬 Heparin sodium 100 UI/ml
注射薬 Lorazepam 0.5 mg/ml
314
対応
注射薬 Heparin sodium 1 UI/ml
注射薬 Magnesium sulfate 5 mg/ml
NaCl 0,9% 1228
対応
注射薬 Heparin sodium 50 UI/ml
注射薬 Magnesium sulfate 15.6 mg/ml
NaCl 0,9% 2100
対応
注射薬 Heparin sodium 1 UI/ml
注射薬 Magnesium sulfate 5 mg/ml
乳酸リンゲル 1228
対応
注射薬 Heparin sodium 1 UI/ml
注射薬 Magnesium sulfate 5 mg/ml
グルコース5% 1228
対応
注射薬 Heparin sodium 100 UI/ml
注射薬 Melphalan 0.1 mg/ml
NaCl 0,9% 169
対応
注射薬 Heparin sodium 0.5 UI/ml
注射薬 Meropenem 0.5 mg/ml
Dianéal® 4.25% glucose (Baxter) 4180
対応
注射薬 Heparin sodium 0.5 UI/ml
注射薬 Meropenem 0.5 mg/ml
Extraneal® (Baxter) 4180
対応
注射薬 Heparin sodium 1000 UI/ml
注射薬 Meropenem 50 mg/ml
注射用水 4319
対応
注射薬 Heparin sodium 1 UI/ml
注射薬 Meropenem 1 & 50 mg/ml
NaCl 0,9% 266
対応
注射薬 Heparin sodium 0.5 UI/ml
注射薬 Meropenem 0.5 mg/ml
Dianéal® 1.5% glucose (Baxter) 4180
対応
注射薬 Heparin sodium 20 UI/ml
注射薬 Meropenem 1 & 20 mg/ml
NaCl 0,9% 266
対応
注射薬 Heparin sodium 0.5 UI/ml
注射薬 Meropenem 0.5 mg/ml
Dianéal® 2.5% glucose (Baxter) 4180
対応
注射薬 Heparin sodium 50 UI/ml
注射薬 Methadone hydrochloride 0.2 mg/ml
グルコース5% 1506
対応
注射薬 Heparin sodium 50 UI/ml
注射薬 Methadone hydrochloride 0.2 mg/ml
NaCl 0,9% 1506
不特定の非互換性 非互換
注射薬 Heparin sodium
注射薬 Methotrexate sodium
3637
対応
注射薬 Heparin sodium 1000 UI/ml
注射薬 Methotrexate sodium 25 mg/ml
763
対応
注射薬 Heparin sodium 500 UI/ml
注射薬 Methotrexate sodium 30 mg/ml
NaCl 0,9% 150
対応
注射薬 Heparin sodium 100 UI/ml
注射薬 Methylprednisolone sodium succinate 5 mg/ml
グルコース5% 132
対応
注射薬 Heparin sodium 50 UI/ml
注射薬 Methylprednisolone sodium succinate 2.5 mg/ml
なし 317
対応
注射薬 Heparin sodium 100 UI/ml
注射薬 Methylprednisolone sodium succinate 5 mg/ml
NaCl 0,9% 132
対応
注射薬 Heparin sodium 1000 UI/ml
注射薬 Metoclopramide hydrochloride 5 mg/ml
763
化学的不安定性 非互換
注射薬 Heparin sodium 1000 UI/ml
注射薬 Metoprolol tartrate 1 mg/ml
なし 2346
対応
注射薬 Heparin sodium 50 UI/ml
注射薬 Metronidazole 5 mg/ml
なし 317
対応
注射薬 Heparin sodium 100 UI/ml
注射薬 Micafungin 1.5 mg/ml
NaCl 0,9% 2108
すぐに濁り 非互換
注射薬 Heparin sodium 208,3 UI/ml
注射薬 Midazolam hydrochloride 1 mg/ml
NaCl 0,9% 4698
対応
注射薬 Heparin sodium 500 UI/ml
注射薬 Midazolam hydrochloride 2.1 mg/ml
NaCl 0,9% 3823
対応
注射薬 Heparin sodium 417 UI/ml
注射薬 Midazolam hydrochloride 5 mg/ml
なし 186
対応
注射薬 Heparin sodium 100 UI/ml
注射薬 Midazolam hydrochloride 5 mg/ml
4389
対応
注射薬 Heparin sodium 100 UI/ml
注射薬 Midazolam hydrochloride 2 mg/ml
314
対応
注射薬 Heparin sodium 200 UI/ml
注射薬 Milrinone lactate 0.8 mg/ml
グルコース5% 813
対応
注射薬 Heparin sodium 100 UI/ml
注射薬 Milrinone lactate 0.2 mg/ml
314
対応
注射薬 Heparin sodium 1 UI/ml
注射薬 Minocycline hydrochloride 0.2 mg/ml
グルコース5% 1228
対応
注射薬 Heparin sodium 1 UI/ml
注射薬 Minocycline hydrochloride 0.2 mg/ml
乳酸リンゲル 1228
対応
注射薬 Heparin sodium 1 UI/ml
注射薬 Minocycline hydrochloride 0.2 mg/ml
NaCl 0,9% 1228
不特定の非互換性 非互換
注射薬 Heparin sodium
注射薬 Mitoxantrone dihydrochloride
3640
不特定の非互換性 非互換
注射薬 Heparin sodium
注射薬 Morphine hydrochloride
5069
対応
注射薬 Heparin sodium 100 & 200 UI/ml
注射薬 Morphine sulfate 1 >> 5 mg/ml
注射用水 341
対応
注射薬 Heparin sodium 1 UI/ml
注射薬 Morphine sulfate 15 mg/ml
乳酸リンゲル 1228
不特定の非互換性 非互換
注射薬 Heparin sodium
注射薬 Morphine sulfate
3531
対応
注射薬 Heparin sodium 1 UI/ml
注射薬 Morphine sulfate 15 mg/ml
グルコース5% 1228
対応
注射薬 Heparin sodium 1 UI/ml
注射薬 Morphine sulfate 15 mg/ml
NaCl 0,9% 1228
対応
注射薬 Heparin sodium 60 UI/ml
注射薬 Morphine sulfate 1 mg/ml
NaCl 0,9% 406
対応
注射薬 Heparin sodium 100 & 200 UI/ml
注射薬 Morphine sulfate 10 mg/ml
注射用水 341
対応
注射薬 Heparin sodium 100 UI/ml
注射薬 Morphine sulfate 2 mg/ml
314
化学的不安定性 非互換
注射薬 Heparin sodium 100 & 200 UI/ml
注射薬 Morphine sulfate 1 >> 10 mg/ml
NaCl 0,9% 341
対応
注射薬 Heparin sodium 1000 UI/ml
注射薬 N-acetylcysteine 200 mg/ml
なし 3766
対応
注射薬 Heparin sodium 50 UI/ml
注射薬 Nafcillin sodium 20 mg/ml
なし 317
対応
注射薬 Heparin sodium 1000 UI/ml
注射薬 Naloxone hydrochloride 0.4 mg/ml
なし 3408
すぐに濁り 非互換
注射薬 Heparin sodium 208,3 UI/ml
注射薬 Nefopam 1,7 mg/ml
NaCl 0,9% 4698
対応
注射薬 Heparin sodium 1 UI/ml
注射薬 Neostigmine methylsulfate 0.5 mg/ml
グルコース5% 1228
対応
注射薬 Heparin sodium 1 UI/ml
注射薬 Neostigmine methylsulfate 0.5 mg/ml
NaCl 0,9% 1228
対応
注射薬 Heparin sodium 1 UI/ml
注射薬 Neostigmine methylsulfate 0.5 mg/ml
乳酸リンゲル 1228
不特定の非互換性 非互換
注射薬 Heparin sodium
注射薬 Nesiritide
5048
不特定の非互換性 非互換
注射薬 Heparin sodium
注射薬 Netilmicin sulfate
3540
即時降水 非互換
注射薬 Heparin sodium
注射薬 Netilmicin sulfate
1022
即時降水 非互換
注射薬 Heparin sodium 100 UI/ml
注射薬 Nicardipine hydrochloride 1 mg/ml
314
不特定の非互換性 非互換
注射薬 Heparin sodium
注射薬 Nicardipine hydrochloride
3540
対応
注射薬 Heparin sodium 40 UI/ml
注射薬 Nicardipine hydrochloride 0.1 mg/ml
グルコース5% 1490
対応
注射薬 Heparin sodium 40 UI/ml
注射薬 Nicardipine hydrochloride 0.1 mg/ml
NaCl 0,9% 1490
即時降水 非互換
注射薬 Heparin sodium 100 UI/ml
注射薬 Nitroglycerin 1,6 >> 3,25 mg/ml
グルコース5% 295
対応
注射薬 Heparin sodium 500 UI/ml
注射薬 Nitroglycerin 0.2 mg/ml
NaCl 0,9% 3823
気泡の生成 非互換
注射薬 Heparin sodium 50 UI/ml
注射薬 Nitroglycerin 0.2 mg/ml
なし 317
対応
注射薬 Heparin sodium 500 UI/ml
注射薬 Nitroglycerin 0.2 mg/ml
グルコース5% 3823
対応
注射薬 Heparin sodium 100 UI/ml
注射薬 Nitroglycerin 0.4 mg/ml
314
対応
注射薬 Heparin sodium 50 UI/ml
注射薬 Nitroprusside sodium 0.2 mg/ml
なし 317
対応
注射薬 Heparin sodium 100 UI/ml
注射薬 Nitroprusside sodium 0.2 mg/ml
グルコース5% 295
対応
注射薬 Heparin sodium 100 UI/ml
注射薬 Norepinephrine bitartrate 0.128 mg/ml
314
不特定の非互換性 非互換
注射薬 Heparin sodium
注射薬 Ofloxacin
3562
対応
注射薬 Heparin sodium 40 UI/ml
注射薬 Ondansetron hydrochloride 1 mg/ml
NaCl 0,9% 334
非互換
注射薬 Heparin sodium 200 UI/ml
注射薬 Ondansetron hydrochloride 1.6 mg/ml
1699
すぐに濁り 非互換
注射薬 Heparin sodium 100 UI/ml
注射薬 Oritavancin 0.8 >>1.2 mg/ml
グルコース5% 3152
4時間後の降水 非互換
注射薬 Heparin sodium 100 UI/ml
注射薬 Oritavancin 2 mg/ml
グルコース5% 3152
対応
注射薬 Heparin sodium 208 UI/ml
注射薬 Ornidazole 31.25 mg/ml
NaCl 0,9% 4254
対応
注射薬 Heparin sodium 1 UI/ml
注射薬 Oxacillin sodium 100 mg/ml
グルコース5% 1228
対応
注射薬 Heparin sodium 1 UI/ml
注射薬 Oxacillin sodium 100 mg/ml
乳酸リンゲル 1228
対応
注射薬 Heparin sodium 1 UI/ml
注射薬 Oxacillin sodium 100 mg/ml
NaCl 0,9% 1228
対応
注射薬 Heparin sodium 100 UI/ml
注射薬 Oxaliplatin 0,5 mg/ml
グルコース5% 1662
不特定の非互換性 非互換
注射薬 Heparin sodium
注射薬 Oxytetracycline hydrochloride
3540
対応
注射薬 Heparin sodium 100 UI/ml
注射薬 Paclitaxel 1.2 mg/ml
グルコース5% 248
対応
注射薬 Heparin sodium 100 UI/ml
注射薬 Palonosetron hydrochloride 50 µg/ml
グルコース5% 2279
対応
注射薬 Heparin sodium 40 UI/ml
注射薬 Pancuronium bromide 0.05 mg/ml
グルコース5% 402
1時間後の降水 非互換
注射薬 Heparin sodium
注射薬 Pantoprazole sodium
2090
対応
注射薬 Heparin sodium 208,3 UI/ml
注射薬 Paracetamol 10 mg/ml
NaCl 0,9% 4698
対応
注射薬 Heparin sodium 1000 UI/ml
注射薬 Paracetamol 10 mg/ml
4742
対応
注射薬 Heparin sodium 100 UI/ml
注射薬 Pemetrexed disodium 20 mg/ml
NaCl 0,9% 1953
不特定の非互換性 非互換
注射薬 Heparin sodium
注射薬 Penicillin G potassium
3540
対応
注射薬 Heparin sodium 50 UI/ml
注射薬 Penicillin G potassium 0.04 MUI/ml
なし 317
不特定の非互換性 非互換
注射薬 Heparin sodium
注射薬 Penicillin G sodium
3540
対応
注射薬 Heparin sodium 100 UI/ml
注射薬 Pentoxifyllin 5 mg/ml
NaCl 0,9% 4538
すぐに濁り 非互換
注射薬 Heparin sodium
注射薬 Pethidine hydrochloride
3525
対応
注射薬 Heparin sodium 60 UI/ml
注射薬 Pethidine hydrochloride 10 mg/ml
NaCl 0,9% 406
不特定の非互換性 非互換
注射薬 Heparin sodium
注射薬 Pethidine hydrochloride
3540
即時降水 非互換
注射薬 Heparin sodium 50 UI/ml
注射薬 Phenytoin sodium 2 mg/ml
なし 317
対応
注射薬 Heparin sodium 50 UI/ml
注射薬 Piperacillin sodium 60 mg/ml
なし 317
対応
注射薬 Heparin sodium 10 & 5000 UI/ml
注射薬 Piperacillin sodium 40 mg/ml
NaCl 0,9% 2037
対応
注射薬 Heparin sodium 0.5 UI/ml
注射薬 Piperacillin sodium / tazobactam 0.5/0.0625 mg/ml
Dianéal® 2.5% glucose (Baxter) 4180
対応
注射薬 Heparin sodium 0.5 UI/ml
注射薬 Piperacillin sodium / tazobactam 0.5/0.0625 mg/ml
Dianéal® 4.25% glucose (Baxter) 4180
すぐに濁り 非互換
注射薬 Heparin sodium 1000 UI/ml
注射薬 Plazomicin sulfate 24 mg/ml
NaCl 0,9% 4145
不特定の非互換性 非互換
注射薬 Heparin sodium
注射薬 Polymyxine B
3540
対応
注射薬 Heparin sodium 50 UI/ml
注射薬 Potassium chloride 200 mEq/l
なし 317
対応
注射薬 Heparin sodium 1 UI/ml
注射薬 Procainamide hydrochloride 100 mg/ml
乳酸リンゲル 1228
対応
注射薬 Heparin sodium 1 UI/ml
注射薬 Procainamide hydrochloride 100 mg/ml
NaCl 0,9% 1228
対応
注射薬 Heparin sodium 1 UI/ml
注射薬 Prochlorperazine edysilate 5 mg/ml
NaCl 0,9% 1228
対応
注射薬 Heparin sodium 3 >> 20 UI/ml
非経口的栄養(二元混合物) 791
対応
注射薬 Heparin sodium 100 UI/ml
非経口的栄養(二元混合物) 301
対応
注射薬 Heparin sodium 500 UI/ml
非経口的栄養(二元混合物) 939
対応
注射薬 Heparin sodium 1 UI/ml
注射薬 Prochlorperazine edysilate 5 mg/ml
乳酸リンゲル 1228
対応
注射薬 Heparin sodium 1 UI/ml
注射薬 Promethazine hydrochloride 50 mg/ml
NaCl 0,9% 1228
対応
注射薬 Heparin sodium 1 UI/ml
注射薬 Promethazine hydrochloride 50 mg/ml
乳酸リンゲル 1228
対応
注射薬 Heparin sodium 1 UI/ml
注射薬 Propranolol hydrochloride 1 mg/ml
乳酸リンゲル 1228
対応
注射薬 Heparin sodium 1 UI/ml
注射薬 Propranolol hydrochloride 1 mg/ml
NaCl 0,9% 1228
対応
注射薬 Heparin sodium 50 UI/ml
注射薬 Ranitidine hydrochloride 0,5 mg/ml
グルコース5% 396
対応
注射薬 Heparin sodium 10 & 40 UI/ml
注射薬 Ranitidine hydrochloride 0.05 & 2 mg/ml
NaCl 0,9% 214
対応
注射薬 Heparin sodium 50 UI/ml
注射薬 Ranitidine hydrochloride 1 mg/ml
なし 317
対応
注射薬 Heparin sodium 1000 UI/ml
注射薬 Remdesivir 1 mg/ml
NaCl 0,9% 4768
対応
注射薬 Heparin sodium 100 UI/ml
注射薬 Remifentanil hydrochloride 25 & 250 µg/ml
NaCl 0,9% 59
対応
注射薬 Heparin sodium 500 UI/ml
注射薬 Remifentanil hydrochloride 100 µg/ml
NaCl 0,9% 3823
対応
注射薬 Heparin sodium 500 UI/ml
NaHCO3 150
対応
注射薬 Heparin sodium 1.4 UI/ml
注射薬 Piperacillin sodium / tazobactam 1.38/0.1725 mg/ml
Physionéal® 2.27 (Baxter) 4180
対応
注射薬 Heparin sodium 1.4 UI/ml
注射薬 Piperacillin sodium / tazobactam 1.38/0.1725 mg/ml
Physionéal® 1.36 (Baxter) 4180
対応
注射薬 Heparin sodium 0.5 UI/ml
注射薬 Piperacillin sodium / tazobactam 0.5/0.0625 mg/ml
Dianéal® 1.5% glucose (Baxter) 4180
対応
注射薬 Heparin sodium 1.4 UI/ml
注射薬 Piperacillin sodium / tazobactam 1.38/0.1725 mg/ml
Physionéal® 3.86 (Baxter) 4180
対応
注射薬 Heparin sodium 100 UI/ml
注射薬 Piperacillin sodium / tazobactam 40/5 mg/ml
グルコース5% 81
対応
注射薬 Heparin sodium 0.5 UI/ml
注射薬 Piperacillin sodium / tazobactam 0.5/0.0625 mg/ml
Extraneal® (Baxter) 4180
対応
注射薬 Heparin sodium 500 UI/ml
注射薬 Potassium chloride 10 mEq/l
NaCl 0,9% 3823
対応
注射薬 Heparin sodium 58,34 UI/ml
注射薬 Potassium chloride 1250 mEq/l
グルコース5% 1289
対応
注射薬 Heparin sodium
注射薬 Potassium phosphate
3781
対応
注射薬 Heparin sodium 1 UI/ml
注射薬 Procainamide hydrochloride 100 mg/ml
グルコース5% 1228
対応
注射薬 Heparin sodium 1 UI/ml
注射薬 Prochlorperazine edysilate 5 mg/ml
グルコース5% 1228
対応
注射薬 Heparin sodium 1 UI/ml
注射薬 Promethazine hydrochloride 50 mg/ml
グルコース5% 1228
不特定の非互換性 非互換
注射薬 Heparin sodium
注射薬 Promethazine hydrochloride
3540
1時間後のエマルジョンの不安定性 非互換
注射薬 Heparin sodium 1000 UI/ml
注射薬 Propofol
660
対応
注射薬 Heparin sodium 100 UI/ml
注射薬 Propofol 10 mg/ml
なし 300
対応
注射薬 Heparin sodium 1 UI/ml
注射薬 Propranolol hydrochloride 1 mg/ml
グルコース5% 1228
対応
注射薬 Heparin sodium 100 UI/ml
注射薬 Ranitidine hydrochloride 1 mg/ml
314
対応
注射薬 Heparin sodium 10 & 40 UI/ml
注射薬 Ranitidine hydrochloride 0.05 & 2 mg/ml
グルコース5% 214
対応
注射薬 Heparin sodium 416.7 UI/ml
注射薬 Remifentanil hydrochloride 120 µg/ml
グルコース5% 3294
対応
注射薬 Heparin sodium 416.7 UI/ml
注射薬 Remifentanil hydrochloride 120 µg/ml
グルコース5% 3176
不特定の非互換性 非互換
注射薬 Heparin sodium
注射薬 Reteplase
2212
対応
注射薬 Heparin sodium 20,458 >> 28,000 UI/ml
非経口的栄養(脂肪含む) 1868
不特定の非互換性 非互換
注射薬 Heparin sodium
注射薬 Reteplase
3540
対応
注射薬 Heparin sodium 1000 UI/ml
注射薬 Salbutamol sulfate 1 mg/ml
なし 3216
対応
注射薬 Heparin sodium 100 UI/ml
注射薬 Sargramostim 6 §15 µg/ml
NaCl 0,9% 891
対応
注射薬 Heparin sodium 100 UI/ml
注射薬 Sargramostim 10 µg/ml
NaCl 0,9% 335
対応
注射薬 Heparin sodium 1 UI/ml
注射薬 Scopolamine hydrobromide 0.86 mg/ml
NaCl 0,9% 1228
対応
注射薬 Heparin sodium 1 UI/ml
注射薬 Scopolamine hydrobromide 0.86 mg/ml
乳酸リンゲル 1228
対応
注射薬 Heparin sodium 1 UI/ml
注射薬 Scopolamine hydrobromide 0.86 mg/ml
グルコース5% 1228
対応
注射薬 Heparin sodium 100 UI/ml
注射薬 Sildenafil citrate 0,6 mg/ml
グルコース5% 4845
対応
注射薬 Heparin sodium 100 UI/ml
注射薬 Sildenafil citrate 0,06 mg/ml
グルコース5% 4845
対応
注射薬 Heparin sodium 1 UI/ml
注射薬 Sildenafil citrate 0,4 mg/ml
グルコース5% 3923
対応
注射薬 Heparin sodium 2 UI/ml
注射薬 Sildenafil citrate 0,6 mg/ml
グルコース5% 4845
対応
注射薬 Heparin sodium
NaCl 0,9% 3540
エマルジョンの即時の不安定性 非互換
注射薬 Heparin sodium 100 UI/ml
非経口的栄養(脂肪含む) 132
すぐに濁り 非互換
注射薬 Heparin sodium 100 UI/ml
注射薬 Sildenafil citrate 0,6 mg/ml
グルコース5% 4845
対応
注射薬 Heparin sodium 500 UI/ml
注射薬 Sodium bicarbonate 84 mg/ml
NaCl 0,9% 3823
対応
注射薬 Heparin sodium
注射薬 Sodium bicarbonate
3466
対応
注射薬 Heparin sodium 500 UI/ml
注射薬 Sodium bicarbonate 14 mg/ml
なし 150
対応
注射薬 Heparin sodium 500 UI/ml
注射薬 Sodium bicarbonate 84 mg/ml
なし 3212
対応
注射薬 Heparin sodium 208 UI/ml
注射薬 Spiramycine adipate 0.0625 MUI/ml
NaCl 0,9% 4254
対応
注射薬 Heparin sodium 100 UI/ml
注射薬 Streptokinase 30000 UI/ml
グルコース5% 92
不特定の非互換性 非互換
注射薬 Heparin sodium
注射薬 Streptomycin sulfate
3540
対応
注射薬 Heparin sodium 416.7 UI/ml
注射薬 Sufentanil citrate 0.005 mg/ml
グルコース5% 3294
対応
注射薬 Heparin sodium 1000 UI/ml
注射薬 Sugammadex 100 mg/ml
なし 3372
対応
注射薬 Heparin sodium 10 UI/ml
注射薬 Tacrolimus 1000 µg/ml
NaCl 0,9% 479
対応
注射薬 Heparin sodium 1000 UI/ml
乳酸リンゲル 4603
対応
注射薬 Heparin sodium 1000 UI/ml
注射薬 Sulbactam/durlobactam 15/15 mg/ml
NaCl 0,9% 4801
対応
注射薬 Heparin sodium 1000 UI/ml
注射薬 Tedizolid phosphate 0.8 mg/ml
NaCl 0,9% 3827
対応
注射薬 Heparin sodium 10 >> 10000 UI/ml
注射薬 Teicoplanine 0.02 >> 10 mg/ml
NaCl 0,9% 2057
すぐに濁り 非互換
注射薬 Heparin sodium 1000 UI/ml
注射薬 Telavancin hydrochloride 7,5 mg/ml
グルコース5% 3254
すぐに濁り 非互換
注射薬 Heparin sodium 1000 UI/ml
注射薬 Telavancin hydrochloride 7,5 mg/ml
NaCl 0,9% 3254
対応
注射薬 Heparin sodium 1000 UI/ml
注射薬 Telavancin hydrochloride 7.5 mg/ml
乳酸リンゲル 3254
即時降水 非互換
注射薬 Heparin sodium 1000 UI/ml
注射薬 Thiopental sodium 25 mg/ml
NaCl 0,9% 3767
エマルジョンの即時の不安定性 非互換
注射薬 Heparin sodium 1 UI/ml
非経口的栄養(脂肪含む) 1391
対応
注射薬 Heparin sodium 100 UI/ml
注射薬 Teniposide 0.1 mg/ml
グルコース5% 905
対応
注射薬 Heparin sodium 50 UI/ml
注射薬 Theophylline 4 mg/ml
なし 317
対応
注射薬 Heparin sodium 100 UI/ml
注射薬 Thiopental sodium 25 mg/ml
314
エマルジョンの即時の不安定性 非互換
注射薬 Heparin sodium 100 UI/ml
非経口的栄養(脂肪含む) 1415
対応
注射薬 Heparin sodium 500 UI/ml
注射薬 Thiopental sodium 60 mg/ml
NaCl 0,9% 3823
対応
注射薬 Heparin sodium 100 UI/ml
注射薬 Thiotepa 1 mg/ml
グルコース5% 249
対応
注射薬 Heparin sodium 50 UI/ml
注射薬 Ticarcillin / clavulanic acid 31 mg/ml
なし 317
対応
注射薬 Heparin sodium 500 UI/ml
注射薬 Tirofiban 250 µg/ml
NaCl 0,9% 3823
対応
注射薬 Heparin sodium 40 & 100 UI/ml
注射薬 Tirofiban 50 µg/ml
NaCl 0,9% 1420
対応
注射薬 Heparin sodium
グルコース5% 3540
対応
注射薬 Heparin sodium
注射薬 Tirofiban
1512
対応
注射薬 Heparin sodium 40 & 100 UI/ml
注射薬 Tirofiban 50 µg/ml
グルコース5% 1420
不特定の非互換性 非互換
注射薬 Heparin sodium 50 UI/ml
注射薬 Tobramycin sulfate 0.8 mg/ml
なし 317
不特定の非互換性 非互換
注射薬 Heparin sodium
注射薬 Tobramycin sulfate
3540
対応
注射薬 Heparin sodium
注射薬 Tranexamic acid
5016
不特定の非互換性 非互換
注射薬 Heparin sodium
注射薬 Triflupromazine hydrochloride
3540
対応
注射薬 Heparin sodium 500 UI/ml
注射薬 Urapidil 5 mg/ml
NaCl 0,9% 3823
即時降水 非互換
注射薬 Heparin sodium 0,5 >> 14,3 UI/ml
注射薬 Vancomycin hydrochloride 6,9 >> 14,3 mg/ml
Dianéal® PD1 4.25% glucose (Baxter) 2375
不特定の非互換性 非互換
注射薬 Heparin sodium
注射薬 Vancomycin hydrochloride
3588
不特定の非互換性 非互換
注射薬 Heparin sodium
注射薬 Vancomycin hydrochloride
3540
対応
注射薬 Heparin sodium 0,5 >> 14,3 UI/ml
注射薬 Vancomycin hydrochloride 0,015 >> 6,8 mg/ml
Dianéal® PD2 2.5% glucose (Baxter) 2375
即時降水 非互換
注射薬 Heparin sodium 0,5 >> 14,3 UI/ml
注射薬 Vancomycin hydrochloride 6,9 >> 14,3 mg/ml
Dianéal® PD2 2.5% glucose (Baxter) 2375
対応
注射薬 Heparin sodium 10 UI/ml
注射薬 Vancomycin hydrochloride 0.025 mg/ml
注射用水 3125
対応
注射薬 Heparin sodium 0,5 >> 14,3 UI/ml
注射薬 Vancomycin hydrochloride 0,015 >> 6,8 mg/ml
Dianéal® PD1 4.25% glucose (Baxter) 2375
不特定の非互換性 非互換
注射薬 Heparin sodium 50 UI/ml
注射薬 Vancomycin hydrochloride 6.6 mg/ml
なし 317
対応
注射薬 Heparin sodium 100 UI/ml
注射薬 Vancomycin hydrochloride 0.025 mg/ml
NaCl 0,9% 1414
対応
注射薬 Heparin sodium 10 UI/ml
注射薬 Vancomycin hydrochloride 2 mg/ml
NaCl 0,9% 2037
即時降水 非互換
注射薬 Heparin sodium 100 UI/ml
注射薬 Vancomycin hydrochloride 10 mg/ml
非経口的栄養(二元混合物) 132
対応
注射薬 Heparin sodium 5000 UI/ml
注射薬 Vancomycin hydrochloride 2.5 mg/ml
NaCl 0,9% 2037
対応
注射薬 Heparin sodium 100 UI/ml
注射薬 Vancomycin hydrochloride 0.025 mg/ml
NaCl 0,9% 895
対応
注射薬 Heparin sodium 100 UI/ml
注射薬 Vasopressin 2 & 4 UI/ml
NaCl 0,9% 1801
対応
注射薬 Heparin sodium 100 UI/ml
注射薬 Vecuronium bromide 1 mg/ml
314
対応
注射薬 Heparin sodium 40 UI/ml
注射薬 Vecuronium bromide 0.1 mg/ml
グルコース5% 402
対応
注射薬 Heparin sodium 20 UI/ml
注射薬 Verapamil hydrochloride 0.08 mg/ml
NaCl 0,9% 1057
対応
注射薬 Heparin sodium 20 UI/ml
注射薬 Verapamil hydrochloride 0.08 mg/ml
グルコース5% 1057
不特定の非互換性 非互換
注射薬 Heparin sodium
注射薬 Vinblastine sulfate
3540
対応
注射薬 Heparin sodium 1000 UI/ml
注射薬 Vinblastine sulfate 1 mg/ml
763
対応
注射薬 Heparin sodium 1000 UI/ml
注射薬 Vincristine sulfate 1 mg/ml
763
対応
注射薬 Heparin sodium 100 UI/ml
注射薬 Vinorelbine tartrate 1 mg/ml
NaCl 0,9% 84
対応
注射薬 Heparin sodium 100 UI/ml
注射薬 Vinorelbine tartrate 1 mg/ml
NaCl 0,9% 1070
即時降水 非互換
注射薬 Heparin sodium 10 & 100 UI/ml
注射薬 Vinorelbine tartrate 2 & 3 mg/ml
NaCl 0,9% 1070
対応
注射薬 Heparin sodium 208 UI/ml
注射薬 Voriconazole 8 mg/ml
グルコース5% 4254
対応
注射薬 Heparin sodium 208 UI/ml
注射薬 Voriconazole 8 mg/ml
NaCl 0,9% 4254
対応
注射薬 Heparin sodium 100 UI/ml
注射薬 Warfarin sodium 2 mg/ml
グルコース5% 315
対応
注射薬 Heparin sodium 100 UI/ml
注射薬 Zidovudine 4 mg/ml
グルコース5% 337

  Mentions Légales