Последно актуализиране :
27/01/2026
Антикоагулант   Heparin sodium  
Инжекция/Инжекционен
Стабилност на разтвори Стабилност на смеси Фактори, повлияващи стабилността Съвместимост Път на въвеждане Библиография Pdf
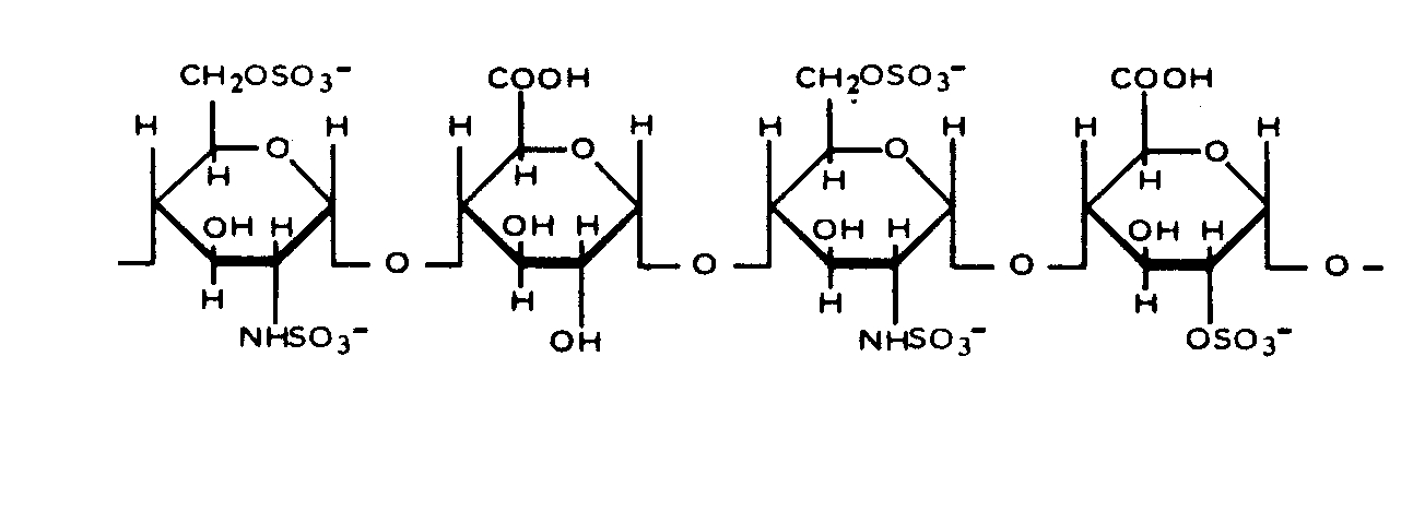
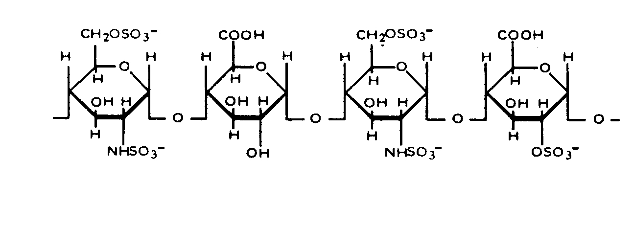
   Химична структура  

Търговско наименование   Търговско наименование     

Търговските имена са примерни и съставът на помощните вещества може да бъде различен в зависимост от държавата и лабораториите

Arapin Чили
Ateroclar Италия
Clarisco Италия
Epsoclar Италия
Hepaflex Норвегия, Финландия
Hepamax Еквадор, Колумбия, Чили
Heparin Австрия, Великобритания, Гърция, Дания, Канада, Норвегия, Русия, Съединени Американски щати / САЩ, Сърбия, Тайланд, Турция, Унгария, Финландия, Холандия, Швейцария, Швеция, Южноафриканска република / ЮАР
Heparine Белгия, Франция
Heparinised Австралия
Heparstad Германия
Liquemin Турция, Швейцария
Liquemine Бразилия
Monoparin Саудитска Арабия
Normoparin Италия
Nuparin Еквадор
Pharepa Италия
Riveparin Аржентина
Sobrius Аржентина, Еквадор
Thrombophob Германия
Съвместимост   Инжекция/Инжекционен   Съвместимост : Heparin sodium              
Този екран показва съвместимостта или несъвместимостта с, в този случай, вида на несъвместимостта (утаяване, промяна на цвета, модификация на емулсия и др.). Показаните тук съвместимости са предимно физически, като рядко се оценява химическата стабилност на всяка молекула. Оценката на тези смеси беше проучена, за да се разгледа възможността за приложение на Y-място на пациента. Тези данни не могат да се използват за предварително приготвяне на смеси в торбички или спринцовки. Този тип информация е достъпна на екрана "Стабилност в сместа".
Състав / молекула Разтворител Библиография
съвместим
Инжекция/Инжекционен Heparin sodium 100 UI/ml
Инжекция/Инжекционен Aciclovir sodium 5 mg/ml
Sodium chloride 0,9% 2335
съвместим
Инжекция/Инжекционен Heparin sodium 50 UI/ml
Инжекция/Инжекционен Aciclovir sodium 5 mg/ml
Glucose 5% 336
съвместим
Инжекция/Инжекционен Heparin sodium 100 UI/ml
Инжекция/Инжекционен Aldesleukin 0.0338 MUI/ml
Glucose 5% 36
съвместим
Инжекция/Инжекционен Heparin sodium 100 UI/ml
Инжекция/Инжекционен Allopurinol sodium 3 mg/ml
Sodium chloride 0,9% 307
съвместим
Инжекция/Инжекционен Heparin sodium 1 UI/ml
Инжекция/Инжекционен Alprostadil 20 µg/ml
Sodium chloride 0,9% 4491
съвместим
Инжекция/Инжекционен Heparin sodium 1 UI/ml
Инжекция/Инжекционен Alprostadil 20 µg/ml
Glucose 5% 4651
Валежи след 24 часа Несъвместим
Инжекция/Инжекционен Heparin sodium 100 UI/ml
Инжекция/Инжекционен Alteplase 1 mg/ml
Вода за инжекции 92
Неопределена несъвместимост Несъвместим
Инжекция/Инжекционен Heparin sodium
Инжекция/Инжекционен Alteplase
3540
Незабавни валежи Несъвместим
Инжекция/Инжекционен Heparin sodium 40 UI/ml
Инжекция/Инжекционен Alteplase 0.5 mg/ml
Вода за инжекции 240
Неопределена несъвместимост Несъвместим
Инжекция/Инжекционен Heparin sodium
Инжекция/Инжекционен Alteplase
3616
съвместим
Инжекция/Инжекционен Heparin sodium 100 UI/ml
Инжекция/Инжекционен Amifostine 10 mg/ml
Glucose 5% 3
Незабавни валежи Несъвместим
Инжекция/Инжекционен Heparin sodium
Инжекция/Инжекционен Amikacin sulfate
1022
Неопределена несъвместимост Несъвместим
Инжекция/Инжекционен Heparin sodium
Инжекция/Инжекционен Amikacin sulfate
3549
Неопределена несъвместимост Несъвместим
Инжекция/Инжекционен Heparin sodium
Инжекция/Инжекционен Amikacin sulfate
3540
Неопределена несъвместимост Несъвместим
Инжекция/Инжекционен Heparin sodium 500 UI/ml
Инжекция/Инжекционен Amiodarone hydrochloride 15 mg/ml
Sodium chloride 0,9% 3823
Неопределена несъвместимост Несъвместим
Инжекция/Инжекционен Heparin sodium
Инжекция/Инжекционен Amiodarone hydrochloride
3540
Незабавна мътност Несъвместим
Инжекция/Инжекционен Heparin sodium 500 UI/ml
Инжекция/Инжекционен Amiodarone hydrochloride 15 mg/ml
Sodium chloride 0,9% 3463
Неопределена несъвместимост Несъвместим
Инжекция/Инжекционен Heparin sodium
Инжекция/Инжекционен Amiodarone hydrochloride
3464
Неопределена несъвместимост Несъвместим
Инжекция/Инжекционен Heparin sodium 500 UI/ml
Инжекция/Инжекционен Amiodarone hydrochloride 15 mg/ml
Glucose 5% 3823
Незабавна мътност Несъвместим
Инжекция/Инжекционен Heparin sodium 500 UI/ml
Инжекция/Инжекционен Amiodarone hydrochloride 15 mg/ml
Glucose 5% 3463
съвместим
Инжекция/Инжекционен Heparin sodium 208 UI/ml
Инжекция/Инжекционен Amoxicillin sodium 20.83 & 83.3 mg/ml
Sodium chloride 0,9% 4254
съвместим
Инжекция/Инжекционен Heparin sodium 1000 UI/ml
Инжекция/Инжекционен Amoxicillin sodium / clavulanic acid 100/10 mg/ml
3824
съвместим
Инжекция/Инжекционен Heparin sodium
Инжекция/Инжекционен Ampicillin sodium
5088
съвместим
Инжекция/Инжекционен Heparin sodium 50 UI/ml
Инжекция/Инжекционен Ampicillin sodium 20 mg/ml
Няма 317
съвместим
Инжекция/Инжекционен Heparin sodium 50 UI/ml
Инжекция/Инжекционен Ampicillin sodium - sulbactam sodium 30 mg/ml
Няма 317
Незабавни валежи Несъвместим
Инжекция/Инжекционен Heparin sodium 40 UI/ml
Инжекция/Инжекционен Amsacrine 1 mg/ml
Glucose 5% 253
съвместим
Инжекция/Инжекционен Heparin sodium 100 UI/ml
Инжекция/Инжекционен Anidulafungin 0.5 mg/ml
Glucose 5% 1982
Незабавни валежи Несъвместим
Инжекция/Инжекционен Heparin sodium
Инжекция/Инжекционен Antithymocyte globulin (rabbit)
4958
Незабавни валежи Несъвместим
Инжекция/Инжекционен Heparin sodium 2 UI/ml
Инжекция/Инжекционен Antithymocyte globulin (rabbit) 0,2 & 0,3 mg/ml
Glucose 5% 1822
съвместим
Инжекция/Инжекционен Heparin sodium 100 UI/ml
Инжекция/Инжекционен Antithymocyte globulin (rabbit) 0,2 & 0,3 mg/ml
Glucose 5% 1822
съвместим
Инжекция/Инжекционен Heparin sodium 2 & 100 UI/ml
Инжекция/Инжекционен Antithymocyte globulin (rabbit) 0,2 & 0,3 mg/ml
Sodium chloride 0,9% 1822
съвместим
Инжекция/Инжекционен Heparin sodium 40 UI/ml
Инжекция/Инжекционен Atracurium besylate 0.5 mg/ml
Glucose 5% 402
съвместим
Инжекция/Инжекционен Heparin sodium 1 UI/ml
Инжекция/Инжекционен Atropine sulfate 0.5 mg/ml
Glucose 5% 1228
съвместим
Инжекция/Инжекционен Heparin sodium 500 UI/ml
Парентерално хранене (с липиди) 4507
Незабавни валежи Несъвместим
Инжекция/Инжекционен Heparin sodium 1000 UI/ml
Инжекция/Инжекционен Amphotericin B cholesteryl sulfate complex 0.83 mg/ml
Glucose 5% 921
Неопределена несъвместимост Несъвместим
Инжекция/Инжекционен Heparin sodium
Инжекция/Инжекционен Ampicillin sodium
3540
съвместим
Инжекция/Инжекционен Heparin sodium 10 & 5000 UI/ml
Инжекция/Инжекционен Ampicillin sodium 10 mg/ml
Sodium chloride 0,9% 2037
съвместим
Инжекция/Инжекционен Heparin sodium 1 UI/ml
Инжекция/Инжекционен Atropine sulfate 0.5 mg/ml
Ринтер лактат 1228
съвместим
Инжекция/Инжекционен Heparin sodium 1 UI/ml
Инжекция/Инжекционен Atropine sulfate 0.5 mg/ml
Sodium chloride 0,9% 1228
съвместим
Инжекция/Инжекционен Heparin sodium 100 UI/ml
Инжекция/Инжекционен Aztreonam 40 mg/ml
Glucose 5% 99
съвместим
Инжекция/Инжекционен Heparin sodium 50 UI/ml
Инжекция/Инжекционен Aztreonam 20 mg/ml
Няма 317
съвместим
Инжекция/Инжекционен Heparin sodium 1 UI/ml
Инжекция/Инжекционен Betamethasone sodium phosphate 3 mg/ml
Sodium chloride 0,9% 1228
съвместим
Инжекция/Инжекционен Heparin sodium 1 UI/ml
Инжекция/Инжекционен Betamethasone sodium phosphate 3 mg/ml
Glucose 5% 1228
съвместим
Инжекция/Инжекционен Heparin sodium 1 UI/ml
Инжекция/Инжекционен Betamethasone sodium phosphate 3 mg/ml
Ринтер лактат 1228
съвместим
Инжекция/Инжекционен Heparin sodium 100 UI/ml
Инжекция/Инжекционен Bivalirudin 5 mg/ml
Glucose 5% 1713
Незабавни валежи Несъвместим
Инжекция/Инжекционен Heparin sodium 192.3 UI/ml
Инжекция/Инжекционен Blinatumomab 0.125 & 0.375 µg/ml
Sodium chloride 0,9% 3976
съвместим
Инжекция/Инжекционен Heparin sodium 1000 UI/ml
Инжекция/Инжекционен Caffeine 10 mg/ml
Няма 3964
съвместим
Инжекция/Инжекционен Heparin sodium 100 UI/ml
Инжекция/Инжекционен Caffeine 10 mg/ml
Sodium chloride 0,9% 4837
съвместим
Инжекция/Инжекционен Heparin sodium 100 UI/ml
Инжекция/Инжекционен Caffeine citrate 20 mg/ml
Sodium chloride 0,9% 4837
Валежи след 30 минути Несъвместим
Инжекция/Инжекционен Heparin sodium 2 UI/ml
Инжекция/Инжекционен Calcium chloride 20 mg/ml
Glucose 5% 4732
съвместим
Инжекция/Инжекционен Heparin sodium 100 UI/ml
Инжекция/Инжекционен Calcium chloride 20 mg/ml
Glucose 5% 4732
Непосредствена нестабилност на емулсията Несъвместим
Инжекция/Инжекционен Heparin sodium
Инжекция/Инжекционен Calcium chloride
Парентерално хранене (с липиди) 1084
Непосредствена нестабилност на емулсията Несъвместим
Инжекция/Инжекционен Heparin sodium
Инжекция/Инжекционен Calcium gluconate
Парентерално хранене (с липиди) 1084
Незабавни валежи Несъвместим
Инжекция/Инжекционен Heparin sodium 100 UI/ml
Инжекция/Инжекционен Caspofungin acetate 0.5 mg/ml
Sodium chloride 0,9% 2233
Незабавни валежи Несъвместим
Инжекция/Инжекционен Heparin sodium 100 UI/ml
Инжекция/Инжекционен Caspofungin acetate 0,7 mg/ml
Sodium chloride 0,9% 2247
Неопределена несъвместимост Несъвместим
Инжекция/Инжекционен Heparin sodium
Инжекция/Инжекционен Cefalotin sodium
3540
съвместим
Инжекция/Инжекционен Heparin sodium 10 & 5000 UI/ml
Инжекция/Инжекционен Cefazolin sodium 10 mg/ml
Sodium chloride 0,9% 2037
съвместим
Инжекция/Инжекционен Heparin sodium 50 UI/ml
Инжекция/Инжекционен Cefazolin sodium 20 mg/ml
Няма 317
съвместим
Инжекция/Инжекционен Heparin sodium 0.667 UI/ml
Инжекция/Инжекционен Cefazolin sodium 0.333 mg/ml
Dianéal® PD2 1.5% glucose (Baxter) 1979
съвместим
Инжекция/Инжекционен Heparin sodium 10 & 50 UI/ml
Инжекция/Инжекционен Cefepime dihydrochloride 4 mg/ml
Sodium chloride 0,9% 3548
съвместим
Инжекция/Инжекционен Heparin sodium 10 & 50 UI/ml
Инжекция/Инжекционен Cefepime dihydrochloride 4 mg/ml
Glucose 5% 3548
съвместим
Инжекция/Инжекционен Heparin sodium 1000 UI/ml
Инжекция/Инжекционен Cefiderocol sulfate tosylate 20 mg/mL
Glucose 5% 4528
съвместим
Инжекция/Инжекционен Heparin sodium 1000 UI/ml
Инжекция/Инжекционен Cefiderocol sulfate tosylate 20 mg/mL
Sodium chloride 0,9% 4528
Химическа нестабилност Несъвместим
Инжекция/Инжекционен Heparin sodium 100 UI/ml
Инжекция/Инжекционен Cefmetazole sodium 100 mg/ml
Вода за инжекции 93
съвместим
Инжекция/Инжекционен Heparin sodium 208 UI/ml
Инжекция/Инжекционен Cefotaxime sodium 41.6 & 125 mg/ml
Glucose 5% 4254
съвместим
Инжекция/Инжекционен Heparin sodium 208 UI/ml
Инжекция/Инжекционен Cefotaxime sodium 41.6 & 125 mg/ml
Sodium chloride 0,9% 4254
съвместим
Инжекция/Инжекционен Heparin sodium 5000 UI/ml
Инжекция/Инжекционен Cefotaxime sodium 10 mg/ml
Вода за инжекции 3125
съвместим
Инжекция/Инжекционен Heparin sodium 100 UI/ml
Инжекция/Инжекционен Ceftaroline fosamil 2,22 mg/ml
Ринтер лактат 3249
съвместим
Инжекция/Инжекционен Heparin sodium 100 UI/ml
Инжекция/Инжекционен Ceftaroline fosamil 2,22 mg/ml
Sodium chloride 0,9% 3249
съвместим
Инжекция/Инжекционен Heparin sodium 100 UI/ml
Инжекция/Инжекционен Ceftaroline fosamil 2,22 mg/ml
Glucose 5% 3249
съвместим
Инжекция/Инжекционен Heparin sodium 0.5 UI/ml
Инжекция/Инжекционен Ceftazidime 0.125 mg/ml
Extraneal® (Baxter) 4056
съвместим
Инжекция/Инжекционен Heparin sodium 0.5 UI/ml
Инжекция/Инжекционен Ceftazidime 0.125 mg/ml
Dianéal® PD2 4.25% glucose (Baxter) 4056
съвместим
Инжекция/Инжекционен Heparin sodium 50 UI/ml
Инжекция/Инжекционен Ceftazidime 20 mg/ml
Няма 317
съвместим
Инжекция/Инжекционен Heparin sodium 0.5 UI/ml
Инжекция/Инжекционен Ceftazidime 0.125 mg/ml
Dianéal® PD2 2.5% glucose (Baxter) 4056
съвместим
Инжекция/Инжекционен Heparin sodium 100 UI/ml
Инжекция/Инжекционен Ceftobiprole medocaril sodium 2 mg/ml
Sodium chloride 0,9% 2269
съвместим
Инжекция/Инжекционен Heparin sodium 100 UI/ml
Инжекция/Инжекционен Ceftobiprole medocaril sodium 2 mg/ml
Glucose 5% 2269
съвместим
Инжекция/Инжекционен Heparin sodium 100 UI/ml
Инжекция/Инжекционен Ceftobiprole medocaril sodium 2 mg/ml
Ринтер лактат 2269
съвместим
Инжекция/Инжекционен Heparin sodium 1000 UI/ml
Инжекция/Инжекционен Ceftolozane / tazobactam 10/5 mg/ml
Sodium chloride 0,9% 3828
съвместим
Инжекция/Инжекционен Heparin sodium 1000 UI/ml
Инжекция/Инжекционен Ceftolozane / tazobactam 10/5 mg/ml
Glucose 5% 3828
съвместим
Инжекция/Инжекционен Heparin sodium 50 UI/ml
Инжекция/Инжекционен Ceftriaxone disodium 20 mg/ml
Няма 317
съвместим
Инжекция/Инжекционен Heparin sodium 10 & 50 UI/ml
Инжекция/Инжекционен Cefuroxime sodium
Sodium chloride 0,9% 3687
съвместим
Инжекция/Инжекционен Heparin sodium 58,34 UI/ml
Инжекция/Инжекционен Chlorpromazine hydrochloride 0,26 mg/ml
Glucose 5% 1289
съвместим
Инжекция/Инжекционен Heparin sodium 1 UI/ml
Инжекция/Инжекционен Chlorpromazine hydrochloride 10 mg/ml
Sodium chloride 0,9% 1228
съвместим
Инжекция/Инжекционен Heparin sodium 1 UI/ml
Инжекция/Инжекционен Chlorpromazine hydrochloride 10 mg/ml
Glucose 5% 1228
Неопределена несъвместимост Несъвместим
Инжекция/Инжекционен Heparin sodium
Инжекция/Инжекционен Chlorpromazine hydrochloride
3540
съвместим
Инжекция/Инжекционен Heparin sodium 1 UI/ml
Инжекция/Инжекционен Chlorpromazine hydrochloride 10 mg/ml
Ринтер лактат 1228
съвместим
Инжекция/Инжекционен Heparin sodium 50 UI/ml
Инжекция/Инжекционен Cimetidine hydrochloride 6 mg/ml
Няма 317
съвместим
Инжекция/Инжекционен Heparin sodium 5000 & 10000 UI/ml
Инжекция/Инжекционен Ciprofloxacin lactate 0.4 & 0.6 mg/ml
Sodium chloride 0,9% 2057
Незабавни валежи Несъвместим
Инжекция/Инжекционен Heparin sodium 10 >> 10000 UI/ml
Инжекция/Инжекционен Ciprofloxacin lactate 1 mg/ml
Sodium chloride 0,9% 2057
Незабавни валежи Несъвместим
Инжекция/Инжекционен Heparin sodium 10 & 100 UI/ml
Инжекция/Инжекционен Ciprofloxacin lactate 0.2 mg/ml
Sodium chloride 0,9% 2057
Неопределена несъвместимост Несъвместим
Инжекция/Инжекционен Heparin sodium
Инжекция/Инжекционен Ciprofloxacin lactate
3540
Незабавни валежи Несъвместим
Инжекция/Инжекционен Heparin sodium 10 >> 1000 UI/ml
Инжекция/Инжекционен Ciprofloxacin lactate 0.4 & 0.6 mg/ml
Sodium chloride 0,9% 2057
съвместим
Инжекция/Инжекционен Heparin sodium 1000 >> 10000 UI/ml
Инжекция/Инжекционен Ciprofloxacin lactate 0.2 mg/ml
Sodium chloride 0,9% 2057
Незабавни валежи Несъвместим
Инжекция/Инжекционен Heparin sodium 10 >> 5000 UI/ml
Инжекция/Инжекционен Ciprofloxacin lactate 0.8 mg/ml
Sodium chloride 0,9% 2057
съвместим
Инжекция/Инжекционен Heparin sodium 10 >> 10000 UI/ml
Инжекция/Инжекционен Ciprofloxacin lactate 0.1 mg/ml
Sodium chloride 0,9% 2057
Незабавни валежи Несъвместим
Инжекция/Инжекционен Heparin sodium 100 UI/ml
Инжекция/Инжекционен Ciprofloxacin lactate 2 mg/ml
Sodium chloride 0,9% 288
Неопределена несъвместимост Несъвместим
Инжекция/Инжекционен Heparin sodium
Инжекция/Инжекционен Ciprofloxacin lactate
3529
Незабавни валежи Несъвместим
Инжекция/Инжекционен Heparin sodium 100 UI/ml
Инжекция/Инжекционен Ciprofloxacin lactate 2 mg/ml
Glucose 5% 288
Незабавни валежи Несъвместим
Инжекция/Инжекционен Heparin sodium 10 >> 1000 UI/ml
Инжекция/Инжекционен Ciprofloxacin lactate 2 mg/ml
Sodium chloride 0,9% 289
Незабавна мътност Несъвместим
Инжекция/Инжекционен Heparin sodium 10 UI/ml
Инжекция/Инжекционен Ciprofloxacin lactate 2 mg/ml
Няма 1393
съвместим
Инжекция/Инжекционен Heparin sodium 10000 UI/ml
Инжекция/Инжекционен Ciprofloxacin lactate 0.8 mg/ml
Sodium chloride 0,9% 2057
съвместим
Инжекция/Инжекционен Heparin sodium 100 UI/ml
Инжекция/Инжекционен Cisatracurium besylate 0.1 & 2 mg/ml
Glucose 5% 299
Незабавни валежи Несъвместим
Инжекция/Инжекционен Heparin sodium 100 UI/ml
Инжекция/Инжекционен Cisatracurium besylate 5 mg/ml
Glucose 5% 299
Промяна на цвета Несъвместим
Инжекция/Инжекционен Heparin sodium 500 UI/ml
Инжекция/Инжекционен Cisatracurium besylate 5 mg/ml
Sodium chloride 0,9% 3463
Неопределена несъвместимост Несъвместим
Инжекция/Инжекционен Heparin sodium 500 UI/ml
Инжекция/Инжекционен Cisatracurium besylate 5 mg/ml
Sodium chloride 0,9% 3823
Неопределена несъвместимост Несъвместим
Инжекция/Инжекционен Heparin sodium
Инжекция/Инжекционен Cisatracurium besylate
3540
съвместим
Инжекция/Инжекционен Heparin sodium 100 UI/ml
Инжекция/Инжекционен Cladribine 0.5 mg/ml
NaCl 0,9% + антибактериално 1496
съвместим
Инжекция/Инжекционен Heparin sodium 100 UI/ml
Инжекция/Инжекционен Cladribine 0.015 mg/ml
Sodium chloride 0,9% 1496
съвместим
Инжекция/Инжекционен Heparin sodium 50 UI/ml
Инжекция/Инжекционен Clindamycin phosphate 12 mg/ml
Няма 317
съвместим
Инжекция/Инжекционен Heparin sodium 50 UI/ml
Инжекция/Инжекционен Clonidine hydrochloride 0.0075 mg/ml
Sodium chloride 0,9% 1506
съвместим
Инжекция/Инжекционен Heparin sodium 50 UI/ml
Инжекция/Инжекционен Clonidine hydrochloride 0.0075 mg/ml
Glucose 5% 1506
съвместим
Инжекция/Инжекционен Heparin sodium 100 UI/ml
Инжекция/Инжекционен Cloxacillin sodium 100 mg/ml
Вода за инжекции 3012
Валежи след 4 часа Несъвместим
Инжекция/Инжекционен Heparin sodium 208 UI/ml
Инжекция/Инжекционен Co-trimoxazole 3.2/0.64 & 80/16 mg/ml
Sodium chloride 0,9% 4254
Валежи след 4 часа Несъвместим
Инжекция/Инжекционен Heparin sodium 208 UI/ml
Инжекция/Инжекционен Co-trimoxazole 3.2/0.64 & 80/16 mg/ml
Glucose 5% 4254
съвместим
Инжекция/Инжекционен Heparin sodium 1 UI/ml
Инжекция/Инжекционен Cyanocobalamine 0.1 mg/ml
Ринтер лактат 1228
съвместим
Инжекция/Инжекционен Heparin sodium 1 UI/ml
Инжекция/Инжекционен Cyanocobalamine 0.1 mg/ml
Glucose 5% 1228
съвместим
Инжекция/Инжекционен Heparin sodium 1 UI/ml
Инжекция/Инжекционен Cyanocobalamine 0.1 mg/ml
Sodium chloride 0,9% 1228
Неопределена несъвместимост Несъвместим
Инжекция/Инжекционен Heparin sodium
Инжекция/Инжекционен Cytarabine
3540
Неопределена несъвместимост Несъвместим
Инжекция/Инжекционен Heparin sodium
Инжекция/Инжекционен Cytarabine
3580
Неопределена несъвместимост Несъвместим
Инжекция/Инжекционен Heparin sodium
Инжекция/Инжекционен Dacarbazine
3605
Незабавни валежи Несъвместим
Инжекция/Инжекционен Heparin sodium 100 UI/ml
Инжекция/Инжекционен Dacarbazine 25 mg/ml
Sodium chloride 0,9% 860
Неопределена несъвместимост Несъвместим
Инжекция/Инжекционен Heparin sodium
Инжекция/Инжекционен Dacarbazine
3267
Неопределена несъвместимост Несъвместим
Инжекция/Инжекционен Heparin sodium
Инжекция/Инжекционен Dacarbazine
3540
съвместим
Инжекция/Инжекционен Heparin sodium
Инжекция/Инжекционен Daptomycin
2271
съвместим
Инжекция/Инжекционен Heparin sodium 98 UI/ml
Инжекция/Инжекционен Daptomycin 19,6 mg/ml
Sodium chloride 0,9% 1937
Незабавни валежи Несъвместим
Инжекция/Инжекционен Heparin sodium
Инжекция/Инжекционен Daunorubicin hydrochloride
3604
Неопределена несъвместимост Несъвместим
Инжекция/Инжекционен Heparin sodium
Инжекция/Инжекционен Daunorubicin hydrochloride
3540
Незабавни валежи Несъвместим
Инжекция/Инжекционен Heparin sodium
Инжекция/Инжекционен Daunorubicin hydrochloride liposome
3577
Незабавна мътност Несъвместим
Инжекция/Инжекционен Heparin sodium
Инжекция/Инжекционен Daunorubicin/cytarabine liposomale 0,4 mg/mL
Sodium chloride 0,9% 4654
съвместим
Инжекция/Инжекционен Heparin sodium 373 UI/ml
Инжекция/Инжекционен Defibrotide 8 mg/ml
Sodium chloride 0,9% 3728
съвместим
Инжекция/Инжекционен Heparin sodium 50 UI/ml
Инжекция/Инжекционен Dexamethasone sodium phosphate 0.08 mg/ml
Няма 317
съвместим
Инжекция/Инжекционен Heparin sodium
Инжекция/Инжекционен Dexketoprofen
4981
съвместим
Инжекция/Инжекционен Heparin sodium 100 UI/ml
Инжекция/Инжекционен Dexmedetomidine 4 µg/ml
Sodium chloride 0,9% 1712
съвместим
Инжекция/Инжекционен Heparin sodium 10000 UI/ml
Инжекция/Инжекционен Diatrizoate meglumine 283 mg/ml
Няма 1085
Неопределена несъвместимост Несъвместим
Инжекция/Инжекционен Heparin sodium
Инжекция/Инжекционен Diazepam
3540
съвместим
Инжекция/Инжекционен Heparin sodium 100 UI/ml
Инжекция/Инжекционен Diltiazem hydrochloride 1 mg/ml
314
Незабавни валежи Несъвместим
Инжекция/Инжекционен Heparin sodium 20000 UI/ml
Инжекция/Инжекционен Diltiazem hydrochloride 5 mg/ml
Sodium chloride 0,9% 198
съвместим
Инжекция/Инжекционен Heparin sodium 100 UI/ml
Инжекция/Инжекционен Diltiazem hydrochloride 1 mg/ml
Glucose 5% 4556
Незабавна мътност Несъвместим
Инжекция/Инжекционен Heparin sodium 100 UI/ml
Инжекция/Инжекционен Diltiazem hydrochloride 5 mg/ml
Glucose 5% 4556
съвместим
Инжекция/Инжекционен Heparin sodium 20000 UI/ml
Инжекция/Инжекционен Diltiazem hydrochloride 1 mg/ml
Sodium chloride 0,9% 198
съвместим
Инжекция/Инжекционен Heparin sodium
Инжекция/Инжекционен Diltiazem hydrochloride
5090
съвместим
Инжекция/Инжекционен Heparin sodium 80 >> 10000 UI/ml
Инжекция/Инжекционен Diltiazem hydrochloride 1 & 5 mg/ml
Sodium chloride 0,9% 198
Незабавни валежи Несъвместим
Инжекция/Инжекционен Heparin sodium
Инжекция/Инжекционен Dimenhydrinate
2087
съвместим
Инжекция/Инжекционен Heparin sodium 1 UI/ml
Инжекция/Инжекционен Diphenhydramine hydrochloride 50 mg/ml
Sodium chloride 0,9% 1228
съвместим
Инжекция/Инжекционен Heparin sodium 1 UI/ml
Инжекция/Инжекционен Diphenhydramine hydrochloride 50 mg/ml
Glucose 5% 1228
съвместим
Инжекция/Инжекционен Heparin sodium 1 UI/ml
Инжекция/Инжекционен Diphenhydramine hydrochloride 50 mg/ml
Ринтер лактат 1228
Валежи след 4 часа Несъвместим
Инжекция/Инжекционен Heparin sodium 100 UI/ml
Инжекция/Инжекционен Dobutamine hydrochloride 4 mg/ml
314
съвместим
Инжекция/Инжекционен Heparin sodium 40 UI/ml
Инжекция/Инжекционен Dobutamine hydrochloride 1 mg/ml
Sodium chloride 0,9% 1058
съвместим
Инжекция/Инжекционен Heparin sodium 100 UI/ml
Инжекция/Инжекционен Dobutamine hydrochloride 2 mg/ml
Glucose 5% 1041
Незабавни валежи Несъвместим
Инжекция/Инжекционен Heparin sodium 100 UI/ml
Инжекция/Инжекционен Dobutamine hydrochloride 2 mg/ml
Glucose 5% 1352
Незабавна мътност Несъвместим
Инжекция/Инжекционен Heparin sodium 100 UI/ml
Инжекция/Инжекционен Dobutamine hydrochloride 4 mg/ml
Glucose 5% 295
Незабавни валежи Несъвместим
Инжекция/Инжекционен Heparin sodium
Инжекция/Инжекционен Dobutamine hydrochloride
3540
Промяна на цвета след 6 часа Несъвместим
Инжекция/Инжекционен Heparin sodium 10000 UI/ml
Инжекция/Инжекционен Dobutamine hydrochloride 2 mg/ml
Glucose 5% 1041
съвместим
Инжекция/Инжекционен Heparin sodium 40 UI/ml
Инжекция/Инжекционен Dobutamine hydrochloride 1 mg/ml
Glucose 5% 1058
съвместим
Инжекция/Инжекционен Heparin sodium 50 UI/ml
Инжекция/Инжекционен Dobutamine hydrochloride 1 mg/ml
Няма 317
съвместим
Инжекция/Инжекционен Heparin sodium 100 UI/ml
Инжекция/Инжекционен Docetaxel 0.9 mg/ml
Glucose 5% 1754
съвместим
Инжекция/Инжекционен Heparin sodium 1 UI/ml
Инжекция/Инжекционен Dopamine hydrochloride 40 mg/ml
Sodium chloride 0,9% 1228
съвместим
Инжекция/Инжекционен Heparin sodium 50 UI/ml
Инжекция/Инжекционен Dopamine hydrochloride 1.6 mg/ml
Няма 317
съвместим
Инжекция/Инжекционен Heparin sodium 100 UI/ml
Инжекция/Инжекционен Dopamine hydrochloride 3.2 mg/ml
314
съвместим
Инжекция/Инжекционен Heparin sodium 1 UI/ml
Инжекция/Инжекционен Dopamine hydrochloride 40 mg/ml
Ринтер лактат 1228
съвместим
Инжекция/Инжекционен Heparin sodium 200 UI/ml
Инжекция/Инжекционен Dopamine hydrochloride 0.8 mg/ml
Glucose 5% 738
съвместим
Инжекция/Инжекционен Heparin sodium 1 UI/ml
Инжекция/Инжекционен Dopamine hydrochloride 40 mg/ml
Glucose 5% 1228
съвместим
Инжекция/Инжекционен Heparin sodium 100 UI/ml
Инжекция/Инжекционен Dopamine hydrochloride 3,2 mg/ml
4389
Неопределена несъвместимост Несъвместим
Инжекция/Инжекционен Heparin sodium 187 UI/ml
Инжекция/Инжекционен Dopamine hydrochloride 1,7 >> 3,4 mg/ml
Glucose 5% 377
съвместим
Инжекция/Инжекционен Heparin sodium 100 UI/ml
Инжекция/Инжекционен Doripenem 5 mg/ml
Sodium chloride 0,9% 2262
съвместим
Инжекция/Инжекционен Heparin sodium 100 UI/ml
Инжекция/Инжекционен Doripenem 5 mg/ml
Glucose 5% 2262
съвместим
Инжекция/Инжекционен Heparin sodium 1 UI/ml
Инжекция/Инжекционен Doxapram hydrochloride 2 mg/ml
Glucose 5% 1802
Неопределена несъвместимост Несъвместим
Инжекция/Инжекционен Heparin sodium
Инжекция/Инжекционен Doxorubicin hydrochloride
3540
Незабавни валежи Несъвместим
Инжекция/Инжекционен Heparin sodium
Инжекция/Инжекционен Doxorubicin hydrochloride
3645
Незабавни валежи Несъвместим
Инжекция/Инжекционен Heparin sodium 1000 UI/ml
Инжекция/Инжекционен Doxorubicin hydrochloride 2 mg/ml
763
съвместим
Инжекция/Инжекционен Heparin sodium 1000 UI/ml
Инжекция/Инжекционен Doxorubicin hydrochloride liposome peg 0.4 mg/ml
Glucose 5% 251
Неопределена несъвместимост Несъвместим
Инжекция/Инжекционен Heparin sodium 50 UI/ml
Инжекция/Инжекционен Doxycycline hyclate 1 mg/ml
Няма 317
Незабавни валежи Несъвместим
Инжекция/Инжекционен Heparin sodium 1000 UI/ml
Инжекция/Инжекционен Droperidol 2,5 mg/ml
763
съвместим
Инжекция/Инжекционен Heparin sodium 1 UI/ml
Инжекция/Инжекционен Droperidol 1.25 mg/ml
Sodium chloride 0,9% 1228
съвместим
Инжекция/Инжекционен Heparin sodium 1 UI/ml
Инжекция/Инжекционен Droperidol 1.25 mg/ml
Ринтер лактат 1228
съвместим
Инжекция/Инжекционен Heparin sodium 1 UI/ml
Инжекция/Инжекционен Droperidol 1.25 mg/ml
Glucose 5% 1228
Неопределена несъвместимост Несъвместим
Инжекция/Инжекционен Heparin sodium
Инжекция/Инжекционен Droperidol
3540
съвместим
Инжекция/Инжекционен Heparin sodium 45,45 UI/ml
Инжекция/Инжекционен Enalaprilate 0,011 mg/ml
Glucose 5% 963
съвместим
Инжекция/Инжекционен Heparin sodium 40 UI/ml
Инжекция/Инжекционен Enalaprilate 0.05 mg/ml
Sodium chloride 0,9% 1315
съвместим
Инжекция/Инжекционен Heparin sodium 50 UI/ml
Инжекция/Инжекционен Enalaprilate 0.0125 mg/ml
Sodium chloride 0,9% 1703
съвместим
Инжекция/Инжекционен Heparin sodium 1 UI/ml
Инжекция/Инжекционен Epinephrine hydrochloride 100 µg/ml
Ринтер лактат 1228
съвместим
Инжекция/Инжекционен Heparin sodium 100 UI/ml
Инжекция/Инжекционен Epinephrine hydrochloride 20 µg/ml
314
съвместим
Инжекция/Инжекционен Heparin sodium 1 UI/ml
Инжекция/Инжекционен Epinephrine hydrochloride 100 µg/ml
Sodium chloride 0,9% 1228
съвместим
Инжекция/Инжекционен Heparin sodium 1 UI/ml
Инжекция/Инжекционен Epinephrine hydrochloride 100 µg/ml
Glucose 5% 1228
Неопределена несъвместимост Несъвместим
Инжекция/Инжекционен Heparin sodium
Инжекция/Инжекционен Epirubicin hydrochloride
3632
съвместим
Инжекция/Инжекционен Heparin sodium
Инжекция/Инжекционен Eptifibatide
3934
съвместим
Инжекция/Инжекционен Heparin sodium 1000 UI/ml
Инжекция/Инжекционен Eravacycline 0,6 mg/ml
Sodium chloride 0,9% 4434
Незабавна мътност Несъвместим
Инжекция/Инжекционен Heparin sodium 1 UI/ml
Инжекция/Инжекционен Ergotamine tartrate 0.5 mg/ml
Sodium chloride 0,9% 1228
Валежи след 4 часа Несъвместим
Инжекция/Инжекционен Heparin sodium 1 UI/ml
Инжекция/Инжекционен Ergotamine tartrate 0.5 mg/ml
Ринтер лактат 1228
Валежи след 4 часа Несъвместим
Инжекция/Инжекционен Heparin sodium 1 UI/ml
Инжекция/Инжекционен Ergotamine tartrate 0.5 mg/ml
Glucose 5% 1228
съвместим
Инжекция/Инжекционен Heparin sodium 50 & 100 UI/ml
Инжекция/Инжекционен Ertapenem 10 & 20 mg/ml
Sodium chloride 0,9% 1906
съвместим
Инжекция/Инжекционен Heparin sodium 50 UI/ml
Инжекция/Инжекционен Erythromycin lactobionate 3.3 mg/ml
Няма 317
Неопределена несъвместимост Несъвместим
Инжекция/Инжекционен Heparin sodium
Инжекция/Инжекционен Erythromycin lactobionate
3674
Неопределена несъвместимост Несъвместим
Инжекция/Инжекционен Heparin sodium
Инжекция/Инжекционен Erythromycin lactobionate
3540
съвместим
Инжекция/Инжекционен Heparin sodium 50 UI/ml
Инжекция/Инжекционен Esmolol hydrochloride 6 mg/ml
Glucose 5% 174
съвместим
Инжекция/Инжекционен Heparin sodium 40 UI/ml
Инжекция/Инжекционен Esmolol hydrochloride 10 mg/ml
Glucose 5% 384
съвместим
Инжекция/Инжекционен Heparin sodium 500 UI/ml
Инжекция/Инжекционен Esmolol hydrochloride 10 mg/ml
Sodium chloride 0,9% 3823
Незабавни валежи Несъвместим
Инжекция/Инжекционен Heparin sodium 1000 UI/ml
Инжекция/Инжекционен Ethanol 70 %
Вода за инжекции + антибактериално 2221
Незабавни валежи Несъвместим
Инжекция/Инжекционен Heparin sodium 1000 UI/ml
Инжекция/Инжекционен Ethanol 70 %
Вода за инжекции 2221
Валежи след 1 час Несъвместим
Инжекция/Инжекционен Heparin sodium 10 UI/ml
Инжекция/Инжекционен Ethanol 70 %
Вода за инжекции + антибактериално 2221
Незабавни валежи Несъвместим
Инжекция/Инжекционен Heparin sodium 10 UI/ml
Инжекция/Инжекционен Ethanol 70 %
Вода за инжекции 2221
съвместим
Инжекция/Инжекционен Heparin sodium 100 UI/ml
Инжекция/Инжекционен Etoposide phosphate 5 mg/ml
Glucose 5% 1410
съвместим
Инжекция/Инжекционен Heparin sodium 40 UI/ml
Инжекция/Инжекционен Famotidine
Glucose 5% 397
съвместим
Инжекция/Инжекционен Heparin sodium 50 UI/ml
Инжекция/Инжекционен Famotidine 0.2 mg/ml
Glucose 5% 398
съвместим
Инжекция/Инжекционен Heparin sodium 40 UI/ml
Инжекция/Инжекционен Famotidine 2 mg/ml
Sodium chloride 0,9% 215
съвместим
Инжекция/Инжекционен Heparin sodium 100 UI/ml
Инжекция/Инжекционен Fenoldopam mesylate 80 µg/ml
Sodium chloride 0,9% 1803
съвместим
Инжекция/Инжекционен Heparin sodium 100 UI/ml
Инжекция/Инжекционен Fentanyl citrate 50 µg/ml
4389
съвместим
Инжекция/Инжекционен Heparin sodium 1 UI/ml
Инжекция/Инжекционен Fentanyl citrate 50 µg/ml
Glucose 5% 1228
съвместим
Инжекция/Инжекционен Heparin sodium 1 UI/ml
Инжекция/Инжекционен Fentanyl citrate 50 µg/ml
Ринтер лактат 1228
съвместим
Инжекция/Инжекционен Heparin sodium 1 UI/ml
Инжекция/Инжекционен Fentanyl citrate 50 µg/ml
Sodium chloride 0,9% 1228
съвместим
Инжекция/Инжекционен Heparin sodium 100 UI/ml
Инжекция/Инжекционен Fentanyl citrate 50 µg/ml
314
Незабавни валежи Несъвместим
Инжекция/Инжекционен Heparin sodium 100 UI/ml
Инжекция/Инжекционен Filgrastim 30 µg/ml
Glucose 5% 244
съвместим
Инжекция/Инжекционен Heparin sodium 1000 UI/ml
Инжекция/Инжекционен Fluconazole 2 mg/ml
Sodium chloride 0,9% 496
съвместим
Инжекция/Инжекционен Heparin sodium 50 UI/ml
Инжекция/Инжекционен Fluconazole 2 mg/ml
Няма 317
съвместим
Инжекция/Инжекционен Heparin sodium 40 >> 1000 UI/ml
Инжекция/Инжекционен Fludarabine phosphate 1 mg/ml
Glucose 5% 492
съвместим
Инжекция/Инжекционен Heparin sodium 50 UI/ml
Инжекция/Инжекционен Flumazenil 0,02 mg/ml
Glucose 5% 187
съвместим
Инжекция/Инжекционен Heparin sodium 5 UI/ml
Инжекция/Инжекционен Fluorouracil 0,8 mg/ml
Sodium chloride 0,9% 156
съвместим
Инжекция/Инжекционен Heparin sodium 5 UI/ml
Инжекция/Инжекционен Fluorouracil 0,8 mg/ml
Glucose 5% 156
съвместим
Инжекция/Инжекционен Heparin sodium 1 UI/ml
Инжекция/Инжекционен Fluorouracil 50 mg/ml
Sodium chloride 0,9% 1228
съвместим
Инжекция/Инжекционен Heparin sodium 960 UI/ml
Инжекция/Инжекционен Fluorouracil 24 mg/ml
Glucose 5% 163
съвместим
Инжекция/Инжекционен Heparin sodium 1 UI/ml
Инжекция/Инжекционен Fluorouracil 50 mg/ml
Glucose 5% 1228
съвместим
Инжекция/Инжекционен Heparin sodium 1000 UI/ml
Инжекция/Инжекционен Fluorouracil 50 mg/ml
763
съвместим
Инжекция/Инжекционен Heparin sodium 1 UI/ml
Инжекция/Инжекционен Fluorouracil 50 mg/ml
Ринтер лактат 1228
съвместим
Инжекция/Инжекционен Heparin sodium 1000 UI/ml
Инжекция/Инжекционен Folinate calcium 10 mg/ml
763
съвместим
Инжекция/Инжекционен Heparin sodium 100 UI/ml
Инжекция/Инжекционен Foscarnet sodium 24 mg/ml
Glucose 5% 1135
съвместим
Инжекция/Инжекционен Heparin sodium 100 UI/ml
Инжекция/Инжекционен Foscarnet sodium 24 mg/ml
Sodium chloride 0,9% 1135
съвместим
Инжекция/Инжекционен Heparin sodium 1000 UI/ml
Инжекция/Инжекционен Foscarnet sodium 24 mg/ml
Няма 73
съвместим
Инжекция/Инжекционен Heparin sodium 1000 UI/ml
Инжекция/Инжекционен Fosfomycin 30 mg/ml
Glucose 5% 4055
съвместим
Инжекция/Инжекционен Heparin sodium 1000 UI/ml
Инжекция/Инжекционен Fosfomycin 30 mg/ml
Sodium chloride 0,9% 4055
съвместим
Инжекция/Инжекционен Heparin sodium 100 UI/ml
Инжекция/Инжекционен Furosemide 10 mg/ml
314
съвместим
Инжекция/Инжекционен Heparin sodium 1 UI/ml
Инжекция/Инжекционен Furosemide 10 mg/ml
Sodium chloride 0,9% 1228
Валежи след 5 часа Несъвместим
Инжекция/Инжекционен Heparin sodium 100 UI/ml
Инжекция/Инжекционен Furosemide 10 mg/ml
Glucose 5% 4724
съвместим
Инжекция/Инжекционен Heparin sodium 20 UI/ml
Инжекция/Инжекционен Furosemide 1 mg/ml
Sodium chloride 0,9% 1232
съвместим
Инжекция/Инжекционен Heparin sodium 58,34 UI/ml
Инжекция/Инжекционен Furosemide 5,21 mg/ml
Glucose 5% 1289
съвместим
Инжекция/Инжекционен Heparin sodium
Инжекция/Инжекционен Furosemide
3465
съвместим
Инжекция/Инжекционен Heparin sodium 1 UI/ml
Инжекция/Инжекционен Furosemide 10 mg/ml
Ринтер лактат 1228
съвместим
Инжекция/Инжекционен Heparin sodium 1000 UI/ml
Инжекция/Инжекционен Furosemide 10 mg/ml
763
съвместим
Инжекция/Инжекционен Heparin sodium 10 UI/ml
Инжекция/Инжекционен Furosemide 10 mg/ml
Няма 3210
съвместим
Инжекция/Инжекционен Heparin sodium 500 UI/ml
Инжекция/Инжекционен Furosemide 10 mg/ml
Sodium chloride 0,9% 3823
съвместим
Инжекция/Инжекционен Heparin sodium 500 UI/ml
Инжекция/Инжекционен Furosemide 10 mg/ml
Няма 3134
съвместим
Инжекция/Инжекционен Heparin sodium 1 UI/ml
Инжекция/Инжекционен Furosemide 10 mg/ml
Glucose 5% 1228
съвместим
Инжекция/Инжекционен Heparin sodium 40 UI/ml
Инжекция/Инжекционен Gallium nitrate 1 mg/ml
Sodium chloride 0,9% 91
съвместим
Инжекция/Инжекционен Heparin sodium 100 UI/ml
Инжекция/Инжекционен Gemcitabine hydrochloride 10 mg/ml
Sodium chloride 0,9% 1423
Незабавна мътност Несъвместим
Инжекция/Инжекционен Heparin sodium 2500 UI/ml
Инжекция/Инжекционен Gentamicin sulfate 3 mg/ml
4612
Неопределена несъвместимост Несъвместим
Инжекция/Инжекционен Heparin sodium
Инжекция/Инжекционен Gentamicin sulfate
3520
Неопределена несъвместимост Несъвместим
Инжекция/Инжекционен Heparin sodium
Инжекция/Инжекционен Gentamicin sulfate
3643
Незабавни валежи Несъвместим
Инжекция/Инжекционен Heparin sodium
Инжекция/Инжекционен Gentamicin sulfate
1022
Неопределена несъвместимост Несъвместим
Инжекция/Инжекционен Heparin sodium 50 UI/ml
Инжекция/Инжекционен Gentamicin sulfate 2 mg/ml
Няма 317
Незабавни валежи Несъвместим
Инжекция/Инжекционен Heparin sodium 10 >> 40 UI/ml
Инжекция/Инжекционен Gentamicin sulfate 4 >> 40 mg/ml
1258
Незабавни валежи Несъвместим
Инжекция/Инжекционен Heparin sodium 2500 UI/ml
Инжекция/Инжекционен Gentamicin sulfate 4 & 5 mg/ml
4612
Неопределена несъвместимост Несъвместим
Инжекция/Инжекционен Heparin sodium
Инжекция/Инжекционен Gentamicin sulfate
3540
съвместим
Инжекция/Инжекционен Heparin sodium 2500 UI/ml
Инжекция/Инжекционен Gentamicin sulfate 1 & 2 mg/ml
4612
съвместим
Инжекция/Инжекционен Heparin sodium 50 UI/ml
Инжекция/Инжекционен Glycerophosphate disodium
Sodium chloride 0,9% 4332
съвместим
Инжекция/Инжекционен Heparin sodium 100 UI/ml
Инжекция/Инжекционен Granisetron hydrochloride 0.05 mg/ml
Glucose 5% 182
Незабавни валежи Несъвместим
Инжекция/Инжекционен Heparin sodium 100 & 200 UI/ml
Инжекция/Инжекционен Haloperidol lactate 5 mg/ml
Glucose 5% 617
Незабавни валежи Несъвместим
Инжекция/Инжекционен Heparin sodium 100 & 200 UI/ml
Инжекция/Инжекционен Haloperidol lactate 5 mg/ml
Sodium chloride 0,9% 617
съвместим
Инжекция/Инжекционен Heparin sodium 500 UI/ml
Инжекция/Инжекционен Haloperidol lactate 0.5 mg/ml
Sodium chloride 0,9% 3823
Неопределена несъвместимост Несъвместим
Инжекция/Инжекционен Heparin sodium
Инжекция/Инжекционен Haloperidol lactate
3540
съвместим
Инжекция/Инжекционен Heparin sodium 100 UI/ml
Инжекция/Инжекционен Hetastarch 60 mg/ml
Специфична разтворител 1721
Неопределена несъвместимост Несъвместим
Инжекция/Инжекционен Heparin sodium
Инжекция/Инжекционен Hyaluronidase
3617
Неопределена несъвместимост Несъвместим
Инжекция/Инжекционен Heparin sodium
Инжекция/Инжекционен Hyaluronidase
3184
Неопределена несъвместимост Несъвместим
Инжекция/Инжекционен Heparin sodium
Инжекция/Инжекционен Hyaluronidase
3540
съвместим
Инжекция/Инжекционен Heparin sodium 1 UI/ml
Инжекция/Инжекционен Hydralazine hydrochloride 20 mg/ml
Glucose 5% 1228
съвместим
Инжекция/Инжекционен Heparin sodium 1 UI/ml
Инжекция/Инжекционен Hydralazine hydrochloride 20 mg/ml
Ринтер лактат 1228
съвместим
Инжекция/Инжекционен Heparin sodium 1 UI/ml
Инжекция/Инжекционен Hydralazine hydrochloride 20 mg/ml
Sodium chloride 0,9% 1228
съвместим
Инжекция/Инжекционен Heparin sodium 100 UI/ml
Инжекция/Инжекционен Hydrocortisone sodium succinate 125 mg/ml
Sodium chloride 0,9% 132
Неопределена несъвместимост Несъвместим
Инжекция/Инжекционен Heparin sodium
Инжекция/Инжекционен Hydrocortisone sodium succinate
3540
съвместим
Инжекция/Инжекционен Heparin sodium 50 UI/ml
Инжекция/Инжекционен Hydrocortisone sodium succinate 2 mg/ml
Няма 317
съвместим
Инжекция/Инжекционен Heparin sodium 100 UI/ml
Инжекция/Инжекционен Hydrocortisone sodium succinate 125 mg/ml
Glucose 5% 132
съвместим
Инжекция/Инжекционен Heparin sodium
Инжекция/Инжекционен Hydromorphone hydrochloride <12.5 mg/ml
Sodium chloride 0,9% 66
съвместим
Инжекция/Инжекционен Heparin sodium 100 UI/ml
Инжекция/Инжекционен Hydromorphone hydrochloride 1 mg/ml
314
Незабавни валежи Несъвместим
Инжекция/Инжекционен Heparin sodium <12,5 UI/ml
Инжекция/Инжекционен Hydromorphone hydrochloride >25 mg/ml
Sodium chloride 0,9% 66
съвместим
Инжекция/Инжекционен Heparin sodium
Инжекция/Инжекционен Hydromorphone hydrochloride <12.5 mg/ml
Вода за инжекции 66
Незабавни валежи Несъвместим
Инжекция/Инжекционен Heparin sodium <1 UI/ml
Инжекция/Инжекционен Hydromorphone hydrochloride >10 mg/ml
Вода за инжекции 66
Незабавни валежи Несъвместим
Инжекция/Инжекционен Heparin sodium <12,5 UI/ml
Инжекция/Инжекционен Hydromorphone hydrochloride >25 mg/ml
Вода за инжекции 66
съвместим
Инжекция/Инжекционен Heparin sodium 100 UI/ml
Инжекция/Инжекционен Ibuprofen lysinate 10 mg/ml
Вода за инжекции 4419
съвместим
Инжекция/Инжекционен Heparin sodium 10 UI/ml
Инжекция/Инжекционен Ibuprofen lysinate 10 mg/ml
Вода за инжекции 4419
Незабавна мътност Несъвместим
Инжекция/Инжекционен Heparin sodium 100 & 1000 UI/ml
Инжекция/Инжекционен Idarubicin hydrochloride 1 mg/ml
Sodium chloride 0,9% 491
Незабавни валежи Несъвместим
Инжекция/Инжекционен Heparin sodium
Инжекция/Инжекционен Idarubicin hydrochloride
5075
съвместим
Инжекция/Инжекционен Heparin sodium
Инжекция/Инжекционен Imipenem-Cilastatin / Relebactam
4809
съвместим
Инжекция/Инжекционен Heparin sodium 1000 UI/ml
Инжекция/Инжекционен Imipenem-Cilastatin / Relebactam 5 mg/ml
Sodium chloride 0,9% 4433
съвместим
Инжекция/Инжекционен Heparin sodium 1000 UI/ml
Инжекция/Инжекционен Imipenem-Cilastatin / Relebactam 5 mg/ml
Glucose 5% 4433
съвместим
Инжекция/Инжекционен Heparin sodium 500 UI/ml
Инжекция/Инжекционен Insulin 2 UI/ml
Sodium chloride 0,9% 3823
съвместим
Инжекция/Инжекционен Heparin sodium 60 UI/ml
Инжекция/Инжекционен Insulin 0.2 UI/ml
Sodium chloride 0,9% 129
съвместим
Инжекция/Инжекционен Heparin sodium 50 & 400 UI/ml
Инжекция/Инжекционен Insulin aspart 1 UI/ml
Glucose 5% 1508
съвместим
Инжекция/Инжекционен Heparin sodium 50 & 400 UI/ml
Инжекция/Инжекционен Insulin aspart 1 UI/ml
Sodium chloride 0,9% 1508
съвместим
Инжекция/Инжекционен Heparin sodium 10000 UI/ml
Инжекция/Инжекционен Iohexol 300 mg I/ml
Няма 1085
съвместим
Инжекция/Инжекционен Heparin sodium 10000 UI/ml
Инжекция/Инжекционен Ioxaglate 320 mg I/ml
Няма 1085
Незабавна мътност Несъвместим
Инжекция/Инжекционен Heparin sodium 1000 UI/ml
Инжекция/Инжекционен Isavuconazonium sulfate 1.5 mg/ml
Sodium chloride 0,9% 3829
Незабавна мътност Несъвместим
Инжекция/Инжекционен Heparin sodium 1000 UI/ml
Инжекция/Инжекционен Isavuconazonium sulfate 1.5 mg/ml
Glucose 5% 3829
съвместим
Инжекция/Инжекционен Heparin sodium 1 UI/ml
Инжекция/Инжекционен Isoprenaline hydrochloride 0.2 mg/ml
Glucose 5% 1228
съвместим
Инжекция/Инжекционен Heparin sodium 1 UI/ml
Инжекция/Инжекционен Isoprenaline hydrochloride 0.2 mg/ml
Sodium chloride 0,9% 1228
съвместим
Инжекция/Инжекционен Heparin sodium 1 UI/ml
Инжекция/Инжекционен Isoprenaline hydrochloride 0.2 mg/ml
Ринтер лактат 1228
Неопределена несъвместимост Несъвместим
Инжекция/Инжекционен Heparin sodium
Инжекция/Инжекционен Kanamycin sulfate
3540
Незабавни валежи Несъвместим
Инжекция/Инжекционен Heparin sodium 25000 UI/ml
Инжекция/Инжекционен Ketamine hydrochloride 50 mg/ml
2109
съвместим
Инжекция/Инжекционен Heparin sodium 100 UI/ml
Инжекция/Инжекционен Labetalol hydrochloride 2 mg/ml
314
Неопределена несъвместимост Несъвместим
Инжекция/Инжекционен Heparin sodium 500 UI/ml
Инжекция/Инжекционен Labetalol hydrochloride 4 mg/ml
Sodium chloride 0,9% 3823
Неопределена несъвместимост Несъвместим
Инжекция/Инжекционен Heparin sodium
Инжекция/Инжекционен Labetalol hydrochloride
3540
Незабавни валежи Несъвместим
Инжекция/Инжекционен Heparin sodium 100 UI/ml
Инжекция/Инжекционен Labetalol hydrochloride 5 mg/ml
Glucose 5% 295
съвместим
Инжекция/Инжекционен Heparin sodium 40 UI/ml
Инжекция/Инжекционен Labetalol hydrochloride 1 mg/ml
Glucose 5% 386
съвместим
Инжекция/Инжекционен Heparin sodium 100 UI/ml
Инжекция/Инжекционен Lansoprazole 0.55 mg/ml
Sodium chloride 0,9% 1625
Мътност за 4 часа Несъвместим
Инжекция/Инжекционен Heparin sodium 100 UI/ml
Инжекция/Инжекционен Levetiracetam 100 mg/ml
Glucose 5% 4108
Незабавна мътност Несъвместим
Инжекция/Инжекционен Heparin sodium 208,3 UI/ml
Инжекция/Инжекционен Levetiracetam 15 mg/ml
Sodium chloride 0,9% 4698
Неопределена несъвместимост Несъвместим
Инжекция/Инжекционен Heparin sodium
Инжекция/Инжекционен Levofloxacine
3920
Незабавни валежи Несъвместим
Инжекция/Инжекционен Heparin sodium 10 UI/ml
Инжекция/Инжекционен Levofloxacine 5 mg/ml
Glucose 5% 1072
Неопределена несъвместимост Несъвместим
Инжекция/Инжекционен Heparin sodium
Инжекция/Инжекционен Levomepromazine
3540
съвместим
Инжекция/Инжекционен Heparin sodium 100 UI/ml
Инжекция/Инжекционен Levosimendan 2,5 mg/ml
Glucose 5% 4389
съвместим
Инжекция/Инжекционен Heparin sodium 50 UI/ml
Инжекция/Инжекционен Lidocaine hydrochloride 4 mg/ml
Няма 317
съвместим
Инжекция/Инжекционен Heparin sodium 1000 UI/ml
Инжекция/Инжекционен Linezolid 2 mg/ml
Няма 1925
съвместим
Инжекция/Инжекционен Heparin sodium 10 >> 10000 UI/ml
Инжекция/Инжекционен Linezolid 0.2 >> 1.92 mg/ml
Sodium chloride 0,9% 2057
съвместим
Инжекция/Инжекционен Heparin sodium 417 UI/ml
Инжекция/Инжекционен Lorazepam 0.33 mg/ml
Sodium chloride 0,9% 186
съвместим
Инжекция/Инжекционен Heparin sodium 100 UI/ml
Инжекция/Инжекционен Lorazepam 0.5 mg/ml
314
съвместим
Инжекция/Инжекционен Heparin sodium 1 UI/ml
Инжекция/Инжекционен Magnesium sulfate 5 mg/ml
Sodium chloride 0,9% 1228
съвместим
Инжекция/Инжекционен Heparin sodium 50 UI/ml
Инжекция/Инжекционен Magnesium sulfate 15.6 mg/ml
Sodium chloride 0,9% 2100
съвместим
Инжекция/Инжекционен Heparin sodium 1 UI/ml
Инжекция/Инжекционен Magnesium sulfate 5 mg/ml
Ринтер лактат 1228
съвместим
Инжекция/Инжекционен Heparin sodium 1 UI/ml
Инжекция/Инжекционен Magnesium sulfate 5 mg/ml
Glucose 5% 1228
съвместим
Инжекция/Инжекционен Heparin sodium 100 UI/ml
Инжекция/Инжекционен Melphalan 0.1 mg/ml
Sodium chloride 0,9% 169
съвместим
Инжекция/Инжекционен Heparin sodium 0.5 UI/ml
Инжекция/Инжекционен Meropenem 0.5 mg/ml
Dianéal® 4.25% glucose (Baxter) 4180
съвместим
Инжекция/Инжекционен Heparin sodium 0.5 UI/ml
Инжекция/Инжекционен Meropenem 0.5 mg/ml
Extraneal® (Baxter) 4180
съвместим
Инжекция/Инжекционен Heparin sodium 1000 UI/ml
Инжекция/Инжекционен Meropenem 50 mg/ml
Вода за инжекции 4319
съвместим
Инжекция/Инжекционен Heparin sodium 1 UI/ml
Инжекция/Инжекционен Meropenem 1 & 50 mg/ml
Sodium chloride 0,9% 266
съвместим
Инжекция/Инжекционен Heparin sodium 0.5 UI/ml
Инжекция/Инжекционен Meropenem 0.5 mg/ml
Dianéal® 1.5% glucose (Baxter) 4180
съвместим
Инжекция/Инжекционен Heparin sodium 20 UI/ml
Инжекция/Инжекционен Meropenem 1 & 20 mg/ml
Sodium chloride 0,9% 266
съвместим
Инжекция/Инжекционен Heparin sodium 0.5 UI/ml
Инжекция/Инжекционен Meropenem 0.5 mg/ml
Dianéal® 2.5% glucose (Baxter) 4180
съвместим
Инжекция/Инжекционен Heparin sodium 50 UI/ml
Инжекция/Инжекционен Methadone hydrochloride 0.2 mg/ml
Glucose 5% 1506
съвместим
Инжекция/Инжекционен Heparin sodium 50 UI/ml
Инжекция/Инжекционен Methadone hydrochloride 0.2 mg/ml
Sodium chloride 0,9% 1506
Неопределена несъвместимост Несъвместим
Инжекция/Инжекционен Heparin sodium
Инжекция/Инжекционен Methotrexate sodium
3637
съвместим
Инжекция/Инжекционен Heparin sodium 1000 UI/ml
Инжекция/Инжекционен Methotrexate sodium 25 mg/ml
763
съвместим
Инжекция/Инжекционен Heparin sodium 500 UI/ml
Инжекция/Инжекционен Methotrexate sodium 30 mg/ml
Sodium chloride 0,9% 150
съвместим
Инжекция/Инжекционен Heparin sodium 100 UI/ml
Инжекция/Инжекционен Methylprednisolone sodium succinate 5 mg/ml
Glucose 5% 132
съвместим
Инжекция/Инжекционен Heparin sodium 50 UI/ml
Инжекция/Инжекционен Methylprednisolone sodium succinate 2.5 mg/ml
Няма 317
съвместим
Инжекция/Инжекционен Heparin sodium 100 UI/ml
Инжекция/Инжекционен Methylprednisolone sodium succinate 5 mg/ml
Sodium chloride 0,9% 132
съвместим
Инжекция/Инжекционен Heparin sodium 1000 UI/ml
Инжекция/Инжекционен Metoclopramide hydrochloride 5 mg/ml
763
Химическа нестабилност Несъвместим
Инжекция/Инжекционен Heparin sodium 1000 UI/ml
Инжекция/Инжекционен Metoprolol tartrate 1 mg/ml
Няма 2346
съвместим
Инжекция/Инжекционен Heparin sodium 50 UI/ml
Инжекция/Инжекционен Metronidazole 5 mg/ml
Няма 317
съвместим
Инжекция/Инжекционен Heparin sodium 100 UI/ml
Инжекция/Инжекционен Micafungin 1.5 mg/ml
Sodium chloride 0,9% 2108
Незабавна мътност Несъвместим
Инжекция/Инжекционен Heparin sodium 208,3 UI/ml
Инжекция/Инжекционен Midazolam hydrochloride 1 mg/ml
Sodium chloride 0,9% 4698
съвместим
Инжекция/Инжекционен Heparin sodium 500 UI/ml
Инжекция/Инжекционен Midazolam hydrochloride 2.1 mg/ml
Sodium chloride 0,9% 3823
съвместим
Инжекция/Инжекционен Heparin sodium 417 UI/ml
Инжекция/Инжекционен Midazolam hydrochloride 5 mg/ml
Няма 186
съвместим
Инжекция/Инжекционен Heparin sodium 100 UI/ml
Инжекция/Инжекционен Midazolam hydrochloride 5 mg/ml
4389
съвместим
Инжекция/Инжекционен Heparin sodium 100 UI/ml
Инжекция/Инжекционен Midazolam hydrochloride 2 mg/ml
314
съвместим
Инжекция/Инжекционен Heparin sodium 200 UI/ml
Инжекция/Инжекционен Milrinone lactate 0.8 mg/ml
Glucose 5% 813
съвместим
Инжекция/Инжекционен Heparin sodium 100 UI/ml
Инжекция/Инжекционен Milrinone lactate 0.2 mg/ml
314
съвместим
Инжекция/Инжекционен Heparin sodium 1 UI/ml
Инжекция/Инжекционен Minocycline hydrochloride 0.2 mg/ml
Glucose 5% 1228
съвместим
Инжекция/Инжекционен Heparin sodium 1 UI/ml
Инжекция/Инжекционен Minocycline hydrochloride 0.2 mg/ml
Ринтер лактат 1228
съвместим
Инжекция/Инжекционен Heparin sodium 1 UI/ml
Инжекция/Инжекционен Minocycline hydrochloride 0.2 mg/ml
Sodium chloride 0,9% 1228
Неопределена несъвместимост Несъвместим
Инжекция/Инжекционен Heparin sodium
Инжекция/Инжекционен Mitoxantrone dihydrochloride
3640
Неопределена несъвместимост Несъвместим
Инжекция/Инжекционен Heparin sodium
Инжекция/Инжекционен Morphine hydrochloride
5069
съвместим
Инжекция/Инжекционен Heparin sodium 100 & 200 UI/ml
Инжекция/Инжекционен Morphine sulfate 1 >> 5 mg/ml
Вода за инжекции 341
съвместим
Инжекция/Инжекционен Heparin sodium 1 UI/ml
Инжекция/Инжекционен Morphine sulfate 15 mg/ml
Ринтер лактат 1228
Неопределена несъвместимост Несъвместим
Инжекция/Инжекционен Heparin sodium
Инжекция/Инжекционен Morphine sulfate
3531
съвместим
Инжекция/Инжекционен Heparin sodium 1 UI/ml
Инжекция/Инжекционен Morphine sulfate 15 mg/ml
Glucose 5% 1228
съвместим
Инжекция/Инжекционен Heparin sodium 1 UI/ml
Инжекция/Инжекционен Morphine sulfate 15 mg/ml
Sodium chloride 0,9% 1228
съвместим
Инжекция/Инжекционен Heparin sodium 60 UI/ml
Инжекция/Инжекционен Morphine sulfate 1 mg/ml
Sodium chloride 0,9% 406
съвместим
Инжекция/Инжекционен Heparin sodium 100 & 200 UI/ml
Инжекция/Инжекционен Morphine sulfate 10 mg/ml
Вода за инжекции 341
съвместим
Инжекция/Инжекционен Heparin sodium 100 UI/ml
Инжекция/Инжекционен Morphine sulfate 2 mg/ml
314
Химическа нестабилност Несъвместим
Инжекция/Инжекционен Heparin sodium 100 & 200 UI/ml
Инжекция/Инжекционен Morphine sulfate 1 >> 10 mg/ml
Sodium chloride 0,9% 341
съвместим
Инжекция/Инжекционен Heparin sodium 1000 UI/ml
Инжекция/Инжекционен N-acetylcysteine 200 mg/ml
Няма 3766
съвместим
Инжекция/Инжекционен Heparin sodium 50 UI/ml
Инжекция/Инжекционен Nafcillin sodium 20 mg/ml
Няма 317
съвместим
Инжекция/Инжекционен Heparin sodium 1000 UI/ml
Инжекция/Инжекционен Naloxone hydrochloride 0.4 mg/ml
Няма 3408
Незабавна мътност Несъвместим
Инжекция/Инжекционен Heparin sodium 208,3 UI/ml
Инжекция/Инжекционен Nefopam 1,7 mg/ml
Sodium chloride 0,9% 4698
съвместим
Инжекция/Инжекционен Heparin sodium 1 UI/ml
Инжекция/Инжекционен Neostigmine methylsulfate 0.5 mg/ml
Glucose 5% 1228
съвместим
Инжекция/Инжекционен Heparin sodium 1 UI/ml
Инжекция/Инжекционен Neostigmine methylsulfate 0.5 mg/ml
Sodium chloride 0,9% 1228
съвместим
Инжекция/Инжекционен Heparin sodium 1 UI/ml
Инжекция/Инжекционен Neostigmine methylsulfate 0.5 mg/ml
Ринтер лактат 1228
Неопределена несъвместимост Несъвместим
Инжекция/Инжекционен Heparin sodium
Инжекция/Инжекционен Nesiritide
5048
Неопределена несъвместимост Несъвместим
Инжекция/Инжекционен Heparin sodium
Инжекция/Инжекционен Netilmicin sulfate
3540
Незабавни валежи Несъвместим
Инжекция/Инжекционен Heparin sodium
Инжекция/Инжекционен Netilmicin sulfate
1022
Незабавни валежи Несъвместим
Инжекция/Инжекционен Heparin sodium 100 UI/ml
Инжекция/Инжекционен Nicardipine hydrochloride 1 mg/ml
314
Неопределена несъвместимост Несъвместим
Инжекция/Инжекционен Heparin sodium
Инжекция/Инжекционен Nicardipine hydrochloride
3540
съвместим
Инжекция/Инжекционен Heparin sodium 40 UI/ml
Инжекция/Инжекционен Nicardipine hydrochloride 0.1 mg/ml
Glucose 5% 1490
съвместим
Инжекция/Инжекционен Heparin sodium 40 UI/ml
Инжекция/Инжекционен Nicardipine hydrochloride 0.1 mg/ml
Sodium chloride 0,9% 1490
Незабавни валежи Несъвместим
Инжекция/Инжекционен Heparin sodium 100 UI/ml
Инжекция/Инжекционен Nitroglycerin 1,6 >> 3,25 mg/ml
Glucose 5% 295
съвместим
Инжекция/Инжекционен Heparin sodium 500 UI/ml
Инжекция/Инжекционен Nitroglycerin 0.2 mg/ml
Sodium chloride 0,9% 3823
Производство на газови мехурчета Несъвместим
Инжекция/Инжекционен Heparin sodium 50 UI/ml
Инжекция/Инжекционен Nitroglycerin 0.2 mg/ml
Няма 317
съвместим
Инжекция/Инжекционен Heparin sodium 500 UI/ml
Инжекция/Инжекционен Nitroglycerin 0.2 mg/ml
Glucose 5% 3823
съвместим
Инжекция/Инжекционен Heparin sodium 100 UI/ml
Инжекция/Инжекционен Nitroglycerin 0.4 mg/ml
314
съвместим
Инжекция/Инжекционен Heparin sodium 50 UI/ml
Инжекция/Инжекционен Nitroprusside sodium 0.2 mg/ml
Няма 317
съвместим
Инжекция/Инжекционен Heparin sodium 100 UI/ml
Инжекция/Инжекционен Nitroprusside sodium 0.2 mg/ml
Glucose 5% 295
съвместим
Инжекция/Инжекционен Heparin sodium 100 UI/ml
Инжекция/Инжекционен Norepinephrine bitartrate 0.128 mg/ml
314
Неопределена несъвместимост Несъвместим
Инжекция/Инжекционен Heparin sodium
Инжекция/Инжекционен Ofloxacin
3562
съвместим
Инжекция/Инжекционен Heparin sodium 40 UI/ml
Инжекция/Инжекционен Ondansetron hydrochloride 1 mg/ml
Sodium chloride 0,9% 334
Несъвместим
Инжекция/Инжекционен Heparin sodium 200 UI/ml
Инжекция/Инжекционен Ondansetron hydrochloride 1.6 mg/ml
1699
Незабавна мътност Несъвместим
Инжекция/Инжекционен Heparin sodium 100 UI/ml
Инжекция/Инжекционен Oritavancin 0.8 >>1.2 mg/ml
Glucose 5% 3152
Валежи след 4 часа Несъвместим
Инжекция/Инжекционен Heparin sodium 100 UI/ml
Инжекция/Инжекционен Oritavancin 2 mg/ml
Glucose 5% 3152
съвместим
Инжекция/Инжекционен Heparin sodium 208 UI/ml
Инжекция/Инжекционен Ornidazole 31.25 mg/ml
Sodium chloride 0,9% 4254
съвместим
Инжекция/Инжекционен Heparin sodium 1 UI/ml
Инжекция/Инжекционен Oxacillin sodium 100 mg/ml
Glucose 5% 1228
съвместим
Инжекция/Инжекционен Heparin sodium 1 UI/ml
Инжекция/Инжекционен Oxacillin sodium 100 mg/ml
Ринтер лактат 1228
съвместим
Инжекция/Инжекционен Heparin sodium 1 UI/ml
Инжекция/Инжекционен Oxacillin sodium 100 mg/ml
Sodium chloride 0,9% 1228
съвместим
Инжекция/Инжекционен Heparin sodium 100 UI/ml
Инжекция/Инжекционен Oxaliplatin 0,5 mg/ml
Glucose 5% 1662
Неопределена несъвместимост Несъвместим
Инжекция/Инжекционен Heparin sodium
Инжекция/Инжекционен Oxytetracycline hydrochloride
3540
съвместим
Инжекция/Инжекционен Heparin sodium 100 UI/ml
Инжекция/Инжекционен Paclitaxel 1.2 mg/ml
Glucose 5% 248
съвместим
Инжекция/Инжекционен Heparin sodium 100 UI/ml
Инжекция/Инжекционен Palonosetron hydrochloride 50 µg/ml
Glucose 5% 2279
съвместим
Инжекция/Инжекционен Heparin sodium 40 UI/ml
Инжекция/Инжекционен Pancuronium bromide 0.05 mg/ml
Glucose 5% 402
Валежи след 1 час Несъвместим
Инжекция/Инжекционен Heparin sodium
Инжекция/Инжекционен Pantoprazole sodium
2090
съвместим
Инжекция/Инжекционен Heparin sodium 208,3 UI/ml
Инжекция/Инжекционен Paracetamol 10 mg/ml
Sodium chloride 0,9% 4698
съвместим
Инжекция/Инжекционен Heparin sodium 1000 UI/ml
Инжекция/Инжекционен Paracetamol 10 mg/ml
4742
съвместим
Инжекция/Инжекционен Heparin sodium 100 UI/ml
Инжекция/Инжекционен Pemetrexed disodium 20 mg/ml
Sodium chloride 0,9% 1953
Неопределена несъвместимост Несъвместим
Инжекция/Инжекционен Heparin sodium
Инжекция/Инжекционен Penicillin G potassium
3540
съвместим
Инжекция/Инжекционен Heparin sodium 50 UI/ml
Инжекция/Инжекционен Penicillin G potassium 0.04 MUI/ml
Няма 317
Неопределена несъвместимост Несъвместим
Инжекция/Инжекционен Heparin sodium
Инжекция/Инжекционен Penicillin G sodium
3540
съвместим
Инжекция/Инжекционен Heparin sodium 100 UI/ml
Инжекция/Инжекционен Pentoxifyllin 5 mg/ml
Sodium chloride 0,9% 4538
Незабавна мътност Несъвместим
Инжекция/Инжекционен Heparin sodium
Инжекция/Инжекционен Pethidine hydrochloride
3525
съвместим
Инжекция/Инжекционен Heparin sodium 60 UI/ml
Инжекция/Инжекционен Pethidine hydrochloride 10 mg/ml
Sodium chloride 0,9% 406
Неопределена несъвместимост Несъвместим
Инжекция/Инжекционен Heparin sodium
Инжекция/Инжекционен Pethidine hydrochloride
3540
Незабавни валежи Несъвместим
Инжекция/Инжекционен Heparin sodium 50 UI/ml
Инжекция/Инжекционен Phenytoin sodium 2 mg/ml
Няма 317
съвместим
Инжекция/Инжекционен Heparin sodium 50 UI/ml
Инжекция/Инжекционен Piperacillin sodium 60 mg/ml
Няма 317
съвместим
Инжекция/Инжекционен Heparin sodium 10 & 5000 UI/ml
Инжекция/Инжекционен Piperacillin sodium 40 mg/ml
Sodium chloride 0,9% 2037
съвместим
Инжекция/Инжекционен Heparin sodium 0.5 UI/ml
Инжекция/Инжекционен Piperacillin sodium / tazobactam 0.5/0.0625 mg/ml
Dianéal® 2.5% glucose (Baxter) 4180
съвместим
Инжекция/Инжекционен Heparin sodium 0.5 UI/ml
Инжекция/Инжекционен Piperacillin sodium / tazobactam 0.5/0.0625 mg/ml
Dianéal® 4.25% glucose (Baxter) 4180
Незабавна мътност Несъвместим
Инжекция/Инжекционен Heparin sodium 1000 UI/ml
Инжекция/Инжекционен Plazomicin sulfate 24 mg/ml
Sodium chloride 0,9% 4145
Неопределена несъвместимост Несъвместим
Инжекция/Инжекционен Heparin sodium
Инжекция/Инжекционен Polymyxine B
3540
съвместим
Инжекция/Инжекционен Heparin sodium 50 UI/ml
Инжекция/Инжекционен Potassium chloride 200 mEq/l
Няма 317
съвместим
Инжекция/Инжекционен Heparin sodium 1 UI/ml
Инжекция/Инжекционен Procainamide hydrochloride 100 mg/ml
Ринтер лактат 1228
съвместим
Инжекция/Инжекционен Heparin sodium 1 UI/ml
Инжекция/Инжекционен Procainamide hydrochloride 100 mg/ml
Sodium chloride 0,9% 1228
съвместим
Инжекция/Инжекционен Heparin sodium 1 UI/ml
Инжекция/Инжекционен Prochlorperazine edysilate 5 mg/ml
Sodium chloride 0,9% 1228
съвместим
Инжекция/Инжекционен Heparin sodium 3 >> 20 UI/ml
Парентерално хранене (липидите безплатно) 791
съвместим
Инжекция/Инжекционен Heparin sodium 100 UI/ml
Парентерално хранене (липидите безплатно) 301
съвместим
Инжекция/Инжекционен Heparin sodium 500 UI/ml
Парентерално хранене (липидите безплатно) 939
съвместим
Инжекция/Инжекционен Heparin sodium 1 UI/ml
Инжекция/Инжекционен Prochlorperazine edysilate 5 mg/ml
Ринтер лактат 1228
съвместим
Инжекция/Инжекционен Heparin sodium 1 UI/ml
Инжекция/Инжекционен Promethazine hydrochloride 50 mg/ml
Sodium chloride 0,9% 1228
съвместим
Инжекция/Инжекционен Heparin sodium 1 UI/ml
Инжекция/Инжекционен Promethazine hydrochloride 50 mg/ml
Ринтер лактат 1228
съвместим
Инжекция/Инжекционен Heparin sodium 1 UI/ml
Инжекция/Инжекционен Propranolol hydrochloride 1 mg/ml
Ринтер лактат 1228
съвместим
Инжекция/Инжекционен Heparin sodium 1 UI/ml
Инжекция/Инжекционен Propranolol hydrochloride 1 mg/ml
Sodium chloride 0,9% 1228
съвместим
Инжекция/Инжекционен Heparin sodium 50 UI/ml
Инжекция/Инжекционен Ranitidine hydrochloride 0,5 mg/ml
Glucose 5% 396
съвместим
Инжекция/Инжекционен Heparin sodium 10 & 40 UI/ml
Инжекция/Инжекционен Ranitidine hydrochloride 0.05 & 2 mg/ml
Sodium chloride 0,9% 214
съвместим
Инжекция/Инжекционен Heparin sodium 50 UI/ml
Инжекция/Инжекционен Ranitidine hydrochloride 1 mg/ml
Няма 317
съвместим
Инжекция/Инжекционен Heparin sodium 1000 UI/ml
Инжекция/Инжекционен Remdesivir 1 mg/ml
Sodium chloride 0,9% 4768
съвместим
Инжекция/Инжекционен Heparin sodium 100 UI/ml
Инжекция/Инжекционен Remifentanil hydrochloride 25 & 250 µg/ml
Sodium chloride 0,9% 59
съвместим
Инжекция/Инжекционен Heparin sodium 500 UI/ml
Инжекция/Инжекционен Remifentanil hydrochloride 100 µg/ml
Sodium chloride 0,9% 3823
съвместим
Инжекция/Инжекционен Heparin sodium 500 UI/ml
NaHCO3 150
съвместим
Инжекция/Инжекционен Heparin sodium 1.4 UI/ml
Инжекция/Инжекционен Piperacillin sodium / tazobactam 1.38/0.1725 mg/ml
Physionéal® 2.27 (Baxter) 4180
съвместим
Инжекция/Инжекционен Heparin sodium 1.4 UI/ml
Инжекция/Инжекционен Piperacillin sodium / tazobactam 1.38/0.1725 mg/ml
Physionéal® 1.36 (Baxter) 4180
съвместим
Инжекция/Инжекционен Heparin sodium 0.5 UI/ml
Инжекция/Инжекционен Piperacillin sodium / tazobactam 0.5/0.0625 mg/ml
Dianéal® 1.5% glucose (Baxter) 4180
съвместим
Инжекция/Инжекционен Heparin sodium 1.4 UI/ml
Инжекция/Инжекционен Piperacillin sodium / tazobactam 1.38/0.1725 mg/ml
Physionéal® 3.86 (Baxter) 4180
съвместим
Инжекция/Инжекционен Heparin sodium 100 UI/ml
Инжекция/Инжекционен Piperacillin sodium / tazobactam 40/5 mg/ml
Glucose 5% 81
съвместим
Инжекция/Инжекционен Heparin sodium 0.5 UI/ml
Инжекция/Инжекционен Piperacillin sodium / tazobactam 0.5/0.0625 mg/ml
Extraneal® (Baxter) 4180
съвместим
Инжекция/Инжекционен Heparin sodium 500 UI/ml
Инжекция/Инжекционен Potassium chloride 10 mEq/l
Sodium chloride 0,9% 3823
съвместим
Инжекция/Инжекционен Heparin sodium 58,34 UI/ml
Инжекция/Инжекционен Potassium chloride 1250 mEq/l
Glucose 5% 1289
съвместим
Инжекция/Инжекционен Heparin sodium
Инжекция/Инжекционен Potassium phosphate
3781
съвместим
Инжекция/Инжекционен Heparin sodium 1 UI/ml
Инжекция/Инжекционен Procainamide hydrochloride 100 mg/ml
Glucose 5% 1228
съвместим
Инжекция/Инжекционен Heparin sodium 1 UI/ml
Инжекция/Инжекционен Prochlorperazine edysilate 5 mg/ml
Glucose 5% 1228
съвместим
Инжекция/Инжекционен Heparin sodium 1 UI/ml
Инжекция/Инжекционен Promethazine hydrochloride 50 mg/ml
Glucose 5% 1228
Неопределена несъвместимост Несъвместим
Инжекция/Инжекционен Heparin sodium
Инжекция/Инжекционен Promethazine hydrochloride
3540
Нестабилност на емулсията след 1 час Несъвместим
Инжекция/Инжекционен Heparin sodium 1000 UI/ml
Инжекция/Инжекционен Propofol
660
съвместим
Инжекция/Инжекционен Heparin sodium 100 UI/ml
Инжекция/Инжекционен Propofol 10 mg/ml
Няма 300
съвместим
Инжекция/Инжекционен Heparin sodium 1 UI/ml
Инжекция/Инжекционен Propranolol hydrochloride 1 mg/ml
Glucose 5% 1228
съвместим
Инжекция/Инжекционен Heparin sodium 100 UI/ml
Инжекция/Инжекционен Ranitidine hydrochloride 1 mg/ml
314
съвместим
Инжекция/Инжекционен Heparin sodium 10 & 40 UI/ml
Инжекция/Инжекционен Ranitidine hydrochloride 0.05 & 2 mg/ml
Glucose 5% 214
съвместим
Инжекция/Инжекционен Heparin sodium 416.7 UI/ml
Инжекция/Инжекционен Remifentanil hydrochloride 120 µg/ml
Glucose 5% 3294
съвместим
Инжекция/Инжекционен Heparin sodium 416.7 UI/ml
Инжекция/Инжекционен Remifentanil hydrochloride 120 µg/ml
Glucose 5% 3176
Неопределена несъвместимост Несъвместим
Инжекция/Инжекционен Heparin sodium
Инжекция/Инжекционен Reteplase
2212
съвместим
Инжекция/Инжекционен Heparin sodium 20,458 >> 28,000 UI/ml
Парентерално хранене (с липиди) 1868
Неопределена несъвместимост Несъвместим
Инжекция/Инжекционен Heparin sodium
Инжекция/Инжекционен Reteplase
3540
съвместим
Инжекция/Инжекционен Heparin sodium 1000 UI/ml
Инжекция/Инжекционен Salbutamol sulfate 1 mg/ml
Няма 3216
съвместим
Инжекция/Инжекционен Heparin sodium 100 UI/ml
Инжекция/Инжекционен Sargramostim 6 §15 µg/ml
Sodium chloride 0,9% 891
съвместим
Инжекция/Инжекционен Heparin sodium 100 UI/ml
Инжекция/Инжекционен Sargramostim 10 µg/ml
Sodium chloride 0,9% 335
съвместим
Инжекция/Инжекционен Heparin sodium 1 UI/ml
Инжекция/Инжекционен Scopolamine hydrobromide 0.86 mg/ml
Sodium chloride 0,9% 1228
съвместим
Инжекция/Инжекционен Heparin sodium 1 UI/ml
Инжекция/Инжекционен Scopolamine hydrobromide 0.86 mg/ml
Ринтер лактат 1228
съвместим
Инжекция/Инжекционен Heparin sodium 1 UI/ml
Инжекция/Инжекционен Scopolamine hydrobromide 0.86 mg/ml
Glucose 5% 1228
съвместим
Инжекция/Инжекционен Heparin sodium 100 UI/ml
Инжекция/Инжекционен Sildenafil citrate 0,6 mg/ml
Glucose 5% 4845
съвместим
Инжекция/Инжекционен Heparin sodium 100 UI/ml
Инжекция/Инжекционен Sildenafil citrate 0,06 mg/ml
Glucose 5% 4845
съвместим
Инжекция/Инжекционен Heparin sodium 1 UI/ml
Инжекция/Инжекционен Sildenafil citrate 0,4 mg/ml
Glucose 5% 3923
съвместим
Инжекция/Инжекционен Heparin sodium 2 UI/ml
Инжекция/Инжекционен Sildenafil citrate 0,6 mg/ml
Glucose 5% 4845
съвместим
Инжекция/Инжекционен Heparin sodium
Sodium chloride 0,9% 3540
Непосредствена нестабилност на емулсията Несъвместим
Инжекция/Инжекционен Heparin sodium 100 UI/ml
Парентерално хранене (с липиди) 132
Незабавна мътност Несъвместим
Инжекция/Инжекционен Heparin sodium 100 UI/ml
Инжекция/Инжекционен Sildenafil citrate 0,6 mg/ml
Glucose 5% 4845
съвместим
Инжекция/Инжекционен Heparin sodium 500 UI/ml
Инжекция/Инжекционен Sodium bicarbonate 84 mg/ml
Sodium chloride 0,9% 3823
съвместим
Инжекция/Инжекционен Heparin sodium
Инжекция/Инжекционен Sodium bicarbonate
3466
съвместим
Инжекция/Инжекционен Heparin sodium 500 UI/ml
Инжекция/Инжекционен Sodium bicarbonate 14 mg/ml
Няма 150
съвместим
Инжекция/Инжекционен Heparin sodium 500 UI/ml
Инжекция/Инжекционен Sodium bicarbonate 84 mg/ml
Няма 3212
съвместим
Инжекция/Инжекционен Heparin sodium 208 UI/ml
Инжекция/Инжекционен Spiramycine adipate 0.0625 MUI/ml
Sodium chloride 0,9% 4254
съвместим
Инжекция/Инжекционен Heparin sodium 100 UI/ml
Инжекция/Инжекционен Streptokinase 30000 UI/ml
Glucose 5% 92
Неопределена несъвместимост Несъвместим
Инжекция/Инжекционен Heparin sodium
Инжекция/Инжекционен Streptomycin sulfate
3540
съвместим
Инжекция/Инжекционен Heparin sodium 416.7 UI/ml
Инжекция/Инжекционен Sufentanil citrate 0.005 mg/ml
Glucose 5% 3294
съвместим
Инжекция/Инжекционен Heparin sodium 1000 UI/ml
Инжекция/Инжекционен Sugammadex 100 mg/ml
Няма 3372
съвместим
Инжекция/Инжекционен Heparin sodium 10 UI/ml
Инжекция/Инжекционен Tacrolimus 1000 µg/ml
Sodium chloride 0,9% 479
съвместим
Инжекция/Инжекционен Heparin sodium 1000 UI/ml
Ринтер лактат 4603
съвместим
Инжекция/Инжекционен Heparin sodium 1000 UI/ml
Инжекция/Инжекционен Sulbactam/durlobactam 15/15 mg/ml
Sodium chloride 0,9% 4801
съвместим
Инжекция/Инжекционен Heparin sodium 1000 UI/ml
Инжекция/Инжекционен Tedizolid phosphate 0.8 mg/ml
Sodium chloride 0,9% 3827
съвместим
Инжекция/Инжекционен Heparin sodium 10 >> 10000 UI/ml
Инжекция/Инжекционен Teicoplanine 0.02 >> 10 mg/ml
Sodium chloride 0,9% 2057
Незабавна мътност Несъвместим
Инжекция/Инжекционен Heparin sodium 1000 UI/ml
Инжекция/Инжекционен Telavancin hydrochloride 7,5 mg/ml
Glucose 5% 3254
Незабавна мътност Несъвместим
Инжекция/Инжекционен Heparin sodium 1000 UI/ml
Инжекция/Инжекционен Telavancin hydrochloride 7,5 mg/ml
Sodium chloride 0,9% 3254
съвместим
Инжекция/Инжекционен Heparin sodium 1000 UI/ml
Инжекция/Инжекционен Telavancin hydrochloride 7.5 mg/ml
Ринтер лактат 3254
Незабавни валежи Несъвместим
Инжекция/Инжекционен Heparin sodium 1000 UI/ml
Инжекция/Инжекционен Thiopental sodium 25 mg/ml
Sodium chloride 0,9% 3767
Непосредствена нестабилност на емулсията Несъвместим
Инжекция/Инжекционен Heparin sodium 1 UI/ml
Парентерално хранене (с липиди) 1391
съвместим
Инжекция/Инжекционен Heparin sodium 100 UI/ml
Инжекция/Инжекционен Teniposide 0.1 mg/ml
Glucose 5% 905
съвместим
Инжекция/Инжекционен Heparin sodium 50 UI/ml
Инжекция/Инжекционен Theophylline 4 mg/ml
Няма 317
съвместим
Инжекция/Инжекционен Heparin sodium 100 UI/ml
Инжекция/Инжекционен Thiopental sodium 25 mg/ml
314
Непосредствена нестабилност на емулсията Несъвместим
Инжекция/Инжекционен Heparin sodium 100 UI/ml
Парентерално хранене (с липиди) 1415
съвместим
Инжекция/Инжекционен Heparin sodium 500 UI/ml
Инжекция/Инжекционен Thiopental sodium 60 mg/ml
Sodium chloride 0,9% 3823
съвместим
Инжекция/Инжекционен Heparin sodium 100 UI/ml
Инжекция/Инжекционен Thiotepa 1 mg/ml
Glucose 5% 249
съвместим
Инжекция/Инжекционен Heparin sodium 50 UI/ml
Инжекция/Инжекционен Ticarcillin / clavulanic acid 31 mg/ml
Няма 317
съвместим
Инжекция/Инжекционен Heparin sodium 500 UI/ml
Инжекция/Инжекционен Tirofiban 250 µg/ml
Sodium chloride 0,9% 3823
съвместим
Инжекция/Инжекционен Heparin sodium 40 & 100 UI/ml
Инжекция/Инжекционен Tirofiban 50 µg/ml
Sodium chloride 0,9% 1420
съвместим
Инжекция/Инжекционен Heparin sodium
Glucose 5% 3540
съвместим
Инжекция/Инжекционен Heparin sodium
Инжекция/Инжекционен Tirofiban
1512
съвместим
Инжекция/Инжекционен Heparin sodium 40 & 100 UI/ml
Инжекция/Инжекционен Tirofiban 50 µg/ml
Glucose 5% 1420
Неопределена несъвместимост Несъвместим
Инжекция/Инжекционен Heparin sodium 50 UI/ml
Инжекция/Инжекционен Tobramycin sulfate 0.8 mg/ml
Няма 317
Неопределена несъвместимост Несъвместим
Инжекция/Инжекционен Heparin sodium
Инжекция/Инжекционен Tobramycin sulfate
3540
съвместим
Инжекция/Инжекционен Heparin sodium
Инжекция/Инжекционен Tranexamic acid
5016
Неопределена несъвместимост Несъвместим
Инжекция/Инжекционен Heparin sodium
Инжекция/Инжекционен Triflupromazine hydrochloride
3540
съвместим
Инжекция/Инжекционен Heparin sodium 500 UI/ml
Инжекция/Инжекционен Urapidil 5 mg/ml
Sodium chloride 0,9% 3823
Незабавни валежи Несъвместим
Инжекция/Инжекционен Heparin sodium 0,5 >> 14,3 UI/ml
Инжекция/Инжекционен Vancomycin hydrochloride 6,9 >> 14,3 mg/ml
Dianéal® PD1 4.25% glucose (Baxter) 2375
Неопределена несъвместимост Несъвместим
Инжекция/Инжекционен Heparin sodium
Инжекция/Инжекционен Vancomycin hydrochloride
3588
Неопределена несъвместимост Несъвместим
Инжекция/Инжекционен Heparin sodium
Инжекция/Инжекционен Vancomycin hydrochloride
3540
съвместим
Инжекция/Инжекционен Heparin sodium 0,5 >> 14,3 UI/ml
Инжекция/Инжекционен Vancomycin hydrochloride 0,015 >> 6,8 mg/ml
Dianéal® PD2 2.5% glucose (Baxter) 2375
Незабавни валежи Несъвместим
Инжекция/Инжекционен Heparin sodium 0,5 >> 14,3 UI/ml
Инжекция/Инжекционен Vancomycin hydrochloride 6,9 >> 14,3 mg/ml
Dianéal® PD2 2.5% glucose (Baxter) 2375
съвместим
Инжекция/Инжекционен Heparin sodium 10 UI/ml
Инжекция/Инжекционен Vancomycin hydrochloride 0.025 mg/ml
Вода за инжекции 3125
съвместим
Инжекция/Инжекционен Heparin sodium 0,5 >> 14,3 UI/ml
Инжекция/Инжекционен Vancomycin hydrochloride 0,015 >> 6,8 mg/ml
Dianéal® PD1 4.25% glucose (Baxter) 2375
Неопределена несъвместимост Несъвместим
Инжекция/Инжекционен Heparin sodium 50 UI/ml
Инжекция/Инжекционен Vancomycin hydrochloride 6.6 mg/ml
Няма 317
съвместим
Инжекция/Инжекционен Heparin sodium 100 UI/ml
Инжекция/Инжекционен Vancomycin hydrochloride 0.025 mg/ml
Sodium chloride 0,9% 1414
съвместим
Инжекция/Инжекционен Heparin sodium 10 UI/ml
Инжекция/Инжекционен Vancomycin hydrochloride 2 mg/ml
Sodium chloride 0,9% 2037
Незабавни валежи Несъвместим
Инжекция/Инжекционен Heparin sodium 100 UI/ml
Инжекция/Инжекционен Vancomycin hydrochloride 10 mg/ml
Парентерално хранене (липидите безплатно) 132
съвместим
Инжекция/Инжекционен Heparin sodium 5000 UI/ml
Инжекция/Инжекционен Vancomycin hydrochloride 2.5 mg/ml
Sodium chloride 0,9% 2037
съвместим
Инжекция/Инжекционен Heparin sodium 100 UI/ml
Инжекция/Инжекционен Vancomycin hydrochloride 0.025 mg/ml
Sodium chloride 0,9% 895
съвместим
Инжекция/Инжекционен Heparin sodium 100 UI/ml
Инжекция/Инжекционен Vasopressin 2 & 4 UI/ml
Sodium chloride 0,9% 1801
съвместим
Инжекция/Инжекционен Heparin sodium 100 UI/ml
Инжекция/Инжекционен Vecuronium bromide 1 mg/ml
314
съвместим
Инжекция/Инжекционен Heparin sodium 40 UI/ml
Инжекция/Инжекционен Vecuronium bromide 0.1 mg/ml
Glucose 5% 402
съвместим
Инжекция/Инжекционен Heparin sodium 20 UI/ml
Инжекция/Инжекционен Verapamil hydrochloride 0.08 mg/ml
Sodium chloride 0,9% 1057
съвместим
Инжекция/Инжекционен Heparin sodium 20 UI/ml
Инжекция/Инжекционен Verapamil hydrochloride 0.08 mg/ml
Glucose 5% 1057
Неопределена несъвместимост Несъвместим
Инжекция/Инжекционен Heparin sodium
Инжекция/Инжекционен Vinblastine sulfate
3540
съвместим
Инжекция/Инжекционен Heparin sodium 1000 UI/ml
Инжекция/Инжекционен Vinblastine sulfate 1 mg/ml
763
съвместим
Инжекция/Инжекционен Heparin sodium 1000 UI/ml
Инжекция/Инжекционен Vincristine sulfate 1 mg/ml
763
съвместим
Инжекция/Инжекционен Heparin sodium 100 UI/ml
Инжекция/Инжекционен Vinorelbine tartrate 1 mg/ml
Sodium chloride 0,9% 84
съвместим
Инжекция/Инжекционен Heparin sodium 100 UI/ml
Инжекция/Инжекционен Vinorelbine tartrate 1 mg/ml
Sodium chloride 0,9% 1070
Незабавни валежи Несъвместим
Инжекция/Инжекционен Heparin sodium 10 & 100 UI/ml
Инжекция/Инжекционен Vinorelbine tartrate 2 & 3 mg/ml
Sodium chloride 0,9% 1070
съвместим
Инжекция/Инжекционен Heparin sodium 208 UI/ml
Инжекция/Инжекционен Voriconazole 8 mg/ml
Glucose 5% 4254
съвместим
Инжекция/Инжекционен Heparin sodium 208 UI/ml
Инжекция/Инжекционен Voriconazole 8 mg/ml
Sodium chloride 0,9% 4254
съвместим
Инжекция/Инжекционен Heparin sodium 100 UI/ml
Инжекция/Инжекционен Warfarin sodium 2 mg/ml
Glucose 5% 315
съвместим
Инжекция/Инжекционен Heparin sodium 100 UI/ml
Инжекция/Инжекционен Zidovudine 4 mg/ml
Glucose 5% 337

  Mentions Légales