Τελευταία ενημέρωση :
27/01/2026
Αντιπηκτικό   Heparin sodium  
Ενέσιμο
Σταθερότητα διαλυμάτων Σταθερότητα σε μίγματα Παράγοντας που επηρεάζει τη σταθερότητα Συμβατότητες Τρόπος χορήγησης Βιβλιογραφία pdf
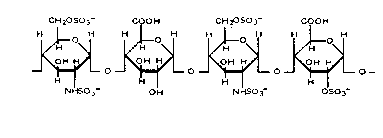
   χημική δομή  

Εμπορική ονομασία   Εμπορική ονομασία     

Οι εμπορικές ονομασίες είναι ενδεικτικές και η σύνθεση των εκδόχων μπορεί να διαφέρει ανάλογα με τη χώρα και τα εργαστήρια

Arapin Χιλή
Ateroclar Ιταλία
Clarisco Ιταλία
Epsoclar Ιταλία
Hepaflex Νορβηγία, Φινλανδία
Hepamax Εκουαδόρ, Κολομβία, Χιλή
Heparin Αυστρία, Γιουγκοσλαβία, Δανία, Ελβετία, Ελλάδα, Η.Π.Α., Καναδάς, Μεγάλη Βρετανία, Νορβηγία, Νότιος Αφρική, Ολλανδία, Ουγγαρία, Ρωσικά, Σουηδία, Ταϊλάνδη, Τουρκία, Φινλανδία
Heparine Βέλγιο, Γαλλία
Heparinised Αυστραλία
Heparstad Γερμανία
Liquemin Ελβετία, Τουρκία
Liquemine Βραζιλία
Monoparin Σαουδική Αραβία
Normoparin Ιταλία
Nuparin Εκουαδόρ
Pharepa Ιταλία
Riveparin Αργεντινή
Sobrius Αργεντινή, Εκουαδόρ
Thrombophob Γερμανία
Συμβατότητες    Ενέσιμο   Συμβατότητες : Heparin sodium              
Σε αυτή την οθόνη εμφανίζονται οι συμβατότητες ή ασυμβατότητες. Σε αυτή την περίπτωση εμφανίζονται το είδος της ασυμβατότητας (ίζημα, αλλαγή χρώματος, μεταβολή γαλακτώματος, κλπ). Οι συμβατότητες που παρουσιάζονται εδώ είναι κυρίως φυσικές, ενώ η χημική σταθερότητα κάθε μορίου σπάνια περιλαμβάνεται. Η αξιολόγηση αυτών των μιγμάτων μελετήθηκε προκειμένου να εκτιμηθεί η πιθανότητα χορήγησης στον ασθενή στο Υ κέντρο. Τα δεδομένα αυτά δεν μπορούν να χρησιμοποιηθούν για την εκ των προτέρων δημιουργία μιγμάτων σε ασκούς ή σύριγγες. Αυτό το είδος πληροφορίας υπάρχει και μπορεί να αναζητηθεί στην οθόνη «Σταθερότητα σε μίγμα».
Συστατικό Διαλυτικό Βιβλιογραφία
Σύμφωνος
Ενέσιμο Heparin sodium 100 UI/ml
Ενέσιμο Aciclovir sodium 5 mg/ml
Χλωριούχο νάτριο 0,9% 2335
Σύμφωνος
Ενέσιμο Heparin sodium 50 UI/ml
Ενέσιμο Aciclovir sodium 5 mg/ml
Γλυκόζη 5% 336
Σύμφωνος
Ενέσιμο Heparin sodium 100 UI/ml
Ενέσιμο Aldesleukin 0.0338 MUI/ml
Γλυκόζη 5% 36
Σύμφωνος
Ενέσιμο Heparin sodium 100 UI/ml
Ενέσιμο Allopurinol sodium 3 mg/ml
Χλωριούχο νάτριο 0,9% 307
Σύμφωνος
Ενέσιμο Heparin sodium 1 UI/ml
Ενέσιμο Alprostadil 20 µg/ml
Χλωριούχο νάτριο 0,9% 4491
Σύμφωνος
Ενέσιμο Heparin sodium 1 UI/ml
Ενέσιμο Alprostadil 20 µg/ml
Γλυκόζη 5% 4651
Βροχόπτωση μετά από 24 ώρες Ασύμβατες
Ενέσιμο Heparin sodium 100 UI/ml
Ενέσιμο Alteplase 1 mg/ml
Ενέσιμο ύδωρ 92
Απροσδιόριστη ασυμβατότητα Ασύμβατες
Ενέσιμο Heparin sodium
Ενέσιμο Alteplase
3540
Άμεση βροχόπτωση Ασύμβατες
Ενέσιμο Heparin sodium 40 UI/ml
Ενέσιμο Alteplase 0.5 mg/ml
Ενέσιμο ύδωρ 240
Απροσδιόριστη ασυμβατότητα Ασύμβατες
Ενέσιμο Heparin sodium
Ενέσιμο Alteplase
3616
Σύμφωνος
Ενέσιμο Heparin sodium 100 UI/ml
Ενέσιμο Amifostine 10 mg/ml
Γλυκόζη 5% 3
Άμεση βροχόπτωση Ασύμβατες
Ενέσιμο Heparin sodium
Ενέσιμο Amikacin sulfate
1022
Απροσδιόριστη ασυμβατότητα Ασύμβατες
Ενέσιμο Heparin sodium
Ενέσιμο Amikacin sulfate
3549
Απροσδιόριστη ασυμβατότητα Ασύμβατες
Ενέσιμο Heparin sodium
Ενέσιμο Amikacin sulfate
3540
Απροσδιόριστη ασυμβατότητα Ασύμβατες
Ενέσιμο Heparin sodium 500 UI/ml
Ενέσιμο Amiodarone hydrochloride 15 mg/ml
Χλωριούχο νάτριο 0,9% 3823
Απροσδιόριστη ασυμβατότητα Ασύμβατες
Ενέσιμο Heparin sodium
Ενέσιμο Amiodarone hydrochloride
3540
Άμεση θολότητα Ασύμβατες
Ενέσιμο Heparin sodium 500 UI/ml
Ενέσιμο Amiodarone hydrochloride 15 mg/ml
Χλωριούχο νάτριο 0,9% 3463
Απροσδιόριστη ασυμβατότητα Ασύμβατες
Ενέσιμο Heparin sodium
Ενέσιμο Amiodarone hydrochloride
3464
Απροσδιόριστη ασυμβατότητα Ασύμβατες
Ενέσιμο Heparin sodium 500 UI/ml
Ενέσιμο Amiodarone hydrochloride 15 mg/ml
Γλυκόζη 5% 3823
Άμεση θολότητα Ασύμβατες
Ενέσιμο Heparin sodium 500 UI/ml
Ενέσιμο Amiodarone hydrochloride 15 mg/ml
Γλυκόζη 5% 3463
Σύμφωνος
Ενέσιμο Heparin sodium 208 UI/ml
Ενέσιμο Amoxicillin sodium 20.83 & 83.3 mg/ml
Χλωριούχο νάτριο 0,9% 4254
Σύμφωνος
Ενέσιμο Heparin sodium 1000 UI/ml
Ενέσιμο Amoxicillin sodium / clavulanic acid 100/10 mg/ml
3824
Σύμφωνος
Ενέσιμο Heparin sodium
Ενέσιμο Ampicillin sodium
5088
Σύμφωνος
Ενέσιμο Heparin sodium 50 UI/ml
Ενέσιμο Ampicillin sodium 20 mg/ml
Ουδέν 317
Σύμφωνος
Ενέσιμο Heparin sodium 50 UI/ml
Ενέσιμο Ampicillin sodium - sulbactam sodium 30 mg/ml
Ουδέν 317
Άμεση βροχόπτωση Ασύμβατες
Ενέσιμο Heparin sodium 40 UI/ml
Ενέσιμο Amsacrine 1 mg/ml
Γλυκόζη 5% 253
Σύμφωνος
Ενέσιμο Heparin sodium 100 UI/ml
Ενέσιμο Anidulafungin 0.5 mg/ml
Γλυκόζη 5% 1982
Άμεση βροχόπτωση Ασύμβατες
Ενέσιμο Heparin sodium
Ενέσιμο Antithymocyte globulin (rabbit)
4958
Άμεση βροχόπτωση Ασύμβατες
Ενέσιμο Heparin sodium 2 UI/ml
Ενέσιμο Antithymocyte globulin (rabbit) 0,2 & 0,3 mg/ml
Γλυκόζη 5% 1822
Σύμφωνος
Ενέσιμο Heparin sodium 100 UI/ml
Ενέσιμο Antithymocyte globulin (rabbit) 0,2 & 0,3 mg/ml
Γλυκόζη 5% 1822
Σύμφωνος
Ενέσιμο Heparin sodium 2 & 100 UI/ml
Ενέσιμο Antithymocyte globulin (rabbit) 0,2 & 0,3 mg/ml
Χλωριούχο νάτριο 0,9% 1822
Σύμφωνος
Ενέσιμο Heparin sodium 40 UI/ml
Ενέσιμο Atracurium besylate 0.5 mg/ml
Γλυκόζη 5% 402
Σύμφωνος
Ενέσιμο Heparin sodium 1 UI/ml
Ενέσιμο Atropine sulfate 0.5 mg/ml
Γλυκόζη 5% 1228
Σύμφωνος
Ενέσιμο Heparin sodium 500 UI/ml
Παρεντερική διατροφή (με λιπίδια) 4507
Άμεση βροχόπτωση Ασύμβατες
Ενέσιμο Heparin sodium 1000 UI/ml
Ενέσιμο Amphotericin B cholesteryl sulfate complex 0.83 mg/ml
Γλυκόζη 5% 921
Απροσδιόριστη ασυμβατότητα Ασύμβατες
Ενέσιμο Heparin sodium
Ενέσιμο Ampicillin sodium
3540
Σύμφωνος
Ενέσιμο Heparin sodium 10 & 5000 UI/ml
Ενέσιμο Ampicillin sodium 10 mg/ml
Χλωριούχο νάτριο 0,9% 2037
Σύμφωνος
Ενέσιμο Heparin sodium 1 UI/ml
Ενέσιμο Atropine sulfate 0.5 mg/ml
Γαλακτικό διάλυμα Ringer 1228
Σύμφωνος
Ενέσιμο Heparin sodium 1 UI/ml
Ενέσιμο Atropine sulfate 0.5 mg/ml
Χλωριούχο νάτριο 0,9% 1228
Σύμφωνος
Ενέσιμο Heparin sodium 100 UI/ml
Ενέσιμο Aztreonam 40 mg/ml
Γλυκόζη 5% 99
Σύμφωνος
Ενέσιμο Heparin sodium 50 UI/ml
Ενέσιμο Aztreonam 20 mg/ml
Ουδέν 317
Σύμφωνος
Ενέσιμο Heparin sodium 1 UI/ml
Ενέσιμο Betamethasone sodium phosphate 3 mg/ml
Χλωριούχο νάτριο 0,9% 1228
Σύμφωνος
Ενέσιμο Heparin sodium 1 UI/ml
Ενέσιμο Betamethasone sodium phosphate 3 mg/ml
Γλυκόζη 5% 1228
Σύμφωνος
Ενέσιμο Heparin sodium 1 UI/ml
Ενέσιμο Betamethasone sodium phosphate 3 mg/ml
Γαλακτικό διάλυμα Ringer 1228
Σύμφωνος
Ενέσιμο Heparin sodium 100 UI/ml
Ενέσιμο Bivalirudin 5 mg/ml
Γλυκόζη 5% 1713
Άμεση βροχόπτωση Ασύμβατες
Ενέσιμο Heparin sodium 192.3 UI/ml
Ενέσιμο Blinatumomab 0.125 & 0.375 µg/ml
Χλωριούχο νάτριο 0,9% 3976
Σύμφωνος
Ενέσιμο Heparin sodium 1000 UI/ml
Ενέσιμο Caffeine 10 mg/ml
Ουδέν 3964
Σύμφωνος
Ενέσιμο Heparin sodium 100 UI/ml
Ενέσιμο Caffeine 10 mg/ml
Χλωριούχο νάτριο 0,9% 4837
Σύμφωνος
Ενέσιμο Heparin sodium 100 UI/ml
Ενέσιμο Caffeine citrate 20 mg/ml
Χλωριούχο νάτριο 0,9% 4837
Βροχόπτωση μετά από 30 λεπτά Ασύμβατες
Ενέσιμο Heparin sodium 2 UI/ml
Ενέσιμο Calcium chloride 20 mg/ml
Γλυκόζη 5% 4732
Σύμφωνος
Ενέσιμο Heparin sodium 100 UI/ml
Ενέσιμο Calcium chloride 20 mg/ml
Γλυκόζη 5% 4732
Άμεση αστάθεια του γαλακτώματος Ασύμβατες
Ενέσιμο Heparin sodium
Ενέσιμο Calcium chloride
Παρεντερική διατροφή (με λιπίδια) 1084
Άμεση αστάθεια του γαλακτώματος Ασύμβατες
Ενέσιμο Heparin sodium
Ενέσιμο Calcium gluconate
Παρεντερική διατροφή (με λιπίδια) 1084
Άμεση βροχόπτωση Ασύμβατες
Ενέσιμο Heparin sodium 100 UI/ml
Ενέσιμο Caspofungin acetate 0.5 mg/ml
Χλωριούχο νάτριο 0,9% 2233
Άμεση βροχόπτωση Ασύμβατες
Ενέσιμο Heparin sodium 100 UI/ml
Ενέσιμο Caspofungin acetate 0,7 mg/ml
Χλωριούχο νάτριο 0,9% 2247
Απροσδιόριστη ασυμβατότητα Ασύμβατες
Ενέσιμο Heparin sodium
Ενέσιμο Cefalotin sodium
3540
Σύμφωνος
Ενέσιμο Heparin sodium 10 & 5000 UI/ml
Ενέσιμο Cefazolin sodium 10 mg/ml
Χλωριούχο νάτριο 0,9% 2037
Σύμφωνος
Ενέσιμο Heparin sodium 50 UI/ml
Ενέσιμο Cefazolin sodium 20 mg/ml
Ουδέν 317
Σύμφωνος
Ενέσιμο Heparin sodium 0.667 UI/ml
Ενέσιμο Cefazolin sodium 0.333 mg/ml
Dianéal® PD2 1.5% Γλυκόζη (Baxter) 1979
Σύμφωνος
Ενέσιμο Heparin sodium 10 & 50 UI/ml
Ενέσιμο Cefepime dihydrochloride 4 mg/ml
Χλωριούχο νάτριο 0,9% 3548
Σύμφωνος
Ενέσιμο Heparin sodium 10 & 50 UI/ml
Ενέσιμο Cefepime dihydrochloride 4 mg/ml
Γλυκόζη 5% 3548
Σύμφωνος
Ενέσιμο Heparin sodium 1000 UI/ml
Ενέσιμο Cefiderocol sulfate tosylate 20 mg/mL
Γλυκόζη 5% 4528
Σύμφωνος
Ενέσιμο Heparin sodium 1000 UI/ml
Ενέσιμο Cefiderocol sulfate tosylate 20 mg/mL
Χλωριούχο νάτριο 0,9% 4528
Χημική αστάθεια Ασύμβατες
Ενέσιμο Heparin sodium 100 UI/ml
Ενέσιμο Cefmetazole sodium 100 mg/ml
Ενέσιμο ύδωρ 93
Σύμφωνος
Ενέσιμο Heparin sodium 208 UI/ml
Ενέσιμο Cefotaxime sodium 41.6 & 125 mg/ml
Γλυκόζη 5% 4254
Σύμφωνος
Ενέσιμο Heparin sodium 208 UI/ml
Ενέσιμο Cefotaxime sodium 41.6 & 125 mg/ml
Χλωριούχο νάτριο 0,9% 4254
Σύμφωνος
Ενέσιμο Heparin sodium 5000 UI/ml
Ενέσιμο Cefotaxime sodium 10 mg/ml
Ενέσιμο ύδωρ 3125
Σύμφωνος
Ενέσιμο Heparin sodium 100 UI/ml
Ενέσιμο Ceftaroline fosamil 2,22 mg/ml
Γαλακτικό διάλυμα Ringer 3249
Σύμφωνος
Ενέσιμο Heparin sodium 100 UI/ml
Ενέσιμο Ceftaroline fosamil 2,22 mg/ml
Χλωριούχο νάτριο 0,9% 3249
Σύμφωνος
Ενέσιμο Heparin sodium 100 UI/ml
Ενέσιμο Ceftaroline fosamil 2,22 mg/ml
Γλυκόζη 5% 3249
Σύμφωνος
Ενέσιμο Heparin sodium 0.5 UI/ml
Ενέσιμο Ceftazidime 0.125 mg/ml
Extraneal® (Baxter) 4056
Σύμφωνος
Ενέσιμο Heparin sodium 0.5 UI/ml
Ενέσιμο Ceftazidime 0.125 mg/ml
Dianéal® PD2 4.25% Γλυκόζη (Baxter) 4056
Σύμφωνος
Ενέσιμο Heparin sodium 50 UI/ml
Ενέσιμο Ceftazidime 20 mg/ml
Ουδέν 317
Σύμφωνος
Ενέσιμο Heparin sodium 0.5 UI/ml
Ενέσιμο Ceftazidime 0.125 mg/ml
Dianéal® PD2 2.5% glucose (Baxter) 4056
Σύμφωνος
Ενέσιμο Heparin sodium 100 UI/ml
Ενέσιμο Ceftobiprole medocaril sodium 2 mg/ml
Χλωριούχο νάτριο 0,9% 2269
Σύμφωνος
Ενέσιμο Heparin sodium 100 UI/ml
Ενέσιμο Ceftobiprole medocaril sodium 2 mg/ml
Γλυκόζη 5% 2269
Σύμφωνος
Ενέσιμο Heparin sodium 100 UI/ml
Ενέσιμο Ceftobiprole medocaril sodium 2 mg/ml
Γαλακτικό διάλυμα Ringer 2269
Σύμφωνος
Ενέσιμο Heparin sodium 1000 UI/ml
Ενέσιμο Ceftolozane / tazobactam 10/5 mg/ml
Χλωριούχο νάτριο 0,9% 3828
Σύμφωνος
Ενέσιμο Heparin sodium 1000 UI/ml
Ενέσιμο Ceftolozane / tazobactam 10/5 mg/ml
Γλυκόζη 5% 3828
Σύμφωνος
Ενέσιμο Heparin sodium 50 UI/ml
Ενέσιμο Ceftriaxone disodium 20 mg/ml
Ουδέν 317
Σύμφωνος
Ενέσιμο Heparin sodium 10 & 50 UI/ml
Ενέσιμο Cefuroxime sodium
Χλωριούχο νάτριο 0,9% 3687
Σύμφωνος
Ενέσιμο Heparin sodium 58,34 UI/ml
Ενέσιμο Chlorpromazine hydrochloride 0,26 mg/ml
Γλυκόζη 5% 1289
Σύμφωνος
Ενέσιμο Heparin sodium 1 UI/ml
Ενέσιμο Chlorpromazine hydrochloride 10 mg/ml
Χλωριούχο νάτριο 0,9% 1228
Σύμφωνος
Ενέσιμο Heparin sodium 1 UI/ml
Ενέσιμο Chlorpromazine hydrochloride 10 mg/ml
Γλυκόζη 5% 1228
Απροσδιόριστη ασυμβατότητα Ασύμβατες
Ενέσιμο Heparin sodium
Ενέσιμο Chlorpromazine hydrochloride
3540
Σύμφωνος
Ενέσιμο Heparin sodium 1 UI/ml
Ενέσιμο Chlorpromazine hydrochloride 10 mg/ml
Γαλακτικό διάλυμα Ringer 1228
Σύμφωνος
Ενέσιμο Heparin sodium 50 UI/ml
Ενέσιμο Cimetidine hydrochloride 6 mg/ml
Ουδέν 317
Σύμφωνος
Ενέσιμο Heparin sodium 5000 & 10000 UI/ml
Ενέσιμο Ciprofloxacin lactate 0.4 & 0.6 mg/ml
Χλωριούχο νάτριο 0,9% 2057
Άμεση βροχόπτωση Ασύμβατες
Ενέσιμο Heparin sodium 10 >> 10000 UI/ml
Ενέσιμο Ciprofloxacin lactate 1 mg/ml
Χλωριούχο νάτριο 0,9% 2057
Άμεση βροχόπτωση Ασύμβατες
Ενέσιμο Heparin sodium 10 & 100 UI/ml
Ενέσιμο Ciprofloxacin lactate 0.2 mg/ml
Χλωριούχο νάτριο 0,9% 2057
Απροσδιόριστη ασυμβατότητα Ασύμβατες
Ενέσιμο Heparin sodium
Ενέσιμο Ciprofloxacin lactate
3540
Άμεση βροχόπτωση Ασύμβατες
Ενέσιμο Heparin sodium 10 >> 1000 UI/ml
Ενέσιμο Ciprofloxacin lactate 0.4 & 0.6 mg/ml
Χλωριούχο νάτριο 0,9% 2057
Σύμφωνος
Ενέσιμο Heparin sodium 1000 >> 10000 UI/ml
Ενέσιμο Ciprofloxacin lactate 0.2 mg/ml
Χλωριούχο νάτριο 0,9% 2057
Άμεση βροχόπτωση Ασύμβατες
Ενέσιμο Heparin sodium 10 >> 5000 UI/ml
Ενέσιμο Ciprofloxacin lactate 0.8 mg/ml
Χλωριούχο νάτριο 0,9% 2057
Σύμφωνος
Ενέσιμο Heparin sodium 10 >> 10000 UI/ml
Ενέσιμο Ciprofloxacin lactate 0.1 mg/ml
Χλωριούχο νάτριο 0,9% 2057
Άμεση βροχόπτωση Ασύμβατες
Ενέσιμο Heparin sodium 100 UI/ml
Ενέσιμο Ciprofloxacin lactate 2 mg/ml
Χλωριούχο νάτριο 0,9% 288
Απροσδιόριστη ασυμβατότητα Ασύμβατες
Ενέσιμο Heparin sodium
Ενέσιμο Ciprofloxacin lactate
3529
Άμεση βροχόπτωση Ασύμβατες
Ενέσιμο Heparin sodium 100 UI/ml
Ενέσιμο Ciprofloxacin lactate 2 mg/ml
Γλυκόζη 5% 288
Άμεση βροχόπτωση Ασύμβατες
Ενέσιμο Heparin sodium 10 >> 1000 UI/ml
Ενέσιμο Ciprofloxacin lactate 2 mg/ml
Χλωριούχο νάτριο 0,9% 289
Άμεση θολότητα Ασύμβατες
Ενέσιμο Heparin sodium 10 UI/ml
Ενέσιμο Ciprofloxacin lactate 2 mg/ml
Ουδέν 1393
Σύμφωνος
Ενέσιμο Heparin sodium 10000 UI/ml
Ενέσιμο Ciprofloxacin lactate 0.8 mg/ml
Χλωριούχο νάτριο 0,9% 2057
Σύμφωνος
Ενέσιμο Heparin sodium 100 UI/ml
Ενέσιμο Cisatracurium besylate 0.1 & 2 mg/ml
Γλυκόζη 5% 299
Άμεση βροχόπτωση Ασύμβατες
Ενέσιμο Heparin sodium 100 UI/ml
Ενέσιμο Cisatracurium besylate 5 mg/ml
Γλυκόζη 5% 299
Αλλαγή χρώματος Ασύμβατες
Ενέσιμο Heparin sodium 500 UI/ml
Ενέσιμο Cisatracurium besylate 5 mg/ml
Χλωριούχο νάτριο 0,9% 3463
Απροσδιόριστη ασυμβατότητα Ασύμβατες
Ενέσιμο Heparin sodium 500 UI/ml
Ενέσιμο Cisatracurium besylate 5 mg/ml
Χλωριούχο νάτριο 0,9% 3823
Απροσδιόριστη ασυμβατότητα Ασύμβατες
Ενέσιμο Heparin sodium
Ενέσιμο Cisatracurium besylate
3540
Σύμφωνος
Ενέσιμο Heparin sodium 100 UI/ml
Ενέσιμο Cladribine 0.5 mg/ml
NaCl 0,9% + αντιβακτηριακό 1496
Σύμφωνος
Ενέσιμο Heparin sodium 100 UI/ml
Ενέσιμο Cladribine 0.015 mg/ml
Χλωριούχο νάτριο 0,9% 1496
Σύμφωνος
Ενέσιμο Heparin sodium 50 UI/ml
Ενέσιμο Clindamycin phosphate 12 mg/ml
Ουδέν 317
Σύμφωνος
Ενέσιμο Heparin sodium 50 UI/ml
Ενέσιμο Clonidine hydrochloride 0.0075 mg/ml
Χλωριούχο νάτριο 0,9% 1506
Σύμφωνος
Ενέσιμο Heparin sodium 50 UI/ml
Ενέσιμο Clonidine hydrochloride 0.0075 mg/ml
Γλυκόζη 5% 1506
Σύμφωνος
Ενέσιμο Heparin sodium 100 UI/ml
Ενέσιμο Cloxacillin sodium 100 mg/ml
Ενέσιμο ύδωρ 3012
Καταβύθιση μετά από 4 ώρες Ασύμβατες
Ενέσιμο Heparin sodium 208 UI/ml
Ενέσιμο Co-trimoxazole 3.2/0.64 & 80/16 mg/ml
Χλωριούχο νάτριο 0,9% 4254
Καταβύθιση μετά από 4 ώρες Ασύμβατες
Ενέσιμο Heparin sodium 208 UI/ml
Ενέσιμο Co-trimoxazole 3.2/0.64 & 80/16 mg/ml
Γλυκόζη 5% 4254
Σύμφωνος
Ενέσιμο Heparin sodium 1 UI/ml
Ενέσιμο Cyanocobalamine 0.1 mg/ml
Γαλακτικό διάλυμα Ringer 1228
Σύμφωνος
Ενέσιμο Heparin sodium 1 UI/ml
Ενέσιμο Cyanocobalamine 0.1 mg/ml
Γλυκόζη 5% 1228
Σύμφωνος
Ενέσιμο Heparin sodium 1 UI/ml
Ενέσιμο Cyanocobalamine 0.1 mg/ml
Χλωριούχο νάτριο 0,9% 1228
Απροσδιόριστη ασυμβατότητα Ασύμβατες
Ενέσιμο Heparin sodium
Ενέσιμο Cytarabine
3540
Απροσδιόριστη ασυμβατότητα Ασύμβατες
Ενέσιμο Heparin sodium
Ενέσιμο Cytarabine
3580
Απροσδιόριστη ασυμβατότητα Ασύμβατες
Ενέσιμο Heparin sodium
Ενέσιμο Dacarbazine
3605
Άμεση βροχόπτωση Ασύμβατες
Ενέσιμο Heparin sodium 100 UI/ml
Ενέσιμο Dacarbazine 25 mg/ml
Χλωριούχο νάτριο 0,9% 860
Απροσδιόριστη ασυμβατότητα Ασύμβατες
Ενέσιμο Heparin sodium
Ενέσιμο Dacarbazine
3267
Απροσδιόριστη ασυμβατότητα Ασύμβατες
Ενέσιμο Heparin sodium
Ενέσιμο Dacarbazine
3540
Σύμφωνος
Ενέσιμο Heparin sodium
Ενέσιμο Daptomycin
2271
Σύμφωνος
Ενέσιμο Heparin sodium 98 UI/ml
Ενέσιμο Daptomycin 19,6 mg/ml
Χλωριούχο νάτριο 0,9% 1937
Άμεση βροχόπτωση Ασύμβατες
Ενέσιμο Heparin sodium
Ενέσιμο Daunorubicin hydrochloride
3604
Απροσδιόριστη ασυμβατότητα Ασύμβατες
Ενέσιμο Heparin sodium
Ενέσιμο Daunorubicin hydrochloride
3540
Άμεση βροχόπτωση Ασύμβατες
Ενέσιμο Heparin sodium
Ενέσιμο Daunorubicin hydrochloride liposome
3577
Άμεση θολότητα Ασύμβατες
Ενέσιμο Heparin sodium
Ενέσιμο Daunorubicin/cytarabine liposomale 0,4 mg/mL
Χλωριούχο νάτριο 0,9% 4654
Σύμφωνος
Ενέσιμο Heparin sodium 373 UI/ml
Ενέσιμο Defibrotide 8 mg/ml
Χλωριούχο νάτριο 0,9% 3728
Σύμφωνος
Ενέσιμο Heparin sodium 50 UI/ml
Ενέσιμο Dexamethasone sodium phosphate 0.08 mg/ml
Ουδέν 317
Σύμφωνος
Ενέσιμο Heparin sodium
Ενέσιμο Dexketoprofen
4981
Σύμφωνος
Ενέσιμο Heparin sodium 100 UI/ml
Ενέσιμο Dexmedetomidine 4 µg/ml
Χλωριούχο νάτριο 0,9% 1712
Σύμφωνος
Ενέσιμο Heparin sodium 10000 UI/ml
Ενέσιμο Diatrizoate meglumine 283 mg/ml
Ουδέν 1085
Απροσδιόριστη ασυμβατότητα Ασύμβατες
Ενέσιμο Heparin sodium
Ενέσιμο Diazepam
3540
Σύμφωνος
Ενέσιμο Heparin sodium 100 UI/ml
Ενέσιμο Diltiazem hydrochloride 1 mg/ml
314
Άμεση βροχόπτωση Ασύμβατες
Ενέσιμο Heparin sodium 20000 UI/ml
Ενέσιμο Diltiazem hydrochloride 5 mg/ml
Χλωριούχο νάτριο 0,9% 198
Σύμφωνος
Ενέσιμο Heparin sodium 100 UI/ml
Ενέσιμο Diltiazem hydrochloride 1 mg/ml
Γλυκόζη 5% 4556
Άμεση θολότητα Ασύμβατες
Ενέσιμο Heparin sodium 100 UI/ml
Ενέσιμο Diltiazem hydrochloride 5 mg/ml
Γλυκόζη 5% 4556
Σύμφωνος
Ενέσιμο Heparin sodium 20000 UI/ml
Ενέσιμο Diltiazem hydrochloride 1 mg/ml
Χλωριούχο νάτριο 0,9% 198
Σύμφωνος
Ενέσιμο Heparin sodium
Ενέσιμο Diltiazem hydrochloride
5090
Σύμφωνος
Ενέσιμο Heparin sodium 80 >> 10000 UI/ml
Ενέσιμο Diltiazem hydrochloride 1 & 5 mg/ml
Χλωριούχο νάτριο 0,9% 198
Άμεση βροχόπτωση Ασύμβατες
Ενέσιμο Heparin sodium
Ενέσιμο Dimenhydrinate
2087
Σύμφωνος
Ενέσιμο Heparin sodium 1 UI/ml
Ενέσιμο Diphenhydramine hydrochloride 50 mg/ml
Χλωριούχο νάτριο 0,9% 1228
Σύμφωνος
Ενέσιμο Heparin sodium 1 UI/ml
Ενέσιμο Diphenhydramine hydrochloride 50 mg/ml
Γλυκόζη 5% 1228
Σύμφωνος
Ενέσιμο Heparin sodium 1 UI/ml
Ενέσιμο Diphenhydramine hydrochloride 50 mg/ml
Γαλακτικό διάλυμα Ringer 1228
Καταβύθιση μετά από 4 ώρες Ασύμβατες
Ενέσιμο Heparin sodium 100 UI/ml
Ενέσιμο Dobutamine hydrochloride 4 mg/ml
314
Σύμφωνος
Ενέσιμο Heparin sodium 40 UI/ml
Ενέσιμο Dobutamine hydrochloride 1 mg/ml
Χλωριούχο νάτριο 0,9% 1058
Σύμφωνος
Ενέσιμο Heparin sodium 100 UI/ml
Ενέσιμο Dobutamine hydrochloride 2 mg/ml
Γλυκόζη 5% 1041
Άμεση βροχόπτωση Ασύμβατες
Ενέσιμο Heparin sodium 100 UI/ml
Ενέσιμο Dobutamine hydrochloride 2 mg/ml
Γλυκόζη 5% 1352
Άμεση θολότητα Ασύμβατες
Ενέσιμο Heparin sodium 100 UI/ml
Ενέσιμο Dobutamine hydrochloride 4 mg/ml
Γλυκόζη 5% 295
Άμεση βροχόπτωση Ασύμβατες
Ενέσιμο Heparin sodium
Ενέσιμο Dobutamine hydrochloride
3540
Αλλαγή χρώματος μετά από 6 ώρες Ασύμβατες
Ενέσιμο Heparin sodium 10000 UI/ml
Ενέσιμο Dobutamine hydrochloride 2 mg/ml
Γλυκόζη 5% 1041
Σύμφωνος
Ενέσιμο Heparin sodium 40 UI/ml
Ενέσιμο Dobutamine hydrochloride 1 mg/ml
Γλυκόζη 5% 1058
Σύμφωνος
Ενέσιμο Heparin sodium 50 UI/ml
Ενέσιμο Dobutamine hydrochloride 1 mg/ml
Ουδέν 317
Σύμφωνος
Ενέσιμο Heparin sodium 100 UI/ml
Ενέσιμο Docetaxel 0.9 mg/ml
Γλυκόζη 5% 1754
Σύμφωνος
Ενέσιμο Heparin sodium 1 UI/ml
Ενέσιμο Dopamine hydrochloride 40 mg/ml
Χλωριούχο νάτριο 0,9% 1228
Σύμφωνος
Ενέσιμο Heparin sodium 50 UI/ml
Ενέσιμο Dopamine hydrochloride 1.6 mg/ml
Ουδέν 317
Σύμφωνος
Ενέσιμο Heparin sodium 100 UI/ml
Ενέσιμο Dopamine hydrochloride 3.2 mg/ml
314
Σύμφωνος
Ενέσιμο Heparin sodium 1 UI/ml
Ενέσιμο Dopamine hydrochloride 40 mg/ml
Γαλακτικό διάλυμα Ringer 1228
Σύμφωνος
Ενέσιμο Heparin sodium 200 UI/ml
Ενέσιμο Dopamine hydrochloride 0.8 mg/ml
Γλυκόζη 5% 738
Σύμφωνος
Ενέσιμο Heparin sodium 1 UI/ml
Ενέσιμο Dopamine hydrochloride 40 mg/ml
Γλυκόζη 5% 1228
Σύμφωνος
Ενέσιμο Heparin sodium 100 UI/ml
Ενέσιμο Dopamine hydrochloride 3,2 mg/ml
4389
Απροσδιόριστη ασυμβατότητα Ασύμβατες
Ενέσιμο Heparin sodium 187 UI/ml
Ενέσιμο Dopamine hydrochloride 1,7 >> 3,4 mg/ml
Γλυκόζη 5% 377
Σύμφωνος
Ενέσιμο Heparin sodium 100 UI/ml
Ενέσιμο Doripenem 5 mg/ml
Χλωριούχο νάτριο 0,9% 2262
Σύμφωνος
Ενέσιμο Heparin sodium 100 UI/ml
Ενέσιμο Doripenem 5 mg/ml
Γλυκόζη 5% 2262
Σύμφωνος
Ενέσιμο Heparin sodium 1 UI/ml
Ενέσιμο Doxapram hydrochloride 2 mg/ml
Γλυκόζη 5% 1802
Απροσδιόριστη ασυμβατότητα Ασύμβατες
Ενέσιμο Heparin sodium
Ενέσιμο Doxorubicin hydrochloride
3540
Άμεση βροχόπτωση Ασύμβατες
Ενέσιμο Heparin sodium
Ενέσιμο Doxorubicin hydrochloride
3645
Άμεση βροχόπτωση Ασύμβατες
Ενέσιμο Heparin sodium 1000 UI/ml
Ενέσιμο Doxorubicin hydrochloride 2 mg/ml
763
Σύμφωνος
Ενέσιμο Heparin sodium 1000 UI/ml
Ενέσιμο Doxorubicin hydrochloride liposome peg 0.4 mg/ml
Γλυκόζη 5% 251
Απροσδιόριστη ασυμβατότητα Ασύμβατες
Ενέσιμο Heparin sodium 50 UI/ml
Ενέσιμο Doxycycline hyclate 1 mg/ml
Ουδέν 317
Άμεση βροχόπτωση Ασύμβατες
Ενέσιμο Heparin sodium 1000 UI/ml
Ενέσιμο Droperidol 2,5 mg/ml
763
Σύμφωνος
Ενέσιμο Heparin sodium 1 UI/ml
Ενέσιμο Droperidol 1.25 mg/ml
Χλωριούχο νάτριο 0,9% 1228
Σύμφωνος
Ενέσιμο Heparin sodium 1 UI/ml
Ενέσιμο Droperidol 1.25 mg/ml
Γαλακτικό διάλυμα Ringer 1228
Σύμφωνος
Ενέσιμο Heparin sodium 1 UI/ml
Ενέσιμο Droperidol 1.25 mg/ml
Γλυκόζη 5% 1228
Απροσδιόριστη ασυμβατότητα Ασύμβατες
Ενέσιμο Heparin sodium
Ενέσιμο Droperidol
3540
Σύμφωνος
Ενέσιμο Heparin sodium 45,45 UI/ml
Ενέσιμο Enalaprilate 0,011 mg/ml
Γλυκόζη 5% 963
Σύμφωνος
Ενέσιμο Heparin sodium 40 UI/ml
Ενέσιμο Enalaprilate 0.05 mg/ml
Χλωριούχο νάτριο 0,9% 1315
Σύμφωνος
Ενέσιμο Heparin sodium 50 UI/ml
Ενέσιμο Enalaprilate 0.0125 mg/ml
Χλωριούχο νάτριο 0,9% 1703
Σύμφωνος
Ενέσιμο Heparin sodium 1 UI/ml
Ενέσιμο Epinephrine hydrochloride 100 µg/ml
Γαλακτικό διάλυμα Ringer 1228
Σύμφωνος
Ενέσιμο Heparin sodium 100 UI/ml
Ενέσιμο Epinephrine hydrochloride 20 µg/ml
314
Σύμφωνος
Ενέσιμο Heparin sodium 1 UI/ml
Ενέσιμο Epinephrine hydrochloride 100 µg/ml
Χλωριούχο νάτριο 0,9% 1228
Σύμφωνος
Ενέσιμο Heparin sodium 1 UI/ml
Ενέσιμο Epinephrine hydrochloride 100 µg/ml
Γλυκόζη 5% 1228
Απροσδιόριστη ασυμβατότητα Ασύμβατες
Ενέσιμο Heparin sodium
Ενέσιμο Epirubicin hydrochloride
3632
Σύμφωνος
Ενέσιμο Heparin sodium
Ενέσιμο Eptifibatide
3934
Σύμφωνος
Ενέσιμο Heparin sodium 1000 UI/ml
Ενέσιμο Eravacycline 0,6 mg/ml
Χλωριούχο νάτριο 0,9% 4434
Άμεση θολότητα Ασύμβατες
Ενέσιμο Heparin sodium 1 UI/ml
Ενέσιμο Ergotamine tartrate 0.5 mg/ml
Χλωριούχο νάτριο 0,9% 1228
Καταβύθιση μετά από 4 ώρες Ασύμβατες
Ενέσιμο Heparin sodium 1 UI/ml
Ενέσιμο Ergotamine tartrate 0.5 mg/ml
Γαλακτικό διάλυμα Ringer 1228
Καταβύθιση μετά από 4 ώρες Ασύμβατες
Ενέσιμο Heparin sodium 1 UI/ml
Ενέσιμο Ergotamine tartrate 0.5 mg/ml
Γλυκόζη 5% 1228
Σύμφωνος
Ενέσιμο Heparin sodium 50 & 100 UI/ml
Ενέσιμο Ertapenem 10 & 20 mg/ml
Χλωριούχο νάτριο 0,9% 1906
Σύμφωνος
Ενέσιμο Heparin sodium 50 UI/ml
Ενέσιμο Erythromycin lactobionate 3.3 mg/ml
Ουδέν 317
Απροσδιόριστη ασυμβατότητα Ασύμβατες
Ενέσιμο Heparin sodium
Ενέσιμο Erythromycin lactobionate
3674
Απροσδιόριστη ασυμβατότητα Ασύμβατες
Ενέσιμο Heparin sodium
Ενέσιμο Erythromycin lactobionate
3540
Σύμφωνος
Ενέσιμο Heparin sodium 50 UI/ml
Ενέσιμο Esmolol hydrochloride 6 mg/ml
Γλυκόζη 5% 174
Σύμφωνος
Ενέσιμο Heparin sodium 40 UI/ml
Ενέσιμο Esmolol hydrochloride 10 mg/ml
Γλυκόζη 5% 384
Σύμφωνος
Ενέσιμο Heparin sodium 500 UI/ml
Ενέσιμο Esmolol hydrochloride 10 mg/ml
Χλωριούχο νάτριο 0,9% 3823
Άμεση βροχόπτωση Ασύμβατες
Ενέσιμο Heparin sodium 1000 UI/ml
Ενέσιμο Ethanol 70 %
Ενέσιμο ύδωρ + αντιβακτηριακό 2221
Άμεση βροχόπτωση Ασύμβατες
Ενέσιμο Heparin sodium 1000 UI/ml
Ενέσιμο Ethanol 70 %
Ενέσιμο ύδωρ 2221
Καταβύθιση μετά από 1 ώρα Ασύμβατες
Ενέσιμο Heparin sodium 10 UI/ml
Ενέσιμο Ethanol 70 %
Ενέσιμο ύδωρ + αντιβακτηριακό 2221
Άμεση βροχόπτωση Ασύμβατες
Ενέσιμο Heparin sodium 10 UI/ml
Ενέσιμο Ethanol 70 %
Ενέσιμο ύδωρ 2221
Σύμφωνος
Ενέσιμο Heparin sodium 100 UI/ml
Ενέσιμο Etoposide phosphate 5 mg/ml
Γλυκόζη 5% 1410
Σύμφωνος
Ενέσιμο Heparin sodium 40 UI/ml
Ενέσιμο Famotidine
Γλυκόζη 5% 397
Σύμφωνος
Ενέσιμο Heparin sodium 50 UI/ml
Ενέσιμο Famotidine 0.2 mg/ml
Γλυκόζη 5% 398
Σύμφωνος
Ενέσιμο Heparin sodium 40 UI/ml
Ενέσιμο Famotidine 2 mg/ml
Χλωριούχο νάτριο 0,9% 215
Σύμφωνος
Ενέσιμο Heparin sodium 100 UI/ml
Ενέσιμο Fenoldopam mesylate 80 µg/ml
Χλωριούχο νάτριο 0,9% 1803
Σύμφωνος
Ενέσιμο Heparin sodium 100 UI/ml
Ενέσιμο Fentanyl citrate 50 µg/ml
4389
Σύμφωνος
Ενέσιμο Heparin sodium 1 UI/ml
Ενέσιμο Fentanyl citrate 50 µg/ml
Γλυκόζη 5% 1228
Σύμφωνος
Ενέσιμο Heparin sodium 1 UI/ml
Ενέσιμο Fentanyl citrate 50 µg/ml
Γαλακτικό διάλυμα Ringer 1228
Σύμφωνος
Ενέσιμο Heparin sodium 1 UI/ml
Ενέσιμο Fentanyl citrate 50 µg/ml
Χλωριούχο νάτριο 0,9% 1228
Σύμφωνος
Ενέσιμο Heparin sodium 100 UI/ml
Ενέσιμο Fentanyl citrate 50 µg/ml
314
Άμεση βροχόπτωση Ασύμβατες
Ενέσιμο Heparin sodium 100 UI/ml
Ενέσιμο Filgrastim 30 µg/ml
Γλυκόζη 5% 244
Σύμφωνος
Ενέσιμο Heparin sodium 1000 UI/ml
Ενέσιμο Fluconazole 2 mg/ml
Χλωριούχο νάτριο 0,9% 496
Σύμφωνος
Ενέσιμο Heparin sodium 50 UI/ml
Ενέσιμο Fluconazole 2 mg/ml
Ουδέν 317
Σύμφωνος
Ενέσιμο Heparin sodium 40 >> 1000 UI/ml
Ενέσιμο Fludarabine phosphate 1 mg/ml
Γλυκόζη 5% 492
Σύμφωνος
Ενέσιμο Heparin sodium 50 UI/ml
Ενέσιμο Flumazenil 0,02 mg/ml
Γλυκόζη 5% 187
Σύμφωνος
Ενέσιμο Heparin sodium 5 UI/ml
Ενέσιμο Fluorouracil 0,8 mg/ml
Χλωριούχο νάτριο 0,9% 156
Σύμφωνος
Ενέσιμο Heparin sodium 5 UI/ml
Ενέσιμο Fluorouracil 0,8 mg/ml
Γλυκόζη 5% 156
Σύμφωνος
Ενέσιμο Heparin sodium 1 UI/ml
Ενέσιμο Fluorouracil 50 mg/ml
Χλωριούχο νάτριο 0,9% 1228
Σύμφωνος
Ενέσιμο Heparin sodium 960 UI/ml
Ενέσιμο Fluorouracil 24 mg/ml
Γλυκόζη 5% 163
Σύμφωνος
Ενέσιμο Heparin sodium 1 UI/ml
Ενέσιμο Fluorouracil 50 mg/ml
Γλυκόζη 5% 1228
Σύμφωνος
Ενέσιμο Heparin sodium 1000 UI/ml
Ενέσιμο Fluorouracil 50 mg/ml
763
Σύμφωνος
Ενέσιμο Heparin sodium 1 UI/ml
Ενέσιμο Fluorouracil 50 mg/ml
Γαλακτικό διάλυμα Ringer 1228
Σύμφωνος
Ενέσιμο Heparin sodium 1000 UI/ml
Ενέσιμο Folinate calcium 10 mg/ml
763
Σύμφωνος
Ενέσιμο Heparin sodium 100 UI/ml
Ενέσιμο Foscarnet sodium 24 mg/ml
Γλυκόζη 5% 1135
Σύμφωνος
Ενέσιμο Heparin sodium 100 UI/ml
Ενέσιμο Foscarnet sodium 24 mg/ml
Χλωριούχο νάτριο 0,9% 1135
Σύμφωνος
Ενέσιμο Heparin sodium 1000 UI/ml
Ενέσιμο Foscarnet sodium 24 mg/ml
Ουδέν 73
Σύμφωνος
Ενέσιμο Heparin sodium 1000 UI/ml
Ενέσιμο Fosfomycin 30 mg/ml
Γλυκόζη 5% 4055
Σύμφωνος
Ενέσιμο Heparin sodium 1000 UI/ml
Ενέσιμο Fosfomycin 30 mg/ml
Χλωριούχο νάτριο 0,9% 4055
Σύμφωνος
Ενέσιμο Heparin sodium 100 UI/ml
Ενέσιμο Furosemide 10 mg/ml
314
Σύμφωνος
Ενέσιμο Heparin sodium 1 UI/ml
Ενέσιμο Furosemide 10 mg/ml
Χλωριούχο νάτριο 0,9% 1228
Καταβύθιση μετά από 5 ώρες Ασύμβατες
Ενέσιμο Heparin sodium 100 UI/ml
Ενέσιμο Furosemide 10 mg/ml
Γλυκόζη 5% 4724
Σύμφωνος
Ενέσιμο Heparin sodium 20 UI/ml
Ενέσιμο Furosemide 1 mg/ml
Χλωριούχο νάτριο 0,9% 1232
Σύμφωνος
Ενέσιμο Heparin sodium 58,34 UI/ml
Ενέσιμο Furosemide 5,21 mg/ml
Γλυκόζη 5% 1289
Σύμφωνος
Ενέσιμο Heparin sodium
Ενέσιμο Furosemide
3465
Σύμφωνος
Ενέσιμο Heparin sodium 1 UI/ml
Ενέσιμο Furosemide 10 mg/ml
Γαλακτικό διάλυμα Ringer 1228
Σύμφωνος
Ενέσιμο Heparin sodium 1000 UI/ml
Ενέσιμο Furosemide 10 mg/ml
763
Σύμφωνος
Ενέσιμο Heparin sodium 10 UI/ml
Ενέσιμο Furosemide 10 mg/ml
Ουδέν 3210
Σύμφωνος
Ενέσιμο Heparin sodium 500 UI/ml
Ενέσιμο Furosemide 10 mg/ml
Χλωριούχο νάτριο 0,9% 3823
Σύμφωνος
Ενέσιμο Heparin sodium 500 UI/ml
Ενέσιμο Furosemide 10 mg/ml
Ουδέν 3134
Σύμφωνος
Ενέσιμο Heparin sodium 1 UI/ml
Ενέσιμο Furosemide 10 mg/ml
Γλυκόζη 5% 1228
Σύμφωνος
Ενέσιμο Heparin sodium 40 UI/ml
Ενέσιμο Gallium nitrate 1 mg/ml
Χλωριούχο νάτριο 0,9% 91
Σύμφωνος
Ενέσιμο Heparin sodium 100 UI/ml
Ενέσιμο Gemcitabine hydrochloride 10 mg/ml
Χλωριούχο νάτριο 0,9% 1423
Άμεση θολότητα Ασύμβατες
Ενέσιμο Heparin sodium 2500 UI/ml
Ενέσιμο Gentamicin sulfate 3 mg/ml
4612
Απροσδιόριστη ασυμβατότητα Ασύμβατες
Ενέσιμο Heparin sodium
Ενέσιμο Gentamicin sulfate
3520
Απροσδιόριστη ασυμβατότητα Ασύμβατες
Ενέσιμο Heparin sodium
Ενέσιμο Gentamicin sulfate
3643
Άμεση βροχόπτωση Ασύμβατες
Ενέσιμο Heparin sodium
Ενέσιμο Gentamicin sulfate
1022
Απροσδιόριστη ασυμβατότητα Ασύμβατες
Ενέσιμο Heparin sodium 50 UI/ml
Ενέσιμο Gentamicin sulfate 2 mg/ml
Ουδέν 317
Άμεση βροχόπτωση Ασύμβατες
Ενέσιμο Heparin sodium 10 >> 40 UI/ml
Ενέσιμο Gentamicin sulfate 4 >> 40 mg/ml
1258
Άμεση βροχόπτωση Ασύμβατες
Ενέσιμο Heparin sodium 2500 UI/ml
Ενέσιμο Gentamicin sulfate 4 & 5 mg/ml
4612
Απροσδιόριστη ασυμβατότητα Ασύμβατες
Ενέσιμο Heparin sodium
Ενέσιμο Gentamicin sulfate
3540
Σύμφωνος
Ενέσιμο Heparin sodium 2500 UI/ml
Ενέσιμο Gentamicin sulfate 1 & 2 mg/ml
4612
Σύμφωνος
Ενέσιμο Heparin sodium 50 UI/ml
Ενέσιμο Glycerophosphate disodium
Χλωριούχο νάτριο 0,9% 4332
Σύμφωνος
Ενέσιμο Heparin sodium 100 UI/ml
Ενέσιμο Granisetron hydrochloride 0.05 mg/ml
Γλυκόζη 5% 182
Άμεση βροχόπτωση Ασύμβατες
Ενέσιμο Heparin sodium 100 & 200 UI/ml
Ενέσιμο Haloperidol lactate 5 mg/ml
Γλυκόζη 5% 617
Άμεση βροχόπτωση Ασύμβατες
Ενέσιμο Heparin sodium 100 & 200 UI/ml
Ενέσιμο Haloperidol lactate 5 mg/ml
Χλωριούχο νάτριο 0,9% 617
Σύμφωνος
Ενέσιμο Heparin sodium 500 UI/ml
Ενέσιμο Haloperidol lactate 0.5 mg/ml
Χλωριούχο νάτριο 0,9% 3823
Απροσδιόριστη ασυμβατότητα Ασύμβατες
Ενέσιμο Heparin sodium
Ενέσιμο Haloperidol lactate
3540
Σύμφωνος
Ενέσιμο Heparin sodium 100 UI/ml
Ενέσιμο Hetastarch 60 mg/ml
Ειδικά διαλύτη 1721
Απροσδιόριστη ασυμβατότητα Ασύμβατες
Ενέσιμο Heparin sodium
Ενέσιμο Hyaluronidase
3617
Απροσδιόριστη ασυμβατότητα Ασύμβατες
Ενέσιμο Heparin sodium
Ενέσιμο Hyaluronidase
3184
Απροσδιόριστη ασυμβατότητα Ασύμβατες
Ενέσιμο Heparin sodium
Ενέσιμο Hyaluronidase
3540
Σύμφωνος
Ενέσιμο Heparin sodium 1 UI/ml
Ενέσιμο Hydralazine hydrochloride 20 mg/ml
Γλυκόζη 5% 1228
Σύμφωνος
Ενέσιμο Heparin sodium 1 UI/ml
Ενέσιμο Hydralazine hydrochloride 20 mg/ml
Γαλακτικό διάλυμα Ringer 1228
Σύμφωνος
Ενέσιμο Heparin sodium 1 UI/ml
Ενέσιμο Hydralazine hydrochloride 20 mg/ml
Χλωριούχο νάτριο 0,9% 1228
Σύμφωνος
Ενέσιμο Heparin sodium 100 UI/ml
Ενέσιμο Hydrocortisone sodium succinate 125 mg/ml
Χλωριούχο νάτριο 0,9% 132
Απροσδιόριστη ασυμβατότητα Ασύμβατες
Ενέσιμο Heparin sodium
Ενέσιμο Hydrocortisone sodium succinate
3540
Σύμφωνος
Ενέσιμο Heparin sodium 50 UI/ml
Ενέσιμο Hydrocortisone sodium succinate 2 mg/ml
Ουδέν 317
Σύμφωνος
Ενέσιμο Heparin sodium 100 UI/ml
Ενέσιμο Hydrocortisone sodium succinate 125 mg/ml
Γλυκόζη 5% 132
Σύμφωνος
Ενέσιμο Heparin sodium
Ενέσιμο Hydromorphone hydrochloride <12.5 mg/ml
Χλωριούχο νάτριο 0,9% 66
Σύμφωνος
Ενέσιμο Heparin sodium 100 UI/ml
Ενέσιμο Hydromorphone hydrochloride 1 mg/ml
314
Άμεση βροχόπτωση Ασύμβατες
Ενέσιμο Heparin sodium <12,5 UI/ml
Ενέσιμο Hydromorphone hydrochloride >25 mg/ml
Χλωριούχο νάτριο 0,9% 66
Σύμφωνος
Ενέσιμο Heparin sodium
Ενέσιμο Hydromorphone hydrochloride <12.5 mg/ml
Ενέσιμο ύδωρ 66
Άμεση βροχόπτωση Ασύμβατες
Ενέσιμο Heparin sodium <1 UI/ml
Ενέσιμο Hydromorphone hydrochloride >10 mg/ml
Ενέσιμο ύδωρ 66
Άμεση βροχόπτωση Ασύμβατες
Ενέσιμο Heparin sodium <12,5 UI/ml
Ενέσιμο Hydromorphone hydrochloride >25 mg/ml
Ενέσιμο ύδωρ 66
Σύμφωνος
Ενέσιμο Heparin sodium 100 UI/ml
Ενέσιμο Ibuprofen lysinate 10 mg/ml
Ενέσιμο ύδωρ 4419
Σύμφωνος
Ενέσιμο Heparin sodium 10 UI/ml
Ενέσιμο Ibuprofen lysinate 10 mg/ml
Ενέσιμο ύδωρ 4419
Άμεση θολότητα Ασύμβατες
Ενέσιμο Heparin sodium 100 & 1000 UI/ml
Ενέσιμο Idarubicin hydrochloride 1 mg/ml
Χλωριούχο νάτριο 0,9% 491
Άμεση βροχόπτωση Ασύμβατες
Ενέσιμο Heparin sodium
Ενέσιμο Idarubicin hydrochloride
5075
Σύμφωνος
Ενέσιμο Heparin sodium
Ενέσιμο Imipenem-Cilastatin / Relebactam
4809
Σύμφωνος
Ενέσιμο Heparin sodium 1000 UI/ml
Ενέσιμο Imipenem-Cilastatin / Relebactam 5 mg/ml
Χλωριούχο νάτριο 0,9% 4433
Σύμφωνος
Ενέσιμο Heparin sodium 1000 UI/ml
Ενέσιμο Imipenem-Cilastatin / Relebactam 5 mg/ml
Γλυκόζη 5% 4433
Σύμφωνος
Ενέσιμο Heparin sodium 500 UI/ml
Ενέσιμο Insulin 2 UI/ml
Χλωριούχο νάτριο 0,9% 3823
Σύμφωνος
Ενέσιμο Heparin sodium 60 UI/ml
Ενέσιμο Insulin 0.2 UI/ml
Χλωριούχο νάτριο 0,9% 129
Σύμφωνος
Ενέσιμο Heparin sodium 50 & 400 UI/ml
Ενέσιμο Insulin aspart 1 UI/ml
Γλυκόζη 5% 1508
Σύμφωνος
Ενέσιμο Heparin sodium 50 & 400 UI/ml
Ενέσιμο Insulin aspart 1 UI/ml
Χλωριούχο νάτριο 0,9% 1508
Σύμφωνος
Ενέσιμο Heparin sodium 10000 UI/ml
Ενέσιμο Iohexol 300 mg I/ml
Ουδέν 1085
Σύμφωνος
Ενέσιμο Heparin sodium 10000 UI/ml
Ενέσιμο Ioxaglate 320 mg I/ml
Ουδέν 1085
Άμεση θολότητα Ασύμβατες
Ενέσιμο Heparin sodium 1000 UI/ml
Ενέσιμο Isavuconazonium sulfate 1.5 mg/ml
Χλωριούχο νάτριο 0,9% 3829
Άμεση θολότητα Ασύμβατες
Ενέσιμο Heparin sodium 1000 UI/ml
Ενέσιμο Isavuconazonium sulfate 1.5 mg/ml
Γλυκόζη 5% 3829
Σύμφωνος
Ενέσιμο Heparin sodium 1 UI/ml
Ενέσιμο Isoprenaline hydrochloride 0.2 mg/ml
Γλυκόζη 5% 1228
Σύμφωνος
Ενέσιμο Heparin sodium 1 UI/ml
Ενέσιμο Isoprenaline hydrochloride 0.2 mg/ml
Χλωριούχο νάτριο 0,9% 1228
Σύμφωνος
Ενέσιμο Heparin sodium 1 UI/ml
Ενέσιμο Isoprenaline hydrochloride 0.2 mg/ml
Γαλακτικό διάλυμα Ringer 1228
Απροσδιόριστη ασυμβατότητα Ασύμβατες
Ενέσιμο Heparin sodium
Ενέσιμο Kanamycin sulfate
3540
Άμεση βροχόπτωση Ασύμβατες
Ενέσιμο Heparin sodium 25000 UI/ml
Ενέσιμο Ketamine hydrochloride 50 mg/ml
2109
Σύμφωνος
Ενέσιμο Heparin sodium 100 UI/ml
Ενέσιμο Labetalol hydrochloride 2 mg/ml
314
Απροσδιόριστη ασυμβατότητα Ασύμβατες
Ενέσιμο Heparin sodium 500 UI/ml
Ενέσιμο Labetalol hydrochloride 4 mg/ml
Χλωριούχο νάτριο 0,9% 3823
Απροσδιόριστη ασυμβατότητα Ασύμβατες
Ενέσιμο Heparin sodium
Ενέσιμο Labetalol hydrochloride
3540
Άμεση βροχόπτωση Ασύμβατες
Ενέσιμο Heparin sodium 100 UI/ml
Ενέσιμο Labetalol hydrochloride 5 mg/ml
Γλυκόζη 5% 295
Σύμφωνος
Ενέσιμο Heparin sodium 40 UI/ml
Ενέσιμο Labetalol hydrochloride 1 mg/ml
Γλυκόζη 5% 386
Σύμφωνος
Ενέσιμο Heparin sodium 100 UI/ml
Ενέσιμο Lansoprazole 0.55 mg/ml
Χλωριούχο νάτριο 0,9% 1625
Θολότητα σε 4 ώρες Ασύμβατες
Ενέσιμο Heparin sodium 100 UI/ml
Ενέσιμο Levetiracetam 100 mg/ml
Γλυκόζη 5% 4108
Άμεση θολότητα Ασύμβατες
Ενέσιμο Heparin sodium 208,3 UI/ml
Ενέσιμο Levetiracetam 15 mg/ml
Χλωριούχο νάτριο 0,9% 4698
Απροσδιόριστη ασυμβατότητα Ασύμβατες
Ενέσιμο Heparin sodium
Ενέσιμο Levofloxacine
3920
Άμεση βροχόπτωση Ασύμβατες
Ενέσιμο Heparin sodium 10 UI/ml
Ενέσιμο Levofloxacine 5 mg/ml
Γλυκόζη 5% 1072
Απροσδιόριστη ασυμβατότητα Ασύμβατες
Ενέσιμο Heparin sodium
Ενέσιμο Levomepromazine
3540
Σύμφωνος
Ενέσιμο Heparin sodium 100 UI/ml
Ενέσιμο Levosimendan 2,5 mg/ml
Γλυκόζη 5% 4389
Σύμφωνος
Ενέσιμο Heparin sodium 50 UI/ml
Ενέσιμο Lidocaine hydrochloride 4 mg/ml
Ουδέν 317
Σύμφωνος
Ενέσιμο Heparin sodium 1000 UI/ml
Ενέσιμο Linezolid 2 mg/ml
Ουδέν 1925
Σύμφωνος
Ενέσιμο Heparin sodium 10 >> 10000 UI/ml
Ενέσιμο Linezolid 0.2 >> 1.92 mg/ml
Χλωριούχο νάτριο 0,9% 2057
Σύμφωνος
Ενέσιμο Heparin sodium 417 UI/ml
Ενέσιμο Lorazepam 0.33 mg/ml
Χλωριούχο νάτριο 0,9% 186
Σύμφωνος
Ενέσιμο Heparin sodium 100 UI/ml
Ενέσιμο Lorazepam 0.5 mg/ml
314
Σύμφωνος
Ενέσιμο Heparin sodium 1 UI/ml
Ενέσιμο Magnesium sulfate 5 mg/ml
Χλωριούχο νάτριο 0,9% 1228
Σύμφωνος
Ενέσιμο Heparin sodium 50 UI/ml
Ενέσιμο Magnesium sulfate 15.6 mg/ml
Χλωριούχο νάτριο 0,9% 2100
Σύμφωνος
Ενέσιμο Heparin sodium 1 UI/ml
Ενέσιμο Magnesium sulfate 5 mg/ml
Γαλακτικό διάλυμα Ringer 1228
Σύμφωνος
Ενέσιμο Heparin sodium 1 UI/ml
Ενέσιμο Magnesium sulfate 5 mg/ml
Γλυκόζη 5% 1228
Σύμφωνος
Ενέσιμο Heparin sodium 100 UI/ml
Ενέσιμο Melphalan 0.1 mg/ml
Χλωριούχο νάτριο 0,9% 169
Σύμφωνος
Ενέσιμο Heparin sodium 0.5 UI/ml
Ενέσιμο Meropenem 0.5 mg/ml
Dianéal® 4.25% glucose (Baxter) 4180
Σύμφωνος
Ενέσιμο Heparin sodium 0.5 UI/ml
Ενέσιμο Meropenem 0.5 mg/ml
Extraneal® (Baxter) 4180
Σύμφωνος
Ενέσιμο Heparin sodium 1000 UI/ml
Ενέσιμο Meropenem 50 mg/ml
Ενέσιμο ύδωρ 4319
Σύμφωνος
Ενέσιμο Heparin sodium 1 UI/ml
Ενέσιμο Meropenem 1 & 50 mg/ml
Χλωριούχο νάτριο 0,9% 266
Σύμφωνος
Ενέσιμο Heparin sodium 0.5 UI/ml
Ενέσιμο Meropenem 0.5 mg/ml
Dianéal® 1.5% glucose (Baxter) 4180
Σύμφωνος
Ενέσιμο Heparin sodium 20 UI/ml
Ενέσιμο Meropenem 1 & 20 mg/ml
Χλωριούχο νάτριο 0,9% 266
Σύμφωνος
Ενέσιμο Heparin sodium 0.5 UI/ml
Ενέσιμο Meropenem 0.5 mg/ml
Dianéal® 2.5% glucose (Baxter) 4180
Σύμφωνος
Ενέσιμο Heparin sodium 50 UI/ml
Ενέσιμο Methadone hydrochloride 0.2 mg/ml
Γλυκόζη 5% 1506
Σύμφωνος
Ενέσιμο Heparin sodium 50 UI/ml
Ενέσιμο Methadone hydrochloride 0.2 mg/ml
Χλωριούχο νάτριο 0,9% 1506
Απροσδιόριστη ασυμβατότητα Ασύμβατες
Ενέσιμο Heparin sodium
Ενέσιμο Methotrexate sodium
3637
Σύμφωνος
Ενέσιμο Heparin sodium 1000 UI/ml
Ενέσιμο Methotrexate sodium 25 mg/ml
763
Σύμφωνος
Ενέσιμο Heparin sodium 500 UI/ml
Ενέσιμο Methotrexate sodium 30 mg/ml
Χλωριούχο νάτριο 0,9% 150
Σύμφωνος
Ενέσιμο Heparin sodium 100 UI/ml
Ενέσιμο Methylprednisolone sodium succinate 5 mg/ml
Γλυκόζη 5% 132
Σύμφωνος
Ενέσιμο Heparin sodium 50 UI/ml
Ενέσιμο Methylprednisolone sodium succinate 2.5 mg/ml
Ουδέν 317
Σύμφωνος
Ενέσιμο Heparin sodium 100 UI/ml
Ενέσιμο Methylprednisolone sodium succinate 5 mg/ml
Χλωριούχο νάτριο 0,9% 132
Σύμφωνος
Ενέσιμο Heparin sodium 1000 UI/ml
Ενέσιμο Metoclopramide hydrochloride 5 mg/ml
763
Χημική αστάθεια Ασύμβατες
Ενέσιμο Heparin sodium 1000 UI/ml
Ενέσιμο Metoprolol tartrate 1 mg/ml
Ουδέν 2346
Σύμφωνος
Ενέσιμο Heparin sodium 50 UI/ml
Ενέσιμο Metronidazole 5 mg/ml
Ουδέν 317
Σύμφωνος
Ενέσιμο Heparin sodium 100 UI/ml
Ενέσιμο Micafungin 1.5 mg/ml
Χλωριούχο νάτριο 0,9% 2108
Άμεση θολότητα Ασύμβατες
Ενέσιμο Heparin sodium 208,3 UI/ml
Ενέσιμο Midazolam hydrochloride 1 mg/ml
Χλωριούχο νάτριο 0,9% 4698
Σύμφωνος
Ενέσιμο Heparin sodium 500 UI/ml
Ενέσιμο Midazolam hydrochloride 2.1 mg/ml
Χλωριούχο νάτριο 0,9% 3823
Σύμφωνος
Ενέσιμο Heparin sodium 417 UI/ml
Ενέσιμο Midazolam hydrochloride 5 mg/ml
Ουδέν 186
Σύμφωνος
Ενέσιμο Heparin sodium 100 UI/ml
Ενέσιμο Midazolam hydrochloride 5 mg/ml
4389
Σύμφωνος
Ενέσιμο Heparin sodium 100 UI/ml
Ενέσιμο Midazolam hydrochloride 2 mg/ml
314
Σύμφωνος
Ενέσιμο Heparin sodium 200 UI/ml
Ενέσιμο Milrinone lactate 0.8 mg/ml
Γλυκόζη 5% 813
Σύμφωνος
Ενέσιμο Heparin sodium 100 UI/ml
Ενέσιμο Milrinone lactate 0.2 mg/ml
314
Σύμφωνος
Ενέσιμο Heparin sodium 1 UI/ml
Ενέσιμο Minocycline hydrochloride 0.2 mg/ml
Γλυκόζη 5% 1228
Σύμφωνος
Ενέσιμο Heparin sodium 1 UI/ml
Ενέσιμο Minocycline hydrochloride 0.2 mg/ml
Γαλακτικό διάλυμα Ringer 1228
Σύμφωνος
Ενέσιμο Heparin sodium 1 UI/ml
Ενέσιμο Minocycline hydrochloride 0.2 mg/ml
Χλωριούχο νάτριο 0,9% 1228
Απροσδιόριστη ασυμβατότητα Ασύμβατες
Ενέσιμο Heparin sodium
Ενέσιμο Mitoxantrone dihydrochloride
3640
Απροσδιόριστη ασυμβατότητα Ασύμβατες
Ενέσιμο Heparin sodium
Ενέσιμο Morphine hydrochloride
5069
Σύμφωνος
Ενέσιμο Heparin sodium 100 & 200 UI/ml
Ενέσιμο Morphine sulfate 1 >> 5 mg/ml
Ενέσιμο ύδωρ 341
Σύμφωνος
Ενέσιμο Heparin sodium 1 UI/ml
Ενέσιμο Morphine sulfate 15 mg/ml
Γαλακτικό διάλυμα Ringer 1228
Απροσδιόριστη ασυμβατότητα Ασύμβατες
Ενέσιμο Heparin sodium
Ενέσιμο Morphine sulfate
3531
Σύμφωνος
Ενέσιμο Heparin sodium 1 UI/ml
Ενέσιμο Morphine sulfate 15 mg/ml
Γλυκόζη 5% 1228
Σύμφωνος
Ενέσιμο Heparin sodium 1 UI/ml
Ενέσιμο Morphine sulfate 15 mg/ml
Χλωριούχο νάτριο 0,9% 1228
Σύμφωνος
Ενέσιμο Heparin sodium 60 UI/ml
Ενέσιμο Morphine sulfate 1 mg/ml
Χλωριούχο νάτριο 0,9% 406
Σύμφωνος
Ενέσιμο Heparin sodium 100 & 200 UI/ml
Ενέσιμο Morphine sulfate 10 mg/ml
Ενέσιμο ύδωρ 341
Σύμφωνος
Ενέσιμο Heparin sodium 100 UI/ml
Ενέσιμο Morphine sulfate 2 mg/ml
314
Χημική αστάθεια Ασύμβατες
Ενέσιμο Heparin sodium 100 & 200 UI/ml
Ενέσιμο Morphine sulfate 1 >> 10 mg/ml
Χλωριούχο νάτριο 0,9% 341
Σύμφωνος
Ενέσιμο Heparin sodium 1000 UI/ml
Ενέσιμο N-acetylcysteine 200 mg/ml
Ουδέν 3766
Σύμφωνος
Ενέσιμο Heparin sodium 50 UI/ml
Ενέσιμο Nafcillin sodium 20 mg/ml
Ουδέν 317
Σύμφωνος
Ενέσιμο Heparin sodium 1000 UI/ml
Ενέσιμο Naloxone hydrochloride 0.4 mg/ml
Ουδέν 3408
Άμεση θολότητα Ασύμβατες
Ενέσιμο Heparin sodium 208,3 UI/ml
Ενέσιμο Nefopam 1,7 mg/ml
Χλωριούχο νάτριο 0,9% 4698
Σύμφωνος
Ενέσιμο Heparin sodium 1 UI/ml
Ενέσιμο Neostigmine methylsulfate 0.5 mg/ml
Γλυκόζη 5% 1228
Σύμφωνος
Ενέσιμο Heparin sodium 1 UI/ml
Ενέσιμο Neostigmine methylsulfate 0.5 mg/ml
Χλωριούχο νάτριο 0,9% 1228
Σύμφωνος
Ενέσιμο Heparin sodium 1 UI/ml
Ενέσιμο Neostigmine methylsulfate 0.5 mg/ml
Γαλακτικό διάλυμα Ringer 1228
Απροσδιόριστη ασυμβατότητα Ασύμβατες
Ενέσιμο Heparin sodium
Ενέσιμο Nesiritide
5048
Απροσδιόριστη ασυμβατότητα Ασύμβατες
Ενέσιμο Heparin sodium
Ενέσιμο Netilmicin sulfate
3540
Άμεση βροχόπτωση Ασύμβατες
Ενέσιμο Heparin sodium
Ενέσιμο Netilmicin sulfate
1022
Άμεση βροχόπτωση Ασύμβατες
Ενέσιμο Heparin sodium 100 UI/ml
Ενέσιμο Nicardipine hydrochloride 1 mg/ml
314
Απροσδιόριστη ασυμβατότητα Ασύμβατες
Ενέσιμο Heparin sodium
Ενέσιμο Nicardipine hydrochloride
3540
Σύμφωνος
Ενέσιμο Heparin sodium 40 UI/ml
Ενέσιμο Nicardipine hydrochloride 0.1 mg/ml
Γλυκόζη 5% 1490
Σύμφωνος
Ενέσιμο Heparin sodium 40 UI/ml
Ενέσιμο Nicardipine hydrochloride 0.1 mg/ml
Χλωριούχο νάτριο 0,9% 1490
Άμεση βροχόπτωση Ασύμβατες
Ενέσιμο Heparin sodium 100 UI/ml
Ενέσιμο Nitroglycerin 1,6 >> 3,25 mg/ml
Γλυκόζη 5% 295
Σύμφωνος
Ενέσιμο Heparin sodium 500 UI/ml
Ενέσιμο Nitroglycerin 0.2 mg/ml
Χλωριούχο νάτριο 0,9% 3823
Παραγωγή φυσαλίδων αερίου Ασύμβατες
Ενέσιμο Heparin sodium 50 UI/ml
Ενέσιμο Nitroglycerin 0.2 mg/ml
Ουδέν 317
Σύμφωνος
Ενέσιμο Heparin sodium 500 UI/ml
Ενέσιμο Nitroglycerin 0.2 mg/ml
Γλυκόζη 5% 3823
Σύμφωνος
Ενέσιμο Heparin sodium 100 UI/ml
Ενέσιμο Nitroglycerin 0.4 mg/ml
314
Σύμφωνος
Ενέσιμο Heparin sodium 50 UI/ml
Ενέσιμο Nitroprusside sodium 0.2 mg/ml
Ουδέν 317
Σύμφωνος
Ενέσιμο Heparin sodium 100 UI/ml
Ενέσιμο Nitroprusside sodium 0.2 mg/ml
Γλυκόζη 5% 295
Σύμφωνος
Ενέσιμο Heparin sodium 100 UI/ml
Ενέσιμο Norepinephrine bitartrate 0.128 mg/ml
314
Απροσδιόριστη ασυμβατότητα Ασύμβατες
Ενέσιμο Heparin sodium
Ενέσιμο Ofloxacin
3562
Σύμφωνος
Ενέσιμο Heparin sodium 40 UI/ml
Ενέσιμο Ondansetron hydrochloride 1 mg/ml
Χλωριούχο νάτριο 0,9% 334
Ασύμβατες
Ενέσιμο Heparin sodium 200 UI/ml
Ενέσιμο Ondansetron hydrochloride 1.6 mg/ml
1699
Άμεση θολότητα Ασύμβατες
Ενέσιμο Heparin sodium 100 UI/ml
Ενέσιμο Oritavancin 0.8 >>1.2 mg/ml
Γλυκόζη 5% 3152
Καταβύθιση μετά από 4 ώρες Ασύμβατες
Ενέσιμο Heparin sodium 100 UI/ml
Ενέσιμο Oritavancin 2 mg/ml
Γλυκόζη 5% 3152
Σύμφωνος
Ενέσιμο Heparin sodium 208 UI/ml
Ενέσιμο Ornidazole 31.25 mg/ml
Χλωριούχο νάτριο 0,9% 4254
Σύμφωνος
Ενέσιμο Heparin sodium 1 UI/ml
Ενέσιμο Oxacillin sodium 100 mg/ml
Γλυκόζη 5% 1228
Σύμφωνος
Ενέσιμο Heparin sodium 1 UI/ml
Ενέσιμο Oxacillin sodium 100 mg/ml
Γαλακτικό διάλυμα Ringer 1228
Σύμφωνος
Ενέσιμο Heparin sodium 1 UI/ml
Ενέσιμο Oxacillin sodium 100 mg/ml
Χλωριούχο νάτριο 0,9% 1228
Σύμφωνος
Ενέσιμο Heparin sodium 100 UI/ml
Ενέσιμο Oxaliplatin 0,5 mg/ml
Γλυκόζη 5% 1662
Απροσδιόριστη ασυμβατότητα Ασύμβατες
Ενέσιμο Heparin sodium
Ενέσιμο Oxytetracycline hydrochloride
3540
Σύμφωνος
Ενέσιμο Heparin sodium 100 UI/ml
Ενέσιμο Paclitaxel 1.2 mg/ml
Γλυκόζη 5% 248
Σύμφωνος
Ενέσιμο Heparin sodium 100 UI/ml
Ενέσιμο Palonosetron hydrochloride 50 µg/ml
Γλυκόζη 5% 2279
Σύμφωνος
Ενέσιμο Heparin sodium 40 UI/ml
Ενέσιμο Pancuronium bromide 0.05 mg/ml
Γλυκόζη 5% 402
Καταβύθιση μετά από 1 ώρα Ασύμβατες
Ενέσιμο Heparin sodium
Ενέσιμο Pantoprazole sodium
2090
Σύμφωνος
Ενέσιμο Heparin sodium 208,3 UI/ml
Ενέσιμο Paracetamol 10 mg/ml
Χλωριούχο νάτριο 0,9% 4698
Σύμφωνος
Ενέσιμο Heparin sodium 1000 UI/ml
Ενέσιμο Paracetamol 10 mg/ml
4742
Σύμφωνος
Ενέσιμο Heparin sodium 100 UI/ml
Ενέσιμο Pemetrexed disodium 20 mg/ml
Χλωριούχο νάτριο 0,9% 1953
Απροσδιόριστη ασυμβατότητα Ασύμβατες
Ενέσιμο Heparin sodium
Ενέσιμο Penicillin G potassium
3540
Σύμφωνος
Ενέσιμο Heparin sodium 50 UI/ml
Ενέσιμο Penicillin G potassium 0.04 MUI/ml
Ουδέν 317
Απροσδιόριστη ασυμβατότητα Ασύμβατες
Ενέσιμο Heparin sodium
Ενέσιμο Penicillin G sodium
3540
Σύμφωνος
Ενέσιμο Heparin sodium 100 UI/ml
Ενέσιμο Pentoxifyllin 5 mg/ml
Χλωριούχο νάτριο 0,9% 4538
Άμεση θολότητα Ασύμβατες
Ενέσιμο Heparin sodium
Ενέσιμο Pethidine hydrochloride
3525
Σύμφωνος
Ενέσιμο Heparin sodium 60 UI/ml
Ενέσιμο Pethidine hydrochloride 10 mg/ml
Χλωριούχο νάτριο 0,9% 406
Απροσδιόριστη ασυμβατότητα Ασύμβατες
Ενέσιμο Heparin sodium
Ενέσιμο Pethidine hydrochloride
3540
Άμεση βροχόπτωση Ασύμβατες
Ενέσιμο Heparin sodium 50 UI/ml
Ενέσιμο Phenytoin sodium 2 mg/ml
Ουδέν 317
Σύμφωνος
Ενέσιμο Heparin sodium 50 UI/ml
Ενέσιμο Piperacillin sodium 60 mg/ml
Ουδέν 317
Σύμφωνος
Ενέσιμο Heparin sodium 10 & 5000 UI/ml
Ενέσιμο Piperacillin sodium 40 mg/ml
Χλωριούχο νάτριο 0,9% 2037
Σύμφωνος
Ενέσιμο Heparin sodium 0.5 UI/ml
Ενέσιμο Piperacillin sodium / tazobactam 0.5/0.0625 mg/ml
Dianéal® 2.5% glucose (Baxter) 4180
Σύμφωνος
Ενέσιμο Heparin sodium 0.5 UI/ml
Ενέσιμο Piperacillin sodium / tazobactam 0.5/0.0625 mg/ml
Dianéal® 4.25% glucose (Baxter) 4180
Άμεση θολότητα Ασύμβατες
Ενέσιμο Heparin sodium 1000 UI/ml
Ενέσιμο Plazomicin sulfate 24 mg/ml
Χλωριούχο νάτριο 0,9% 4145
Απροσδιόριστη ασυμβατότητα Ασύμβατες
Ενέσιμο Heparin sodium
Ενέσιμο Polymyxine B
3540
Σύμφωνος
Ενέσιμο Heparin sodium 50 UI/ml
Ενέσιμο Potassium chloride 200 mEq/l
Ουδέν 317
Σύμφωνος
Ενέσιμο Heparin sodium 1 UI/ml
Ενέσιμο Procainamide hydrochloride 100 mg/ml
Γαλακτικό διάλυμα Ringer 1228
Σύμφωνος
Ενέσιμο Heparin sodium 1 UI/ml
Ενέσιμο Procainamide hydrochloride 100 mg/ml
Χλωριούχο νάτριο 0,9% 1228
Σύμφωνος
Ενέσιμο Heparin sodium 1 UI/ml
Ενέσιμο Prochlorperazine edysilate 5 mg/ml
Χλωριούχο νάτριο 0,9% 1228
Σύμφωνος
Ενέσιμο Heparin sodium 3 >> 20 UI/ml
Παρεντερική  θρέψη (ελεύθερο λιπιδίων) 791
Σύμφωνος
Ενέσιμο Heparin sodium 100 UI/ml
Παρεντερική  θρέψη (ελεύθερο λιπιδίων) 301
Σύμφωνος
Ενέσιμο Heparin sodium 500 UI/ml
Παρεντερική  θρέψη (ελεύθερο λιπιδίων) 939
Σύμφωνος
Ενέσιμο Heparin sodium 1 UI/ml
Ενέσιμο Prochlorperazine edysilate 5 mg/ml
Γαλακτικό διάλυμα Ringer 1228
Σύμφωνος
Ενέσιμο Heparin sodium 1 UI/ml
Ενέσιμο Promethazine hydrochloride 50 mg/ml
Χλωριούχο νάτριο 0,9% 1228
Σύμφωνος
Ενέσιμο Heparin sodium 1 UI/ml
Ενέσιμο Promethazine hydrochloride 50 mg/ml
Γαλακτικό διάλυμα Ringer 1228
Σύμφωνος
Ενέσιμο Heparin sodium 1 UI/ml
Ενέσιμο Propranolol hydrochloride 1 mg/ml
Γαλακτικό διάλυμα Ringer 1228
Σύμφωνος
Ενέσιμο Heparin sodium 1 UI/ml
Ενέσιμο Propranolol hydrochloride 1 mg/ml
Χλωριούχο νάτριο 0,9% 1228
Σύμφωνος
Ενέσιμο Heparin sodium 50 UI/ml
Ενέσιμο Ranitidine hydrochloride 0,5 mg/ml
Γλυκόζη 5% 396
Σύμφωνος
Ενέσιμο Heparin sodium 10 & 40 UI/ml
Ενέσιμο Ranitidine hydrochloride 0.05 & 2 mg/ml
Χλωριούχο νάτριο 0,9% 214
Σύμφωνος
Ενέσιμο Heparin sodium 50 UI/ml
Ενέσιμο Ranitidine hydrochloride 1 mg/ml
Ουδέν 317
Σύμφωνος
Ενέσιμο Heparin sodium 1000 UI/ml
Ενέσιμο Remdesivir 1 mg/ml
Χλωριούχο νάτριο 0,9% 4768
Σύμφωνος
Ενέσιμο Heparin sodium 100 UI/ml
Ενέσιμο Remifentanil hydrochloride 25 & 250 µg/ml
Χλωριούχο νάτριο 0,9% 59
Σύμφωνος
Ενέσιμο Heparin sodium 500 UI/ml
Ενέσιμο Remifentanil hydrochloride 100 µg/ml
Χλωριούχο νάτριο 0,9% 3823
Σύμφωνος
Ενέσιμο Heparin sodium 500 UI/ml
NaHCO3 150
Σύμφωνος
Ενέσιμο Heparin sodium 1.4 UI/ml
Ενέσιμο Piperacillin sodium / tazobactam 1.38/0.1725 mg/ml
Physionéal® 2.27 (Baxter) 4180
Σύμφωνος
Ενέσιμο Heparin sodium 1.4 UI/ml
Ενέσιμο Piperacillin sodium / tazobactam 1.38/0.1725 mg/ml
Physionéal® 1.36 (Baxter) 4180
Σύμφωνος
Ενέσιμο Heparin sodium 0.5 UI/ml
Ενέσιμο Piperacillin sodium / tazobactam 0.5/0.0625 mg/ml
Dianéal® 1.5% glucose (Baxter) 4180
Σύμφωνος
Ενέσιμο Heparin sodium 1.4 UI/ml
Ενέσιμο Piperacillin sodium / tazobactam 1.38/0.1725 mg/ml
Physionéal® 3.86 (Baxter) 4180
Σύμφωνος
Ενέσιμο Heparin sodium 100 UI/ml
Ενέσιμο Piperacillin sodium / tazobactam 40/5 mg/ml
Γλυκόζη 5% 81
Σύμφωνος
Ενέσιμο Heparin sodium 0.5 UI/ml
Ενέσιμο Piperacillin sodium / tazobactam 0.5/0.0625 mg/ml
Extraneal® (Baxter) 4180
Σύμφωνος
Ενέσιμο Heparin sodium 500 UI/ml
Ενέσιμο Potassium chloride 10 mEq/l
Χλωριούχο νάτριο 0,9% 3823
Σύμφωνος
Ενέσιμο Heparin sodium 58,34 UI/ml
Ενέσιμο Potassium chloride 1250 mEq/l
Γλυκόζη 5% 1289
Σύμφωνος
Ενέσιμο Heparin sodium
Ενέσιμο Potassium phosphate
3781
Σύμφωνος
Ενέσιμο Heparin sodium 1 UI/ml
Ενέσιμο Procainamide hydrochloride 100 mg/ml
Γλυκόζη 5% 1228
Σύμφωνος
Ενέσιμο Heparin sodium 1 UI/ml
Ενέσιμο Prochlorperazine edysilate 5 mg/ml
Γλυκόζη 5% 1228
Σύμφωνος
Ενέσιμο Heparin sodium 1 UI/ml
Ενέσιμο Promethazine hydrochloride 50 mg/ml
Γλυκόζη 5% 1228
Απροσδιόριστη ασυμβατότητα Ασύμβατες
Ενέσιμο Heparin sodium
Ενέσιμο Promethazine hydrochloride
3540
Αστάθεια του γαλακτώματος μετά από 1 ώρα Ασύμβατες
Ενέσιμο Heparin sodium 1000 UI/ml
Ενέσιμο Propofol
660
Σύμφωνος
Ενέσιμο Heparin sodium 100 UI/ml
Ενέσιμο Propofol 10 mg/ml
Ουδέν 300
Σύμφωνος
Ενέσιμο Heparin sodium 1 UI/ml
Ενέσιμο Propranolol hydrochloride 1 mg/ml
Γλυκόζη 5% 1228
Σύμφωνος
Ενέσιμο Heparin sodium 100 UI/ml
Ενέσιμο Ranitidine hydrochloride 1 mg/ml
314
Σύμφωνος
Ενέσιμο Heparin sodium 10 & 40 UI/ml
Ενέσιμο Ranitidine hydrochloride 0.05 & 2 mg/ml
Γλυκόζη 5% 214
Σύμφωνος
Ενέσιμο Heparin sodium 416.7 UI/ml
Ενέσιμο Remifentanil hydrochloride 120 µg/ml
Γλυκόζη 5% 3294
Σύμφωνος
Ενέσιμο Heparin sodium 416.7 UI/ml
Ενέσιμο Remifentanil hydrochloride 120 µg/ml
Γλυκόζη 5% 3176
Απροσδιόριστη ασυμβατότητα Ασύμβατες
Ενέσιμο Heparin sodium
Ενέσιμο Reteplase
2212
Σύμφωνος
Ενέσιμο Heparin sodium 20,458 >> 28,000 UI/ml
Παρεντερική διατροφή (με λιπίδια) 1868
Απροσδιόριστη ασυμβατότητα Ασύμβατες
Ενέσιμο Heparin sodium
Ενέσιμο Reteplase
3540
Σύμφωνος
Ενέσιμο Heparin sodium 1000 UI/ml
Ενέσιμο Salbutamol sulfate 1 mg/ml
Ουδέν 3216
Σύμφωνος
Ενέσιμο Heparin sodium 100 UI/ml
Ενέσιμο Sargramostim 6 §15 µg/ml
Χλωριούχο νάτριο 0,9% 891
Σύμφωνος
Ενέσιμο Heparin sodium 100 UI/ml
Ενέσιμο Sargramostim 10 µg/ml
Χλωριούχο νάτριο 0,9% 335
Σύμφωνος
Ενέσιμο Heparin sodium 1 UI/ml
Ενέσιμο Scopolamine hydrobromide 0.86 mg/ml
Χλωριούχο νάτριο 0,9% 1228
Σύμφωνος
Ενέσιμο Heparin sodium 1 UI/ml
Ενέσιμο Scopolamine hydrobromide 0.86 mg/ml
Γαλακτικό διάλυμα Ringer 1228
Σύμφωνος
Ενέσιμο Heparin sodium 1 UI/ml
Ενέσιμο Scopolamine hydrobromide 0.86 mg/ml
Γλυκόζη 5% 1228
Σύμφωνος
Ενέσιμο Heparin sodium 100 UI/ml
Ενέσιμο Sildenafil citrate 0,6 mg/ml
Γλυκόζη 5% 4845
Σύμφωνος
Ενέσιμο Heparin sodium 100 UI/ml
Ενέσιμο Sildenafil citrate 0,06 mg/ml
Γλυκόζη 5% 4845
Σύμφωνος
Ενέσιμο Heparin sodium 1 UI/ml
Ενέσιμο Sildenafil citrate 0,4 mg/ml
Γλυκόζη 5% 3923
Σύμφωνος
Ενέσιμο Heparin sodium 2 UI/ml
Ενέσιμο Sildenafil citrate 0,6 mg/ml
Γλυκόζη 5% 4845
Σύμφωνος
Ενέσιμο Heparin sodium
Χλωριούχο νάτριο 0,9% 3540
Άμεση αστάθεια του γαλακτώματος Ασύμβατες
Ενέσιμο Heparin sodium 100 UI/ml
Παρεντερική διατροφή (με λιπίδια) 132
Άμεση θολότητα Ασύμβατες
Ενέσιμο Heparin sodium 100 UI/ml
Ενέσιμο Sildenafil citrate 0,6 mg/ml
Γλυκόζη 5% 4845
Σύμφωνος
Ενέσιμο Heparin sodium 500 UI/ml
Ενέσιμο Sodium bicarbonate 84 mg/ml
Χλωριούχο νάτριο 0,9% 3823
Σύμφωνος
Ενέσιμο Heparin sodium
Ενέσιμο Sodium bicarbonate
3466
Σύμφωνος
Ενέσιμο Heparin sodium 500 UI/ml
Ενέσιμο Sodium bicarbonate 14 mg/ml
Ουδέν 150
Σύμφωνος
Ενέσιμο Heparin sodium 500 UI/ml
Ενέσιμο Sodium bicarbonate 84 mg/ml
Ουδέν 3212
Σύμφωνος
Ενέσιμο Heparin sodium 208 UI/ml
Ενέσιμο Spiramycine adipate 0.0625 MUI/ml
Χλωριούχο νάτριο 0,9% 4254
Σύμφωνος
Ενέσιμο Heparin sodium 100 UI/ml
Ενέσιμο Streptokinase 30000 UI/ml
Γλυκόζη 5% 92
Απροσδιόριστη ασυμβατότητα Ασύμβατες
Ενέσιμο Heparin sodium
Ενέσιμο Streptomycin sulfate
3540
Σύμφωνος
Ενέσιμο Heparin sodium 416.7 UI/ml
Ενέσιμο Sufentanil citrate 0.005 mg/ml
Γλυκόζη 5% 3294
Σύμφωνος
Ενέσιμο Heparin sodium 1000 UI/ml
Ενέσιμο Sugammadex 100 mg/ml
Ουδέν 3372
Σύμφωνος
Ενέσιμο Heparin sodium 10 UI/ml
Ενέσιμο Tacrolimus 1000 µg/ml
Χλωριούχο νάτριο 0,9% 479
Σύμφωνος
Ενέσιμο Heparin sodium 1000 UI/ml
Γαλακτικό διάλυμα Ringer 4603
Σύμφωνος
Ενέσιμο Heparin sodium 1000 UI/ml
Ενέσιμο Sulbactam/durlobactam 15/15 mg/ml
Χλωριούχο νάτριο 0,9% 4801
Σύμφωνος
Ενέσιμο Heparin sodium 1000 UI/ml
Ενέσιμο Tedizolid phosphate 0.8 mg/ml
Χλωριούχο νάτριο 0,9% 3827
Σύμφωνος
Ενέσιμο Heparin sodium 10 >> 10000 UI/ml
Ενέσιμο Teicoplanine 0.02 >> 10 mg/ml
Χλωριούχο νάτριο 0,9% 2057
Άμεση θολότητα Ασύμβατες
Ενέσιμο Heparin sodium 1000 UI/ml
Ενέσιμο Telavancin hydrochloride 7,5 mg/ml
Γλυκόζη 5% 3254
Άμεση θολότητα Ασύμβατες
Ενέσιμο Heparin sodium 1000 UI/ml
Ενέσιμο Telavancin hydrochloride 7,5 mg/ml
Χλωριούχο νάτριο 0,9% 3254
Σύμφωνος
Ενέσιμο Heparin sodium 1000 UI/ml
Ενέσιμο Telavancin hydrochloride 7.5 mg/ml
Γαλακτικό διάλυμα Ringer 3254
Άμεση βροχόπτωση Ασύμβατες
Ενέσιμο Heparin sodium 1000 UI/ml
Ενέσιμο Thiopental sodium 25 mg/ml
Χλωριούχο νάτριο 0,9% 3767
Άμεση αστάθεια του γαλακτώματος Ασύμβατες
Ενέσιμο Heparin sodium 1 UI/ml
Παρεντερική διατροφή (με λιπίδια) 1391
Σύμφωνος
Ενέσιμο Heparin sodium 100 UI/ml
Ενέσιμο Teniposide 0.1 mg/ml
Γλυκόζη 5% 905
Σύμφωνος
Ενέσιμο Heparin sodium 50 UI/ml
Ενέσιμο Theophylline 4 mg/ml
Ουδέν 317
Σύμφωνος
Ενέσιμο Heparin sodium 100 UI/ml
Ενέσιμο Thiopental sodium 25 mg/ml
314
Άμεση αστάθεια του γαλακτώματος Ασύμβατες
Ενέσιμο Heparin sodium 100 UI/ml
Παρεντερική διατροφή (με λιπίδια) 1415
Σύμφωνος
Ενέσιμο Heparin sodium 500 UI/ml
Ενέσιμο Thiopental sodium 60 mg/ml
Χλωριούχο νάτριο 0,9% 3823
Σύμφωνος
Ενέσιμο Heparin sodium 100 UI/ml
Ενέσιμο Thiotepa 1 mg/ml
Γλυκόζη 5% 249
Σύμφωνος
Ενέσιμο Heparin sodium 50 UI/ml
Ενέσιμο Ticarcillin / clavulanic acid 31 mg/ml
Ουδέν 317
Σύμφωνος
Ενέσιμο Heparin sodium 500 UI/ml
Ενέσιμο Tirofiban 250 µg/ml
Χλωριούχο νάτριο 0,9% 3823
Σύμφωνος
Ενέσιμο Heparin sodium 40 & 100 UI/ml
Ενέσιμο Tirofiban 50 µg/ml
Χλωριούχο νάτριο 0,9% 1420
Σύμφωνος
Ενέσιμο Heparin sodium
Γλυκόζη 5% 3540
Σύμφωνος
Ενέσιμο Heparin sodium
Ενέσιμο Tirofiban
1512
Σύμφωνος
Ενέσιμο Heparin sodium 40 & 100 UI/ml
Ενέσιμο Tirofiban 50 µg/ml
Γλυκόζη 5% 1420
Απροσδιόριστη ασυμβατότητα Ασύμβατες
Ενέσιμο Heparin sodium 50 UI/ml
Ενέσιμο Tobramycin sulfate 0.8 mg/ml
Ουδέν 317
Απροσδιόριστη ασυμβατότητα Ασύμβατες
Ενέσιμο Heparin sodium
Ενέσιμο Tobramycin sulfate
3540
Σύμφωνος
Ενέσιμο Heparin sodium
Ενέσιμο Tranexamic acid
5016
Απροσδιόριστη ασυμβατότητα Ασύμβατες
Ενέσιμο Heparin sodium
Ενέσιμο Triflupromazine hydrochloride
3540
Σύμφωνος
Ενέσιμο Heparin sodium 500 UI/ml
Ενέσιμο Urapidil 5 mg/ml
Χλωριούχο νάτριο 0,9% 3823
Άμεση βροχόπτωση Ασύμβατες
Ενέσιμο Heparin sodium 0,5 >> 14,3 UI/ml
Ενέσιμο Vancomycin hydrochloride 6,9 >> 14,3 mg/ml
Dianéal® PD1 4.25% Γλυκόζη (Baxter) 2375
Απροσδιόριστη ασυμβατότητα Ασύμβατες
Ενέσιμο Heparin sodium
Ενέσιμο Vancomycin hydrochloride
3588
Απροσδιόριστη ασυμβατότητα Ασύμβατες
Ενέσιμο Heparin sodium
Ενέσιμο Vancomycin hydrochloride
3540
Σύμφωνος
Ενέσιμο Heparin sodium 0,5 >> 14,3 UI/ml
Ενέσιμο Vancomycin hydrochloride 0,015 >> 6,8 mg/ml
Dianéal® PD2 2.5% glucose (Baxter) 2375
Άμεση βροχόπτωση Ασύμβατες
Ενέσιμο Heparin sodium 0,5 >> 14,3 UI/ml
Ενέσιμο Vancomycin hydrochloride 6,9 >> 14,3 mg/ml
Dianéal® PD2 2.5% glucose (Baxter) 2375
Σύμφωνος
Ενέσιμο Heparin sodium 10 UI/ml
Ενέσιμο Vancomycin hydrochloride 0.025 mg/ml
Ενέσιμο ύδωρ 3125
Σύμφωνος
Ενέσιμο Heparin sodium 0,5 >> 14,3 UI/ml
Ενέσιμο Vancomycin hydrochloride 0,015 >> 6,8 mg/ml
Dianéal® PD1 4.25% Γλυκόζη (Baxter) 2375
Απροσδιόριστη ασυμβατότητα Ασύμβατες
Ενέσιμο Heparin sodium 50 UI/ml
Ενέσιμο Vancomycin hydrochloride 6.6 mg/ml
Ουδέν 317
Σύμφωνος
Ενέσιμο Heparin sodium 100 UI/ml
Ενέσιμο Vancomycin hydrochloride 0.025 mg/ml
Χλωριούχο νάτριο 0,9% 1414
Σύμφωνος
Ενέσιμο Heparin sodium 10 UI/ml
Ενέσιμο Vancomycin hydrochloride 2 mg/ml
Χλωριούχο νάτριο 0,9% 2037
Άμεση βροχόπτωση Ασύμβατες
Ενέσιμο Heparin sodium 100 UI/ml
Ενέσιμο Vancomycin hydrochloride 10 mg/ml
Παρεντερική  θρέψη (ελεύθερο λιπιδίων) 132
Σύμφωνος
Ενέσιμο Heparin sodium 5000 UI/ml
Ενέσιμο Vancomycin hydrochloride 2.5 mg/ml
Χλωριούχο νάτριο 0,9% 2037
Σύμφωνος
Ενέσιμο Heparin sodium 100 UI/ml
Ενέσιμο Vancomycin hydrochloride 0.025 mg/ml
Χλωριούχο νάτριο 0,9% 895
Σύμφωνος
Ενέσιμο Heparin sodium 100 UI/ml
Ενέσιμο Vasopressin 2 & 4 UI/ml
Χλωριούχο νάτριο 0,9% 1801
Σύμφωνος
Ενέσιμο Heparin sodium 100 UI/ml
Ενέσιμο Vecuronium bromide 1 mg/ml
314
Σύμφωνος
Ενέσιμο Heparin sodium 40 UI/ml
Ενέσιμο Vecuronium bromide 0.1 mg/ml
Γλυκόζη 5% 402
Σύμφωνος
Ενέσιμο Heparin sodium 20 UI/ml
Ενέσιμο Verapamil hydrochloride 0.08 mg/ml
Χλωριούχο νάτριο 0,9% 1057
Σύμφωνος
Ενέσιμο Heparin sodium 20 UI/ml
Ενέσιμο Verapamil hydrochloride 0.08 mg/ml
Γλυκόζη 5% 1057
Απροσδιόριστη ασυμβατότητα Ασύμβατες
Ενέσιμο Heparin sodium
Ενέσιμο Vinblastine sulfate
3540
Σύμφωνος
Ενέσιμο Heparin sodium 1000 UI/ml
Ενέσιμο Vinblastine sulfate 1 mg/ml
763
Σύμφωνος
Ενέσιμο Heparin sodium 1000 UI/ml
Ενέσιμο Vincristine sulfate 1 mg/ml
763
Σύμφωνος
Ενέσιμο Heparin sodium 100 UI/ml
Ενέσιμο Vinorelbine tartrate 1 mg/ml
Χλωριούχο νάτριο 0,9% 84
Σύμφωνος
Ενέσιμο Heparin sodium 100 UI/ml
Ενέσιμο Vinorelbine tartrate 1 mg/ml
Χλωριούχο νάτριο 0,9% 1070
Άμεση βροχόπτωση Ασύμβατες
Ενέσιμο Heparin sodium 10 & 100 UI/ml
Ενέσιμο Vinorelbine tartrate 2 & 3 mg/ml
Χλωριούχο νάτριο 0,9% 1070
Σύμφωνος
Ενέσιμο Heparin sodium 208 UI/ml
Ενέσιμο Voriconazole 8 mg/ml
Γλυκόζη 5% 4254
Σύμφωνος
Ενέσιμο Heparin sodium 208 UI/ml
Ενέσιμο Voriconazole 8 mg/ml
Χλωριούχο νάτριο 0,9% 4254
Σύμφωνος
Ενέσιμο Heparin sodium 100 UI/ml
Ενέσιμο Warfarin sodium 2 mg/ml
Γλυκόζη 5% 315
Σύμφωνος
Ενέσιμο Heparin sodium 100 UI/ml
Ενέσιμο Zidovudine 4 mg/ml
Γλυκόζη 5% 337

  Mentions Légales