Ostatnia aktualizacja :
27/01/2026
Antykoagulant   Heparin sodium  
Injekcje
Trwałość roztworów Trwałość w mieszaninie Czynnik wpływający na trwałość Zgodność Sposób podania Bibliografia pdf
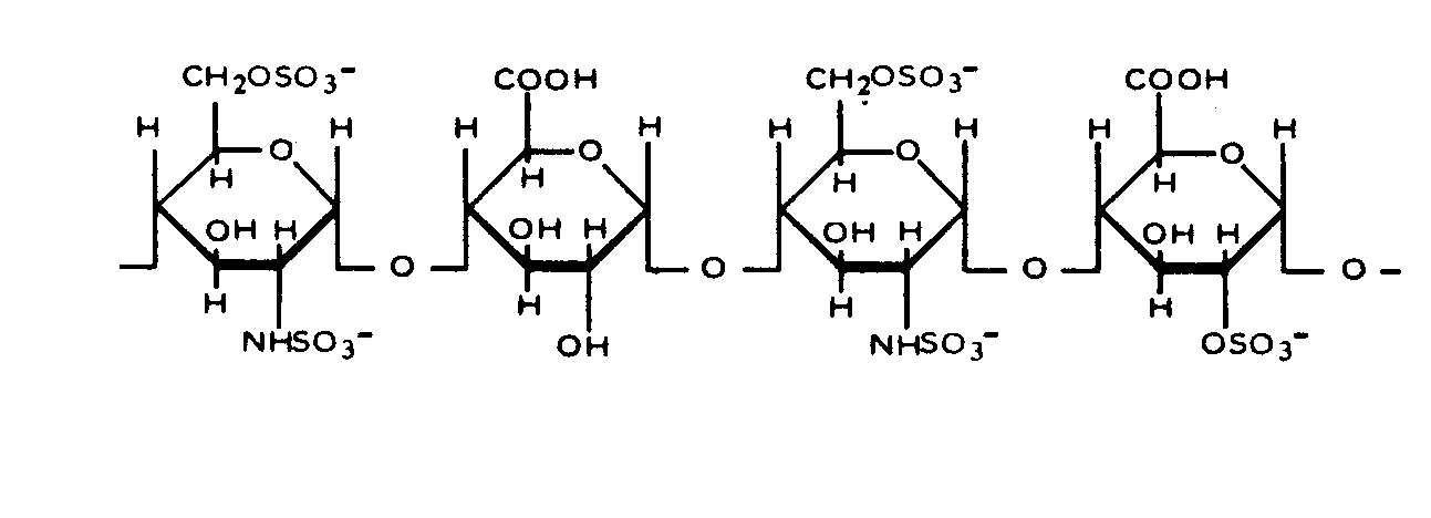
   Struktura chemiczna  

Nazwa handlowa   Nazwa handlowa     

Trade names are indicative and excipients composition can be different depending on the country and manufacturers

Arapin Chile
Ateroclar Włochy
Clarisco Włochy
Epsoclar Włochy
Hepaflex Finlandia, Norwegia
Hepamax Chile, Ekwador, KolumbiaKolumbia
Heparin Afryka Południowa, Austria, Dania, Finlandia, Grecja, Holandia, Jugosławia, Kanada, Norwegia, rosyjski, Stany Zjednoczone Ameryki, Szwajcaria, Szwecja, Tajlandia, Turcja, Węgry, Wielka Brytania
Heparine Belgia, Francja
Heparinised Australia
Heparstad Niemcy
Liquemin Szwajcaria, Turcja
Liquemine Brazylia
Monoparin Arabia Saudyjska
Normoparin Włochy
Nuparin Ekwador
Pharepa Włochy
Riveparin Argentyna
Sobrius Argentyna, Ekwador
Thrombophob Niemcy
Zgodność   Injekcje   Zgodność : Heparin sodium              
Ekran ten wskazuje na kompatybilności lub niezgodności z, w tym przypadku, rodzajem niezgodności (strącanie, zmiana koloru, modyfikacja emulsji, itp.). Przedstawione tutaj kompatybilności są głównie fizyczne, a stabilność chemiczna każdej cząsteczki jest rzadko oceniana. Ocenę tych mieszanin badano w celu rozważenia możliwości podania pacjentowi w miejscu Y. Dane te nie mogą być wykorzystywane do sporządzania mieszanin z wyprzedzeniem w workach lub strzykawkach. Tego typu informacje są dostępne na ekranie „Stabilność w mieszaninie”.
Związek Rozpuszczalnik Bibliografia
Zgodny
Injekcje Heparin sodium 100 UI/ml
Injekcje Aciclovir sodium 5 mg/ml
Chlorek sodu 0,9% 2335
Zgodny
Injekcje Heparin sodium 50 UI/ml
Injekcje Aciclovir sodium 5 mg/ml
Glukoza 5% 336
Zgodny
Injekcje Heparin sodium 100 UI/ml
Injekcje Aldesleukin 0.0338 MUI/ml
Glukoza 5% 36
Zgodny
Injekcje Heparin sodium 100 UI/ml
Injekcje Allopurinol sodium 3 mg/ml
Chlorek sodu 0,9% 307
Zgodny
Injekcje Heparin sodium 1 UI/ml
Injekcje Alprostadil 20 µg/ml
Chlorek sodu 0,9% 4491
Zgodny
Injekcje Heparin sodium 1 UI/ml
Injekcje Alprostadil 20 µg/ml
Glukoza 5% 4651
Opad po 24 godzinach Niekompatybilny
Injekcje Heparin sodium 100 UI/ml
Injekcje Alteplase 1 mg/ml
Woda do wstrzyknięć 92
Nieokreślona niezgodność Niekompatybilny
Injekcje Heparin sodium
Injekcje Alteplase
3540
Natychmiastowe opady Niekompatybilny
Injekcje Heparin sodium 40 UI/ml
Injekcje Alteplase 0.5 mg/ml
Woda do wstrzyknięć 240
Nieokreślona niezgodność Niekompatybilny
Injekcje Heparin sodium
Injekcje Alteplase
3616
Zgodny
Injekcje Heparin sodium 100 UI/ml
Injekcje Amifostine 10 mg/ml
Glukoza 5% 3
Natychmiastowe opady Niekompatybilny
Injekcje Heparin sodium
Injekcje Amikacin sulfate
1022
Nieokreślona niezgodność Niekompatybilny
Injekcje Heparin sodium
Injekcje Amikacin sulfate
3549
Nieokreślona niezgodność Niekompatybilny
Injekcje Heparin sodium
Injekcje Amikacin sulfate
3540
Nieokreślona niezgodność Niekompatybilny
Injekcje Heparin sodium 500 UI/ml
Injekcje Amiodarone hydrochloride 15 mg/ml
Chlorek sodu 0,9% 3823
Nieokreślona niezgodność Niekompatybilny
Injekcje Heparin sodium
Injekcje Amiodarone hydrochloride
3540
Natychmiastowe zmętnienie Niekompatybilny
Injekcje Heparin sodium 500 UI/ml
Injekcje Amiodarone hydrochloride 15 mg/ml
Chlorek sodu 0,9% 3463
Nieokreślona niezgodność Niekompatybilny
Injekcje Heparin sodium
Injekcje Amiodarone hydrochloride
3464
Nieokreślona niezgodność Niekompatybilny
Injekcje Heparin sodium 500 UI/ml
Injekcje Amiodarone hydrochloride 15 mg/ml
Glukoza 5% 3823
Natychmiastowe zmętnienie Niekompatybilny
Injekcje Heparin sodium 500 UI/ml
Injekcje Amiodarone hydrochloride 15 mg/ml
Glukoza 5% 3463
Zgodny
Injekcje Heparin sodium 208 UI/ml
Injekcje Amoxicillin sodium 20.83 & 83.3 mg/ml
Chlorek sodu 0,9% 4254
Zgodny
Injekcje Heparin sodium 1000 UI/ml
Injekcje Amoxicillin sodium / clavulanic acid 100/10 mg/ml
3824
Zgodny
Injekcje Heparin sodium
Injekcje Ampicillin sodium
5088
Zgodny
Injekcje Heparin sodium 50 UI/ml
Injekcje Ampicillin sodium 20 mg/ml
Żaden 317
Zgodny
Injekcje Heparin sodium 50 UI/ml
Injekcje Ampicillin sodium - sulbactam sodium 30 mg/ml
Żaden 317
Natychmiastowe opady Niekompatybilny
Injekcje Heparin sodium 40 UI/ml
Injekcje Amsacrine 1 mg/ml
Glukoza 5% 253
Zgodny
Injekcje Heparin sodium 100 UI/ml
Injekcje Anidulafungin 0.5 mg/ml
Glukoza 5% 1982
Natychmiastowe opady Niekompatybilny
Injekcje Heparin sodium
Injekcje Antithymocyte globulin (rabbit)
4958
Natychmiastowe opady Niekompatybilny
Injekcje Heparin sodium 2 UI/ml
Injekcje Antithymocyte globulin (rabbit) 0,2 & 0,3 mg/ml
Glukoza 5% 1822
Zgodny
Injekcje Heparin sodium 100 UI/ml
Injekcje Antithymocyte globulin (rabbit) 0,2 & 0,3 mg/ml
Glukoza 5% 1822
Zgodny
Injekcje Heparin sodium 2 & 100 UI/ml
Injekcje Antithymocyte globulin (rabbit) 0,2 & 0,3 mg/ml
Chlorek sodu 0,9% 1822
Zgodny
Injekcje Heparin sodium 40 UI/ml
Injekcje Atracurium besylate 0.5 mg/ml
Glukoza 5% 402
Zgodny
Injekcje Heparin sodium 1 UI/ml
Injekcje Atropine sulfate 0.5 mg/ml
Glukoza 5% 1228
Zgodny
Injekcje Heparin sodium 500 UI/ml
Żywienie pozajelitowe (lipidami) 4507
Natychmiastowe opady Niekompatybilny
Injekcje Heparin sodium 1000 UI/ml
Injekcje Amphotericin B cholesteryl sulfate complex 0.83 mg/ml
Glukoza 5% 921
Nieokreślona niezgodność Niekompatybilny
Injekcje Heparin sodium
Injekcje Ampicillin sodium
3540
Zgodny
Injekcje Heparin sodium 10 & 5000 UI/ml
Injekcje Ampicillin sodium 10 mg/ml
Chlorek sodu 0,9% 2037
Zgodny
Injekcje Heparin sodium 1 UI/ml
Injekcje Atropine sulfate 0.5 mg/ml
Roztwór Ringera z mleczanem sodowym 1228
Zgodny
Injekcje Heparin sodium 1 UI/ml
Injekcje Atropine sulfate 0.5 mg/ml
Chlorek sodu 0,9% 1228
Zgodny
Injekcje Heparin sodium 100 UI/ml
Injekcje Aztreonam 40 mg/ml
Glukoza 5% 99
Zgodny
Injekcje Heparin sodium 50 UI/ml
Injekcje Aztreonam 20 mg/ml
Żaden 317
Zgodny
Injekcje Heparin sodium 1 UI/ml
Injekcje Betamethasone sodium phosphate 3 mg/ml
Chlorek sodu 0,9% 1228
Zgodny
Injekcje Heparin sodium 1 UI/ml
Injekcje Betamethasone sodium phosphate 3 mg/ml
Glukoza 5% 1228
Zgodny
Injekcje Heparin sodium 1 UI/ml
Injekcje Betamethasone sodium phosphate 3 mg/ml
Roztwór Ringera z mleczanem sodowym 1228
Zgodny
Injekcje Heparin sodium 100 UI/ml
Injekcje Bivalirudin 5 mg/ml
Glukoza 5% 1713
Natychmiastowe opady Niekompatybilny
Injekcje Heparin sodium 192.3 UI/ml
Injekcje Blinatumomab 0.125 & 0.375 µg/ml
Chlorek sodu 0,9% 3976
Zgodny
Injekcje Heparin sodium 1000 UI/ml
Injekcje Caffeine 10 mg/ml
Żaden 3964
Zgodny
Injekcje Heparin sodium 100 UI/ml
Injekcje Caffeine 10 mg/ml
Chlorek sodu 0,9% 4837
Zgodny
Injekcje Heparin sodium 100 UI/ml
Injekcje Caffeine citrate 20 mg/ml
Chlorek sodu 0,9% 4837
Opad po 30 minutach Niekompatybilny
Injekcje Heparin sodium 2 UI/ml
Injekcje Calcium chloride 20 mg/ml
Glukoza 5% 4732
Zgodny
Injekcje Heparin sodium 100 UI/ml
Injekcje Calcium chloride 20 mg/ml
Glukoza 5% 4732
Natychmiastowa niestabilność emulsji Niekompatybilny
Injekcje Heparin sodium
Injekcje Calcium chloride
Żywienie pozajelitowe (lipidami) 1084
Natychmiastowa niestabilność emulsji Niekompatybilny
Injekcje Heparin sodium
Injekcje Calcium gluconate
Żywienie pozajelitowe (lipidami) 1084
Natychmiastowe opady Niekompatybilny
Injekcje Heparin sodium 100 UI/ml
Injekcje Caspofungin acetate 0.5 mg/ml
Chlorek sodu 0,9% 2233
Natychmiastowe opady Niekompatybilny
Injekcje Heparin sodium 100 UI/ml
Injekcje Caspofungin acetate 0,7 mg/ml
Chlorek sodu 0,9% 2247
Nieokreślona niezgodność Niekompatybilny
Injekcje Heparin sodium
Injekcje Cefalotin sodium
3540
Zgodny
Injekcje Heparin sodium 10 & 5000 UI/ml
Injekcje Cefazolin sodium 10 mg/ml
Chlorek sodu 0,9% 2037
Zgodny
Injekcje Heparin sodium 50 UI/ml
Injekcje Cefazolin sodium 20 mg/ml
Żaden 317
Zgodny
Injekcje Heparin sodium 0.667 UI/ml
Injekcje Cefazolin sodium 0.333 mg/ml
Dianéal® PD2 1.5% Glukoza (Baxter) 1979
Zgodny
Injekcje Heparin sodium 10 & 50 UI/ml
Injekcje Cefepime dihydrochloride 4 mg/ml
Chlorek sodu 0,9% 3548
Zgodny
Injekcje Heparin sodium 10 & 50 UI/ml
Injekcje Cefepime dihydrochloride 4 mg/ml
Glukoza 5% 3548
Zgodny
Injekcje Heparin sodium 1000 UI/ml
Injekcje Cefiderocol sulfate tosylate 20 mg/mL
Glukoza 5% 4528
Zgodny
Injekcje Heparin sodium 1000 UI/ml
Injekcje Cefiderocol sulfate tosylate 20 mg/mL
Chlorek sodu 0,9% 4528
Niestabilność chemiczna Niekompatybilny
Injekcje Heparin sodium 100 UI/ml
Injekcje Cefmetazole sodium 100 mg/ml
Woda do wstrzyknięć 93
Zgodny
Injekcje Heparin sodium 208 UI/ml
Injekcje Cefotaxime sodium 41.6 & 125 mg/ml
Glukoza 5% 4254
Zgodny
Injekcje Heparin sodium 208 UI/ml
Injekcje Cefotaxime sodium 41.6 & 125 mg/ml
Chlorek sodu 0,9% 4254
Zgodny
Injekcje Heparin sodium 5000 UI/ml
Injekcje Cefotaxime sodium 10 mg/ml
Woda do wstrzyknięć 3125
Zgodny
Injekcje Heparin sodium 100 UI/ml
Injekcje Ceftaroline fosamil 2,22 mg/ml
Roztwór Ringera z mleczanem sodowym 3249
Zgodny
Injekcje Heparin sodium 100 UI/ml
Injekcje Ceftaroline fosamil 2,22 mg/ml
Chlorek sodu 0,9% 3249
Zgodny
Injekcje Heparin sodium 100 UI/ml
Injekcje Ceftaroline fosamil 2,22 mg/ml
Glukoza 5% 3249
Zgodny
Injekcje Heparin sodium 0.5 UI/ml
Injekcje Ceftazidime 0.125 mg/ml
Extraneal® (Baxter) 4056
Zgodny
Injekcje Heparin sodium 0.5 UI/ml
Injekcje Ceftazidime 0.125 mg/ml
Dianéal® PD2 4.25% Glukoza (Baxter) 4056
Zgodny
Injekcje Heparin sodium 50 UI/ml
Injekcje Ceftazidime 20 mg/ml
Żaden 317
Zgodny
Injekcje Heparin sodium 0.5 UI/ml
Injekcje Ceftazidime 0.125 mg/ml
Dianéal® PD2 2.5% glucose (Baxter) 4056
Zgodny
Injekcje Heparin sodium 100 UI/ml
Injekcje Ceftobiprole medocaril sodium 2 mg/ml
Chlorek sodu 0,9% 2269
Zgodny
Injekcje Heparin sodium 100 UI/ml
Injekcje Ceftobiprole medocaril sodium 2 mg/ml
Glukoza 5% 2269
Zgodny
Injekcje Heparin sodium 100 UI/ml
Injekcje Ceftobiprole medocaril sodium 2 mg/ml
Roztwór Ringera z mleczanem sodowym 2269
Zgodny
Injekcje Heparin sodium 1000 UI/ml
Injekcje Ceftolozane / tazobactam 10/5 mg/ml
Chlorek sodu 0,9% 3828
Zgodny
Injekcje Heparin sodium 1000 UI/ml
Injekcje Ceftolozane / tazobactam 10/5 mg/ml
Glukoza 5% 3828
Zgodny
Injekcje Heparin sodium 50 UI/ml
Injekcje Ceftriaxone disodium 20 mg/ml
Żaden 317
Zgodny
Injekcje Heparin sodium 10 & 50 UI/ml
Injekcje Cefuroxime sodium
Chlorek sodu 0,9% 3687
Zgodny
Injekcje Heparin sodium 58,34 UI/ml
Injekcje Chlorpromazine hydrochloride 0,26 mg/ml
Glukoza 5% 1289
Zgodny
Injekcje Heparin sodium 1 UI/ml
Injekcje Chlorpromazine hydrochloride 10 mg/ml
Chlorek sodu 0,9% 1228
Zgodny
Injekcje Heparin sodium 1 UI/ml
Injekcje Chlorpromazine hydrochloride 10 mg/ml
Glukoza 5% 1228
Nieokreślona niezgodność Niekompatybilny
Injekcje Heparin sodium
Injekcje Chlorpromazine hydrochloride
3540
Zgodny
Injekcje Heparin sodium 1 UI/ml
Injekcje Chlorpromazine hydrochloride 10 mg/ml
Roztwór Ringera z mleczanem sodowym 1228
Zgodny
Injekcje Heparin sodium 50 UI/ml
Injekcje Cimetidine hydrochloride 6 mg/ml
Żaden 317
Zgodny
Injekcje Heparin sodium 5000 & 10000 UI/ml
Injekcje Ciprofloxacin lactate 0.4 & 0.6 mg/ml
Chlorek sodu 0,9% 2057
Natychmiastowe opady Niekompatybilny
Injekcje Heparin sodium 10 >> 10000 UI/ml
Injekcje Ciprofloxacin lactate 1 mg/ml
Chlorek sodu 0,9% 2057
Natychmiastowe opady Niekompatybilny
Injekcje Heparin sodium 10 & 100 UI/ml
Injekcje Ciprofloxacin lactate 0.2 mg/ml
Chlorek sodu 0,9% 2057
Nieokreślona niezgodność Niekompatybilny
Injekcje Heparin sodium
Injekcje Ciprofloxacin lactate
3540
Natychmiastowe opady Niekompatybilny
Injekcje Heparin sodium 10 >> 1000 UI/ml
Injekcje Ciprofloxacin lactate 0.4 & 0.6 mg/ml
Chlorek sodu 0,9% 2057
Zgodny
Injekcje Heparin sodium 1000 >> 10000 UI/ml
Injekcje Ciprofloxacin lactate 0.2 mg/ml
Chlorek sodu 0,9% 2057
Natychmiastowe opady Niekompatybilny
Injekcje Heparin sodium 10 >> 5000 UI/ml
Injekcje Ciprofloxacin lactate 0.8 mg/ml
Chlorek sodu 0,9% 2057
Zgodny
Injekcje Heparin sodium 10 >> 10000 UI/ml
Injekcje Ciprofloxacin lactate 0.1 mg/ml
Chlorek sodu 0,9% 2057
Natychmiastowe opady Niekompatybilny
Injekcje Heparin sodium 100 UI/ml
Injekcje Ciprofloxacin lactate 2 mg/ml
Chlorek sodu 0,9% 288
Nieokreślona niezgodność Niekompatybilny
Injekcje Heparin sodium
Injekcje Ciprofloxacin lactate
3529
Natychmiastowe opady Niekompatybilny
Injekcje Heparin sodium 100 UI/ml
Injekcje Ciprofloxacin lactate 2 mg/ml
Glukoza 5% 288
Natychmiastowe opady Niekompatybilny
Injekcje Heparin sodium 10 >> 1000 UI/ml
Injekcje Ciprofloxacin lactate 2 mg/ml
Chlorek sodu 0,9% 289
Natychmiastowe zmętnienie Niekompatybilny
Injekcje Heparin sodium 10 UI/ml
Injekcje Ciprofloxacin lactate 2 mg/ml
Żaden 1393
Zgodny
Injekcje Heparin sodium 10000 UI/ml
Injekcje Ciprofloxacin lactate 0.8 mg/ml
Chlorek sodu 0,9% 2057
Zgodny
Injekcje Heparin sodium 100 UI/ml
Injekcje Cisatracurium besylate 0.1 & 2 mg/ml
Glukoza 5% 299
Natychmiastowe opady Niekompatybilny
Injekcje Heparin sodium 100 UI/ml
Injekcje Cisatracurium besylate 5 mg/ml
Glukoza 5% 299
Zmiana koloru Niekompatybilny
Injekcje Heparin sodium 500 UI/ml
Injekcje Cisatracurium besylate 5 mg/ml
Chlorek sodu 0,9% 3463
Nieokreślona niezgodność Niekompatybilny
Injekcje Heparin sodium 500 UI/ml
Injekcje Cisatracurium besylate 5 mg/ml
Chlorek sodu 0,9% 3823
Nieokreślona niezgodność Niekompatybilny
Injekcje Heparin sodium
Injekcje Cisatracurium besylate
3540
Zgodny
Injekcje Heparin sodium 100 UI/ml
Injekcje Cladribine 0.5 mg/ml
NaCl 0,9% + bakteriostatyk 1496
Zgodny
Injekcje Heparin sodium 100 UI/ml
Injekcje Cladribine 0.015 mg/ml
Chlorek sodu 0,9% 1496
Zgodny
Injekcje Heparin sodium 50 UI/ml
Injekcje Clindamycin phosphate 12 mg/ml
Żaden 317
Zgodny
Injekcje Heparin sodium 50 UI/ml
Injekcje Clonidine hydrochloride 0.0075 mg/ml
Chlorek sodu 0,9% 1506
Zgodny
Injekcje Heparin sodium 50 UI/ml
Injekcje Clonidine hydrochloride 0.0075 mg/ml
Glukoza 5% 1506
Zgodny
Injekcje Heparin sodium 100 UI/ml
Injekcje Cloxacillin sodium 100 mg/ml
Woda do wstrzyknięć 3012
Opady po 4 godzinach Niekompatybilny
Injekcje Heparin sodium 208 UI/ml
Injekcje Co-trimoxazole 3.2/0.64 & 80/16 mg/ml
Chlorek sodu 0,9% 4254
Opady po 4 godzinach Niekompatybilny
Injekcje Heparin sodium 208 UI/ml
Injekcje Co-trimoxazole 3.2/0.64 & 80/16 mg/ml
Glukoza 5% 4254
Zgodny
Injekcje Heparin sodium 1 UI/ml
Injekcje Cyanocobalamine 0.1 mg/ml
Roztwór Ringera z mleczanem sodowym 1228
Zgodny
Injekcje Heparin sodium 1 UI/ml
Injekcje Cyanocobalamine 0.1 mg/ml
Glukoza 5% 1228
Zgodny
Injekcje Heparin sodium 1 UI/ml
Injekcje Cyanocobalamine 0.1 mg/ml
Chlorek sodu 0,9% 1228
Nieokreślona niezgodność Niekompatybilny
Injekcje Heparin sodium
Injekcje Cytarabine
3540
Nieokreślona niezgodność Niekompatybilny
Injekcje Heparin sodium
Injekcje Cytarabine
3580
Nieokreślona niezgodność Niekompatybilny
Injekcje Heparin sodium
Injekcje Dacarbazine
3605
Natychmiastowe opady Niekompatybilny
Injekcje Heparin sodium 100 UI/ml
Injekcje Dacarbazine 25 mg/ml
Chlorek sodu 0,9% 860
Nieokreślona niezgodność Niekompatybilny
Injekcje Heparin sodium
Injekcje Dacarbazine
3267
Nieokreślona niezgodność Niekompatybilny
Injekcje Heparin sodium
Injekcje Dacarbazine
3540
Zgodny
Injekcje Heparin sodium
Injekcje Daptomycin
2271
Zgodny
Injekcje Heparin sodium 98 UI/ml
Injekcje Daptomycin 19,6 mg/ml
Chlorek sodu 0,9% 1937
Natychmiastowe opady Niekompatybilny
Injekcje Heparin sodium
Injekcje Daunorubicin hydrochloride
3604
Nieokreślona niezgodność Niekompatybilny
Injekcje Heparin sodium
Injekcje Daunorubicin hydrochloride
3540
Natychmiastowe opady Niekompatybilny
Injekcje Heparin sodium
Injekcje Daunorubicin hydrochloride liposome
3577
Natychmiastowe zmętnienie Niekompatybilny
Injekcje Heparin sodium
Injekcje Daunorubicin/cytarabine liposomale 0,4 mg/mL
Chlorek sodu 0,9% 4654
Zgodny
Injekcje Heparin sodium 373 UI/ml
Injekcje Defibrotide 8 mg/ml
Chlorek sodu 0,9% 3728
Zgodny
Injekcje Heparin sodium 50 UI/ml
Injekcje Dexamethasone sodium phosphate 0.08 mg/ml
Żaden 317
Zgodny
Injekcje Heparin sodium
Injekcje Dexketoprofen
4981
Zgodny
Injekcje Heparin sodium 100 UI/ml
Injekcje Dexmedetomidine 4 µg/ml
Chlorek sodu 0,9% 1712
Zgodny
Injekcje Heparin sodium 10000 UI/ml
Injekcje Diatrizoate meglumine 283 mg/ml
Żaden 1085
Nieokreślona niezgodność Niekompatybilny
Injekcje Heparin sodium
Injekcje Diazepam
3540
Zgodny
Injekcje Heparin sodium 100 UI/ml
Injekcje Diltiazem hydrochloride 1 mg/ml
314
Natychmiastowe opady Niekompatybilny
Injekcje Heparin sodium 20000 UI/ml
Injekcje Diltiazem hydrochloride 5 mg/ml
Chlorek sodu 0,9% 198
Zgodny
Injekcje Heparin sodium 100 UI/ml
Injekcje Diltiazem hydrochloride 1 mg/ml
Glukoza 5% 4556
Natychmiastowe zmętnienie Niekompatybilny
Injekcje Heparin sodium 100 UI/ml
Injekcje Diltiazem hydrochloride 5 mg/ml
Glukoza 5% 4556
Zgodny
Injekcje Heparin sodium 20000 UI/ml
Injekcje Diltiazem hydrochloride 1 mg/ml
Chlorek sodu 0,9% 198
Zgodny
Injekcje Heparin sodium
Injekcje Diltiazem hydrochloride
5090
Zgodny
Injekcje Heparin sodium 80 >> 10000 UI/ml
Injekcje Diltiazem hydrochloride 1 & 5 mg/ml
Chlorek sodu 0,9% 198
Natychmiastowe opady Niekompatybilny
Injekcje Heparin sodium
Injekcje Dimenhydrinate
2087
Zgodny
Injekcje Heparin sodium 1 UI/ml
Injekcje Diphenhydramine hydrochloride 50 mg/ml
Chlorek sodu 0,9% 1228
Zgodny
Injekcje Heparin sodium 1 UI/ml
Injekcje Diphenhydramine hydrochloride 50 mg/ml
Glukoza 5% 1228
Zgodny
Injekcje Heparin sodium 1 UI/ml
Injekcje Diphenhydramine hydrochloride 50 mg/ml
Roztwór Ringera z mleczanem sodowym 1228
Opady po 4 godzinach Niekompatybilny
Injekcje Heparin sodium 100 UI/ml
Injekcje Dobutamine hydrochloride 4 mg/ml
314
Zgodny
Injekcje Heparin sodium 40 UI/ml
Injekcje Dobutamine hydrochloride 1 mg/ml
Chlorek sodu 0,9% 1058
Zgodny
Injekcje Heparin sodium 100 UI/ml
Injekcje Dobutamine hydrochloride 2 mg/ml
Glukoza 5% 1041
Natychmiastowe opady Niekompatybilny
Injekcje Heparin sodium 100 UI/ml
Injekcje Dobutamine hydrochloride 2 mg/ml
Glukoza 5% 1352
Natychmiastowe zmętnienie Niekompatybilny
Injekcje Heparin sodium 100 UI/ml
Injekcje Dobutamine hydrochloride 4 mg/ml
Glukoza 5% 295
Natychmiastowe opady Niekompatybilny
Injekcje Heparin sodium
Injekcje Dobutamine hydrochloride
3540
Zmiana koloru po 6 godzinach Niekompatybilny
Injekcje Heparin sodium 10000 UI/ml
Injekcje Dobutamine hydrochloride 2 mg/ml
Glukoza 5% 1041
Zgodny
Injekcje Heparin sodium 40 UI/ml
Injekcje Dobutamine hydrochloride 1 mg/ml
Glukoza 5% 1058
Zgodny
Injekcje Heparin sodium 50 UI/ml
Injekcje Dobutamine hydrochloride 1 mg/ml
Żaden 317
Zgodny
Injekcje Heparin sodium 100 UI/ml
Injekcje Docetaxel 0.9 mg/ml
Glukoza 5% 1754
Zgodny
Injekcje Heparin sodium 1 UI/ml
Injekcje Dopamine hydrochloride 40 mg/ml
Chlorek sodu 0,9% 1228
Zgodny
Injekcje Heparin sodium 50 UI/ml
Injekcje Dopamine hydrochloride 1.6 mg/ml
Żaden 317
Zgodny
Injekcje Heparin sodium 100 UI/ml
Injekcje Dopamine hydrochloride 3.2 mg/ml
314
Zgodny
Injekcje Heparin sodium 1 UI/ml
Injekcje Dopamine hydrochloride 40 mg/ml
Roztwór Ringera z mleczanem sodowym 1228
Zgodny
Injekcje Heparin sodium 200 UI/ml
Injekcje Dopamine hydrochloride 0.8 mg/ml
Glukoza 5% 738
Zgodny
Injekcje Heparin sodium 1 UI/ml
Injekcje Dopamine hydrochloride 40 mg/ml
Glukoza 5% 1228
Zgodny
Injekcje Heparin sodium 100 UI/ml
Injekcje Dopamine hydrochloride 3,2 mg/ml
4389
Nieokreślona niezgodność Niekompatybilny
Injekcje Heparin sodium 187 UI/ml
Injekcje Dopamine hydrochloride 1,7 >> 3,4 mg/ml
Glukoza 5% 377
Zgodny
Injekcje Heparin sodium 100 UI/ml
Injekcje Doripenem 5 mg/ml
Chlorek sodu 0,9% 2262
Zgodny
Injekcje Heparin sodium 100 UI/ml
Injekcje Doripenem 5 mg/ml
Glukoza 5% 2262
Zgodny
Injekcje Heparin sodium 1 UI/ml
Injekcje Doxapram hydrochloride 2 mg/ml
Glukoza 5% 1802
Nieokreślona niezgodność Niekompatybilny
Injekcje Heparin sodium
Injekcje Doxorubicin hydrochloride
3540
Natychmiastowe opady Niekompatybilny
Injekcje Heparin sodium
Injekcje Doxorubicin hydrochloride
3645
Natychmiastowe opady Niekompatybilny
Injekcje Heparin sodium 1000 UI/ml
Injekcje Doxorubicin hydrochloride 2 mg/ml
763
Zgodny
Injekcje Heparin sodium 1000 UI/ml
Injekcje Doxorubicin hydrochloride liposome peg 0.4 mg/ml
Glukoza 5% 251
Nieokreślona niezgodność Niekompatybilny
Injekcje Heparin sodium 50 UI/ml
Injekcje Doxycycline hyclate 1 mg/ml
Żaden 317
Natychmiastowe opady Niekompatybilny
Injekcje Heparin sodium 1000 UI/ml
Injekcje Droperidol 2,5 mg/ml
763
Zgodny
Injekcje Heparin sodium 1 UI/ml
Injekcje Droperidol 1.25 mg/ml
Chlorek sodu 0,9% 1228
Zgodny
Injekcje Heparin sodium 1 UI/ml
Injekcje Droperidol 1.25 mg/ml
Roztwór Ringera z mleczanem sodowym 1228
Zgodny
Injekcje Heparin sodium 1 UI/ml
Injekcje Droperidol 1.25 mg/ml
Glukoza 5% 1228
Nieokreślona niezgodność Niekompatybilny
Injekcje Heparin sodium
Injekcje Droperidol
3540
Zgodny
Injekcje Heparin sodium 45,45 UI/ml
Injekcje Enalaprilate 0,011 mg/ml
Glukoza 5% 963
Zgodny
Injekcje Heparin sodium 40 UI/ml
Injekcje Enalaprilate 0.05 mg/ml
Chlorek sodu 0,9% 1315
Zgodny
Injekcje Heparin sodium 50 UI/ml
Injekcje Enalaprilate 0.0125 mg/ml
Chlorek sodu 0,9% 1703
Zgodny
Injekcje Heparin sodium 1 UI/ml
Injekcje Epinephrine hydrochloride 100 µg/ml
Roztwór Ringera z mleczanem sodowym 1228
Zgodny
Injekcje Heparin sodium 100 UI/ml
Injekcje Epinephrine hydrochloride 20 µg/ml
314
Zgodny
Injekcje Heparin sodium 1 UI/ml
Injekcje Epinephrine hydrochloride 100 µg/ml
Chlorek sodu 0,9% 1228
Zgodny
Injekcje Heparin sodium 1 UI/ml
Injekcje Epinephrine hydrochloride 100 µg/ml
Glukoza 5% 1228
Nieokreślona niezgodność Niekompatybilny
Injekcje Heparin sodium
Injekcje Epirubicin hydrochloride
3632
Zgodny
Injekcje Heparin sodium
Injekcje Eptifibatide
3934
Zgodny
Injekcje Heparin sodium 1000 UI/ml
Injekcje Eravacycline 0,6 mg/ml
Chlorek sodu 0,9% 4434
Natychmiastowe zmętnienie Niekompatybilny
Injekcje Heparin sodium 1 UI/ml
Injekcje Ergotamine tartrate 0.5 mg/ml
Chlorek sodu 0,9% 1228
Opady po 4 godzinach Niekompatybilny
Injekcje Heparin sodium 1 UI/ml
Injekcje Ergotamine tartrate 0.5 mg/ml
Roztwór Ringera z mleczanem sodowym 1228
Opady po 4 godzinach Niekompatybilny
Injekcje Heparin sodium 1 UI/ml
Injekcje Ergotamine tartrate 0.5 mg/ml
Glukoza 5% 1228
Zgodny
Injekcje Heparin sodium 50 & 100 UI/ml
Injekcje Ertapenem 10 & 20 mg/ml
Chlorek sodu 0,9% 1906
Zgodny
Injekcje Heparin sodium 50 UI/ml
Injekcje Erythromycin lactobionate 3.3 mg/ml
Żaden 317
Nieokreślona niezgodność Niekompatybilny
Injekcje Heparin sodium
Injekcje Erythromycin lactobionate
3674
Nieokreślona niezgodność Niekompatybilny
Injekcje Heparin sodium
Injekcje Erythromycin lactobionate
3540
Zgodny
Injekcje Heparin sodium 50 UI/ml
Injekcje Esmolol hydrochloride 6 mg/ml
Glukoza 5% 174
Zgodny
Injekcje Heparin sodium 40 UI/ml
Injekcje Esmolol hydrochloride 10 mg/ml
Glukoza 5% 384
Zgodny
Injekcje Heparin sodium 500 UI/ml
Injekcje Esmolol hydrochloride 10 mg/ml
Chlorek sodu 0,9% 3823
Natychmiastowe opady Niekompatybilny
Injekcje Heparin sodium 1000 UI/ml
Injekcje Ethanol 70 %
Woda do wstrzyknięć + bakteriostatyk 2221
Natychmiastowe opady Niekompatybilny
Injekcje Heparin sodium 1000 UI/ml
Injekcje Ethanol 70 %
Woda do wstrzyknięć 2221
Opady po 1 godzinie Niekompatybilny
Injekcje Heparin sodium 10 UI/ml
Injekcje Ethanol 70 %
Woda do wstrzyknięć + bakteriostatyk 2221
Natychmiastowe opady Niekompatybilny
Injekcje Heparin sodium 10 UI/ml
Injekcje Ethanol 70 %
Woda do wstrzyknięć 2221
Zgodny
Injekcje Heparin sodium 100 UI/ml
Injekcje Etoposide phosphate 5 mg/ml
Glukoza 5% 1410
Zgodny
Injekcje Heparin sodium 40 UI/ml
Injekcje Famotidine
Glukoza 5% 397
Zgodny
Injekcje Heparin sodium 50 UI/ml
Injekcje Famotidine 0.2 mg/ml
Glukoza 5% 398
Zgodny
Injekcje Heparin sodium 40 UI/ml
Injekcje Famotidine 2 mg/ml
Chlorek sodu 0,9% 215
Zgodny
Injekcje Heparin sodium 100 UI/ml
Injekcje Fenoldopam mesylate 80 µg/ml
Chlorek sodu 0,9% 1803
Zgodny
Injekcje Heparin sodium 100 UI/ml
Injekcje Fentanyl citrate 50 µg/ml
4389
Zgodny
Injekcje Heparin sodium 1 UI/ml
Injekcje Fentanyl citrate 50 µg/ml
Glukoza 5% 1228
Zgodny
Injekcje Heparin sodium 1 UI/ml
Injekcje Fentanyl citrate 50 µg/ml
Roztwór Ringera z mleczanem sodowym 1228
Zgodny
Injekcje Heparin sodium 1 UI/ml
Injekcje Fentanyl citrate 50 µg/ml
Chlorek sodu 0,9% 1228
Zgodny
Injekcje Heparin sodium 100 UI/ml
Injekcje Fentanyl citrate 50 µg/ml
314
Natychmiastowe opady Niekompatybilny
Injekcje Heparin sodium 100 UI/ml
Injekcje Filgrastim 30 µg/ml
Glukoza 5% 244
Zgodny
Injekcje Heparin sodium 1000 UI/ml
Injekcje Fluconazole 2 mg/ml
Chlorek sodu 0,9% 496
Zgodny
Injekcje Heparin sodium 50 UI/ml
Injekcje Fluconazole 2 mg/ml
Żaden 317
Zgodny
Injekcje Heparin sodium 40 >> 1000 UI/ml
Injekcje Fludarabine phosphate 1 mg/ml
Glukoza 5% 492
Zgodny
Injekcje Heparin sodium 50 UI/ml
Injekcje Flumazenil 0,02 mg/ml
Glukoza 5% 187
Zgodny
Injekcje Heparin sodium 5 UI/ml
Injekcje Fluorouracil 0,8 mg/ml
Chlorek sodu 0,9% 156
Zgodny
Injekcje Heparin sodium 5 UI/ml
Injekcje Fluorouracil 0,8 mg/ml
Glukoza 5% 156
Zgodny
Injekcje Heparin sodium 1 UI/ml
Injekcje Fluorouracil 50 mg/ml
Chlorek sodu 0,9% 1228
Zgodny
Injekcje Heparin sodium 960 UI/ml
Injekcje Fluorouracil 24 mg/ml
Glukoza 5% 163
Zgodny
Injekcje Heparin sodium 1 UI/ml
Injekcje Fluorouracil 50 mg/ml
Glukoza 5% 1228
Zgodny
Injekcje Heparin sodium 1000 UI/ml
Injekcje Fluorouracil 50 mg/ml
763
Zgodny
Injekcje Heparin sodium 1 UI/ml
Injekcje Fluorouracil 50 mg/ml
Roztwór Ringera z mleczanem sodowym 1228
Zgodny
Injekcje Heparin sodium 1000 UI/ml
Injekcje Folinate calcium 10 mg/ml
763
Zgodny
Injekcje Heparin sodium 100 UI/ml
Injekcje Foscarnet sodium 24 mg/ml
Glukoza 5% 1135
Zgodny
Injekcje Heparin sodium 100 UI/ml
Injekcje Foscarnet sodium 24 mg/ml
Chlorek sodu 0,9% 1135
Zgodny
Injekcje Heparin sodium 1000 UI/ml
Injekcje Foscarnet sodium 24 mg/ml
Żaden 73
Zgodny
Injekcje Heparin sodium 1000 UI/ml
Injekcje Fosfomycin 30 mg/ml
Glukoza 5% 4055
Zgodny
Injekcje Heparin sodium 1000 UI/ml
Injekcje Fosfomycin 30 mg/ml
Chlorek sodu 0,9% 4055
Zgodny
Injekcje Heparin sodium 100 UI/ml
Injekcje Furosemide 10 mg/ml
314
Zgodny
Injekcje Heparin sodium 1 UI/ml
Injekcje Furosemide 10 mg/ml
Chlorek sodu 0,9% 1228
Opady po 5 godzinach Niekompatybilny
Injekcje Heparin sodium 100 UI/ml
Injekcje Furosemide 10 mg/ml
Glukoza 5% 4724
Zgodny
Injekcje Heparin sodium 20 UI/ml
Injekcje Furosemide 1 mg/ml
Chlorek sodu 0,9% 1232
Zgodny
Injekcje Heparin sodium 58,34 UI/ml
Injekcje Furosemide 5,21 mg/ml
Glukoza 5% 1289
Zgodny
Injekcje Heparin sodium
Injekcje Furosemide
3465
Zgodny
Injekcje Heparin sodium 1 UI/ml
Injekcje Furosemide 10 mg/ml
Roztwór Ringera z mleczanem sodowym 1228
Zgodny
Injekcje Heparin sodium 1000 UI/ml
Injekcje Furosemide 10 mg/ml
763
Zgodny
Injekcje Heparin sodium 10 UI/ml
Injekcje Furosemide 10 mg/ml
Żaden 3210
Zgodny
Injekcje Heparin sodium 500 UI/ml
Injekcje Furosemide 10 mg/ml
Chlorek sodu 0,9% 3823
Zgodny
Injekcje Heparin sodium 500 UI/ml
Injekcje Furosemide 10 mg/ml
Żaden 3134
Zgodny
Injekcje Heparin sodium 1 UI/ml
Injekcje Furosemide 10 mg/ml
Glukoza 5% 1228
Zgodny
Injekcje Heparin sodium 40 UI/ml
Injekcje Gallium nitrate 1 mg/ml
Chlorek sodu 0,9% 91
Zgodny
Injekcje Heparin sodium 100 UI/ml
Injekcje Gemcitabine hydrochloride 10 mg/ml
Chlorek sodu 0,9% 1423
Natychmiastowe zmętnienie Niekompatybilny
Injekcje Heparin sodium 2500 UI/ml
Injekcje Gentamicin sulfate 3 mg/ml
4612
Nieokreślona niezgodność Niekompatybilny
Injekcje Heparin sodium
Injekcje Gentamicin sulfate
3520
Nieokreślona niezgodność Niekompatybilny
Injekcje Heparin sodium
Injekcje Gentamicin sulfate
3643
Natychmiastowe opady Niekompatybilny
Injekcje Heparin sodium
Injekcje Gentamicin sulfate
1022
Nieokreślona niezgodność Niekompatybilny
Injekcje Heparin sodium 50 UI/ml
Injekcje Gentamicin sulfate 2 mg/ml
Żaden 317
Natychmiastowe opady Niekompatybilny
Injekcje Heparin sodium 10 >> 40 UI/ml
Injekcje Gentamicin sulfate 4 >> 40 mg/ml
1258
Natychmiastowe opady Niekompatybilny
Injekcje Heparin sodium 2500 UI/ml
Injekcje Gentamicin sulfate 4 & 5 mg/ml
4612
Nieokreślona niezgodność Niekompatybilny
Injekcje Heparin sodium
Injekcje Gentamicin sulfate
3540
Zgodny
Injekcje Heparin sodium 2500 UI/ml
Injekcje Gentamicin sulfate 1 & 2 mg/ml
4612
Zgodny
Injekcje Heparin sodium 50 UI/ml
Injekcje Glycerophosphate disodium
Chlorek sodu 0,9% 4332
Zgodny
Injekcje Heparin sodium 100 UI/ml
Injekcje Granisetron hydrochloride 0.05 mg/ml
Glukoza 5% 182
Natychmiastowe opady Niekompatybilny
Injekcje Heparin sodium 100 & 200 UI/ml
Injekcje Haloperidol lactate 5 mg/ml
Glukoza 5% 617
Natychmiastowe opady Niekompatybilny
Injekcje Heparin sodium 100 & 200 UI/ml
Injekcje Haloperidol lactate 5 mg/ml
Chlorek sodu 0,9% 617
Zgodny
Injekcje Heparin sodium 500 UI/ml
Injekcje Haloperidol lactate 0.5 mg/ml
Chlorek sodu 0,9% 3823
Nieokreślona niezgodność Niekompatybilny
Injekcje Heparin sodium
Injekcje Haloperidol lactate
3540
Zgodny
Injekcje Heparin sodium 100 UI/ml
Injekcje Hetastarch 60 mg/ml
danego rozpuszczalnika 1721
Nieokreślona niezgodność Niekompatybilny
Injekcje Heparin sodium
Injekcje Hyaluronidase
3617
Nieokreślona niezgodność Niekompatybilny
Injekcje Heparin sodium
Injekcje Hyaluronidase
3184
Nieokreślona niezgodność Niekompatybilny
Injekcje Heparin sodium
Injekcje Hyaluronidase
3540
Zgodny
Injekcje Heparin sodium 1 UI/ml
Injekcje Hydralazine hydrochloride 20 mg/ml
Glukoza 5% 1228
Zgodny
Injekcje Heparin sodium 1 UI/ml
Injekcje Hydralazine hydrochloride 20 mg/ml
Roztwór Ringera z mleczanem sodowym 1228
Zgodny
Injekcje Heparin sodium 1 UI/ml
Injekcje Hydralazine hydrochloride 20 mg/ml
Chlorek sodu 0,9% 1228
Zgodny
Injekcje Heparin sodium 100 UI/ml
Injekcje Hydrocortisone sodium succinate 125 mg/ml
Chlorek sodu 0,9% 132
Nieokreślona niezgodność Niekompatybilny
Injekcje Heparin sodium
Injekcje Hydrocortisone sodium succinate
3540
Zgodny
Injekcje Heparin sodium 50 UI/ml
Injekcje Hydrocortisone sodium succinate 2 mg/ml
Żaden 317
Zgodny
Injekcje Heparin sodium 100 UI/ml
Injekcje Hydrocortisone sodium succinate 125 mg/ml
Glukoza 5% 132
Zgodny
Injekcje Heparin sodium
Injekcje Hydromorphone hydrochloride <12.5 mg/ml
Chlorek sodu 0,9% 66
Zgodny
Injekcje Heparin sodium 100 UI/ml
Injekcje Hydromorphone hydrochloride 1 mg/ml
314
Natychmiastowe opady Niekompatybilny
Injekcje Heparin sodium <12,5 UI/ml
Injekcje Hydromorphone hydrochloride >25 mg/ml
Chlorek sodu 0,9% 66
Zgodny
Injekcje Heparin sodium
Injekcje Hydromorphone hydrochloride <12.5 mg/ml
Woda do wstrzyknięć 66
Natychmiastowe opady Niekompatybilny
Injekcje Heparin sodium <1 UI/ml
Injekcje Hydromorphone hydrochloride >10 mg/ml
Woda do wstrzyknięć 66
Natychmiastowe opady Niekompatybilny
Injekcje Heparin sodium <12,5 UI/ml
Injekcje Hydromorphone hydrochloride >25 mg/ml
Woda do wstrzyknięć 66
Zgodny
Injekcje Heparin sodium 100 UI/ml
Injekcje Ibuprofen lysinate 10 mg/ml
Woda do wstrzyknięć 4419
Zgodny
Injekcje Heparin sodium 10 UI/ml
Injekcje Ibuprofen lysinate 10 mg/ml
Woda do wstrzyknięć 4419
Natychmiastowe zmętnienie Niekompatybilny
Injekcje Heparin sodium 100 & 1000 UI/ml
Injekcje Idarubicin hydrochloride 1 mg/ml
Chlorek sodu 0,9% 491
Natychmiastowe opady Niekompatybilny
Injekcje Heparin sodium
Injekcje Idarubicin hydrochloride
5075
Zgodny
Injekcje Heparin sodium
Injekcje Imipenem-Cilastatin / Relebactam
4809
Zgodny
Injekcje Heparin sodium 1000 UI/ml
Injekcje Imipenem-Cilastatin / Relebactam 5 mg/ml
Chlorek sodu 0,9% 4433
Zgodny
Injekcje Heparin sodium 1000 UI/ml
Injekcje Imipenem-Cilastatin / Relebactam 5 mg/ml
Glukoza 5% 4433
Zgodny
Injekcje Heparin sodium 500 UI/ml
Injekcje Insulin 2 UI/ml
Chlorek sodu 0,9% 3823
Zgodny
Injekcje Heparin sodium 60 UI/ml
Injekcje Insulin 0.2 UI/ml
Chlorek sodu 0,9% 129
Zgodny
Injekcje Heparin sodium 50 & 400 UI/ml
Injekcje Insulin aspart 1 UI/ml
Glukoza 5% 1508
Zgodny
Injekcje Heparin sodium 50 & 400 UI/ml
Injekcje Insulin aspart 1 UI/ml
Chlorek sodu 0,9% 1508
Zgodny
Injekcje Heparin sodium 10000 UI/ml
Injekcje Iohexol 300 mg I/ml
Żaden 1085
Zgodny
Injekcje Heparin sodium 10000 UI/ml
Injekcje Ioxaglate 320 mg I/ml
Żaden 1085
Natychmiastowe zmętnienie Niekompatybilny
Injekcje Heparin sodium 1000 UI/ml
Injekcje Isavuconazonium sulfate 1.5 mg/ml
Chlorek sodu 0,9% 3829
Natychmiastowe zmętnienie Niekompatybilny
Injekcje Heparin sodium 1000 UI/ml
Injekcje Isavuconazonium sulfate 1.5 mg/ml
Glukoza 5% 3829
Zgodny
Injekcje Heparin sodium 1 UI/ml
Injekcje Isoprenaline hydrochloride 0.2 mg/ml
Glukoza 5% 1228
Zgodny
Injekcje Heparin sodium 1 UI/ml
Injekcje Isoprenaline hydrochloride 0.2 mg/ml
Chlorek sodu 0,9% 1228
Zgodny
Injekcje Heparin sodium 1 UI/ml
Injekcje Isoprenaline hydrochloride 0.2 mg/ml
Roztwór Ringera z mleczanem sodowym 1228
Nieokreślona niezgodność Niekompatybilny
Injekcje Heparin sodium
Injekcje Kanamycin sulfate
3540
Natychmiastowe opady Niekompatybilny
Injekcje Heparin sodium 25000 UI/ml
Injekcje Ketamine hydrochloride 50 mg/ml
2109
Zgodny
Injekcje Heparin sodium 100 UI/ml
Injekcje Labetalol hydrochloride 2 mg/ml
314
Nieokreślona niezgodność Niekompatybilny
Injekcje Heparin sodium 500 UI/ml
Injekcje Labetalol hydrochloride 4 mg/ml
Chlorek sodu 0,9% 3823
Nieokreślona niezgodność Niekompatybilny
Injekcje Heparin sodium
Injekcje Labetalol hydrochloride
3540
Natychmiastowe opady Niekompatybilny
Injekcje Heparin sodium 100 UI/ml
Injekcje Labetalol hydrochloride 5 mg/ml
Glukoza 5% 295
Zgodny
Injekcje Heparin sodium 40 UI/ml
Injekcje Labetalol hydrochloride 1 mg/ml
Glukoza 5% 386
Zgodny
Injekcje Heparin sodium 100 UI/ml
Injekcje Lansoprazole 0.55 mg/ml
Chlorek sodu 0,9% 1625
Zmętnienie w 4 godziny Niekompatybilny
Injekcje Heparin sodium 100 UI/ml
Injekcje Levetiracetam 100 mg/ml
Glukoza 5% 4108
Natychmiastowe zmętnienie Niekompatybilny
Injekcje Heparin sodium 208,3 UI/ml
Injekcje Levetiracetam 15 mg/ml
Chlorek sodu 0,9% 4698
Nieokreślona niezgodność Niekompatybilny
Injekcje Heparin sodium
Injekcje Levofloxacine
3920
Natychmiastowe opady Niekompatybilny
Injekcje Heparin sodium 10 UI/ml
Injekcje Levofloxacine 5 mg/ml
Glukoza 5% 1072
Nieokreślona niezgodność Niekompatybilny
Injekcje Heparin sodium
Injekcje Levomepromazine
3540
Zgodny
Injekcje Heparin sodium 100 UI/ml
Injekcje Levosimendan 2,5 mg/ml
Glukoza 5% 4389
Zgodny
Injekcje Heparin sodium 50 UI/ml
Injekcje Lidocaine hydrochloride 4 mg/ml
Żaden 317
Zgodny
Injekcje Heparin sodium 1000 UI/ml
Injekcje Linezolid 2 mg/ml
Żaden 1925
Zgodny
Injekcje Heparin sodium 10 >> 10000 UI/ml
Injekcje Linezolid 0.2 >> 1.92 mg/ml
Chlorek sodu 0,9% 2057
Zgodny
Injekcje Heparin sodium 417 UI/ml
Injekcje Lorazepam 0.33 mg/ml
Chlorek sodu 0,9% 186
Zgodny
Injekcje Heparin sodium 100 UI/ml
Injekcje Lorazepam 0.5 mg/ml
314
Zgodny
Injekcje Heparin sodium 1 UI/ml
Injekcje Magnesium sulfate 5 mg/ml
Chlorek sodu 0,9% 1228
Zgodny
Injekcje Heparin sodium 50 UI/ml
Injekcje Magnesium sulfate 15.6 mg/ml
Chlorek sodu 0,9% 2100
Zgodny
Injekcje Heparin sodium 1 UI/ml
Injekcje Magnesium sulfate 5 mg/ml
Roztwór Ringera z mleczanem sodowym 1228
Zgodny
Injekcje Heparin sodium 1 UI/ml
Injekcje Magnesium sulfate 5 mg/ml
Glukoza 5% 1228
Zgodny
Injekcje Heparin sodium 100 UI/ml
Injekcje Melphalan 0.1 mg/ml
Chlorek sodu 0,9% 169
Zgodny
Injekcje Heparin sodium 0.5 UI/ml
Injekcje Meropenem 0.5 mg/ml
Dianéal® 4.25% glucose (Baxter) 4180
Zgodny
Injekcje Heparin sodium 0.5 UI/ml
Injekcje Meropenem 0.5 mg/ml
Extraneal® (Baxter) 4180
Zgodny
Injekcje Heparin sodium 1000 UI/ml
Injekcje Meropenem 50 mg/ml
Woda do wstrzyknięć 4319
Zgodny
Injekcje Heparin sodium 1 UI/ml
Injekcje Meropenem 1 & 50 mg/ml
Chlorek sodu 0,9% 266
Zgodny
Injekcje Heparin sodium 0.5 UI/ml
Injekcje Meropenem 0.5 mg/ml
Dianéal® 1.5% glucose (Baxter) 4180
Zgodny
Injekcje Heparin sodium 20 UI/ml
Injekcje Meropenem 1 & 20 mg/ml
Chlorek sodu 0,9% 266
Zgodny
Injekcje Heparin sodium 0.5 UI/ml
Injekcje Meropenem 0.5 mg/ml
Dianéal® 2.5% glucose (Baxter) 4180
Zgodny
Injekcje Heparin sodium 50 UI/ml
Injekcje Methadone hydrochloride 0.2 mg/ml
Glukoza 5% 1506
Zgodny
Injekcje Heparin sodium 50 UI/ml
Injekcje Methadone hydrochloride 0.2 mg/ml
Chlorek sodu 0,9% 1506
Nieokreślona niezgodność Niekompatybilny
Injekcje Heparin sodium
Injekcje Methotrexate sodium
3637
Zgodny
Injekcje Heparin sodium 1000 UI/ml
Injekcje Methotrexate sodium 25 mg/ml
763
Zgodny
Injekcje Heparin sodium 500 UI/ml
Injekcje Methotrexate sodium 30 mg/ml
Chlorek sodu 0,9% 150
Zgodny
Injekcje Heparin sodium 100 UI/ml
Injekcje Methylprednisolone sodium succinate 5 mg/ml
Glukoza 5% 132
Zgodny
Injekcje Heparin sodium 50 UI/ml
Injekcje Methylprednisolone sodium succinate 2.5 mg/ml
Żaden 317
Zgodny
Injekcje Heparin sodium 100 UI/ml
Injekcje Methylprednisolone sodium succinate 5 mg/ml
Chlorek sodu 0,9% 132
Zgodny
Injekcje Heparin sodium 1000 UI/ml
Injekcje Metoclopramide hydrochloride 5 mg/ml
763
Niestabilność chemiczna Niekompatybilny
Injekcje Heparin sodium 1000 UI/ml
Injekcje Metoprolol tartrate 1 mg/ml
Żaden 2346
Zgodny
Injekcje Heparin sodium 50 UI/ml
Injekcje Metronidazole 5 mg/ml
Żaden 317
Zgodny
Injekcje Heparin sodium 100 UI/ml
Injekcje Micafungin 1.5 mg/ml
Chlorek sodu 0,9% 2108
Natychmiastowe zmętnienie Niekompatybilny
Injekcje Heparin sodium 208,3 UI/ml
Injekcje Midazolam hydrochloride 1 mg/ml
Chlorek sodu 0,9% 4698
Zgodny
Injekcje Heparin sodium 500 UI/ml
Injekcje Midazolam hydrochloride 2.1 mg/ml
Chlorek sodu 0,9% 3823
Zgodny
Injekcje Heparin sodium 417 UI/ml
Injekcje Midazolam hydrochloride 5 mg/ml
Żaden 186
Zgodny
Injekcje Heparin sodium 100 UI/ml
Injekcje Midazolam hydrochloride 5 mg/ml
4389
Zgodny
Injekcje Heparin sodium 100 UI/ml
Injekcje Midazolam hydrochloride 2 mg/ml
314
Zgodny
Injekcje Heparin sodium 200 UI/ml
Injekcje Milrinone lactate 0.8 mg/ml
Glukoza 5% 813
Zgodny
Injekcje Heparin sodium 100 UI/ml
Injekcje Milrinone lactate 0.2 mg/ml
314
Zgodny
Injekcje Heparin sodium 1 UI/ml
Injekcje Minocycline hydrochloride 0.2 mg/ml
Glukoza 5% 1228
Zgodny
Injekcje Heparin sodium 1 UI/ml
Injekcje Minocycline hydrochloride 0.2 mg/ml
Roztwór Ringera z mleczanem sodowym 1228
Zgodny
Injekcje Heparin sodium 1 UI/ml
Injekcje Minocycline hydrochloride 0.2 mg/ml
Chlorek sodu 0,9% 1228
Nieokreślona niezgodność Niekompatybilny
Injekcje Heparin sodium
Injekcje Mitoxantrone dihydrochloride
3640
Nieokreślona niezgodność Niekompatybilny
Injekcje Heparin sodium
Injekcje Morphine hydrochloride
5069
Zgodny
Injekcje Heparin sodium 100 & 200 UI/ml
Injekcje Morphine sulfate 1 >> 5 mg/ml
Woda do wstrzyknięć 341
Zgodny
Injekcje Heparin sodium 1 UI/ml
Injekcje Morphine sulfate 15 mg/ml
Roztwór Ringera z mleczanem sodowym 1228
Nieokreślona niezgodność Niekompatybilny
Injekcje Heparin sodium
Injekcje Morphine sulfate
3531
Zgodny
Injekcje Heparin sodium 1 UI/ml
Injekcje Morphine sulfate 15 mg/ml
Glukoza 5% 1228
Zgodny
Injekcje Heparin sodium 1 UI/ml
Injekcje Morphine sulfate 15 mg/ml
Chlorek sodu 0,9% 1228
Zgodny
Injekcje Heparin sodium 60 UI/ml
Injekcje Morphine sulfate 1 mg/ml
Chlorek sodu 0,9% 406
Zgodny
Injekcje Heparin sodium 100 & 200 UI/ml
Injekcje Morphine sulfate 10 mg/ml
Woda do wstrzyknięć 341
Zgodny
Injekcje Heparin sodium 100 UI/ml
Injekcje Morphine sulfate 2 mg/ml
314
Niestabilność chemiczna Niekompatybilny
Injekcje Heparin sodium 100 & 200 UI/ml
Injekcje Morphine sulfate 1 >> 10 mg/ml
Chlorek sodu 0,9% 341
Zgodny
Injekcje Heparin sodium 1000 UI/ml
Injekcje N-acetylcysteine 200 mg/ml
Żaden 3766
Zgodny
Injekcje Heparin sodium 50 UI/ml
Injekcje Nafcillin sodium 20 mg/ml
Żaden 317
Zgodny
Injekcje Heparin sodium 1000 UI/ml
Injekcje Naloxone hydrochloride 0.4 mg/ml
Żaden 3408
Natychmiastowe zmętnienie Niekompatybilny
Injekcje Heparin sodium 208,3 UI/ml
Injekcje Nefopam 1,7 mg/ml
Chlorek sodu 0,9% 4698
Zgodny
Injekcje Heparin sodium 1 UI/ml
Injekcje Neostigmine methylsulfate 0.5 mg/ml
Glukoza 5% 1228
Zgodny
Injekcje Heparin sodium 1 UI/ml
Injekcje Neostigmine methylsulfate 0.5 mg/ml
Chlorek sodu 0,9% 1228
Zgodny
Injekcje Heparin sodium 1 UI/ml
Injekcje Neostigmine methylsulfate 0.5 mg/ml
Roztwór Ringera z mleczanem sodowym 1228
Nieokreślona niezgodność Niekompatybilny
Injekcje Heparin sodium
Injekcje Nesiritide
5048
Nieokreślona niezgodność Niekompatybilny
Injekcje Heparin sodium
Injekcje Netilmicin sulfate
3540
Natychmiastowe opady Niekompatybilny
Injekcje Heparin sodium
Injekcje Netilmicin sulfate
1022
Natychmiastowe opady Niekompatybilny
Injekcje Heparin sodium 100 UI/ml
Injekcje Nicardipine hydrochloride 1 mg/ml
314
Nieokreślona niezgodność Niekompatybilny
Injekcje Heparin sodium
Injekcje Nicardipine hydrochloride
3540
Zgodny
Injekcje Heparin sodium 40 UI/ml
Injekcje Nicardipine hydrochloride 0.1 mg/ml
Glukoza 5% 1490
Zgodny
Injekcje Heparin sodium 40 UI/ml
Injekcje Nicardipine hydrochloride 0.1 mg/ml
Chlorek sodu 0,9% 1490
Natychmiastowe opady Niekompatybilny
Injekcje Heparin sodium 100 UI/ml
Injekcje Nitroglycerin 1,6 >> 3,25 mg/ml
Glukoza 5% 295
Zgodny
Injekcje Heparin sodium 500 UI/ml
Injekcje Nitroglycerin 0.2 mg/ml
Chlorek sodu 0,9% 3823
Produkcja pęcherzyków gazu Niekompatybilny
Injekcje Heparin sodium 50 UI/ml
Injekcje Nitroglycerin 0.2 mg/ml
Żaden 317
Zgodny
Injekcje Heparin sodium 500 UI/ml
Injekcje Nitroglycerin 0.2 mg/ml
Glukoza 5% 3823
Zgodny
Injekcje Heparin sodium 100 UI/ml
Injekcje Nitroglycerin 0.4 mg/ml
314
Zgodny
Injekcje Heparin sodium 50 UI/ml
Injekcje Nitroprusside sodium 0.2 mg/ml
Żaden 317
Zgodny
Injekcje Heparin sodium 100 UI/ml
Injekcje Nitroprusside sodium 0.2 mg/ml
Glukoza 5% 295
Zgodny
Injekcje Heparin sodium 100 UI/ml
Injekcje Norepinephrine bitartrate 0.128 mg/ml
314
Nieokreślona niezgodność Niekompatybilny
Injekcje Heparin sodium
Injekcje Ofloxacin
3562
Zgodny
Injekcje Heparin sodium 40 UI/ml
Injekcje Ondansetron hydrochloride 1 mg/ml
Chlorek sodu 0,9% 334
Niekompatybilny
Injekcje Heparin sodium 200 UI/ml
Injekcje Ondansetron hydrochloride 1.6 mg/ml
1699
Natychmiastowe zmętnienie Niekompatybilny
Injekcje Heparin sodium 100 UI/ml
Injekcje Oritavancin 0.8 >>1.2 mg/ml
Glukoza 5% 3152
Opady po 4 godzinach Niekompatybilny
Injekcje Heparin sodium 100 UI/ml
Injekcje Oritavancin 2 mg/ml
Glukoza 5% 3152
Zgodny
Injekcje Heparin sodium 208 UI/ml
Injekcje Ornidazole 31.25 mg/ml
Chlorek sodu 0,9% 4254
Zgodny
Injekcje Heparin sodium 1 UI/ml
Injekcje Oxacillin sodium 100 mg/ml
Glukoza 5% 1228
Zgodny
Injekcje Heparin sodium 1 UI/ml
Injekcje Oxacillin sodium 100 mg/ml
Roztwór Ringera z mleczanem sodowym 1228
Zgodny
Injekcje Heparin sodium 1 UI/ml
Injekcje Oxacillin sodium 100 mg/ml
Chlorek sodu 0,9% 1228
Zgodny
Injekcje Heparin sodium 100 UI/ml
Injekcje Oxaliplatin 0,5 mg/ml
Glukoza 5% 1662
Nieokreślona niezgodność Niekompatybilny
Injekcje Heparin sodium
Injekcje Oxytetracycline hydrochloride
3540
Zgodny
Injekcje Heparin sodium 100 UI/ml
Injekcje Paclitaxel 1.2 mg/ml
Glukoza 5% 248
Zgodny
Injekcje Heparin sodium 100 UI/ml
Injekcje Palonosetron hydrochloride 50 µg/ml
Glukoza 5% 2279
Zgodny
Injekcje Heparin sodium 40 UI/ml
Injekcje Pancuronium bromide 0.05 mg/ml
Glukoza 5% 402
Opady po 1 godzinie Niekompatybilny
Injekcje Heparin sodium
Injekcje Pantoprazole sodium
2090
Zgodny
Injekcje Heparin sodium 208,3 UI/ml
Injekcje Paracetamol 10 mg/ml
Chlorek sodu 0,9% 4698
Zgodny
Injekcje Heparin sodium 1000 UI/ml
Injekcje Paracetamol 10 mg/ml
4742
Zgodny
Injekcje Heparin sodium 100 UI/ml
Injekcje Pemetrexed disodium 20 mg/ml
Chlorek sodu 0,9% 1953
Nieokreślona niezgodność Niekompatybilny
Injekcje Heparin sodium
Injekcje Penicillin G potassium
3540
Zgodny
Injekcje Heparin sodium 50 UI/ml
Injekcje Penicillin G potassium 0.04 MUI/ml
Żaden 317
Nieokreślona niezgodność Niekompatybilny
Injekcje Heparin sodium
Injekcje Penicillin G sodium
3540
Zgodny
Injekcje Heparin sodium 100 UI/ml
Injekcje Pentoxifyllin 5 mg/ml
Chlorek sodu 0,9% 4538
Natychmiastowe zmętnienie Niekompatybilny
Injekcje Heparin sodium
Injekcje Pethidine hydrochloride
3525
Zgodny
Injekcje Heparin sodium 60 UI/ml
Injekcje Pethidine hydrochloride 10 mg/ml
Chlorek sodu 0,9% 406
Nieokreślona niezgodność Niekompatybilny
Injekcje Heparin sodium
Injekcje Pethidine hydrochloride
3540
Natychmiastowe opady Niekompatybilny
Injekcje Heparin sodium 50 UI/ml
Injekcje Phenytoin sodium 2 mg/ml
Żaden 317
Zgodny
Injekcje Heparin sodium 50 UI/ml
Injekcje Piperacillin sodium 60 mg/ml
Żaden 317
Zgodny
Injekcje Heparin sodium 10 & 5000 UI/ml
Injekcje Piperacillin sodium 40 mg/ml
Chlorek sodu 0,9% 2037
Zgodny
Injekcje Heparin sodium 0.5 UI/ml
Injekcje Piperacillin sodium / tazobactam 0.5/0.0625 mg/ml
Dianéal® 2.5% glucose (Baxter) 4180
Zgodny
Injekcje Heparin sodium 0.5 UI/ml
Injekcje Piperacillin sodium / tazobactam 0.5/0.0625 mg/ml
Dianéal® 4.25% glucose (Baxter) 4180
Natychmiastowe zmętnienie Niekompatybilny
Injekcje Heparin sodium 1000 UI/ml
Injekcje Plazomicin sulfate 24 mg/ml
Chlorek sodu 0,9% 4145
Nieokreślona niezgodność Niekompatybilny
Injekcje Heparin sodium
Injekcje Polymyxine B
3540
Zgodny
Injekcje Heparin sodium 50 UI/ml
Injekcje Potassium chloride 200 mEq/l
Żaden 317
Zgodny
Injekcje Heparin sodium 1 UI/ml
Injekcje Procainamide hydrochloride 100 mg/ml
Roztwór Ringera z mleczanem sodowym 1228
Zgodny
Injekcje Heparin sodium 1 UI/ml
Injekcje Procainamide hydrochloride 100 mg/ml
Chlorek sodu 0,9% 1228
Zgodny
Injekcje Heparin sodium 1 UI/ml
Injekcje Prochlorperazine edysilate 5 mg/ml
Chlorek sodu 0,9% 1228
Zgodny
Injekcje Heparin sodium 3 >> 20 UI/ml
Odżywianie pozajelitowe (mieszanina binarny) 791
Zgodny
Injekcje Heparin sodium 100 UI/ml
Odżywianie pozajelitowe (mieszanina binarny) 301
Zgodny
Injekcje Heparin sodium 500 UI/ml
Odżywianie pozajelitowe (mieszanina binarny) 939
Zgodny
Injekcje Heparin sodium 1 UI/ml
Injekcje Prochlorperazine edysilate 5 mg/ml
Roztwór Ringera z mleczanem sodowym 1228
Zgodny
Injekcje Heparin sodium 1 UI/ml
Injekcje Promethazine hydrochloride 50 mg/ml
Chlorek sodu 0,9% 1228
Zgodny
Injekcje Heparin sodium 1 UI/ml
Injekcje Promethazine hydrochloride 50 mg/ml
Roztwór Ringera z mleczanem sodowym 1228
Zgodny
Injekcje Heparin sodium 1 UI/ml
Injekcje Propranolol hydrochloride 1 mg/ml
Roztwór Ringera z mleczanem sodowym 1228
Zgodny
Injekcje Heparin sodium 1 UI/ml
Injekcje Propranolol hydrochloride 1 mg/ml
Chlorek sodu 0,9% 1228
Zgodny
Injekcje Heparin sodium 50 UI/ml
Injekcje Ranitidine hydrochloride 0,5 mg/ml
Glukoza 5% 396
Zgodny
Injekcje Heparin sodium 10 & 40 UI/ml
Injekcje Ranitidine hydrochloride 0.05 & 2 mg/ml
Chlorek sodu 0,9% 214
Zgodny
Injekcje Heparin sodium 50 UI/ml
Injekcje Ranitidine hydrochloride 1 mg/ml
Żaden 317
Zgodny
Injekcje Heparin sodium 1000 UI/ml
Injekcje Remdesivir 1 mg/ml
Chlorek sodu 0,9% 4768
Zgodny
Injekcje Heparin sodium 100 UI/ml
Injekcje Remifentanil hydrochloride 25 & 250 µg/ml
Chlorek sodu 0,9% 59
Zgodny
Injekcje Heparin sodium 500 UI/ml
Injekcje Remifentanil hydrochloride 100 µg/ml
Chlorek sodu 0,9% 3823
Zgodny
Injekcje Heparin sodium 500 UI/ml
NaHCO3 150
Zgodny
Injekcje Heparin sodium 1.4 UI/ml
Injekcje Piperacillin sodium / tazobactam 1.38/0.1725 mg/ml
Physionéal® 2.27 (Baxter) 4180
Zgodny
Injekcje Heparin sodium 1.4 UI/ml
Injekcje Piperacillin sodium / tazobactam 1.38/0.1725 mg/ml
Physionéal® 1.36 (Baxter) 4180
Zgodny
Injekcje Heparin sodium 0.5 UI/ml
Injekcje Piperacillin sodium / tazobactam 0.5/0.0625 mg/ml
Dianéal® 1.5% glucose (Baxter) 4180
Zgodny
Injekcje Heparin sodium 1.4 UI/ml
Injekcje Piperacillin sodium / tazobactam 1.38/0.1725 mg/ml
Physionéal® 3.86 (Baxter) 4180
Zgodny
Injekcje Heparin sodium 100 UI/ml
Injekcje Piperacillin sodium / tazobactam 40/5 mg/ml
Glukoza 5% 81
Zgodny
Injekcje Heparin sodium 0.5 UI/ml
Injekcje Piperacillin sodium / tazobactam 0.5/0.0625 mg/ml
Extraneal® (Baxter) 4180
Zgodny
Injekcje Heparin sodium 500 UI/ml
Injekcje Potassium chloride 10 mEq/l
Chlorek sodu 0,9% 3823
Zgodny
Injekcje Heparin sodium 58,34 UI/ml
Injekcje Potassium chloride 1250 mEq/l
Glukoza 5% 1289
Zgodny
Injekcje Heparin sodium
Injekcje Potassium phosphate
3781
Zgodny
Injekcje Heparin sodium 1 UI/ml
Injekcje Procainamide hydrochloride 100 mg/ml
Glukoza 5% 1228
Zgodny
Injekcje Heparin sodium 1 UI/ml
Injekcje Prochlorperazine edysilate 5 mg/ml
Glukoza 5% 1228
Zgodny
Injekcje Heparin sodium 1 UI/ml
Injekcje Promethazine hydrochloride 50 mg/ml
Glukoza 5% 1228
Nieokreślona niezgodność Niekompatybilny
Injekcje Heparin sodium
Injekcje Promethazine hydrochloride
3540
Niestabilność emulsji po 1 godzinie Niekompatybilny
Injekcje Heparin sodium 1000 UI/ml
Injekcje Propofol
660
Zgodny
Injekcje Heparin sodium 100 UI/ml
Injekcje Propofol 10 mg/ml
Żaden 300
Zgodny
Injekcje Heparin sodium 1 UI/ml
Injekcje Propranolol hydrochloride 1 mg/ml
Glukoza 5% 1228
Zgodny
Injekcje Heparin sodium 100 UI/ml
Injekcje Ranitidine hydrochloride 1 mg/ml
314
Zgodny
Injekcje Heparin sodium 10 & 40 UI/ml
Injekcje Ranitidine hydrochloride 0.05 & 2 mg/ml
Glukoza 5% 214
Zgodny
Injekcje Heparin sodium 416.7 UI/ml
Injekcje Remifentanil hydrochloride 120 µg/ml
Glukoza 5% 3294
Zgodny
Injekcje Heparin sodium 416.7 UI/ml
Injekcje Remifentanil hydrochloride 120 µg/ml
Glukoza 5% 3176
Nieokreślona niezgodność Niekompatybilny
Injekcje Heparin sodium
Injekcje Reteplase
2212
Zgodny
Injekcje Heparin sodium 20,458 >> 28,000 UI/ml
Żywienie pozajelitowe (lipidami) 1868
Nieokreślona niezgodność Niekompatybilny
Injekcje Heparin sodium
Injekcje Reteplase
3540
Zgodny
Injekcje Heparin sodium 1000 UI/ml
Injekcje Salbutamol sulfate 1 mg/ml
Żaden 3216
Zgodny
Injekcje Heparin sodium 100 UI/ml
Injekcje Sargramostim 6 §15 µg/ml
Chlorek sodu 0,9% 891
Zgodny
Injekcje Heparin sodium 100 UI/ml
Injekcje Sargramostim 10 µg/ml
Chlorek sodu 0,9% 335
Zgodny
Injekcje Heparin sodium 1 UI/ml
Injekcje Scopolamine hydrobromide 0.86 mg/ml
Chlorek sodu 0,9% 1228
Zgodny
Injekcje Heparin sodium 1 UI/ml
Injekcje Scopolamine hydrobromide 0.86 mg/ml
Roztwór Ringera z mleczanem sodowym 1228
Zgodny
Injekcje Heparin sodium 1 UI/ml
Injekcje Scopolamine hydrobromide 0.86 mg/ml
Glukoza 5% 1228
Zgodny
Injekcje Heparin sodium 100 UI/ml
Injekcje Sildenafil citrate 0,6 mg/ml
Glukoza 5% 4845
Zgodny
Injekcje Heparin sodium 100 UI/ml
Injekcje Sildenafil citrate 0,06 mg/ml
Glukoza 5% 4845
Zgodny
Injekcje Heparin sodium 1 UI/ml
Injekcje Sildenafil citrate 0,4 mg/ml
Glukoza 5% 3923
Zgodny
Injekcje Heparin sodium 2 UI/ml
Injekcje Sildenafil citrate 0,6 mg/ml
Glukoza 5% 4845
Zgodny
Injekcje Heparin sodium
Chlorek sodu 0,9% 3540
Natychmiastowa niestabilność emulsji Niekompatybilny
Injekcje Heparin sodium 100 UI/ml
Żywienie pozajelitowe (lipidami) 132
Natychmiastowe zmętnienie Niekompatybilny
Injekcje Heparin sodium 100 UI/ml
Injekcje Sildenafil citrate 0,6 mg/ml
Glukoza 5% 4845
Zgodny
Injekcje Heparin sodium 500 UI/ml
Injekcje Sodium bicarbonate 84 mg/ml
Chlorek sodu 0,9% 3823
Zgodny
Injekcje Heparin sodium
Injekcje Sodium bicarbonate
3466
Zgodny
Injekcje Heparin sodium 500 UI/ml
Injekcje Sodium bicarbonate 14 mg/ml
Żaden 150
Zgodny
Injekcje Heparin sodium 500 UI/ml
Injekcje Sodium bicarbonate 84 mg/ml
Żaden 3212
Zgodny
Injekcje Heparin sodium 208 UI/ml
Injekcje Spiramycine adipate 0.0625 MUI/ml
Chlorek sodu 0,9% 4254
Zgodny
Injekcje Heparin sodium 100 UI/ml
Injekcje Streptokinase 30000 UI/ml
Glukoza 5% 92
Nieokreślona niezgodność Niekompatybilny
Injekcje Heparin sodium
Injekcje Streptomycin sulfate
3540
Zgodny
Injekcje Heparin sodium 416.7 UI/ml
Injekcje Sufentanil citrate 0.005 mg/ml
Glukoza 5% 3294
Zgodny
Injekcje Heparin sodium 1000 UI/ml
Injekcje Sugammadex 100 mg/ml
Żaden 3372
Zgodny
Injekcje Heparin sodium 10 UI/ml
Injekcje Tacrolimus 1000 µg/ml
Chlorek sodu 0,9% 479
Zgodny
Injekcje Heparin sodium 1000 UI/ml
Roztwór Ringera z mleczanem sodowym 4603
Zgodny
Injekcje Heparin sodium 1000 UI/ml
Injekcje Sulbactam/durlobactam 15/15 mg/ml
Chlorek sodu 0,9% 4801
Zgodny
Injekcje Heparin sodium 1000 UI/ml
Injekcje Tedizolid phosphate 0.8 mg/ml
Chlorek sodu 0,9% 3827
Zgodny
Injekcje Heparin sodium 10 >> 10000 UI/ml
Injekcje Teicoplanine 0.02 >> 10 mg/ml
Chlorek sodu 0,9% 2057
Natychmiastowe zmętnienie Niekompatybilny
Injekcje Heparin sodium 1000 UI/ml
Injekcje Telavancin hydrochloride 7,5 mg/ml
Glukoza 5% 3254
Natychmiastowe zmętnienie Niekompatybilny
Injekcje Heparin sodium 1000 UI/ml
Injekcje Telavancin hydrochloride 7,5 mg/ml
Chlorek sodu 0,9% 3254
Zgodny
Injekcje Heparin sodium 1000 UI/ml
Injekcje Telavancin hydrochloride 7.5 mg/ml
Roztwór Ringera z mleczanem sodowym 3254
Natychmiastowe opady Niekompatybilny
Injekcje Heparin sodium 1000 UI/ml
Injekcje Thiopental sodium 25 mg/ml
Chlorek sodu 0,9% 3767
Natychmiastowa niestabilność emulsji Niekompatybilny
Injekcje Heparin sodium 1 UI/ml
Żywienie pozajelitowe (lipidami) 1391
Zgodny
Injekcje Heparin sodium 100 UI/ml
Injekcje Teniposide 0.1 mg/ml
Glukoza 5% 905
Zgodny
Injekcje Heparin sodium 50 UI/ml
Injekcje Theophylline 4 mg/ml
Żaden 317
Zgodny
Injekcje Heparin sodium 100 UI/ml
Injekcje Thiopental sodium 25 mg/ml
314
Natychmiastowa niestabilność emulsji Niekompatybilny
Injekcje Heparin sodium 100 UI/ml
Żywienie pozajelitowe (lipidami) 1415
Zgodny
Injekcje Heparin sodium 500 UI/ml
Injekcje Thiopental sodium 60 mg/ml
Chlorek sodu 0,9% 3823
Zgodny
Injekcje Heparin sodium 100 UI/ml
Injekcje Thiotepa 1 mg/ml
Glukoza 5% 249
Zgodny
Injekcje Heparin sodium 50 UI/ml
Injekcje Ticarcillin / clavulanic acid 31 mg/ml
Żaden 317
Zgodny
Injekcje Heparin sodium 500 UI/ml
Injekcje Tirofiban 250 µg/ml
Chlorek sodu 0,9% 3823
Zgodny
Injekcje Heparin sodium 40 & 100 UI/ml
Injekcje Tirofiban 50 µg/ml
Chlorek sodu 0,9% 1420
Zgodny
Injekcje Heparin sodium
Glukoza 5% 3540
Zgodny
Injekcje Heparin sodium
Injekcje Tirofiban
1512
Zgodny
Injekcje Heparin sodium 40 & 100 UI/ml
Injekcje Tirofiban 50 µg/ml
Glukoza 5% 1420
Nieokreślona niezgodność Niekompatybilny
Injekcje Heparin sodium 50 UI/ml
Injekcje Tobramycin sulfate 0.8 mg/ml
Żaden 317
Nieokreślona niezgodność Niekompatybilny
Injekcje Heparin sodium
Injekcje Tobramycin sulfate
3540
Zgodny
Injekcje Heparin sodium
Injekcje Tranexamic acid
5016
Nieokreślona niezgodność Niekompatybilny
Injekcje Heparin sodium
Injekcje Triflupromazine hydrochloride
3540
Zgodny
Injekcje Heparin sodium 500 UI/ml
Injekcje Urapidil 5 mg/ml
Chlorek sodu 0,9% 3823
Natychmiastowe opady Niekompatybilny
Injekcje Heparin sodium 0,5 >> 14,3 UI/ml
Injekcje Vancomycin hydrochloride 6,9 >> 14,3 mg/ml
Dianéal® PD1 4.25% Glukoza (Baxter) 2375
Nieokreślona niezgodność Niekompatybilny
Injekcje Heparin sodium
Injekcje Vancomycin hydrochloride
3588
Nieokreślona niezgodność Niekompatybilny
Injekcje Heparin sodium
Injekcje Vancomycin hydrochloride
3540
Zgodny
Injekcje Heparin sodium 0,5 >> 14,3 UI/ml
Injekcje Vancomycin hydrochloride 0,015 >> 6,8 mg/ml
Dianéal® PD2 2.5% glucose (Baxter) 2375
Natychmiastowe opady Niekompatybilny
Injekcje Heparin sodium 0,5 >> 14,3 UI/ml
Injekcje Vancomycin hydrochloride 6,9 >> 14,3 mg/ml
Dianéal® PD2 2.5% glucose (Baxter) 2375
Zgodny
Injekcje Heparin sodium 10 UI/ml
Injekcje Vancomycin hydrochloride 0.025 mg/ml
Woda do wstrzyknięć 3125
Zgodny
Injekcje Heparin sodium 0,5 >> 14,3 UI/ml
Injekcje Vancomycin hydrochloride 0,015 >> 6,8 mg/ml
Dianéal® PD1 4.25% Glukoza (Baxter) 2375
Nieokreślona niezgodność Niekompatybilny
Injekcje Heparin sodium 50 UI/ml
Injekcje Vancomycin hydrochloride 6.6 mg/ml
Żaden 317
Zgodny
Injekcje Heparin sodium 100 UI/ml
Injekcje Vancomycin hydrochloride 0.025 mg/ml
Chlorek sodu 0,9% 1414
Zgodny
Injekcje Heparin sodium 10 UI/ml
Injekcje Vancomycin hydrochloride 2 mg/ml
Chlorek sodu 0,9% 2037
Natychmiastowe opady Niekompatybilny
Injekcje Heparin sodium 100 UI/ml
Injekcje Vancomycin hydrochloride 10 mg/ml
Odżywianie pozajelitowe (mieszanina binarny) 132
Zgodny
Injekcje Heparin sodium 5000 UI/ml
Injekcje Vancomycin hydrochloride 2.5 mg/ml
Chlorek sodu 0,9% 2037
Zgodny
Injekcje Heparin sodium 100 UI/ml
Injekcje Vancomycin hydrochloride 0.025 mg/ml
Chlorek sodu 0,9% 895
Zgodny
Injekcje Heparin sodium 100 UI/ml
Injekcje Vasopressin 2 & 4 UI/ml
Chlorek sodu 0,9% 1801
Zgodny
Injekcje Heparin sodium 100 UI/ml
Injekcje Vecuronium bromide 1 mg/ml
314
Zgodny
Injekcje Heparin sodium 40 UI/ml
Injekcje Vecuronium bromide 0.1 mg/ml
Glukoza 5% 402
Zgodny
Injekcje Heparin sodium 20 UI/ml
Injekcje Verapamil hydrochloride 0.08 mg/ml
Chlorek sodu 0,9% 1057
Zgodny
Injekcje Heparin sodium 20 UI/ml
Injekcje Verapamil hydrochloride 0.08 mg/ml
Glukoza 5% 1057
Nieokreślona niezgodność Niekompatybilny
Injekcje Heparin sodium
Injekcje Vinblastine sulfate
3540
Zgodny
Injekcje Heparin sodium 1000 UI/ml
Injekcje Vinblastine sulfate 1 mg/ml
763
Zgodny
Injekcje Heparin sodium 1000 UI/ml
Injekcje Vincristine sulfate 1 mg/ml
763
Zgodny
Injekcje Heparin sodium 100 UI/ml
Injekcje Vinorelbine tartrate 1 mg/ml
Chlorek sodu 0,9% 84
Zgodny
Injekcje Heparin sodium 100 UI/ml
Injekcje Vinorelbine tartrate 1 mg/ml
Chlorek sodu 0,9% 1070
Natychmiastowe opady Niekompatybilny
Injekcje Heparin sodium 10 & 100 UI/ml
Injekcje Vinorelbine tartrate 2 & 3 mg/ml
Chlorek sodu 0,9% 1070
Zgodny
Injekcje Heparin sodium 208 UI/ml
Injekcje Voriconazole 8 mg/ml
Glukoza 5% 4254
Zgodny
Injekcje Heparin sodium 208 UI/ml
Injekcje Voriconazole 8 mg/ml
Chlorek sodu 0,9% 4254
Zgodny
Injekcje Heparin sodium 100 UI/ml
Injekcje Warfarin sodium 2 mg/ml
Glukoza 5% 315
Zgodny
Injekcje Heparin sodium 100 UI/ml
Injekcje Zidovudine 4 mg/ml
Glukoza 5% 337

  Mentions Légales