Senaste uppdateringen :
27/01/2026
Antikoagulans   Heparin sodium  
injektion
Lösningars stabilitet Stabilitet i blandningar Faktorer som påverkar stabiliteten Kompatibilitet Administreringssätt Hänvisningar pdf
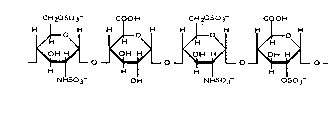
   Molekylstruktur  

Varunamn   Varunamn     

Angivna handelsnamn på läkemedel är enbart vägledande då formulering inklusive hjälpämnen kan variera mellan länder och tillverkare

Arapin Chile
Ateroclar Italien
Clarisco Italien
Epsoclar Italien
Hepaflex Finland, Norge
Hepamax Chile, Colombia, Ecuador
Heparin Danmark, Finland, Förenta Staterna, Grekland, Jugoslavien, Kanada, Nederländerna, Norge, Österrike, ryska, Schweiz, Storbritannien, Sverige, Sydafrikanska republiken, Thailand, Turkiet, Ungern
Heparine Belgien, Frankrike
Heparinised Australien
Heparstad Tyskland
Liquemin Schweiz, Turkiet
Liquemine Brasilien
Monoparin Saudi-Arabien
Normoparin Italien
Nuparin Ecuador
Pharepa Italien
Riveparin Argentina
Sobrius Argentina, Ecuador
Thrombophob Tyskland
Kompatibilitet   injektion   Kompatibilitet : Heparin sodium              
Den här skärmen visar kompatibiliteten eller inkompatibiliteten med, i detta fall, typen av inkompatibilitet (utfällning, färgförändring, modifiering av en emulsion, etc.). De kompatibiliteter som visas här är oftast endast fysiska, varvid den kemiska stabiliteten för varje molekyl sällan utvärderas. Utvärderingen av dessa blandningar studerades för att överväga möjligheten för Y-platsadministrering till patienten. Dessa data kan inte användas för att göra blandningar i förväg i påsar eller sprutor. Denna typ av information finns på skärmen "Stabilitet i blandning".
Substans Lösningsmedel Hänvisningar
Kompatibel
injektion Heparin sodium 100 UI/ml
injektion Aciclovir sodium 5 mg/ml
Natriumklorid 0,9 % 2335
Kompatibel
injektion Heparin sodium 50 UI/ml
injektion Aciclovir sodium 5 mg/ml
Glukos 5 % 336
Kompatibel
injektion Heparin sodium 100 UI/ml
injektion Aldesleukin 0.0338 MUI/ml
Glukos 5 % 36
Kompatibel
injektion Heparin sodium 100 UI/ml
injektion Allopurinol sodium 3 mg/ml
Natriumklorid 0,9 % 307
Kompatibel
injektion Heparin sodium 1 UI/ml
injektion Alprostadil 20 µg/ml
Natriumklorid 0,9 % 4491
Kompatibel
injektion Heparin sodium 1 UI/ml
injektion Alprostadil 20 µg/ml
Glukos 5 % 4651
Nederbörd efter 24 timmar Oförenlig
injektion Heparin sodium 100 UI/ml
injektion Alteplase 1 mg/ml
Vatten för injektion 92
Ospecificerad inkompatibilitet Oförenlig
injektion Heparin sodium
injektion Alteplase
3540
Omedelbar nederbörd Oförenlig
injektion Heparin sodium 40 UI/ml
injektion Alteplase 0.5 mg/ml
Vatten för injektion 240
Ospecificerad inkompatibilitet Oförenlig
injektion Heparin sodium
injektion Alteplase
3616
Kompatibel
injektion Heparin sodium 100 UI/ml
injektion Amifostine 10 mg/ml
Glukos 5 % 3
Omedelbar nederbörd Oförenlig
injektion Heparin sodium
injektion Amikacin sulfate
1022
Ospecificerad inkompatibilitet Oförenlig
injektion Heparin sodium
injektion Amikacin sulfate
3549
Ospecificerad inkompatibilitet Oförenlig
injektion Heparin sodium
injektion Amikacin sulfate
3540
Ospecificerad inkompatibilitet Oförenlig
injektion Heparin sodium 500 UI/ml
injektion Amiodarone hydrochloride 15 mg/ml
Natriumklorid 0,9 % 3823
Ospecificerad inkompatibilitet Oförenlig
injektion Heparin sodium
injektion Amiodarone hydrochloride
3540
Omedelbar grumlighet Oförenlig
injektion Heparin sodium 500 UI/ml
injektion Amiodarone hydrochloride 15 mg/ml
Natriumklorid 0,9 % 3463
Ospecificerad inkompatibilitet Oförenlig
injektion Heparin sodium
injektion Amiodarone hydrochloride
3464
Ospecificerad inkompatibilitet Oförenlig
injektion Heparin sodium 500 UI/ml
injektion Amiodarone hydrochloride 15 mg/ml
Glukos 5 % 3823
Omedelbar grumlighet Oförenlig
injektion Heparin sodium 500 UI/ml
injektion Amiodarone hydrochloride 15 mg/ml
Glukos 5 % 3463
Kompatibel
injektion Heparin sodium 208 UI/ml
injektion Amoxicillin sodium 20.83 & 83.3 mg/ml
Natriumklorid 0,9 % 4254
Kompatibel
injektion Heparin sodium 1000 UI/ml
injektion Amoxicillin sodium / clavulanic acid 100/10 mg/ml
3824
Kompatibel
injektion Heparin sodium
injektion Ampicillin sodium
5088
Kompatibel
injektion Heparin sodium 50 UI/ml
injektion Ampicillin sodium 20 mg/ml
Ingen 317
Kompatibel
injektion Heparin sodium 50 UI/ml
injektion Ampicillin sodium - sulbactam sodium 30 mg/ml
Ingen 317
Omedelbar nederbörd Oförenlig
injektion Heparin sodium 40 UI/ml
injektion Amsacrine 1 mg/ml
Glukos 5 % 253
Kompatibel
injektion Heparin sodium 100 UI/ml
injektion Anidulafungin 0.5 mg/ml
Glukos 5 % 1982
Omedelbar nederbörd Oförenlig
injektion Heparin sodium
injektion Antithymocyte globulin (rabbit)
4958
Omedelbar nederbörd Oförenlig
injektion Heparin sodium 2 UI/ml
injektion Antithymocyte globulin (rabbit) 0,2 & 0,3 mg/ml
Glukos 5 % 1822
Kompatibel
injektion Heparin sodium 100 UI/ml
injektion Antithymocyte globulin (rabbit) 0,2 & 0,3 mg/ml
Glukos 5 % 1822
Kompatibel
injektion Heparin sodium 2 & 100 UI/ml
injektion Antithymocyte globulin (rabbit) 0,2 & 0,3 mg/ml
Natriumklorid 0,9 % 1822
Kompatibel
injektion Heparin sodium 40 UI/ml
injektion Atracurium besylate 0.5 mg/ml
Glukos 5 % 402
Kompatibel
injektion Heparin sodium 1 UI/ml
injektion Atropine sulfate 0.5 mg/ml
Glukos 5 % 1228
Kompatibel
injektion Heparin sodium 500 UI/ml
Parenteral nutrition (med lipider) 4507
Omedelbar nederbörd Oförenlig
injektion Heparin sodium 1000 UI/ml
injektion Amphotericin B cholesteryl sulfate complex 0.83 mg/ml
Glukos 5 % 921
Ospecificerad inkompatibilitet Oförenlig
injektion Heparin sodium
injektion Ampicillin sodium
3540
Kompatibel
injektion Heparin sodium 10 & 5000 UI/ml
injektion Ampicillin sodium 10 mg/ml
Natriumklorid 0,9 % 2037
Kompatibel
injektion Heparin sodium 1 UI/ml
injektion Atropine sulfate 0.5 mg/ml
Ringer-laktatlösning 1228
Kompatibel
injektion Heparin sodium 1 UI/ml
injektion Atropine sulfate 0.5 mg/ml
Natriumklorid 0,9 % 1228
Kompatibel
injektion Heparin sodium 100 UI/ml
injektion Aztreonam 40 mg/ml
Glukos 5 % 99
Kompatibel
injektion Heparin sodium 50 UI/ml
injektion Aztreonam 20 mg/ml
Ingen 317
Kompatibel
injektion Heparin sodium 1 UI/ml
injektion Betamethasone sodium phosphate 3 mg/ml
Natriumklorid 0,9 % 1228
Kompatibel
injektion Heparin sodium 1 UI/ml
injektion Betamethasone sodium phosphate 3 mg/ml
Glukos 5 % 1228
Kompatibel
injektion Heparin sodium 1 UI/ml
injektion Betamethasone sodium phosphate 3 mg/ml
Ringer-laktatlösning 1228
Kompatibel
injektion Heparin sodium 100 UI/ml
injektion Bivalirudin 5 mg/ml
Glukos 5 % 1713
Omedelbar nederbörd Oförenlig
injektion Heparin sodium 192.3 UI/ml
injektion Blinatumomab 0.125 & 0.375 µg/ml
Natriumklorid 0,9 % 3976
Kompatibel
injektion Heparin sodium 1000 UI/ml
injektion Caffeine 10 mg/ml
Ingen 3964
Kompatibel
injektion Heparin sodium 100 UI/ml
injektion Caffeine 10 mg/ml
Natriumklorid 0,9 % 4837
Kompatibel
injektion Heparin sodium 100 UI/ml
injektion Caffeine citrate 20 mg/ml
Natriumklorid 0,9 % 4837
Nederbörd efter 30 minuter Oförenlig
injektion Heparin sodium 2 UI/ml
injektion Calcium chloride 20 mg/ml
Glukos 5 % 4732
Kompatibel
injektion Heparin sodium 100 UI/ml
injektion Calcium chloride 20 mg/ml
Glukos 5 % 4732
Omedelbar instabilitet hos emulsionen Oförenlig
injektion Heparin sodium
injektion Calcium chloride
Parenteral nutrition (med lipider) 1084
Omedelbar instabilitet hos emulsionen Oförenlig
injektion Heparin sodium
injektion Calcium gluconate
Parenteral nutrition (med lipider) 1084
Omedelbar nederbörd Oförenlig
injektion Heparin sodium 100 UI/ml
injektion Caspofungin acetate 0.5 mg/ml
Natriumklorid 0,9 % 2233
Omedelbar nederbörd Oförenlig
injektion Heparin sodium 100 UI/ml
injektion Caspofungin acetate 0,7 mg/ml
Natriumklorid 0,9 % 2247
Ospecificerad inkompatibilitet Oförenlig
injektion Heparin sodium
injektion Cefalotin sodium
3540
Kompatibel
injektion Heparin sodium 10 & 5000 UI/ml
injektion Cefazolin sodium 10 mg/ml
Natriumklorid 0,9 % 2037
Kompatibel
injektion Heparin sodium 50 UI/ml
injektion Cefazolin sodium 20 mg/ml
Ingen 317
Kompatibel
injektion Heparin sodium 0.667 UI/ml
injektion Cefazolin sodium 0.333 mg/ml
Dianéal® PD2 1.5% Glukos (Baxter) 1979
Kompatibel
injektion Heparin sodium 10 & 50 UI/ml
injektion Cefepime dihydrochloride 4 mg/ml
Natriumklorid 0,9 % 3548
Kompatibel
injektion Heparin sodium 10 & 50 UI/ml
injektion Cefepime dihydrochloride 4 mg/ml
Glukos 5 % 3548
Kompatibel
injektion Heparin sodium 1000 UI/ml
injektion Cefiderocol sulfate tosylate 20 mg/mL
Glukos 5 % 4528
Kompatibel
injektion Heparin sodium 1000 UI/ml
injektion Cefiderocol sulfate tosylate 20 mg/mL
Natriumklorid 0,9 % 4528
Kemisk instabilitet Oförenlig
injektion Heparin sodium 100 UI/ml
injektion Cefmetazole sodium 100 mg/ml
Vatten för injektion 93
Kompatibel
injektion Heparin sodium 208 UI/ml
injektion Cefotaxime sodium 41.6 & 125 mg/ml
Glukos 5 % 4254
Kompatibel
injektion Heparin sodium 208 UI/ml
injektion Cefotaxime sodium 41.6 & 125 mg/ml
Natriumklorid 0,9 % 4254
Kompatibel
injektion Heparin sodium 5000 UI/ml
injektion Cefotaxime sodium 10 mg/ml
Vatten för injektion 3125
Kompatibel
injektion Heparin sodium 100 UI/ml
injektion Ceftaroline fosamil 2,22 mg/ml
Ringer-laktatlösning 3249
Kompatibel
injektion Heparin sodium 100 UI/ml
injektion Ceftaroline fosamil 2,22 mg/ml
Natriumklorid 0,9 % 3249
Kompatibel
injektion Heparin sodium 100 UI/ml
injektion Ceftaroline fosamil 2,22 mg/ml
Glukos 5 % 3249
Kompatibel
injektion Heparin sodium 0.5 UI/ml
injektion Ceftazidime 0.125 mg/ml
Extraneal® (Baxter) 4056
Kompatibel
injektion Heparin sodium 0.5 UI/ml
injektion Ceftazidime 0.125 mg/ml
Dianéal® PD2 4.25% Glukos (Baxter) 4056
Kompatibel
injektion Heparin sodium 50 UI/ml
injektion Ceftazidime 20 mg/ml
Ingen 317
Kompatibel
injektion Heparin sodium 0.5 UI/ml
injektion Ceftazidime 0.125 mg/ml
Dianéal® PD2 2.5% glucose (Baxter) 4056
Kompatibel
injektion Heparin sodium 100 UI/ml
injektion Ceftobiprole medocaril sodium 2 mg/ml
Natriumklorid 0,9 % 2269
Kompatibel
injektion Heparin sodium 100 UI/ml
injektion Ceftobiprole medocaril sodium 2 mg/ml
Glukos 5 % 2269
Kompatibel
injektion Heparin sodium 100 UI/ml
injektion Ceftobiprole medocaril sodium 2 mg/ml
Ringer-laktatlösning 2269
Kompatibel
injektion Heparin sodium 1000 UI/ml
injektion Ceftolozane / tazobactam 10/5 mg/ml
Natriumklorid 0,9 % 3828
Kompatibel
injektion Heparin sodium 1000 UI/ml
injektion Ceftolozane / tazobactam 10/5 mg/ml
Glukos 5 % 3828
Kompatibel
injektion Heparin sodium 50 UI/ml
injektion Ceftriaxone disodium 20 mg/ml
Ingen 317
Kompatibel
injektion Heparin sodium 10 & 50 UI/ml
injektion Cefuroxime sodium
Natriumklorid 0,9 % 3687
Kompatibel
injektion Heparin sodium 58,34 UI/ml
injektion Chlorpromazine hydrochloride 0,26 mg/ml
Glukos 5 % 1289
Kompatibel
injektion Heparin sodium 1 UI/ml
injektion Chlorpromazine hydrochloride 10 mg/ml
Natriumklorid 0,9 % 1228
Kompatibel
injektion Heparin sodium 1 UI/ml
injektion Chlorpromazine hydrochloride 10 mg/ml
Glukos 5 % 1228
Ospecificerad inkompatibilitet Oförenlig
injektion Heparin sodium
injektion Chlorpromazine hydrochloride
3540
Kompatibel
injektion Heparin sodium 1 UI/ml
injektion Chlorpromazine hydrochloride 10 mg/ml
Ringer-laktatlösning 1228
Kompatibel
injektion Heparin sodium 50 UI/ml
injektion Cimetidine hydrochloride 6 mg/ml
Ingen 317
Kompatibel
injektion Heparin sodium 5000 & 10000 UI/ml
injektion Ciprofloxacin lactate 0.4 & 0.6 mg/ml
Natriumklorid 0,9 % 2057
Omedelbar nederbörd Oförenlig
injektion Heparin sodium 10 >> 10000 UI/ml
injektion Ciprofloxacin lactate 1 mg/ml
Natriumklorid 0,9 % 2057
Omedelbar nederbörd Oförenlig
injektion Heparin sodium 10 & 100 UI/ml
injektion Ciprofloxacin lactate 0.2 mg/ml
Natriumklorid 0,9 % 2057
Ospecificerad inkompatibilitet Oförenlig
injektion Heparin sodium
injektion Ciprofloxacin lactate
3540
Omedelbar nederbörd Oförenlig
injektion Heparin sodium 10 >> 1000 UI/ml
injektion Ciprofloxacin lactate 0.4 & 0.6 mg/ml
Natriumklorid 0,9 % 2057
Kompatibel
injektion Heparin sodium 1000 >> 10000 UI/ml
injektion Ciprofloxacin lactate 0.2 mg/ml
Natriumklorid 0,9 % 2057
Omedelbar nederbörd Oförenlig
injektion Heparin sodium 10 >> 5000 UI/ml
injektion Ciprofloxacin lactate 0.8 mg/ml
Natriumklorid 0,9 % 2057
Kompatibel
injektion Heparin sodium 10 >> 10000 UI/ml
injektion Ciprofloxacin lactate 0.1 mg/ml
Natriumklorid 0,9 % 2057
Omedelbar nederbörd Oförenlig
injektion Heparin sodium 100 UI/ml
injektion Ciprofloxacin lactate 2 mg/ml
Natriumklorid 0,9 % 288
Ospecificerad inkompatibilitet Oförenlig
injektion Heparin sodium
injektion Ciprofloxacin lactate
3529
Omedelbar nederbörd Oförenlig
injektion Heparin sodium 100 UI/ml
injektion Ciprofloxacin lactate 2 mg/ml
Glukos 5 % 288
Omedelbar nederbörd Oförenlig
injektion Heparin sodium 10 >> 1000 UI/ml
injektion Ciprofloxacin lactate 2 mg/ml
Natriumklorid 0,9 % 289
Omedelbar grumlighet Oförenlig
injektion Heparin sodium 10 UI/ml
injektion Ciprofloxacin lactate 2 mg/ml
Ingen 1393
Kompatibel
injektion Heparin sodium 10000 UI/ml
injektion Ciprofloxacin lactate 0.8 mg/ml
Natriumklorid 0,9 % 2057
Kompatibel
injektion Heparin sodium 100 UI/ml
injektion Cisatracurium besylate 0.1 & 2 mg/ml
Glukos 5 % 299
Omedelbar nederbörd Oförenlig
injektion Heparin sodium 100 UI/ml
injektion Cisatracurium besylate 5 mg/ml
Glukos 5 % 299
Färgändring Oförenlig
injektion Heparin sodium 500 UI/ml
injektion Cisatracurium besylate 5 mg/ml
Natriumklorid 0,9 % 3463
Ospecificerad inkompatibilitet Oförenlig
injektion Heparin sodium 500 UI/ml
injektion Cisatracurium besylate 5 mg/ml
Natriumklorid 0,9 % 3823
Ospecificerad inkompatibilitet Oförenlig
injektion Heparin sodium
injektion Cisatracurium besylate
3540
Kompatibel
injektion Heparin sodium 100 UI/ml
injektion Cladribine 0.5 mg/ml
NaCl 0,9 % + bakteriostatisk substans 1496
Kompatibel
injektion Heparin sodium 100 UI/ml
injektion Cladribine 0.015 mg/ml
Natriumklorid 0,9 % 1496
Kompatibel
injektion Heparin sodium 50 UI/ml
injektion Clindamycin phosphate 12 mg/ml
Ingen 317
Kompatibel
injektion Heparin sodium 50 UI/ml
injektion Clonidine hydrochloride 0.0075 mg/ml
Natriumklorid 0,9 % 1506
Kompatibel
injektion Heparin sodium 50 UI/ml
injektion Clonidine hydrochloride 0.0075 mg/ml
Glukos 5 % 1506
Kompatibel
injektion Heparin sodium 100 UI/ml
injektion Cloxacillin sodium 100 mg/ml
Vatten för injektion 3012
Utfällning efter 4 timmar Oförenlig
injektion Heparin sodium 208 UI/ml
injektion Co-trimoxazole 3.2/0.64 & 80/16 mg/ml
Natriumklorid 0,9 % 4254
Utfällning efter 4 timmar Oförenlig
injektion Heparin sodium 208 UI/ml
injektion Co-trimoxazole 3.2/0.64 & 80/16 mg/ml
Glukos 5 % 4254
Kompatibel
injektion Heparin sodium 1 UI/ml
injektion Cyanocobalamine 0.1 mg/ml
Ringer-laktatlösning 1228
Kompatibel
injektion Heparin sodium 1 UI/ml
injektion Cyanocobalamine 0.1 mg/ml
Glukos 5 % 1228
Kompatibel
injektion Heparin sodium 1 UI/ml
injektion Cyanocobalamine 0.1 mg/ml
Natriumklorid 0,9 % 1228
Ospecificerad inkompatibilitet Oförenlig
injektion Heparin sodium
injektion Cytarabine
3540
Ospecificerad inkompatibilitet Oförenlig
injektion Heparin sodium
injektion Cytarabine
3580
Ospecificerad inkompatibilitet Oförenlig
injektion Heparin sodium
injektion Dacarbazine
3605
Omedelbar nederbörd Oförenlig
injektion Heparin sodium 100 UI/ml
injektion Dacarbazine 25 mg/ml
Natriumklorid 0,9 % 860
Ospecificerad inkompatibilitet Oförenlig
injektion Heparin sodium
injektion Dacarbazine
3267
Ospecificerad inkompatibilitet Oförenlig
injektion Heparin sodium
injektion Dacarbazine
3540
Kompatibel
injektion Heparin sodium
injektion Daptomycin
2271
Kompatibel
injektion Heparin sodium 98 UI/ml
injektion Daptomycin 19,6 mg/ml
Natriumklorid 0,9 % 1937
Omedelbar nederbörd Oförenlig
injektion Heparin sodium
injektion Daunorubicin hydrochloride
3604
Ospecificerad inkompatibilitet Oförenlig
injektion Heparin sodium
injektion Daunorubicin hydrochloride
3540
Omedelbar nederbörd Oförenlig
injektion Heparin sodium
injektion Daunorubicin hydrochloride liposome
3577
Omedelbar grumlighet Oförenlig
injektion Heparin sodium
injektion Daunorubicin/cytarabine liposomale 0,4 mg/mL
Natriumklorid 0,9 % 4654
Kompatibel
injektion Heparin sodium 373 UI/ml
injektion Defibrotide 8 mg/ml
Natriumklorid 0,9 % 3728
Kompatibel
injektion Heparin sodium 50 UI/ml
injektion Dexamethasone sodium phosphate 0.08 mg/ml
Ingen 317
Kompatibel
injektion Heparin sodium
injektion Dexketoprofen
4981
Kompatibel
injektion Heparin sodium 100 UI/ml
injektion Dexmedetomidine 4 µg/ml
Natriumklorid 0,9 % 1712
Kompatibel
injektion Heparin sodium 10000 UI/ml
injektion Diatrizoate meglumine 283 mg/ml
Ingen 1085
Ospecificerad inkompatibilitet Oförenlig
injektion Heparin sodium
injektion Diazepam
3540
Kompatibel
injektion Heparin sodium 100 UI/ml
injektion Diltiazem hydrochloride 1 mg/ml
314
Omedelbar nederbörd Oförenlig
injektion Heparin sodium 20000 UI/ml
injektion Diltiazem hydrochloride 5 mg/ml
Natriumklorid 0,9 % 198
Kompatibel
injektion Heparin sodium 100 UI/ml
injektion Diltiazem hydrochloride 1 mg/ml
Glukos 5 % 4556
Omedelbar grumlighet Oförenlig
injektion Heparin sodium 100 UI/ml
injektion Diltiazem hydrochloride 5 mg/ml
Glukos 5 % 4556
Kompatibel
injektion Heparin sodium 20000 UI/ml
injektion Diltiazem hydrochloride 1 mg/ml
Natriumklorid 0,9 % 198
Kompatibel
injektion Heparin sodium
injektion Diltiazem hydrochloride
5090
Kompatibel
injektion Heparin sodium 80 >> 10000 UI/ml
injektion Diltiazem hydrochloride 1 & 5 mg/ml
Natriumklorid 0,9 % 198
Omedelbar nederbörd Oförenlig
injektion Heparin sodium
injektion Dimenhydrinate
2087
Kompatibel
injektion Heparin sodium 1 UI/ml
injektion Diphenhydramine hydrochloride 50 mg/ml
Natriumklorid 0,9 % 1228
Kompatibel
injektion Heparin sodium 1 UI/ml
injektion Diphenhydramine hydrochloride 50 mg/ml
Glukos 5 % 1228
Kompatibel
injektion Heparin sodium 1 UI/ml
injektion Diphenhydramine hydrochloride 50 mg/ml
Ringer-laktatlösning 1228
Utfällning efter 4 timmar Oförenlig
injektion Heparin sodium 100 UI/ml
injektion Dobutamine hydrochloride 4 mg/ml
314
Kompatibel
injektion Heparin sodium 40 UI/ml
injektion Dobutamine hydrochloride 1 mg/ml
Natriumklorid 0,9 % 1058
Kompatibel
injektion Heparin sodium 100 UI/ml
injektion Dobutamine hydrochloride 2 mg/ml
Glukos 5 % 1041
Omedelbar nederbörd Oförenlig
injektion Heparin sodium 100 UI/ml
injektion Dobutamine hydrochloride 2 mg/ml
Glukos 5 % 1352
Omedelbar grumlighet Oförenlig
injektion Heparin sodium 100 UI/ml
injektion Dobutamine hydrochloride 4 mg/ml
Glukos 5 % 295
Omedelbar nederbörd Oförenlig
injektion Heparin sodium
injektion Dobutamine hydrochloride
3540
Färgändring efter 6 timmar Oförenlig
injektion Heparin sodium 10000 UI/ml
injektion Dobutamine hydrochloride 2 mg/ml
Glukos 5 % 1041
Kompatibel
injektion Heparin sodium 40 UI/ml
injektion Dobutamine hydrochloride 1 mg/ml
Glukos 5 % 1058
Kompatibel
injektion Heparin sodium 50 UI/ml
injektion Dobutamine hydrochloride 1 mg/ml
Ingen 317
Kompatibel
injektion Heparin sodium 100 UI/ml
injektion Docetaxel 0.9 mg/ml
Glukos 5 % 1754
Kompatibel
injektion Heparin sodium 1 UI/ml
injektion Dopamine hydrochloride 40 mg/ml
Natriumklorid 0,9 % 1228
Kompatibel
injektion Heparin sodium 50 UI/ml
injektion Dopamine hydrochloride 1.6 mg/ml
Ingen 317
Kompatibel
injektion Heparin sodium 100 UI/ml
injektion Dopamine hydrochloride 3.2 mg/ml
314
Kompatibel
injektion Heparin sodium 1 UI/ml
injektion Dopamine hydrochloride 40 mg/ml
Ringer-laktatlösning 1228
Kompatibel
injektion Heparin sodium 200 UI/ml
injektion Dopamine hydrochloride 0.8 mg/ml
Glukos 5 % 738
Kompatibel
injektion Heparin sodium 1 UI/ml
injektion Dopamine hydrochloride 40 mg/ml
Glukos 5 % 1228
Kompatibel
injektion Heparin sodium 100 UI/ml
injektion Dopamine hydrochloride 3,2 mg/ml
4389
Ospecificerad inkompatibilitet Oförenlig
injektion Heparin sodium 187 UI/ml
injektion Dopamine hydrochloride 1,7 >> 3,4 mg/ml
Glukos 5 % 377
Kompatibel
injektion Heparin sodium 100 UI/ml
injektion Doripenem 5 mg/ml
Natriumklorid 0,9 % 2262
Kompatibel
injektion Heparin sodium 100 UI/ml
injektion Doripenem 5 mg/ml
Glukos 5 % 2262
Kompatibel
injektion Heparin sodium 1 UI/ml
injektion Doxapram hydrochloride 2 mg/ml
Glukos 5 % 1802
Ospecificerad inkompatibilitet Oförenlig
injektion Heparin sodium
injektion Doxorubicin hydrochloride
3540
Omedelbar nederbörd Oförenlig
injektion Heparin sodium
injektion Doxorubicin hydrochloride
3645
Omedelbar nederbörd Oförenlig
injektion Heparin sodium 1000 UI/ml
injektion Doxorubicin hydrochloride 2 mg/ml
763
Kompatibel
injektion Heparin sodium 1000 UI/ml
injektion Doxorubicin hydrochloride liposome peg 0.4 mg/ml
Glukos 5 % 251
Ospecificerad inkompatibilitet Oförenlig
injektion Heparin sodium 50 UI/ml
injektion Doxycycline hyclate 1 mg/ml
Ingen 317
Omedelbar nederbörd Oförenlig
injektion Heparin sodium 1000 UI/ml
injektion Droperidol 2,5 mg/ml
763
Kompatibel
injektion Heparin sodium 1 UI/ml
injektion Droperidol 1.25 mg/ml
Natriumklorid 0,9 % 1228
Kompatibel
injektion Heparin sodium 1 UI/ml
injektion Droperidol 1.25 mg/ml
Ringer-laktatlösning 1228
Kompatibel
injektion Heparin sodium 1 UI/ml
injektion Droperidol 1.25 mg/ml
Glukos 5 % 1228
Ospecificerad inkompatibilitet Oförenlig
injektion Heparin sodium
injektion Droperidol
3540
Kompatibel
injektion Heparin sodium 45,45 UI/ml
injektion Enalaprilate 0,011 mg/ml
Glukos 5 % 963
Kompatibel
injektion Heparin sodium 40 UI/ml
injektion Enalaprilate 0.05 mg/ml
Natriumklorid 0,9 % 1315
Kompatibel
injektion Heparin sodium 50 UI/ml
injektion Enalaprilate 0.0125 mg/ml
Natriumklorid 0,9 % 1703
Kompatibel
injektion Heparin sodium 1 UI/ml
injektion Epinephrine hydrochloride 100 µg/ml
Ringer-laktatlösning 1228
Kompatibel
injektion Heparin sodium 100 UI/ml
injektion Epinephrine hydrochloride 20 µg/ml
314
Kompatibel
injektion Heparin sodium 1 UI/ml
injektion Epinephrine hydrochloride 100 µg/ml
Natriumklorid 0,9 % 1228
Kompatibel
injektion Heparin sodium 1 UI/ml
injektion Epinephrine hydrochloride 100 µg/ml
Glukos 5 % 1228
Ospecificerad inkompatibilitet Oförenlig
injektion Heparin sodium
injektion Epirubicin hydrochloride
3632
Kompatibel
injektion Heparin sodium
injektion Eptifibatide
3934
Kompatibel
injektion Heparin sodium 1000 UI/ml
injektion Eravacycline 0,6 mg/ml
Natriumklorid 0,9 % 4434
Omedelbar grumlighet Oförenlig
injektion Heparin sodium 1 UI/ml
injektion Ergotamine tartrate 0.5 mg/ml
Natriumklorid 0,9 % 1228
Utfällning efter 4 timmar Oförenlig
injektion Heparin sodium 1 UI/ml
injektion Ergotamine tartrate 0.5 mg/ml
Ringer-laktatlösning 1228
Utfällning efter 4 timmar Oförenlig
injektion Heparin sodium 1 UI/ml
injektion Ergotamine tartrate 0.5 mg/ml
Glukos 5 % 1228
Kompatibel
injektion Heparin sodium 50 & 100 UI/ml
injektion Ertapenem 10 & 20 mg/ml
Natriumklorid 0,9 % 1906
Kompatibel
injektion Heparin sodium 50 UI/ml
injektion Erythromycin lactobionate 3.3 mg/ml
Ingen 317
Ospecificerad inkompatibilitet Oförenlig
injektion Heparin sodium
injektion Erythromycin lactobionate
3674
Ospecificerad inkompatibilitet Oförenlig
injektion Heparin sodium
injektion Erythromycin lactobionate
3540
Kompatibel
injektion Heparin sodium 50 UI/ml
injektion Esmolol hydrochloride 6 mg/ml
Glukos 5 % 174
Kompatibel
injektion Heparin sodium 40 UI/ml
injektion Esmolol hydrochloride 10 mg/ml
Glukos 5 % 384
Kompatibel
injektion Heparin sodium 500 UI/ml
injektion Esmolol hydrochloride 10 mg/ml
Natriumklorid 0,9 % 3823
Omedelbar nederbörd Oförenlig
injektion Heparin sodium 1000 UI/ml
injektion Ethanol 70 %
Vatten för injektion + bakteriostatisk substans 2221
Omedelbar nederbörd Oförenlig
injektion Heparin sodium 1000 UI/ml
injektion Ethanol 70 %
Vatten för injektion 2221
Utfällning efter 1 timme Oförenlig
injektion Heparin sodium 10 UI/ml
injektion Ethanol 70 %
Vatten för injektion + bakteriostatisk substans 2221
Omedelbar nederbörd Oförenlig
injektion Heparin sodium 10 UI/ml
injektion Ethanol 70 %
Vatten för injektion 2221
Kompatibel
injektion Heparin sodium 100 UI/ml
injektion Etoposide phosphate 5 mg/ml
Glukos 5 % 1410
Kompatibel
injektion Heparin sodium 40 UI/ml
injektion Famotidine
Glukos 5 % 397
Kompatibel
injektion Heparin sodium 50 UI/ml
injektion Famotidine 0.2 mg/ml
Glukos 5 % 398
Kompatibel
injektion Heparin sodium 40 UI/ml
injektion Famotidine 2 mg/ml
Natriumklorid 0,9 % 215
Kompatibel
injektion Heparin sodium 100 UI/ml
injektion Fenoldopam mesylate 80 µg/ml
Natriumklorid 0,9 % 1803
Kompatibel
injektion Heparin sodium 100 UI/ml
injektion Fentanyl citrate 50 µg/ml
4389
Kompatibel
injektion Heparin sodium 1 UI/ml
injektion Fentanyl citrate 50 µg/ml
Glukos 5 % 1228
Kompatibel
injektion Heparin sodium 1 UI/ml
injektion Fentanyl citrate 50 µg/ml
Ringer-laktatlösning 1228
Kompatibel
injektion Heparin sodium 1 UI/ml
injektion Fentanyl citrate 50 µg/ml
Natriumklorid 0,9 % 1228
Kompatibel
injektion Heparin sodium 100 UI/ml
injektion Fentanyl citrate 50 µg/ml
314
Omedelbar nederbörd Oförenlig
injektion Heparin sodium 100 UI/ml
injektion Filgrastim 30 µg/ml
Glukos 5 % 244
Kompatibel
injektion Heparin sodium 1000 UI/ml
injektion Fluconazole 2 mg/ml
Natriumklorid 0,9 % 496
Kompatibel
injektion Heparin sodium 50 UI/ml
injektion Fluconazole 2 mg/ml
Ingen 317
Kompatibel
injektion Heparin sodium 40 >> 1000 UI/ml
injektion Fludarabine phosphate 1 mg/ml
Glukos 5 % 492
Kompatibel
injektion Heparin sodium 50 UI/ml
injektion Flumazenil 0,02 mg/ml
Glukos 5 % 187
Kompatibel
injektion Heparin sodium 5 UI/ml
injektion Fluorouracil 0,8 mg/ml
Natriumklorid 0,9 % 156
Kompatibel
injektion Heparin sodium 5 UI/ml
injektion Fluorouracil 0,8 mg/ml
Glukos 5 % 156
Kompatibel
injektion Heparin sodium 1 UI/ml
injektion Fluorouracil 50 mg/ml
Natriumklorid 0,9 % 1228
Kompatibel
injektion Heparin sodium 960 UI/ml
injektion Fluorouracil 24 mg/ml
Glukos 5 % 163
Kompatibel
injektion Heparin sodium 1 UI/ml
injektion Fluorouracil 50 mg/ml
Glukos 5 % 1228
Kompatibel
injektion Heparin sodium 1000 UI/ml
injektion Fluorouracil 50 mg/ml
763
Kompatibel
injektion Heparin sodium 1 UI/ml
injektion Fluorouracil 50 mg/ml
Ringer-laktatlösning 1228
Kompatibel
injektion Heparin sodium 1000 UI/ml
injektion Folinate calcium 10 mg/ml
763
Kompatibel
injektion Heparin sodium 100 UI/ml
injektion Foscarnet sodium 24 mg/ml
Glukos 5 % 1135
Kompatibel
injektion Heparin sodium 100 UI/ml
injektion Foscarnet sodium 24 mg/ml
Natriumklorid 0,9 % 1135
Kompatibel
injektion Heparin sodium 1000 UI/ml
injektion Foscarnet sodium 24 mg/ml
Ingen 73
Kompatibel
injektion Heparin sodium 1000 UI/ml
injektion Fosfomycin 30 mg/ml
Glukos 5 % 4055
Kompatibel
injektion Heparin sodium 1000 UI/ml
injektion Fosfomycin 30 mg/ml
Natriumklorid 0,9 % 4055
Kompatibel
injektion Heparin sodium 100 UI/ml
injektion Furosemide 10 mg/ml
314
Kompatibel
injektion Heparin sodium 1 UI/ml
injektion Furosemide 10 mg/ml
Natriumklorid 0,9 % 1228
Utfällning efter 5 timmar Oförenlig
injektion Heparin sodium 100 UI/ml
injektion Furosemide 10 mg/ml
Glukos 5 % 4724
Kompatibel
injektion Heparin sodium 20 UI/ml
injektion Furosemide 1 mg/ml
Natriumklorid 0,9 % 1232
Kompatibel
injektion Heparin sodium 58,34 UI/ml
injektion Furosemide 5,21 mg/ml
Glukos 5 % 1289
Kompatibel
injektion Heparin sodium
injektion Furosemide
3465
Kompatibel
injektion Heparin sodium 1 UI/ml
injektion Furosemide 10 mg/ml
Ringer-laktatlösning 1228
Kompatibel
injektion Heparin sodium 1000 UI/ml
injektion Furosemide 10 mg/ml
763
Kompatibel
injektion Heparin sodium 10 UI/ml
injektion Furosemide 10 mg/ml
Ingen 3210
Kompatibel
injektion Heparin sodium 500 UI/ml
injektion Furosemide 10 mg/ml
Natriumklorid 0,9 % 3823
Kompatibel
injektion Heparin sodium 500 UI/ml
injektion Furosemide 10 mg/ml
Ingen 3134
Kompatibel
injektion Heparin sodium 1 UI/ml
injektion Furosemide 10 mg/ml
Glukos 5 % 1228
Kompatibel
injektion Heparin sodium 40 UI/ml
injektion Gallium nitrate 1 mg/ml
Natriumklorid 0,9 % 91
Kompatibel
injektion Heparin sodium 100 UI/ml
injektion Gemcitabine hydrochloride 10 mg/ml
Natriumklorid 0,9 % 1423
Omedelbar grumlighet Oförenlig
injektion Heparin sodium 2500 UI/ml
injektion Gentamicin sulfate 3 mg/ml
4612
Ospecificerad inkompatibilitet Oförenlig
injektion Heparin sodium
injektion Gentamicin sulfate
3520
Ospecificerad inkompatibilitet Oförenlig
injektion Heparin sodium
injektion Gentamicin sulfate
3643
Omedelbar nederbörd Oförenlig
injektion Heparin sodium
injektion Gentamicin sulfate
1022
Ospecificerad inkompatibilitet Oförenlig
injektion Heparin sodium 50 UI/ml
injektion Gentamicin sulfate 2 mg/ml
Ingen 317
Omedelbar nederbörd Oförenlig
injektion Heparin sodium 10 >> 40 UI/ml
injektion Gentamicin sulfate 4 >> 40 mg/ml
1258
Omedelbar nederbörd Oförenlig
injektion Heparin sodium 2500 UI/ml
injektion Gentamicin sulfate 4 & 5 mg/ml
4612
Ospecificerad inkompatibilitet Oförenlig
injektion Heparin sodium
injektion Gentamicin sulfate
3540
Kompatibel
injektion Heparin sodium 2500 UI/ml
injektion Gentamicin sulfate 1 & 2 mg/ml
4612
Kompatibel
injektion Heparin sodium 50 UI/ml
injektion Glycerophosphate disodium
Natriumklorid 0,9 % 4332
Kompatibel
injektion Heparin sodium 100 UI/ml
injektion Granisetron hydrochloride 0.05 mg/ml
Glukos 5 % 182
Omedelbar nederbörd Oförenlig
injektion Heparin sodium 100 & 200 UI/ml
injektion Haloperidol lactate 5 mg/ml
Glukos 5 % 617
Omedelbar nederbörd Oförenlig
injektion Heparin sodium 100 & 200 UI/ml
injektion Haloperidol lactate 5 mg/ml
Natriumklorid 0,9 % 617
Kompatibel
injektion Heparin sodium 500 UI/ml
injektion Haloperidol lactate 0.5 mg/ml
Natriumklorid 0,9 % 3823
Ospecificerad inkompatibilitet Oförenlig
injektion Heparin sodium
injektion Haloperidol lactate
3540
Kompatibel
injektion Heparin sodium 100 UI/ml
injektion Hetastarch 60 mg/ml
specifikt lösningsmedel 1721
Ospecificerad inkompatibilitet Oförenlig
injektion Heparin sodium
injektion Hyaluronidase
3617
Ospecificerad inkompatibilitet Oförenlig
injektion Heparin sodium
injektion Hyaluronidase
3184
Ospecificerad inkompatibilitet Oförenlig
injektion Heparin sodium
injektion Hyaluronidase
3540
Kompatibel
injektion Heparin sodium 1 UI/ml
injektion Hydralazine hydrochloride 20 mg/ml
Glukos 5 % 1228
Kompatibel
injektion Heparin sodium 1 UI/ml
injektion Hydralazine hydrochloride 20 mg/ml
Ringer-laktatlösning 1228
Kompatibel
injektion Heparin sodium 1 UI/ml
injektion Hydralazine hydrochloride 20 mg/ml
Natriumklorid 0,9 % 1228
Kompatibel
injektion Heparin sodium 100 UI/ml
injektion Hydrocortisone sodium succinate 125 mg/ml
Natriumklorid 0,9 % 132
Ospecificerad inkompatibilitet Oförenlig
injektion Heparin sodium
injektion Hydrocortisone sodium succinate
3540
Kompatibel
injektion Heparin sodium 50 UI/ml
injektion Hydrocortisone sodium succinate 2 mg/ml
Ingen 317
Kompatibel
injektion Heparin sodium 100 UI/ml
injektion Hydrocortisone sodium succinate 125 mg/ml
Glukos 5 % 132
Kompatibel
injektion Heparin sodium
injektion Hydromorphone hydrochloride <12.5 mg/ml
Natriumklorid 0,9 % 66
Kompatibel
injektion Heparin sodium 100 UI/ml
injektion Hydromorphone hydrochloride 1 mg/ml
314
Omedelbar nederbörd Oförenlig
injektion Heparin sodium <12,5 UI/ml
injektion Hydromorphone hydrochloride >25 mg/ml
Natriumklorid 0,9 % 66
Kompatibel
injektion Heparin sodium
injektion Hydromorphone hydrochloride <12.5 mg/ml
Vatten för injektion 66
Omedelbar nederbörd Oförenlig
injektion Heparin sodium <1 UI/ml
injektion Hydromorphone hydrochloride >10 mg/ml
Vatten för injektion 66
Omedelbar nederbörd Oförenlig
injektion Heparin sodium <12,5 UI/ml
injektion Hydromorphone hydrochloride >25 mg/ml
Vatten för injektion 66
Kompatibel
injektion Heparin sodium 100 UI/ml
injektion Ibuprofen lysinate 10 mg/ml
Vatten för injektion 4419
Kompatibel
injektion Heparin sodium 10 UI/ml
injektion Ibuprofen lysinate 10 mg/ml
Vatten för injektion 4419
Omedelbar grumlighet Oförenlig
injektion Heparin sodium 100 & 1000 UI/ml
injektion Idarubicin hydrochloride 1 mg/ml
Natriumklorid 0,9 % 491
Omedelbar nederbörd Oförenlig
injektion Heparin sodium
injektion Idarubicin hydrochloride
5075
Kompatibel
injektion Heparin sodium
injektion Imipenem-Cilastatin / Relebactam
4809
Kompatibel
injektion Heparin sodium 1000 UI/ml
injektion Imipenem-Cilastatin / Relebactam 5 mg/ml
Natriumklorid 0,9 % 4433
Kompatibel
injektion Heparin sodium 1000 UI/ml
injektion Imipenem-Cilastatin / Relebactam 5 mg/ml
Glukos 5 % 4433
Kompatibel
injektion Heparin sodium 500 UI/ml
injektion Insulin 2 UI/ml
Natriumklorid 0,9 % 3823
Kompatibel
injektion Heparin sodium 60 UI/ml
injektion Insulin 0.2 UI/ml
Natriumklorid 0,9 % 129
Kompatibel
injektion Heparin sodium 50 & 400 UI/ml
injektion Insulin aspart 1 UI/ml
Glukos 5 % 1508
Kompatibel
injektion Heparin sodium 50 & 400 UI/ml
injektion Insulin aspart 1 UI/ml
Natriumklorid 0,9 % 1508
Kompatibel
injektion Heparin sodium 10000 UI/ml
injektion Iohexol 300 mg I/ml
Ingen 1085
Kompatibel
injektion Heparin sodium 10000 UI/ml
injektion Ioxaglate 320 mg I/ml
Ingen 1085
Omedelbar grumlighet Oförenlig
injektion Heparin sodium 1000 UI/ml
injektion Isavuconazonium sulfate 1.5 mg/ml
Natriumklorid 0,9 % 3829
Omedelbar grumlighet Oförenlig
injektion Heparin sodium 1000 UI/ml
injektion Isavuconazonium sulfate 1.5 mg/ml
Glukos 5 % 3829
Kompatibel
injektion Heparin sodium 1 UI/ml
injektion Isoprenaline hydrochloride 0.2 mg/ml
Glukos 5 % 1228
Kompatibel
injektion Heparin sodium 1 UI/ml
injektion Isoprenaline hydrochloride 0.2 mg/ml
Natriumklorid 0,9 % 1228
Kompatibel
injektion Heparin sodium 1 UI/ml
injektion Isoprenaline hydrochloride 0.2 mg/ml
Ringer-laktatlösning 1228
Ospecificerad inkompatibilitet Oförenlig
injektion Heparin sodium
injektion Kanamycin sulfate
3540
Omedelbar nederbörd Oförenlig
injektion Heparin sodium 25000 UI/ml
injektion Ketamine hydrochloride 50 mg/ml
2109
Kompatibel
injektion Heparin sodium 100 UI/ml
injektion Labetalol hydrochloride 2 mg/ml
314
Ospecificerad inkompatibilitet Oförenlig
injektion Heparin sodium 500 UI/ml
injektion Labetalol hydrochloride 4 mg/ml
Natriumklorid 0,9 % 3823
Ospecificerad inkompatibilitet Oförenlig
injektion Heparin sodium
injektion Labetalol hydrochloride
3540
Omedelbar nederbörd Oförenlig
injektion Heparin sodium 100 UI/ml
injektion Labetalol hydrochloride 5 mg/ml
Glukos 5 % 295
Kompatibel
injektion Heparin sodium 40 UI/ml
injektion Labetalol hydrochloride 1 mg/ml
Glukos 5 % 386
Kompatibel
injektion Heparin sodium 100 UI/ml
injektion Lansoprazole 0.55 mg/ml
Natriumklorid 0,9 % 1625
Grumlighet på 4 timmar Oförenlig
injektion Heparin sodium 100 UI/ml
injektion Levetiracetam 100 mg/ml
Glukos 5 % 4108
Omedelbar grumlighet Oförenlig
injektion Heparin sodium 208,3 UI/ml
injektion Levetiracetam 15 mg/ml
Natriumklorid 0,9 % 4698
Ospecificerad inkompatibilitet Oförenlig
injektion Heparin sodium
injektion Levofloxacine
3920
Omedelbar nederbörd Oförenlig
injektion Heparin sodium 10 UI/ml
injektion Levofloxacine 5 mg/ml
Glukos 5 % 1072
Ospecificerad inkompatibilitet Oförenlig
injektion Heparin sodium
injektion Levomepromazine
3540
Kompatibel
injektion Heparin sodium 100 UI/ml
injektion Levosimendan 2,5 mg/ml
Glukos 5 % 4389
Kompatibel
injektion Heparin sodium 50 UI/ml
injektion Lidocaine hydrochloride 4 mg/ml
Ingen 317
Kompatibel
injektion Heparin sodium 1000 UI/ml
injektion Linezolid 2 mg/ml
Ingen 1925
Kompatibel
injektion Heparin sodium 10 >> 10000 UI/ml
injektion Linezolid 0.2 >> 1.92 mg/ml
Natriumklorid 0,9 % 2057
Kompatibel
injektion Heparin sodium 417 UI/ml
injektion Lorazepam 0.33 mg/ml
Natriumklorid 0,9 % 186
Kompatibel
injektion Heparin sodium 100 UI/ml
injektion Lorazepam 0.5 mg/ml
314
Kompatibel
injektion Heparin sodium 1 UI/ml
injektion Magnesium sulfate 5 mg/ml
Natriumklorid 0,9 % 1228
Kompatibel
injektion Heparin sodium 50 UI/ml
injektion Magnesium sulfate 15.6 mg/ml
Natriumklorid 0,9 % 2100
Kompatibel
injektion Heparin sodium 1 UI/ml
injektion Magnesium sulfate 5 mg/ml
Ringer-laktatlösning 1228
Kompatibel
injektion Heparin sodium 1 UI/ml
injektion Magnesium sulfate 5 mg/ml
Glukos 5 % 1228
Kompatibel
injektion Heparin sodium 100 UI/ml
injektion Melphalan 0.1 mg/ml
Natriumklorid 0,9 % 169
Kompatibel
injektion Heparin sodium 0.5 UI/ml
injektion Meropenem 0.5 mg/ml
Dianéal® 4.25% glucose (Baxter) 4180
Kompatibel
injektion Heparin sodium 0.5 UI/ml
injektion Meropenem 0.5 mg/ml
Extraneal® (Baxter) 4180
Kompatibel
injektion Heparin sodium 1000 UI/ml
injektion Meropenem 50 mg/ml
Vatten för injektion 4319
Kompatibel
injektion Heparin sodium 1 UI/ml
injektion Meropenem 1 & 50 mg/ml
Natriumklorid 0,9 % 266
Kompatibel
injektion Heparin sodium 0.5 UI/ml
injektion Meropenem 0.5 mg/ml
Dianéal® 1.5% glucose (Baxter) 4180
Kompatibel
injektion Heparin sodium 20 UI/ml
injektion Meropenem 1 & 20 mg/ml
Natriumklorid 0,9 % 266
Kompatibel
injektion Heparin sodium 0.5 UI/ml
injektion Meropenem 0.5 mg/ml
Dianéal® 2.5% glucose (Baxter) 4180
Kompatibel
injektion Heparin sodium 50 UI/ml
injektion Methadone hydrochloride 0.2 mg/ml
Glukos 5 % 1506
Kompatibel
injektion Heparin sodium 50 UI/ml
injektion Methadone hydrochloride 0.2 mg/ml
Natriumklorid 0,9 % 1506
Ospecificerad inkompatibilitet Oförenlig
injektion Heparin sodium
injektion Methotrexate sodium
3637
Kompatibel
injektion Heparin sodium 1000 UI/ml
injektion Methotrexate sodium 25 mg/ml
763
Kompatibel
injektion Heparin sodium 500 UI/ml
injektion Methotrexate sodium 30 mg/ml
Natriumklorid 0,9 % 150
Kompatibel
injektion Heparin sodium 100 UI/ml
injektion Methylprednisolone sodium succinate 5 mg/ml
Glukos 5 % 132
Kompatibel
injektion Heparin sodium 50 UI/ml
injektion Methylprednisolone sodium succinate 2.5 mg/ml
Ingen 317
Kompatibel
injektion Heparin sodium 100 UI/ml
injektion Methylprednisolone sodium succinate 5 mg/ml
Natriumklorid 0,9 % 132
Kompatibel
injektion Heparin sodium 1000 UI/ml
injektion Metoclopramide hydrochloride 5 mg/ml
763
Kemisk instabilitet Oförenlig
injektion Heparin sodium 1000 UI/ml
injektion Metoprolol tartrate 1 mg/ml
Ingen 2346
Kompatibel
injektion Heparin sodium 50 UI/ml
injektion Metronidazole 5 mg/ml
Ingen 317
Kompatibel
injektion Heparin sodium 100 UI/ml
injektion Micafungin 1.5 mg/ml
Natriumklorid 0,9 % 2108
Omedelbar grumlighet Oförenlig
injektion Heparin sodium 208,3 UI/ml
injektion Midazolam hydrochloride 1 mg/ml
Natriumklorid 0,9 % 4698
Kompatibel
injektion Heparin sodium 500 UI/ml
injektion Midazolam hydrochloride 2.1 mg/ml
Natriumklorid 0,9 % 3823
Kompatibel
injektion Heparin sodium 417 UI/ml
injektion Midazolam hydrochloride 5 mg/ml
Ingen 186
Kompatibel
injektion Heparin sodium 100 UI/ml
injektion Midazolam hydrochloride 5 mg/ml
4389
Kompatibel
injektion Heparin sodium 100 UI/ml
injektion Midazolam hydrochloride 2 mg/ml
314
Kompatibel
injektion Heparin sodium 200 UI/ml
injektion Milrinone lactate 0.8 mg/ml
Glukos 5 % 813
Kompatibel
injektion Heparin sodium 100 UI/ml
injektion Milrinone lactate 0.2 mg/ml
314
Kompatibel
injektion Heparin sodium 1 UI/ml
injektion Minocycline hydrochloride 0.2 mg/ml
Glukos 5 % 1228
Kompatibel
injektion Heparin sodium 1 UI/ml
injektion Minocycline hydrochloride 0.2 mg/ml
Ringer-laktatlösning 1228
Kompatibel
injektion Heparin sodium 1 UI/ml
injektion Minocycline hydrochloride 0.2 mg/ml
Natriumklorid 0,9 % 1228
Ospecificerad inkompatibilitet Oförenlig
injektion Heparin sodium
injektion Mitoxantrone dihydrochloride
3640
Ospecificerad inkompatibilitet Oförenlig
injektion Heparin sodium
injektion Morphine hydrochloride
5069
Kompatibel
injektion Heparin sodium 100 & 200 UI/ml
injektion Morphine sulfate 1 >> 5 mg/ml
Vatten för injektion 341
Kompatibel
injektion Heparin sodium 1 UI/ml
injektion Morphine sulfate 15 mg/ml
Ringer-laktatlösning 1228
Ospecificerad inkompatibilitet Oförenlig
injektion Heparin sodium
injektion Morphine sulfate
3531
Kompatibel
injektion Heparin sodium 1 UI/ml
injektion Morphine sulfate 15 mg/ml
Glukos 5 % 1228
Kompatibel
injektion Heparin sodium 1 UI/ml
injektion Morphine sulfate 15 mg/ml
Natriumklorid 0,9 % 1228
Kompatibel
injektion Heparin sodium 60 UI/ml
injektion Morphine sulfate 1 mg/ml
Natriumklorid 0,9 % 406
Kompatibel
injektion Heparin sodium 100 & 200 UI/ml
injektion Morphine sulfate 10 mg/ml
Vatten för injektion 341
Kompatibel
injektion Heparin sodium 100 UI/ml
injektion Morphine sulfate 2 mg/ml
314
Kemisk instabilitet Oförenlig
injektion Heparin sodium 100 & 200 UI/ml
injektion Morphine sulfate 1 >> 10 mg/ml
Natriumklorid 0,9 % 341
Kompatibel
injektion Heparin sodium 1000 UI/ml
injektion N-acetylcysteine 200 mg/ml
Ingen 3766
Kompatibel
injektion Heparin sodium 50 UI/ml
injektion Nafcillin sodium 20 mg/ml
Ingen 317
Kompatibel
injektion Heparin sodium 1000 UI/ml
injektion Naloxone hydrochloride 0.4 mg/ml
Ingen 3408
Omedelbar grumlighet Oförenlig
injektion Heparin sodium 208,3 UI/ml
injektion Nefopam 1,7 mg/ml
Natriumklorid 0,9 % 4698
Kompatibel
injektion Heparin sodium 1 UI/ml
injektion Neostigmine methylsulfate 0.5 mg/ml
Glukos 5 % 1228
Kompatibel
injektion Heparin sodium 1 UI/ml
injektion Neostigmine methylsulfate 0.5 mg/ml
Natriumklorid 0,9 % 1228
Kompatibel
injektion Heparin sodium 1 UI/ml
injektion Neostigmine methylsulfate 0.5 mg/ml
Ringer-laktatlösning 1228
Ospecificerad inkompatibilitet Oförenlig
injektion Heparin sodium
injektion Nesiritide
5048
Ospecificerad inkompatibilitet Oförenlig
injektion Heparin sodium
injektion Netilmicin sulfate
3540
Omedelbar nederbörd Oförenlig
injektion Heparin sodium
injektion Netilmicin sulfate
1022
Omedelbar nederbörd Oförenlig
injektion Heparin sodium 100 UI/ml
injektion Nicardipine hydrochloride 1 mg/ml
314
Ospecificerad inkompatibilitet Oförenlig
injektion Heparin sodium
injektion Nicardipine hydrochloride
3540
Kompatibel
injektion Heparin sodium 40 UI/ml
injektion Nicardipine hydrochloride 0.1 mg/ml
Glukos 5 % 1490
Kompatibel
injektion Heparin sodium 40 UI/ml
injektion Nicardipine hydrochloride 0.1 mg/ml
Natriumklorid 0,9 % 1490
Omedelbar nederbörd Oförenlig
injektion Heparin sodium 100 UI/ml
injektion Nitroglycerin 1,6 >> 3,25 mg/ml
Glukos 5 % 295
Kompatibel
injektion Heparin sodium 500 UI/ml
injektion Nitroglycerin 0.2 mg/ml
Natriumklorid 0,9 % 3823
Produktion av gasbubblor Oförenlig
injektion Heparin sodium 50 UI/ml
injektion Nitroglycerin 0.2 mg/ml
Ingen 317
Kompatibel
injektion Heparin sodium 500 UI/ml
injektion Nitroglycerin 0.2 mg/ml
Glukos 5 % 3823
Kompatibel
injektion Heparin sodium 100 UI/ml
injektion Nitroglycerin 0.4 mg/ml
314
Kompatibel
injektion Heparin sodium 50 UI/ml
injektion Nitroprusside sodium 0.2 mg/ml
Ingen 317
Kompatibel
injektion Heparin sodium 100 UI/ml
injektion Nitroprusside sodium 0.2 mg/ml
Glukos 5 % 295
Kompatibel
injektion Heparin sodium 100 UI/ml
injektion Norepinephrine bitartrate 0.128 mg/ml
314
Ospecificerad inkompatibilitet Oförenlig
injektion Heparin sodium
injektion Ofloxacin
3562
Kompatibel
injektion Heparin sodium 40 UI/ml
injektion Ondansetron hydrochloride 1 mg/ml
Natriumklorid 0,9 % 334
Oförenlig
injektion Heparin sodium 200 UI/ml
injektion Ondansetron hydrochloride 1.6 mg/ml
1699
Omedelbar grumlighet Oförenlig
injektion Heparin sodium 100 UI/ml
injektion Oritavancin 0.8 >>1.2 mg/ml
Glukos 5 % 3152
Utfällning efter 4 timmar Oförenlig
injektion Heparin sodium 100 UI/ml
injektion Oritavancin 2 mg/ml
Glukos 5 % 3152
Kompatibel
injektion Heparin sodium 208 UI/ml
injektion Ornidazole 31.25 mg/ml
Natriumklorid 0,9 % 4254
Kompatibel
injektion Heparin sodium 1 UI/ml
injektion Oxacillin sodium 100 mg/ml
Glukos 5 % 1228
Kompatibel
injektion Heparin sodium 1 UI/ml
injektion Oxacillin sodium 100 mg/ml
Ringer-laktatlösning 1228
Kompatibel
injektion Heparin sodium 1 UI/ml
injektion Oxacillin sodium 100 mg/ml
Natriumklorid 0,9 % 1228
Kompatibel
injektion Heparin sodium 100 UI/ml
injektion Oxaliplatin 0,5 mg/ml
Glukos 5 % 1662
Ospecificerad inkompatibilitet Oförenlig
injektion Heparin sodium
injektion Oxytetracycline hydrochloride
3540
Kompatibel
injektion Heparin sodium 100 UI/ml
injektion Paclitaxel 1.2 mg/ml
Glukos 5 % 248
Kompatibel
injektion Heparin sodium 100 UI/ml
injektion Palonosetron hydrochloride 50 µg/ml
Glukos 5 % 2279
Kompatibel
injektion Heparin sodium 40 UI/ml
injektion Pancuronium bromide 0.05 mg/ml
Glukos 5 % 402
Utfällning efter 1 timme Oförenlig
injektion Heparin sodium
injektion Pantoprazole sodium
2090
Kompatibel
injektion Heparin sodium 208,3 UI/ml
injektion Paracetamol 10 mg/ml
Natriumklorid 0,9 % 4698
Kompatibel
injektion Heparin sodium 1000 UI/ml
injektion Paracetamol 10 mg/ml
4742
Kompatibel
injektion Heparin sodium 100 UI/ml
injektion Pemetrexed disodium 20 mg/ml
Natriumklorid 0,9 % 1953
Ospecificerad inkompatibilitet Oförenlig
injektion Heparin sodium
injektion Penicillin G potassium
3540
Kompatibel
injektion Heparin sodium 50 UI/ml
injektion Penicillin G potassium 0.04 MUI/ml
Ingen 317
Ospecificerad inkompatibilitet Oförenlig
injektion Heparin sodium
injektion Penicillin G sodium
3540
Kompatibel
injektion Heparin sodium 100 UI/ml
injektion Pentoxifyllin 5 mg/ml
Natriumklorid 0,9 % 4538
Omedelbar grumlighet Oförenlig
injektion Heparin sodium
injektion Pethidine hydrochloride
3525
Kompatibel
injektion Heparin sodium 60 UI/ml
injektion Pethidine hydrochloride 10 mg/ml
Natriumklorid 0,9 % 406
Ospecificerad inkompatibilitet Oförenlig
injektion Heparin sodium
injektion Pethidine hydrochloride
3540
Omedelbar nederbörd Oförenlig
injektion Heparin sodium 50 UI/ml
injektion Phenytoin sodium 2 mg/ml
Ingen 317
Kompatibel
injektion Heparin sodium 50 UI/ml
injektion Piperacillin sodium 60 mg/ml
Ingen 317
Kompatibel
injektion Heparin sodium 10 & 5000 UI/ml
injektion Piperacillin sodium 40 mg/ml
Natriumklorid 0,9 % 2037
Kompatibel
injektion Heparin sodium 0.5 UI/ml
injektion Piperacillin sodium / tazobactam 0.5/0.0625 mg/ml
Dianéal® 2.5% glucose (Baxter) 4180
Kompatibel
injektion Heparin sodium 0.5 UI/ml
injektion Piperacillin sodium / tazobactam 0.5/0.0625 mg/ml
Dianéal® 4.25% glucose (Baxter) 4180
Omedelbar grumlighet Oförenlig
injektion Heparin sodium 1000 UI/ml
injektion Plazomicin sulfate 24 mg/ml
Natriumklorid 0,9 % 4145
Ospecificerad inkompatibilitet Oförenlig
injektion Heparin sodium
injektion Polymyxine B
3540
Kompatibel
injektion Heparin sodium 50 UI/ml
injektion Potassium chloride 200 mEq/l
Ingen 317
Kompatibel
injektion Heparin sodium 1 UI/ml
injektion Procainamide hydrochloride 100 mg/ml
Ringer-laktatlösning 1228
Kompatibel
injektion Heparin sodium 1 UI/ml
injektion Procainamide hydrochloride 100 mg/ml
Natriumklorid 0,9 % 1228
Kompatibel
injektion Heparin sodium 1 UI/ml
injektion Prochlorperazine edysilate 5 mg/ml
Natriumklorid 0,9 % 1228
Kompatibel
injektion Heparin sodium 3 >> 20 UI/ml
Parenteral nutrition (binär blandning) 791
Kompatibel
injektion Heparin sodium 100 UI/ml
Parenteral nutrition (binär blandning) 301
Kompatibel
injektion Heparin sodium 500 UI/ml
Parenteral nutrition (binär blandning) 939
Kompatibel
injektion Heparin sodium 1 UI/ml
injektion Prochlorperazine edysilate 5 mg/ml
Ringer-laktatlösning 1228
Kompatibel
injektion Heparin sodium 1 UI/ml
injektion Promethazine hydrochloride 50 mg/ml
Natriumklorid 0,9 % 1228
Kompatibel
injektion Heparin sodium 1 UI/ml
injektion Promethazine hydrochloride 50 mg/ml
Ringer-laktatlösning 1228
Kompatibel
injektion Heparin sodium 1 UI/ml
injektion Propranolol hydrochloride 1 mg/ml
Ringer-laktatlösning 1228
Kompatibel
injektion Heparin sodium 1 UI/ml
injektion Propranolol hydrochloride 1 mg/ml
Natriumklorid 0,9 % 1228
Kompatibel
injektion Heparin sodium 50 UI/ml
injektion Ranitidine hydrochloride 0,5 mg/ml
Glukos 5 % 396
Kompatibel
injektion Heparin sodium 10 & 40 UI/ml
injektion Ranitidine hydrochloride 0.05 & 2 mg/ml
Natriumklorid 0,9 % 214
Kompatibel
injektion Heparin sodium 50 UI/ml
injektion Ranitidine hydrochloride 1 mg/ml
Ingen 317
Kompatibel
injektion Heparin sodium 1000 UI/ml
injektion Remdesivir 1 mg/ml
Natriumklorid 0,9 % 4768
Kompatibel
injektion Heparin sodium 100 UI/ml
injektion Remifentanil hydrochloride 25 & 250 µg/ml
Natriumklorid 0,9 % 59
Kompatibel
injektion Heparin sodium 500 UI/ml
injektion Remifentanil hydrochloride 100 µg/ml
Natriumklorid 0,9 % 3823
Kompatibel
injektion Heparin sodium 500 UI/ml
NaHCO3 150
Kompatibel
injektion Heparin sodium 1.4 UI/ml
injektion Piperacillin sodium / tazobactam 1.38/0.1725 mg/ml
Physionéal® 2.27 (Baxter) 4180
Kompatibel
injektion Heparin sodium 1.4 UI/ml
injektion Piperacillin sodium / tazobactam 1.38/0.1725 mg/ml
Physionéal® 1.36 (Baxter) 4180
Kompatibel
injektion Heparin sodium 0.5 UI/ml
injektion Piperacillin sodium / tazobactam 0.5/0.0625 mg/ml
Dianéal® 1.5% glucose (Baxter) 4180
Kompatibel
injektion Heparin sodium 1.4 UI/ml
injektion Piperacillin sodium / tazobactam 1.38/0.1725 mg/ml
Physionéal® 3.86 (Baxter) 4180
Kompatibel
injektion Heparin sodium 100 UI/ml
injektion Piperacillin sodium / tazobactam 40/5 mg/ml
Glukos 5 % 81
Kompatibel
injektion Heparin sodium 0.5 UI/ml
injektion Piperacillin sodium / tazobactam 0.5/0.0625 mg/ml
Extraneal® (Baxter) 4180
Kompatibel
injektion Heparin sodium 500 UI/ml
injektion Potassium chloride 10 mEq/l
Natriumklorid 0,9 % 3823
Kompatibel
injektion Heparin sodium 58,34 UI/ml
injektion Potassium chloride 1250 mEq/l
Glukos 5 % 1289
Kompatibel
injektion Heparin sodium
injektion Potassium phosphate
3781
Kompatibel
injektion Heparin sodium 1 UI/ml
injektion Procainamide hydrochloride 100 mg/ml
Glukos 5 % 1228
Kompatibel
injektion Heparin sodium 1 UI/ml
injektion Prochlorperazine edysilate 5 mg/ml
Glukos 5 % 1228
Kompatibel
injektion Heparin sodium 1 UI/ml
injektion Promethazine hydrochloride 50 mg/ml
Glukos 5 % 1228
Ospecificerad inkompatibilitet Oförenlig
injektion Heparin sodium
injektion Promethazine hydrochloride
3540
Emulsionens instabilitet efter 1 timme Oförenlig
injektion Heparin sodium 1000 UI/ml
injektion Propofol
660
Kompatibel
injektion Heparin sodium 100 UI/ml
injektion Propofol 10 mg/ml
Ingen 300
Kompatibel
injektion Heparin sodium 1 UI/ml
injektion Propranolol hydrochloride 1 mg/ml
Glukos 5 % 1228
Kompatibel
injektion Heparin sodium 100 UI/ml
injektion Ranitidine hydrochloride 1 mg/ml
314
Kompatibel
injektion Heparin sodium 10 & 40 UI/ml
injektion Ranitidine hydrochloride 0.05 & 2 mg/ml
Glukos 5 % 214
Kompatibel
injektion Heparin sodium 416.7 UI/ml
injektion Remifentanil hydrochloride 120 µg/ml
Glukos 5 % 3294
Kompatibel
injektion Heparin sodium 416.7 UI/ml
injektion Remifentanil hydrochloride 120 µg/ml
Glukos 5 % 3176
Ospecificerad inkompatibilitet Oförenlig
injektion Heparin sodium
injektion Reteplase
2212
Kompatibel
injektion Heparin sodium 20,458 >> 28,000 UI/ml
Parenteral nutrition (med lipider) 1868
Ospecificerad inkompatibilitet Oförenlig
injektion Heparin sodium
injektion Reteplase
3540
Kompatibel
injektion Heparin sodium 1000 UI/ml
injektion Salbutamol sulfate 1 mg/ml
Ingen 3216
Kompatibel
injektion Heparin sodium 100 UI/ml
injektion Sargramostim 6 §15 µg/ml
Natriumklorid 0,9 % 891
Kompatibel
injektion Heparin sodium 100 UI/ml
injektion Sargramostim 10 µg/ml
Natriumklorid 0,9 % 335
Kompatibel
injektion Heparin sodium 1 UI/ml
injektion Scopolamine hydrobromide 0.86 mg/ml
Natriumklorid 0,9 % 1228
Kompatibel
injektion Heparin sodium 1 UI/ml
injektion Scopolamine hydrobromide 0.86 mg/ml
Ringer-laktatlösning 1228
Kompatibel
injektion Heparin sodium 1 UI/ml
injektion Scopolamine hydrobromide 0.86 mg/ml
Glukos 5 % 1228
Kompatibel
injektion Heparin sodium 100 UI/ml
injektion Sildenafil citrate 0,6 mg/ml
Glukos 5 % 4845
Kompatibel
injektion Heparin sodium 100 UI/ml
injektion Sildenafil citrate 0,06 mg/ml
Glukos 5 % 4845
Kompatibel
injektion Heparin sodium 1 UI/ml
injektion Sildenafil citrate 0,4 mg/ml
Glukos 5 % 3923
Kompatibel
injektion Heparin sodium 2 UI/ml
injektion Sildenafil citrate 0,6 mg/ml
Glukos 5 % 4845
Kompatibel
injektion Heparin sodium
Natriumklorid 0,9 % 3540
Omedelbar instabilitet hos emulsionen Oförenlig
injektion Heparin sodium 100 UI/ml
Parenteral nutrition (med lipider) 132
Omedelbar grumlighet Oförenlig
injektion Heparin sodium 100 UI/ml
injektion Sildenafil citrate 0,6 mg/ml
Glukos 5 % 4845
Kompatibel
injektion Heparin sodium 500 UI/ml
injektion Sodium bicarbonate 84 mg/ml
Natriumklorid 0,9 % 3823
Kompatibel
injektion Heparin sodium
injektion Sodium bicarbonate
3466
Kompatibel
injektion Heparin sodium 500 UI/ml
injektion Sodium bicarbonate 14 mg/ml
Ingen 150
Kompatibel
injektion Heparin sodium 500 UI/ml
injektion Sodium bicarbonate 84 mg/ml
Ingen 3212
Kompatibel
injektion Heparin sodium 208 UI/ml
injektion Spiramycine adipate 0.0625 MUI/ml
Natriumklorid 0,9 % 4254
Kompatibel
injektion Heparin sodium 100 UI/ml
injektion Streptokinase 30000 UI/ml
Glukos 5 % 92
Ospecificerad inkompatibilitet Oförenlig
injektion Heparin sodium
injektion Streptomycin sulfate
3540
Kompatibel
injektion Heparin sodium 416.7 UI/ml
injektion Sufentanil citrate 0.005 mg/ml
Glukos 5 % 3294
Kompatibel
injektion Heparin sodium 1000 UI/ml
injektion Sugammadex 100 mg/ml
Ingen 3372
Kompatibel
injektion Heparin sodium 10 UI/ml
injektion Tacrolimus 1000 µg/ml
Natriumklorid 0,9 % 479
Kompatibel
injektion Heparin sodium 1000 UI/ml
Ringer-laktatlösning 4603
Kompatibel
injektion Heparin sodium 1000 UI/ml
injektion Sulbactam/durlobactam 15/15 mg/ml
Natriumklorid 0,9 % 4801
Kompatibel
injektion Heparin sodium 1000 UI/ml
injektion Tedizolid phosphate 0.8 mg/ml
Natriumklorid 0,9 % 3827
Kompatibel
injektion Heparin sodium 10 >> 10000 UI/ml
injektion Teicoplanine 0.02 >> 10 mg/ml
Natriumklorid 0,9 % 2057
Omedelbar grumlighet Oförenlig
injektion Heparin sodium 1000 UI/ml
injektion Telavancin hydrochloride 7,5 mg/ml
Glukos 5 % 3254
Omedelbar grumlighet Oförenlig
injektion Heparin sodium 1000 UI/ml
injektion Telavancin hydrochloride 7,5 mg/ml
Natriumklorid 0,9 % 3254
Kompatibel
injektion Heparin sodium 1000 UI/ml
injektion Telavancin hydrochloride 7.5 mg/ml
Ringer-laktatlösning 3254
Omedelbar nederbörd Oförenlig
injektion Heparin sodium 1000 UI/ml
injektion Thiopental sodium 25 mg/ml
Natriumklorid 0,9 % 3767
Omedelbar instabilitet hos emulsionen Oförenlig
injektion Heparin sodium 1 UI/ml
Parenteral nutrition (med lipider) 1391
Kompatibel
injektion Heparin sodium 100 UI/ml
injektion Teniposide 0.1 mg/ml
Glukos 5 % 905
Kompatibel
injektion Heparin sodium 50 UI/ml
injektion Theophylline 4 mg/ml
Ingen 317
Kompatibel
injektion Heparin sodium 100 UI/ml
injektion Thiopental sodium 25 mg/ml
314
Omedelbar instabilitet hos emulsionen Oförenlig
injektion Heparin sodium 100 UI/ml
Parenteral nutrition (med lipider) 1415
Kompatibel
injektion Heparin sodium 500 UI/ml
injektion Thiopental sodium 60 mg/ml
Natriumklorid 0,9 % 3823
Kompatibel
injektion Heparin sodium 100 UI/ml
injektion Thiotepa 1 mg/ml
Glukos 5 % 249
Kompatibel
injektion Heparin sodium 50 UI/ml
injektion Ticarcillin / clavulanic acid 31 mg/ml
Ingen 317
Kompatibel
injektion Heparin sodium 500 UI/ml
injektion Tirofiban 250 µg/ml
Natriumklorid 0,9 % 3823
Kompatibel
injektion Heparin sodium 40 & 100 UI/ml
injektion Tirofiban 50 µg/ml
Natriumklorid 0,9 % 1420
Kompatibel
injektion Heparin sodium
Glukos 5 % 3540
Kompatibel
injektion Heparin sodium
injektion Tirofiban
1512
Kompatibel
injektion Heparin sodium 40 & 100 UI/ml
injektion Tirofiban 50 µg/ml
Glukos 5 % 1420
Ospecificerad inkompatibilitet Oförenlig
injektion Heparin sodium 50 UI/ml
injektion Tobramycin sulfate 0.8 mg/ml
Ingen 317
Ospecificerad inkompatibilitet Oförenlig
injektion Heparin sodium
injektion Tobramycin sulfate
3540
Kompatibel
injektion Heparin sodium
injektion Tranexamic acid
5016
Ospecificerad inkompatibilitet Oförenlig
injektion Heparin sodium
injektion Triflupromazine hydrochloride
3540
Kompatibel
injektion Heparin sodium 500 UI/ml
injektion Urapidil 5 mg/ml
Natriumklorid 0,9 % 3823
Omedelbar nederbörd Oförenlig
injektion Heparin sodium 0,5 >> 14,3 UI/ml
injektion Vancomycin hydrochloride 6,9 >> 14,3 mg/ml
Dianéal® PD1 4.25% Glukos (Baxter) 2375
Ospecificerad inkompatibilitet Oförenlig
injektion Heparin sodium
injektion Vancomycin hydrochloride
3588
Ospecificerad inkompatibilitet Oförenlig
injektion Heparin sodium
injektion Vancomycin hydrochloride
3540
Kompatibel
injektion Heparin sodium 0,5 >> 14,3 UI/ml
injektion Vancomycin hydrochloride 0,015 >> 6,8 mg/ml
Dianéal® PD2 2.5% glucose (Baxter) 2375
Omedelbar nederbörd Oförenlig
injektion Heparin sodium 0,5 >> 14,3 UI/ml
injektion Vancomycin hydrochloride 6,9 >> 14,3 mg/ml
Dianéal® PD2 2.5% glucose (Baxter) 2375
Kompatibel
injektion Heparin sodium 10 UI/ml
injektion Vancomycin hydrochloride 0.025 mg/ml
Vatten för injektion 3125
Kompatibel
injektion Heparin sodium 0,5 >> 14,3 UI/ml
injektion Vancomycin hydrochloride 0,015 >> 6,8 mg/ml
Dianéal® PD1 4.25% Glukos (Baxter) 2375
Ospecificerad inkompatibilitet Oförenlig
injektion Heparin sodium 50 UI/ml
injektion Vancomycin hydrochloride 6.6 mg/ml
Ingen 317
Kompatibel
injektion Heparin sodium 100 UI/ml
injektion Vancomycin hydrochloride 0.025 mg/ml
Natriumklorid 0,9 % 1414
Kompatibel
injektion Heparin sodium 10 UI/ml
injektion Vancomycin hydrochloride 2 mg/ml
Natriumklorid 0,9 % 2037
Omedelbar nederbörd Oförenlig
injektion Heparin sodium 100 UI/ml
injektion Vancomycin hydrochloride 10 mg/ml
Parenteral nutrition (binär blandning) 132
Kompatibel
injektion Heparin sodium 5000 UI/ml
injektion Vancomycin hydrochloride 2.5 mg/ml
Natriumklorid 0,9 % 2037
Kompatibel
injektion Heparin sodium 100 UI/ml
injektion Vancomycin hydrochloride 0.025 mg/ml
Natriumklorid 0,9 % 895
Kompatibel
injektion Heparin sodium 100 UI/ml
injektion Vasopressin 2 & 4 UI/ml
Natriumklorid 0,9 % 1801
Kompatibel
injektion Heparin sodium 100 UI/ml
injektion Vecuronium bromide 1 mg/ml
314
Kompatibel
injektion Heparin sodium 40 UI/ml
injektion Vecuronium bromide 0.1 mg/ml
Glukos 5 % 402
Kompatibel
injektion Heparin sodium 20 UI/ml
injektion Verapamil hydrochloride 0.08 mg/ml
Natriumklorid 0,9 % 1057
Kompatibel
injektion Heparin sodium 20 UI/ml
injektion Verapamil hydrochloride 0.08 mg/ml
Glukos 5 % 1057
Ospecificerad inkompatibilitet Oförenlig
injektion Heparin sodium
injektion Vinblastine sulfate
3540
Kompatibel
injektion Heparin sodium 1000 UI/ml
injektion Vinblastine sulfate 1 mg/ml
763
Kompatibel
injektion Heparin sodium 1000 UI/ml
injektion Vincristine sulfate 1 mg/ml
763
Kompatibel
injektion Heparin sodium 100 UI/ml
injektion Vinorelbine tartrate 1 mg/ml
Natriumklorid 0,9 % 84
Kompatibel
injektion Heparin sodium 100 UI/ml
injektion Vinorelbine tartrate 1 mg/ml
Natriumklorid 0,9 % 1070
Omedelbar nederbörd Oförenlig
injektion Heparin sodium 10 & 100 UI/ml
injektion Vinorelbine tartrate 2 & 3 mg/ml
Natriumklorid 0,9 % 1070
Kompatibel
injektion Heparin sodium 208 UI/ml
injektion Voriconazole 8 mg/ml
Glukos 5 % 4254
Kompatibel
injektion Heparin sodium 208 UI/ml
injektion Voriconazole 8 mg/ml
Natriumklorid 0,9 % 4254
Kompatibel
injektion Heparin sodium 100 UI/ml
injektion Warfarin sodium 2 mg/ml
Glukos 5 % 315
Kompatibel
injektion Heparin sodium 100 UI/ml
injektion Zidovudine 4 mg/ml
Glukos 5 % 337

  Mentions Légales