Laatste update :
27/01/2026
Anticoagulans   Heparin sodium  
injecteerbaar geneesmiddel
Stabiliteit in oplossing Stabiliteit in mengsels Factoren die de stabiliteit beïnvloeden Verenigbaarheden Toedieningswijze Literatuur pdf
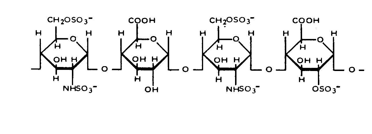
   Molecuulstructuur  

Merknamen in verschillende landen   Merknamen in verschillende landen     

Handelsnamen zijn slechts een indicatie; de samenstelling van hulpstoffen kan per land variëren afhankelijk van de fabrikant

Arapin Chili
Ateroclar Italië
Clarisco Italië
Epsoclar Italië
Hepaflex Finland, Noorwegen
Hepamax Chili, Colombia, Ecuador
Heparin Canada, Denemarken, Finland, Griekenland, Groot Britannië, Hongarije, Joegoslavië, Nederland, Noorwegen, Oostenrijk, russisch, Thailand, Turkije, USA, Zuid-Afrika, Zweden, Zwitserland
Heparine België, Frankrijk
Heparinised Australië
Heparstad Duitsland
Liquemin Turkije, Zwitserland
Liquemine Brazilië
Monoparin Saudi-Arabië
Normoparin Italië
Nuparin Ecuador
Pharepa Italië
Riveparin Argentinië
Sobrius Argentinië, Ecuador
Thrombophob Duitsland
Verenigbaarheden   injecteerbaar geneesmiddel   Verenigbaarheden : Heparin sodium              
In dit scherm worden de verenigbaarheden en onverenigbaarheden weergegeven. In het geval van een onverenigbaarheid wordt ook het type (neerslag, kleurverandering, modificatie van een emulsie, etc) weergegeven. De weergegeven verenigbaarheden zijn meestal alleen op uiterlijk beoordeeld, er heeft zelden een chemische beoordeling van iedere component plaatsgevonden. De verenigbaarheden betreffen gelijktijdige toediening aan de patient middels de Y-site. De data kan niet gebruikt worden in de beoordeling van verenigbaarheden van componenten in infuuszakken of spuiten. Die informatie is te vinden onder ‘stabiliteit in mengsels’.
Stof Oplosmiddel Literatuur
Verenigbaar
injecteerbaar geneesmiddel Heparin sodium 100 UI/ml
injecteerbaar geneesmiddel Aciclovir sodium 5 mg/ml
Natriumchloride 0,9% 2335
Verenigbaar
injecteerbaar geneesmiddel Heparin sodium 50 UI/ml
injecteerbaar geneesmiddel Aciclovir sodium 5 mg/ml
Glucose 5% 336
Verenigbaar
injecteerbaar geneesmiddel Heparin sodium 100 UI/ml
injecteerbaar geneesmiddel Aldesleukin 0.0338 MUI/ml
Glucose 5% 36
Verenigbaar
injecteerbaar geneesmiddel Heparin sodium 100 UI/ml
injecteerbaar geneesmiddel Allopurinol sodium 3 mg/ml
Natriumchloride 0,9% 307
Verenigbaar
injecteerbaar geneesmiddel Heparin sodium 1 UI/ml
injecteerbaar geneesmiddel Alprostadil 20 µg/ml
Natriumchloride 0,9% 4491
Verenigbaar
injecteerbaar geneesmiddel Heparin sodium 1 UI/ml
injecteerbaar geneesmiddel Alprostadil 20 µg/ml
Glucose 5% 4651
Neerslag na 24 uur Onverenigbaar
injecteerbaar geneesmiddel Heparin sodium 100 UI/ml
injecteerbaar geneesmiddel Alteplase 1 mg/ml
Water voor injectie 92
Niet-gespecificeerde incompatibiliteit Onverenigbaar
injecteerbaar geneesmiddel Heparin sodium
injecteerbaar geneesmiddel Alteplase
3540
Onmiddellijke neerslag Onverenigbaar
injecteerbaar geneesmiddel Heparin sodium 40 UI/ml
injecteerbaar geneesmiddel Alteplase 0.5 mg/ml
Water voor injectie 240
Niet-gespecificeerde incompatibiliteit Onverenigbaar
injecteerbaar geneesmiddel Heparin sodium
injecteerbaar geneesmiddel Alteplase
3616
Verenigbaar
injecteerbaar geneesmiddel Heparin sodium 100 UI/ml
injecteerbaar geneesmiddel Amifostine 10 mg/ml
Glucose 5% 3
Onmiddellijke neerslag Onverenigbaar
injecteerbaar geneesmiddel Heparin sodium
injecteerbaar geneesmiddel Amikacin sulfate
1022
Niet-gespecificeerde incompatibiliteit Onverenigbaar
injecteerbaar geneesmiddel Heparin sodium
injecteerbaar geneesmiddel Amikacin sulfate
3549
Niet-gespecificeerde incompatibiliteit Onverenigbaar
injecteerbaar geneesmiddel Heparin sodium
injecteerbaar geneesmiddel Amikacin sulfate
3540
Niet-gespecificeerde incompatibiliteit Onverenigbaar
injecteerbaar geneesmiddel Heparin sodium 500 UI/ml
injecteerbaar geneesmiddel Amiodarone hydrochloride 15 mg/ml
Natriumchloride 0,9% 3823
Niet-gespecificeerde incompatibiliteit Onverenigbaar
injecteerbaar geneesmiddel Heparin sodium
injecteerbaar geneesmiddel Amiodarone hydrochloride
3540
Onmiddellijke troebelheid Onverenigbaar
injecteerbaar geneesmiddel Heparin sodium 500 UI/ml
injecteerbaar geneesmiddel Amiodarone hydrochloride 15 mg/ml
Natriumchloride 0,9% 3463
Niet-gespecificeerde incompatibiliteit Onverenigbaar
injecteerbaar geneesmiddel Heparin sodium
injecteerbaar geneesmiddel Amiodarone hydrochloride
3464
Niet-gespecificeerde incompatibiliteit Onverenigbaar
injecteerbaar geneesmiddel Heparin sodium 500 UI/ml
injecteerbaar geneesmiddel Amiodarone hydrochloride 15 mg/ml
Glucose 5% 3823
Onmiddellijke troebelheid Onverenigbaar
injecteerbaar geneesmiddel Heparin sodium 500 UI/ml
injecteerbaar geneesmiddel Amiodarone hydrochloride 15 mg/ml
Glucose 5% 3463
Verenigbaar
injecteerbaar geneesmiddel Heparin sodium 208 UI/ml
injecteerbaar geneesmiddel Amoxicillin sodium 20.83 & 83.3 mg/ml
Natriumchloride 0,9% 4254
Verenigbaar
injecteerbaar geneesmiddel Heparin sodium 1000 UI/ml
injecteerbaar geneesmiddel Amoxicillin sodium / clavulanic acid 100/10 mg/ml
3824
Verenigbaar
injecteerbaar geneesmiddel Heparin sodium
injecteerbaar geneesmiddel Ampicillin sodium
5088
Verenigbaar
injecteerbaar geneesmiddel Heparin sodium 50 UI/ml
injecteerbaar geneesmiddel Ampicillin sodium 20 mg/ml
Geen 317
Verenigbaar
injecteerbaar geneesmiddel Heparin sodium 50 UI/ml
injecteerbaar geneesmiddel Ampicillin sodium - sulbactam sodium 30 mg/ml
Geen 317
Onmiddellijke neerslag Onverenigbaar
injecteerbaar geneesmiddel Heparin sodium 40 UI/ml
injecteerbaar geneesmiddel Amsacrine 1 mg/ml
Glucose 5% 253
Verenigbaar
injecteerbaar geneesmiddel Heparin sodium 100 UI/ml
injecteerbaar geneesmiddel Anidulafungin 0.5 mg/ml
Glucose 5% 1982
Onmiddellijke neerslag Onverenigbaar
injecteerbaar geneesmiddel Heparin sodium
injecteerbaar geneesmiddel Antithymocyte globulin (rabbit)
4958
Onmiddellijke neerslag Onverenigbaar
injecteerbaar geneesmiddel Heparin sodium 2 UI/ml
injecteerbaar geneesmiddel Antithymocyte globulin (rabbit) 0,2 & 0,3 mg/ml
Glucose 5% 1822
Verenigbaar
injecteerbaar geneesmiddel Heparin sodium 100 UI/ml
injecteerbaar geneesmiddel Antithymocyte globulin (rabbit) 0,2 & 0,3 mg/ml
Glucose 5% 1822
Verenigbaar
injecteerbaar geneesmiddel Heparin sodium 2 & 100 UI/ml
injecteerbaar geneesmiddel Antithymocyte globulin (rabbit) 0,2 & 0,3 mg/ml
Natriumchloride 0,9% 1822
Verenigbaar
injecteerbaar geneesmiddel Heparin sodium 40 UI/ml
injecteerbaar geneesmiddel Atracurium besylate 0.5 mg/ml
Glucose 5% 402
Verenigbaar
injecteerbaar geneesmiddel Heparin sodium 1 UI/ml
injecteerbaar geneesmiddel Atropine sulfate 0.5 mg/ml
Glucose 5% 1228
Verenigbaar
injecteerbaar geneesmiddel Heparin sodium 500 UI/ml
Parenterale voeding (met lipiden) 4507
Onmiddellijke neerslag Onverenigbaar
injecteerbaar geneesmiddel Heparin sodium 1000 UI/ml
injecteerbaar geneesmiddel Amphotericin B cholesteryl sulfate complex 0.83 mg/ml
Glucose 5% 921
Niet-gespecificeerde incompatibiliteit Onverenigbaar
injecteerbaar geneesmiddel Heparin sodium
injecteerbaar geneesmiddel Ampicillin sodium
3540
Verenigbaar
injecteerbaar geneesmiddel Heparin sodium 10 & 5000 UI/ml
injecteerbaar geneesmiddel Ampicillin sodium 10 mg/ml
Natriumchloride 0,9% 2037
Verenigbaar
injecteerbaar geneesmiddel Heparin sodium 1 UI/ml
injecteerbaar geneesmiddel Atropine sulfate 0.5 mg/ml
Ringer-lactaat 1228
Verenigbaar
injecteerbaar geneesmiddel Heparin sodium 1 UI/ml
injecteerbaar geneesmiddel Atropine sulfate 0.5 mg/ml
Natriumchloride 0,9% 1228
Verenigbaar
injecteerbaar geneesmiddel Heparin sodium 100 UI/ml
injecteerbaar geneesmiddel Aztreonam 40 mg/ml
Glucose 5% 99
Verenigbaar
injecteerbaar geneesmiddel Heparin sodium 50 UI/ml
injecteerbaar geneesmiddel Aztreonam 20 mg/ml
Geen 317
Verenigbaar
injecteerbaar geneesmiddel Heparin sodium 1 UI/ml
injecteerbaar geneesmiddel Betamethasone sodium phosphate 3 mg/ml
Natriumchloride 0,9% 1228
Verenigbaar
injecteerbaar geneesmiddel Heparin sodium 1 UI/ml
injecteerbaar geneesmiddel Betamethasone sodium phosphate 3 mg/ml
Glucose 5% 1228
Verenigbaar
injecteerbaar geneesmiddel Heparin sodium 1 UI/ml
injecteerbaar geneesmiddel Betamethasone sodium phosphate 3 mg/ml
Ringer-lactaat 1228
Verenigbaar
injecteerbaar geneesmiddel Heparin sodium 100 UI/ml
injecteerbaar geneesmiddel Bivalirudin 5 mg/ml
Glucose 5% 1713
Onmiddellijke neerslag Onverenigbaar
injecteerbaar geneesmiddel Heparin sodium 192.3 UI/ml
injecteerbaar geneesmiddel Blinatumomab 0.125 & 0.375 µg/ml
Natriumchloride 0,9% 3976
Verenigbaar
injecteerbaar geneesmiddel Heparin sodium 1000 UI/ml
injecteerbaar geneesmiddel Caffeine 10 mg/ml
Geen 3964
Verenigbaar
injecteerbaar geneesmiddel Heparin sodium 100 UI/ml
injecteerbaar geneesmiddel Caffeine 10 mg/ml
Natriumchloride 0,9% 4837
Verenigbaar
injecteerbaar geneesmiddel Heparin sodium 100 UI/ml
injecteerbaar geneesmiddel Caffeine citrate 20 mg/ml
Natriumchloride 0,9% 4837
Neerslag na 30 minuten Onverenigbaar
injecteerbaar geneesmiddel Heparin sodium 2 UI/ml
injecteerbaar geneesmiddel Calcium chloride 20 mg/ml
Glucose 5% 4732
Verenigbaar
injecteerbaar geneesmiddel Heparin sodium 100 UI/ml
injecteerbaar geneesmiddel Calcium chloride 20 mg/ml
Glucose 5% 4732
Onmiddellijke instabiliteit van de emulsie Onverenigbaar
injecteerbaar geneesmiddel Heparin sodium
injecteerbaar geneesmiddel Calcium chloride
Parenterale voeding (met lipiden) 1084
Onmiddellijke instabiliteit van de emulsie Onverenigbaar
injecteerbaar geneesmiddel Heparin sodium
injecteerbaar geneesmiddel Calcium gluconate
Parenterale voeding (met lipiden) 1084
Onmiddellijke neerslag Onverenigbaar
injecteerbaar geneesmiddel Heparin sodium 100 UI/ml
injecteerbaar geneesmiddel Caspofungin acetate 0.5 mg/ml
Natriumchloride 0,9% 2233
Onmiddellijke neerslag Onverenigbaar
injecteerbaar geneesmiddel Heparin sodium 100 UI/ml
injecteerbaar geneesmiddel Caspofungin acetate 0,7 mg/ml
Natriumchloride 0,9% 2247
Niet-gespecificeerde incompatibiliteit Onverenigbaar
injecteerbaar geneesmiddel Heparin sodium
injecteerbaar geneesmiddel Cefalotin sodium
3540
Verenigbaar
injecteerbaar geneesmiddel Heparin sodium 10 & 5000 UI/ml
injecteerbaar geneesmiddel Cefazolin sodium 10 mg/ml
Natriumchloride 0,9% 2037
Verenigbaar
injecteerbaar geneesmiddel Heparin sodium 50 UI/ml
injecteerbaar geneesmiddel Cefazolin sodium 20 mg/ml
Geen 317
Verenigbaar
injecteerbaar geneesmiddel Heparin sodium 0.667 UI/ml
injecteerbaar geneesmiddel Cefazolin sodium 0.333 mg/ml
Dianéal® PD2 1.5% Glucose (Baxter) 1979
Verenigbaar
injecteerbaar geneesmiddel Heparin sodium 10 & 50 UI/ml
injecteerbaar geneesmiddel Cefepime dihydrochloride 4 mg/ml
Natriumchloride 0,9% 3548
Verenigbaar
injecteerbaar geneesmiddel Heparin sodium 10 & 50 UI/ml
injecteerbaar geneesmiddel Cefepime dihydrochloride 4 mg/ml
Glucose 5% 3548
Verenigbaar
injecteerbaar geneesmiddel Heparin sodium 1000 UI/ml
injecteerbaar geneesmiddel Cefiderocol sulfate tosylate 20 mg/mL
Glucose 5% 4528
Verenigbaar
injecteerbaar geneesmiddel Heparin sodium 1000 UI/ml
injecteerbaar geneesmiddel Cefiderocol sulfate tosylate 20 mg/mL
Natriumchloride 0,9% 4528
Chemische instabiliteit Onverenigbaar
injecteerbaar geneesmiddel Heparin sodium 100 UI/ml
injecteerbaar geneesmiddel Cefmetazole sodium 100 mg/ml
Water voor injectie 93
Verenigbaar
injecteerbaar geneesmiddel Heparin sodium 208 UI/ml
injecteerbaar geneesmiddel Cefotaxime sodium 41.6 & 125 mg/ml
Glucose 5% 4254
Verenigbaar
injecteerbaar geneesmiddel Heparin sodium 208 UI/ml
injecteerbaar geneesmiddel Cefotaxime sodium 41.6 & 125 mg/ml
Natriumchloride 0,9% 4254
Verenigbaar
injecteerbaar geneesmiddel Heparin sodium 5000 UI/ml
injecteerbaar geneesmiddel Cefotaxime sodium 10 mg/ml
Water voor injectie 3125
Verenigbaar
injecteerbaar geneesmiddel Heparin sodium 100 UI/ml
injecteerbaar geneesmiddel Ceftaroline fosamil 2,22 mg/ml
Ringer-lactaat 3249
Verenigbaar
injecteerbaar geneesmiddel Heparin sodium 100 UI/ml
injecteerbaar geneesmiddel Ceftaroline fosamil 2,22 mg/ml
Natriumchloride 0,9% 3249
Verenigbaar
injecteerbaar geneesmiddel Heparin sodium 100 UI/ml
injecteerbaar geneesmiddel Ceftaroline fosamil 2,22 mg/ml
Glucose 5% 3249
Verenigbaar
injecteerbaar geneesmiddel Heparin sodium 0.5 UI/ml
injecteerbaar geneesmiddel Ceftazidime 0.125 mg/ml
Extraneal® (Baxter) 4056
Verenigbaar
injecteerbaar geneesmiddel Heparin sodium 0.5 UI/ml
injecteerbaar geneesmiddel Ceftazidime 0.125 mg/ml
Dianéal® PD2 4.25% Glucose (Baxter) 4056
Verenigbaar
injecteerbaar geneesmiddel Heparin sodium 50 UI/ml
injecteerbaar geneesmiddel Ceftazidime 20 mg/ml
Geen 317
Verenigbaar
injecteerbaar geneesmiddel Heparin sodium 0.5 UI/ml
injecteerbaar geneesmiddel Ceftazidime 0.125 mg/ml
Dianéal® PD2 2.5% glucose (Baxter) 4056
Verenigbaar
injecteerbaar geneesmiddel Heparin sodium 100 UI/ml
injecteerbaar geneesmiddel Ceftobiprole medocaril sodium 2 mg/ml
Natriumchloride 0,9% 2269
Verenigbaar
injecteerbaar geneesmiddel Heparin sodium 100 UI/ml
injecteerbaar geneesmiddel Ceftobiprole medocaril sodium 2 mg/ml
Glucose 5% 2269
Verenigbaar
injecteerbaar geneesmiddel Heparin sodium 100 UI/ml
injecteerbaar geneesmiddel Ceftobiprole medocaril sodium 2 mg/ml
Ringer-lactaat 2269
Verenigbaar
injecteerbaar geneesmiddel Heparin sodium 1000 UI/ml
injecteerbaar geneesmiddel Ceftolozane / tazobactam 10/5 mg/ml
Natriumchloride 0,9% 3828
Verenigbaar
injecteerbaar geneesmiddel Heparin sodium 1000 UI/ml
injecteerbaar geneesmiddel Ceftolozane / tazobactam 10/5 mg/ml
Glucose 5% 3828
Verenigbaar
injecteerbaar geneesmiddel Heparin sodium 50 UI/ml
injecteerbaar geneesmiddel Ceftriaxone disodium 20 mg/ml
Geen 317
Verenigbaar
injecteerbaar geneesmiddel Heparin sodium 10 & 50 UI/ml
injecteerbaar geneesmiddel Cefuroxime sodium
Natriumchloride 0,9% 3687
Verenigbaar
injecteerbaar geneesmiddel Heparin sodium 58,34 UI/ml
injecteerbaar geneesmiddel Chlorpromazine hydrochloride 0,26 mg/ml
Glucose 5% 1289
Verenigbaar
injecteerbaar geneesmiddel Heparin sodium 1 UI/ml
injecteerbaar geneesmiddel Chlorpromazine hydrochloride 10 mg/ml
Natriumchloride 0,9% 1228
Verenigbaar
injecteerbaar geneesmiddel Heparin sodium 1 UI/ml
injecteerbaar geneesmiddel Chlorpromazine hydrochloride 10 mg/ml
Glucose 5% 1228
Niet-gespecificeerde incompatibiliteit Onverenigbaar
injecteerbaar geneesmiddel Heparin sodium
injecteerbaar geneesmiddel Chlorpromazine hydrochloride
3540
Verenigbaar
injecteerbaar geneesmiddel Heparin sodium 1 UI/ml
injecteerbaar geneesmiddel Chlorpromazine hydrochloride 10 mg/ml
Ringer-lactaat 1228
Verenigbaar
injecteerbaar geneesmiddel Heparin sodium 50 UI/ml
injecteerbaar geneesmiddel Cimetidine hydrochloride 6 mg/ml
Geen 317
Verenigbaar
injecteerbaar geneesmiddel Heparin sodium 5000 & 10000 UI/ml
injecteerbaar geneesmiddel Ciprofloxacin lactate 0.4 & 0.6 mg/ml
Natriumchloride 0,9% 2057
Onmiddellijke neerslag Onverenigbaar
injecteerbaar geneesmiddel Heparin sodium 10 >> 10000 UI/ml
injecteerbaar geneesmiddel Ciprofloxacin lactate 1 mg/ml
Natriumchloride 0,9% 2057
Onmiddellijke neerslag Onverenigbaar
injecteerbaar geneesmiddel Heparin sodium 10 & 100 UI/ml
injecteerbaar geneesmiddel Ciprofloxacin lactate 0.2 mg/ml
Natriumchloride 0,9% 2057
Niet-gespecificeerde incompatibiliteit Onverenigbaar
injecteerbaar geneesmiddel Heparin sodium
injecteerbaar geneesmiddel Ciprofloxacin lactate
3540
Onmiddellijke neerslag Onverenigbaar
injecteerbaar geneesmiddel Heparin sodium 10 >> 1000 UI/ml
injecteerbaar geneesmiddel Ciprofloxacin lactate 0.4 & 0.6 mg/ml
Natriumchloride 0,9% 2057
Verenigbaar
injecteerbaar geneesmiddel Heparin sodium 1000 >> 10000 UI/ml
injecteerbaar geneesmiddel Ciprofloxacin lactate 0.2 mg/ml
Natriumchloride 0,9% 2057
Onmiddellijke neerslag Onverenigbaar
injecteerbaar geneesmiddel Heparin sodium 10 >> 5000 UI/ml
injecteerbaar geneesmiddel Ciprofloxacin lactate 0.8 mg/ml
Natriumchloride 0,9% 2057
Verenigbaar
injecteerbaar geneesmiddel Heparin sodium 10 >> 10000 UI/ml
injecteerbaar geneesmiddel Ciprofloxacin lactate 0.1 mg/ml
Natriumchloride 0,9% 2057
Onmiddellijke neerslag Onverenigbaar
injecteerbaar geneesmiddel Heparin sodium 100 UI/ml
injecteerbaar geneesmiddel Ciprofloxacin lactate 2 mg/ml
Natriumchloride 0,9% 288
Niet-gespecificeerde incompatibiliteit Onverenigbaar
injecteerbaar geneesmiddel Heparin sodium
injecteerbaar geneesmiddel Ciprofloxacin lactate
3529
Onmiddellijke neerslag Onverenigbaar
injecteerbaar geneesmiddel Heparin sodium 100 UI/ml
injecteerbaar geneesmiddel Ciprofloxacin lactate 2 mg/ml
Glucose 5% 288
Onmiddellijke neerslag Onverenigbaar
injecteerbaar geneesmiddel Heparin sodium 10 >> 1000 UI/ml
injecteerbaar geneesmiddel Ciprofloxacin lactate 2 mg/ml
Natriumchloride 0,9% 289
Onmiddellijke troebelheid Onverenigbaar
injecteerbaar geneesmiddel Heparin sodium 10 UI/ml
injecteerbaar geneesmiddel Ciprofloxacin lactate 2 mg/ml
Geen 1393
Verenigbaar
injecteerbaar geneesmiddel Heparin sodium 10000 UI/ml
injecteerbaar geneesmiddel Ciprofloxacin lactate 0.8 mg/ml
Natriumchloride 0,9% 2057
Verenigbaar
injecteerbaar geneesmiddel Heparin sodium 100 UI/ml
injecteerbaar geneesmiddel Cisatracurium besylate 0.1 & 2 mg/ml
Glucose 5% 299
Onmiddellijke neerslag Onverenigbaar
injecteerbaar geneesmiddel Heparin sodium 100 UI/ml
injecteerbaar geneesmiddel Cisatracurium besylate 5 mg/ml
Glucose 5% 299
Kleur verandering Onverenigbaar
injecteerbaar geneesmiddel Heparin sodium 500 UI/ml
injecteerbaar geneesmiddel Cisatracurium besylate 5 mg/ml
Natriumchloride 0,9% 3463
Niet-gespecificeerde incompatibiliteit Onverenigbaar
injecteerbaar geneesmiddel Heparin sodium 500 UI/ml
injecteerbaar geneesmiddel Cisatracurium besylate 5 mg/ml
Natriumchloride 0,9% 3823
Niet-gespecificeerde incompatibiliteit Onverenigbaar
injecteerbaar geneesmiddel Heparin sodium
injecteerbaar geneesmiddel Cisatracurium besylate
3540
Verenigbaar
injecteerbaar geneesmiddel Heparin sodium 100 UI/ml
injecteerbaar geneesmiddel Cladribine 0.5 mg/ml
NaCl 0,9% (geconserveerd) 1496
Verenigbaar
injecteerbaar geneesmiddel Heparin sodium 100 UI/ml
injecteerbaar geneesmiddel Cladribine 0.015 mg/ml
Natriumchloride 0,9% 1496
Verenigbaar
injecteerbaar geneesmiddel Heparin sodium 50 UI/ml
injecteerbaar geneesmiddel Clindamycin phosphate 12 mg/ml
Geen 317
Verenigbaar
injecteerbaar geneesmiddel Heparin sodium 50 UI/ml
injecteerbaar geneesmiddel Clonidine hydrochloride 0.0075 mg/ml
Natriumchloride 0,9% 1506
Verenigbaar
injecteerbaar geneesmiddel Heparin sodium 50 UI/ml
injecteerbaar geneesmiddel Clonidine hydrochloride 0.0075 mg/ml
Glucose 5% 1506
Verenigbaar
injecteerbaar geneesmiddel Heparin sodium 100 UI/ml
injecteerbaar geneesmiddel Cloxacillin sodium 100 mg/ml
Water voor injectie 3012
Neerslag na 4 uur Onverenigbaar
injecteerbaar geneesmiddel Heparin sodium 208 UI/ml
injecteerbaar geneesmiddel Co-trimoxazole 3.2/0.64 & 80/16 mg/ml
Natriumchloride 0,9% 4254
Neerslag na 4 uur Onverenigbaar
injecteerbaar geneesmiddel Heparin sodium 208 UI/ml
injecteerbaar geneesmiddel Co-trimoxazole 3.2/0.64 & 80/16 mg/ml
Glucose 5% 4254
Verenigbaar
injecteerbaar geneesmiddel Heparin sodium 1 UI/ml
injecteerbaar geneesmiddel Cyanocobalamine 0.1 mg/ml
Ringer-lactaat 1228
Verenigbaar
injecteerbaar geneesmiddel Heparin sodium 1 UI/ml
injecteerbaar geneesmiddel Cyanocobalamine 0.1 mg/ml
Glucose 5% 1228
Verenigbaar
injecteerbaar geneesmiddel Heparin sodium 1 UI/ml
injecteerbaar geneesmiddel Cyanocobalamine 0.1 mg/ml
Natriumchloride 0,9% 1228
Niet-gespecificeerde incompatibiliteit Onverenigbaar
injecteerbaar geneesmiddel Heparin sodium
injecteerbaar geneesmiddel Cytarabine
3540
Niet-gespecificeerde incompatibiliteit Onverenigbaar
injecteerbaar geneesmiddel Heparin sodium
injecteerbaar geneesmiddel Cytarabine
3580
Niet-gespecificeerde incompatibiliteit Onverenigbaar
injecteerbaar geneesmiddel Heparin sodium
injecteerbaar geneesmiddel Dacarbazine
3605
Onmiddellijke neerslag Onverenigbaar
injecteerbaar geneesmiddel Heparin sodium 100 UI/ml
injecteerbaar geneesmiddel Dacarbazine 25 mg/ml
Natriumchloride 0,9% 860
Niet-gespecificeerde incompatibiliteit Onverenigbaar
injecteerbaar geneesmiddel Heparin sodium
injecteerbaar geneesmiddel Dacarbazine
3267
Niet-gespecificeerde incompatibiliteit Onverenigbaar
injecteerbaar geneesmiddel Heparin sodium
injecteerbaar geneesmiddel Dacarbazine
3540
Verenigbaar
injecteerbaar geneesmiddel Heparin sodium
injecteerbaar geneesmiddel Daptomycin
2271
Verenigbaar
injecteerbaar geneesmiddel Heparin sodium 98 UI/ml
injecteerbaar geneesmiddel Daptomycin 19,6 mg/ml
Natriumchloride 0,9% 1937
Onmiddellijke neerslag Onverenigbaar
injecteerbaar geneesmiddel Heparin sodium
injecteerbaar geneesmiddel Daunorubicin hydrochloride
3604
Niet-gespecificeerde incompatibiliteit Onverenigbaar
injecteerbaar geneesmiddel Heparin sodium
injecteerbaar geneesmiddel Daunorubicin hydrochloride
3540
Onmiddellijke neerslag Onverenigbaar
injecteerbaar geneesmiddel Heparin sodium
injecteerbaar geneesmiddel Daunorubicin hydrochloride liposome
3577
Onmiddellijke troebelheid Onverenigbaar
injecteerbaar geneesmiddel Heparin sodium
injecteerbaar geneesmiddel Daunorubicin/cytarabine liposomale 0,4 mg/mL
Natriumchloride 0,9% 4654
Verenigbaar
injecteerbaar geneesmiddel Heparin sodium 373 UI/ml
injecteerbaar geneesmiddel Defibrotide 8 mg/ml
Natriumchloride 0,9% 3728
Verenigbaar
injecteerbaar geneesmiddel Heparin sodium 50 UI/ml
injecteerbaar geneesmiddel Dexamethasone sodium phosphate 0.08 mg/ml
Geen 317
Verenigbaar
injecteerbaar geneesmiddel Heparin sodium
injecteerbaar geneesmiddel Dexketoprofen
4981
Verenigbaar
injecteerbaar geneesmiddel Heparin sodium 100 UI/ml
injecteerbaar geneesmiddel Dexmedetomidine 4 µg/ml
Natriumchloride 0,9% 1712
Verenigbaar
injecteerbaar geneesmiddel Heparin sodium 10000 UI/ml
injecteerbaar geneesmiddel Diatrizoate meglumine 283 mg/ml
Geen 1085
Niet-gespecificeerde incompatibiliteit Onverenigbaar
injecteerbaar geneesmiddel Heparin sodium
injecteerbaar geneesmiddel Diazepam
3540
Verenigbaar
injecteerbaar geneesmiddel Heparin sodium 100 UI/ml
injecteerbaar geneesmiddel Diltiazem hydrochloride 1 mg/ml
314
Onmiddellijke neerslag Onverenigbaar
injecteerbaar geneesmiddel Heparin sodium 20000 UI/ml
injecteerbaar geneesmiddel Diltiazem hydrochloride 5 mg/ml
Natriumchloride 0,9% 198
Verenigbaar
injecteerbaar geneesmiddel Heparin sodium 100 UI/ml
injecteerbaar geneesmiddel Diltiazem hydrochloride 1 mg/ml
Glucose 5% 4556
Onmiddellijke troebelheid Onverenigbaar
injecteerbaar geneesmiddel Heparin sodium 100 UI/ml
injecteerbaar geneesmiddel Diltiazem hydrochloride 5 mg/ml
Glucose 5% 4556
Verenigbaar
injecteerbaar geneesmiddel Heparin sodium 20000 UI/ml
injecteerbaar geneesmiddel Diltiazem hydrochloride 1 mg/ml
Natriumchloride 0,9% 198
Verenigbaar
injecteerbaar geneesmiddel Heparin sodium
injecteerbaar geneesmiddel Diltiazem hydrochloride
5090
Verenigbaar
injecteerbaar geneesmiddel Heparin sodium 80 >> 10000 UI/ml
injecteerbaar geneesmiddel Diltiazem hydrochloride 1 & 5 mg/ml
Natriumchloride 0,9% 198
Onmiddellijke neerslag Onverenigbaar
injecteerbaar geneesmiddel Heparin sodium
injecteerbaar geneesmiddel Dimenhydrinate
2087
Verenigbaar
injecteerbaar geneesmiddel Heparin sodium 1 UI/ml
injecteerbaar geneesmiddel Diphenhydramine hydrochloride 50 mg/ml
Natriumchloride 0,9% 1228
Verenigbaar
injecteerbaar geneesmiddel Heparin sodium 1 UI/ml
injecteerbaar geneesmiddel Diphenhydramine hydrochloride 50 mg/ml
Glucose 5% 1228
Verenigbaar
injecteerbaar geneesmiddel Heparin sodium 1 UI/ml
injecteerbaar geneesmiddel Diphenhydramine hydrochloride 50 mg/ml
Ringer-lactaat 1228
Neerslag na 4 uur Onverenigbaar
injecteerbaar geneesmiddel Heparin sodium 100 UI/ml
injecteerbaar geneesmiddel Dobutamine hydrochloride 4 mg/ml
314
Verenigbaar
injecteerbaar geneesmiddel Heparin sodium 40 UI/ml
injecteerbaar geneesmiddel Dobutamine hydrochloride 1 mg/ml
Natriumchloride 0,9% 1058
Verenigbaar
injecteerbaar geneesmiddel Heparin sodium 100 UI/ml
injecteerbaar geneesmiddel Dobutamine hydrochloride 2 mg/ml
Glucose 5% 1041
Onmiddellijke neerslag Onverenigbaar
injecteerbaar geneesmiddel Heparin sodium 100 UI/ml
injecteerbaar geneesmiddel Dobutamine hydrochloride 2 mg/ml
Glucose 5% 1352
Onmiddellijke troebelheid Onverenigbaar
injecteerbaar geneesmiddel Heparin sodium 100 UI/ml
injecteerbaar geneesmiddel Dobutamine hydrochloride 4 mg/ml
Glucose 5% 295
Onmiddellijke neerslag Onverenigbaar
injecteerbaar geneesmiddel Heparin sodium
injecteerbaar geneesmiddel Dobutamine hydrochloride
3540
Kleurverandering na 6 uur Onverenigbaar
injecteerbaar geneesmiddel Heparin sodium 10000 UI/ml
injecteerbaar geneesmiddel Dobutamine hydrochloride 2 mg/ml
Glucose 5% 1041
Verenigbaar
injecteerbaar geneesmiddel Heparin sodium 40 UI/ml
injecteerbaar geneesmiddel Dobutamine hydrochloride 1 mg/ml
Glucose 5% 1058
Verenigbaar
injecteerbaar geneesmiddel Heparin sodium 50 UI/ml
injecteerbaar geneesmiddel Dobutamine hydrochloride 1 mg/ml
Geen 317
Verenigbaar
injecteerbaar geneesmiddel Heparin sodium 100 UI/ml
injecteerbaar geneesmiddel Docetaxel 0.9 mg/ml
Glucose 5% 1754
Verenigbaar
injecteerbaar geneesmiddel Heparin sodium 1 UI/ml
injecteerbaar geneesmiddel Dopamine hydrochloride 40 mg/ml
Natriumchloride 0,9% 1228
Verenigbaar
injecteerbaar geneesmiddel Heparin sodium 50 UI/ml
injecteerbaar geneesmiddel Dopamine hydrochloride 1.6 mg/ml
Geen 317
Verenigbaar
injecteerbaar geneesmiddel Heparin sodium 100 UI/ml
injecteerbaar geneesmiddel Dopamine hydrochloride 3.2 mg/ml
314
Verenigbaar
injecteerbaar geneesmiddel Heparin sodium 1 UI/ml
injecteerbaar geneesmiddel Dopamine hydrochloride 40 mg/ml
Ringer-lactaat 1228
Verenigbaar
injecteerbaar geneesmiddel Heparin sodium 200 UI/ml
injecteerbaar geneesmiddel Dopamine hydrochloride 0.8 mg/ml
Glucose 5% 738
Verenigbaar
injecteerbaar geneesmiddel Heparin sodium 1 UI/ml
injecteerbaar geneesmiddel Dopamine hydrochloride 40 mg/ml
Glucose 5% 1228
Verenigbaar
injecteerbaar geneesmiddel Heparin sodium 100 UI/ml
injecteerbaar geneesmiddel Dopamine hydrochloride 3,2 mg/ml
4389
Niet-gespecificeerde incompatibiliteit Onverenigbaar
injecteerbaar geneesmiddel Heparin sodium 187 UI/ml
injecteerbaar geneesmiddel Dopamine hydrochloride 1,7 >> 3,4 mg/ml
Glucose 5% 377
Verenigbaar
injecteerbaar geneesmiddel Heparin sodium 100 UI/ml
injecteerbaar geneesmiddel Doripenem 5 mg/ml
Natriumchloride 0,9% 2262
Verenigbaar
injecteerbaar geneesmiddel Heparin sodium 100 UI/ml
injecteerbaar geneesmiddel Doripenem 5 mg/ml
Glucose 5% 2262
Verenigbaar
injecteerbaar geneesmiddel Heparin sodium 1 UI/ml
injecteerbaar geneesmiddel Doxapram hydrochloride 2 mg/ml
Glucose 5% 1802
Niet-gespecificeerde incompatibiliteit Onverenigbaar
injecteerbaar geneesmiddel Heparin sodium
injecteerbaar geneesmiddel Doxorubicin hydrochloride
3540
Onmiddellijke neerslag Onverenigbaar
injecteerbaar geneesmiddel Heparin sodium
injecteerbaar geneesmiddel Doxorubicin hydrochloride
3645
Onmiddellijke neerslag Onverenigbaar
injecteerbaar geneesmiddel Heparin sodium 1000 UI/ml
injecteerbaar geneesmiddel Doxorubicin hydrochloride 2 mg/ml
763
Verenigbaar
injecteerbaar geneesmiddel Heparin sodium 1000 UI/ml
injecteerbaar geneesmiddel Doxorubicin hydrochloride liposome peg 0.4 mg/ml
Glucose 5% 251
Niet-gespecificeerde incompatibiliteit Onverenigbaar
injecteerbaar geneesmiddel Heparin sodium 50 UI/ml
injecteerbaar geneesmiddel Doxycycline hyclate 1 mg/ml
Geen 317
Onmiddellijke neerslag Onverenigbaar
injecteerbaar geneesmiddel Heparin sodium 1000 UI/ml
injecteerbaar geneesmiddel Droperidol 2,5 mg/ml
763
Verenigbaar
injecteerbaar geneesmiddel Heparin sodium 1 UI/ml
injecteerbaar geneesmiddel Droperidol 1.25 mg/ml
Natriumchloride 0,9% 1228
Verenigbaar
injecteerbaar geneesmiddel Heparin sodium 1 UI/ml
injecteerbaar geneesmiddel Droperidol 1.25 mg/ml
Ringer-lactaat 1228
Verenigbaar
injecteerbaar geneesmiddel Heparin sodium 1 UI/ml
injecteerbaar geneesmiddel Droperidol 1.25 mg/ml
Glucose 5% 1228
Niet-gespecificeerde incompatibiliteit Onverenigbaar
injecteerbaar geneesmiddel Heparin sodium
injecteerbaar geneesmiddel Droperidol
3540
Verenigbaar
injecteerbaar geneesmiddel Heparin sodium 45,45 UI/ml
injecteerbaar geneesmiddel Enalaprilate 0,011 mg/ml
Glucose 5% 963
Verenigbaar
injecteerbaar geneesmiddel Heparin sodium 40 UI/ml
injecteerbaar geneesmiddel Enalaprilate 0.05 mg/ml
Natriumchloride 0,9% 1315
Verenigbaar
injecteerbaar geneesmiddel Heparin sodium 50 UI/ml
injecteerbaar geneesmiddel Enalaprilate 0.0125 mg/ml
Natriumchloride 0,9% 1703
Verenigbaar
injecteerbaar geneesmiddel Heparin sodium 1 UI/ml
injecteerbaar geneesmiddel Epinephrine hydrochloride 100 µg/ml
Ringer-lactaat 1228
Verenigbaar
injecteerbaar geneesmiddel Heparin sodium 100 UI/ml
injecteerbaar geneesmiddel Epinephrine hydrochloride 20 µg/ml
314
Verenigbaar
injecteerbaar geneesmiddel Heparin sodium 1 UI/ml
injecteerbaar geneesmiddel Epinephrine hydrochloride 100 µg/ml
Natriumchloride 0,9% 1228
Verenigbaar
injecteerbaar geneesmiddel Heparin sodium 1 UI/ml
injecteerbaar geneesmiddel Epinephrine hydrochloride 100 µg/ml
Glucose 5% 1228
Niet-gespecificeerde incompatibiliteit Onverenigbaar
injecteerbaar geneesmiddel Heparin sodium
injecteerbaar geneesmiddel Epirubicin hydrochloride
3632
Verenigbaar
injecteerbaar geneesmiddel Heparin sodium
injecteerbaar geneesmiddel Eptifibatide
3934
Verenigbaar
injecteerbaar geneesmiddel Heparin sodium 1000 UI/ml
injecteerbaar geneesmiddel Eravacycline 0,6 mg/ml
Natriumchloride 0,9% 4434
Onmiddellijke troebelheid Onverenigbaar
injecteerbaar geneesmiddel Heparin sodium 1 UI/ml
injecteerbaar geneesmiddel Ergotamine tartrate 0.5 mg/ml
Natriumchloride 0,9% 1228
Neerslag na 4 uur Onverenigbaar
injecteerbaar geneesmiddel Heparin sodium 1 UI/ml
injecteerbaar geneesmiddel Ergotamine tartrate 0.5 mg/ml
Ringer-lactaat 1228
Neerslag na 4 uur Onverenigbaar
injecteerbaar geneesmiddel Heparin sodium 1 UI/ml
injecteerbaar geneesmiddel Ergotamine tartrate 0.5 mg/ml
Glucose 5% 1228
Verenigbaar
injecteerbaar geneesmiddel Heparin sodium 50 & 100 UI/ml
injecteerbaar geneesmiddel Ertapenem 10 & 20 mg/ml
Natriumchloride 0,9% 1906
Verenigbaar
injecteerbaar geneesmiddel Heparin sodium 50 UI/ml
injecteerbaar geneesmiddel Erythromycin lactobionate 3.3 mg/ml
Geen 317
Niet-gespecificeerde incompatibiliteit Onverenigbaar
injecteerbaar geneesmiddel Heparin sodium
injecteerbaar geneesmiddel Erythromycin lactobionate
3674
Niet-gespecificeerde incompatibiliteit Onverenigbaar
injecteerbaar geneesmiddel Heparin sodium
injecteerbaar geneesmiddel Erythromycin lactobionate
3540
Verenigbaar
injecteerbaar geneesmiddel Heparin sodium 50 UI/ml
injecteerbaar geneesmiddel Esmolol hydrochloride 6 mg/ml
Glucose 5% 174
Verenigbaar
injecteerbaar geneesmiddel Heparin sodium 40 UI/ml
injecteerbaar geneesmiddel Esmolol hydrochloride 10 mg/ml
Glucose 5% 384
Verenigbaar
injecteerbaar geneesmiddel Heparin sodium 500 UI/ml
injecteerbaar geneesmiddel Esmolol hydrochloride 10 mg/ml
Natriumchloride 0,9% 3823
Onmiddellijke neerslag Onverenigbaar
injecteerbaar geneesmiddel Heparin sodium 1000 UI/ml
injecteerbaar geneesmiddel Ethanol 70 %
Water voor injectie (geconserveerd) 2221
Onmiddellijke neerslag Onverenigbaar
injecteerbaar geneesmiddel Heparin sodium 1000 UI/ml
injecteerbaar geneesmiddel Ethanol 70 %
Water voor injectie 2221
Neerslag na 1 uur Onverenigbaar
injecteerbaar geneesmiddel Heparin sodium 10 UI/ml
injecteerbaar geneesmiddel Ethanol 70 %
Water voor injectie (geconserveerd) 2221
Onmiddellijke neerslag Onverenigbaar
injecteerbaar geneesmiddel Heparin sodium 10 UI/ml
injecteerbaar geneesmiddel Ethanol 70 %
Water voor injectie 2221
Verenigbaar
injecteerbaar geneesmiddel Heparin sodium 100 UI/ml
injecteerbaar geneesmiddel Etoposide phosphate 5 mg/ml
Glucose 5% 1410
Verenigbaar
injecteerbaar geneesmiddel Heparin sodium 40 UI/ml
injecteerbaar geneesmiddel Famotidine
Glucose 5% 397
Verenigbaar
injecteerbaar geneesmiddel Heparin sodium 50 UI/ml
injecteerbaar geneesmiddel Famotidine 0.2 mg/ml
Glucose 5% 398
Verenigbaar
injecteerbaar geneesmiddel Heparin sodium 40 UI/ml
injecteerbaar geneesmiddel Famotidine 2 mg/ml
Natriumchloride 0,9% 215
Verenigbaar
injecteerbaar geneesmiddel Heparin sodium 100 UI/ml
injecteerbaar geneesmiddel Fenoldopam mesylate 80 µg/ml
Natriumchloride 0,9% 1803
Verenigbaar
injecteerbaar geneesmiddel Heparin sodium 100 UI/ml
injecteerbaar geneesmiddel Fentanyl citrate 50 µg/ml
4389
Verenigbaar
injecteerbaar geneesmiddel Heparin sodium 1 UI/ml
injecteerbaar geneesmiddel Fentanyl citrate 50 µg/ml
Glucose 5% 1228
Verenigbaar
injecteerbaar geneesmiddel Heparin sodium 1 UI/ml
injecteerbaar geneesmiddel Fentanyl citrate 50 µg/ml
Ringer-lactaat 1228
Verenigbaar
injecteerbaar geneesmiddel Heparin sodium 1 UI/ml
injecteerbaar geneesmiddel Fentanyl citrate 50 µg/ml
Natriumchloride 0,9% 1228
Verenigbaar
injecteerbaar geneesmiddel Heparin sodium 100 UI/ml
injecteerbaar geneesmiddel Fentanyl citrate 50 µg/ml
314
Onmiddellijke neerslag Onverenigbaar
injecteerbaar geneesmiddel Heparin sodium 100 UI/ml
injecteerbaar geneesmiddel Filgrastim 30 µg/ml
Glucose 5% 244
Verenigbaar
injecteerbaar geneesmiddel Heparin sodium 1000 UI/ml
injecteerbaar geneesmiddel Fluconazole 2 mg/ml
Natriumchloride 0,9% 496
Verenigbaar
injecteerbaar geneesmiddel Heparin sodium 50 UI/ml
injecteerbaar geneesmiddel Fluconazole 2 mg/ml
Geen 317
Verenigbaar
injecteerbaar geneesmiddel Heparin sodium 40 >> 1000 UI/ml
injecteerbaar geneesmiddel Fludarabine phosphate 1 mg/ml
Glucose 5% 492
Verenigbaar
injecteerbaar geneesmiddel Heparin sodium 50 UI/ml
injecteerbaar geneesmiddel Flumazenil 0,02 mg/ml
Glucose 5% 187
Verenigbaar
injecteerbaar geneesmiddel Heparin sodium 5 UI/ml
injecteerbaar geneesmiddel Fluorouracil 0,8 mg/ml
Natriumchloride 0,9% 156
Verenigbaar
injecteerbaar geneesmiddel Heparin sodium 5 UI/ml
injecteerbaar geneesmiddel Fluorouracil 0,8 mg/ml
Glucose 5% 156
Verenigbaar
injecteerbaar geneesmiddel Heparin sodium 1 UI/ml
injecteerbaar geneesmiddel Fluorouracil 50 mg/ml
Natriumchloride 0,9% 1228
Verenigbaar
injecteerbaar geneesmiddel Heparin sodium 960 UI/ml
injecteerbaar geneesmiddel Fluorouracil 24 mg/ml
Glucose 5% 163
Verenigbaar
injecteerbaar geneesmiddel Heparin sodium 1 UI/ml
injecteerbaar geneesmiddel Fluorouracil 50 mg/ml
Glucose 5% 1228
Verenigbaar
injecteerbaar geneesmiddel Heparin sodium 1000 UI/ml
injecteerbaar geneesmiddel Fluorouracil 50 mg/ml
763
Verenigbaar
injecteerbaar geneesmiddel Heparin sodium 1 UI/ml
injecteerbaar geneesmiddel Fluorouracil 50 mg/ml
Ringer-lactaat 1228
Verenigbaar
injecteerbaar geneesmiddel Heparin sodium 1000 UI/ml
injecteerbaar geneesmiddel Folinate calcium 10 mg/ml
763
Verenigbaar
injecteerbaar geneesmiddel Heparin sodium 100 UI/ml
injecteerbaar geneesmiddel Foscarnet sodium 24 mg/ml
Glucose 5% 1135
Verenigbaar
injecteerbaar geneesmiddel Heparin sodium 100 UI/ml
injecteerbaar geneesmiddel Foscarnet sodium 24 mg/ml
Natriumchloride 0,9% 1135
Verenigbaar
injecteerbaar geneesmiddel Heparin sodium 1000 UI/ml
injecteerbaar geneesmiddel Foscarnet sodium 24 mg/ml
Geen 73
Verenigbaar
injecteerbaar geneesmiddel Heparin sodium 1000 UI/ml
injecteerbaar geneesmiddel Fosfomycin 30 mg/ml
Glucose 5% 4055
Verenigbaar
injecteerbaar geneesmiddel Heparin sodium 1000 UI/ml
injecteerbaar geneesmiddel Fosfomycin 30 mg/ml
Natriumchloride 0,9% 4055
Verenigbaar
injecteerbaar geneesmiddel Heparin sodium 100 UI/ml
injecteerbaar geneesmiddel Furosemide 10 mg/ml
314
Verenigbaar
injecteerbaar geneesmiddel Heparin sodium 1 UI/ml
injecteerbaar geneesmiddel Furosemide 10 mg/ml
Natriumchloride 0,9% 1228
Neerslag na 5 uur Onverenigbaar
injecteerbaar geneesmiddel Heparin sodium 100 UI/ml
injecteerbaar geneesmiddel Furosemide 10 mg/ml
Glucose 5% 4724
Verenigbaar
injecteerbaar geneesmiddel Heparin sodium 20 UI/ml
injecteerbaar geneesmiddel Furosemide 1 mg/ml
Natriumchloride 0,9% 1232
Verenigbaar
injecteerbaar geneesmiddel Heparin sodium 58,34 UI/ml
injecteerbaar geneesmiddel Furosemide 5,21 mg/ml
Glucose 5% 1289
Verenigbaar
injecteerbaar geneesmiddel Heparin sodium
injecteerbaar geneesmiddel Furosemide
3465
Verenigbaar
injecteerbaar geneesmiddel Heparin sodium 1 UI/ml
injecteerbaar geneesmiddel Furosemide 10 mg/ml
Ringer-lactaat 1228
Verenigbaar
injecteerbaar geneesmiddel Heparin sodium 1000 UI/ml
injecteerbaar geneesmiddel Furosemide 10 mg/ml
763
Verenigbaar
injecteerbaar geneesmiddel Heparin sodium 10 UI/ml
injecteerbaar geneesmiddel Furosemide 10 mg/ml
Geen 3210
Verenigbaar
injecteerbaar geneesmiddel Heparin sodium 500 UI/ml
injecteerbaar geneesmiddel Furosemide 10 mg/ml
Natriumchloride 0,9% 3823
Verenigbaar
injecteerbaar geneesmiddel Heparin sodium 500 UI/ml
injecteerbaar geneesmiddel Furosemide 10 mg/ml
Geen 3134
Verenigbaar
injecteerbaar geneesmiddel Heparin sodium 1 UI/ml
injecteerbaar geneesmiddel Furosemide 10 mg/ml
Glucose 5% 1228
Verenigbaar
injecteerbaar geneesmiddel Heparin sodium 40 UI/ml
injecteerbaar geneesmiddel Gallium nitrate 1 mg/ml
Natriumchloride 0,9% 91
Verenigbaar
injecteerbaar geneesmiddel Heparin sodium 100 UI/ml
injecteerbaar geneesmiddel Gemcitabine hydrochloride 10 mg/ml
Natriumchloride 0,9% 1423
Onmiddellijke troebelheid Onverenigbaar
injecteerbaar geneesmiddel Heparin sodium 2500 UI/ml
injecteerbaar geneesmiddel Gentamicin sulfate 3 mg/ml
4612
Niet-gespecificeerde incompatibiliteit Onverenigbaar
injecteerbaar geneesmiddel Heparin sodium
injecteerbaar geneesmiddel Gentamicin sulfate
3520
Niet-gespecificeerde incompatibiliteit Onverenigbaar
injecteerbaar geneesmiddel Heparin sodium
injecteerbaar geneesmiddel Gentamicin sulfate
3643
Onmiddellijke neerslag Onverenigbaar
injecteerbaar geneesmiddel Heparin sodium
injecteerbaar geneesmiddel Gentamicin sulfate
1022
Niet-gespecificeerde incompatibiliteit Onverenigbaar
injecteerbaar geneesmiddel Heparin sodium 50 UI/ml
injecteerbaar geneesmiddel Gentamicin sulfate 2 mg/ml
Geen 317
Onmiddellijke neerslag Onverenigbaar
injecteerbaar geneesmiddel Heparin sodium 10 >> 40 UI/ml
injecteerbaar geneesmiddel Gentamicin sulfate 4 >> 40 mg/ml
1258
Onmiddellijke neerslag Onverenigbaar
injecteerbaar geneesmiddel Heparin sodium 2500 UI/ml
injecteerbaar geneesmiddel Gentamicin sulfate 4 & 5 mg/ml
4612
Niet-gespecificeerde incompatibiliteit Onverenigbaar
injecteerbaar geneesmiddel Heparin sodium
injecteerbaar geneesmiddel Gentamicin sulfate
3540
Verenigbaar
injecteerbaar geneesmiddel Heparin sodium 2500 UI/ml
injecteerbaar geneesmiddel Gentamicin sulfate 1 & 2 mg/ml
4612
Verenigbaar
injecteerbaar geneesmiddel Heparin sodium 50 UI/ml
injecteerbaar geneesmiddel Glycerophosphate disodium
Natriumchloride 0,9% 4332
Verenigbaar
injecteerbaar geneesmiddel Heparin sodium 100 UI/ml
injecteerbaar geneesmiddel Granisetron hydrochloride 0.05 mg/ml
Glucose 5% 182
Onmiddellijke neerslag Onverenigbaar
injecteerbaar geneesmiddel Heparin sodium 100 & 200 UI/ml
injecteerbaar geneesmiddel Haloperidol lactate 5 mg/ml
Glucose 5% 617
Onmiddellijke neerslag Onverenigbaar
injecteerbaar geneesmiddel Heparin sodium 100 & 200 UI/ml
injecteerbaar geneesmiddel Haloperidol lactate 5 mg/ml
Natriumchloride 0,9% 617
Verenigbaar
injecteerbaar geneesmiddel Heparin sodium 500 UI/ml
injecteerbaar geneesmiddel Haloperidol lactate 0.5 mg/ml
Natriumchloride 0,9% 3823
Niet-gespecificeerde incompatibiliteit Onverenigbaar
injecteerbaar geneesmiddel Heparin sodium
injecteerbaar geneesmiddel Haloperidol lactate
3540
Verenigbaar
injecteerbaar geneesmiddel Heparin sodium 100 UI/ml
injecteerbaar geneesmiddel Hetastarch 60 mg/ml
specifieke solvent 1721
Niet-gespecificeerde incompatibiliteit Onverenigbaar
injecteerbaar geneesmiddel Heparin sodium
injecteerbaar geneesmiddel Hyaluronidase
3617
Niet-gespecificeerde incompatibiliteit Onverenigbaar
injecteerbaar geneesmiddel Heparin sodium
injecteerbaar geneesmiddel Hyaluronidase
3184
Niet-gespecificeerde incompatibiliteit Onverenigbaar
injecteerbaar geneesmiddel Heparin sodium
injecteerbaar geneesmiddel Hyaluronidase
3540
Verenigbaar
injecteerbaar geneesmiddel Heparin sodium 1 UI/ml
injecteerbaar geneesmiddel Hydralazine hydrochloride 20 mg/ml
Glucose 5% 1228
Verenigbaar
injecteerbaar geneesmiddel Heparin sodium 1 UI/ml
injecteerbaar geneesmiddel Hydralazine hydrochloride 20 mg/ml
Ringer-lactaat 1228
Verenigbaar
injecteerbaar geneesmiddel Heparin sodium 1 UI/ml
injecteerbaar geneesmiddel Hydralazine hydrochloride 20 mg/ml
Natriumchloride 0,9% 1228
Verenigbaar
injecteerbaar geneesmiddel Heparin sodium 100 UI/ml
injecteerbaar geneesmiddel Hydrocortisone sodium succinate 125 mg/ml
Natriumchloride 0,9% 132
Niet-gespecificeerde incompatibiliteit Onverenigbaar
injecteerbaar geneesmiddel Heparin sodium
injecteerbaar geneesmiddel Hydrocortisone sodium succinate
3540
Verenigbaar
injecteerbaar geneesmiddel Heparin sodium 50 UI/ml
injecteerbaar geneesmiddel Hydrocortisone sodium succinate 2 mg/ml
Geen 317
Verenigbaar
injecteerbaar geneesmiddel Heparin sodium 100 UI/ml
injecteerbaar geneesmiddel Hydrocortisone sodium succinate 125 mg/ml
Glucose 5% 132
Verenigbaar
injecteerbaar geneesmiddel Heparin sodium
injecteerbaar geneesmiddel Hydromorphone hydrochloride <12.5 mg/ml
Natriumchloride 0,9% 66
Verenigbaar
injecteerbaar geneesmiddel Heparin sodium 100 UI/ml
injecteerbaar geneesmiddel Hydromorphone hydrochloride 1 mg/ml
314
Onmiddellijke neerslag Onverenigbaar
injecteerbaar geneesmiddel Heparin sodium <12,5 UI/ml
injecteerbaar geneesmiddel Hydromorphone hydrochloride >25 mg/ml
Natriumchloride 0,9% 66
Verenigbaar
injecteerbaar geneesmiddel Heparin sodium
injecteerbaar geneesmiddel Hydromorphone hydrochloride <12.5 mg/ml
Water voor injectie 66
Onmiddellijke neerslag Onverenigbaar
injecteerbaar geneesmiddel Heparin sodium <1 UI/ml
injecteerbaar geneesmiddel Hydromorphone hydrochloride >10 mg/ml
Water voor injectie 66
Onmiddellijke neerslag Onverenigbaar
injecteerbaar geneesmiddel Heparin sodium <12,5 UI/ml
injecteerbaar geneesmiddel Hydromorphone hydrochloride >25 mg/ml
Water voor injectie 66
Verenigbaar
injecteerbaar geneesmiddel Heparin sodium 100 UI/ml
injecteerbaar geneesmiddel Ibuprofen lysinate 10 mg/ml
Water voor injectie 4419
Verenigbaar
injecteerbaar geneesmiddel Heparin sodium 10 UI/ml
injecteerbaar geneesmiddel Ibuprofen lysinate 10 mg/ml
Water voor injectie 4419
Onmiddellijke troebelheid Onverenigbaar
injecteerbaar geneesmiddel Heparin sodium 100 & 1000 UI/ml
injecteerbaar geneesmiddel Idarubicin hydrochloride 1 mg/ml
Natriumchloride 0,9% 491
Onmiddellijke neerslag Onverenigbaar
injecteerbaar geneesmiddel Heparin sodium
injecteerbaar geneesmiddel Idarubicin hydrochloride
5075
Verenigbaar
injecteerbaar geneesmiddel Heparin sodium
injecteerbaar geneesmiddel Imipenem-Cilastatin / Relebactam
4809
Verenigbaar
injecteerbaar geneesmiddel Heparin sodium 1000 UI/ml
injecteerbaar geneesmiddel Imipenem-Cilastatin / Relebactam 5 mg/ml
Natriumchloride 0,9% 4433
Verenigbaar
injecteerbaar geneesmiddel Heparin sodium 1000 UI/ml
injecteerbaar geneesmiddel Imipenem-Cilastatin / Relebactam 5 mg/ml
Glucose 5% 4433
Verenigbaar
injecteerbaar geneesmiddel Heparin sodium 500 UI/ml
injecteerbaar geneesmiddel Insulin 2 UI/ml
Natriumchloride 0,9% 3823
Verenigbaar
injecteerbaar geneesmiddel Heparin sodium 60 UI/ml
injecteerbaar geneesmiddel Insulin 0.2 UI/ml
Natriumchloride 0,9% 129
Verenigbaar
injecteerbaar geneesmiddel Heparin sodium 50 & 400 UI/ml
injecteerbaar geneesmiddel Insulin aspart 1 UI/ml
Glucose 5% 1508
Verenigbaar
injecteerbaar geneesmiddel Heparin sodium 50 & 400 UI/ml
injecteerbaar geneesmiddel Insulin aspart 1 UI/ml
Natriumchloride 0,9% 1508
Verenigbaar
injecteerbaar geneesmiddel Heparin sodium 10000 UI/ml
injecteerbaar geneesmiddel Iohexol 300 mg I/ml
Geen 1085
Verenigbaar
injecteerbaar geneesmiddel Heparin sodium 10000 UI/ml
injecteerbaar geneesmiddel Ioxaglate 320 mg I/ml
Geen 1085
Onmiddellijke troebelheid Onverenigbaar
injecteerbaar geneesmiddel Heparin sodium 1000 UI/ml
injecteerbaar geneesmiddel Isavuconazonium sulfate 1.5 mg/ml
Natriumchloride 0,9% 3829
Onmiddellijke troebelheid Onverenigbaar
injecteerbaar geneesmiddel Heparin sodium 1000 UI/ml
injecteerbaar geneesmiddel Isavuconazonium sulfate 1.5 mg/ml
Glucose 5% 3829
Verenigbaar
injecteerbaar geneesmiddel Heparin sodium 1 UI/ml
injecteerbaar geneesmiddel Isoprenaline hydrochloride 0.2 mg/ml
Glucose 5% 1228
Verenigbaar
injecteerbaar geneesmiddel Heparin sodium 1 UI/ml
injecteerbaar geneesmiddel Isoprenaline hydrochloride 0.2 mg/ml
Natriumchloride 0,9% 1228
Verenigbaar
injecteerbaar geneesmiddel Heparin sodium 1 UI/ml
injecteerbaar geneesmiddel Isoprenaline hydrochloride 0.2 mg/ml
Ringer-lactaat 1228
Niet-gespecificeerde incompatibiliteit Onverenigbaar
injecteerbaar geneesmiddel Heparin sodium
injecteerbaar geneesmiddel Kanamycin sulfate
3540
Onmiddellijke neerslag Onverenigbaar
injecteerbaar geneesmiddel Heparin sodium 25000 UI/ml
injecteerbaar geneesmiddel Ketamine hydrochloride 50 mg/ml
2109
Verenigbaar
injecteerbaar geneesmiddel Heparin sodium 100 UI/ml
injecteerbaar geneesmiddel Labetalol hydrochloride 2 mg/ml
314
Niet-gespecificeerde incompatibiliteit Onverenigbaar
injecteerbaar geneesmiddel Heparin sodium 500 UI/ml
injecteerbaar geneesmiddel Labetalol hydrochloride 4 mg/ml
Natriumchloride 0,9% 3823
Niet-gespecificeerde incompatibiliteit Onverenigbaar
injecteerbaar geneesmiddel Heparin sodium
injecteerbaar geneesmiddel Labetalol hydrochloride
3540
Onmiddellijke neerslag Onverenigbaar
injecteerbaar geneesmiddel Heparin sodium 100 UI/ml
injecteerbaar geneesmiddel Labetalol hydrochloride 5 mg/ml
Glucose 5% 295
Verenigbaar
injecteerbaar geneesmiddel Heparin sodium 40 UI/ml
injecteerbaar geneesmiddel Labetalol hydrochloride 1 mg/ml
Glucose 5% 386
Verenigbaar
injecteerbaar geneesmiddel Heparin sodium 100 UI/ml
injecteerbaar geneesmiddel Lansoprazole 0.55 mg/ml
Natriumchloride 0,9% 1625
Troebelheid in 4 uur Onverenigbaar
injecteerbaar geneesmiddel Heparin sodium 100 UI/ml
injecteerbaar geneesmiddel Levetiracetam 100 mg/ml
Glucose 5% 4108
Onmiddellijke troebelheid Onverenigbaar
injecteerbaar geneesmiddel Heparin sodium 208,3 UI/ml
injecteerbaar geneesmiddel Levetiracetam 15 mg/ml
Natriumchloride 0,9% 4698
Niet-gespecificeerde incompatibiliteit Onverenigbaar
injecteerbaar geneesmiddel Heparin sodium
injecteerbaar geneesmiddel Levofloxacine
3920
Onmiddellijke neerslag Onverenigbaar
injecteerbaar geneesmiddel Heparin sodium 10 UI/ml
injecteerbaar geneesmiddel Levofloxacine 5 mg/ml
Glucose 5% 1072
Niet-gespecificeerde incompatibiliteit Onverenigbaar
injecteerbaar geneesmiddel Heparin sodium
injecteerbaar geneesmiddel Levomepromazine
3540
Verenigbaar
injecteerbaar geneesmiddel Heparin sodium 100 UI/ml
injecteerbaar geneesmiddel Levosimendan 2,5 mg/ml
Glucose 5% 4389
Verenigbaar
injecteerbaar geneesmiddel Heparin sodium 50 UI/ml
injecteerbaar geneesmiddel Lidocaine hydrochloride 4 mg/ml
Geen 317
Verenigbaar
injecteerbaar geneesmiddel Heparin sodium 1000 UI/ml
injecteerbaar geneesmiddel Linezolid 2 mg/ml
Geen 1925
Verenigbaar
injecteerbaar geneesmiddel Heparin sodium 10 >> 10000 UI/ml
injecteerbaar geneesmiddel Linezolid 0.2 >> 1.92 mg/ml
Natriumchloride 0,9% 2057
Verenigbaar
injecteerbaar geneesmiddel Heparin sodium 417 UI/ml
injecteerbaar geneesmiddel Lorazepam 0.33 mg/ml
Natriumchloride 0,9% 186
Verenigbaar
injecteerbaar geneesmiddel Heparin sodium 100 UI/ml
injecteerbaar geneesmiddel Lorazepam 0.5 mg/ml
314
Verenigbaar
injecteerbaar geneesmiddel Heparin sodium 1 UI/ml
injecteerbaar geneesmiddel Magnesium sulfate 5 mg/ml
Natriumchloride 0,9% 1228
Verenigbaar
injecteerbaar geneesmiddel Heparin sodium 50 UI/ml
injecteerbaar geneesmiddel Magnesium sulfate 15.6 mg/ml
Natriumchloride 0,9% 2100
Verenigbaar
injecteerbaar geneesmiddel Heparin sodium 1 UI/ml
injecteerbaar geneesmiddel Magnesium sulfate 5 mg/ml
Ringer-lactaat 1228
Verenigbaar
injecteerbaar geneesmiddel Heparin sodium 1 UI/ml
injecteerbaar geneesmiddel Magnesium sulfate 5 mg/ml
Glucose 5% 1228
Verenigbaar
injecteerbaar geneesmiddel Heparin sodium 100 UI/ml
injecteerbaar geneesmiddel Melphalan 0.1 mg/ml
Natriumchloride 0,9% 169
Verenigbaar
injecteerbaar geneesmiddel Heparin sodium 0.5 UI/ml
injecteerbaar geneesmiddel Meropenem 0.5 mg/ml
Dianéal® 4.25% glucose (Baxter) 4180
Verenigbaar
injecteerbaar geneesmiddel Heparin sodium 0.5 UI/ml
injecteerbaar geneesmiddel Meropenem 0.5 mg/ml
Extraneal® (Baxter) 4180
Verenigbaar
injecteerbaar geneesmiddel Heparin sodium 1000 UI/ml
injecteerbaar geneesmiddel Meropenem 50 mg/ml
Water voor injectie 4319
Verenigbaar
injecteerbaar geneesmiddel Heparin sodium 1 UI/ml
injecteerbaar geneesmiddel Meropenem 1 & 50 mg/ml
Natriumchloride 0,9% 266
Verenigbaar
injecteerbaar geneesmiddel Heparin sodium 0.5 UI/ml
injecteerbaar geneesmiddel Meropenem 0.5 mg/ml
Dianéal® 1.5% glucose (Baxter) 4180
Verenigbaar
injecteerbaar geneesmiddel Heparin sodium 20 UI/ml
injecteerbaar geneesmiddel Meropenem 1 & 20 mg/ml
Natriumchloride 0,9% 266
Verenigbaar
injecteerbaar geneesmiddel Heparin sodium 0.5 UI/ml
injecteerbaar geneesmiddel Meropenem 0.5 mg/ml
Dianéal® 2.5% glucose (Baxter) 4180
Verenigbaar
injecteerbaar geneesmiddel Heparin sodium 50 UI/ml
injecteerbaar geneesmiddel Methadone hydrochloride 0.2 mg/ml
Glucose 5% 1506
Verenigbaar
injecteerbaar geneesmiddel Heparin sodium 50 UI/ml
injecteerbaar geneesmiddel Methadone hydrochloride 0.2 mg/ml
Natriumchloride 0,9% 1506
Niet-gespecificeerde incompatibiliteit Onverenigbaar
injecteerbaar geneesmiddel Heparin sodium
injecteerbaar geneesmiddel Methotrexate sodium
3637
Verenigbaar
injecteerbaar geneesmiddel Heparin sodium 1000 UI/ml
injecteerbaar geneesmiddel Methotrexate sodium 25 mg/ml
763
Verenigbaar
injecteerbaar geneesmiddel Heparin sodium 500 UI/ml
injecteerbaar geneesmiddel Methotrexate sodium 30 mg/ml
Natriumchloride 0,9% 150
Verenigbaar
injecteerbaar geneesmiddel Heparin sodium 100 UI/ml
injecteerbaar geneesmiddel Methylprednisolone sodium succinate 5 mg/ml
Glucose 5% 132
Verenigbaar
injecteerbaar geneesmiddel Heparin sodium 50 UI/ml
injecteerbaar geneesmiddel Methylprednisolone sodium succinate 2.5 mg/ml
Geen 317
Verenigbaar
injecteerbaar geneesmiddel Heparin sodium 100 UI/ml
injecteerbaar geneesmiddel Methylprednisolone sodium succinate 5 mg/ml
Natriumchloride 0,9% 132
Verenigbaar
injecteerbaar geneesmiddel Heparin sodium 1000 UI/ml
injecteerbaar geneesmiddel Metoclopramide hydrochloride 5 mg/ml
763
Chemische instabiliteit Onverenigbaar
injecteerbaar geneesmiddel Heparin sodium 1000 UI/ml
injecteerbaar geneesmiddel Metoprolol tartrate 1 mg/ml
Geen 2346
Verenigbaar
injecteerbaar geneesmiddel Heparin sodium 50 UI/ml
injecteerbaar geneesmiddel Metronidazole 5 mg/ml
Geen 317
Verenigbaar
injecteerbaar geneesmiddel Heparin sodium 100 UI/ml
injecteerbaar geneesmiddel Micafungin 1.5 mg/ml
Natriumchloride 0,9% 2108
Onmiddellijke troebelheid Onverenigbaar
injecteerbaar geneesmiddel Heparin sodium 208,3 UI/ml
injecteerbaar geneesmiddel Midazolam hydrochloride 1 mg/ml
Natriumchloride 0,9% 4698
Verenigbaar
injecteerbaar geneesmiddel Heparin sodium 500 UI/ml
injecteerbaar geneesmiddel Midazolam hydrochloride 2.1 mg/ml
Natriumchloride 0,9% 3823
Verenigbaar
injecteerbaar geneesmiddel Heparin sodium 417 UI/ml
injecteerbaar geneesmiddel Midazolam hydrochloride 5 mg/ml
Geen 186
Verenigbaar
injecteerbaar geneesmiddel Heparin sodium 100 UI/ml
injecteerbaar geneesmiddel Midazolam hydrochloride 5 mg/ml
4389
Verenigbaar
injecteerbaar geneesmiddel Heparin sodium 100 UI/ml
injecteerbaar geneesmiddel Midazolam hydrochloride 2 mg/ml
314
Verenigbaar
injecteerbaar geneesmiddel Heparin sodium 200 UI/ml
injecteerbaar geneesmiddel Milrinone lactate 0.8 mg/ml
Glucose 5% 813
Verenigbaar
injecteerbaar geneesmiddel Heparin sodium 100 UI/ml
injecteerbaar geneesmiddel Milrinone lactate 0.2 mg/ml
314
Verenigbaar
injecteerbaar geneesmiddel Heparin sodium 1 UI/ml
injecteerbaar geneesmiddel Minocycline hydrochloride 0.2 mg/ml
Glucose 5% 1228
Verenigbaar
injecteerbaar geneesmiddel Heparin sodium 1 UI/ml
injecteerbaar geneesmiddel Minocycline hydrochloride 0.2 mg/ml
Ringer-lactaat 1228
Verenigbaar
injecteerbaar geneesmiddel Heparin sodium 1 UI/ml
injecteerbaar geneesmiddel Minocycline hydrochloride 0.2 mg/ml
Natriumchloride 0,9% 1228
Niet-gespecificeerde incompatibiliteit Onverenigbaar
injecteerbaar geneesmiddel Heparin sodium
injecteerbaar geneesmiddel Mitoxantrone dihydrochloride
3640
Niet-gespecificeerde incompatibiliteit Onverenigbaar
injecteerbaar geneesmiddel Heparin sodium
injecteerbaar geneesmiddel Morphine hydrochloride
5069
Verenigbaar
injecteerbaar geneesmiddel Heparin sodium 100 & 200 UI/ml
injecteerbaar geneesmiddel Morphine sulfate 1 >> 5 mg/ml
Water voor injectie 341
Verenigbaar
injecteerbaar geneesmiddel Heparin sodium 1 UI/ml
injecteerbaar geneesmiddel Morphine sulfate 15 mg/ml
Ringer-lactaat 1228
Niet-gespecificeerde incompatibiliteit Onverenigbaar
injecteerbaar geneesmiddel Heparin sodium
injecteerbaar geneesmiddel Morphine sulfate
3531
Verenigbaar
injecteerbaar geneesmiddel Heparin sodium 1 UI/ml
injecteerbaar geneesmiddel Morphine sulfate 15 mg/ml
Glucose 5% 1228
Verenigbaar
injecteerbaar geneesmiddel Heparin sodium 1 UI/ml
injecteerbaar geneesmiddel Morphine sulfate 15 mg/ml
Natriumchloride 0,9% 1228
Verenigbaar
injecteerbaar geneesmiddel Heparin sodium 60 UI/ml
injecteerbaar geneesmiddel Morphine sulfate 1 mg/ml
Natriumchloride 0,9% 406
Verenigbaar
injecteerbaar geneesmiddel Heparin sodium 100 & 200 UI/ml
injecteerbaar geneesmiddel Morphine sulfate 10 mg/ml
Water voor injectie 341
Verenigbaar
injecteerbaar geneesmiddel Heparin sodium 100 UI/ml
injecteerbaar geneesmiddel Morphine sulfate 2 mg/ml
314
Chemische instabiliteit Onverenigbaar
injecteerbaar geneesmiddel Heparin sodium 100 & 200 UI/ml
injecteerbaar geneesmiddel Morphine sulfate 1 >> 10 mg/ml
Natriumchloride 0,9% 341
Verenigbaar
injecteerbaar geneesmiddel Heparin sodium 1000 UI/ml
injecteerbaar geneesmiddel N-acetylcysteine 200 mg/ml
Geen 3766
Verenigbaar
injecteerbaar geneesmiddel Heparin sodium 50 UI/ml
injecteerbaar geneesmiddel Nafcillin sodium 20 mg/ml
Geen 317
Verenigbaar
injecteerbaar geneesmiddel Heparin sodium 1000 UI/ml
injecteerbaar geneesmiddel Naloxone hydrochloride 0.4 mg/ml
Geen 3408
Onmiddellijke troebelheid Onverenigbaar
injecteerbaar geneesmiddel Heparin sodium 208,3 UI/ml
injecteerbaar geneesmiddel Nefopam 1,7 mg/ml
Natriumchloride 0,9% 4698
Verenigbaar
injecteerbaar geneesmiddel Heparin sodium 1 UI/ml
injecteerbaar geneesmiddel Neostigmine methylsulfate 0.5 mg/ml
Glucose 5% 1228
Verenigbaar
injecteerbaar geneesmiddel Heparin sodium 1 UI/ml
injecteerbaar geneesmiddel Neostigmine methylsulfate 0.5 mg/ml
Natriumchloride 0,9% 1228
Verenigbaar
injecteerbaar geneesmiddel Heparin sodium 1 UI/ml
injecteerbaar geneesmiddel Neostigmine methylsulfate 0.5 mg/ml
Ringer-lactaat 1228
Niet-gespecificeerde incompatibiliteit Onverenigbaar
injecteerbaar geneesmiddel Heparin sodium
injecteerbaar geneesmiddel Nesiritide
5048
Niet-gespecificeerde incompatibiliteit Onverenigbaar
injecteerbaar geneesmiddel Heparin sodium
injecteerbaar geneesmiddel Netilmicin sulfate
3540
Onmiddellijke neerslag Onverenigbaar
injecteerbaar geneesmiddel Heparin sodium
injecteerbaar geneesmiddel Netilmicin sulfate
1022
Onmiddellijke neerslag Onverenigbaar
injecteerbaar geneesmiddel Heparin sodium 100 UI/ml
injecteerbaar geneesmiddel Nicardipine hydrochloride 1 mg/ml
314
Niet-gespecificeerde incompatibiliteit Onverenigbaar
injecteerbaar geneesmiddel Heparin sodium
injecteerbaar geneesmiddel Nicardipine hydrochloride
3540
Verenigbaar
injecteerbaar geneesmiddel Heparin sodium 40 UI/ml
injecteerbaar geneesmiddel Nicardipine hydrochloride 0.1 mg/ml
Glucose 5% 1490
Verenigbaar
injecteerbaar geneesmiddel Heparin sodium 40 UI/ml
injecteerbaar geneesmiddel Nicardipine hydrochloride 0.1 mg/ml
Natriumchloride 0,9% 1490
Onmiddellijke neerslag Onverenigbaar
injecteerbaar geneesmiddel Heparin sodium 100 UI/ml
injecteerbaar geneesmiddel Nitroglycerin 1,6 >> 3,25 mg/ml
Glucose 5% 295
Verenigbaar
injecteerbaar geneesmiddel Heparin sodium 500 UI/ml
injecteerbaar geneesmiddel Nitroglycerin 0.2 mg/ml
Natriumchloride 0,9% 3823
Productie van gasbellen Onverenigbaar
injecteerbaar geneesmiddel Heparin sodium 50 UI/ml
injecteerbaar geneesmiddel Nitroglycerin 0.2 mg/ml
Geen 317
Verenigbaar
injecteerbaar geneesmiddel Heparin sodium 500 UI/ml
injecteerbaar geneesmiddel Nitroglycerin 0.2 mg/ml
Glucose 5% 3823
Verenigbaar
injecteerbaar geneesmiddel Heparin sodium 100 UI/ml
injecteerbaar geneesmiddel Nitroglycerin 0.4 mg/ml
314
Verenigbaar
injecteerbaar geneesmiddel Heparin sodium 50 UI/ml
injecteerbaar geneesmiddel Nitroprusside sodium 0.2 mg/ml
Geen 317
Verenigbaar
injecteerbaar geneesmiddel Heparin sodium 100 UI/ml
injecteerbaar geneesmiddel Nitroprusside sodium 0.2 mg/ml
Glucose 5% 295
Verenigbaar
injecteerbaar geneesmiddel Heparin sodium 100 UI/ml
injecteerbaar geneesmiddel Norepinephrine bitartrate 0.128 mg/ml
314
Niet-gespecificeerde incompatibiliteit Onverenigbaar
injecteerbaar geneesmiddel Heparin sodium
injecteerbaar geneesmiddel Ofloxacin
3562
Verenigbaar
injecteerbaar geneesmiddel Heparin sodium 40 UI/ml
injecteerbaar geneesmiddel Ondansetron hydrochloride 1 mg/ml
Natriumchloride 0,9% 334
Onverenigbaar
injecteerbaar geneesmiddel Heparin sodium 200 UI/ml
injecteerbaar geneesmiddel Ondansetron hydrochloride 1.6 mg/ml
1699
Onmiddellijke troebelheid Onverenigbaar
injecteerbaar geneesmiddel Heparin sodium 100 UI/ml
injecteerbaar geneesmiddel Oritavancin 0.8 >>1.2 mg/ml
Glucose 5% 3152
Neerslag na 4 uur Onverenigbaar
injecteerbaar geneesmiddel Heparin sodium 100 UI/ml
injecteerbaar geneesmiddel Oritavancin 2 mg/ml
Glucose 5% 3152
Verenigbaar
injecteerbaar geneesmiddel Heparin sodium 208 UI/ml
injecteerbaar geneesmiddel Ornidazole 31.25 mg/ml
Natriumchloride 0,9% 4254
Verenigbaar
injecteerbaar geneesmiddel Heparin sodium 1 UI/ml
injecteerbaar geneesmiddel Oxacillin sodium 100 mg/ml
Glucose 5% 1228
Verenigbaar
injecteerbaar geneesmiddel Heparin sodium 1 UI/ml
injecteerbaar geneesmiddel Oxacillin sodium 100 mg/ml
Ringer-lactaat 1228
Verenigbaar
injecteerbaar geneesmiddel Heparin sodium 1 UI/ml
injecteerbaar geneesmiddel Oxacillin sodium 100 mg/ml
Natriumchloride 0,9% 1228
Verenigbaar
injecteerbaar geneesmiddel Heparin sodium 100 UI/ml
injecteerbaar geneesmiddel Oxaliplatin 0,5 mg/ml
Glucose 5% 1662
Niet-gespecificeerde incompatibiliteit Onverenigbaar
injecteerbaar geneesmiddel Heparin sodium
injecteerbaar geneesmiddel Oxytetracycline hydrochloride
3540
Verenigbaar
injecteerbaar geneesmiddel Heparin sodium 100 UI/ml
injecteerbaar geneesmiddel Paclitaxel 1.2 mg/ml
Glucose 5% 248
Verenigbaar
injecteerbaar geneesmiddel Heparin sodium 100 UI/ml
injecteerbaar geneesmiddel Palonosetron hydrochloride 50 µg/ml
Glucose 5% 2279
Verenigbaar
injecteerbaar geneesmiddel Heparin sodium 40 UI/ml
injecteerbaar geneesmiddel Pancuronium bromide 0.05 mg/ml
Glucose 5% 402
Neerslag na 1 uur Onverenigbaar
injecteerbaar geneesmiddel Heparin sodium
injecteerbaar geneesmiddel Pantoprazole sodium
2090
Verenigbaar
injecteerbaar geneesmiddel Heparin sodium 208,3 UI/ml
injecteerbaar geneesmiddel Paracetamol 10 mg/ml
Natriumchloride 0,9% 4698
Verenigbaar
injecteerbaar geneesmiddel Heparin sodium 1000 UI/ml
injecteerbaar geneesmiddel Paracetamol 10 mg/ml
4742
Verenigbaar
injecteerbaar geneesmiddel Heparin sodium 100 UI/ml
injecteerbaar geneesmiddel Pemetrexed disodium 20 mg/ml
Natriumchloride 0,9% 1953
Niet-gespecificeerde incompatibiliteit Onverenigbaar
injecteerbaar geneesmiddel Heparin sodium
injecteerbaar geneesmiddel Penicillin G potassium
3540
Verenigbaar
injecteerbaar geneesmiddel Heparin sodium 50 UI/ml
injecteerbaar geneesmiddel Penicillin G potassium 0.04 MUI/ml
Geen 317
Niet-gespecificeerde incompatibiliteit Onverenigbaar
injecteerbaar geneesmiddel Heparin sodium
injecteerbaar geneesmiddel Penicillin G sodium
3540
Verenigbaar
injecteerbaar geneesmiddel Heparin sodium 100 UI/ml
injecteerbaar geneesmiddel Pentoxifyllin 5 mg/ml
Natriumchloride 0,9% 4538
Onmiddellijke troebelheid Onverenigbaar
injecteerbaar geneesmiddel Heparin sodium
injecteerbaar geneesmiddel Pethidine hydrochloride
3525
Verenigbaar
injecteerbaar geneesmiddel Heparin sodium 60 UI/ml
injecteerbaar geneesmiddel Pethidine hydrochloride 10 mg/ml
Natriumchloride 0,9% 406
Niet-gespecificeerde incompatibiliteit Onverenigbaar
injecteerbaar geneesmiddel Heparin sodium
injecteerbaar geneesmiddel Pethidine hydrochloride
3540
Onmiddellijke neerslag Onverenigbaar
injecteerbaar geneesmiddel Heparin sodium 50 UI/ml
injecteerbaar geneesmiddel Phenytoin sodium 2 mg/ml
Geen 317
Verenigbaar
injecteerbaar geneesmiddel Heparin sodium 50 UI/ml
injecteerbaar geneesmiddel Piperacillin sodium 60 mg/ml
Geen 317
Verenigbaar
injecteerbaar geneesmiddel Heparin sodium 10 & 5000 UI/ml
injecteerbaar geneesmiddel Piperacillin sodium 40 mg/ml
Natriumchloride 0,9% 2037
Verenigbaar
injecteerbaar geneesmiddel Heparin sodium 0.5 UI/ml
injecteerbaar geneesmiddel Piperacillin sodium / tazobactam 0.5/0.0625 mg/ml
Dianéal® 2.5% glucose (Baxter) 4180
Verenigbaar
injecteerbaar geneesmiddel Heparin sodium 0.5 UI/ml
injecteerbaar geneesmiddel Piperacillin sodium / tazobactam 0.5/0.0625 mg/ml
Dianéal® 4.25% glucose (Baxter) 4180
Onmiddellijke troebelheid Onverenigbaar
injecteerbaar geneesmiddel Heparin sodium 1000 UI/ml
injecteerbaar geneesmiddel Plazomicin sulfate 24 mg/ml
Natriumchloride 0,9% 4145
Niet-gespecificeerde incompatibiliteit Onverenigbaar
injecteerbaar geneesmiddel Heparin sodium
injecteerbaar geneesmiddel Polymyxine B
3540
Verenigbaar
injecteerbaar geneesmiddel Heparin sodium 50 UI/ml
injecteerbaar geneesmiddel Potassium chloride 200 mEq/l
Geen 317
Verenigbaar
injecteerbaar geneesmiddel Heparin sodium 1 UI/ml
injecteerbaar geneesmiddel Procainamide hydrochloride 100 mg/ml
Ringer-lactaat 1228
Verenigbaar
injecteerbaar geneesmiddel Heparin sodium 1 UI/ml
injecteerbaar geneesmiddel Procainamide hydrochloride 100 mg/ml
Natriumchloride 0,9% 1228
Verenigbaar
injecteerbaar geneesmiddel Heparin sodium 1 UI/ml
injecteerbaar geneesmiddel Prochlorperazine edysilate 5 mg/ml
Natriumchloride 0,9% 1228
Verenigbaar
injecteerbaar geneesmiddel Heparin sodium 3 >> 20 UI/ml
Parenterale voeding (zonder vet) 791
Verenigbaar
injecteerbaar geneesmiddel Heparin sodium 100 UI/ml
Parenterale voeding (zonder vet) 301
Verenigbaar
injecteerbaar geneesmiddel Heparin sodium 500 UI/ml
Parenterale voeding (zonder vet) 939
Verenigbaar
injecteerbaar geneesmiddel Heparin sodium 1 UI/ml
injecteerbaar geneesmiddel Prochlorperazine edysilate 5 mg/ml
Ringer-lactaat 1228
Verenigbaar
injecteerbaar geneesmiddel Heparin sodium 1 UI/ml
injecteerbaar geneesmiddel Promethazine hydrochloride 50 mg/ml
Natriumchloride 0,9% 1228
Verenigbaar
injecteerbaar geneesmiddel Heparin sodium 1 UI/ml
injecteerbaar geneesmiddel Promethazine hydrochloride 50 mg/ml
Ringer-lactaat 1228
Verenigbaar
injecteerbaar geneesmiddel Heparin sodium 1 UI/ml
injecteerbaar geneesmiddel Propranolol hydrochloride 1 mg/ml
Ringer-lactaat 1228
Verenigbaar
injecteerbaar geneesmiddel Heparin sodium 1 UI/ml
injecteerbaar geneesmiddel Propranolol hydrochloride 1 mg/ml
Natriumchloride 0,9% 1228
Verenigbaar
injecteerbaar geneesmiddel Heparin sodium 50 UI/ml
injecteerbaar geneesmiddel Ranitidine hydrochloride 0,5 mg/ml
Glucose 5% 396
Verenigbaar
injecteerbaar geneesmiddel Heparin sodium 10 & 40 UI/ml
injecteerbaar geneesmiddel Ranitidine hydrochloride 0.05 & 2 mg/ml
Natriumchloride 0,9% 214
Verenigbaar
injecteerbaar geneesmiddel Heparin sodium 50 UI/ml
injecteerbaar geneesmiddel Ranitidine hydrochloride 1 mg/ml
Geen 317
Verenigbaar
injecteerbaar geneesmiddel Heparin sodium 1000 UI/ml
injecteerbaar geneesmiddel Remdesivir 1 mg/ml
Natriumchloride 0,9% 4768
Verenigbaar
injecteerbaar geneesmiddel Heparin sodium 100 UI/ml
injecteerbaar geneesmiddel Remifentanil hydrochloride 25 & 250 µg/ml
Natriumchloride 0,9% 59
Verenigbaar
injecteerbaar geneesmiddel Heparin sodium 500 UI/ml
injecteerbaar geneesmiddel Remifentanil hydrochloride 100 µg/ml
Natriumchloride 0,9% 3823
Verenigbaar
injecteerbaar geneesmiddel Heparin sodium 500 UI/ml
NaHCO3 150
Verenigbaar
injecteerbaar geneesmiddel Heparin sodium 1.4 UI/ml
injecteerbaar geneesmiddel Piperacillin sodium / tazobactam 1.38/0.1725 mg/ml
Physionéal® 2.27 (Baxter) 4180
Verenigbaar
injecteerbaar geneesmiddel Heparin sodium 1.4 UI/ml
injecteerbaar geneesmiddel Piperacillin sodium / tazobactam 1.38/0.1725 mg/ml
Physionéal® 1.36 (Baxter) 4180
Verenigbaar
injecteerbaar geneesmiddel Heparin sodium 0.5 UI/ml
injecteerbaar geneesmiddel Piperacillin sodium / tazobactam 0.5/0.0625 mg/ml
Dianéal® 1.5% glucose (Baxter) 4180
Verenigbaar
injecteerbaar geneesmiddel Heparin sodium 1.4 UI/ml
injecteerbaar geneesmiddel Piperacillin sodium / tazobactam 1.38/0.1725 mg/ml
Physionéal® 3.86 (Baxter) 4180
Verenigbaar
injecteerbaar geneesmiddel Heparin sodium 100 UI/ml
injecteerbaar geneesmiddel Piperacillin sodium / tazobactam 40/5 mg/ml
Glucose 5% 81
Verenigbaar
injecteerbaar geneesmiddel Heparin sodium 0.5 UI/ml
injecteerbaar geneesmiddel Piperacillin sodium / tazobactam 0.5/0.0625 mg/ml
Extraneal® (Baxter) 4180
Verenigbaar
injecteerbaar geneesmiddel Heparin sodium 500 UI/ml
injecteerbaar geneesmiddel Potassium chloride 10 mEq/l
Natriumchloride 0,9% 3823
Verenigbaar
injecteerbaar geneesmiddel Heparin sodium 58,34 UI/ml
injecteerbaar geneesmiddel Potassium chloride 1250 mEq/l
Glucose 5% 1289
Verenigbaar
injecteerbaar geneesmiddel Heparin sodium
injecteerbaar geneesmiddel Potassium phosphate
3781
Verenigbaar
injecteerbaar geneesmiddel Heparin sodium 1 UI/ml
injecteerbaar geneesmiddel Procainamide hydrochloride 100 mg/ml
Glucose 5% 1228
Verenigbaar
injecteerbaar geneesmiddel Heparin sodium 1 UI/ml
injecteerbaar geneesmiddel Prochlorperazine edysilate 5 mg/ml
Glucose 5% 1228
Verenigbaar
injecteerbaar geneesmiddel Heparin sodium 1 UI/ml
injecteerbaar geneesmiddel Promethazine hydrochloride 50 mg/ml
Glucose 5% 1228
Niet-gespecificeerde incompatibiliteit Onverenigbaar
injecteerbaar geneesmiddel Heparin sodium
injecteerbaar geneesmiddel Promethazine hydrochloride
3540
Instabiliteit van de emulsie na 1 uur Onverenigbaar
injecteerbaar geneesmiddel Heparin sodium 1000 UI/ml
injecteerbaar geneesmiddel Propofol
660
Verenigbaar
injecteerbaar geneesmiddel Heparin sodium 100 UI/ml
injecteerbaar geneesmiddel Propofol 10 mg/ml
Geen 300
Verenigbaar
injecteerbaar geneesmiddel Heparin sodium 1 UI/ml
injecteerbaar geneesmiddel Propranolol hydrochloride 1 mg/ml
Glucose 5% 1228
Verenigbaar
injecteerbaar geneesmiddel Heparin sodium 100 UI/ml
injecteerbaar geneesmiddel Ranitidine hydrochloride 1 mg/ml
314
Verenigbaar
injecteerbaar geneesmiddel Heparin sodium 10 & 40 UI/ml
injecteerbaar geneesmiddel Ranitidine hydrochloride 0.05 & 2 mg/ml
Glucose 5% 214
Verenigbaar
injecteerbaar geneesmiddel Heparin sodium 416.7 UI/ml
injecteerbaar geneesmiddel Remifentanil hydrochloride 120 µg/ml
Glucose 5% 3294
Verenigbaar
injecteerbaar geneesmiddel Heparin sodium 416.7 UI/ml
injecteerbaar geneesmiddel Remifentanil hydrochloride 120 µg/ml
Glucose 5% 3176
Niet-gespecificeerde incompatibiliteit Onverenigbaar
injecteerbaar geneesmiddel Heparin sodium
injecteerbaar geneesmiddel Reteplase
2212
Verenigbaar
injecteerbaar geneesmiddel Heparin sodium 20,458 >> 28,000 UI/ml
Parenterale voeding (met lipiden) 1868
Niet-gespecificeerde incompatibiliteit Onverenigbaar
injecteerbaar geneesmiddel Heparin sodium
injecteerbaar geneesmiddel Reteplase
3540
Verenigbaar
injecteerbaar geneesmiddel Heparin sodium 1000 UI/ml
injecteerbaar geneesmiddel Salbutamol sulfate 1 mg/ml
Geen 3216
Verenigbaar
injecteerbaar geneesmiddel Heparin sodium 100 UI/ml
injecteerbaar geneesmiddel Sargramostim 6 §15 µg/ml
Natriumchloride 0,9% 891
Verenigbaar
injecteerbaar geneesmiddel Heparin sodium 100 UI/ml
injecteerbaar geneesmiddel Sargramostim 10 µg/ml
Natriumchloride 0,9% 335
Verenigbaar
injecteerbaar geneesmiddel Heparin sodium 1 UI/ml
injecteerbaar geneesmiddel Scopolamine hydrobromide 0.86 mg/ml
Natriumchloride 0,9% 1228
Verenigbaar
injecteerbaar geneesmiddel Heparin sodium 1 UI/ml
injecteerbaar geneesmiddel Scopolamine hydrobromide 0.86 mg/ml
Ringer-lactaat 1228
Verenigbaar
injecteerbaar geneesmiddel Heparin sodium 1 UI/ml
injecteerbaar geneesmiddel Scopolamine hydrobromide 0.86 mg/ml
Glucose 5% 1228
Verenigbaar
injecteerbaar geneesmiddel Heparin sodium 100 UI/ml
injecteerbaar geneesmiddel Sildenafil citrate 0,6 mg/ml
Glucose 5% 4845
Verenigbaar
injecteerbaar geneesmiddel Heparin sodium 100 UI/ml
injecteerbaar geneesmiddel Sildenafil citrate 0,06 mg/ml
Glucose 5% 4845
Verenigbaar
injecteerbaar geneesmiddel Heparin sodium 1 UI/ml
injecteerbaar geneesmiddel Sildenafil citrate 0,4 mg/ml
Glucose 5% 3923
Verenigbaar
injecteerbaar geneesmiddel Heparin sodium 2 UI/ml
injecteerbaar geneesmiddel Sildenafil citrate 0,6 mg/ml
Glucose 5% 4845
Verenigbaar
injecteerbaar geneesmiddel Heparin sodium
Natriumchloride 0,9% 3540
Onmiddellijke instabiliteit van de emulsie Onverenigbaar
injecteerbaar geneesmiddel Heparin sodium 100 UI/ml
Parenterale voeding (met lipiden) 132
Onmiddellijke troebelheid Onverenigbaar
injecteerbaar geneesmiddel Heparin sodium 100 UI/ml
injecteerbaar geneesmiddel Sildenafil citrate 0,6 mg/ml
Glucose 5% 4845
Verenigbaar
injecteerbaar geneesmiddel Heparin sodium 500 UI/ml
injecteerbaar geneesmiddel Sodium bicarbonate 84 mg/ml
Natriumchloride 0,9% 3823
Verenigbaar
injecteerbaar geneesmiddel Heparin sodium
injecteerbaar geneesmiddel Sodium bicarbonate
3466
Verenigbaar
injecteerbaar geneesmiddel Heparin sodium 500 UI/ml
injecteerbaar geneesmiddel Sodium bicarbonate 14 mg/ml
Geen 150
Verenigbaar
injecteerbaar geneesmiddel Heparin sodium 500 UI/ml
injecteerbaar geneesmiddel Sodium bicarbonate 84 mg/ml
Geen 3212
Verenigbaar
injecteerbaar geneesmiddel Heparin sodium 208 UI/ml
injecteerbaar geneesmiddel Spiramycine adipate 0.0625 MUI/ml
Natriumchloride 0,9% 4254
Verenigbaar
injecteerbaar geneesmiddel Heparin sodium 100 UI/ml
injecteerbaar geneesmiddel Streptokinase 30000 UI/ml
Glucose 5% 92
Niet-gespecificeerde incompatibiliteit Onverenigbaar
injecteerbaar geneesmiddel Heparin sodium
injecteerbaar geneesmiddel Streptomycin sulfate
3540
Verenigbaar
injecteerbaar geneesmiddel Heparin sodium 416.7 UI/ml
injecteerbaar geneesmiddel Sufentanil citrate 0.005 mg/ml
Glucose 5% 3294
Verenigbaar
injecteerbaar geneesmiddel Heparin sodium 1000 UI/ml
injecteerbaar geneesmiddel Sugammadex 100 mg/ml
Geen 3372
Verenigbaar
injecteerbaar geneesmiddel Heparin sodium 10 UI/ml
injecteerbaar geneesmiddel Tacrolimus 1000 µg/ml
Natriumchloride 0,9% 479
Verenigbaar
injecteerbaar geneesmiddel Heparin sodium 1000 UI/ml
Ringer-lactaat 4603
Verenigbaar
injecteerbaar geneesmiddel Heparin sodium 1000 UI/ml
injecteerbaar geneesmiddel Sulbactam/durlobactam 15/15 mg/ml
Natriumchloride 0,9% 4801
Verenigbaar
injecteerbaar geneesmiddel Heparin sodium 1000 UI/ml
injecteerbaar geneesmiddel Tedizolid phosphate 0.8 mg/ml
Natriumchloride 0,9% 3827
Verenigbaar
injecteerbaar geneesmiddel Heparin sodium 10 >> 10000 UI/ml
injecteerbaar geneesmiddel Teicoplanine 0.02 >> 10 mg/ml
Natriumchloride 0,9% 2057
Onmiddellijke troebelheid Onverenigbaar
injecteerbaar geneesmiddel Heparin sodium 1000 UI/ml
injecteerbaar geneesmiddel Telavancin hydrochloride 7,5 mg/ml
Glucose 5% 3254
Onmiddellijke troebelheid Onverenigbaar
injecteerbaar geneesmiddel Heparin sodium 1000 UI/ml
injecteerbaar geneesmiddel Telavancin hydrochloride 7,5 mg/ml
Natriumchloride 0,9% 3254
Verenigbaar
injecteerbaar geneesmiddel Heparin sodium 1000 UI/ml
injecteerbaar geneesmiddel Telavancin hydrochloride 7.5 mg/ml
Ringer-lactaat 3254
Onmiddellijke neerslag Onverenigbaar
injecteerbaar geneesmiddel Heparin sodium 1000 UI/ml
injecteerbaar geneesmiddel Thiopental sodium 25 mg/ml
Natriumchloride 0,9% 3767
Onmiddellijke instabiliteit van de emulsie Onverenigbaar
injecteerbaar geneesmiddel Heparin sodium 1 UI/ml
Parenterale voeding (met lipiden) 1391
Verenigbaar
injecteerbaar geneesmiddel Heparin sodium 100 UI/ml
injecteerbaar geneesmiddel Teniposide 0.1 mg/ml
Glucose 5% 905
Verenigbaar
injecteerbaar geneesmiddel Heparin sodium 50 UI/ml
injecteerbaar geneesmiddel Theophylline 4 mg/ml
Geen 317
Verenigbaar
injecteerbaar geneesmiddel Heparin sodium 100 UI/ml
injecteerbaar geneesmiddel Thiopental sodium 25 mg/ml
314
Onmiddellijke instabiliteit van de emulsie Onverenigbaar
injecteerbaar geneesmiddel Heparin sodium 100 UI/ml
Parenterale voeding (met lipiden) 1415
Verenigbaar
injecteerbaar geneesmiddel Heparin sodium 500 UI/ml
injecteerbaar geneesmiddel Thiopental sodium 60 mg/ml
Natriumchloride 0,9% 3823
Verenigbaar
injecteerbaar geneesmiddel Heparin sodium 100 UI/ml
injecteerbaar geneesmiddel Thiotepa 1 mg/ml
Glucose 5% 249
Verenigbaar
injecteerbaar geneesmiddel Heparin sodium 50 UI/ml
injecteerbaar geneesmiddel Ticarcillin / clavulanic acid 31 mg/ml
Geen 317
Verenigbaar
injecteerbaar geneesmiddel Heparin sodium 500 UI/ml
injecteerbaar geneesmiddel Tirofiban 250 µg/ml
Natriumchloride 0,9% 3823
Verenigbaar
injecteerbaar geneesmiddel Heparin sodium 40 & 100 UI/ml
injecteerbaar geneesmiddel Tirofiban 50 µg/ml
Natriumchloride 0,9% 1420
Verenigbaar
injecteerbaar geneesmiddel Heparin sodium
Glucose 5% 3540
Verenigbaar
injecteerbaar geneesmiddel Heparin sodium
injecteerbaar geneesmiddel Tirofiban
1512
Verenigbaar
injecteerbaar geneesmiddel Heparin sodium 40 & 100 UI/ml
injecteerbaar geneesmiddel Tirofiban 50 µg/ml
Glucose 5% 1420
Niet-gespecificeerde incompatibiliteit Onverenigbaar
injecteerbaar geneesmiddel Heparin sodium 50 UI/ml
injecteerbaar geneesmiddel Tobramycin sulfate 0.8 mg/ml
Geen 317
Niet-gespecificeerde incompatibiliteit Onverenigbaar
injecteerbaar geneesmiddel Heparin sodium
injecteerbaar geneesmiddel Tobramycin sulfate
3540
Verenigbaar
injecteerbaar geneesmiddel Heparin sodium
injecteerbaar geneesmiddel Tranexamic acid
5016
Niet-gespecificeerde incompatibiliteit Onverenigbaar
injecteerbaar geneesmiddel Heparin sodium
injecteerbaar geneesmiddel Triflupromazine hydrochloride
3540
Verenigbaar
injecteerbaar geneesmiddel Heparin sodium 500 UI/ml
injecteerbaar geneesmiddel Urapidil 5 mg/ml
Natriumchloride 0,9% 3823
Onmiddellijke neerslag Onverenigbaar
injecteerbaar geneesmiddel Heparin sodium 0,5 >> 14,3 UI/ml
injecteerbaar geneesmiddel Vancomycin hydrochloride 6,9 >> 14,3 mg/ml
Dianéal® PD1 4.25% Glucose (Baxter) 2375
Niet-gespecificeerde incompatibiliteit Onverenigbaar
injecteerbaar geneesmiddel Heparin sodium
injecteerbaar geneesmiddel Vancomycin hydrochloride
3588
Niet-gespecificeerde incompatibiliteit Onverenigbaar
injecteerbaar geneesmiddel Heparin sodium
injecteerbaar geneesmiddel Vancomycin hydrochloride
3540
Verenigbaar
injecteerbaar geneesmiddel Heparin sodium 0,5 >> 14,3 UI/ml
injecteerbaar geneesmiddel Vancomycin hydrochloride 0,015 >> 6,8 mg/ml
Dianéal® PD2 2.5% glucose (Baxter) 2375
Onmiddellijke neerslag Onverenigbaar
injecteerbaar geneesmiddel Heparin sodium 0,5 >> 14,3 UI/ml
injecteerbaar geneesmiddel Vancomycin hydrochloride 6,9 >> 14,3 mg/ml
Dianéal® PD2 2.5% glucose (Baxter) 2375
Verenigbaar
injecteerbaar geneesmiddel Heparin sodium 10 UI/ml
injecteerbaar geneesmiddel Vancomycin hydrochloride 0.025 mg/ml
Water voor injectie 3125
Verenigbaar
injecteerbaar geneesmiddel Heparin sodium 0,5 >> 14,3 UI/ml
injecteerbaar geneesmiddel Vancomycin hydrochloride 0,015 >> 6,8 mg/ml
Dianéal® PD1 4.25% Glucose (Baxter) 2375
Niet-gespecificeerde incompatibiliteit Onverenigbaar
injecteerbaar geneesmiddel Heparin sodium 50 UI/ml
injecteerbaar geneesmiddel Vancomycin hydrochloride 6.6 mg/ml
Geen 317
Verenigbaar
injecteerbaar geneesmiddel Heparin sodium 100 UI/ml
injecteerbaar geneesmiddel Vancomycin hydrochloride 0.025 mg/ml
Natriumchloride 0,9% 1414
Verenigbaar
injecteerbaar geneesmiddel Heparin sodium 10 UI/ml
injecteerbaar geneesmiddel Vancomycin hydrochloride 2 mg/ml
Natriumchloride 0,9% 2037
Onmiddellijke neerslag Onverenigbaar
injecteerbaar geneesmiddel Heparin sodium 100 UI/ml
injecteerbaar geneesmiddel Vancomycin hydrochloride 10 mg/ml
Parenterale voeding (zonder vet) 132
Verenigbaar
injecteerbaar geneesmiddel Heparin sodium 5000 UI/ml
injecteerbaar geneesmiddel Vancomycin hydrochloride 2.5 mg/ml
Natriumchloride 0,9% 2037
Verenigbaar
injecteerbaar geneesmiddel Heparin sodium 100 UI/ml
injecteerbaar geneesmiddel Vancomycin hydrochloride 0.025 mg/ml
Natriumchloride 0,9% 895
Verenigbaar
injecteerbaar geneesmiddel Heparin sodium 100 UI/ml
injecteerbaar geneesmiddel Vasopressin 2 & 4 UI/ml
Natriumchloride 0,9% 1801
Verenigbaar
injecteerbaar geneesmiddel Heparin sodium 100 UI/ml
injecteerbaar geneesmiddel Vecuronium bromide 1 mg/ml
314
Verenigbaar
injecteerbaar geneesmiddel Heparin sodium 40 UI/ml
injecteerbaar geneesmiddel Vecuronium bromide 0.1 mg/ml
Glucose 5% 402
Verenigbaar
injecteerbaar geneesmiddel Heparin sodium 20 UI/ml
injecteerbaar geneesmiddel Verapamil hydrochloride 0.08 mg/ml
Natriumchloride 0,9% 1057
Verenigbaar
injecteerbaar geneesmiddel Heparin sodium 20 UI/ml
injecteerbaar geneesmiddel Verapamil hydrochloride 0.08 mg/ml
Glucose 5% 1057
Niet-gespecificeerde incompatibiliteit Onverenigbaar
injecteerbaar geneesmiddel Heparin sodium
injecteerbaar geneesmiddel Vinblastine sulfate
3540
Verenigbaar
injecteerbaar geneesmiddel Heparin sodium 1000 UI/ml
injecteerbaar geneesmiddel Vinblastine sulfate 1 mg/ml
763
Verenigbaar
injecteerbaar geneesmiddel Heparin sodium 1000 UI/ml
injecteerbaar geneesmiddel Vincristine sulfate 1 mg/ml
763
Verenigbaar
injecteerbaar geneesmiddel Heparin sodium 100 UI/ml
injecteerbaar geneesmiddel Vinorelbine tartrate 1 mg/ml
Natriumchloride 0,9% 84
Verenigbaar
injecteerbaar geneesmiddel Heparin sodium 100 UI/ml
injecteerbaar geneesmiddel Vinorelbine tartrate 1 mg/ml
Natriumchloride 0,9% 1070
Onmiddellijke neerslag Onverenigbaar
injecteerbaar geneesmiddel Heparin sodium 10 & 100 UI/ml
injecteerbaar geneesmiddel Vinorelbine tartrate 2 & 3 mg/ml
Natriumchloride 0,9% 1070
Verenigbaar
injecteerbaar geneesmiddel Heparin sodium 208 UI/ml
injecteerbaar geneesmiddel Voriconazole 8 mg/ml
Glucose 5% 4254
Verenigbaar
injecteerbaar geneesmiddel Heparin sodium 208 UI/ml
injecteerbaar geneesmiddel Voriconazole 8 mg/ml
Natriumchloride 0,9% 4254
Verenigbaar
injecteerbaar geneesmiddel Heparin sodium 100 UI/ml
injecteerbaar geneesmiddel Warfarin sodium 2 mg/ml
Glucose 5% 315
Verenigbaar
injecteerbaar geneesmiddel Heparin sodium 100 UI/ml
injecteerbaar geneesmiddel Zidovudine 4 mg/ml
Glucose 5% 337

  Mentions Légales