viimane versioon :
27/01/2026
antikoagulant   Heparin sodium  
Süsteravim
Stabiilsus lahustes Stabiilsust mõjutavad tegurid stabiilsust mõjutavad faktorid Sobimatus Manustamis viis Viited pdf
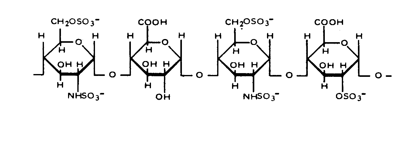
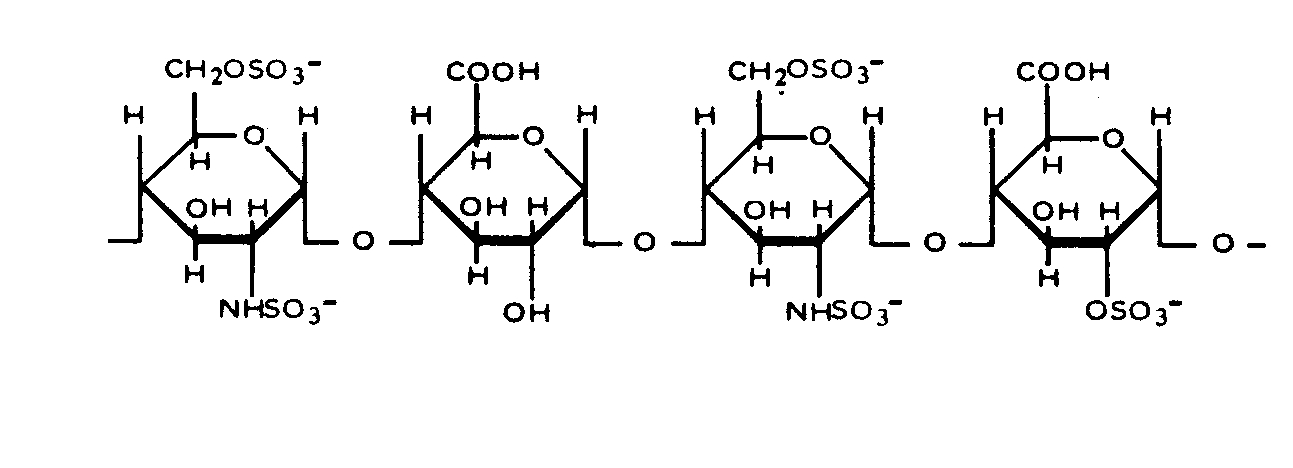
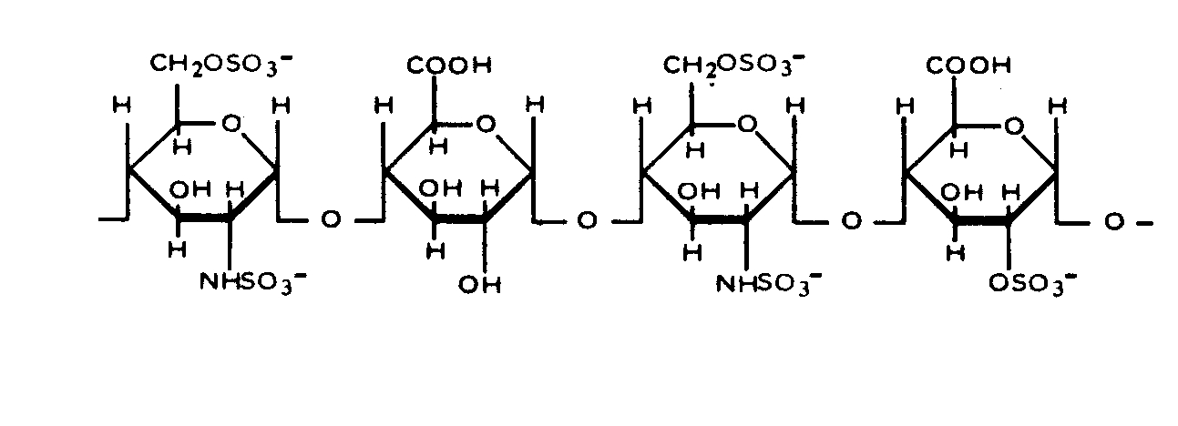
   keemiline struktuur  

Kaubanduslikud nimed erinevates maades   Kaubanduslikud nimed erinevates maades     

Preparaatide nimed on näitlikud ja abianete sisaldus võib erineda sõltuvalt riigist ja laborist

Arapin Tšiili
Ateroclar Itaalia
Clarisco Itaalia
Epsoclar Itaalia
Hepaflex Norra, Soome
Hepamax Ecuador, Kolumbia, Tšiili
Heparin Ameerika ühendriigid, Austria, Holland, Jugoslaavia, Kanada, Kreeka, Lõuna Aafrika Vabariik, Norra, Rootsi, Soome, Suurbritannia, Sveits, Taani, Tai, Türgi, Ungari, vene
Heparine Belgia, Prantsusmaa
Heparinised Austraalia
Heparstad Saksamaa
Liquemin Sveits, Türgi
Liquemine Brasiilia
Monoparin Saudi Araabia
Normoparin Itaalia
Nuparin Ecuador
Pharepa Itaalia
Riveparin Argentiina
Sobrius Argentiina, Ecuador
Thrombophob Saksamaa
Sobimatus   Süsteravim   Sobimatus : Heparin sodium              
Sellel lehel kuvatakse sobimatusi ja sobimatuse tüüpi (sadenemine, värvuse muutus, emulsiooni modifitseerumine jne). Enamasti on siin lehel kuvatud füüsikalised sobimatused, kuna molekulide keemilist stabiilsust hinnatakse harva. Hinnatud on segude sobivust Y-liinis. Antud infot ei saa kasutada ravimite sobivuse hindamiseks juhul, kui ravimid on segatud süstaldes või infusioonikottides. See info on lehel « stabiilsus segudes ».
ingredient lahusti Viited
Ühilduv
Süsteravim Heparin sodium 100 UI/ml
Süsteravim Aciclovir sodium 5 mg/ml
naatriumkloriid 0.9% 2335
Ühilduv
Süsteravim Heparin sodium 50 UI/ml
Süsteravim Aciclovir sodium 5 mg/ml
glükoos 5% 336
Ühilduv
Süsteravim Heparin sodium 100 UI/ml
Süsteravim Aldesleukin 0.0338 MUI/ml
glükoos 5% 36
Ühilduv
Süsteravim Heparin sodium 100 UI/ml
Süsteravim Allopurinol sodium 3 mg/ml
naatriumkloriid 0.9% 307
Ühilduv
Süsteravim Heparin sodium 1 UI/ml
Süsteravim Alprostadil 20 µg/ml
naatriumkloriid 0.9% 4491
Ühilduv
Süsteravim Heparin sodium 1 UI/ml
Süsteravim Alprostadil 20 µg/ml
glükoos 5% 4651
Sademed 24 tunni pärast Sobimatu
Süsteravim Heparin sodium 100 UI/ml
Süsteravim Alteplase 1 mg/ml
süstevesi 92
Täpsustamata sobimatus Sobimatu
Süsteravim Heparin sodium
Süsteravim Alteplase
3540
Kohene sade Sobimatu
Süsteravim Heparin sodium 40 UI/ml
Süsteravim Alteplase 0.5 mg/ml
süstevesi 240
Täpsustamata sobimatus Sobimatu
Süsteravim Heparin sodium
Süsteravim Alteplase
3616
Ühilduv
Süsteravim Heparin sodium 100 UI/ml
Süsteravim Amifostine 10 mg/ml
glükoos 5% 3
Kohene sade Sobimatu
Süsteravim Heparin sodium
Süsteravim Amikacin sulfate
1022
Täpsustamata sobimatus Sobimatu
Süsteravim Heparin sodium
Süsteravim Amikacin sulfate
3549
Täpsustamata sobimatus Sobimatu
Süsteravim Heparin sodium
Süsteravim Amikacin sulfate
3540
Täpsustamata sobimatus Sobimatu
Süsteravim Heparin sodium 500 UI/ml
Süsteravim Amiodarone hydrochloride 15 mg/ml
naatriumkloriid 0.9% 3823
Täpsustamata sobimatus Sobimatu
Süsteravim Heparin sodium
Süsteravim Amiodarone hydrochloride
3540
Kohene hägusus Sobimatu
Süsteravim Heparin sodium 500 UI/ml
Süsteravim Amiodarone hydrochloride 15 mg/ml
naatriumkloriid 0.9% 3463
Täpsustamata sobimatus Sobimatu
Süsteravim Heparin sodium
Süsteravim Amiodarone hydrochloride
3464
Täpsustamata sobimatus Sobimatu
Süsteravim Heparin sodium 500 UI/ml
Süsteravim Amiodarone hydrochloride 15 mg/ml
glükoos 5% 3823
Kohene hägusus Sobimatu
Süsteravim Heparin sodium 500 UI/ml
Süsteravim Amiodarone hydrochloride 15 mg/ml
glükoos 5% 3463
Ühilduv
Süsteravim Heparin sodium 208 UI/ml
Süsteravim Amoxicillin sodium 20.83 & 83.3 mg/ml
naatriumkloriid 0.9% 4254
Ühilduv
Süsteravim Heparin sodium 1000 UI/ml
Süsteravim Amoxicillin sodium / clavulanic acid 100/10 mg/ml
3824
Ühilduv
Süsteravim Heparin sodium
Süsteravim Ampicillin sodium
5088
Ühilduv
Süsteravim Heparin sodium 50 UI/ml
Süsteravim Ampicillin sodium 20 mg/ml
mitte ükski 317
Ühilduv
Süsteravim Heparin sodium 50 UI/ml
Süsteravim Ampicillin sodium - sulbactam sodium 30 mg/ml
mitte ükski 317
Kohene sade Sobimatu
Süsteravim Heparin sodium 40 UI/ml
Süsteravim Amsacrine 1 mg/ml
glükoos 5% 253
Ühilduv
Süsteravim Heparin sodium 100 UI/ml
Süsteravim Anidulafungin 0.5 mg/ml
glükoos 5% 1982
Kohene sade Sobimatu
Süsteravim Heparin sodium
Süsteravim Antithymocyte globulin (rabbit)
4958
Kohene sade Sobimatu
Süsteravim Heparin sodium 2 UI/ml
Süsteravim Antithymocyte globulin (rabbit) 0,2 & 0,3 mg/ml
glükoos 5% 1822
Ühilduv
Süsteravim Heparin sodium 100 UI/ml
Süsteravim Antithymocyte globulin (rabbit) 0,2 & 0,3 mg/ml
glükoos 5% 1822
Ühilduv
Süsteravim Heparin sodium 2 & 100 UI/ml
Süsteravim Antithymocyte globulin (rabbit) 0,2 & 0,3 mg/ml
naatriumkloriid 0.9% 1822
Ühilduv
Süsteravim Heparin sodium 40 UI/ml
Süsteravim Atracurium besylate 0.5 mg/ml
glükoos 5% 402
Ühilduv
Süsteravim Heparin sodium 1 UI/ml
Süsteravim Atropine sulfate 0.5 mg/ml
glükoos 5% 1228
Ühilduv
Süsteravim Heparin sodium 500 UI/ml
Parenteraalse toitmise (lipiidide) 4507
Kohene sade Sobimatu
Süsteravim Heparin sodium 1000 UI/ml
Süsteravim Amphotericin B cholesteryl sulfate complex 0.83 mg/ml
glükoos 5% 921
Täpsustamata sobimatus Sobimatu
Süsteravim Heparin sodium
Süsteravim Ampicillin sodium
3540
Ühilduv
Süsteravim Heparin sodium 10 & 5000 UI/ml
Süsteravim Ampicillin sodium 10 mg/ml
naatriumkloriid 0.9% 2037
Ühilduv
Süsteravim Heparin sodium 1 UI/ml
Süsteravim Atropine sulfate 0.5 mg/ml
Ringer laktaat 1228
Ühilduv
Süsteravim Heparin sodium 1 UI/ml
Süsteravim Atropine sulfate 0.5 mg/ml
naatriumkloriid 0.9% 1228
Ühilduv
Süsteravim Heparin sodium 100 UI/ml
Süsteravim Aztreonam 40 mg/ml
glükoos 5% 99
Ühilduv
Süsteravim Heparin sodium 50 UI/ml
Süsteravim Aztreonam 20 mg/ml
mitte ükski 317
Ühilduv
Süsteravim Heparin sodium 1 UI/ml
Süsteravim Betamethasone sodium phosphate 3 mg/ml
naatriumkloriid 0.9% 1228
Ühilduv
Süsteravim Heparin sodium 1 UI/ml
Süsteravim Betamethasone sodium phosphate 3 mg/ml
glükoos 5% 1228
Ühilduv
Süsteravim Heparin sodium 1 UI/ml
Süsteravim Betamethasone sodium phosphate 3 mg/ml
Ringer laktaat 1228
Ühilduv
Süsteravim Heparin sodium 100 UI/ml
Süsteravim Bivalirudin 5 mg/ml
glükoos 5% 1713
Kohene sade Sobimatu
Süsteravim Heparin sodium 192.3 UI/ml
Süsteravim Blinatumomab 0.125 & 0.375 µg/ml
naatriumkloriid 0.9% 3976
Ühilduv
Süsteravim Heparin sodium 1000 UI/ml
Süsteravim Caffeine 10 mg/ml
mitte ükski 3964
Ühilduv
Süsteravim Heparin sodium 100 UI/ml
Süsteravim Caffeine 10 mg/ml
naatriumkloriid 0.9% 4837
Ühilduv
Süsteravim Heparin sodium 100 UI/ml
Süsteravim Caffeine citrate 20 mg/ml
naatriumkloriid 0.9% 4837
Sademed 30 minuti pärast Sobimatu
Süsteravim Heparin sodium 2 UI/ml
Süsteravim Calcium chloride 20 mg/ml
glükoos 5% 4732
Ühilduv
Süsteravim Heparin sodium 100 UI/ml
Süsteravim Calcium chloride 20 mg/ml
glükoos 5% 4732
Emulsiooni kohene ebastabiilsus Sobimatu
Süsteravim Heparin sodium
Süsteravim Calcium chloride
Parenteraalse toitmise (lipiidide) 1084
Emulsiooni kohene ebastabiilsus Sobimatu
Süsteravim Heparin sodium
Süsteravim Calcium gluconate
Parenteraalse toitmise (lipiidide) 1084
Kohene sade Sobimatu
Süsteravim Heparin sodium 100 UI/ml
Süsteravim Caspofungin acetate 0.5 mg/ml
naatriumkloriid 0.9% 2233
Kohene sade Sobimatu
Süsteravim Heparin sodium 100 UI/ml
Süsteravim Caspofungin acetate 0,7 mg/ml
naatriumkloriid 0.9% 2247
Täpsustamata sobimatus Sobimatu
Süsteravim Heparin sodium
Süsteravim Cefalotin sodium
3540
Ühilduv
Süsteravim Heparin sodium 10 & 5000 UI/ml
Süsteravim Cefazolin sodium 10 mg/ml
naatriumkloriid 0.9% 2037
Ühilduv
Süsteravim Heparin sodium 50 UI/ml
Süsteravim Cefazolin sodium 20 mg/ml
mitte ükski 317
Ühilduv
Süsteravim Heparin sodium 0.667 UI/ml
Süsteravim Cefazolin sodium 0.333 mg/ml
Dianéal® PD2 1.5% glükoos (Baxter) 1979
Ühilduv
Süsteravim Heparin sodium 10 & 50 UI/ml
Süsteravim Cefepime dihydrochloride 4 mg/ml
naatriumkloriid 0.9% 3548
Ühilduv
Süsteravim Heparin sodium 10 & 50 UI/ml
Süsteravim Cefepime dihydrochloride 4 mg/ml
glükoos 5% 3548
Ühilduv
Süsteravim Heparin sodium 1000 UI/ml
Süsteravim Cefiderocol sulfate tosylate 20 mg/mL
glükoos 5% 4528
Ühilduv
Süsteravim Heparin sodium 1000 UI/ml
Süsteravim Cefiderocol sulfate tosylate 20 mg/mL
naatriumkloriid 0.9% 4528
Keemiline ebastabiilsus Sobimatu
Süsteravim Heparin sodium 100 UI/ml
Süsteravim Cefmetazole sodium 100 mg/ml
süstevesi 93
Ühilduv
Süsteravim Heparin sodium 208 UI/ml
Süsteravim Cefotaxime sodium 41.6 & 125 mg/ml
glükoos 5% 4254
Ühilduv
Süsteravim Heparin sodium 208 UI/ml
Süsteravim Cefotaxime sodium 41.6 & 125 mg/ml
naatriumkloriid 0.9% 4254
Ühilduv
Süsteravim Heparin sodium 5000 UI/ml
Süsteravim Cefotaxime sodium 10 mg/ml
süstevesi 3125
Ühilduv
Süsteravim Heparin sodium 100 UI/ml
Süsteravim Ceftaroline fosamil 2,22 mg/ml
Ringer laktaat 3249
Ühilduv
Süsteravim Heparin sodium 100 UI/ml
Süsteravim Ceftaroline fosamil 2,22 mg/ml
naatriumkloriid 0.9% 3249
Ühilduv
Süsteravim Heparin sodium 100 UI/ml
Süsteravim Ceftaroline fosamil 2,22 mg/ml
glükoos 5% 3249
Ühilduv
Süsteravim Heparin sodium 0.5 UI/ml
Süsteravim Ceftazidime 0.125 mg/ml
Extraneal® (Baxter) 4056
Ühilduv
Süsteravim Heparin sodium 0.5 UI/ml
Süsteravim Ceftazidime 0.125 mg/ml
Dianéal® PD2 4.25% glükoos (Baxter) 4056
Ühilduv
Süsteravim Heparin sodium 50 UI/ml
Süsteravim Ceftazidime 20 mg/ml
mitte ükski 317
Ühilduv
Süsteravim Heparin sodium 0.5 UI/ml
Süsteravim Ceftazidime 0.125 mg/ml
Dianéal® PD2 2.5% glucose (Baxter) 4056
Ühilduv
Süsteravim Heparin sodium 100 UI/ml
Süsteravim Ceftobiprole medocaril sodium 2 mg/ml
naatriumkloriid 0.9% 2269
Ühilduv
Süsteravim Heparin sodium 100 UI/ml
Süsteravim Ceftobiprole medocaril sodium 2 mg/ml
glükoos 5% 2269
Ühilduv
Süsteravim Heparin sodium 100 UI/ml
Süsteravim Ceftobiprole medocaril sodium 2 mg/ml
Ringer laktaat 2269
Ühilduv
Süsteravim Heparin sodium 1000 UI/ml
Süsteravim Ceftolozane / tazobactam 10/5 mg/ml
naatriumkloriid 0.9% 3828
Ühilduv
Süsteravim Heparin sodium 1000 UI/ml
Süsteravim Ceftolozane / tazobactam 10/5 mg/ml
glükoos 5% 3828
Ühilduv
Süsteravim Heparin sodium 50 UI/ml
Süsteravim Ceftriaxone disodium 20 mg/ml
mitte ükski 317
Ühilduv
Süsteravim Heparin sodium 10 & 50 UI/ml
Süsteravim Cefuroxime sodium
naatriumkloriid 0.9% 3687
Ühilduv
Süsteravim Heparin sodium 58,34 UI/ml
Süsteravim Chlorpromazine hydrochloride 0,26 mg/ml
glükoos 5% 1289
Ühilduv
Süsteravim Heparin sodium 1 UI/ml
Süsteravim Chlorpromazine hydrochloride 10 mg/ml
naatriumkloriid 0.9% 1228
Ühilduv
Süsteravim Heparin sodium 1 UI/ml
Süsteravim Chlorpromazine hydrochloride 10 mg/ml
glükoos 5% 1228
Täpsustamata sobimatus Sobimatu
Süsteravim Heparin sodium
Süsteravim Chlorpromazine hydrochloride
3540
Ühilduv
Süsteravim Heparin sodium 1 UI/ml
Süsteravim Chlorpromazine hydrochloride 10 mg/ml
Ringer laktaat 1228
Ühilduv
Süsteravim Heparin sodium 50 UI/ml
Süsteravim Cimetidine hydrochloride 6 mg/ml
mitte ükski 317
Ühilduv
Süsteravim Heparin sodium 5000 & 10000 UI/ml
Süsteravim Ciprofloxacin lactate 0.4 & 0.6 mg/ml
naatriumkloriid 0.9% 2057
Kohene sade Sobimatu
Süsteravim Heparin sodium 10 >> 10000 UI/ml
Süsteravim Ciprofloxacin lactate 1 mg/ml
naatriumkloriid 0.9% 2057
Kohene sade Sobimatu
Süsteravim Heparin sodium 10 & 100 UI/ml
Süsteravim Ciprofloxacin lactate 0.2 mg/ml
naatriumkloriid 0.9% 2057
Täpsustamata sobimatus Sobimatu
Süsteravim Heparin sodium
Süsteravim Ciprofloxacin lactate
3540
Kohene sade Sobimatu
Süsteravim Heparin sodium 10 >> 1000 UI/ml
Süsteravim Ciprofloxacin lactate 0.4 & 0.6 mg/ml
naatriumkloriid 0.9% 2057
Ühilduv
Süsteravim Heparin sodium 1000 >> 10000 UI/ml
Süsteravim Ciprofloxacin lactate 0.2 mg/ml
naatriumkloriid 0.9% 2057
Kohene sade Sobimatu
Süsteravim Heparin sodium 10 >> 5000 UI/ml
Süsteravim Ciprofloxacin lactate 0.8 mg/ml
naatriumkloriid 0.9% 2057
Ühilduv
Süsteravim Heparin sodium 10 >> 10000 UI/ml
Süsteravim Ciprofloxacin lactate 0.1 mg/ml
naatriumkloriid 0.9% 2057
Kohene sade Sobimatu
Süsteravim Heparin sodium 100 UI/ml
Süsteravim Ciprofloxacin lactate 2 mg/ml
naatriumkloriid 0.9% 288
Täpsustamata sobimatus Sobimatu
Süsteravim Heparin sodium
Süsteravim Ciprofloxacin lactate
3529
Kohene sade Sobimatu
Süsteravim Heparin sodium 100 UI/ml
Süsteravim Ciprofloxacin lactate 2 mg/ml
glükoos 5% 288
Kohene sade Sobimatu
Süsteravim Heparin sodium 10 >> 1000 UI/ml
Süsteravim Ciprofloxacin lactate 2 mg/ml
naatriumkloriid 0.9% 289
Kohene hägusus Sobimatu
Süsteravim Heparin sodium 10 UI/ml
Süsteravim Ciprofloxacin lactate 2 mg/ml
mitte ükski 1393
Ühilduv
Süsteravim Heparin sodium 10000 UI/ml
Süsteravim Ciprofloxacin lactate 0.8 mg/ml
naatriumkloriid 0.9% 2057
Ühilduv
Süsteravim Heparin sodium 100 UI/ml
Süsteravim Cisatracurium besylate 0.1 & 2 mg/ml
glükoos 5% 299
Kohene sade Sobimatu
Süsteravim Heparin sodium 100 UI/ml
Süsteravim Cisatracurium besylate 5 mg/ml
glükoos 5% 299
Värvimuutus Sobimatu
Süsteravim Heparin sodium 500 UI/ml
Süsteravim Cisatracurium besylate 5 mg/ml
naatriumkloriid 0.9% 3463
Täpsustamata sobimatus Sobimatu
Süsteravim Heparin sodium 500 UI/ml
Süsteravim Cisatracurium besylate 5 mg/ml
naatriumkloriid 0.9% 3823
Täpsustamata sobimatus Sobimatu
Süsteravim Heparin sodium
Süsteravim Cisatracurium besylate
3540
Ühilduv
Süsteravim Heparin sodium 100 UI/ml
Süsteravim Cladribine 0.5 mg/ml
NaCl 0,9%+  apürogeenne vesi 1496
Ühilduv
Süsteravim Heparin sodium 100 UI/ml
Süsteravim Cladribine 0.015 mg/ml
naatriumkloriid 0.9% 1496
Ühilduv
Süsteravim Heparin sodium 50 UI/ml
Süsteravim Clindamycin phosphate 12 mg/ml
mitte ükski 317
Ühilduv
Süsteravim Heparin sodium 50 UI/ml
Süsteravim Clonidine hydrochloride 0.0075 mg/ml
naatriumkloriid 0.9% 1506
Ühilduv
Süsteravim Heparin sodium 50 UI/ml
Süsteravim Clonidine hydrochloride 0.0075 mg/ml
glükoos 5% 1506
Ühilduv
Süsteravim Heparin sodium 100 UI/ml
Süsteravim Cloxacillin sodium 100 mg/ml
süstevesi 3012
Sade 4 tunni pärast Sobimatu
Süsteravim Heparin sodium 208 UI/ml
Süsteravim Co-trimoxazole 3.2/0.64 & 80/16 mg/ml
naatriumkloriid 0.9% 4254
Sade 4 tunni pärast Sobimatu
Süsteravim Heparin sodium 208 UI/ml
Süsteravim Co-trimoxazole 3.2/0.64 & 80/16 mg/ml
glükoos 5% 4254
Ühilduv
Süsteravim Heparin sodium 1 UI/ml
Süsteravim Cyanocobalamine 0.1 mg/ml
Ringer laktaat 1228
Ühilduv
Süsteravim Heparin sodium 1 UI/ml
Süsteravim Cyanocobalamine 0.1 mg/ml
glükoos 5% 1228
Ühilduv
Süsteravim Heparin sodium 1 UI/ml
Süsteravim Cyanocobalamine 0.1 mg/ml
naatriumkloriid 0.9% 1228
Täpsustamata sobimatus Sobimatu
Süsteravim Heparin sodium
Süsteravim Cytarabine
3540
Täpsustamata sobimatus Sobimatu
Süsteravim Heparin sodium
Süsteravim Cytarabine
3580
Täpsustamata sobimatus Sobimatu
Süsteravim Heparin sodium
Süsteravim Dacarbazine
3605
Kohene sade Sobimatu
Süsteravim Heparin sodium 100 UI/ml
Süsteravim Dacarbazine 25 mg/ml
naatriumkloriid 0.9% 860
Täpsustamata sobimatus Sobimatu
Süsteravim Heparin sodium
Süsteravim Dacarbazine
3267
Täpsustamata sobimatus Sobimatu
Süsteravim Heparin sodium
Süsteravim Dacarbazine
3540
Ühilduv
Süsteravim Heparin sodium
Süsteravim Daptomycin
2271
Ühilduv
Süsteravim Heparin sodium 98 UI/ml
Süsteravim Daptomycin 19,6 mg/ml
naatriumkloriid 0.9% 1937
Kohene sade Sobimatu
Süsteravim Heparin sodium
Süsteravim Daunorubicin hydrochloride
3604
Täpsustamata sobimatus Sobimatu
Süsteravim Heparin sodium
Süsteravim Daunorubicin hydrochloride
3540
Kohene sade Sobimatu
Süsteravim Heparin sodium
Süsteravim Daunorubicin hydrochloride liposome
3577
Kohene hägusus Sobimatu
Süsteravim Heparin sodium
Süsteravim Daunorubicin/cytarabine liposomale 0,4 mg/mL
naatriumkloriid 0.9% 4654
Ühilduv
Süsteravim Heparin sodium 373 UI/ml
Süsteravim Defibrotide 8 mg/ml
naatriumkloriid 0.9% 3728
Ühilduv
Süsteravim Heparin sodium 50 UI/ml
Süsteravim Dexamethasone sodium phosphate 0.08 mg/ml
mitte ükski 317
Ühilduv
Süsteravim Heparin sodium
Süsteravim Dexketoprofen
4981
Ühilduv
Süsteravim Heparin sodium 100 UI/ml
Süsteravim Dexmedetomidine 4 µg/ml
naatriumkloriid 0.9% 1712
Ühilduv
Süsteravim Heparin sodium 10000 UI/ml
Süsteravim Diatrizoate meglumine 283 mg/ml
mitte ükski 1085
Täpsustamata sobimatus Sobimatu
Süsteravim Heparin sodium
Süsteravim Diazepam
3540
Ühilduv
Süsteravim Heparin sodium 100 UI/ml
Süsteravim Diltiazem hydrochloride 1 mg/ml
314
Kohene sade Sobimatu
Süsteravim Heparin sodium 20000 UI/ml
Süsteravim Diltiazem hydrochloride 5 mg/ml
naatriumkloriid 0.9% 198
Ühilduv
Süsteravim Heparin sodium 100 UI/ml
Süsteravim Diltiazem hydrochloride 1 mg/ml
glükoos 5% 4556
Kohene hägusus Sobimatu
Süsteravim Heparin sodium 100 UI/ml
Süsteravim Diltiazem hydrochloride 5 mg/ml
glükoos 5% 4556
Ühilduv
Süsteravim Heparin sodium 20000 UI/ml
Süsteravim Diltiazem hydrochloride 1 mg/ml
naatriumkloriid 0.9% 198
Ühilduv
Süsteravim Heparin sodium
Süsteravim Diltiazem hydrochloride
5090
Ühilduv
Süsteravim Heparin sodium 80 >> 10000 UI/ml
Süsteravim Diltiazem hydrochloride 1 & 5 mg/ml
naatriumkloriid 0.9% 198
Kohene sade Sobimatu
Süsteravim Heparin sodium
Süsteravim Dimenhydrinate
2087
Ühilduv
Süsteravim Heparin sodium 1 UI/ml
Süsteravim Diphenhydramine hydrochloride 50 mg/ml
naatriumkloriid 0.9% 1228
Ühilduv
Süsteravim Heparin sodium 1 UI/ml
Süsteravim Diphenhydramine hydrochloride 50 mg/ml
glükoos 5% 1228
Ühilduv
Süsteravim Heparin sodium 1 UI/ml
Süsteravim Diphenhydramine hydrochloride 50 mg/ml
Ringer laktaat 1228
Sade 4 tunni pärast Sobimatu
Süsteravim Heparin sodium 100 UI/ml
Süsteravim Dobutamine hydrochloride 4 mg/ml
314
Ühilduv
Süsteravim Heparin sodium 40 UI/ml
Süsteravim Dobutamine hydrochloride 1 mg/ml
naatriumkloriid 0.9% 1058
Ühilduv
Süsteravim Heparin sodium 100 UI/ml
Süsteravim Dobutamine hydrochloride 2 mg/ml
glükoos 5% 1041
Kohene sade Sobimatu
Süsteravim Heparin sodium 100 UI/ml
Süsteravim Dobutamine hydrochloride 2 mg/ml
glükoos 5% 1352
Kohene hägusus Sobimatu
Süsteravim Heparin sodium 100 UI/ml
Süsteravim Dobutamine hydrochloride 4 mg/ml
glükoos 5% 295
Kohene sade Sobimatu
Süsteravim Heparin sodium
Süsteravim Dobutamine hydrochloride
3540
Värvi muutus 6 tunni pärast Sobimatu
Süsteravim Heparin sodium 10000 UI/ml
Süsteravim Dobutamine hydrochloride 2 mg/ml
glükoos 5% 1041
Ühilduv
Süsteravim Heparin sodium 40 UI/ml
Süsteravim Dobutamine hydrochloride 1 mg/ml
glükoos 5% 1058
Ühilduv
Süsteravim Heparin sodium 50 UI/ml
Süsteravim Dobutamine hydrochloride 1 mg/ml
mitte ükski 317
Ühilduv
Süsteravim Heparin sodium 100 UI/ml
Süsteravim Docetaxel 0.9 mg/ml
glükoos 5% 1754
Ühilduv
Süsteravim Heparin sodium 1 UI/ml
Süsteravim Dopamine hydrochloride 40 mg/ml
naatriumkloriid 0.9% 1228
Ühilduv
Süsteravim Heparin sodium 50 UI/ml
Süsteravim Dopamine hydrochloride 1.6 mg/ml
mitte ükski 317
Ühilduv
Süsteravim Heparin sodium 100 UI/ml
Süsteravim Dopamine hydrochloride 3.2 mg/ml
314
Ühilduv
Süsteravim Heparin sodium 1 UI/ml
Süsteravim Dopamine hydrochloride 40 mg/ml
Ringer laktaat 1228
Ühilduv
Süsteravim Heparin sodium 200 UI/ml
Süsteravim Dopamine hydrochloride 0.8 mg/ml
glükoos 5% 738
Ühilduv
Süsteravim Heparin sodium 1 UI/ml
Süsteravim Dopamine hydrochloride 40 mg/ml
glükoos 5% 1228
Ühilduv
Süsteravim Heparin sodium 100 UI/ml
Süsteravim Dopamine hydrochloride 3,2 mg/ml
4389
Täpsustamata sobimatus Sobimatu
Süsteravim Heparin sodium 187 UI/ml
Süsteravim Dopamine hydrochloride 1,7 >> 3,4 mg/ml
glükoos 5% 377
Ühilduv
Süsteravim Heparin sodium 100 UI/ml
Süsteravim Doripenem 5 mg/ml
naatriumkloriid 0.9% 2262
Ühilduv
Süsteravim Heparin sodium 100 UI/ml
Süsteravim Doripenem 5 mg/ml
glükoos 5% 2262
Ühilduv
Süsteravim Heparin sodium 1 UI/ml
Süsteravim Doxapram hydrochloride 2 mg/ml
glükoos 5% 1802
Täpsustamata sobimatus Sobimatu
Süsteravim Heparin sodium
Süsteravim Doxorubicin hydrochloride
3540
Kohene sade Sobimatu
Süsteravim Heparin sodium
Süsteravim Doxorubicin hydrochloride
3645
Kohene sade Sobimatu
Süsteravim Heparin sodium 1000 UI/ml
Süsteravim Doxorubicin hydrochloride 2 mg/ml
763
Ühilduv
Süsteravim Heparin sodium 1000 UI/ml
Süsteravim Doxorubicin hydrochloride liposome peg 0.4 mg/ml
glükoos 5% 251
Täpsustamata sobimatus Sobimatu
Süsteravim Heparin sodium 50 UI/ml
Süsteravim Doxycycline hyclate 1 mg/ml
mitte ükski 317
Kohene sade Sobimatu
Süsteravim Heparin sodium 1000 UI/ml
Süsteravim Droperidol 2,5 mg/ml
763
Ühilduv
Süsteravim Heparin sodium 1 UI/ml
Süsteravim Droperidol 1.25 mg/ml
naatriumkloriid 0.9% 1228
Ühilduv
Süsteravim Heparin sodium 1 UI/ml
Süsteravim Droperidol 1.25 mg/ml
Ringer laktaat 1228
Ühilduv
Süsteravim Heparin sodium 1 UI/ml
Süsteravim Droperidol 1.25 mg/ml
glükoos 5% 1228
Täpsustamata sobimatus Sobimatu
Süsteravim Heparin sodium
Süsteravim Droperidol
3540
Ühilduv
Süsteravim Heparin sodium 45,45 UI/ml
Süsteravim Enalaprilate 0,011 mg/ml
glükoos 5% 963
Ühilduv
Süsteravim Heparin sodium 40 UI/ml
Süsteravim Enalaprilate 0.05 mg/ml
naatriumkloriid 0.9% 1315
Ühilduv
Süsteravim Heparin sodium 50 UI/ml
Süsteravim Enalaprilate 0.0125 mg/ml
naatriumkloriid 0.9% 1703
Ühilduv
Süsteravim Heparin sodium 1 UI/ml
Süsteravim Epinephrine hydrochloride 100 µg/ml
Ringer laktaat 1228
Ühilduv
Süsteravim Heparin sodium 100 UI/ml
Süsteravim Epinephrine hydrochloride 20 µg/ml
314
Ühilduv
Süsteravim Heparin sodium 1 UI/ml
Süsteravim Epinephrine hydrochloride 100 µg/ml
naatriumkloriid 0.9% 1228
Ühilduv
Süsteravim Heparin sodium 1 UI/ml
Süsteravim Epinephrine hydrochloride 100 µg/ml
glükoos 5% 1228
Täpsustamata sobimatus Sobimatu
Süsteravim Heparin sodium
Süsteravim Epirubicin hydrochloride
3632
Ühilduv
Süsteravim Heparin sodium
Süsteravim Eptifibatide
3934
Ühilduv
Süsteravim Heparin sodium 1000 UI/ml
Süsteravim Eravacycline 0,6 mg/ml
naatriumkloriid 0.9% 4434
Kohene hägusus Sobimatu
Süsteravim Heparin sodium 1 UI/ml
Süsteravim Ergotamine tartrate 0.5 mg/ml
naatriumkloriid 0.9% 1228
Sade 4 tunni pärast Sobimatu
Süsteravim Heparin sodium 1 UI/ml
Süsteravim Ergotamine tartrate 0.5 mg/ml
Ringer laktaat 1228
Sade 4 tunni pärast Sobimatu
Süsteravim Heparin sodium 1 UI/ml
Süsteravim Ergotamine tartrate 0.5 mg/ml
glükoos 5% 1228
Ühilduv
Süsteravim Heparin sodium 50 & 100 UI/ml
Süsteravim Ertapenem 10 & 20 mg/ml
naatriumkloriid 0.9% 1906
Ühilduv
Süsteravim Heparin sodium 50 UI/ml
Süsteravim Erythromycin lactobionate 3.3 mg/ml
mitte ükski 317
Täpsustamata sobimatus Sobimatu
Süsteravim Heparin sodium
Süsteravim Erythromycin lactobionate
3674
Täpsustamata sobimatus Sobimatu
Süsteravim Heparin sodium
Süsteravim Erythromycin lactobionate
3540
Ühilduv
Süsteravim Heparin sodium 50 UI/ml
Süsteravim Esmolol hydrochloride 6 mg/ml
glükoos 5% 174
Ühilduv
Süsteravim Heparin sodium 40 UI/ml
Süsteravim Esmolol hydrochloride 10 mg/ml
glükoos 5% 384
Ühilduv
Süsteravim Heparin sodium 500 UI/ml
Süsteravim Esmolol hydrochloride 10 mg/ml
naatriumkloriid 0.9% 3823
Kohene sade Sobimatu
Süsteravim Heparin sodium 1000 UI/ml
Süsteravim Ethanol 70 %
apürogeenne vesi 2221
Kohene sade Sobimatu
Süsteravim Heparin sodium 1000 UI/ml
Süsteravim Ethanol 70 %
süstevesi 2221
Sade 1 tunni pärast Sobimatu
Süsteravim Heparin sodium 10 UI/ml
Süsteravim Ethanol 70 %
apürogeenne vesi 2221
Kohene sade Sobimatu
Süsteravim Heparin sodium 10 UI/ml
Süsteravim Ethanol 70 %
süstevesi 2221
Ühilduv
Süsteravim Heparin sodium 100 UI/ml
Süsteravim Etoposide phosphate 5 mg/ml
glükoos 5% 1410
Ühilduv
Süsteravim Heparin sodium 40 UI/ml
Süsteravim Famotidine
glükoos 5% 397
Ühilduv
Süsteravim Heparin sodium 50 UI/ml
Süsteravim Famotidine 0.2 mg/ml
glükoos 5% 398
Ühilduv
Süsteravim Heparin sodium 40 UI/ml
Süsteravim Famotidine 2 mg/ml
naatriumkloriid 0.9% 215
Ühilduv
Süsteravim Heparin sodium 100 UI/ml
Süsteravim Fenoldopam mesylate 80 µg/ml
naatriumkloriid 0.9% 1803
Ühilduv
Süsteravim Heparin sodium 100 UI/ml
Süsteravim Fentanyl citrate 50 µg/ml
4389
Ühilduv
Süsteravim Heparin sodium 1 UI/ml
Süsteravim Fentanyl citrate 50 µg/ml
glükoos 5% 1228
Ühilduv
Süsteravim Heparin sodium 1 UI/ml
Süsteravim Fentanyl citrate 50 µg/ml
Ringer laktaat 1228
Ühilduv
Süsteravim Heparin sodium 1 UI/ml
Süsteravim Fentanyl citrate 50 µg/ml
naatriumkloriid 0.9% 1228
Ühilduv
Süsteravim Heparin sodium 100 UI/ml
Süsteravim Fentanyl citrate 50 µg/ml
314
Kohene sade Sobimatu
Süsteravim Heparin sodium 100 UI/ml
Süsteravim Filgrastim 30 µg/ml
glükoos 5% 244
Ühilduv
Süsteravim Heparin sodium 1000 UI/ml
Süsteravim Fluconazole 2 mg/ml
naatriumkloriid 0.9% 496
Ühilduv
Süsteravim Heparin sodium 50 UI/ml
Süsteravim Fluconazole 2 mg/ml
mitte ükski 317
Ühilduv
Süsteravim Heparin sodium 40 >> 1000 UI/ml
Süsteravim Fludarabine phosphate 1 mg/ml
glükoos 5% 492
Ühilduv
Süsteravim Heparin sodium 50 UI/ml
Süsteravim Flumazenil 0,02 mg/ml
glükoos 5% 187
Ühilduv
Süsteravim Heparin sodium 5 UI/ml
Süsteravim Fluorouracil 0,8 mg/ml
naatriumkloriid 0.9% 156
Ühilduv
Süsteravim Heparin sodium 5 UI/ml
Süsteravim Fluorouracil 0,8 mg/ml
glükoos 5% 156
Ühilduv
Süsteravim Heparin sodium 1 UI/ml
Süsteravim Fluorouracil 50 mg/ml
naatriumkloriid 0.9% 1228
Ühilduv
Süsteravim Heparin sodium 960 UI/ml
Süsteravim Fluorouracil 24 mg/ml
glükoos 5% 163
Ühilduv
Süsteravim Heparin sodium 1 UI/ml
Süsteravim Fluorouracil 50 mg/ml
glükoos 5% 1228
Ühilduv
Süsteravim Heparin sodium 1000 UI/ml
Süsteravim Fluorouracil 50 mg/ml
763
Ühilduv
Süsteravim Heparin sodium 1 UI/ml
Süsteravim Fluorouracil 50 mg/ml
Ringer laktaat 1228
Ühilduv
Süsteravim Heparin sodium 1000 UI/ml
Süsteravim Folinate calcium 10 mg/ml
763
Ühilduv
Süsteravim Heparin sodium 100 UI/ml
Süsteravim Foscarnet sodium 24 mg/ml
glükoos 5% 1135
Ühilduv
Süsteravim Heparin sodium 100 UI/ml
Süsteravim Foscarnet sodium 24 mg/ml
naatriumkloriid 0.9% 1135
Ühilduv
Süsteravim Heparin sodium 1000 UI/ml
Süsteravim Foscarnet sodium 24 mg/ml
mitte ükski 73
Ühilduv
Süsteravim Heparin sodium 1000 UI/ml
Süsteravim Fosfomycin 30 mg/ml
glükoos 5% 4055
Ühilduv
Süsteravim Heparin sodium 1000 UI/ml
Süsteravim Fosfomycin 30 mg/ml
naatriumkloriid 0.9% 4055
Ühilduv
Süsteravim Heparin sodium 100 UI/ml
Süsteravim Furosemide 10 mg/ml
314
Ühilduv
Süsteravim Heparin sodium 1 UI/ml
Süsteravim Furosemide 10 mg/ml
naatriumkloriid 0.9% 1228
Sade 5 tunni pärast Sobimatu
Süsteravim Heparin sodium 100 UI/ml
Süsteravim Furosemide 10 mg/ml
glükoos 5% 4724
Ühilduv
Süsteravim Heparin sodium 20 UI/ml
Süsteravim Furosemide 1 mg/ml
naatriumkloriid 0.9% 1232
Ühilduv
Süsteravim Heparin sodium 58,34 UI/ml
Süsteravim Furosemide 5,21 mg/ml
glükoos 5% 1289
Ühilduv
Süsteravim Heparin sodium
Süsteravim Furosemide
3465
Ühilduv
Süsteravim Heparin sodium 1 UI/ml
Süsteravim Furosemide 10 mg/ml
Ringer laktaat 1228
Ühilduv
Süsteravim Heparin sodium 1000 UI/ml
Süsteravim Furosemide 10 mg/ml
763
Ühilduv
Süsteravim Heparin sodium 10 UI/ml
Süsteravim Furosemide 10 mg/ml
mitte ükski 3210
Ühilduv
Süsteravim Heparin sodium 500 UI/ml
Süsteravim Furosemide 10 mg/ml
naatriumkloriid 0.9% 3823
Ühilduv
Süsteravim Heparin sodium 500 UI/ml
Süsteravim Furosemide 10 mg/ml
mitte ükski 3134
Ühilduv
Süsteravim Heparin sodium 1 UI/ml
Süsteravim Furosemide 10 mg/ml
glükoos 5% 1228
Ühilduv
Süsteravim Heparin sodium 40 UI/ml
Süsteravim Gallium nitrate 1 mg/ml
naatriumkloriid 0.9% 91
Ühilduv
Süsteravim Heparin sodium 100 UI/ml
Süsteravim Gemcitabine hydrochloride 10 mg/ml
naatriumkloriid 0.9% 1423
Kohene hägusus Sobimatu
Süsteravim Heparin sodium 2500 UI/ml
Süsteravim Gentamicin sulfate 3 mg/ml
4612
Täpsustamata sobimatus Sobimatu
Süsteravim Heparin sodium
Süsteravim Gentamicin sulfate
3520
Täpsustamata sobimatus Sobimatu
Süsteravim Heparin sodium
Süsteravim Gentamicin sulfate
3643
Kohene sade Sobimatu
Süsteravim Heparin sodium
Süsteravim Gentamicin sulfate
1022
Täpsustamata sobimatus Sobimatu
Süsteravim Heparin sodium 50 UI/ml
Süsteravim Gentamicin sulfate 2 mg/ml
mitte ükski 317
Kohene sade Sobimatu
Süsteravim Heparin sodium 10 >> 40 UI/ml
Süsteravim Gentamicin sulfate 4 >> 40 mg/ml
1258
Kohene sade Sobimatu
Süsteravim Heparin sodium 2500 UI/ml
Süsteravim Gentamicin sulfate 4 & 5 mg/ml
4612
Täpsustamata sobimatus Sobimatu
Süsteravim Heparin sodium
Süsteravim Gentamicin sulfate
3540
Ühilduv
Süsteravim Heparin sodium 2500 UI/ml
Süsteravim Gentamicin sulfate 1 & 2 mg/ml
4612
Ühilduv
Süsteravim Heparin sodium 50 UI/ml
Süsteravim Glycerophosphate disodium
naatriumkloriid 0.9% 4332
Ühilduv
Süsteravim Heparin sodium 100 UI/ml
Süsteravim Granisetron hydrochloride 0.05 mg/ml
glükoos 5% 182
Kohene sade Sobimatu
Süsteravim Heparin sodium 100 & 200 UI/ml
Süsteravim Haloperidol lactate 5 mg/ml
glükoos 5% 617
Kohene sade Sobimatu
Süsteravim Heparin sodium 100 & 200 UI/ml
Süsteravim Haloperidol lactate 5 mg/ml
naatriumkloriid 0.9% 617
Ühilduv
Süsteravim Heparin sodium 500 UI/ml
Süsteravim Haloperidol lactate 0.5 mg/ml
naatriumkloriid 0.9% 3823
Täpsustamata sobimatus Sobimatu
Süsteravim Heparin sodium
Süsteravim Haloperidol lactate
3540
Ühilduv
Süsteravim Heparin sodium 100 UI/ml
Süsteravim Hetastarch 60 mg/ml
konkreetsed lahusti 1721
Täpsustamata sobimatus Sobimatu
Süsteravim Heparin sodium
Süsteravim Hyaluronidase
3617
Täpsustamata sobimatus Sobimatu
Süsteravim Heparin sodium
Süsteravim Hyaluronidase
3184
Täpsustamata sobimatus Sobimatu
Süsteravim Heparin sodium
Süsteravim Hyaluronidase
3540
Ühilduv
Süsteravim Heparin sodium 1 UI/ml
Süsteravim Hydralazine hydrochloride 20 mg/ml
glükoos 5% 1228
Ühilduv
Süsteravim Heparin sodium 1 UI/ml
Süsteravim Hydralazine hydrochloride 20 mg/ml
Ringer laktaat 1228
Ühilduv
Süsteravim Heparin sodium 1 UI/ml
Süsteravim Hydralazine hydrochloride 20 mg/ml
naatriumkloriid 0.9% 1228
Ühilduv
Süsteravim Heparin sodium 100 UI/ml
Süsteravim Hydrocortisone sodium succinate 125 mg/ml
naatriumkloriid 0.9% 132
Täpsustamata sobimatus Sobimatu
Süsteravim Heparin sodium
Süsteravim Hydrocortisone sodium succinate
3540
Ühilduv
Süsteravim Heparin sodium 50 UI/ml
Süsteravim Hydrocortisone sodium succinate 2 mg/ml
mitte ükski 317
Ühilduv
Süsteravim Heparin sodium 100 UI/ml
Süsteravim Hydrocortisone sodium succinate 125 mg/ml
glükoos 5% 132
Ühilduv
Süsteravim Heparin sodium
Süsteravim Hydromorphone hydrochloride <12.5 mg/ml
naatriumkloriid 0.9% 66
Ühilduv
Süsteravim Heparin sodium 100 UI/ml
Süsteravim Hydromorphone hydrochloride 1 mg/ml
314
Kohene sade Sobimatu
Süsteravim Heparin sodium <12,5 UI/ml
Süsteravim Hydromorphone hydrochloride >25 mg/ml
naatriumkloriid 0.9% 66
Ühilduv
Süsteravim Heparin sodium
Süsteravim Hydromorphone hydrochloride <12.5 mg/ml
süstevesi 66
Kohene sade Sobimatu
Süsteravim Heparin sodium <1 UI/ml
Süsteravim Hydromorphone hydrochloride >10 mg/ml
süstevesi 66
Kohene sade Sobimatu
Süsteravim Heparin sodium <12,5 UI/ml
Süsteravim Hydromorphone hydrochloride >25 mg/ml
süstevesi 66
Ühilduv
Süsteravim Heparin sodium 100 UI/ml
Süsteravim Ibuprofen lysinate 10 mg/ml
süstevesi 4419
Ühilduv
Süsteravim Heparin sodium 10 UI/ml
Süsteravim Ibuprofen lysinate 10 mg/ml
süstevesi 4419
Kohene hägusus Sobimatu
Süsteravim Heparin sodium 100 & 1000 UI/ml
Süsteravim Idarubicin hydrochloride 1 mg/ml
naatriumkloriid 0.9% 491
Kohene sade Sobimatu
Süsteravim Heparin sodium
Süsteravim Idarubicin hydrochloride
5075
Ühilduv
Süsteravim Heparin sodium
Süsteravim Imipenem-Cilastatin / Relebactam
4809
Ühilduv
Süsteravim Heparin sodium 1000 UI/ml
Süsteravim Imipenem-Cilastatin / Relebactam 5 mg/ml
naatriumkloriid 0.9% 4433
Ühilduv
Süsteravim Heparin sodium 1000 UI/ml
Süsteravim Imipenem-Cilastatin / Relebactam 5 mg/ml
glükoos 5% 4433
Ühilduv
Süsteravim Heparin sodium 500 UI/ml
Süsteravim Insulin 2 UI/ml
naatriumkloriid 0.9% 3823
Ühilduv
Süsteravim Heparin sodium 60 UI/ml
Süsteravim Insulin 0.2 UI/ml
naatriumkloriid 0.9% 129
Ühilduv
Süsteravim Heparin sodium 50 & 400 UI/ml
Süsteravim Insulin aspart 1 UI/ml
glükoos 5% 1508
Ühilduv
Süsteravim Heparin sodium 50 & 400 UI/ml
Süsteravim Insulin aspart 1 UI/ml
naatriumkloriid 0.9% 1508
Ühilduv
Süsteravim Heparin sodium 10000 UI/ml
Süsteravim Iohexol 300 mg I/ml
mitte ükski 1085
Ühilduv
Süsteravim Heparin sodium 10000 UI/ml
Süsteravim Ioxaglate 320 mg I/ml
mitte ükski 1085
Kohene hägusus Sobimatu
Süsteravim Heparin sodium 1000 UI/ml
Süsteravim Isavuconazonium sulfate 1.5 mg/ml
naatriumkloriid 0.9% 3829
Kohene hägusus Sobimatu
Süsteravim Heparin sodium 1000 UI/ml
Süsteravim Isavuconazonium sulfate 1.5 mg/ml
glükoos 5% 3829
Ühilduv
Süsteravim Heparin sodium 1 UI/ml
Süsteravim Isoprenaline hydrochloride 0.2 mg/ml
glükoos 5% 1228
Ühilduv
Süsteravim Heparin sodium 1 UI/ml
Süsteravim Isoprenaline hydrochloride 0.2 mg/ml
naatriumkloriid 0.9% 1228
Ühilduv
Süsteravim Heparin sodium 1 UI/ml
Süsteravim Isoprenaline hydrochloride 0.2 mg/ml
Ringer laktaat 1228
Täpsustamata sobimatus Sobimatu
Süsteravim Heparin sodium
Süsteravim Kanamycin sulfate
3540
Kohene sade Sobimatu
Süsteravim Heparin sodium 25000 UI/ml
Süsteravim Ketamine hydrochloride 50 mg/ml
2109
Ühilduv
Süsteravim Heparin sodium 100 UI/ml
Süsteravim Labetalol hydrochloride 2 mg/ml
314
Täpsustamata sobimatus Sobimatu
Süsteravim Heparin sodium 500 UI/ml
Süsteravim Labetalol hydrochloride 4 mg/ml
naatriumkloriid 0.9% 3823
Täpsustamata sobimatus Sobimatu
Süsteravim Heparin sodium
Süsteravim Labetalol hydrochloride
3540
Kohene sade Sobimatu
Süsteravim Heparin sodium 100 UI/ml
Süsteravim Labetalol hydrochloride 5 mg/ml
glükoos 5% 295
Ühilduv
Süsteravim Heparin sodium 40 UI/ml
Süsteravim Labetalol hydrochloride 1 mg/ml
glükoos 5% 386
Ühilduv
Süsteravim Heparin sodium 100 UI/ml
Süsteravim Lansoprazole 0.55 mg/ml
naatriumkloriid 0.9% 1625
Hägusus 4 tunniga Sobimatu
Süsteravim Heparin sodium 100 UI/ml
Süsteravim Levetiracetam 100 mg/ml
glükoos 5% 4108
Kohene hägusus Sobimatu
Süsteravim Heparin sodium 208,3 UI/ml
Süsteravim Levetiracetam 15 mg/ml
naatriumkloriid 0.9% 4698
Täpsustamata sobimatus Sobimatu
Süsteravim Heparin sodium
Süsteravim Levofloxacine
3920
Kohene sade Sobimatu
Süsteravim Heparin sodium 10 UI/ml
Süsteravim Levofloxacine 5 mg/ml
glükoos 5% 1072
Täpsustamata sobimatus Sobimatu
Süsteravim Heparin sodium
Süsteravim Levomepromazine
3540
Ühilduv
Süsteravim Heparin sodium 100 UI/ml
Süsteravim Levosimendan 2,5 mg/ml
glükoos 5% 4389
Ühilduv
Süsteravim Heparin sodium 50 UI/ml
Süsteravim Lidocaine hydrochloride 4 mg/ml
mitte ükski 317
Ühilduv
Süsteravim Heparin sodium 1000 UI/ml
Süsteravim Linezolid 2 mg/ml
mitte ükski 1925
Ühilduv
Süsteravim Heparin sodium 10 >> 10000 UI/ml
Süsteravim Linezolid 0.2 >> 1.92 mg/ml
naatriumkloriid 0.9% 2057
Ühilduv
Süsteravim Heparin sodium 417 UI/ml
Süsteravim Lorazepam 0.33 mg/ml
naatriumkloriid 0.9% 186
Ühilduv
Süsteravim Heparin sodium 100 UI/ml
Süsteravim Lorazepam 0.5 mg/ml
314
Ühilduv
Süsteravim Heparin sodium 1 UI/ml
Süsteravim Magnesium sulfate 5 mg/ml
naatriumkloriid 0.9% 1228
Ühilduv
Süsteravim Heparin sodium 50 UI/ml
Süsteravim Magnesium sulfate 15.6 mg/ml
naatriumkloriid 0.9% 2100
Ühilduv
Süsteravim Heparin sodium 1 UI/ml
Süsteravim Magnesium sulfate 5 mg/ml
Ringer laktaat 1228
Ühilduv
Süsteravim Heparin sodium 1 UI/ml
Süsteravim Magnesium sulfate 5 mg/ml
glükoos 5% 1228
Ühilduv
Süsteravim Heparin sodium 100 UI/ml
Süsteravim Melphalan 0.1 mg/ml
naatriumkloriid 0.9% 169
Ühilduv
Süsteravim Heparin sodium 0.5 UI/ml
Süsteravim Meropenem 0.5 mg/ml
Dianéal® 4.25% glucose (Baxter) 4180
Ühilduv
Süsteravim Heparin sodium 0.5 UI/ml
Süsteravim Meropenem 0.5 mg/ml
Extraneal® (Baxter) 4180
Ühilduv
Süsteravim Heparin sodium 1000 UI/ml
Süsteravim Meropenem 50 mg/ml
süstevesi 4319
Ühilduv
Süsteravim Heparin sodium 1 UI/ml
Süsteravim Meropenem 1 & 50 mg/ml
naatriumkloriid 0.9% 266
Ühilduv
Süsteravim Heparin sodium 0.5 UI/ml
Süsteravim Meropenem 0.5 mg/ml
Dianéal® 1.5% glucose (Baxter) 4180
Ühilduv
Süsteravim Heparin sodium 20 UI/ml
Süsteravim Meropenem 1 & 20 mg/ml
naatriumkloriid 0.9% 266
Ühilduv
Süsteravim Heparin sodium 0.5 UI/ml
Süsteravim Meropenem 0.5 mg/ml
Dianéal® 2.5% glucose (Baxter) 4180
Ühilduv
Süsteravim Heparin sodium 50 UI/ml
Süsteravim Methadone hydrochloride 0.2 mg/ml
glükoos 5% 1506
Ühilduv
Süsteravim Heparin sodium 50 UI/ml
Süsteravim Methadone hydrochloride 0.2 mg/ml
naatriumkloriid 0.9% 1506
Täpsustamata sobimatus Sobimatu
Süsteravim Heparin sodium
Süsteravim Methotrexate sodium
3637
Ühilduv
Süsteravim Heparin sodium 1000 UI/ml
Süsteravim Methotrexate sodium 25 mg/ml
763
Ühilduv
Süsteravim Heparin sodium 500 UI/ml
Süsteravim Methotrexate sodium 30 mg/ml
naatriumkloriid 0.9% 150
Ühilduv
Süsteravim Heparin sodium 100 UI/ml
Süsteravim Methylprednisolone sodium succinate 5 mg/ml
glükoos 5% 132
Ühilduv
Süsteravim Heparin sodium 50 UI/ml
Süsteravim Methylprednisolone sodium succinate 2.5 mg/ml
mitte ükski 317
Ühilduv
Süsteravim Heparin sodium 100 UI/ml
Süsteravim Methylprednisolone sodium succinate 5 mg/ml
naatriumkloriid 0.9% 132
Ühilduv
Süsteravim Heparin sodium 1000 UI/ml
Süsteravim Metoclopramide hydrochloride 5 mg/ml
763
Keemiline ebastabiilsus Sobimatu
Süsteravim Heparin sodium 1000 UI/ml
Süsteravim Metoprolol tartrate 1 mg/ml
mitte ükski 2346
Ühilduv
Süsteravim Heparin sodium 50 UI/ml
Süsteravim Metronidazole 5 mg/ml
mitte ükski 317
Ühilduv
Süsteravim Heparin sodium 100 UI/ml
Süsteravim Micafungin 1.5 mg/ml
naatriumkloriid 0.9% 2108
Kohene hägusus Sobimatu
Süsteravim Heparin sodium 208,3 UI/ml
Süsteravim Midazolam hydrochloride 1 mg/ml
naatriumkloriid 0.9% 4698
Ühilduv
Süsteravim Heparin sodium 500 UI/ml
Süsteravim Midazolam hydrochloride 2.1 mg/ml
naatriumkloriid 0.9% 3823
Ühilduv
Süsteravim Heparin sodium 417 UI/ml
Süsteravim Midazolam hydrochloride 5 mg/ml
mitte ükski 186
Ühilduv
Süsteravim Heparin sodium 100 UI/ml
Süsteravim Midazolam hydrochloride 5 mg/ml
4389
Ühilduv
Süsteravim Heparin sodium 100 UI/ml
Süsteravim Midazolam hydrochloride 2 mg/ml
314
Ühilduv
Süsteravim Heparin sodium 200 UI/ml
Süsteravim Milrinone lactate 0.8 mg/ml
glükoos 5% 813
Ühilduv
Süsteravim Heparin sodium 100 UI/ml
Süsteravim Milrinone lactate 0.2 mg/ml
314
Ühilduv
Süsteravim Heparin sodium 1 UI/ml
Süsteravim Minocycline hydrochloride 0.2 mg/ml
glükoos 5% 1228
Ühilduv
Süsteravim Heparin sodium 1 UI/ml
Süsteravim Minocycline hydrochloride 0.2 mg/ml
Ringer laktaat 1228
Ühilduv
Süsteravim Heparin sodium 1 UI/ml
Süsteravim Minocycline hydrochloride 0.2 mg/ml
naatriumkloriid 0.9% 1228
Täpsustamata sobimatus Sobimatu
Süsteravim Heparin sodium
Süsteravim Mitoxantrone dihydrochloride
3640
Täpsustamata sobimatus Sobimatu
Süsteravim Heparin sodium
Süsteravim Morphine hydrochloride
5069
Ühilduv
Süsteravim Heparin sodium 100 & 200 UI/ml
Süsteravim Morphine sulfate 1 >> 5 mg/ml
süstevesi 341
Ühilduv
Süsteravim Heparin sodium 1 UI/ml
Süsteravim Morphine sulfate 15 mg/ml
Ringer laktaat 1228
Täpsustamata sobimatus Sobimatu
Süsteravim Heparin sodium
Süsteravim Morphine sulfate
3531
Ühilduv
Süsteravim Heparin sodium 1 UI/ml
Süsteravim Morphine sulfate 15 mg/ml
glükoos 5% 1228
Ühilduv
Süsteravim Heparin sodium 1 UI/ml
Süsteravim Morphine sulfate 15 mg/ml
naatriumkloriid 0.9% 1228
Ühilduv
Süsteravim Heparin sodium 60 UI/ml
Süsteravim Morphine sulfate 1 mg/ml
naatriumkloriid 0.9% 406
Ühilduv
Süsteravim Heparin sodium 100 & 200 UI/ml
Süsteravim Morphine sulfate 10 mg/ml
süstevesi 341
Ühilduv
Süsteravim Heparin sodium 100 UI/ml
Süsteravim Morphine sulfate 2 mg/ml
314
Keemiline ebastabiilsus Sobimatu
Süsteravim Heparin sodium 100 & 200 UI/ml
Süsteravim Morphine sulfate 1 >> 10 mg/ml
naatriumkloriid 0.9% 341
Ühilduv
Süsteravim Heparin sodium 1000 UI/ml
Süsteravim N-acetylcysteine 200 mg/ml
mitte ükski 3766
Ühilduv
Süsteravim Heparin sodium 50 UI/ml
Süsteravim Nafcillin sodium 20 mg/ml
mitte ükski 317
Ühilduv
Süsteravim Heparin sodium 1000 UI/ml
Süsteravim Naloxone hydrochloride 0.4 mg/ml
mitte ükski 3408
Kohene hägusus Sobimatu
Süsteravim Heparin sodium 208,3 UI/ml
Süsteravim Nefopam 1,7 mg/ml
naatriumkloriid 0.9% 4698
Ühilduv
Süsteravim Heparin sodium 1 UI/ml
Süsteravim Neostigmine methylsulfate 0.5 mg/ml
glükoos 5% 1228
Ühilduv
Süsteravim Heparin sodium 1 UI/ml
Süsteravim Neostigmine methylsulfate 0.5 mg/ml
naatriumkloriid 0.9% 1228
Ühilduv
Süsteravim Heparin sodium 1 UI/ml
Süsteravim Neostigmine methylsulfate 0.5 mg/ml
Ringer laktaat 1228
Täpsustamata sobimatus Sobimatu
Süsteravim Heparin sodium
Süsteravim Nesiritide
5048
Täpsustamata sobimatus Sobimatu
Süsteravim Heparin sodium
Süsteravim Netilmicin sulfate
3540
Kohene sade Sobimatu
Süsteravim Heparin sodium
Süsteravim Netilmicin sulfate
1022
Kohene sade Sobimatu
Süsteravim Heparin sodium 100 UI/ml
Süsteravim Nicardipine hydrochloride 1 mg/ml
314
Täpsustamata sobimatus Sobimatu
Süsteravim Heparin sodium
Süsteravim Nicardipine hydrochloride
3540
Ühilduv
Süsteravim Heparin sodium 40 UI/ml
Süsteravim Nicardipine hydrochloride 0.1 mg/ml
glükoos 5% 1490
Ühilduv
Süsteravim Heparin sodium 40 UI/ml
Süsteravim Nicardipine hydrochloride 0.1 mg/ml
naatriumkloriid 0.9% 1490
Kohene sade Sobimatu
Süsteravim Heparin sodium 100 UI/ml
Süsteravim Nitroglycerin 1,6 >> 3,25 mg/ml
glükoos 5% 295
Ühilduv
Süsteravim Heparin sodium 500 UI/ml
Süsteravim Nitroglycerin 0.2 mg/ml
naatriumkloriid 0.9% 3823
Gaasimullide tootmine Sobimatu
Süsteravim Heparin sodium 50 UI/ml
Süsteravim Nitroglycerin 0.2 mg/ml
mitte ükski 317
Ühilduv
Süsteravim Heparin sodium 500 UI/ml
Süsteravim Nitroglycerin 0.2 mg/ml
glükoos 5% 3823
Ühilduv
Süsteravim Heparin sodium 100 UI/ml
Süsteravim Nitroglycerin 0.4 mg/ml
314
Ühilduv
Süsteravim Heparin sodium 50 UI/ml
Süsteravim Nitroprusside sodium 0.2 mg/ml
mitte ükski 317
Ühilduv
Süsteravim Heparin sodium 100 UI/ml
Süsteravim Nitroprusside sodium 0.2 mg/ml
glükoos 5% 295
Ühilduv
Süsteravim Heparin sodium 100 UI/ml
Süsteravim Norepinephrine bitartrate 0.128 mg/ml
314
Täpsustamata sobimatus Sobimatu
Süsteravim Heparin sodium
Süsteravim Ofloxacin
3562
Ühilduv
Süsteravim Heparin sodium 40 UI/ml
Süsteravim Ondansetron hydrochloride 1 mg/ml
naatriumkloriid 0.9% 334
Sobimatu
Süsteravim Heparin sodium 200 UI/ml
Süsteravim Ondansetron hydrochloride 1.6 mg/ml
1699
Kohene hägusus Sobimatu
Süsteravim Heparin sodium 100 UI/ml
Süsteravim Oritavancin 0.8 >>1.2 mg/ml
glükoos 5% 3152
Sade 4 tunni pärast Sobimatu
Süsteravim Heparin sodium 100 UI/ml
Süsteravim Oritavancin 2 mg/ml
glükoos 5% 3152
Ühilduv
Süsteravim Heparin sodium 208 UI/ml
Süsteravim Ornidazole 31.25 mg/ml
naatriumkloriid 0.9% 4254
Ühilduv
Süsteravim Heparin sodium 1 UI/ml
Süsteravim Oxacillin sodium 100 mg/ml
glükoos 5% 1228
Ühilduv
Süsteravim Heparin sodium 1 UI/ml
Süsteravim Oxacillin sodium 100 mg/ml
Ringer laktaat 1228
Ühilduv
Süsteravim Heparin sodium 1 UI/ml
Süsteravim Oxacillin sodium 100 mg/ml
naatriumkloriid 0.9% 1228
Ühilduv
Süsteravim Heparin sodium 100 UI/ml
Süsteravim Oxaliplatin 0,5 mg/ml
glükoos 5% 1662
Täpsustamata sobimatus Sobimatu
Süsteravim Heparin sodium
Süsteravim Oxytetracycline hydrochloride
3540
Ühilduv
Süsteravim Heparin sodium 100 UI/ml
Süsteravim Paclitaxel 1.2 mg/ml
glükoos 5% 248
Ühilduv
Süsteravim Heparin sodium 100 UI/ml
Süsteravim Palonosetron hydrochloride 50 µg/ml
glükoos 5% 2279
Ühilduv
Süsteravim Heparin sodium 40 UI/ml
Süsteravim Pancuronium bromide 0.05 mg/ml
glükoos 5% 402
Sade 1 tunni pärast Sobimatu
Süsteravim Heparin sodium
Süsteravim Pantoprazole sodium
2090
Ühilduv
Süsteravim Heparin sodium 208,3 UI/ml
Süsteravim Paracetamol 10 mg/ml
naatriumkloriid 0.9% 4698
Ühilduv
Süsteravim Heparin sodium 1000 UI/ml
Süsteravim Paracetamol 10 mg/ml
4742
Ühilduv
Süsteravim Heparin sodium 100 UI/ml
Süsteravim Pemetrexed disodium 20 mg/ml
naatriumkloriid 0.9% 1953
Täpsustamata sobimatus Sobimatu
Süsteravim Heparin sodium
Süsteravim Penicillin G potassium
3540
Ühilduv
Süsteravim Heparin sodium 50 UI/ml
Süsteravim Penicillin G potassium 0.04 MUI/ml
mitte ükski 317
Täpsustamata sobimatus Sobimatu
Süsteravim Heparin sodium
Süsteravim Penicillin G sodium
3540
Ühilduv
Süsteravim Heparin sodium 100 UI/ml
Süsteravim Pentoxifyllin 5 mg/ml
naatriumkloriid 0.9% 4538
Kohene hägusus Sobimatu
Süsteravim Heparin sodium
Süsteravim Pethidine hydrochloride
3525
Ühilduv
Süsteravim Heparin sodium 60 UI/ml
Süsteravim Pethidine hydrochloride 10 mg/ml
naatriumkloriid 0.9% 406
Täpsustamata sobimatus Sobimatu
Süsteravim Heparin sodium
Süsteravim Pethidine hydrochloride
3540
Kohene sade Sobimatu
Süsteravim Heparin sodium 50 UI/ml
Süsteravim Phenytoin sodium 2 mg/ml
mitte ükski 317
Ühilduv
Süsteravim Heparin sodium 50 UI/ml
Süsteravim Piperacillin sodium 60 mg/ml
mitte ükski 317
Ühilduv
Süsteravim Heparin sodium 10 & 5000 UI/ml
Süsteravim Piperacillin sodium 40 mg/ml
naatriumkloriid 0.9% 2037
Ühilduv
Süsteravim Heparin sodium 0.5 UI/ml
Süsteravim Piperacillin sodium / tazobactam 0.5/0.0625 mg/ml
Dianéal® 2.5% glucose (Baxter) 4180
Ühilduv
Süsteravim Heparin sodium 0.5 UI/ml
Süsteravim Piperacillin sodium / tazobactam 0.5/0.0625 mg/ml
Dianéal® 4.25% glucose (Baxter) 4180
Kohene hägusus Sobimatu
Süsteravim Heparin sodium 1000 UI/ml
Süsteravim Plazomicin sulfate 24 mg/ml
naatriumkloriid 0.9% 4145
Täpsustamata sobimatus Sobimatu
Süsteravim Heparin sodium
Süsteravim Polymyxine B
3540
Ühilduv
Süsteravim Heparin sodium 50 UI/ml
Süsteravim Potassium chloride 200 mEq/l
mitte ükski 317
Ühilduv
Süsteravim Heparin sodium 1 UI/ml
Süsteravim Procainamide hydrochloride 100 mg/ml
Ringer laktaat 1228
Ühilduv
Süsteravim Heparin sodium 1 UI/ml
Süsteravim Procainamide hydrochloride 100 mg/ml
naatriumkloriid 0.9% 1228
Ühilduv
Süsteravim Heparin sodium 1 UI/ml
Süsteravim Prochlorperazine edysilate 5 mg/ml
naatriumkloriid 0.9% 1228
Ühilduv
Süsteravim Heparin sodium 3 >> 20 UI/ml
Parenteraalse toitmise (lipiide tasuta) 791
Ühilduv
Süsteravim Heparin sodium 100 UI/ml
Parenteraalse toitmise (lipiide tasuta) 301
Ühilduv
Süsteravim Heparin sodium 500 UI/ml
Parenteraalse toitmise (lipiide tasuta) 939
Ühilduv
Süsteravim Heparin sodium 1 UI/ml
Süsteravim Prochlorperazine edysilate 5 mg/ml
Ringer laktaat 1228
Ühilduv
Süsteravim Heparin sodium 1 UI/ml
Süsteravim Promethazine hydrochloride 50 mg/ml
naatriumkloriid 0.9% 1228
Ühilduv
Süsteravim Heparin sodium 1 UI/ml
Süsteravim Promethazine hydrochloride 50 mg/ml
Ringer laktaat 1228
Ühilduv
Süsteravim Heparin sodium 1 UI/ml
Süsteravim Propranolol hydrochloride 1 mg/ml
Ringer laktaat 1228
Ühilduv
Süsteravim Heparin sodium 1 UI/ml
Süsteravim Propranolol hydrochloride 1 mg/ml
naatriumkloriid 0.9% 1228
Ühilduv
Süsteravim Heparin sodium 50 UI/ml
Süsteravim Ranitidine hydrochloride 0,5 mg/ml
glükoos 5% 396
Ühilduv
Süsteravim Heparin sodium 10 & 40 UI/ml
Süsteravim Ranitidine hydrochloride 0.05 & 2 mg/ml
naatriumkloriid 0.9% 214
Ühilduv
Süsteravim Heparin sodium 50 UI/ml
Süsteravim Ranitidine hydrochloride 1 mg/ml
mitte ükski 317
Ühilduv
Süsteravim Heparin sodium 1000 UI/ml
Süsteravim Remdesivir 1 mg/ml
naatriumkloriid 0.9% 4768
Ühilduv
Süsteravim Heparin sodium 100 UI/ml
Süsteravim Remifentanil hydrochloride 25 & 250 µg/ml
naatriumkloriid 0.9% 59
Ühilduv
Süsteravim Heparin sodium 500 UI/ml
Süsteravim Remifentanil hydrochloride 100 µg/ml
naatriumkloriid 0.9% 3823
Ühilduv
Süsteravim Heparin sodium 500 UI/ml
NaHCO3 150
Ühilduv
Süsteravim Heparin sodium 1.4 UI/ml
Süsteravim Piperacillin sodium / tazobactam 1.38/0.1725 mg/ml
Physionéal® 2.27 (Baxter) 4180
Ühilduv
Süsteravim Heparin sodium 1.4 UI/ml
Süsteravim Piperacillin sodium / tazobactam 1.38/0.1725 mg/ml
Physionéal® 1.36 (Baxter) 4180
Ühilduv
Süsteravim Heparin sodium 0.5 UI/ml
Süsteravim Piperacillin sodium / tazobactam 0.5/0.0625 mg/ml
Dianéal® 1.5% glucose (Baxter) 4180
Ühilduv
Süsteravim Heparin sodium 1.4 UI/ml
Süsteravim Piperacillin sodium / tazobactam 1.38/0.1725 mg/ml
Physionéal® 3.86 (Baxter) 4180
Ühilduv
Süsteravim Heparin sodium 100 UI/ml
Süsteravim Piperacillin sodium / tazobactam 40/5 mg/ml
glükoos 5% 81
Ühilduv
Süsteravim Heparin sodium 0.5 UI/ml
Süsteravim Piperacillin sodium / tazobactam 0.5/0.0625 mg/ml
Extraneal® (Baxter) 4180
Ühilduv
Süsteravim Heparin sodium 500 UI/ml
Süsteravim Potassium chloride 10 mEq/l
naatriumkloriid 0.9% 3823
Ühilduv
Süsteravim Heparin sodium 58,34 UI/ml
Süsteravim Potassium chloride 1250 mEq/l
glükoos 5% 1289
Ühilduv
Süsteravim Heparin sodium
Süsteravim Potassium phosphate
3781
Ühilduv
Süsteravim Heparin sodium 1 UI/ml
Süsteravim Procainamide hydrochloride 100 mg/ml
glükoos 5% 1228
Ühilduv
Süsteravim Heparin sodium 1 UI/ml
Süsteravim Prochlorperazine edysilate 5 mg/ml
glükoos 5% 1228
Ühilduv
Süsteravim Heparin sodium 1 UI/ml
Süsteravim Promethazine hydrochloride 50 mg/ml
glükoos 5% 1228
Täpsustamata sobimatus Sobimatu
Süsteravim Heparin sodium
Süsteravim Promethazine hydrochloride
3540
Emulsiooni ebastabiilsus 1 tunni pärast Sobimatu
Süsteravim Heparin sodium 1000 UI/ml
Süsteravim Propofol
660
Ühilduv
Süsteravim Heparin sodium 100 UI/ml
Süsteravim Propofol 10 mg/ml
mitte ükski 300
Ühilduv
Süsteravim Heparin sodium 1 UI/ml
Süsteravim Propranolol hydrochloride 1 mg/ml
glükoos 5% 1228
Ühilduv
Süsteravim Heparin sodium 100 UI/ml
Süsteravim Ranitidine hydrochloride 1 mg/ml
314
Ühilduv
Süsteravim Heparin sodium 10 & 40 UI/ml
Süsteravim Ranitidine hydrochloride 0.05 & 2 mg/ml
glükoos 5% 214
Ühilduv
Süsteravim Heparin sodium 416.7 UI/ml
Süsteravim Remifentanil hydrochloride 120 µg/ml
glükoos 5% 3294
Ühilduv
Süsteravim Heparin sodium 416.7 UI/ml
Süsteravim Remifentanil hydrochloride 120 µg/ml
glükoos 5% 3176
Täpsustamata sobimatus Sobimatu
Süsteravim Heparin sodium
Süsteravim Reteplase
2212
Ühilduv
Süsteravim Heparin sodium 20,458 >> 28,000 UI/ml
Parenteraalse toitmise (lipiidide) 1868
Täpsustamata sobimatus Sobimatu
Süsteravim Heparin sodium
Süsteravim Reteplase
3540
Ühilduv
Süsteravim Heparin sodium 1000 UI/ml
Süsteravim Salbutamol sulfate 1 mg/ml
mitte ükski 3216
Ühilduv
Süsteravim Heparin sodium 100 UI/ml
Süsteravim Sargramostim 6 §15 µg/ml
naatriumkloriid 0.9% 891
Ühilduv
Süsteravim Heparin sodium 100 UI/ml
Süsteravim Sargramostim 10 µg/ml
naatriumkloriid 0.9% 335
Ühilduv
Süsteravim Heparin sodium 1 UI/ml
Süsteravim Scopolamine hydrobromide 0.86 mg/ml
naatriumkloriid 0.9% 1228
Ühilduv
Süsteravim Heparin sodium 1 UI/ml
Süsteravim Scopolamine hydrobromide 0.86 mg/ml
Ringer laktaat 1228
Ühilduv
Süsteravim Heparin sodium 1 UI/ml
Süsteravim Scopolamine hydrobromide 0.86 mg/ml
glükoos 5% 1228
Ühilduv
Süsteravim Heparin sodium 100 UI/ml
Süsteravim Sildenafil citrate 0,6 mg/ml
glükoos 5% 4845
Ühilduv
Süsteravim Heparin sodium 100 UI/ml
Süsteravim Sildenafil citrate 0,06 mg/ml
glükoos 5% 4845
Ühilduv
Süsteravim Heparin sodium 1 UI/ml
Süsteravim Sildenafil citrate 0,4 mg/ml
glükoos 5% 3923
Ühilduv
Süsteravim Heparin sodium 2 UI/ml
Süsteravim Sildenafil citrate 0,6 mg/ml
glükoos 5% 4845
Ühilduv
Süsteravim Heparin sodium
naatriumkloriid 0.9% 3540
Emulsiooni kohene ebastabiilsus Sobimatu
Süsteravim Heparin sodium 100 UI/ml
Parenteraalse toitmise (lipiidide) 132
Kohene hägusus Sobimatu
Süsteravim Heparin sodium 100 UI/ml
Süsteravim Sildenafil citrate 0,6 mg/ml
glükoos 5% 4845
Ühilduv
Süsteravim Heparin sodium 500 UI/ml
Süsteravim Sodium bicarbonate 84 mg/ml
naatriumkloriid 0.9% 3823
Ühilduv
Süsteravim Heparin sodium
Süsteravim Sodium bicarbonate
3466
Ühilduv
Süsteravim Heparin sodium 500 UI/ml
Süsteravim Sodium bicarbonate 14 mg/ml
mitte ükski 150
Ühilduv
Süsteravim Heparin sodium 500 UI/ml
Süsteravim Sodium bicarbonate 84 mg/ml
mitte ükski 3212
Ühilduv
Süsteravim Heparin sodium 208 UI/ml
Süsteravim Spiramycine adipate 0.0625 MUI/ml
naatriumkloriid 0.9% 4254
Ühilduv
Süsteravim Heparin sodium 100 UI/ml
Süsteravim Streptokinase 30000 UI/ml
glükoos 5% 92
Täpsustamata sobimatus Sobimatu
Süsteravim Heparin sodium
Süsteravim Streptomycin sulfate
3540
Ühilduv
Süsteravim Heparin sodium 416.7 UI/ml
Süsteravim Sufentanil citrate 0.005 mg/ml
glükoos 5% 3294
Ühilduv
Süsteravim Heparin sodium 1000 UI/ml
Süsteravim Sugammadex 100 mg/ml
mitte ükski 3372
Ühilduv
Süsteravim Heparin sodium 10 UI/ml
Süsteravim Tacrolimus 1000 µg/ml
naatriumkloriid 0.9% 479
Ühilduv
Süsteravim Heparin sodium 1000 UI/ml
Ringer laktaat 4603
Ühilduv
Süsteravim Heparin sodium 1000 UI/ml
Süsteravim Sulbactam/durlobactam 15/15 mg/ml
naatriumkloriid 0.9% 4801
Ühilduv
Süsteravim Heparin sodium 1000 UI/ml
Süsteravim Tedizolid phosphate 0.8 mg/ml
naatriumkloriid 0.9% 3827
Ühilduv
Süsteravim Heparin sodium 10 >> 10000 UI/ml
Süsteravim Teicoplanine 0.02 >> 10 mg/ml
naatriumkloriid 0.9% 2057
Kohene hägusus Sobimatu
Süsteravim Heparin sodium 1000 UI/ml
Süsteravim Telavancin hydrochloride 7,5 mg/ml
glükoos 5% 3254
Kohene hägusus Sobimatu
Süsteravim Heparin sodium 1000 UI/ml
Süsteravim Telavancin hydrochloride 7,5 mg/ml
naatriumkloriid 0.9% 3254
Ühilduv
Süsteravim Heparin sodium 1000 UI/ml
Süsteravim Telavancin hydrochloride 7.5 mg/ml
Ringer laktaat 3254
Kohene sade Sobimatu
Süsteravim Heparin sodium 1000 UI/ml
Süsteravim Thiopental sodium 25 mg/ml
naatriumkloriid 0.9% 3767
Emulsiooni kohene ebastabiilsus Sobimatu
Süsteravim Heparin sodium 1 UI/ml
Parenteraalse toitmise (lipiidide) 1391
Ühilduv
Süsteravim Heparin sodium 100 UI/ml
Süsteravim Teniposide 0.1 mg/ml
glükoos 5% 905
Ühilduv
Süsteravim Heparin sodium 50 UI/ml
Süsteravim Theophylline 4 mg/ml
mitte ükski 317
Ühilduv
Süsteravim Heparin sodium 100 UI/ml
Süsteravim Thiopental sodium 25 mg/ml
314
Emulsiooni kohene ebastabiilsus Sobimatu
Süsteravim Heparin sodium 100 UI/ml
Parenteraalse toitmise (lipiidide) 1415
Ühilduv
Süsteravim Heparin sodium 500 UI/ml
Süsteravim Thiopental sodium 60 mg/ml
naatriumkloriid 0.9% 3823
Ühilduv
Süsteravim Heparin sodium 100 UI/ml
Süsteravim Thiotepa 1 mg/ml
glükoos 5% 249
Ühilduv
Süsteravim Heparin sodium 50 UI/ml
Süsteravim Ticarcillin / clavulanic acid 31 mg/ml
mitte ükski 317
Ühilduv
Süsteravim Heparin sodium 500 UI/ml
Süsteravim Tirofiban 250 µg/ml
naatriumkloriid 0.9% 3823
Ühilduv
Süsteravim Heparin sodium 40 & 100 UI/ml
Süsteravim Tirofiban 50 µg/ml
naatriumkloriid 0.9% 1420
Ühilduv
Süsteravim Heparin sodium
glükoos 5% 3540
Ühilduv
Süsteravim Heparin sodium
Süsteravim Tirofiban
1512
Ühilduv
Süsteravim Heparin sodium 40 & 100 UI/ml
Süsteravim Tirofiban 50 µg/ml
glükoos 5% 1420
Täpsustamata sobimatus Sobimatu
Süsteravim Heparin sodium 50 UI/ml
Süsteravim Tobramycin sulfate 0.8 mg/ml
mitte ükski 317
Täpsustamata sobimatus Sobimatu
Süsteravim Heparin sodium
Süsteravim Tobramycin sulfate
3540
Ühilduv
Süsteravim Heparin sodium
Süsteravim Tranexamic acid
5016
Täpsustamata sobimatus Sobimatu
Süsteravim Heparin sodium
Süsteravim Triflupromazine hydrochloride
3540
Ühilduv
Süsteravim Heparin sodium 500 UI/ml
Süsteravim Urapidil 5 mg/ml
naatriumkloriid 0.9% 3823
Kohene sade Sobimatu
Süsteravim Heparin sodium 0,5 >> 14,3 UI/ml
Süsteravim Vancomycin hydrochloride 6,9 >> 14,3 mg/ml
Dianéal® PD1 4.25% glükoos (Baxter) 2375
Täpsustamata sobimatus Sobimatu
Süsteravim Heparin sodium
Süsteravim Vancomycin hydrochloride
3588
Täpsustamata sobimatus Sobimatu
Süsteravim Heparin sodium
Süsteravim Vancomycin hydrochloride
3540
Ühilduv
Süsteravim Heparin sodium 0,5 >> 14,3 UI/ml
Süsteravim Vancomycin hydrochloride 0,015 >> 6,8 mg/ml
Dianéal® PD2 2.5% glucose (Baxter) 2375
Kohene sade Sobimatu
Süsteravim Heparin sodium 0,5 >> 14,3 UI/ml
Süsteravim Vancomycin hydrochloride 6,9 >> 14,3 mg/ml
Dianéal® PD2 2.5% glucose (Baxter) 2375
Ühilduv
Süsteravim Heparin sodium 10 UI/ml
Süsteravim Vancomycin hydrochloride 0.025 mg/ml
süstevesi 3125
Ühilduv
Süsteravim Heparin sodium 0,5 >> 14,3 UI/ml
Süsteravim Vancomycin hydrochloride 0,015 >> 6,8 mg/ml
Dianéal® PD1 4.25% glükoos (Baxter) 2375
Täpsustamata sobimatus Sobimatu
Süsteravim Heparin sodium 50 UI/ml
Süsteravim Vancomycin hydrochloride 6.6 mg/ml
mitte ükski 317
Ühilduv
Süsteravim Heparin sodium 100 UI/ml
Süsteravim Vancomycin hydrochloride 0.025 mg/ml
naatriumkloriid 0.9% 1414
Ühilduv
Süsteravim Heparin sodium 10 UI/ml
Süsteravim Vancomycin hydrochloride 2 mg/ml
naatriumkloriid 0.9% 2037
Kohene sade Sobimatu
Süsteravim Heparin sodium 100 UI/ml
Süsteravim Vancomycin hydrochloride 10 mg/ml
Parenteraalse toitmise (lipiide tasuta) 132
Ühilduv
Süsteravim Heparin sodium 5000 UI/ml
Süsteravim Vancomycin hydrochloride 2.5 mg/ml
naatriumkloriid 0.9% 2037
Ühilduv
Süsteravim Heparin sodium 100 UI/ml
Süsteravim Vancomycin hydrochloride 0.025 mg/ml
naatriumkloriid 0.9% 895
Ühilduv
Süsteravim Heparin sodium 100 UI/ml
Süsteravim Vasopressin 2 & 4 UI/ml
naatriumkloriid 0.9% 1801
Ühilduv
Süsteravim Heparin sodium 100 UI/ml
Süsteravim Vecuronium bromide 1 mg/ml
314
Ühilduv
Süsteravim Heparin sodium 40 UI/ml
Süsteravim Vecuronium bromide 0.1 mg/ml
glükoos 5% 402
Ühilduv
Süsteravim Heparin sodium 20 UI/ml
Süsteravim Verapamil hydrochloride 0.08 mg/ml
naatriumkloriid 0.9% 1057
Ühilduv
Süsteravim Heparin sodium 20 UI/ml
Süsteravim Verapamil hydrochloride 0.08 mg/ml
glükoos 5% 1057
Täpsustamata sobimatus Sobimatu
Süsteravim Heparin sodium
Süsteravim Vinblastine sulfate
3540
Ühilduv
Süsteravim Heparin sodium 1000 UI/ml
Süsteravim Vinblastine sulfate 1 mg/ml
763
Ühilduv
Süsteravim Heparin sodium 1000 UI/ml
Süsteravim Vincristine sulfate 1 mg/ml
763
Ühilduv
Süsteravim Heparin sodium 100 UI/ml
Süsteravim Vinorelbine tartrate 1 mg/ml
naatriumkloriid 0.9% 84
Ühilduv
Süsteravim Heparin sodium 100 UI/ml
Süsteravim Vinorelbine tartrate 1 mg/ml
naatriumkloriid 0.9% 1070
Kohene sade Sobimatu
Süsteravim Heparin sodium 10 & 100 UI/ml
Süsteravim Vinorelbine tartrate 2 & 3 mg/ml
naatriumkloriid 0.9% 1070
Ühilduv
Süsteravim Heparin sodium 208 UI/ml
Süsteravim Voriconazole 8 mg/ml
glükoos 5% 4254
Ühilduv
Süsteravim Heparin sodium 208 UI/ml
Süsteravim Voriconazole 8 mg/ml
naatriumkloriid 0.9% 4254
Ühilduv
Süsteravim Heparin sodium 100 UI/ml
Süsteravim Warfarin sodium 2 mg/ml
glükoos 5% 315
Ühilduv
Süsteravim Heparin sodium 100 UI/ml
Süsteravim Zidovudine 4 mg/ml
glükoos 5% 337

  Mentions Légales