Cập nhật lần cuối :
27/01/2026
Kháng sinh   Tobramycin sulfate  
Dạng tiêm
Dung dịch uống Khí dung Thuốc nhỏ mắt
Tính ổn định của các dung dịch Độ ổn định khi trộn lẫn Những yếu tố ảnh hưởng đến độ ổn định Khả năng tương thích Đường dùng Tài liệu tham khảo Pdf
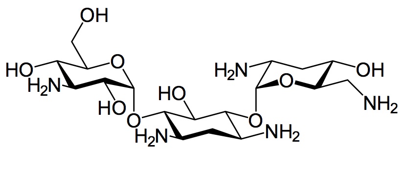
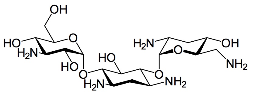
   Cấu trúc hóa học  

Tên thương mại   Tên thương mại     

Các tên thương mại được cung cấp và thành phần tá dược có thể khác nhau giữa các quốc gia và các hãng dược

Bactob Ấn Độ
Beltob Ấn Độ
Bramicil Ý
Brulamycin Hungary, Malaysia, Slovenia
Eltol Ấn Độ
Fytobra Ấn Độ
Gernebcin Đức
Komitob Ấn Độ
Nebcin Ả Rập, Ả Rập Saudi, Anh, Hy Lạp, new zealand, United Arab Emirates
Nebcina Morocco, Na Uy, Thụy Điển, Đan Mạch
Nebcine Morocco, Pháp, Slovenia
Nebicina Ý
Obracin Bỉ, Hà Lan, Luxembourg, Thụy Sỹ
Tobracin Ả Rập, Ả Rập Saudi, Brazil
Tobramicina Argentina, Bồ Đào Nha, Brazil, Chile, Colombia, Ecuador, Tây Ban Nha, Ý
Tobramina Brazil
Tobramycin Ả Rập Saudi, Anh, Canada, Hoa Kỳ, Ireland, Na Uy, Úc, Đức
Tobramycine Hà Lan, Ireland, Pháp
Tobrasix Áo
Tobrazid Đức
Khả năng tương thích   Dạng tiêm   Khả năng tương thích : Tobramycin sulfate              
Màn hình này cho biết khả năng tương thích hoặc không tương thích, trong trường hợp này là loại không tương thích (kết tủa, thay đổi màu sắc, sửa đổi nhũ tương, v.v.). Sự tương hợp được chỉ ra ở đây chủ yếu chỉ là vật lý, với độ ổn định hóa học của mỗi phân tử hiếm khi được đánh giá. Việc đánh giá các hỗn hợp này được nghiên cứu để xem xét khả năng sử dụng vị trí Y cho bệnh nhân. Những dữ liệu này không thể được sử dụng để tạo hỗn hợp trước trong túi hoặc ống tiêm. Loại thông tin này có sẵn trong màn hình "Độ ổn định trong hỗn hợp».
Phân tử Dung môi Mục lục
Tương thích
Dạng tiêm Tobramycin sulfate 1.6 mg/ml
Dạng tiêm Aciclovir sodium 5 mg/ml
Glucose 5% 336
Lượng mưa sau 1 giờ Không tương thích
Dạng tiêm Tobramycin sulfate 5 mg/ml
Dạng tiêm Allopurinol sodium 3 mg/ml
NaCl 0,9% 307
Tương thích
Dạng tiêm Tobramycin sulfate 1 mg/ml
Dạng tiêm Alprostadil 15 µg/ml
3201
Tương thích
Dạng tiêm Tobramycin sulfate 5 mg/ml
Dạng tiêm Amifostine 10 mg/ml
Glucose 5% 3
Tương thích
Dạng tiêm Tobramycin sulfate 5 mg/ml
Dạng tiêm Amiodarone hydrochloride 6 mg/ml
Glucose 5% 1611
Tương thích
Dạng tiêm Tobramycin sulfate 0.8 mg/ml
Dạng tiêm Amiodarone hydrochloride 4 mg/ml
NaCl 0,9% 385
Tương thích
Dạng tiêm Tobramycin sulfate 0.8 mg/ml
Dạng tiêm Amiodarone hydrochloride 4 mg/ml
Glucose 5% 385
Không ổn định hóa học Không tương thích
Dạng tiêm Tobramycin sulfate
Dạng tiêm Amoxicillin sodium
3527
Không tương thích không xác định Không tương thích
Dạng tiêm Tobramycin sulfate
Dạng tiêm Amoxicillin sodium / clavulanic acid
3545
Tương thích
Dạng tiêm Tobramycin sulfate 40 mg/ml
Dạng tiêm Amoxicillin sodium / clavulanic acid 100/10 mg/ml
3824
Lượng mưa ngay lập tức Không tương thích
Dạng tiêm Tobramycin sulfate 5 mg/ml
Dạng tiêm Amphotericin B cholesteryl sulfate complex 0.83 mg/ml
Glucose 5% 921
Tương thích
Dạng tiêm Tobramycin sulfate 5 mg/ml
Dạng tiêm Amsacrine 1 mg/ml
Glucose 5% 253
Tương thích
Dạng tiêm Tobramycin sulfate 5 mg/ml
Dạng tiêm Anidulafungin 0.5 mg/ml
Glucose 5% 1982
Lượng mưa ngay lập tức Không tương thích
Dạng tiêm Tobramycin sulfate 21 mg/ml
Dạng tiêm Azithromycine 2 mg/ml
NaCl 0,9% 1800
Tương thích
Dạng tiêm Tobramycin sulfate 0.2 & 0.8 mg/ml
Dạng tiêm Aztreonam 10 & 20 mg/ml
Glucose 5% 19
Tương thích
Dạng tiêm Tobramycin sulfate 0.2 & 0.8 mg/ml
Dạng tiêm Aztreonam 10 & 20 mg/ml
NaCl 0,9% 19
Tương thích
Dạng tiêm Tobramycin sulfate 5 mg/ml
Dạng tiêm Aztreonam 40 mg/ml
Glucose 5% 99
Tương thích
Dạng tiêm Tobramycin sulfate 5 mg/ml
Dạng tiêm Bivalirudin 5 mg/ml
Glucose 5% 1713
Tương thích
Dạng tiêm Tobramycin sulfate 40 mg/ml
Dạng tiêm Caffeine 10 mg/ml
Không 3964
Không tương thích
Dạng tiêm Tobramycin sulfate
Dạng tiêm Calcium gluconate
4964
Không tương thích không xác định Không tương thích
Dạng tiêm Tobramycin sulfate
Dạng tiêm Calcium gluconate
3644
Tương thích
Dạng tiêm Tobramycin sulfate 1 mg/ml
Dạng tiêm Calcium gluconate 33 mg/ml
Glucose 5% 503
Tương thích
Dạng tiêm Tobramycin sulfate 5 mg/ml
Dạng tiêm Calcium gluconate 16 mg/ml
Glucose 5% 503
Tương thích
Dạng tiêm Tobramycin sulfate 5 mg/ml
Dạng tiêm Caspofungin acetate 0,7 mg/ml
NaCl 0,9% 2247
Lượng mưa ngay lập tức Không tương thích
Dạng tiêm Tobramycin sulfate
Dạng tiêm Cefamandole nafate 2 >> 100 mg/ml
NaCl 0,9% 612
Lượng mưa ngay lập tức Không tương thích
Dạng tiêm Tobramycin sulfate
Dạng tiêm Cefamandole nafate 2 >> 100 mg/ml
Glucose 5% 612
Không tương thích không xác định Không tương thích
Dạng tiêm Tobramycin sulfate
Dạng tiêm Cefamandole nafate
3546
Tương thích
Dạng tiêm Tobramycin sulfate 6 mg/ml
Dạng tiêm Cefepime dihydrochloride 125 mg/ml
Nước cất pha tiêm 2141
Không tương thích không xác định Không tương thích
Dạng tiêm Tobramycin sulfate
Dạng tiêm Cefepime dihydrochloride
3548
Lượng mưa ngay lập tức Không tương thích
Dạng tiêm Tobramycin sulfate 10 mg/ml
Dạng tiêm Cefiderocol sulfate tosylate 20 mg/mL
Glucose 5% 4528
Lượng mưa ngay lập tức Không tương thích
Dạng tiêm Tobramycin sulfate 10 mg/ml
Dạng tiêm Cefiderocol sulfate tosylate 20 mg/mL
NaCl 0,9% 4528
Lượng mưa ngay lập tức Không tương thích
Dạng tiêm Tobramycin sulfate 0.8 mg/ml
Dạng tiêm Cefoperazone sodium 10 & 40 mg/ml
Glucose 5% 1206
Không tương thích không xác định Không tương thích
Dạng tiêm Tobramycin sulfate
Dạng tiêm Cefoperazone sodium
3544
Không tương thích không xác định Không tương thích
Dạng tiêm Tobramycin sulfate
Dạng tiêm Cefpirome sulfate
3677
Tương thích
Dạng tiêm Tobramycin sulfate 5 mg/ml
Dạng tiêm Ceftaroline fosamil 2,22 mg/ml
NaCl 0,9% 3249
Tương thích
Dạng tiêm Tobramycin sulfate 5 mg/ml
Dạng tiêm Ceftaroline fosamil 2,22 mg/ml
Glucose 5% 3249
Tương thích
Dạng tiêm Tobramycin sulfate 5 mg/ml
Dạng tiêm Ceftaroline fosamil 2,22 mg/ml
Dung dịch Ringer’s lactate 3249
Tương thích
Dạng tiêm Tobramycin sulfate 6 mg/ml
Dạng tiêm Ceftazidime 83.3 mg/ml
1759
Không tương thích không xác định Không tương thích
Dạng tiêm Tobramycin sulfate
Dạng tiêm Ceftazidime
3543
Tương thích
Dạng tiêm Tobramycin sulfate 0.008 mg/ml
Dạng tiêm Ceftazidime 0.125 mg/ml
Dianéal® PD2 2,5% glucose (Baxter) 2369
Không tương thích không xác định Không tương thích
Dạng tiêm Tobramycin sulfate
Dạng tiêm Ceftazidime
3883
Tương thích
Dạng tiêm Tobramycin sulfate 6 mg/ml
Dạng tiêm Ceftazidime 125 mg/ml
Nước cất pha tiêm 2141
Lượng mưa ngay lập tức Không tương thích
Dạng tiêm Tobramycin sulfate 5 mg/ml
Dạng tiêm Ceftobiprole medocaril sodium 2 mg/ml
Dung dịch Ringer’s lactate 2269
Không tương thích không xác định Không tương thích
Dạng tiêm Tobramycin sulfate
Dạng tiêm Ceftobiprole medocaril sodium
4650
Lượng mưa ngay lập tức Không tương thích
Dạng tiêm Tobramycin sulfate 5 mg/ml
Dạng tiêm Ceftobiprole medocaril sodium 2 mg/ml
Glucose 5% 2269
Lượng mưa ngay lập tức Không tương thích
Dạng tiêm Tobramycin sulfate 5 mg/ml
Dạng tiêm Ceftobiprole medocaril sodium 2 mg/ml
NaCl 0,9% 2269
Tương thích
Dạng tiêm Tobramycin sulfate 5 mg/ml
Dạng tiêm Ceftolozane / tazobactam 10/5 mg/ml
Glucose 5% 3828
Tương thích
Dạng tiêm Tobramycin sulfate 5 mg/ml
Dạng tiêm Ceftolozane / tazobactam 10/5 mg/ml
NaCl 0,9% 3828
Không tương thích không xác định Không tương thích
Dạng tiêm Tobramycin sulfate
Dạng tiêm Ceftriaxone disodium
3523
Không tương thích không xác định Không tương thích
Dạng tiêm Tobramycin sulfate
Dạng tiêm Cefuroxime sodium
3687
Tương thích
Dạng tiêm Tobramycin sulfate 1.6 mg/ml
Dạng tiêm Ciprofloxacin lactate 2 mg/ml
Glucose 5% 285
Tương thích
Dạng tiêm Tobramycin sulfate 1 mg/ml
Dạng tiêm Ciprofloxacin lactate 1.5 mg/ml
Glucose 5% 434
Tương thích
Dạng tiêm Tobramycin sulfate 1 mg/ml
Dạng tiêm Ciprofloxacin lactate 1.5 mg/ml
NaCl 0,9% 434
Tương thích
Dạng tiêm Tobramycin sulfate 1,6 mg/ml
Dạng tiêm Ciprofloxacin lactate 1 mg/ml
Glucose 5% 500
Tương thích
Dạng tiêm Tobramycin sulfate 1,6 mg/ml
Dạng tiêm Ciprofloxacin lactate 1 mg/ml
NaCl 0,9% 500
Tương thích
Dạng tiêm Tobramycin sulfate 5 mg/ml
Dạng tiêm Cisatracurium besylate 0.1 >> 5 mg/ml
Glucose 5% 299
Không ổn định hóa học Không tương thích
Dạng tiêm Tobramycin sulfate
Dạng tiêm Cisplatin
3578
Tương thích
Dạng tiêm Tobramycin sulfate
Dạng tiêm Clindamycin phosphate
Glucose 5% 3526
Tương thích
Dạng tiêm Tobramycin sulfate
Dạng tiêm Clindamycin phosphate
NaCl 0,9% 3526
Lượng mưa ngay lập tức Không tương thích
Dạng tiêm Tobramycin sulfate 12 mg/ml
Dạng tiêm Clindamycin phosphate 90 mg/ml
NaCl 0,9% 639
Lượng mưa ngay lập tức Không tương thích
Dạng tiêm Tobramycin sulfate 40 mg/ml
Dạng tiêm Cloxacillin sodium 100 mg/ml
Nước cất pha tiêm 3012
Lượng mưa ngay lập tức Không tương thích
Dạng tiêm Tobramycin sulfate 10 mg/ml
Dạng tiêm Defibrotide 8 mg/ml
NaCl 0,9% 3728
Tương thích
Dạng tiêm Tobramycin sulfate 5 mg/ml
Dạng tiêm Dexmedetomidine 4 µg/ml
NaCl 0,9% 1712
Tương thích
Dạng tiêm Tobramycin sulfate 2.4 & 40 mg/ml
Dạng tiêm Diltiazem hydrochloride 5 mg/ml
NaCl 0,9% 198
Tương thích
Dạng tiêm Tobramycin sulfate
Dạng tiêm Dimenhydrinate
2087
Tương thích
Dạng tiêm Tobramycin sulfate 5 mg/ml
Dạng tiêm Docetaxel 0.9 mg/ml
Glucose 5% 1754
Tương thích
Dạng tiêm Tobramycin sulfate 40 mg/ml
Dinh dưỡng đường tĩnh mạch (có lipids) 673
Tương thích
Dạng tiêm Tobramycin sulfate 10 mg/ml
Dinh dưỡng đường tĩnh mạch (hỗn hợp 2 thành phần) 316
Tương thích
Dạng tiêm Tobramycin sulfate 5 mg/ml
Dinh dưỡng đường tĩnh mạch (có lipids) 1415
Tương thích
Dạng tiêm Tobramycin sulfate 5 mg/ml
Dạng tiêm Doripenem 5 mg/ml
Glucose 5% 2262
Tương thích
Dạng tiêm Tobramycin sulfate 0,05 mg/ml
Dinh dưỡng đường tĩnh mạch (hỗn hợp 2 thành phần) 4445
Tương thích
Dạng tiêm Tobramycin sulfate 5 mg/ml
Dạng tiêm Doripenem 5 mg/ml
NaCl 0,9% 2262
Tương thích
Dạng tiêm Tobramycin sulfate 5 mg/ml
Dạng tiêm Doxorubicin hydrochloride liposome peg 0.4 mg/ml
Glucose 5% 251
Tương thích
Dạng tiêm Tobramycin sulfate 5 mg/ml
Dạng tiêm Eravacycline 0,6 mg/ml
NaCl 0,9% 4434
Tương thích
Dạng tiêm Tobramycin sulfate 5 mg/ml
Dạng tiêm Fenoldopam mesylate 80 µg/ml
NaCl 0,9% 1803
Tương thích
Dạng tiêm Tobramycin sulfate 10 mg/ml
Dạng tiêm Fentanyl citrate 50 µg/ml
Glucose 5% 63
Tương thích
Dạng tiêm Tobramycin sulfate 10 & 40 mg/ml
Dinh dưỡng đường tĩnh mạch (hỗn hợp 2 thành phần) 999
Tương thích
Dạng tiêm Tobramycin sulfate 0.8 mg/ml
Dạng tiêm Enalaprilate 0.05 mg/ml
NaCl 0,9% 1315
Không tương thích không xác định Không tương thích
Dạng tiêm Tobramycin sulfate
Dạng tiêm Erythromycin lactobionate
3674
Tương thích
Dạng tiêm Tobramycin sulfate 0.8 mg/ml
Dạng tiêm Esmolol hydrochloride 10 mg/ml
Glucose 5% 384
Tương thích
Dạng tiêm Tobramycin sulfate 1.6 mg/ml
Dạng tiêm Filgrastim 40 µg/ml
Glucose 5% 104
Tương thích
Dạng tiêm Tobramycin sulfate 5 mg/ml
Dinh dưỡng đường tĩnh mạch (hỗn hợp 2 thành phần) 301
Tương thích
Dạng tiêm Tobramycin sulfate 5 mg/ml
Dạng tiêm Etoposide phosphate 5 mg/ml
Glucose 5% 1410
Tương thích
Dạng tiêm Tobramycin sulfate 5 mg/ml
Dạng tiêm Filgrastim 30 µg/ml
Glucose 5% 244
Tương thích
Dạng tiêm Tobramycin sulfate 40 mg/ml
Dung dịch Ringer’s lactate 4603
Lượng mưa ngay lập tức Không tương thích
Dạng tiêm Tobramycin sulfate
Dạng tiêm Flucloxacillin sodium
3522
Lượng mưa sau 7 giờ Không tương thích
Dạng tiêm Tobramycin sulfate 8 mg/ml
Dạng tiêm Flucloxacillin sodium 20 mg/ml
NaCl 0,9% 1232
Tương thích
Dạng tiêm Tobramycin sulfate 40 mg/ml
Dạng tiêm Fluconazole 2 mg/ml
NaCl 0,9% 496
Tương thích
Dạng tiêm Tobramycin sulfate 5 mg/ml
Dạng tiêm Fludarabine phosphate 1 mg/ml
Glucose 5% 492
Tương thích
Dạng tiêm Tobramycin sulfate 40 mg/ml
Dạng tiêm Foscarnet sodium 24 mg/ml
Không 73
Tương thích
Dạng tiêm Tobramycin sulfate 5 mg/ml
Dạng tiêm Fosfomycin 30 mg/ml
Glucose 5% 4055
Lượng mưa sau 7 giờ Không tương thích
Dạng tiêm Tobramycin sulfate 8 mg/ml
Dạng tiêm Furosemide 1 mg/ml
NaCl 0,9% 1232
Lượng mưa ngay lập tức Không tương thích
Dạng tiêm Tobramycin sulfate 1,6 mg/ml
Dạng tiêm Furosemide 0,8 mg/ml
Glucose 5% 367
Lượng mưa ngay lập tức Không tương thích
Dạng tiêm Tobramycin sulfate 1,6 mg/ml
Dạng tiêm Furosemide 0,8 mg/ml
NaCl 0,9% 367
Không tương thích không xác định Không tương thích
Dạng tiêm Tobramycin sulfate 0.8 mg/ml
Dạng tiêm Heparin sodium 50 UI/ml
Không 317
Không tương thích không xác định Không tương thích
Dạng tiêm Tobramycin sulfate
Dạng tiêm Heparin sodium
3540
Tương thích
Dạng tiêm Tobramycin sulfate
Glucose 5% 5086
Tương thích
Dạng tiêm Tobramycin sulfate 5 mg/ml
Dạng tiêm Fosfomycin 30 mg/ml
NaCl 0,9% 4055
Tương thích
Dạng tiêm Tobramycin sulfate 5 mg/ml
Dạng tiêm Gemcitabine hydrochloride 10 mg/ml
NaCl 0,9% 1423
Tương thích
Dạng tiêm Tobramycin sulfate 5 mg/ml
Dạng tiêm Granisetron hydrochloride 0.05 mg/ml
Glucose 5% 182
Tương thích
Dạng tiêm Tobramycin sulfate 5 mg/ml
Dạng tiêm Hetastarch 60 mg/ml
dung môi cụ thể 1721
Lượng mưa ngay lập tức Không tương thích
Dạng tiêm Tobramycin sulfate 0.8 mg/ml
Dạng tiêm Hetastarch 60 mg/ml
NaCl 0,9% 472
Tương thích
Dạng tiêm Tobramycin sulfate 0.8 mg/ml
Dạng tiêm Hydromorphone hydrochloride 0.2 mg/ml
Glucose 5% 405
Lượng mưa sau 15 phút Không tương thích
Dạng tiêm Tobramycin sulfate 1 mg/ml
Dạng tiêm Indomethacin sodium trihydrate 0,5 & 1 mg/ml
Glucose 5% 1745
Lượng mưa ngay lập tức Không tương thích
Dạng tiêm Tobramycin sulfate 1 mg/ml
Dạng tiêm Indomethacin sodium trihydrate 0,5 & 1 mg/ml
Glucose 5% 494
Tương thích
Dạng tiêm Tobramycin sulfate 1.6 & 2 mg/ml
Dạng tiêm Insulin 0.2 UI/ml
NaCl 0,9% 129
Tương thích
Dạng tiêm Tobramycin sulfate 5 mg/ml
Dạng tiêm Isavuconazonium sulfate 1.5 mg/ml
Glucose 5% 3829
Tương thích
Dạng tiêm Tobramycin sulfate 5 mg/ml
Dạng tiêm Isavuconazonium sulfate 1.5 mg/ml
NaCl 0,9% 3829
Tương thích
Dạng tiêm Tobramycin sulfate 40 mg/ml
Dạng tiêm Ketamine hydrochloride 50 mg/ml
2109
Tương thích
Dạng tiêm Tobramycin sulfate 0.8 mg/ml
Dạng tiêm Labetalol hydrochloride 1 mg/ml
Glucose 5% 386
Thay đổi màu sau 4 giờ Không tương thích
Dạng tiêm Tobramycin sulfate 5 mg/ml
Dạng tiêm Lansoprazole 0.55 mg/ml
NaCl 0,9% 1625
Tương thích
Dạng tiêm Tobramycin sulfate 5 mg/ml
Dạng tiêm Linezolid 2 mg/ml
Không 1925
Tương thích
Dạng tiêm Tobramycin sulfate 0,80 mg/ml
Dạng tiêm Linezolid 1,80 mg/ml
2353
Tương thích
Dạng tiêm Tobramycin sulfate 0.8 mg/ml
Dạng tiêm Magnesium sulfate 16.67 >> 100 mg/ml
Glucose 5% 1047
Tương thích
Dạng tiêm Tobramycin sulfate 5 mg/ml
Dạng tiêm Melphalan 0.1 mg/ml
NaCl 0,9% 169
Tương thích
Dạng tiêm Tobramycin sulfate 40 mg/ml
Dạng tiêm Meropenem 50 mg/ml
Nước cất pha tiêm 4319
Tương thích
Dạng tiêm Tobramycin sulfate 40 mg/ml
Dạng tiêm Meropenem 50 mg/ml
4389
Tương thích
Dạng tiêm Tobramycin sulfate 0.8 mg/ml
Dạng tiêm Metronidazole 5 mg/ml
Không 1035
Tương thích
Dạng tiêm Tobramycin sulfate
Dạng tiêm Metronidazole
3594
Tương thích
Dạng tiêm Tobramycin sulfate 10 mg/ml
Dạng tiêm Midazolam hydrochloride 1 mg/ml
Glucose 5% 176
Tương thích
Dạng tiêm Tobramycin sulfate 1.6 >> 2.4 mg/ml
Dạng tiêm Morphine sulfate 1 mg/ml
NaCl 0,9% 406
Tương thích
Dạng tiêm Tobramycin sulfate 0.8 mg/ml
Dạng tiêm Morphine sulfate 1 mg/ml
Glucose 5% 405
Tương thích
Dạng tiêm Tobramycin sulfate 40 mg/ml
Dạng tiêm Naloxone hydrochloride 0.4 mg/ml
Không 3408
Tương thích
Dạng tiêm Tobramycin sulfate 0.8 mg/ml
Dạng tiêm Nicardipine hydrochloride 0.1 mg/ml
NaCl 0,9% 1490
Tương thích
Dạng tiêm Tobramycin sulfate 0.8 mg/ml
Dạng tiêm Nicardipine hydrochloride 0.1 mg/ml
Glucose 5% 1490
Tương thích
Dạng tiêm Tobramycin sulfate 0,8 mg/ml
Dạng tiêm Ofloxacin 2 mg/ml
Không 889
Tương thích
Dạng tiêm Tobramycin sulfate 5 mg/ml
Dạng tiêm Oritavancin 0.8 >>2 mg/ml
Glucose 5% 3152
Lượng mưa ngay lập tức Không tương thích
Dạng tiêm Tobramycin sulfate
Dạng tiêm Pantoprazole sodium
2090
Tương thích
Dạng tiêm Tobramycin sulfate 40 mg/ml
Dạng tiêm Paracetamol 10 mg/ml
4742
Lượng mưa ngay lập tức Không tương thích
Dạng tiêm Tobramycin sulfate 5 mg/ml
Dạng tiêm Pemetrexed disodium 20 mg/ml
NaCl 0,9% 1953
Tương thích
Dạng tiêm Tobramycin sulfate 0.8 mg/ml
Dạng tiêm Pethidine hydrochloride 10 mg/ml
Glucose 5% 405
Tương thích
Dạng tiêm Tobramycin sulfate 1.6 >> 2.4 mg/ml
Dạng tiêm Pethidine hydrochloride 10 mg/ml
NaCl 0,9% 406
Không ổn định hóa học Không tương thích
Dạng tiêm Tobramycin sulfate
Dạng tiêm Piperacillin sodium
1168
Không ổn định hóa học Không tương thích
Dạng tiêm Tobramycin sulfate
Dạng tiêm Piperacillin sodium / tazobactam
3586
Sự mất ổn định tức thì của nhũ tương Không tương thích
Dạng tiêm Tobramycin sulfate 2 mg/ml
Dạng tiêm Propofol
660
Lượng mưa ngay lập tức Không tương thích
Dạng tiêm Tobramycin sulfate 5 mg/ml
Dạng tiêm Propofol 10 mg/ml
Không 300
Tương thích
Dạng tiêm Tobramycin sulfate 5 mg/ml
Dạng tiêm Remifentanil hydrochloride 25 & 250 µg/ml
NaCl 0,9% 59
Lượng mưa ngay lập tức Không tương thích
Dạng tiêm Tobramycin sulfate 40 mg/ml
Dạng tiêm Salbutamol sulfate 1 mg/ml
Không 3216
Lượng mưa sau 4 giờ Không tương thích
Dạng tiêm Tobramycin sulfate 5 mg/ml
Dạng tiêm Sargramostim 10 µg/ml
NaCl 0,9% 335
Tương thích
Dạng tiêm Tobramycin sulfate 2,4 mg/ml
Dạng tiêm Sodium bicarbonate 40 mg/ml
Không 3122
Tương thích
Dạng tiêm Tobramycin sulfate 5 mg/ml
Dạng tiêm Sulbactam/durlobactam 15/15 mg/ml
NaCl 0,9% 4801
Tương thích
Dạng tiêm Tobramycin sulfate 40 mg/ml
Dạng tiêm Tacrolimus 1000 µg/ml
NaCl 0,9% 479
Độ đục ngay lập tức Không tương thích
Dạng tiêm Tobramycin sulfate 5 mg/ml
Dạng tiêm Tedizolid phosphate 0.8 mg/ml
NaCl 0,9% 3827
Không tương thích không xác định Không tương thích
Dạng tiêm Tobramycin sulfate
Dạng tiêm Teicoplanine
3656
Tương thích
Dạng tiêm Tobramycin sulfate 5 mg/ml
Dạng tiêm Telavancin hydrochloride 7.5 mg/ml
NaCl 0,9% 3254
Tương thích
Dạng tiêm Tobramycin sulfate 5 mg/ml
Dạng tiêm Telavancin hydrochloride 7.5 mg/ml
Glucose 5% 3254
Tương thích
Dạng tiêm Tobramycin sulfate 6 mg/ml
Dạng tiêm Temocilline 83.33 mg/ml
Nước cất pha tiêm 2231
Không tương thích không xác định Không tương thích
Dạng tiêm Tobramycin sulfate
Dạng tiêm Temocilline
2296
Tương thích
Dạng tiêm Tobramycin sulfate 5 mg/ml
Dạng tiêm Teniposide 0.1 mg/ml
Glucose 5% 905
Tương thích
Dạng tiêm Tobramycin sulfate 0.8 mg/ml
Dạng tiêm Theophylline 4 mg/ml
Không 317
Lượng mưa ngay lập tức Không tương thích
Dạng tiêm Tobramycin sulfate 40 mg/ml
Dạng tiêm Thiopental sodium 25 mg/ml
NaCl 0,9% 3767
Tương thích
Dạng tiêm Tobramycin sulfate 5 mg/ml
Dạng tiêm Thiotepa 1 mg/ml
Glucose 5% 249
Tương thích
Dạng tiêm Tobramycin sulfate
NaCl 0,9% 5086
Không ổn định hóa học Không tương thích
Dạng tiêm Tobramycin sulfate
Dạng tiêm Ticarcillin / clavulanic acid
3587
Tương thích
Dạng tiêm Tobramycin sulfate
Dạng tiêm Tigecycline
NaCl 0,9% 3332
Tương thích
Dạng tiêm Tobramycin sulfate 6 mg/ml
Dạng tiêm Vancomycin hydrochloride 10 mg/ml
Glucose 5% 3385
Tương thích
Dạng tiêm Tobramycin sulfate 0.16 mg/ml
Dạng tiêm Verapamil hydrochloride 0.08 mg/ml
NaCl 0,9% 1057
Tương thích
Dạng tiêm Tobramycin sulfate 0.16 mg/ml
Dạng tiêm Verapamil hydrochloride 0.08 mg/ml
Glucose 5% 1057
Tương thích
Dạng tiêm Tobramycin sulfate 5 mg/ml
Dạng tiêm Vinorelbine tartrate 1 mg/ml
NaCl 0,9% 84
Tương thích
Dạng tiêm Tobramycin sulfate 2 mg/ml
Dạng tiêm Zidovudine 4 mg/ml
Glucose 5% 337

  Mentions Légales