Laatste update :
16/12/2025
Antibioticum   Tobramycin sulfate   
Oogwater
Aerosol injecteerbaar geneesmiddel Orale Oplossing
Stabiliteit van farmaceutische preparaten Stabiliteit in mengsels Factoren die de stabiliteit beïnvloeden Verenigbaarheden Literatuur pdf
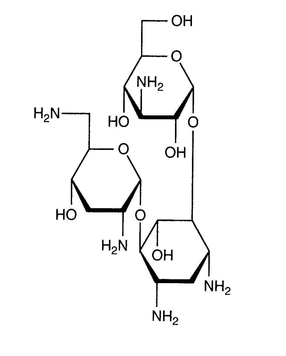
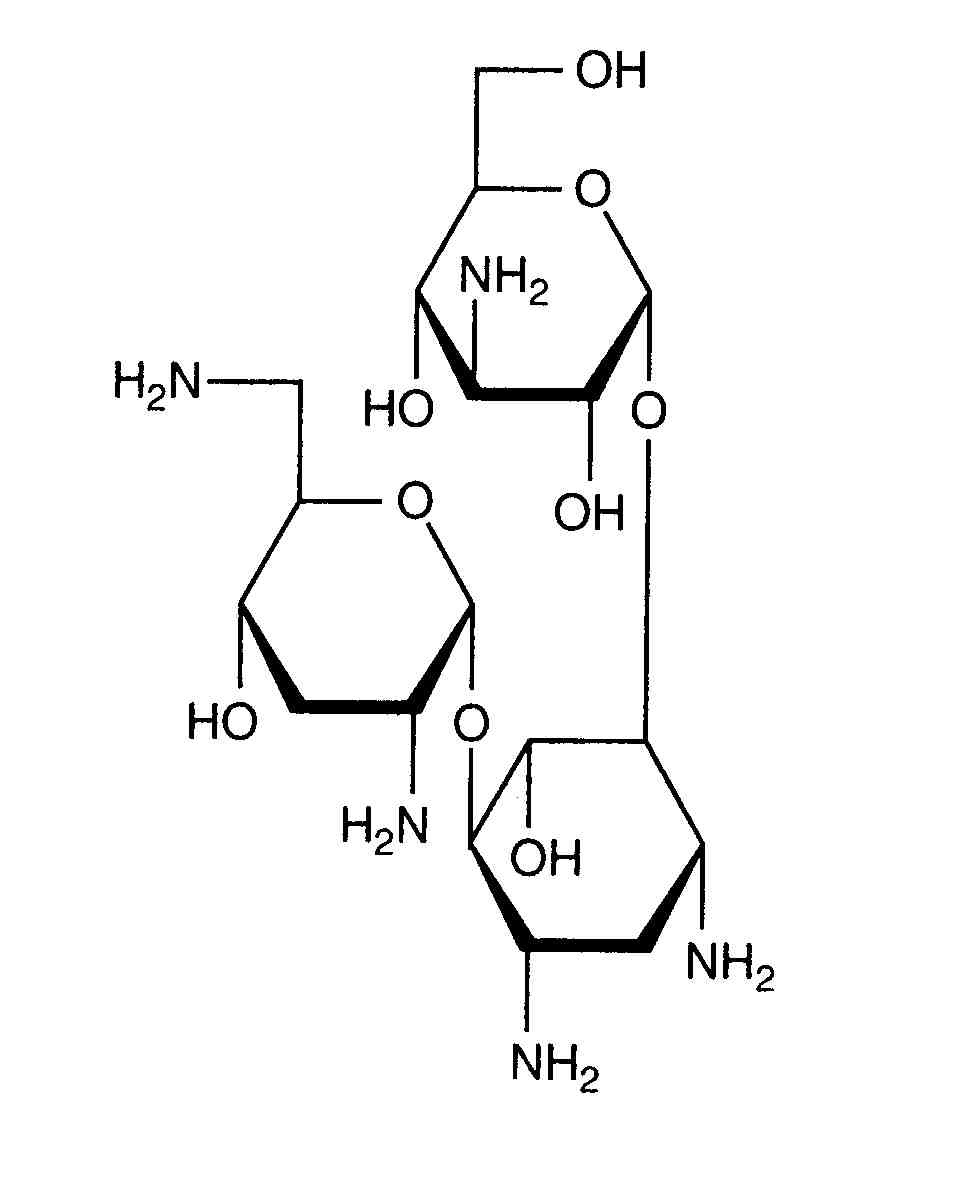
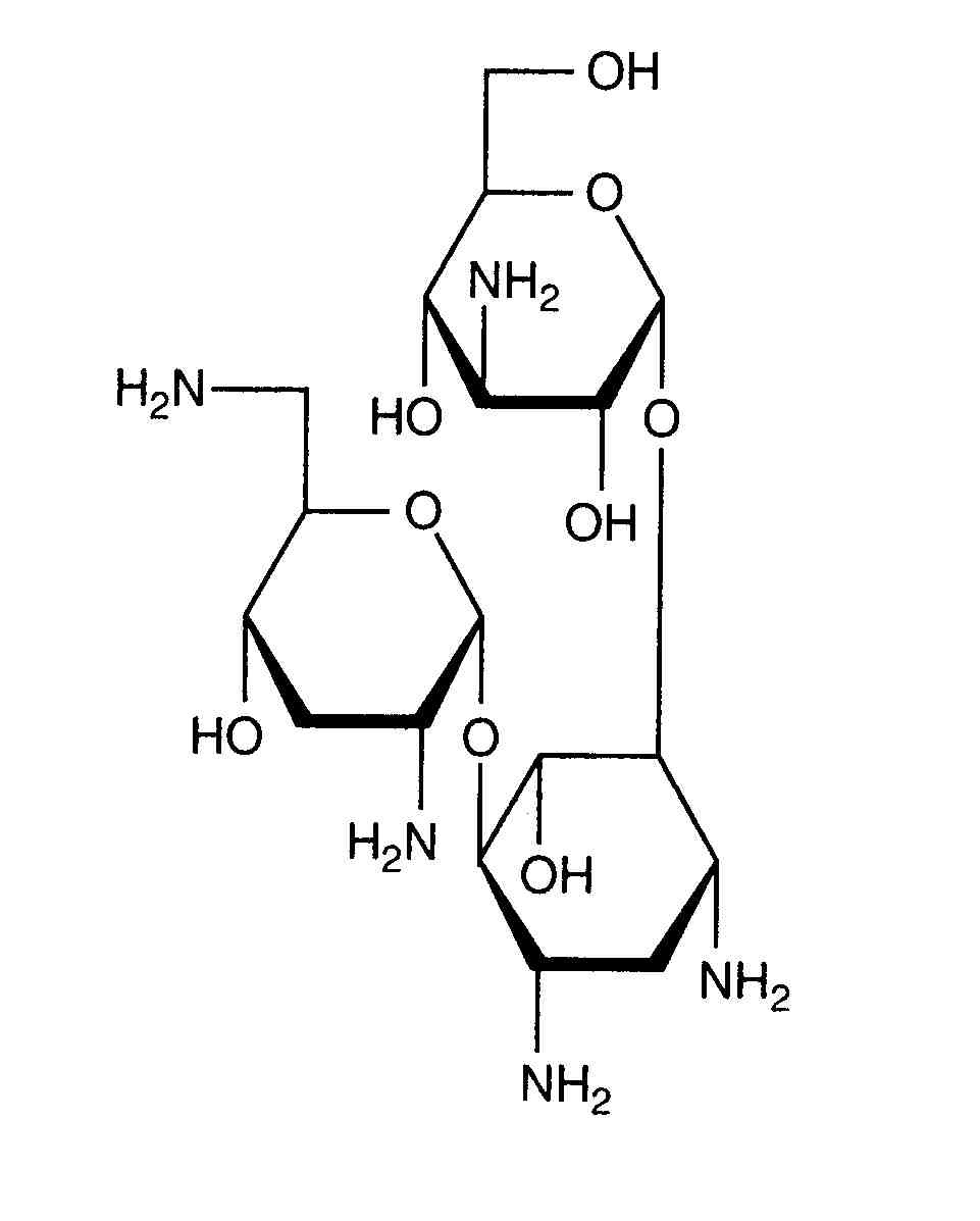
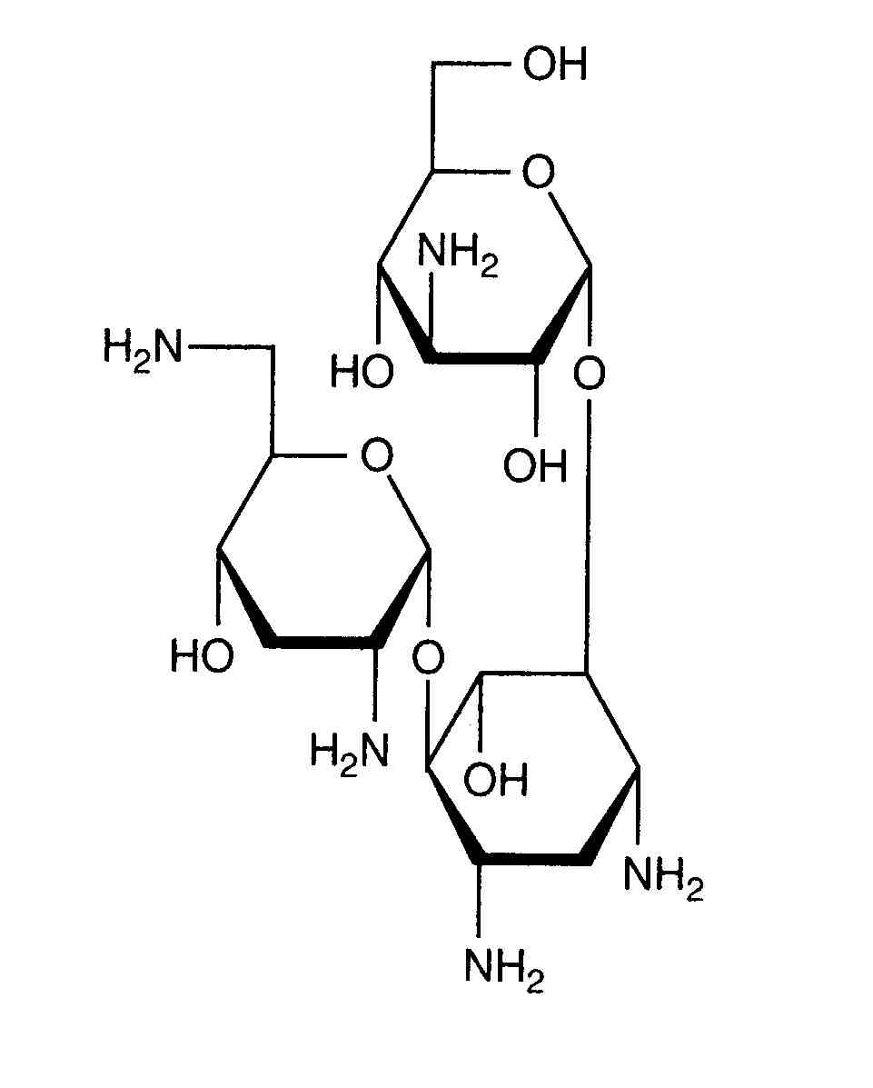
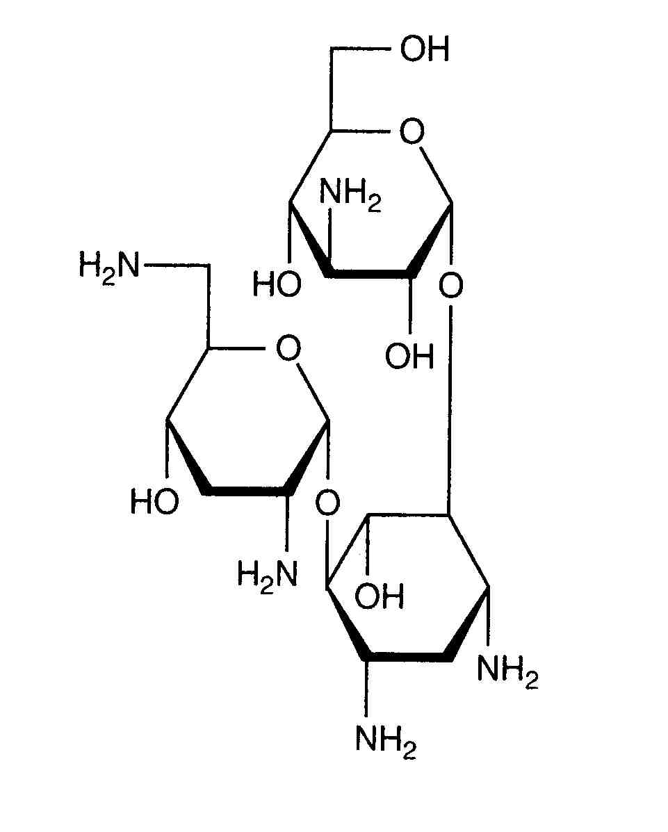
   Molecuulstructuur  

Oogwater
Stabiliteit van farmaceutische preparaten   Oogwater   Stabiliteit van farmaceutische preparaten : Tobramycin sulfate      
Verpakking Origine  ikˈsipēənt hulpstof Temperatuur Bewaring Duur van de stabiliteit Literatuur
plastic fles Geneeskunde fles voor injectie 5 ml
Nebcin® 40 mg/ml
Tobrex® 3 mg/ml eye-drops 2 ml
4-8°C Buiten invloed van licht
90 Dag
2487


  Mentions Légales