Τελευταία ενημέρωση :
27/04/2026
Αντιβιοτικό   Tobramycin sulfate  
Ενέσιμο
Αεροζόλ Οφθαλμικές σταγόνες Πόσιμο διάλυμα
Σταθερότητα διαλυμάτων Σταθερότητα σε μίγματα Παράγοντας που επηρεάζει τη σταθερότητα Συμβατότητες Τρόπος χορήγησης Βιβλιογραφία pdf
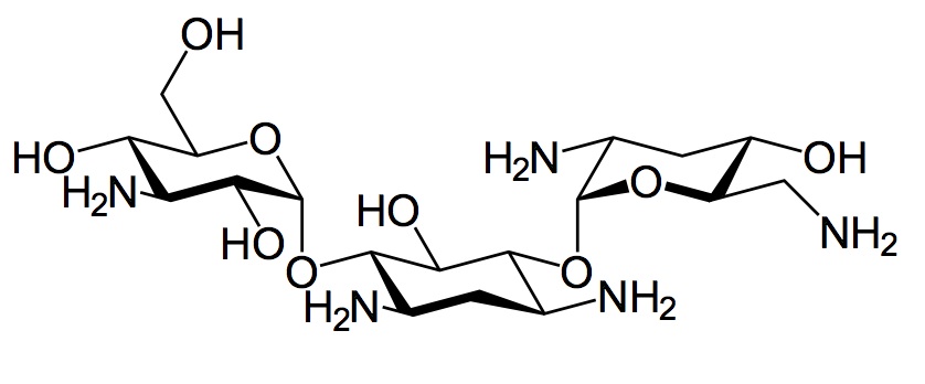
   χημική δομή  

Εμπορική ονομασία   Εμπορική ονομασία     

Οι εμπορικές ονομασίες είναι ενδεικτικές και η σύνθεση των εκδόχων μπορεί να διαφέρει ανάλογα με τη χώρα και τα εργαστήρια

Bactob Ινδία
Beltob Ινδία
Bramicil Ιταλία
Brulamycin Μαλαισία, Ουγγαρία, Σλοβενία
Eltol Ινδία
Fytobra Ινδία
Gernebcin Γερμανία
Komitob Ινδία
Nebcin Yhdistyneet arabiemiirikunnat, Αίγυπτος, Ελλάδα, Μεγάλη Βρετανία, νέα Ζηλανδία, Σαουδική Αραβία
Nebcina Δανία, Μαρόκο, Νορβηγία, Σουηδία
Nebcine Γαλλία, Μαρόκο, Σλοβενία
Nebicina Ιταλία
Obracin Βέλγιο, Ελβετία, Λουξεμβούργο, Ολλανδία
Tobracin Αίγυπτος, Βραζιλία, Σαουδική Αραβία
Tobramicina Αργεντινή, Βραζιλία, Εκουαδόρ, Ισπανία, Ιταλία, Κολομβία, Πορτογαλία, Χιλή
Tobramina Βραζιλία
Tobramycin Αυστραλία, Γερμανία, Η.Π.Α., Ιρλανδία, Καναδάς, Μεγάλη Βρετανία, Νορβηγία, Σαουδική Αραβία
Tobramycine Γαλλία, Ιρλανδία, Ολλανδία
Tobrasix Αυστρία
Tobrazid Γερμανία
Συμβατότητες    Ενέσιμο   Συμβατότητες : Tobramycin sulfate              
Σε αυτή την οθόνη εμφανίζονται οι συμβατότητες ή ασυμβατότητες. Σε αυτή την περίπτωση εμφανίζονται το είδος της ασυμβατότητας (ίζημα, αλλαγή χρώματος, μεταβολή γαλακτώματος, κλπ). Οι συμβατότητες που παρουσιάζονται εδώ είναι κυρίως φυσικές, ενώ η χημική σταθερότητα κάθε μορίου σπάνια περιλαμβάνεται. Η αξιολόγηση αυτών των μιγμάτων μελετήθηκε προκειμένου να εκτιμηθεί η πιθανότητα χορήγησης στον ασθενή στο Υ κέντρο. Τα δεδομένα αυτά δεν μπορούν να χρησιμοποιηθούν για την εκ των προτέρων δημιουργία μιγμάτων σε ασκούς ή σύριγγες. Αυτό το είδος πληροφορίας υπάρχει και μπορεί να αναζητηθεί στην οθόνη «Σταθερότητα σε μίγμα».
Συστατικό Διαλυτικό Βιβλιογραφία
Σύμφωνος
Ενέσιμο Tobramycin sulfate 1.6 mg/ml
Ενέσιμο Aciclovir sodium 5 mg/ml
Γλυκόζη 5% 336
Καταβύθιση μετά από 1 ώρα Ασύμβατες
Ενέσιμο Tobramycin sulfate 5 mg/ml
Ενέσιμο Allopurinol sodium 3 mg/ml
Χλωριούχο νάτριο 0,9% 307
Σύμφωνος
Ενέσιμο Tobramycin sulfate 1 mg/ml
Ενέσιμο Alprostadil 15 µg/ml
3201
Σύμφωνος
Ενέσιμο Tobramycin sulfate 5 mg/ml
Ενέσιμο Amifostine 10 mg/ml
Γλυκόζη 5% 3
Σύμφωνος
Ενέσιμο Tobramycin sulfate 5 mg/ml
Ενέσιμο Amiodarone hydrochloride 6 mg/ml
Γλυκόζη 5% 1611
Σύμφωνος
Ενέσιμο Tobramycin sulfate 0.8 mg/ml
Ενέσιμο Amiodarone hydrochloride 4 mg/ml
Χλωριούχο νάτριο 0,9% 385
Σύμφωνος
Ενέσιμο Tobramycin sulfate 0.8 mg/ml
Ενέσιμο Amiodarone hydrochloride 4 mg/ml
Γλυκόζη 5% 385
Χημική αστάθεια Ασύμβατες
Ενέσιμο Tobramycin sulfate
Ενέσιμο Amoxicillin sodium
3527
Απροσδιόριστη ασυμβατότητα Ασύμβατες
Ενέσιμο Tobramycin sulfate
Ενέσιμο Amoxicillin sodium / clavulanic acid
3545
Σύμφωνος
Ενέσιμο Tobramycin sulfate 40 mg/ml
Ενέσιμο Amoxicillin sodium / clavulanic acid 100/10 mg/ml
3824
Άμεση βροχόπτωση Ασύμβατες
Ενέσιμο Tobramycin sulfate 5 mg/ml
Ενέσιμο Amphotericin B cholesteryl sulfate complex 0.83 mg/ml
Γλυκόζη 5% 921
Σύμφωνος
Ενέσιμο Tobramycin sulfate 5 mg/ml
Ενέσιμο Amsacrine 1 mg/ml
Γλυκόζη 5% 253
Σύμφωνος
Ενέσιμο Tobramycin sulfate 5 mg/ml
Ενέσιμο Anidulafungin 0.5 mg/ml
Γλυκόζη 5% 1982
Άμεση βροχόπτωση Ασύμβατες
Ενέσιμο Tobramycin sulfate 21 mg/ml
Ενέσιμο Azithromycine 2 mg/ml
Χλωριούχο νάτριο 0,9% 1800
Σύμφωνος
Ενέσιμο Tobramycin sulfate 0.2 & 0.8 mg/ml
Ενέσιμο Aztreonam 10 & 20 mg/ml
Γλυκόζη 5% 19
Σύμφωνος
Ενέσιμο Tobramycin sulfate 0.2 & 0.8 mg/ml
Ενέσιμο Aztreonam 10 & 20 mg/ml
Χλωριούχο νάτριο 0,9% 19
Σύμφωνος
Ενέσιμο Tobramycin sulfate 5 mg/ml
Ενέσιμο Aztreonam 40 mg/ml
Γλυκόζη 5% 99
Σύμφωνος
Ενέσιμο Tobramycin sulfate 5 mg/ml
Ενέσιμο Bivalirudin 5 mg/ml
Γλυκόζη 5% 1713
Σύμφωνος
Ενέσιμο Tobramycin sulfate 40 mg/ml
Ενέσιμο Caffeine 10 mg/ml
Ουδέν 3964
Ασύμβατες
Ενέσιμο Tobramycin sulfate
Ενέσιμο Calcium gluconate
4964
Απροσδιόριστη ασυμβατότητα Ασύμβατες
Ενέσιμο Tobramycin sulfate
Ενέσιμο Calcium gluconate
3644
Σύμφωνος
Ενέσιμο Tobramycin sulfate 1 mg/ml
Ενέσιμο Calcium gluconate 33 mg/ml
Γλυκόζη 5% 503
Σύμφωνος
Ενέσιμο Tobramycin sulfate 5 mg/ml
Ενέσιμο Calcium gluconate 16 mg/ml
Γλυκόζη 5% 503
Σύμφωνος
Ενέσιμο Tobramycin sulfate 5 mg/ml
Ενέσιμο Caspofungin acetate 0,7 mg/ml
Χλωριούχο νάτριο 0,9% 2247
Άμεση βροχόπτωση Ασύμβατες
Ενέσιμο Tobramycin sulfate
Ενέσιμο Cefamandole nafate 2 >> 100 mg/ml
Χλωριούχο νάτριο 0,9% 612
Άμεση βροχόπτωση Ασύμβατες
Ενέσιμο Tobramycin sulfate
Ενέσιμο Cefamandole nafate 2 >> 100 mg/ml
Γλυκόζη 5% 612
Απροσδιόριστη ασυμβατότητα Ασύμβατες
Ενέσιμο Tobramycin sulfate
Ενέσιμο Cefamandole nafate
3546
Σύμφωνος
Ενέσιμο Tobramycin sulfate 6 mg/ml
Ενέσιμο Cefepime dihydrochloride 125 mg/ml
Ενέσιμο ύδωρ 2141
Απροσδιόριστη ασυμβατότητα Ασύμβατες
Ενέσιμο Tobramycin sulfate
Ενέσιμο Cefepime dihydrochloride
3548
Άμεση βροχόπτωση Ασύμβατες
Ενέσιμο Tobramycin sulfate 10 mg/ml
Ενέσιμο Cefiderocol sulfate tosylate 20 mg/mL
Γλυκόζη 5% 4528
Άμεση βροχόπτωση Ασύμβατες
Ενέσιμο Tobramycin sulfate 10 mg/ml
Ενέσιμο Cefiderocol sulfate tosylate 20 mg/mL
Χλωριούχο νάτριο 0,9% 4528
Άμεση βροχόπτωση Ασύμβατες
Ενέσιμο Tobramycin sulfate 0.8 mg/ml
Ενέσιμο Cefoperazone sodium 10 & 40 mg/ml
Γλυκόζη 5% 1206
Απροσδιόριστη ασυμβατότητα Ασύμβατες
Ενέσιμο Tobramycin sulfate
Ενέσιμο Cefoperazone sodium
3544
Απροσδιόριστη ασυμβατότητα Ασύμβατες
Ενέσιμο Tobramycin sulfate
Ενέσιμο Cefpirome sulfate
3677
Σύμφωνος
Ενέσιμο Tobramycin sulfate 5 mg/ml
Ενέσιμο Ceftaroline fosamil 2,22 mg/ml
Χλωριούχο νάτριο 0,9% 3249
Σύμφωνος
Ενέσιμο Tobramycin sulfate 5 mg/ml
Ενέσιμο Ceftaroline fosamil 2,22 mg/ml
Γλυκόζη 5% 3249
Σύμφωνος
Ενέσιμο Tobramycin sulfate 5 mg/ml
Ενέσιμο Ceftaroline fosamil 2,22 mg/ml
Γαλακτικό διάλυμα Ringer 3249
Σύμφωνος
Ενέσιμο Tobramycin sulfate 6 mg/ml
Ενέσιμο Ceftazidime 83.3 mg/ml
1759
Απροσδιόριστη ασυμβατότητα Ασύμβατες
Ενέσιμο Tobramycin sulfate
Ενέσιμο Ceftazidime
3543
Σύμφωνος
Ενέσιμο Tobramycin sulfate 0.008 mg/ml
Ενέσιμο Ceftazidime 0.125 mg/ml
Dianéal® PD2 2.5% glucose (Baxter) 2369
Απροσδιόριστη ασυμβατότητα Ασύμβατες
Ενέσιμο Tobramycin sulfate
Ενέσιμο Ceftazidime
3883
Σύμφωνος
Ενέσιμο Tobramycin sulfate 6 mg/ml
Ενέσιμο Ceftazidime 125 mg/ml
Ενέσιμο ύδωρ 2141
Άμεση βροχόπτωση Ασύμβατες
Ενέσιμο Tobramycin sulfate 5 mg/ml
Ενέσιμο Ceftobiprole medocaril sodium 2 mg/ml
Γαλακτικό διάλυμα Ringer 2269
Απροσδιόριστη ασυμβατότητα Ασύμβατες
Ενέσιμο Tobramycin sulfate
Ενέσιμο Ceftobiprole medocaril sodium
4650
Άμεση βροχόπτωση Ασύμβατες
Ενέσιμο Tobramycin sulfate 5 mg/ml
Ενέσιμο Ceftobiprole medocaril sodium 2 mg/ml
Γλυκόζη 5% 2269
Άμεση βροχόπτωση Ασύμβατες
Ενέσιμο Tobramycin sulfate 5 mg/ml
Ενέσιμο Ceftobiprole medocaril sodium 2 mg/ml
Χλωριούχο νάτριο 0,9% 2269
Σύμφωνος
Ενέσιμο Tobramycin sulfate 5 mg/ml
Ενέσιμο Ceftolozane / tazobactam 10/5 mg/ml
Γλυκόζη 5% 3828
Σύμφωνος
Ενέσιμο Tobramycin sulfate 5 mg/ml
Ενέσιμο Ceftolozane / tazobactam 10/5 mg/ml
Χλωριούχο νάτριο 0,9% 3828
Απροσδιόριστη ασυμβατότητα Ασύμβατες
Ενέσιμο Tobramycin sulfate
Ενέσιμο Ceftriaxone disodium
3523
Απροσδιόριστη ασυμβατότητα Ασύμβατες
Ενέσιμο Tobramycin sulfate
Ενέσιμο Cefuroxime sodium
3687
Σύμφωνος
Ενέσιμο Tobramycin sulfate 1.6 mg/ml
Ενέσιμο Ciprofloxacin lactate 2 mg/ml
Γλυκόζη 5% 285
Σύμφωνος
Ενέσιμο Tobramycin sulfate 1 mg/ml
Ενέσιμο Ciprofloxacin lactate 1.5 mg/ml
Γλυκόζη 5% 434
Σύμφωνος
Ενέσιμο Tobramycin sulfate 1 mg/ml
Ενέσιμο Ciprofloxacin lactate 1.5 mg/ml
Χλωριούχο νάτριο 0,9% 434
Σύμφωνος
Ενέσιμο Tobramycin sulfate 1,6 mg/ml
Ενέσιμο Ciprofloxacin lactate 1 mg/ml
Γλυκόζη 5% 500
Σύμφωνος
Ενέσιμο Tobramycin sulfate 1,6 mg/ml
Ενέσιμο Ciprofloxacin lactate 1 mg/ml
Χλωριούχο νάτριο 0,9% 500
Σύμφωνος
Ενέσιμο Tobramycin sulfate 5 mg/ml
Ενέσιμο Cisatracurium besylate 0.1 >> 5 mg/ml
Γλυκόζη 5% 299
Χημική αστάθεια Ασύμβατες
Ενέσιμο Tobramycin sulfate
Ενέσιμο Cisplatin
3578
Σύμφωνος
Ενέσιμο Tobramycin sulfate
Ενέσιμο Clindamycin phosphate
Γλυκόζη 5% 3526
Σύμφωνος
Ενέσιμο Tobramycin sulfate
Ενέσιμο Clindamycin phosphate
Χλωριούχο νάτριο 0,9% 3526
Άμεση βροχόπτωση Ασύμβατες
Ενέσιμο Tobramycin sulfate 12 mg/ml
Ενέσιμο Clindamycin phosphate 90 mg/ml
Χλωριούχο νάτριο 0,9% 639
Άμεση βροχόπτωση Ασύμβατες
Ενέσιμο Tobramycin sulfate 40 mg/ml
Ενέσιμο Cloxacillin sodium 100 mg/ml
Ενέσιμο ύδωρ 3012
Άμεση βροχόπτωση Ασύμβατες
Ενέσιμο Tobramycin sulfate 10 mg/ml
Ενέσιμο Defibrotide 8 mg/ml
Χλωριούχο νάτριο 0,9% 3728
Σύμφωνος
Ενέσιμο Tobramycin sulfate 5 mg/ml
Ενέσιμο Dexmedetomidine 4 µg/ml
Χλωριούχο νάτριο 0,9% 1712
Σύμφωνος
Ενέσιμο Tobramycin sulfate 2.4 & 40 mg/ml
Ενέσιμο Diltiazem hydrochloride 5 mg/ml
Χλωριούχο νάτριο 0,9% 198
Σύμφωνος
Ενέσιμο Tobramycin sulfate
Ενέσιμο Dimenhydrinate
2087
Σύμφωνος
Ενέσιμο Tobramycin sulfate 5 mg/ml
Ενέσιμο Docetaxel 0.9 mg/ml
Γλυκόζη 5% 1754
Σύμφωνος
Ενέσιμο Tobramycin sulfate 40 mg/ml
Παρεντερική διατροφή (με λιπίδια) 673
Σύμφωνος
Ενέσιμο Tobramycin sulfate 10 mg/ml
Παρεντερική  θρέψη (ελεύθερο λιπιδίων) 316
Σύμφωνος
Ενέσιμο Tobramycin sulfate 5 mg/ml
Παρεντερική διατροφή (με λιπίδια) 1415
Σύμφωνος
Ενέσιμο Tobramycin sulfate 5 mg/ml
Ενέσιμο Doripenem 5 mg/ml
Γλυκόζη 5% 2262
Σύμφωνος
Ενέσιμο Tobramycin sulfate 0,05 mg/ml
Παρεντερική  θρέψη (ελεύθερο λιπιδίων) 4445
Σύμφωνος
Ενέσιμο Tobramycin sulfate 5 mg/ml
Ενέσιμο Doripenem 5 mg/ml
Χλωριούχο νάτριο 0,9% 2262
Σύμφωνος
Ενέσιμο Tobramycin sulfate 5 mg/ml
Ενέσιμο Doxorubicin hydrochloride liposome peg 0.4 mg/ml
Γλυκόζη 5% 251
Σύμφωνος
Ενέσιμο Tobramycin sulfate 5 mg/ml
Ενέσιμο Eravacycline 0,6 mg/ml
Χλωριούχο νάτριο 0,9% 4434
Σύμφωνος
Ενέσιμο Tobramycin sulfate 5 mg/ml
Ενέσιμο Fenoldopam mesylate 80 µg/ml
Χλωριούχο νάτριο 0,9% 1803
Σύμφωνος
Ενέσιμο Tobramycin sulfate 10 mg/ml
Ενέσιμο Fentanyl citrate 50 µg/ml
Γλυκόζη 5% 63
Σύμφωνος
Ενέσιμο Tobramycin sulfate 10 & 40 mg/ml
Παρεντερική  θρέψη (ελεύθερο λιπιδίων) 999
Σύμφωνος
Ενέσιμο Tobramycin sulfate 0.8 mg/ml
Ενέσιμο Enalaprilate 0.05 mg/ml
Χλωριούχο νάτριο 0,9% 1315
Απροσδιόριστη ασυμβατότητα Ασύμβατες
Ενέσιμο Tobramycin sulfate
Ενέσιμο Erythromycin lactobionate
3674
Σύμφωνος
Ενέσιμο Tobramycin sulfate 0.8 mg/ml
Ενέσιμο Esmolol hydrochloride 10 mg/ml
Γλυκόζη 5% 384
Σύμφωνος
Ενέσιμο Tobramycin sulfate 1.6 mg/ml
Ενέσιμο Filgrastim 40 µg/ml
Γλυκόζη 5% 104
Σύμφωνος
Ενέσιμο Tobramycin sulfate 5 mg/ml
Παρεντερική  θρέψη (ελεύθερο λιπιδίων) 301
Σύμφωνος
Ενέσιμο Tobramycin sulfate 5 mg/ml
Ενέσιμο Etoposide phosphate 5 mg/ml
Γλυκόζη 5% 1410
Σύμφωνος
Ενέσιμο Tobramycin sulfate 5 mg/ml
Ενέσιμο Filgrastim 30 µg/ml
Γλυκόζη 5% 244
Σύμφωνος
Ενέσιμο Tobramycin sulfate 40 mg/ml
Γαλακτικό διάλυμα Ringer 4603
Άμεση βροχόπτωση Ασύμβατες
Ενέσιμο Tobramycin sulfate
Ενέσιμο Flucloxacillin sodium
3522
Καταβύθιση μετά από 7 ώρες Ασύμβατες
Ενέσιμο Tobramycin sulfate 8 mg/ml
Ενέσιμο Flucloxacillin sodium 20 mg/ml
Χλωριούχο νάτριο 0,9% 1232
Σύμφωνος
Ενέσιμο Tobramycin sulfate 40 mg/ml
Ενέσιμο Fluconazole 2 mg/ml
Χλωριούχο νάτριο 0,9% 496
Σύμφωνος
Ενέσιμο Tobramycin sulfate 5 mg/ml
Ενέσιμο Fludarabine phosphate 1 mg/ml
Γλυκόζη 5% 492
Σύμφωνος
Ενέσιμο Tobramycin sulfate 40 mg/ml
Ενέσιμο Foscarnet sodium 24 mg/ml
Ουδέν 73
Σύμφωνος
Ενέσιμο Tobramycin sulfate 5 mg/ml
Ενέσιμο Fosfomycin 30 mg/ml
Γλυκόζη 5% 4055
Καταβύθιση μετά από 7 ώρες Ασύμβατες
Ενέσιμο Tobramycin sulfate 8 mg/ml
Ενέσιμο Furosemide 1 mg/ml
Χλωριούχο νάτριο 0,9% 1232
Άμεση βροχόπτωση Ασύμβατες
Ενέσιμο Tobramycin sulfate 1,6 mg/ml
Ενέσιμο Furosemide 0,8 mg/ml
Γλυκόζη 5% 367
Άμεση βροχόπτωση Ασύμβατες
Ενέσιμο Tobramycin sulfate 1,6 mg/ml
Ενέσιμο Furosemide 0,8 mg/ml
Χλωριούχο νάτριο 0,9% 367
Απροσδιόριστη ασυμβατότητα Ασύμβατες
Ενέσιμο Tobramycin sulfate 0.8 mg/ml
Ενέσιμο Heparin sodium 50 UI/ml
Ουδέν 317
Απροσδιόριστη ασυμβατότητα Ασύμβατες
Ενέσιμο Tobramycin sulfate
Ενέσιμο Heparin sodium
3540
Σύμφωνος
Ενέσιμο Tobramycin sulfate
Γλυκόζη 5% 5086
Σύμφωνος
Ενέσιμο Tobramycin sulfate 5 mg/ml
Ενέσιμο Fosfomycin 30 mg/ml
Χλωριούχο νάτριο 0,9% 4055
Σύμφωνος
Ενέσιμο Tobramycin sulfate 5 mg/ml
Ενέσιμο Gemcitabine hydrochloride 10 mg/ml
Χλωριούχο νάτριο 0,9% 1423
Σύμφωνος
Ενέσιμο Tobramycin sulfate 5 mg/ml
Ενέσιμο Granisetron hydrochloride 0.05 mg/ml
Γλυκόζη 5% 182
Σύμφωνος
Ενέσιμο Tobramycin sulfate 5 mg/ml
Ενέσιμο Hetastarch 60 mg/ml
Ειδικά διαλύτη 1721
Άμεση βροχόπτωση Ασύμβατες
Ενέσιμο Tobramycin sulfate 0.8 mg/ml
Ενέσιμο Hetastarch 60 mg/ml
Χλωριούχο νάτριο 0,9% 472
Σύμφωνος
Ενέσιμο Tobramycin sulfate 0.8 mg/ml
Ενέσιμο Hydromorphone hydrochloride 0.2 mg/ml
Γλυκόζη 5% 405
Βροχόπτωση μετά από 15 λεπτά Ασύμβατες
Ενέσιμο Tobramycin sulfate 1 mg/ml
Ενέσιμο Indomethacin sodium trihydrate 0,5 & 1 mg/ml
Γλυκόζη 5% 1745
Άμεση βροχόπτωση Ασύμβατες
Ενέσιμο Tobramycin sulfate 1 mg/ml
Ενέσιμο Indomethacin sodium trihydrate 0,5 & 1 mg/ml
Γλυκόζη 5% 494
Σύμφωνος
Ενέσιμο Tobramycin sulfate 1.6 & 2 mg/ml
Ενέσιμο Insulin 0.2 UI/ml
Χλωριούχο νάτριο 0,9% 129
Σύμφωνος
Ενέσιμο Tobramycin sulfate 5 mg/ml
Ενέσιμο Isavuconazonium sulfate 1.5 mg/ml
Γλυκόζη 5% 3829
Σύμφωνος
Ενέσιμο Tobramycin sulfate 5 mg/ml
Ενέσιμο Isavuconazonium sulfate 1.5 mg/ml
Χλωριούχο νάτριο 0,9% 3829
Σύμφωνος
Ενέσιμο Tobramycin sulfate 40 mg/ml
Ενέσιμο Ketamine hydrochloride 50 mg/ml
2109
Σύμφωνος
Ενέσιμο Tobramycin sulfate 0.8 mg/ml
Ενέσιμο Labetalol hydrochloride 1 mg/ml
Γλυκόζη 5% 386
Αλλαγή χρώματος μετά από 4 ώρες Ασύμβατες
Ενέσιμο Tobramycin sulfate 5 mg/ml
Ενέσιμο Lansoprazole 0.55 mg/ml
Χλωριούχο νάτριο 0,9% 1625
Σύμφωνος
Ενέσιμο Tobramycin sulfate 5 mg/ml
Ενέσιμο Linezolid 2 mg/ml
Ουδέν 1925
Σύμφωνος
Ενέσιμο Tobramycin sulfate 0,80 mg/ml
Ενέσιμο Linezolid 1,80 mg/ml
2353
Σύμφωνος
Ενέσιμο Tobramycin sulfate 0.8 mg/ml
Ενέσιμο Magnesium sulfate 16.67 >> 100 mg/ml
Γλυκόζη 5% 1047
Σύμφωνος
Ενέσιμο Tobramycin sulfate 5 mg/ml
Ενέσιμο Melphalan 0.1 mg/ml
Χλωριούχο νάτριο 0,9% 169
Σύμφωνος
Ενέσιμο Tobramycin sulfate 40 mg/ml
Ενέσιμο Meropenem 50 mg/ml
Ενέσιμο ύδωρ 4319
Σύμφωνος
Ενέσιμο Tobramycin sulfate 40 mg/ml
Ενέσιμο Meropenem 50 mg/ml
4389
Σύμφωνος
Ενέσιμο Tobramycin sulfate 0.8 mg/ml
Ενέσιμο Metronidazole 5 mg/ml
Ουδέν 1035
Σύμφωνος
Ενέσιμο Tobramycin sulfate
Ενέσιμο Metronidazole
3594
Σύμφωνος
Ενέσιμο Tobramycin sulfate 10 mg/ml
Ενέσιμο Midazolam hydrochloride 1 mg/ml
Γλυκόζη 5% 176
Σύμφωνος
Ενέσιμο Tobramycin sulfate 1.6 >> 2.4 mg/ml
Ενέσιμο Morphine sulfate 1 mg/ml
Χλωριούχο νάτριο 0,9% 406
Σύμφωνος
Ενέσιμο Tobramycin sulfate 0.8 mg/ml
Ενέσιμο Morphine sulfate 1 mg/ml
Γλυκόζη 5% 405
Σύμφωνος
Ενέσιμο Tobramycin sulfate 40 mg/ml
Ενέσιμο Naloxone hydrochloride 0.4 mg/ml
Ουδέν 3408
Σύμφωνος
Ενέσιμο Tobramycin sulfate 0.8 mg/ml
Ενέσιμο Nicardipine hydrochloride 0.1 mg/ml
Χλωριούχο νάτριο 0,9% 1490
Σύμφωνος
Ενέσιμο Tobramycin sulfate 0.8 mg/ml
Ενέσιμο Nicardipine hydrochloride 0.1 mg/ml
Γλυκόζη 5% 1490
Σύμφωνος
Ενέσιμο Tobramycin sulfate 0,8 mg/ml
Ενέσιμο Ofloxacin 2 mg/ml
Ουδέν 889
Σύμφωνος
Ενέσιμο Tobramycin sulfate 5 mg/ml
Ενέσιμο Oritavancin 0.8 >>2 mg/ml
Γλυκόζη 5% 3152
Άμεση βροχόπτωση Ασύμβατες
Ενέσιμο Tobramycin sulfate
Ενέσιμο Pantoprazole sodium
2090
Σύμφωνος
Ενέσιμο Tobramycin sulfate 40 mg/ml
Ενέσιμο Paracetamol 10 mg/ml
4742
Άμεση βροχόπτωση Ασύμβατες
Ενέσιμο Tobramycin sulfate 5 mg/ml
Ενέσιμο Pemetrexed disodium 20 mg/ml
Χλωριούχο νάτριο 0,9% 1953
Σύμφωνος
Ενέσιμο Tobramycin sulfate 0.8 mg/ml
Ενέσιμο Pethidine hydrochloride 10 mg/ml
Γλυκόζη 5% 405
Σύμφωνος
Ενέσιμο Tobramycin sulfate 1.6 >> 2.4 mg/ml
Ενέσιμο Pethidine hydrochloride 10 mg/ml
Χλωριούχο νάτριο 0,9% 406
Χημική αστάθεια Ασύμβατες
Ενέσιμο Tobramycin sulfate
Ενέσιμο Piperacillin sodium
1168
Χημική αστάθεια Ασύμβατες
Ενέσιμο Tobramycin sulfate
Ενέσιμο Piperacillin sodium / tazobactam
3586
Άμεση αστάθεια του γαλακτώματος Ασύμβατες
Ενέσιμο Tobramycin sulfate 2 mg/ml
Ενέσιμο Propofol
660
Άμεση βροχόπτωση Ασύμβατες
Ενέσιμο Tobramycin sulfate 5 mg/ml
Ενέσιμο Propofol 10 mg/ml
Ουδέν 300
Σύμφωνος
Ενέσιμο Tobramycin sulfate 5 mg/ml
Ενέσιμο Remifentanil hydrochloride 25 & 250 µg/ml
Χλωριούχο νάτριο 0,9% 59
Άμεση βροχόπτωση Ασύμβατες
Ενέσιμο Tobramycin sulfate 40 mg/ml
Ενέσιμο Salbutamol sulfate 1 mg/ml
Ουδέν 3216
Καταβύθιση μετά από 4 ώρες Ασύμβατες
Ενέσιμο Tobramycin sulfate 5 mg/ml
Ενέσιμο Sargramostim 10 µg/ml
Χλωριούχο νάτριο 0,9% 335
Σύμφωνος
Ενέσιμο Tobramycin sulfate 2,4 mg/ml
Ενέσιμο Sodium bicarbonate 40 mg/ml
Ουδέν 3122
Σύμφωνος
Ενέσιμο Tobramycin sulfate 5 mg/ml
Ενέσιμο Sulbactam/durlobactam 15/15 mg/ml
Χλωριούχο νάτριο 0,9% 4801
Σύμφωνος
Ενέσιμο Tobramycin sulfate 40 mg/ml
Ενέσιμο Tacrolimus 1000 µg/ml
Χλωριούχο νάτριο 0,9% 479
Άμεση θολότητα Ασύμβατες
Ενέσιμο Tobramycin sulfate 5 mg/ml
Ενέσιμο Tedizolid phosphate 0.8 mg/ml
Χλωριούχο νάτριο 0,9% 3827
Απροσδιόριστη ασυμβατότητα Ασύμβατες
Ενέσιμο Tobramycin sulfate
Ενέσιμο Teicoplanine
3656
Σύμφωνος
Ενέσιμο Tobramycin sulfate 5 mg/ml
Ενέσιμο Telavancin hydrochloride 7.5 mg/ml
Χλωριούχο νάτριο 0,9% 3254
Σύμφωνος
Ενέσιμο Tobramycin sulfate 5 mg/ml
Ενέσιμο Telavancin hydrochloride 7.5 mg/ml
Γλυκόζη 5% 3254
Σύμφωνος
Ενέσιμο Tobramycin sulfate 6 mg/ml
Ενέσιμο Temocilline 83.33 mg/ml
Ενέσιμο ύδωρ 2231
Απροσδιόριστη ασυμβατότητα Ασύμβατες
Ενέσιμο Tobramycin sulfate
Ενέσιμο Temocilline
2296
Σύμφωνος
Ενέσιμο Tobramycin sulfate 5 mg/ml
Ενέσιμο Teniposide 0.1 mg/ml
Γλυκόζη 5% 905
Σύμφωνος
Ενέσιμο Tobramycin sulfate 0.8 mg/ml
Ενέσιμο Theophylline 4 mg/ml
Ουδέν 317
Άμεση βροχόπτωση Ασύμβατες
Ενέσιμο Tobramycin sulfate 40 mg/ml
Ενέσιμο Thiopental sodium 25 mg/ml
Χλωριούχο νάτριο 0,9% 3767
Σύμφωνος
Ενέσιμο Tobramycin sulfate 5 mg/ml
Ενέσιμο Thiotepa 1 mg/ml
Γλυκόζη 5% 249
Σύμφωνος
Ενέσιμο Tobramycin sulfate
Χλωριούχο νάτριο 0,9% 5086
Χημική αστάθεια Ασύμβατες
Ενέσιμο Tobramycin sulfate
Ενέσιμο Ticarcillin / clavulanic acid
3587
Σύμφωνος
Ενέσιμο Tobramycin sulfate
Ενέσιμο Tigecycline
Χλωριούχο νάτριο 0,9% 3332
Σύμφωνος
Ενέσιμο Tobramycin sulfate 6 mg/ml
Ενέσιμο Vancomycin hydrochloride 10 mg/ml
Γλυκόζη 5% 3385
Σύμφωνος
Ενέσιμο Tobramycin sulfate 0.16 mg/ml
Ενέσιμο Verapamil hydrochloride 0.08 mg/ml
Χλωριούχο νάτριο 0,9% 1057
Σύμφωνος
Ενέσιμο Tobramycin sulfate 0.16 mg/ml
Ενέσιμο Verapamil hydrochloride 0.08 mg/ml
Γλυκόζη 5% 1057
Σύμφωνος
Ενέσιμο Tobramycin sulfate 5 mg/ml
Ενέσιμο Vinorelbine tartrate 1 mg/ml
Χλωριούχο νάτριο 0,9% 84
Σύμφωνος
Ενέσιμο Tobramycin sulfate 2 mg/ml
Ενέσιμο Zidovudine 4 mg/ml
Γλυκόζη 5% 337

  Mentions Légales