Laatste update :
27/04/2026
Antibioticum   Tobramycin sulfate  
injecteerbaar geneesmiddel
Aerosol Oogwater Orale Oplossing
Stabiliteit in oplossing Stabiliteit in mengsels Factoren die de stabiliteit beïnvloeden Verenigbaarheden Toedieningswijze Literatuur pdf
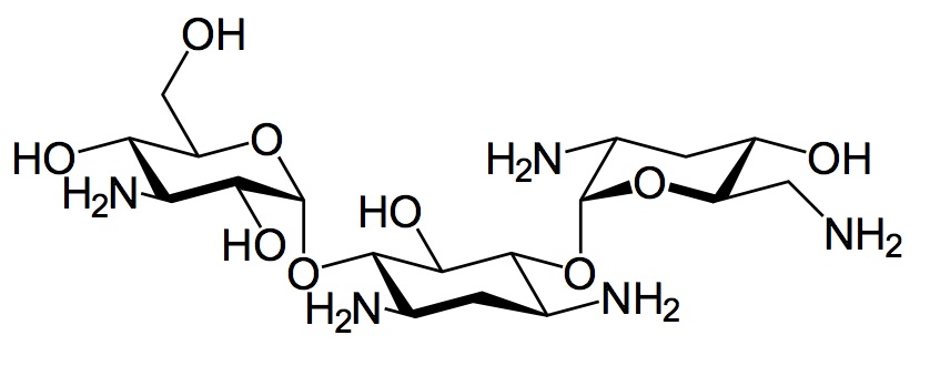
   Molecuulstructuur  

Merknamen in verschillende landen   Merknamen in verschillende landen     

Handelsnamen zijn slechts een indicatie; de samenstelling van hulpstoffen kan per land variëren afhankelijk van de fabrikant

Bactob Indië
Beltob Indië
Bramicil Italië
Brulamycin Hongarije, Maleisië, Slovenië
Eltol Indië
Fytobra Indië
Gernebcin Duitsland
Komitob Indië
Nebcin Egypte, Griekenland, Groot Britannië, nieuw Zeeland, Saudi-Arabië, Verenigde Arabische Emiraten
Nebcina Denemarken, Marokko, Noorwegen, Zweden
Nebcine Frankrijk, Marokko, Slovenië
Nebicina Italië
Obracin België, Luxemburg, Nederland, Zwitserland
Tobracin Brazilië, Egypte, Saudi-Arabië
Tobramicina Argentinië, Brazilië, Chili, Colombia, Ecuador, Italië, Portugal, Spanje
Tobramina Brazilië
Tobramycin Australië, Canada, Duitsland, Groot Britannië, Ierland, Noorwegen, Saudi-Arabië, USA
Tobramycine Frankrijk, Ierland, Nederland
Tobrasix Oostenrijk
Tobrazid Duitsland
Verenigbaarheden   injecteerbaar geneesmiddel   Verenigbaarheden : Tobramycin sulfate              
In dit scherm worden de verenigbaarheden en onverenigbaarheden weergegeven. In het geval van een onverenigbaarheid wordt ook het type (neerslag, kleurverandering, modificatie van een emulsie, etc) weergegeven. De weergegeven verenigbaarheden zijn meestal alleen op uiterlijk beoordeeld, er heeft zelden een chemische beoordeling van iedere component plaatsgevonden. De verenigbaarheden betreffen gelijktijdige toediening aan de patient middels de Y-site. De data kan niet gebruikt worden in de beoordeling van verenigbaarheden van componenten in infuuszakken of spuiten. Die informatie is te vinden onder ‘stabiliteit in mengsels’.
Stof Oplosmiddel Literatuur
Verenigbaar
injecteerbaar geneesmiddel Tobramycin sulfate 1.6 mg/ml
injecteerbaar geneesmiddel Aciclovir sodium 5 mg/ml
Glucose 5% 336
Neerslag na 1 uur Onverenigbaar
injecteerbaar geneesmiddel Tobramycin sulfate 5 mg/ml
injecteerbaar geneesmiddel Allopurinol sodium 3 mg/ml
Natriumchloride 0,9% 307
Verenigbaar
injecteerbaar geneesmiddel Tobramycin sulfate 1 mg/ml
injecteerbaar geneesmiddel Alprostadil 15 µg/ml
3201
Verenigbaar
injecteerbaar geneesmiddel Tobramycin sulfate 5 mg/ml
injecteerbaar geneesmiddel Amifostine 10 mg/ml
Glucose 5% 3
Verenigbaar
injecteerbaar geneesmiddel Tobramycin sulfate 5 mg/ml
injecteerbaar geneesmiddel Amiodarone hydrochloride 6 mg/ml
Glucose 5% 1611
Verenigbaar
injecteerbaar geneesmiddel Tobramycin sulfate 0.8 mg/ml
injecteerbaar geneesmiddel Amiodarone hydrochloride 4 mg/ml
Natriumchloride 0,9% 385
Verenigbaar
injecteerbaar geneesmiddel Tobramycin sulfate 0.8 mg/ml
injecteerbaar geneesmiddel Amiodarone hydrochloride 4 mg/ml
Glucose 5% 385
Chemische instabiliteit Onverenigbaar
injecteerbaar geneesmiddel Tobramycin sulfate
injecteerbaar geneesmiddel Amoxicillin sodium
3527
Niet-gespecificeerde incompatibiliteit Onverenigbaar
injecteerbaar geneesmiddel Tobramycin sulfate
injecteerbaar geneesmiddel Amoxicillin sodium / clavulanic acid
3545
Verenigbaar
injecteerbaar geneesmiddel Tobramycin sulfate 40 mg/ml
injecteerbaar geneesmiddel Amoxicillin sodium / clavulanic acid 100/10 mg/ml
3824
Onmiddellijke neerslag Onverenigbaar
injecteerbaar geneesmiddel Tobramycin sulfate 5 mg/ml
injecteerbaar geneesmiddel Amphotericin B cholesteryl sulfate complex 0.83 mg/ml
Glucose 5% 921
Verenigbaar
injecteerbaar geneesmiddel Tobramycin sulfate 5 mg/ml
injecteerbaar geneesmiddel Amsacrine 1 mg/ml
Glucose 5% 253
Verenigbaar
injecteerbaar geneesmiddel Tobramycin sulfate 5 mg/ml
injecteerbaar geneesmiddel Anidulafungin 0.5 mg/ml
Glucose 5% 1982
Onmiddellijke neerslag Onverenigbaar
injecteerbaar geneesmiddel Tobramycin sulfate 21 mg/ml
injecteerbaar geneesmiddel Azithromycine 2 mg/ml
Natriumchloride 0,9% 1800
Verenigbaar
injecteerbaar geneesmiddel Tobramycin sulfate 0.2 & 0.8 mg/ml
injecteerbaar geneesmiddel Aztreonam 10 & 20 mg/ml
Glucose 5% 19
Verenigbaar
injecteerbaar geneesmiddel Tobramycin sulfate 0.2 & 0.8 mg/ml
injecteerbaar geneesmiddel Aztreonam 10 & 20 mg/ml
Natriumchloride 0,9% 19
Verenigbaar
injecteerbaar geneesmiddel Tobramycin sulfate 5 mg/ml
injecteerbaar geneesmiddel Aztreonam 40 mg/ml
Glucose 5% 99
Verenigbaar
injecteerbaar geneesmiddel Tobramycin sulfate 5 mg/ml
injecteerbaar geneesmiddel Bivalirudin 5 mg/ml
Glucose 5% 1713
Verenigbaar
injecteerbaar geneesmiddel Tobramycin sulfate 40 mg/ml
injecteerbaar geneesmiddel Caffeine 10 mg/ml
Geen 3964
Onverenigbaar
injecteerbaar geneesmiddel Tobramycin sulfate
injecteerbaar geneesmiddel Calcium gluconate
4964
Niet-gespecificeerde incompatibiliteit Onverenigbaar
injecteerbaar geneesmiddel Tobramycin sulfate
injecteerbaar geneesmiddel Calcium gluconate
3644
Verenigbaar
injecteerbaar geneesmiddel Tobramycin sulfate 1 mg/ml
injecteerbaar geneesmiddel Calcium gluconate 33 mg/ml
Glucose 5% 503
Verenigbaar
injecteerbaar geneesmiddel Tobramycin sulfate 5 mg/ml
injecteerbaar geneesmiddel Calcium gluconate 16 mg/ml
Glucose 5% 503
Verenigbaar
injecteerbaar geneesmiddel Tobramycin sulfate 5 mg/ml
injecteerbaar geneesmiddel Caspofungin acetate 0,7 mg/ml
Natriumchloride 0,9% 2247
Onmiddellijke neerslag Onverenigbaar
injecteerbaar geneesmiddel Tobramycin sulfate
injecteerbaar geneesmiddel Cefamandole nafate 2 >> 100 mg/ml
Natriumchloride 0,9% 612
Onmiddellijke neerslag Onverenigbaar
injecteerbaar geneesmiddel Tobramycin sulfate
injecteerbaar geneesmiddel Cefamandole nafate 2 >> 100 mg/ml
Glucose 5% 612
Niet-gespecificeerde incompatibiliteit Onverenigbaar
injecteerbaar geneesmiddel Tobramycin sulfate
injecteerbaar geneesmiddel Cefamandole nafate
3546
Verenigbaar
injecteerbaar geneesmiddel Tobramycin sulfate 6 mg/ml
injecteerbaar geneesmiddel Cefepime dihydrochloride 125 mg/ml
Water voor injectie 2141
Niet-gespecificeerde incompatibiliteit Onverenigbaar
injecteerbaar geneesmiddel Tobramycin sulfate
injecteerbaar geneesmiddel Cefepime dihydrochloride
3548
Onmiddellijke neerslag Onverenigbaar
injecteerbaar geneesmiddel Tobramycin sulfate 10 mg/ml
injecteerbaar geneesmiddel Cefiderocol sulfate tosylate 20 mg/mL
Glucose 5% 4528
Onmiddellijke neerslag Onverenigbaar
injecteerbaar geneesmiddel Tobramycin sulfate 10 mg/ml
injecteerbaar geneesmiddel Cefiderocol sulfate tosylate 20 mg/mL
Natriumchloride 0,9% 4528
Onmiddellijke neerslag Onverenigbaar
injecteerbaar geneesmiddel Tobramycin sulfate 0.8 mg/ml
injecteerbaar geneesmiddel Cefoperazone sodium 10 & 40 mg/ml
Glucose 5% 1206
Niet-gespecificeerde incompatibiliteit Onverenigbaar
injecteerbaar geneesmiddel Tobramycin sulfate
injecteerbaar geneesmiddel Cefoperazone sodium
3544
Niet-gespecificeerde incompatibiliteit Onverenigbaar
injecteerbaar geneesmiddel Tobramycin sulfate
injecteerbaar geneesmiddel Cefpirome sulfate
3677
Verenigbaar
injecteerbaar geneesmiddel Tobramycin sulfate 5 mg/ml
injecteerbaar geneesmiddel Ceftaroline fosamil 2,22 mg/ml
Natriumchloride 0,9% 3249
Verenigbaar
injecteerbaar geneesmiddel Tobramycin sulfate 5 mg/ml
injecteerbaar geneesmiddel Ceftaroline fosamil 2,22 mg/ml
Glucose 5% 3249
Verenigbaar
injecteerbaar geneesmiddel Tobramycin sulfate 5 mg/ml
injecteerbaar geneesmiddel Ceftaroline fosamil 2,22 mg/ml
Ringer-lactaat 3249
Verenigbaar
injecteerbaar geneesmiddel Tobramycin sulfate 6 mg/ml
injecteerbaar geneesmiddel Ceftazidime 83.3 mg/ml
1759
Niet-gespecificeerde incompatibiliteit Onverenigbaar
injecteerbaar geneesmiddel Tobramycin sulfate
injecteerbaar geneesmiddel Ceftazidime
3543
Verenigbaar
injecteerbaar geneesmiddel Tobramycin sulfate 0.008 mg/ml
injecteerbaar geneesmiddel Ceftazidime 0.125 mg/ml
Dianéal® PD2 2.5% glucose (Baxter) 2369
Niet-gespecificeerde incompatibiliteit Onverenigbaar
injecteerbaar geneesmiddel Tobramycin sulfate
injecteerbaar geneesmiddel Ceftazidime
3883
Verenigbaar
injecteerbaar geneesmiddel Tobramycin sulfate 6 mg/ml
injecteerbaar geneesmiddel Ceftazidime 125 mg/ml
Water voor injectie 2141
Onmiddellijke neerslag Onverenigbaar
injecteerbaar geneesmiddel Tobramycin sulfate 5 mg/ml
injecteerbaar geneesmiddel Ceftobiprole medocaril sodium 2 mg/ml
Ringer-lactaat 2269
Niet-gespecificeerde incompatibiliteit Onverenigbaar
injecteerbaar geneesmiddel Tobramycin sulfate
injecteerbaar geneesmiddel Ceftobiprole medocaril sodium
4650
Onmiddellijke neerslag Onverenigbaar
injecteerbaar geneesmiddel Tobramycin sulfate 5 mg/ml
injecteerbaar geneesmiddel Ceftobiprole medocaril sodium 2 mg/ml
Glucose 5% 2269
Onmiddellijke neerslag Onverenigbaar
injecteerbaar geneesmiddel Tobramycin sulfate 5 mg/ml
injecteerbaar geneesmiddel Ceftobiprole medocaril sodium 2 mg/ml
Natriumchloride 0,9% 2269
Verenigbaar
injecteerbaar geneesmiddel Tobramycin sulfate 5 mg/ml
injecteerbaar geneesmiddel Ceftolozane / tazobactam 10/5 mg/ml
Glucose 5% 3828
Verenigbaar
injecteerbaar geneesmiddel Tobramycin sulfate 5 mg/ml
injecteerbaar geneesmiddel Ceftolozane / tazobactam 10/5 mg/ml
Natriumchloride 0,9% 3828
Niet-gespecificeerde incompatibiliteit Onverenigbaar
injecteerbaar geneesmiddel Tobramycin sulfate
injecteerbaar geneesmiddel Ceftriaxone disodium
3523
Niet-gespecificeerde incompatibiliteit Onverenigbaar
injecteerbaar geneesmiddel Tobramycin sulfate
injecteerbaar geneesmiddel Cefuroxime sodium
3687
Verenigbaar
injecteerbaar geneesmiddel Tobramycin sulfate 1.6 mg/ml
injecteerbaar geneesmiddel Ciprofloxacin lactate 2 mg/ml
Glucose 5% 285
Verenigbaar
injecteerbaar geneesmiddel Tobramycin sulfate 1 mg/ml
injecteerbaar geneesmiddel Ciprofloxacin lactate 1.5 mg/ml
Glucose 5% 434
Verenigbaar
injecteerbaar geneesmiddel Tobramycin sulfate 1 mg/ml
injecteerbaar geneesmiddel Ciprofloxacin lactate 1.5 mg/ml
Natriumchloride 0,9% 434
Verenigbaar
injecteerbaar geneesmiddel Tobramycin sulfate 1,6 mg/ml
injecteerbaar geneesmiddel Ciprofloxacin lactate 1 mg/ml
Glucose 5% 500
Verenigbaar
injecteerbaar geneesmiddel Tobramycin sulfate 1,6 mg/ml
injecteerbaar geneesmiddel Ciprofloxacin lactate 1 mg/ml
Natriumchloride 0,9% 500
Verenigbaar
injecteerbaar geneesmiddel Tobramycin sulfate 5 mg/ml
injecteerbaar geneesmiddel Cisatracurium besylate 0.1 >> 5 mg/ml
Glucose 5% 299
Chemische instabiliteit Onverenigbaar
injecteerbaar geneesmiddel Tobramycin sulfate
injecteerbaar geneesmiddel Cisplatin
3578
Verenigbaar
injecteerbaar geneesmiddel Tobramycin sulfate
injecteerbaar geneesmiddel Clindamycin phosphate
Glucose 5% 3526
Verenigbaar
injecteerbaar geneesmiddel Tobramycin sulfate
injecteerbaar geneesmiddel Clindamycin phosphate
Natriumchloride 0,9% 3526
Onmiddellijke neerslag Onverenigbaar
injecteerbaar geneesmiddel Tobramycin sulfate 12 mg/ml
injecteerbaar geneesmiddel Clindamycin phosphate 90 mg/ml
Natriumchloride 0,9% 639
Onmiddellijke neerslag Onverenigbaar
injecteerbaar geneesmiddel Tobramycin sulfate 40 mg/ml
injecteerbaar geneesmiddel Cloxacillin sodium 100 mg/ml
Water voor injectie 3012
Onmiddellijke neerslag Onverenigbaar
injecteerbaar geneesmiddel Tobramycin sulfate 10 mg/ml
injecteerbaar geneesmiddel Defibrotide 8 mg/ml
Natriumchloride 0,9% 3728
Verenigbaar
injecteerbaar geneesmiddel Tobramycin sulfate 5 mg/ml
injecteerbaar geneesmiddel Dexmedetomidine 4 µg/ml
Natriumchloride 0,9% 1712
Verenigbaar
injecteerbaar geneesmiddel Tobramycin sulfate 2.4 & 40 mg/ml
injecteerbaar geneesmiddel Diltiazem hydrochloride 5 mg/ml
Natriumchloride 0,9% 198
Verenigbaar
injecteerbaar geneesmiddel Tobramycin sulfate
injecteerbaar geneesmiddel Dimenhydrinate
2087
Verenigbaar
injecteerbaar geneesmiddel Tobramycin sulfate 5 mg/ml
injecteerbaar geneesmiddel Docetaxel 0.9 mg/ml
Glucose 5% 1754
Verenigbaar
injecteerbaar geneesmiddel Tobramycin sulfate 40 mg/ml
Parenterale voeding (met lipiden) 673
Verenigbaar
injecteerbaar geneesmiddel Tobramycin sulfate 10 mg/ml
Parenterale voeding (zonder vet) 316
Verenigbaar
injecteerbaar geneesmiddel Tobramycin sulfate 5 mg/ml
Parenterale voeding (met lipiden) 1415
Verenigbaar
injecteerbaar geneesmiddel Tobramycin sulfate 5 mg/ml
injecteerbaar geneesmiddel Doripenem 5 mg/ml
Glucose 5% 2262
Verenigbaar
injecteerbaar geneesmiddel Tobramycin sulfate 0,05 mg/ml
Parenterale voeding (zonder vet) 4445
Verenigbaar
injecteerbaar geneesmiddel Tobramycin sulfate 5 mg/ml
injecteerbaar geneesmiddel Doripenem 5 mg/ml
Natriumchloride 0,9% 2262
Verenigbaar
injecteerbaar geneesmiddel Tobramycin sulfate 5 mg/ml
injecteerbaar geneesmiddel Doxorubicin hydrochloride liposome peg 0.4 mg/ml
Glucose 5% 251
Verenigbaar
injecteerbaar geneesmiddel Tobramycin sulfate 5 mg/ml
injecteerbaar geneesmiddel Eravacycline 0,6 mg/ml
Natriumchloride 0,9% 4434
Verenigbaar
injecteerbaar geneesmiddel Tobramycin sulfate 5 mg/ml
injecteerbaar geneesmiddel Fenoldopam mesylate 80 µg/ml
Natriumchloride 0,9% 1803
Verenigbaar
injecteerbaar geneesmiddel Tobramycin sulfate 10 mg/ml
injecteerbaar geneesmiddel Fentanyl citrate 50 µg/ml
Glucose 5% 63
Verenigbaar
injecteerbaar geneesmiddel Tobramycin sulfate 10 & 40 mg/ml
Parenterale voeding (zonder vet) 999
Verenigbaar
injecteerbaar geneesmiddel Tobramycin sulfate 0.8 mg/ml
injecteerbaar geneesmiddel Enalaprilate 0.05 mg/ml
Natriumchloride 0,9% 1315
Niet-gespecificeerde incompatibiliteit Onverenigbaar
injecteerbaar geneesmiddel Tobramycin sulfate
injecteerbaar geneesmiddel Erythromycin lactobionate
3674
Verenigbaar
injecteerbaar geneesmiddel Tobramycin sulfate 0.8 mg/ml
injecteerbaar geneesmiddel Esmolol hydrochloride 10 mg/ml
Glucose 5% 384
Verenigbaar
injecteerbaar geneesmiddel Tobramycin sulfate 1.6 mg/ml
injecteerbaar geneesmiddel Filgrastim 40 µg/ml
Glucose 5% 104
Verenigbaar
injecteerbaar geneesmiddel Tobramycin sulfate 5 mg/ml
Parenterale voeding (zonder vet) 301
Verenigbaar
injecteerbaar geneesmiddel Tobramycin sulfate 5 mg/ml
injecteerbaar geneesmiddel Etoposide phosphate 5 mg/ml
Glucose 5% 1410
Verenigbaar
injecteerbaar geneesmiddel Tobramycin sulfate 5 mg/ml
injecteerbaar geneesmiddel Filgrastim 30 µg/ml
Glucose 5% 244
Verenigbaar
injecteerbaar geneesmiddel Tobramycin sulfate 40 mg/ml
Ringer-lactaat 4603
Onmiddellijke neerslag Onverenigbaar
injecteerbaar geneesmiddel Tobramycin sulfate
injecteerbaar geneesmiddel Flucloxacillin sodium
3522
Neerslag na 7 uur Onverenigbaar
injecteerbaar geneesmiddel Tobramycin sulfate 8 mg/ml
injecteerbaar geneesmiddel Flucloxacillin sodium 20 mg/ml
Natriumchloride 0,9% 1232
Verenigbaar
injecteerbaar geneesmiddel Tobramycin sulfate 40 mg/ml
injecteerbaar geneesmiddel Fluconazole 2 mg/ml
Natriumchloride 0,9% 496
Verenigbaar
injecteerbaar geneesmiddel Tobramycin sulfate 5 mg/ml
injecteerbaar geneesmiddel Fludarabine phosphate 1 mg/ml
Glucose 5% 492
Verenigbaar
injecteerbaar geneesmiddel Tobramycin sulfate 40 mg/ml
injecteerbaar geneesmiddel Foscarnet sodium 24 mg/ml
Geen 73
Verenigbaar
injecteerbaar geneesmiddel Tobramycin sulfate 5 mg/ml
injecteerbaar geneesmiddel Fosfomycin 30 mg/ml
Glucose 5% 4055
Neerslag na 7 uur Onverenigbaar
injecteerbaar geneesmiddel Tobramycin sulfate 8 mg/ml
injecteerbaar geneesmiddel Furosemide 1 mg/ml
Natriumchloride 0,9% 1232
Onmiddellijke neerslag Onverenigbaar
injecteerbaar geneesmiddel Tobramycin sulfate 1,6 mg/ml
injecteerbaar geneesmiddel Furosemide 0,8 mg/ml
Glucose 5% 367
Onmiddellijke neerslag Onverenigbaar
injecteerbaar geneesmiddel Tobramycin sulfate 1,6 mg/ml
injecteerbaar geneesmiddel Furosemide 0,8 mg/ml
Natriumchloride 0,9% 367
Niet-gespecificeerde incompatibiliteit Onverenigbaar
injecteerbaar geneesmiddel Tobramycin sulfate 0.8 mg/ml
injecteerbaar geneesmiddel Heparin sodium 50 UI/ml
Geen 317
Niet-gespecificeerde incompatibiliteit Onverenigbaar
injecteerbaar geneesmiddel Tobramycin sulfate
injecteerbaar geneesmiddel Heparin sodium
3540
Verenigbaar
injecteerbaar geneesmiddel Tobramycin sulfate
Glucose 5% 5086
Verenigbaar
injecteerbaar geneesmiddel Tobramycin sulfate 5 mg/ml
injecteerbaar geneesmiddel Fosfomycin 30 mg/ml
Natriumchloride 0,9% 4055
Verenigbaar
injecteerbaar geneesmiddel Tobramycin sulfate 5 mg/ml
injecteerbaar geneesmiddel Gemcitabine hydrochloride 10 mg/ml
Natriumchloride 0,9% 1423
Verenigbaar
injecteerbaar geneesmiddel Tobramycin sulfate 5 mg/ml
injecteerbaar geneesmiddel Granisetron hydrochloride 0.05 mg/ml
Glucose 5% 182
Verenigbaar
injecteerbaar geneesmiddel Tobramycin sulfate 5 mg/ml
injecteerbaar geneesmiddel Hetastarch 60 mg/ml
specifieke solvent 1721
Onmiddellijke neerslag Onverenigbaar
injecteerbaar geneesmiddel Tobramycin sulfate 0.8 mg/ml
injecteerbaar geneesmiddel Hetastarch 60 mg/ml
Natriumchloride 0,9% 472
Verenigbaar
injecteerbaar geneesmiddel Tobramycin sulfate 0.8 mg/ml
injecteerbaar geneesmiddel Hydromorphone hydrochloride 0.2 mg/ml
Glucose 5% 405
Neerslag na 15 minuten Onverenigbaar
injecteerbaar geneesmiddel Tobramycin sulfate 1 mg/ml
injecteerbaar geneesmiddel Indomethacin sodium trihydrate 0,5 & 1 mg/ml
Glucose 5% 1745
Onmiddellijke neerslag Onverenigbaar
injecteerbaar geneesmiddel Tobramycin sulfate 1 mg/ml
injecteerbaar geneesmiddel Indomethacin sodium trihydrate 0,5 & 1 mg/ml
Glucose 5% 494
Verenigbaar
injecteerbaar geneesmiddel Tobramycin sulfate 1.6 & 2 mg/ml
injecteerbaar geneesmiddel Insulin 0.2 UI/ml
Natriumchloride 0,9% 129
Verenigbaar
injecteerbaar geneesmiddel Tobramycin sulfate 5 mg/ml
injecteerbaar geneesmiddel Isavuconazonium sulfate 1.5 mg/ml
Glucose 5% 3829
Verenigbaar
injecteerbaar geneesmiddel Tobramycin sulfate 5 mg/ml
injecteerbaar geneesmiddel Isavuconazonium sulfate 1.5 mg/ml
Natriumchloride 0,9% 3829
Verenigbaar
injecteerbaar geneesmiddel Tobramycin sulfate 40 mg/ml
injecteerbaar geneesmiddel Ketamine hydrochloride 50 mg/ml
2109
Verenigbaar
injecteerbaar geneesmiddel Tobramycin sulfate 0.8 mg/ml
injecteerbaar geneesmiddel Labetalol hydrochloride 1 mg/ml
Glucose 5% 386
Kleurverandering na 4 uur Onverenigbaar
injecteerbaar geneesmiddel Tobramycin sulfate 5 mg/ml
injecteerbaar geneesmiddel Lansoprazole 0.55 mg/ml
Natriumchloride 0,9% 1625
Verenigbaar
injecteerbaar geneesmiddel Tobramycin sulfate 5 mg/ml
injecteerbaar geneesmiddel Linezolid 2 mg/ml
Geen 1925
Verenigbaar
injecteerbaar geneesmiddel Tobramycin sulfate 0,80 mg/ml
injecteerbaar geneesmiddel Linezolid 1,80 mg/ml
2353
Verenigbaar
injecteerbaar geneesmiddel Tobramycin sulfate 0.8 mg/ml
injecteerbaar geneesmiddel Magnesium sulfate 16.67 >> 100 mg/ml
Glucose 5% 1047
Verenigbaar
injecteerbaar geneesmiddel Tobramycin sulfate 5 mg/ml
injecteerbaar geneesmiddel Melphalan 0.1 mg/ml
Natriumchloride 0,9% 169
Verenigbaar
injecteerbaar geneesmiddel Tobramycin sulfate 40 mg/ml
injecteerbaar geneesmiddel Meropenem 50 mg/ml
Water voor injectie 4319
Verenigbaar
injecteerbaar geneesmiddel Tobramycin sulfate 40 mg/ml
injecteerbaar geneesmiddel Meropenem 50 mg/ml
4389
Verenigbaar
injecteerbaar geneesmiddel Tobramycin sulfate 0.8 mg/ml
injecteerbaar geneesmiddel Metronidazole 5 mg/ml
Geen 1035
Verenigbaar
injecteerbaar geneesmiddel Tobramycin sulfate
injecteerbaar geneesmiddel Metronidazole
3594
Verenigbaar
injecteerbaar geneesmiddel Tobramycin sulfate 10 mg/ml
injecteerbaar geneesmiddel Midazolam hydrochloride 1 mg/ml
Glucose 5% 176
Verenigbaar
injecteerbaar geneesmiddel Tobramycin sulfate 1.6 >> 2.4 mg/ml
injecteerbaar geneesmiddel Morphine sulfate 1 mg/ml
Natriumchloride 0,9% 406
Verenigbaar
injecteerbaar geneesmiddel Tobramycin sulfate 0.8 mg/ml
injecteerbaar geneesmiddel Morphine sulfate 1 mg/ml
Glucose 5% 405
Verenigbaar
injecteerbaar geneesmiddel Tobramycin sulfate 40 mg/ml
injecteerbaar geneesmiddel Naloxone hydrochloride 0.4 mg/ml
Geen 3408
Verenigbaar
injecteerbaar geneesmiddel Tobramycin sulfate 0.8 mg/ml
injecteerbaar geneesmiddel Nicardipine hydrochloride 0.1 mg/ml
Natriumchloride 0,9% 1490
Verenigbaar
injecteerbaar geneesmiddel Tobramycin sulfate 0.8 mg/ml
injecteerbaar geneesmiddel Nicardipine hydrochloride 0.1 mg/ml
Glucose 5% 1490
Verenigbaar
injecteerbaar geneesmiddel Tobramycin sulfate 0,8 mg/ml
injecteerbaar geneesmiddel Ofloxacin 2 mg/ml
Geen 889
Verenigbaar
injecteerbaar geneesmiddel Tobramycin sulfate 5 mg/ml
injecteerbaar geneesmiddel Oritavancin 0.8 >>2 mg/ml
Glucose 5% 3152
Onmiddellijke neerslag Onverenigbaar
injecteerbaar geneesmiddel Tobramycin sulfate
injecteerbaar geneesmiddel Pantoprazole sodium
2090
Verenigbaar
injecteerbaar geneesmiddel Tobramycin sulfate 40 mg/ml
injecteerbaar geneesmiddel Paracetamol 10 mg/ml
4742
Onmiddellijke neerslag Onverenigbaar
injecteerbaar geneesmiddel Tobramycin sulfate 5 mg/ml
injecteerbaar geneesmiddel Pemetrexed disodium 20 mg/ml
Natriumchloride 0,9% 1953
Verenigbaar
injecteerbaar geneesmiddel Tobramycin sulfate 0.8 mg/ml
injecteerbaar geneesmiddel Pethidine hydrochloride 10 mg/ml
Glucose 5% 405
Verenigbaar
injecteerbaar geneesmiddel Tobramycin sulfate 1.6 >> 2.4 mg/ml
injecteerbaar geneesmiddel Pethidine hydrochloride 10 mg/ml
Natriumchloride 0,9% 406
Chemische instabiliteit Onverenigbaar
injecteerbaar geneesmiddel Tobramycin sulfate
injecteerbaar geneesmiddel Piperacillin sodium
1168
Chemische instabiliteit Onverenigbaar
injecteerbaar geneesmiddel Tobramycin sulfate
injecteerbaar geneesmiddel Piperacillin sodium / tazobactam
3586
Onmiddellijke instabiliteit van de emulsie Onverenigbaar
injecteerbaar geneesmiddel Tobramycin sulfate 2 mg/ml
injecteerbaar geneesmiddel Propofol
660
Onmiddellijke neerslag Onverenigbaar
injecteerbaar geneesmiddel Tobramycin sulfate 5 mg/ml
injecteerbaar geneesmiddel Propofol 10 mg/ml
Geen 300
Verenigbaar
injecteerbaar geneesmiddel Tobramycin sulfate 5 mg/ml
injecteerbaar geneesmiddel Remifentanil hydrochloride 25 & 250 µg/ml
Natriumchloride 0,9% 59
Onmiddellijke neerslag Onverenigbaar
injecteerbaar geneesmiddel Tobramycin sulfate 40 mg/ml
injecteerbaar geneesmiddel Salbutamol sulfate 1 mg/ml
Geen 3216
Neerslag na 4 uur Onverenigbaar
injecteerbaar geneesmiddel Tobramycin sulfate 5 mg/ml
injecteerbaar geneesmiddel Sargramostim 10 µg/ml
Natriumchloride 0,9% 335
Verenigbaar
injecteerbaar geneesmiddel Tobramycin sulfate 2,4 mg/ml
injecteerbaar geneesmiddel Sodium bicarbonate 40 mg/ml
Geen 3122
Verenigbaar
injecteerbaar geneesmiddel Tobramycin sulfate 5 mg/ml
injecteerbaar geneesmiddel Sulbactam/durlobactam 15/15 mg/ml
Natriumchloride 0,9% 4801
Verenigbaar
injecteerbaar geneesmiddel Tobramycin sulfate 40 mg/ml
injecteerbaar geneesmiddel Tacrolimus 1000 µg/ml
Natriumchloride 0,9% 479
Onmiddellijke troebelheid Onverenigbaar
injecteerbaar geneesmiddel Tobramycin sulfate 5 mg/ml
injecteerbaar geneesmiddel Tedizolid phosphate 0.8 mg/ml
Natriumchloride 0,9% 3827
Niet-gespecificeerde incompatibiliteit Onverenigbaar
injecteerbaar geneesmiddel Tobramycin sulfate
injecteerbaar geneesmiddel Teicoplanine
3656
Verenigbaar
injecteerbaar geneesmiddel Tobramycin sulfate 5 mg/ml
injecteerbaar geneesmiddel Telavancin hydrochloride 7.5 mg/ml
Natriumchloride 0,9% 3254
Verenigbaar
injecteerbaar geneesmiddel Tobramycin sulfate 5 mg/ml
injecteerbaar geneesmiddel Telavancin hydrochloride 7.5 mg/ml
Glucose 5% 3254
Verenigbaar
injecteerbaar geneesmiddel Tobramycin sulfate 6 mg/ml
injecteerbaar geneesmiddel Temocilline 83.33 mg/ml
Water voor injectie 2231
Niet-gespecificeerde incompatibiliteit Onverenigbaar
injecteerbaar geneesmiddel Tobramycin sulfate
injecteerbaar geneesmiddel Temocilline
2296
Verenigbaar
injecteerbaar geneesmiddel Tobramycin sulfate 5 mg/ml
injecteerbaar geneesmiddel Teniposide 0.1 mg/ml
Glucose 5% 905
Verenigbaar
injecteerbaar geneesmiddel Tobramycin sulfate 0.8 mg/ml
injecteerbaar geneesmiddel Theophylline 4 mg/ml
Geen 317
Onmiddellijke neerslag Onverenigbaar
injecteerbaar geneesmiddel Tobramycin sulfate 40 mg/ml
injecteerbaar geneesmiddel Thiopental sodium 25 mg/ml
Natriumchloride 0,9% 3767
Verenigbaar
injecteerbaar geneesmiddel Tobramycin sulfate 5 mg/ml
injecteerbaar geneesmiddel Thiotepa 1 mg/ml
Glucose 5% 249
Verenigbaar
injecteerbaar geneesmiddel Tobramycin sulfate
Natriumchloride 0,9% 5086
Chemische instabiliteit Onverenigbaar
injecteerbaar geneesmiddel Tobramycin sulfate
injecteerbaar geneesmiddel Ticarcillin / clavulanic acid
3587
Verenigbaar
injecteerbaar geneesmiddel Tobramycin sulfate
injecteerbaar geneesmiddel Tigecycline
Natriumchloride 0,9% 3332
Verenigbaar
injecteerbaar geneesmiddel Tobramycin sulfate 6 mg/ml
injecteerbaar geneesmiddel Vancomycin hydrochloride 10 mg/ml
Glucose 5% 3385
Verenigbaar
injecteerbaar geneesmiddel Tobramycin sulfate 0.16 mg/ml
injecteerbaar geneesmiddel Verapamil hydrochloride 0.08 mg/ml
Natriumchloride 0,9% 1057
Verenigbaar
injecteerbaar geneesmiddel Tobramycin sulfate 0.16 mg/ml
injecteerbaar geneesmiddel Verapamil hydrochloride 0.08 mg/ml
Glucose 5% 1057
Verenigbaar
injecteerbaar geneesmiddel Tobramycin sulfate 5 mg/ml
injecteerbaar geneesmiddel Vinorelbine tartrate 1 mg/ml
Natriumchloride 0,9% 84
Verenigbaar
injecteerbaar geneesmiddel Tobramycin sulfate 2 mg/ml
injecteerbaar geneesmiddel Zidovudine 4 mg/ml
Glucose 5% 337

  Mentions Légales