Posledná aktualizácia :
27/04/2026
antibiotikum   Tobramycin sulfate  
Injekcia
Aerosól Očná instilácia Perorálny roztok
Stabilita roztokov Stabilita v zmesiach Faktory ovplyvňujúce stabilitu Kompatibility spôsob podania Odkazy na literatúru PDF
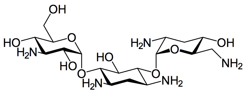
   Chemický vzorec  

Obchodný názov   Obchodný názov     

Obchodné názvy sú orientačné, a zloženie pomocných látok sa môže líšiť v závislosti od krajiny a výrobcu.

Bactob India
Beltob India
Bramicil Taliansko
Brulamycin Maďarsko, Malajzia, Slovinsko
Eltol India
Fytobra India
Gernebcin Nemecko
Komitob India
Nebcin Egypt, Grécko, nový Zéland, Saudská Arábia, Spojené arabské emiráty, Veľká Británia
Nebcina Dánsko, Maroko, Nórsko, Švédsko
Nebcine Francúzsko, Maroko, Slovinsko
Nebicina Taliansko
Obracin Belgicko, Holandsko, Luxembursko, Švajčiarsko
Tobracin Brazília, Egypt, Saudská Arábia
Tobramicina Argentína, Brazília, Čile, Ekvádor, Kolumbia, Portugalsko, Španielsko, Taliansko
Tobramina Brazília
Tobramycin Austrália, Írsko, Kanada, Nemecko, Nórsko, Saudská Arábia, Spojené štáty Americké, Veľká Británia
Tobramycine Francúzsko, Holandsko, Írsko
Tobrasix Rakúsko
Tobrazid Nemecko
Kompatibility   Injekcia   Kompatibility : Tobramycin sulfate              
Toto okno zobrazuje kompatibility alebo inkombatibility, v prípade inkompatibility aj jej typ (vyzrážanie, zmena farby, zmena emulzie atď.). Tu vymenované kompatibility sú väčšinou len fyzikálne, chemická stabilita každej zo zlúčenín sa hodnotila len zriedkavo. Tieto zmesi sa skúmali za účelom možnosti súbežného podávania pacientovi cez infúznu spojku Y. Údaje sa nedajú použiť na prípravu zmesí vo vakoch alebo striekačkách. Taká informácia sa nachádza v okne „Stabilita v zmesiach“.
Zlúčenina rozpúšťadlo odkazy na lieteratúru
kompatibilný
Injekcia Tobramycin sulfate 1.6 mg/ml
Injekcia Aciclovir sodium 5 mg/ml
5% glukóza 336
Zrážky po 1 hodine nezlučiteľný
Injekcia Tobramycin sulfate 5 mg/ml
Injekcia Allopurinol sodium 3 mg/ml
0,9% chlorid sodný 307
kompatibilný
Injekcia Tobramycin sulfate 1 mg/ml
Injekcia Alprostadil 15 µg/ml
3201
kompatibilný
Injekcia Tobramycin sulfate 5 mg/ml
Injekcia Amifostine 10 mg/ml
5% glukóza 3
kompatibilný
Injekcia Tobramycin sulfate 5 mg/ml
Injekcia Amiodarone hydrochloride 6 mg/ml
5% glukóza 1611
kompatibilný
Injekcia Tobramycin sulfate 0.8 mg/ml
Injekcia Amiodarone hydrochloride 4 mg/ml
0,9% chlorid sodný 385
kompatibilný
Injekcia Tobramycin sulfate 0.8 mg/ml
Injekcia Amiodarone hydrochloride 4 mg/ml
5% glukóza 385
Chemická nestabilita nezlučiteľný
Injekcia Tobramycin sulfate
Injekcia Amoxicillin sodium
3527
Nešpecifikovaná nekompatibilita nezlučiteľný
Injekcia Tobramycin sulfate
Injekcia Amoxicillin sodium / clavulanic acid
3545
kompatibilný
Injekcia Tobramycin sulfate 40 mg/ml
Injekcia Amoxicillin sodium / clavulanic acid 100/10 mg/ml
3824
Okamžité zrážanie nezlučiteľný
Injekcia Tobramycin sulfate 5 mg/ml
Injekcia Amphotericin B cholesteryl sulfate complex 0.83 mg/ml
5% glukóza 921
kompatibilný
Injekcia Tobramycin sulfate 5 mg/ml
Injekcia Amsacrine 1 mg/ml
5% glukóza 253
kompatibilný
Injekcia Tobramycin sulfate 5 mg/ml
Injekcia Anidulafungin 0.5 mg/ml
5% glukóza 1982
Okamžité zrážanie nezlučiteľný
Injekcia Tobramycin sulfate 21 mg/ml
Injekcia Azithromycine 2 mg/ml
0,9% chlorid sodný 1800
kompatibilný
Injekcia Tobramycin sulfate 0.2 & 0.8 mg/ml
Injekcia Aztreonam 10 & 20 mg/ml
5% glukóza 19
kompatibilný
Injekcia Tobramycin sulfate 0.2 & 0.8 mg/ml
Injekcia Aztreonam 10 & 20 mg/ml
0,9% chlorid sodný 19
kompatibilný
Injekcia Tobramycin sulfate 5 mg/ml
Injekcia Aztreonam 40 mg/ml
5% glukóza 99
kompatibilný
Injekcia Tobramycin sulfate 5 mg/ml
Injekcia Bivalirudin 5 mg/ml
5% glukóza 1713
kompatibilný
Injekcia Tobramycin sulfate 40 mg/ml
Injekcia Caffeine 10 mg/ml
Žiadny 3964
nezlučiteľný
Injekcia Tobramycin sulfate
Injekcia Calcium gluconate
4964
Nešpecifikovaná nekompatibilita nezlučiteľný
Injekcia Tobramycin sulfate
Injekcia Calcium gluconate
3644
kompatibilný
Injekcia Tobramycin sulfate 1 mg/ml
Injekcia Calcium gluconate 33 mg/ml
5% glukóza 503
kompatibilný
Injekcia Tobramycin sulfate 5 mg/ml
Injekcia Calcium gluconate 16 mg/ml
5% glukóza 503
kompatibilný
Injekcia Tobramycin sulfate 5 mg/ml
Injekcia Caspofungin acetate 0,7 mg/ml
0,9% chlorid sodný 2247
Okamžité zrážanie nezlučiteľný
Injekcia Tobramycin sulfate
Injekcia Cefamandole nafate 2 >> 100 mg/ml
0,9% chlorid sodný 612
Okamžité zrážanie nezlučiteľný
Injekcia Tobramycin sulfate
Injekcia Cefamandole nafate 2 >> 100 mg/ml
5% glukóza 612
Nešpecifikovaná nekompatibilita nezlučiteľný
Injekcia Tobramycin sulfate
Injekcia Cefamandole nafate
3546
kompatibilný
Injekcia Tobramycin sulfate 6 mg/ml
Injekcia Cefepime dihydrochloride 125 mg/ml
voda na injekciu 2141
Nešpecifikovaná nekompatibilita nezlučiteľný
Injekcia Tobramycin sulfate
Injekcia Cefepime dihydrochloride
3548
Okamžité zrážanie nezlučiteľný
Injekcia Tobramycin sulfate 10 mg/ml
Injekcia Cefiderocol sulfate tosylate 20 mg/mL
5% glukóza 4528
Okamžité zrážanie nezlučiteľný
Injekcia Tobramycin sulfate 10 mg/ml
Injekcia Cefiderocol sulfate tosylate 20 mg/mL
0,9% chlorid sodný 4528
Okamžité zrážanie nezlučiteľný
Injekcia Tobramycin sulfate 0.8 mg/ml
Injekcia Cefoperazone sodium 10 & 40 mg/ml
5% glukóza 1206
Nešpecifikovaná nekompatibilita nezlučiteľný
Injekcia Tobramycin sulfate
Injekcia Cefoperazone sodium
3544
Nešpecifikovaná nekompatibilita nezlučiteľný
Injekcia Tobramycin sulfate
Injekcia Cefpirome sulfate
3677
kompatibilný
Injekcia Tobramycin sulfate 5 mg/ml
Injekcia Ceftaroline fosamil 2,22 mg/ml
0,9% chlorid sodný 3249
kompatibilný
Injekcia Tobramycin sulfate 5 mg/ml
Injekcia Ceftaroline fosamil 2,22 mg/ml
5% glukóza 3249
kompatibilný
Injekcia Tobramycin sulfate 5 mg/ml
Injekcia Ceftaroline fosamil 2,22 mg/ml
Ringerov laktátový roztok 3249
kompatibilný
Injekcia Tobramycin sulfate 6 mg/ml
Injekcia Ceftazidime 83.3 mg/ml
1759
Nešpecifikovaná nekompatibilita nezlučiteľný
Injekcia Tobramycin sulfate
Injekcia Ceftazidime
3543
kompatibilný
Injekcia Tobramycin sulfate 0.008 mg/ml
Injekcia Ceftazidime 0.125 mg/ml
Dianéal® PD2 2.5% glucose (Baxter) 2369
Nešpecifikovaná nekompatibilita nezlučiteľný
Injekcia Tobramycin sulfate
Injekcia Ceftazidime
3883
kompatibilný
Injekcia Tobramycin sulfate 6 mg/ml
Injekcia Ceftazidime 125 mg/ml
voda na injekciu 2141
Okamžité zrážanie nezlučiteľný
Injekcia Tobramycin sulfate 5 mg/ml
Injekcia Ceftobiprole medocaril sodium 2 mg/ml
Ringerov laktátový roztok 2269
Nešpecifikovaná nekompatibilita nezlučiteľný
Injekcia Tobramycin sulfate
Injekcia Ceftobiprole medocaril sodium
4650
Okamžité zrážanie nezlučiteľný
Injekcia Tobramycin sulfate 5 mg/ml
Injekcia Ceftobiprole medocaril sodium 2 mg/ml
5% glukóza 2269
Okamžité zrážanie nezlučiteľný
Injekcia Tobramycin sulfate 5 mg/ml
Injekcia Ceftobiprole medocaril sodium 2 mg/ml
0,9% chlorid sodný 2269
kompatibilný
Injekcia Tobramycin sulfate 5 mg/ml
Injekcia Ceftolozane / tazobactam 10/5 mg/ml
5% glukóza 3828
kompatibilný
Injekcia Tobramycin sulfate 5 mg/ml
Injekcia Ceftolozane / tazobactam 10/5 mg/ml
0,9% chlorid sodný 3828
Nešpecifikovaná nekompatibilita nezlučiteľný
Injekcia Tobramycin sulfate
Injekcia Ceftriaxone disodium
3523
Nešpecifikovaná nekompatibilita nezlučiteľný
Injekcia Tobramycin sulfate
Injekcia Cefuroxime sodium
3687
kompatibilný
Injekcia Tobramycin sulfate 1.6 mg/ml
Injekcia Ciprofloxacin lactate 2 mg/ml
5% glukóza 285
kompatibilný
Injekcia Tobramycin sulfate 1 mg/ml
Injekcia Ciprofloxacin lactate 1.5 mg/ml
5% glukóza 434
kompatibilný
Injekcia Tobramycin sulfate 1 mg/ml
Injekcia Ciprofloxacin lactate 1.5 mg/ml
0,9% chlorid sodný 434
kompatibilný
Injekcia Tobramycin sulfate 1,6 mg/ml
Injekcia Ciprofloxacin lactate 1 mg/ml
5% glukóza 500
kompatibilný
Injekcia Tobramycin sulfate 1,6 mg/ml
Injekcia Ciprofloxacin lactate 1 mg/ml
0,9% chlorid sodný 500
kompatibilný
Injekcia Tobramycin sulfate 5 mg/ml
Injekcia Cisatracurium besylate 0.1 >> 5 mg/ml
5% glukóza 299
Chemická nestabilita nezlučiteľný
Injekcia Tobramycin sulfate
Injekcia Cisplatin
3578
kompatibilný
Injekcia Tobramycin sulfate
Injekcia Clindamycin phosphate
5% glukóza 3526
kompatibilný
Injekcia Tobramycin sulfate
Injekcia Clindamycin phosphate
0,9% chlorid sodný 3526
Okamžité zrážanie nezlučiteľný
Injekcia Tobramycin sulfate 12 mg/ml
Injekcia Clindamycin phosphate 90 mg/ml
0,9% chlorid sodný 639
Okamžité zrážanie nezlučiteľný
Injekcia Tobramycin sulfate 40 mg/ml
Injekcia Cloxacillin sodium 100 mg/ml
voda na injekciu 3012
Okamžité zrážanie nezlučiteľný
Injekcia Tobramycin sulfate 10 mg/ml
Injekcia Defibrotide 8 mg/ml
0,9% chlorid sodný 3728
kompatibilný
Injekcia Tobramycin sulfate 5 mg/ml
Injekcia Dexmedetomidine 4 µg/ml
0,9% chlorid sodný 1712
kompatibilný
Injekcia Tobramycin sulfate 2.4 & 40 mg/ml
Injekcia Diltiazem hydrochloride 5 mg/ml
0,9% chlorid sodný 198
kompatibilný
Injekcia Tobramycin sulfate
Injekcia Dimenhydrinate
2087
kompatibilný
Injekcia Tobramycin sulfate 5 mg/ml
Injekcia Docetaxel 0.9 mg/ml
5% glukóza 1754
kompatibilný
Injekcia Tobramycin sulfate 40 mg/ml
Parenterálna výživa (lipidy) 673
kompatibilný
Injekcia Tobramycin sulfate 10 mg/ml
parenterálna výživa (binárna zmes) 316
kompatibilný
Injekcia Tobramycin sulfate 5 mg/ml
Parenterálna výživa (lipidy) 1415
kompatibilný
Injekcia Tobramycin sulfate 5 mg/ml
Injekcia Doripenem 5 mg/ml
5% glukóza 2262
kompatibilný
Injekcia Tobramycin sulfate 0,05 mg/ml
parenterálna výživa (binárna zmes) 4445
kompatibilný
Injekcia Tobramycin sulfate 5 mg/ml
Injekcia Doripenem 5 mg/ml
0,9% chlorid sodný 2262
kompatibilný
Injekcia Tobramycin sulfate 5 mg/ml
Injekcia Doxorubicin hydrochloride liposome peg 0.4 mg/ml
5% glukóza 251
kompatibilný
Injekcia Tobramycin sulfate 5 mg/ml
Injekcia Eravacycline 0,6 mg/ml
0,9% chlorid sodný 4434
kompatibilný
Injekcia Tobramycin sulfate 5 mg/ml
Injekcia Fenoldopam mesylate 80 µg/ml
0,9% chlorid sodný 1803
kompatibilný
Injekcia Tobramycin sulfate 10 mg/ml
Injekcia Fentanyl citrate 50 µg/ml
5% glukóza 63
kompatibilný
Injekcia Tobramycin sulfate 10 & 40 mg/ml
parenterálna výživa (binárna zmes) 999
kompatibilný
Injekcia Tobramycin sulfate 0.8 mg/ml
Injekcia Enalaprilate 0.05 mg/ml
0,9% chlorid sodný 1315
Nešpecifikovaná nekompatibilita nezlučiteľný
Injekcia Tobramycin sulfate
Injekcia Erythromycin lactobionate
3674
kompatibilný
Injekcia Tobramycin sulfate 0.8 mg/ml
Injekcia Esmolol hydrochloride 10 mg/ml
5% glukóza 384
kompatibilný
Injekcia Tobramycin sulfate 1.6 mg/ml
Injekcia Filgrastim 40 µg/ml
5% glukóza 104
kompatibilný
Injekcia Tobramycin sulfate 5 mg/ml
parenterálna výživa (binárna zmes) 301
kompatibilný
Injekcia Tobramycin sulfate 5 mg/ml
Injekcia Etoposide phosphate 5 mg/ml
5% glukóza 1410
kompatibilný
Injekcia Tobramycin sulfate 5 mg/ml
Injekcia Filgrastim 30 µg/ml
5% glukóza 244
kompatibilný
Injekcia Tobramycin sulfate 40 mg/ml
Ringerov laktátový roztok 4603
Okamžité zrážanie nezlučiteľný
Injekcia Tobramycin sulfate
Injekcia Flucloxacillin sodium
3522
Zrážky po 7 hodinách nezlučiteľný
Injekcia Tobramycin sulfate 8 mg/ml
Injekcia Flucloxacillin sodium 20 mg/ml
0,9% chlorid sodný 1232
kompatibilný
Injekcia Tobramycin sulfate 40 mg/ml
Injekcia Fluconazole 2 mg/ml
0,9% chlorid sodný 496
kompatibilný
Injekcia Tobramycin sulfate 5 mg/ml
Injekcia Fludarabine phosphate 1 mg/ml
5% glukóza 492
kompatibilný
Injekcia Tobramycin sulfate 40 mg/ml
Injekcia Foscarnet sodium 24 mg/ml
Žiadny 73
kompatibilný
Injekcia Tobramycin sulfate 5 mg/ml
Injekcia Fosfomycin 30 mg/ml
5% glukóza 4055
Zrážky po 7 hodinách nezlučiteľný
Injekcia Tobramycin sulfate 8 mg/ml
Injekcia Furosemide 1 mg/ml
0,9% chlorid sodný 1232
Okamžité zrážanie nezlučiteľný
Injekcia Tobramycin sulfate 1,6 mg/ml
Injekcia Furosemide 0,8 mg/ml
5% glukóza 367
Okamžité zrážanie nezlučiteľný
Injekcia Tobramycin sulfate 1,6 mg/ml
Injekcia Furosemide 0,8 mg/ml
0,9% chlorid sodný 367
Nešpecifikovaná nekompatibilita nezlučiteľný
Injekcia Tobramycin sulfate 0.8 mg/ml
Injekcia Heparin sodium 50 UI/ml
Žiadny 317
Nešpecifikovaná nekompatibilita nezlučiteľný
Injekcia Tobramycin sulfate
Injekcia Heparin sodium
3540
kompatibilný
Injekcia Tobramycin sulfate
5% glukóza 5086
kompatibilný
Injekcia Tobramycin sulfate 5 mg/ml
Injekcia Fosfomycin 30 mg/ml
0,9% chlorid sodný 4055
kompatibilný
Injekcia Tobramycin sulfate 5 mg/ml
Injekcia Gemcitabine hydrochloride 10 mg/ml
0,9% chlorid sodný 1423
kompatibilný
Injekcia Tobramycin sulfate 5 mg/ml
Injekcia Granisetron hydrochloride 0.05 mg/ml
5% glukóza 182
kompatibilný
Injekcia Tobramycin sulfate 5 mg/ml
Injekcia Hetastarch 60 mg/ml
Špeciálne rozpúšťadlá 1721
Okamžité zrážanie nezlučiteľný
Injekcia Tobramycin sulfate 0.8 mg/ml
Injekcia Hetastarch 60 mg/ml
0,9% chlorid sodný 472
kompatibilný
Injekcia Tobramycin sulfate 0.8 mg/ml
Injekcia Hydromorphone hydrochloride 0.2 mg/ml
5% glukóza 405
Zrážky po 15 hodinách nezlučiteľný
Injekcia Tobramycin sulfate 1 mg/ml
Injekcia Indomethacin sodium trihydrate 0,5 & 1 mg/ml
5% glukóza 1745
Okamžité zrážanie nezlučiteľný
Injekcia Tobramycin sulfate 1 mg/ml
Injekcia Indomethacin sodium trihydrate 0,5 & 1 mg/ml
5% glukóza 494
kompatibilný
Injekcia Tobramycin sulfate 1.6 & 2 mg/ml
Injekcia Insulin 0.2 UI/ml
0,9% chlorid sodný 129
kompatibilný
Injekcia Tobramycin sulfate 5 mg/ml
Injekcia Isavuconazonium sulfate 1.5 mg/ml
5% glukóza 3829
kompatibilný
Injekcia Tobramycin sulfate 5 mg/ml
Injekcia Isavuconazonium sulfate 1.5 mg/ml
0,9% chlorid sodný 3829
kompatibilný
Injekcia Tobramycin sulfate 40 mg/ml
Injekcia Ketamine hydrochloride 50 mg/ml
2109
kompatibilný
Injekcia Tobramycin sulfate 0.8 mg/ml
Injekcia Labetalol hydrochloride 1 mg/ml
5% glukóza 386
Zmena farby po 4 hodinách nezlučiteľný
Injekcia Tobramycin sulfate 5 mg/ml
Injekcia Lansoprazole 0.55 mg/ml
0,9% chlorid sodný 1625
kompatibilný
Injekcia Tobramycin sulfate 5 mg/ml
Injekcia Linezolid 2 mg/ml
Žiadny 1925
kompatibilný
Injekcia Tobramycin sulfate 0,80 mg/ml
Injekcia Linezolid 1,80 mg/ml
2353
kompatibilný
Injekcia Tobramycin sulfate 0.8 mg/ml
Injekcia Magnesium sulfate 16.67 >> 100 mg/ml
5% glukóza 1047
kompatibilný
Injekcia Tobramycin sulfate 5 mg/ml
Injekcia Melphalan 0.1 mg/ml
0,9% chlorid sodný 169
kompatibilný
Injekcia Tobramycin sulfate 40 mg/ml
Injekcia Meropenem 50 mg/ml
voda na injekciu 4319
kompatibilný
Injekcia Tobramycin sulfate 40 mg/ml
Injekcia Meropenem 50 mg/ml
4389
kompatibilný
Injekcia Tobramycin sulfate 0.8 mg/ml
Injekcia Metronidazole 5 mg/ml
Žiadny 1035
kompatibilný
Injekcia Tobramycin sulfate
Injekcia Metronidazole
3594
kompatibilný
Injekcia Tobramycin sulfate 10 mg/ml
Injekcia Midazolam hydrochloride 1 mg/ml
5% glukóza 176
kompatibilný
Injekcia Tobramycin sulfate 1.6 >> 2.4 mg/ml
Injekcia Morphine sulfate 1 mg/ml
0,9% chlorid sodný 406
kompatibilný
Injekcia Tobramycin sulfate 0.8 mg/ml
Injekcia Morphine sulfate 1 mg/ml
5% glukóza 405
kompatibilný
Injekcia Tobramycin sulfate 40 mg/ml
Injekcia Naloxone hydrochloride 0.4 mg/ml
Žiadny 3408
kompatibilný
Injekcia Tobramycin sulfate 0.8 mg/ml
Injekcia Nicardipine hydrochloride 0.1 mg/ml
0,9% chlorid sodný 1490
kompatibilný
Injekcia Tobramycin sulfate 0.8 mg/ml
Injekcia Nicardipine hydrochloride 0.1 mg/ml
5% glukóza 1490
kompatibilný
Injekcia Tobramycin sulfate 0,8 mg/ml
Injekcia Ofloxacin 2 mg/ml
Žiadny 889
kompatibilný
Injekcia Tobramycin sulfate 5 mg/ml
Injekcia Oritavancin 0.8 >>2 mg/ml
5% glukóza 3152
Okamžité zrážanie nezlučiteľný
Injekcia Tobramycin sulfate
Injekcia Pantoprazole sodium
2090
kompatibilný
Injekcia Tobramycin sulfate 40 mg/ml
Injekcia Paracetamol 10 mg/ml
4742
Okamžité zrážanie nezlučiteľný
Injekcia Tobramycin sulfate 5 mg/ml
Injekcia Pemetrexed disodium 20 mg/ml
0,9% chlorid sodný 1953
kompatibilný
Injekcia Tobramycin sulfate 0.8 mg/ml
Injekcia Pethidine hydrochloride 10 mg/ml
5% glukóza 405
kompatibilný
Injekcia Tobramycin sulfate 1.6 >> 2.4 mg/ml
Injekcia Pethidine hydrochloride 10 mg/ml
0,9% chlorid sodný 406
Chemická nestabilita nezlučiteľný
Injekcia Tobramycin sulfate
Injekcia Piperacillin sodium
1168
Chemická nestabilita nezlučiteľný
Injekcia Tobramycin sulfate
Injekcia Piperacillin sodium / tazobactam
3586
Okamžitá nestabilita emulzie nezlučiteľný
Injekcia Tobramycin sulfate 2 mg/ml
Injekcia Propofol
660
Okamžité zrážanie nezlučiteľný
Injekcia Tobramycin sulfate 5 mg/ml
Injekcia Propofol 10 mg/ml
Žiadny 300
kompatibilný
Injekcia Tobramycin sulfate 5 mg/ml
Injekcia Remifentanil hydrochloride 25 & 250 µg/ml
0,9% chlorid sodný 59
Okamžité zrážanie nezlučiteľný
Injekcia Tobramycin sulfate 40 mg/ml
Injekcia Salbutamol sulfate 1 mg/ml
Žiadny 3216
Zrážky po 4 hodinách nezlučiteľný
Injekcia Tobramycin sulfate 5 mg/ml
Injekcia Sargramostim 10 µg/ml
0,9% chlorid sodný 335
kompatibilný
Injekcia Tobramycin sulfate 2,4 mg/ml
Injekcia Sodium bicarbonate 40 mg/ml
Žiadny 3122
kompatibilný
Injekcia Tobramycin sulfate 5 mg/ml
Injekcia Sulbactam/durlobactam 15/15 mg/ml
0,9% chlorid sodný 4801
kompatibilný
Injekcia Tobramycin sulfate 40 mg/ml
Injekcia Tacrolimus 1000 µg/ml
0,9% chlorid sodný 479
Okamžitá zákal nezlučiteľný
Injekcia Tobramycin sulfate 5 mg/ml
Injekcia Tedizolid phosphate 0.8 mg/ml
0,9% chlorid sodný 3827
Nešpecifikovaná nekompatibilita nezlučiteľný
Injekcia Tobramycin sulfate
Injekcia Teicoplanine
3656
kompatibilný
Injekcia Tobramycin sulfate 5 mg/ml
Injekcia Telavancin hydrochloride 7.5 mg/ml
0,9% chlorid sodný 3254
kompatibilný
Injekcia Tobramycin sulfate 5 mg/ml
Injekcia Telavancin hydrochloride 7.5 mg/ml
5% glukóza 3254
kompatibilný
Injekcia Tobramycin sulfate 6 mg/ml
Injekcia Temocilline 83.33 mg/ml
voda na injekciu 2231
Nešpecifikovaná nekompatibilita nezlučiteľný
Injekcia Tobramycin sulfate
Injekcia Temocilline
2296
kompatibilný
Injekcia Tobramycin sulfate 5 mg/ml
Injekcia Teniposide 0.1 mg/ml
5% glukóza 905
kompatibilný
Injekcia Tobramycin sulfate 0.8 mg/ml
Injekcia Theophylline 4 mg/ml
Žiadny 317
Okamžité zrážanie nezlučiteľný
Injekcia Tobramycin sulfate 40 mg/ml
Injekcia Thiopental sodium 25 mg/ml
0,9% chlorid sodný 3767
kompatibilný
Injekcia Tobramycin sulfate 5 mg/ml
Injekcia Thiotepa 1 mg/ml
5% glukóza 249
kompatibilný
Injekcia Tobramycin sulfate
0,9% chlorid sodný 5086
Chemická nestabilita nezlučiteľný
Injekcia Tobramycin sulfate
Injekcia Ticarcillin / clavulanic acid
3587
kompatibilný
Injekcia Tobramycin sulfate
Injekcia Tigecycline
0,9% chlorid sodný 3332
kompatibilný
Injekcia Tobramycin sulfate 6 mg/ml
Injekcia Vancomycin hydrochloride 10 mg/ml
5% glukóza 3385
kompatibilný
Injekcia Tobramycin sulfate 0.16 mg/ml
Injekcia Verapamil hydrochloride 0.08 mg/ml
0,9% chlorid sodný 1057
kompatibilný
Injekcia Tobramycin sulfate 0.16 mg/ml
Injekcia Verapamil hydrochloride 0.08 mg/ml
5% glukóza 1057
kompatibilný
Injekcia Tobramycin sulfate 5 mg/ml
Injekcia Vinorelbine tartrate 1 mg/ml
0,9% chlorid sodný 84
kompatibilný
Injekcia Tobramycin sulfate 2 mg/ml
Injekcia Zidovudine 4 mg/ml
5% glukóza 337

  Mentions Légales