Останнє оновлення :
27/04/2026
Антибіотик   Tobramycin sulfate  
ін'єкція
аерозоль Очні краплі Розчин для перорального застосування
Стійкість в розчинах Стійкість сумішей Фактори, що впливають на стабільність Сумісність Шлях введення Список літератури pdf
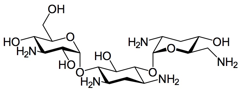
   Хімічна структура  

Торгова назва   Торгова назва     

Торгові назви є орієнтовними, а склад допоміжних речовин може бути різним залежно від країни та виробника

Bactob Індія
Beltob Індія
Bramicil Італія
Brulamycin Малайзія, Словенія, Угорщина
Eltol Індія
Fytobra Індія
Gernebcin Німеччина
Komitob Індія
Nebcin Єгипет, Великобританія, Греція, Нова Зеландія, Об'єднані Арабські Емірати, Саудівська Аравія
Nebcina Данія, Марокко, Норвегія, Швеція
Nebcine Марокко, Словенія, Франція
Nebicina Італія
Obracin Бельгія, Люксембург, Нідерланди, Швейцарія
Tobracin Єгипет, Бразилія, Саудівська Аравія
Tobramicina Іспанія, Італія, Аргентина, Бразилія, Еквадор, Колумбія, Португалія, Чилі
Tobramina Бразилія
Tobramycin Ірландія, Австралія, Великобританія, Канада, Німеччина, Норвегія, Саудівська Аравія, Сполучені Штати Америки
Tobramycine Ірландія, Нідерланди, Франція
Tobrasix Австрія
Tobrazid Німеччина
Сумісність   ін'єкція   Сумісність : Tobramycin sulfate              
explication_incompatibilite_molecules
З'єднання Розчинник Список літератури
сумісний
ін'єкція Tobramycin sulfate 1.6 mg/ml
ін'єкція Aciclovir sodium 5 mg/ml
Глюкоза 5% 336
Опади через 1 год Несумісні
ін'єкція Tobramycin sulfate 5 mg/ml
ін'єкція Allopurinol sodium 3 mg/ml
Натрію хлорид 0,9% 307
сумісний
ін'єкція Tobramycin sulfate 1 mg/ml
ін'єкція Alprostadil 15 µg/ml
3201
сумісний
ін'єкція Tobramycin sulfate 5 mg/ml
ін'єкція Amifostine 10 mg/ml
Глюкоза 5% 3
сумісний
ін'єкція Tobramycin sulfate 5 mg/ml
ін'єкція Amiodarone hydrochloride 6 mg/ml
Глюкоза 5% 1611
сумісний
ін'єкція Tobramycin sulfate 0.8 mg/ml
ін'єкція Amiodarone hydrochloride 4 mg/ml
Натрію хлорид 0,9% 385
сумісний
ін'єкція Tobramycin sulfate 0.8 mg/ml
ін'єкція Amiodarone hydrochloride 4 mg/ml
Глюкоза 5% 385
Хімічна нестійкість Несумісні
ін'єкція Tobramycin sulfate
ін'єкція Amoxicillin sodium
3527
Неуточнена несумісність Несумісні
ін'єкція Tobramycin sulfate
ін'єкція Amoxicillin sodium / clavulanic acid
3545
сумісний
ін'єкція Tobramycin sulfate 40 mg/ml
ін'єкція Amoxicillin sodium / clavulanic acid 100/10 mg/ml
3824
Миттєві опади Несумісні
ін'єкція Tobramycin sulfate 5 mg/ml
ін'єкція Amphotericin B cholesteryl sulfate complex 0.83 mg/ml
Глюкоза 5% 921
сумісний
ін'єкція Tobramycin sulfate 5 mg/ml
ін'єкція Amsacrine 1 mg/ml
Глюкоза 5% 253
сумісний
ін'єкція Tobramycin sulfate 5 mg/ml
ін'єкція Anidulafungin 0.5 mg/ml
Глюкоза 5% 1982
Миттєві опади Несумісні
ін'єкція Tobramycin sulfate 21 mg/ml
ін'єкція Azithromycine 2 mg/ml
Натрію хлорид 0,9% 1800
сумісний
ін'єкція Tobramycin sulfate 0.2 & 0.8 mg/ml
ін'єкція Aztreonam 10 & 20 mg/ml
Глюкоза 5% 19
сумісний
ін'єкція Tobramycin sulfate 0.2 & 0.8 mg/ml
ін'єкція Aztreonam 10 & 20 mg/ml
Натрію хлорид 0,9% 19
сумісний
ін'єкція Tobramycin sulfate 5 mg/ml
ін'єкція Aztreonam 40 mg/ml
Глюкоза 5% 99
сумісний
ін'єкція Tobramycin sulfate 5 mg/ml
ін'єкція Bivalirudin 5 mg/ml
Глюкоза 5% 1713
сумісний
ін'єкція Tobramycin sulfate 40 mg/ml
ін'єкція Caffeine 10 mg/ml
Жодного 3964
Несумісні
ін'єкція Tobramycin sulfate
ін'єкція Calcium gluconate
4964
Неуточнена несумісність Несумісні
ін'єкція Tobramycin sulfate
ін'єкція Calcium gluconate
3644
сумісний
ін'єкція Tobramycin sulfate 1 mg/ml
ін'єкція Calcium gluconate 33 mg/ml
Глюкоза 5% 503
сумісний
ін'єкція Tobramycin sulfate 5 mg/ml
ін'єкція Calcium gluconate 16 mg/ml
Глюкоза 5% 503
сумісний
ін'єкція Tobramycin sulfate 5 mg/ml
ін'єкція Caspofungin acetate 0,7 mg/ml
Натрію хлорид 0,9% 2247
Миттєві опади Несумісні
ін'єкція Tobramycin sulfate
ін'єкція Cefamandole nafate 2 >> 100 mg/ml
Натрію хлорид 0,9% 612
Миттєві опади Несумісні
ін'єкція Tobramycin sulfate
ін'єкція Cefamandole nafate 2 >> 100 mg/ml
Глюкоза 5% 612
Неуточнена несумісність Несумісні
ін'єкція Tobramycin sulfate
ін'єкція Cefamandole nafate
3546
сумісний
ін'єкція Tobramycin sulfate 6 mg/ml
ін'єкція Cefepime dihydrochloride 125 mg/ml
Вода для ін'єкцій 2141
Неуточнена несумісність Несумісні
ін'єкція Tobramycin sulfate
ін'єкція Cefepime dihydrochloride
3548
Миттєві опади Несумісні
ін'єкція Tobramycin sulfate 10 mg/ml
ін'єкція Cefiderocol sulfate tosylate 20 mg/mL
Глюкоза 5% 4528
Миттєві опади Несумісні
ін'єкція Tobramycin sulfate 10 mg/ml
ін'єкція Cefiderocol sulfate tosylate 20 mg/mL
Натрію хлорид 0,9% 4528
Миттєві опади Несумісні
ін'єкція Tobramycin sulfate 0.8 mg/ml
ін'єкція Cefoperazone sodium 10 & 40 mg/ml
Глюкоза 5% 1206
Неуточнена несумісність Несумісні
ін'єкція Tobramycin sulfate
ін'єкція Cefoperazone sodium
3544
Неуточнена несумісність Несумісні
ін'єкція Tobramycin sulfate
ін'єкція Cefpirome sulfate
3677
сумісний
ін'єкція Tobramycin sulfate 5 mg/ml
ін'єкція Ceftaroline fosamil 2,22 mg/ml
Натрію хлорид 0,9% 3249
сумісний
ін'єкція Tobramycin sulfate 5 mg/ml
ін'єкція Ceftaroline fosamil 2,22 mg/ml
Глюкоза 5% 3249
сумісний
ін'єкція Tobramycin sulfate 5 mg/ml
ін'єкція Ceftaroline fosamil 2,22 mg/ml
Розчин лактату Рінгера 3249
сумісний
ін'єкція Tobramycin sulfate 6 mg/ml
ін'єкція Ceftazidime 83.3 mg/ml
1759
Неуточнена несумісність Несумісні
ін'єкція Tobramycin sulfate
ін'єкція Ceftazidime
3543
сумісний
ін'єкція Tobramycin sulfate 0.008 mg/ml
ін'єкція Ceftazidime 0.125 mg/ml
Dianéal® PD2 2.5% glucose (Baxter) 2369
Неуточнена несумісність Несумісні
ін'єкція Tobramycin sulfate
ін'єкція Ceftazidime
3883
сумісний
ін'єкція Tobramycin sulfate 6 mg/ml
ін'єкція Ceftazidime 125 mg/ml
Вода для ін'єкцій 2141
Миттєві опади Несумісні
ін'єкція Tobramycin sulfate 5 mg/ml
ін'єкція Ceftobiprole medocaril sodium 2 mg/ml
Розчин лактату Рінгера 2269
Неуточнена несумісність Несумісні
ін'єкція Tobramycin sulfate
ін'єкція Ceftobiprole medocaril sodium
4650
Миттєві опади Несумісні
ін'єкція Tobramycin sulfate 5 mg/ml
ін'єкція Ceftobiprole medocaril sodium 2 mg/ml
Глюкоза 5% 2269
Миттєві опади Несумісні
ін'єкція Tobramycin sulfate 5 mg/ml
ін'єкція Ceftobiprole medocaril sodium 2 mg/ml
Натрію хлорид 0,9% 2269
сумісний
ін'єкція Tobramycin sulfate 5 mg/ml
ін'єкція Ceftolozane / tazobactam 10/5 mg/ml
Глюкоза 5% 3828
сумісний
ін'єкція Tobramycin sulfate 5 mg/ml
ін'єкція Ceftolozane / tazobactam 10/5 mg/ml
Натрію хлорид 0,9% 3828
Неуточнена несумісність Несумісні
ін'єкція Tobramycin sulfate
ін'єкція Ceftriaxone disodium
3523
Неуточнена несумісність Несумісні
ін'єкція Tobramycin sulfate
ін'єкція Cefuroxime sodium
3687
сумісний
ін'єкція Tobramycin sulfate 1.6 mg/ml
ін'єкція Ciprofloxacin lactate 2 mg/ml
Глюкоза 5% 285
сумісний
ін'єкція Tobramycin sulfate 1 mg/ml
ін'єкція Ciprofloxacin lactate 1.5 mg/ml
Глюкоза 5% 434
сумісний
ін'єкція Tobramycin sulfate 1 mg/ml
ін'єкція Ciprofloxacin lactate 1.5 mg/ml
Натрію хлорид 0,9% 434
сумісний
ін'єкція Tobramycin sulfate 1,6 mg/ml
ін'єкція Ciprofloxacin lactate 1 mg/ml
Глюкоза 5% 500
сумісний
ін'єкція Tobramycin sulfate 1,6 mg/ml
ін'єкція Ciprofloxacin lactate 1 mg/ml
Натрію хлорид 0,9% 500
сумісний
ін'єкція Tobramycin sulfate 5 mg/ml
ін'єкція Cisatracurium besylate 0.1 >> 5 mg/ml
Глюкоза 5% 299
Хімічна нестійкість Несумісні
ін'єкція Tobramycin sulfate
ін'єкція Cisplatin
3578
сумісний
ін'єкція Tobramycin sulfate
ін'єкція Clindamycin phosphate
Глюкоза 5% 3526
сумісний
ін'єкція Tobramycin sulfate
ін'єкція Clindamycin phosphate
Натрію хлорид 0,9% 3526
Миттєві опади Несумісні
ін'єкція Tobramycin sulfate 12 mg/ml
ін'єкція Clindamycin phosphate 90 mg/ml
Натрію хлорид 0,9% 639
Миттєві опади Несумісні
ін'єкція Tobramycin sulfate 40 mg/ml
ін'єкція Cloxacillin sodium 100 mg/ml
Вода для ін'єкцій 3012
Миттєві опади Несумісні
ін'єкція Tobramycin sulfate 10 mg/ml
ін'єкція Defibrotide 8 mg/ml
Натрію хлорид 0,9% 3728
сумісний
ін'єкція Tobramycin sulfate 5 mg/ml
ін'єкція Dexmedetomidine 4 µg/ml
Натрію хлорид 0,9% 1712
сумісний
ін'єкція Tobramycin sulfate 2.4 & 40 mg/ml
ін'єкція Diltiazem hydrochloride 5 mg/ml
Натрію хлорид 0,9% 198
сумісний
ін'єкція Tobramycin sulfate
ін'єкція Dimenhydrinate
2087
сумісний
ін'єкція Tobramycin sulfate 5 mg/ml
ін'єкція Docetaxel 0.9 mg/ml
Глюкоза 5% 1754
сумісний
ін'єкція Tobramycin sulfate 40 mg/ml
Парентеральне харчування (ліпідами) 673
сумісний
ін'єкція Tobramycin sulfate 10 mg/ml
Парентеральне харчування (бінарна суміш) 316
сумісний
ін'єкція Tobramycin sulfate 5 mg/ml
Парентеральне харчування (ліпідами) 1415
сумісний
ін'єкція Tobramycin sulfate 5 mg/ml
ін'єкція Doripenem 5 mg/ml
Глюкоза 5% 2262
сумісний
ін'єкція Tobramycin sulfate 0,05 mg/ml
Парентеральне харчування (бінарна суміш) 4445
сумісний
ін'єкція Tobramycin sulfate 5 mg/ml
ін'єкція Doripenem 5 mg/ml
Натрію хлорид 0,9% 2262
сумісний
ін'єкція Tobramycin sulfate 5 mg/ml
ін'єкція Doxorubicin hydrochloride liposome peg 0.4 mg/ml
Глюкоза 5% 251
сумісний
ін'єкція Tobramycin sulfate 5 mg/ml
ін'єкція Eravacycline 0,6 mg/ml
Натрію хлорид 0,9% 4434
сумісний
ін'єкція Tobramycin sulfate 5 mg/ml
ін'єкція Fenoldopam mesylate 80 µg/ml
Натрію хлорид 0,9% 1803
сумісний
ін'єкція Tobramycin sulfate 10 mg/ml
ін'єкція Fentanyl citrate 50 µg/ml
Глюкоза 5% 63
сумісний
ін'єкція Tobramycin sulfate 10 & 40 mg/ml
Парентеральне харчування (бінарна суміш) 999
сумісний
ін'єкція Tobramycin sulfate 0.8 mg/ml
ін'єкція Enalaprilate 0.05 mg/ml
Натрію хлорид 0,9% 1315
Неуточнена несумісність Несумісні
ін'єкція Tobramycin sulfate
ін'єкція Erythromycin lactobionate
3674
сумісний
ін'єкція Tobramycin sulfate 0.8 mg/ml
ін'єкція Esmolol hydrochloride 10 mg/ml
Глюкоза 5% 384
сумісний
ін'єкція Tobramycin sulfate 1.6 mg/ml
ін'єкція Filgrastim 40 µg/ml
Глюкоза 5% 104
сумісний
ін'єкція Tobramycin sulfate 5 mg/ml
Парентеральне харчування (бінарна суміш) 301
сумісний
ін'єкція Tobramycin sulfate 5 mg/ml
ін'єкція Etoposide phosphate 5 mg/ml
Глюкоза 5% 1410
сумісний
ін'єкція Tobramycin sulfate 5 mg/ml
ін'єкція Filgrastim 30 µg/ml
Глюкоза 5% 244
сумісний
ін'єкція Tobramycin sulfate 40 mg/ml
Розчин лактату Рінгера 4603
Миттєві опади Несумісні
ін'єкція Tobramycin sulfate
ін'єкція Flucloxacillin sodium
3522
Опади через 7 годин Несумісні
ін'єкція Tobramycin sulfate 8 mg/ml
ін'єкція Flucloxacillin sodium 20 mg/ml
Натрію хлорид 0,9% 1232
сумісний
ін'єкція Tobramycin sulfate 40 mg/ml
ін'єкція Fluconazole 2 mg/ml
Натрію хлорид 0,9% 496
сумісний
ін'єкція Tobramycin sulfate 5 mg/ml
ін'єкція Fludarabine phosphate 1 mg/ml
Глюкоза 5% 492
сумісний
ін'єкція Tobramycin sulfate 40 mg/ml
ін'єкція Foscarnet sodium 24 mg/ml
Жодного 73
сумісний
ін'єкція Tobramycin sulfate 5 mg/ml
ін'єкція Fosfomycin 30 mg/ml
Глюкоза 5% 4055
Опади через 7 годин Несумісні
ін'єкція Tobramycin sulfate 8 mg/ml
ін'єкція Furosemide 1 mg/ml
Натрію хлорид 0,9% 1232
Миттєві опади Несумісні
ін'єкція Tobramycin sulfate 1,6 mg/ml
ін'єкція Furosemide 0,8 mg/ml
Глюкоза 5% 367
Миттєві опади Несумісні
ін'єкція Tobramycin sulfate 1,6 mg/ml
ін'єкція Furosemide 0,8 mg/ml
Натрію хлорид 0,9% 367
Неуточнена несумісність Несумісні
ін'єкція Tobramycin sulfate 0.8 mg/ml
ін'єкція Heparin sodium 50 UI/ml
Жодного 317
Неуточнена несумісність Несумісні
ін'єкція Tobramycin sulfate
ін'єкція Heparin sodium
3540
сумісний
ін'єкція Tobramycin sulfate
Глюкоза 5% 5086
сумісний
ін'єкція Tobramycin sulfate 5 mg/ml
ін'єкція Fosfomycin 30 mg/ml
Натрію хлорид 0,9% 4055
сумісний
ін'єкція Tobramycin sulfate 5 mg/ml
ін'єкція Gemcitabine hydrochloride 10 mg/ml
Натрію хлорид 0,9% 1423
сумісний
ін'єкція Tobramycin sulfate 5 mg/ml
ін'єкція Granisetron hydrochloride 0.05 mg/ml
Глюкоза 5% 182
сумісний
ін'єкція Tobramycin sulfate 5 mg/ml
ін'єкція Hetastarch 60 mg/ml
специфічний розчинник 1721
Миттєві опади Несумісні
ін'єкція Tobramycin sulfate 0.8 mg/ml
ін'єкція Hetastarch 60 mg/ml
Натрію хлорид 0,9% 472
сумісний
ін'єкція Tobramycin sulfate 0.8 mg/ml
ін'єкція Hydromorphone hydrochloride 0.2 mg/ml
Глюкоза 5% 405
Опади через 15 хв Несумісні
ін'єкція Tobramycin sulfate 1 mg/ml
ін'єкція Indomethacin sodium trihydrate 0,5 & 1 mg/ml
Глюкоза 5% 1745
Миттєві опади Несумісні
ін'єкція Tobramycin sulfate 1 mg/ml
ін'єкція Indomethacin sodium trihydrate 0,5 & 1 mg/ml
Глюкоза 5% 494
сумісний
ін'єкція Tobramycin sulfate 1.6 & 2 mg/ml
ін'єкція Insulin 0.2 UI/ml
Натрію хлорид 0,9% 129
сумісний
ін'єкція Tobramycin sulfate 5 mg/ml
ін'єкція Isavuconazonium sulfate 1.5 mg/ml
Глюкоза 5% 3829
сумісний
ін'єкція Tobramycin sulfate 5 mg/ml
ін'єкція Isavuconazonium sulfate 1.5 mg/ml
Натрію хлорид 0,9% 3829
сумісний
ін'єкція Tobramycin sulfate 40 mg/ml
ін'єкція Ketamine hydrochloride 50 mg/ml
2109
сумісний
ін'єкція Tobramycin sulfate 0.8 mg/ml
ін'єкція Labetalol hydrochloride 1 mg/ml
Глюкоза 5% 386
Зміна кольору через 4 години Несумісні
ін'єкція Tobramycin sulfate 5 mg/ml
ін'єкція Lansoprazole 0.55 mg/ml
Натрію хлорид 0,9% 1625
сумісний
ін'єкція Tobramycin sulfate 5 mg/ml
ін'єкція Linezolid 2 mg/ml
Жодного 1925
сумісний
ін'єкція Tobramycin sulfate 0,80 mg/ml
ін'єкція Linezolid 1,80 mg/ml
2353
сумісний
ін'єкція Tobramycin sulfate 0.8 mg/ml
ін'єкція Magnesium sulfate 16.67 >> 100 mg/ml
Глюкоза 5% 1047
сумісний
ін'єкція Tobramycin sulfate 5 mg/ml
ін'єкція Melphalan 0.1 mg/ml
Натрію хлорид 0,9% 169
сумісний
ін'єкція Tobramycin sulfate 40 mg/ml
ін'єкція Meropenem 50 mg/ml
Вода для ін'єкцій 4319
сумісний
ін'єкція Tobramycin sulfate 40 mg/ml
ін'єкція Meropenem 50 mg/ml
4389
сумісний
ін'єкція Tobramycin sulfate 0.8 mg/ml
ін'єкція Metronidazole 5 mg/ml
Жодного 1035
сумісний
ін'єкція Tobramycin sulfate
ін'єкція Metronidazole
3594
сумісний
ін'єкція Tobramycin sulfate 10 mg/ml
ін'єкція Midazolam hydrochloride 1 mg/ml
Глюкоза 5% 176
сумісний
ін'єкція Tobramycin sulfate 1.6 >> 2.4 mg/ml
ін'єкція Morphine sulfate 1 mg/ml
Натрію хлорид 0,9% 406
сумісний
ін'єкція Tobramycin sulfate 0.8 mg/ml
ін'єкція Morphine sulfate 1 mg/ml
Глюкоза 5% 405
сумісний
ін'єкція Tobramycin sulfate 40 mg/ml
ін'єкція Naloxone hydrochloride 0.4 mg/ml
Жодного 3408
сумісний
ін'єкція Tobramycin sulfate 0.8 mg/ml
ін'єкція Nicardipine hydrochloride 0.1 mg/ml
Натрію хлорид 0,9% 1490
сумісний
ін'єкція Tobramycin sulfate 0.8 mg/ml
ін'єкція Nicardipine hydrochloride 0.1 mg/ml
Глюкоза 5% 1490
сумісний
ін'єкція Tobramycin sulfate 0,8 mg/ml
ін'єкція Ofloxacin 2 mg/ml
Жодного 889
сумісний
ін'єкція Tobramycin sulfate 5 mg/ml
ін'єкція Oritavancin 0.8 >>2 mg/ml
Глюкоза 5% 3152
Миттєві опади Несумісні
ін'єкція Tobramycin sulfate
ін'єкція Pantoprazole sodium
2090
сумісний
ін'єкція Tobramycin sulfate 40 mg/ml
ін'єкція Paracetamol 10 mg/ml
4742
Миттєві опади Несумісні
ін'єкція Tobramycin sulfate 5 mg/ml
ін'єкція Pemetrexed disodium 20 mg/ml
Натрію хлорид 0,9% 1953
сумісний
ін'єкція Tobramycin sulfate 0.8 mg/ml
ін'єкція Pethidine hydrochloride 10 mg/ml
Глюкоза 5% 405
сумісний
ін'єкція Tobramycin sulfate 1.6 >> 2.4 mg/ml
ін'єкція Pethidine hydrochloride 10 mg/ml
Натрію хлорид 0,9% 406
Хімічна нестійкість Несумісні
ін'єкція Tobramycin sulfate
ін'єкція Piperacillin sodium
1168
Хімічна нестійкість Несумісні
ін'єкція Tobramycin sulfate
ін'єкція Piperacillin sodium / tazobactam
3586
Негайна нестійкість емульсії Несумісні
ін'єкція Tobramycin sulfate 2 mg/ml
ін'єкція Propofol
660
Миттєві опади Несумісні
ін'єкція Tobramycin sulfate 5 mg/ml
ін'єкція Propofol 10 mg/ml
Жодного 300
сумісний
ін'єкція Tobramycin sulfate 5 mg/ml
ін'єкція Remifentanil hydrochloride 25 & 250 µg/ml
Натрію хлорид 0,9% 59
Миттєві опади Несумісні
ін'єкція Tobramycin sulfate 40 mg/ml
ін'єкція Salbutamol sulfate 1 mg/ml
Жодного 3216
Опади через 4 год Несумісні
ін'єкція Tobramycin sulfate 5 mg/ml
ін'єкція Sargramostim 10 µg/ml
Натрію хлорид 0,9% 335
сумісний
ін'єкція Tobramycin sulfate 2,4 mg/ml
ін'єкція Sodium bicarbonate 40 mg/ml
Жодного 3122
сумісний
ін'єкція Tobramycin sulfate 5 mg/ml
ін'єкція Sulbactam/durlobactam 15/15 mg/ml
Натрію хлорид 0,9% 4801
сумісний
ін'єкція Tobramycin sulfate 40 mg/ml
ін'єкція Tacrolimus 1000 µg/ml
Натрію хлорид 0,9% 479
Негайне помутніння Несумісні
ін'єкція Tobramycin sulfate 5 mg/ml
ін'єкція Tedizolid phosphate 0.8 mg/ml
Натрію хлорид 0,9% 3827
Неуточнена несумісність Несумісні
ін'єкція Tobramycin sulfate
ін'єкція Teicoplanine
3656
сумісний
ін'єкція Tobramycin sulfate 5 mg/ml
ін'єкція Telavancin hydrochloride 7.5 mg/ml
Натрію хлорид 0,9% 3254
сумісний
ін'єкція Tobramycin sulfate 5 mg/ml
ін'єкція Telavancin hydrochloride 7.5 mg/ml
Глюкоза 5% 3254
сумісний
ін'єкція Tobramycin sulfate 6 mg/ml
ін'єкція Temocilline 83.33 mg/ml
Вода для ін'єкцій 2231
Неуточнена несумісність Несумісні
ін'єкція Tobramycin sulfate
ін'єкція Temocilline
2296
сумісний
ін'єкція Tobramycin sulfate 5 mg/ml
ін'єкція Teniposide 0.1 mg/ml
Глюкоза 5% 905
сумісний
ін'єкція Tobramycin sulfate 0.8 mg/ml
ін'єкція Theophylline 4 mg/ml
Жодного 317
Миттєві опади Несумісні
ін'єкція Tobramycin sulfate 40 mg/ml
ін'єкція Thiopental sodium 25 mg/ml
Натрію хлорид 0,9% 3767
сумісний
ін'єкція Tobramycin sulfate 5 mg/ml
ін'єкція Thiotepa 1 mg/ml
Глюкоза 5% 249
сумісний
ін'єкція Tobramycin sulfate
Натрію хлорид 0,9% 5086
Хімічна нестійкість Несумісні
ін'єкція Tobramycin sulfate
ін'єкція Ticarcillin / clavulanic acid
3587
сумісний
ін'єкція Tobramycin sulfate
ін'єкція Tigecycline
Натрію хлорид 0,9% 3332
сумісний
ін'єкція Tobramycin sulfate 6 mg/ml
ін'єкція Vancomycin hydrochloride 10 mg/ml
Глюкоза 5% 3385
сумісний
ін'єкція Tobramycin sulfate 0.16 mg/ml
ін'єкція Verapamil hydrochloride 0.08 mg/ml
Натрію хлорид 0,9% 1057
сумісний
ін'єкція Tobramycin sulfate 0.16 mg/ml
ін'єкція Verapamil hydrochloride 0.08 mg/ml
Глюкоза 5% 1057
сумісний
ін'єкція Tobramycin sulfate 5 mg/ml
ін'єкція Vinorelbine tartrate 1 mg/ml
Натрію хлорид 0,9% 84
сумісний
ін'єкція Tobramycin sulfate 2 mg/ml
ін'єкція Zidovudine 4 mg/ml
Глюкоза 5% 337

  Mentions Légales