آخر تحديث :
27/04/2026
مضاد حيوي   Tobramycin sulfate  
حقن
الأيروصولات عن طريق الفم  قطرات العين
الاستقرار في حلول استقرار مخاليط العوامل التي تؤثر على الاستقرار التوافق طريقة التعاطي مراجع pdf
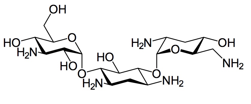
   التركيب الكيميائي  

حجز الاسم التجاري   حجز الاسم التجاري     

تحذير الأسماء التجاريه المختلفه قد تحتوي علي محتوي إضافات مختلفة حسب الدوله و المعمل

Bactob الهند
Beltob الهند
Bramicil إيطاليا
Brulamycin سلوفينيا, ماليزيا, هنغاريا
Eltol الهند
Fytobra الهند
Gernebcin ألمانيا
Komitob الهند
Nebcin الإمارات العربية المتحدة, العربية السعودية, بريطانيا العظمي, زيلاندا الجديدة, مصر, يونان
Nebcina الدنمارك, السويد, المغرب, النرويج
Nebcine المغرب, سلوفينيا, فرنسا
Nebicina إيطاليا
Obracin بلجيكا, سويسرا, لوكسمبورغ, هولندا
Tobracin البرازيل, العربية السعودية, مصر
Tobramicina إسبانيا, إيطاليا, الأرجنتين, الإكوادور, البرازيل, البرتغال, تشيلي, كولومبيا
Tobramina البرازيل
Tobramycin أستراليا, ألمانيا, العربية السعودية, النرويج, الولايات المتحدة, ايرلندا, بريطانيا العظمي, كندا
Tobramycine ايرلندا, فرنسا, هولندا
Tobrasix النمسا
Tobrazid ألمانيا
التوافق   حقن   التوافق : Tobramycin sulfate              
This screen indicates the compatibilities or incompatibilities with, in this case, the type of incompatibility (precipitation, color change, modification of an emulsion, etc.). The compatibilities shown here are mostly physical only, with the chemical stability of each molecule rarely being assessed. The evaluation of these mixtures was studied to consider the possibility of Y-site administration to the patient. These data cannot be used for making mixtures in advance in bags or syringes. This type of information is available in the screen "Stability in mixture ».
مركب مذيب مراجع
kompatibel
حقن Tobramycin sulfate 1.6 mg/ml
حقن Aciclovir sodium 5 mg/ml
الجلوكوز %5 336
هطول الأمطار بعد 1 ساعة غير متوافق
حقن Tobramycin sulfate 5 mg/ml
حقن Allopurinol sodium 3 mg/ml
كلوريد الصوديوم 0.9% 307
kompatibel
حقن Tobramycin sulfate 1 mg/ml
حقن Alprostadil 15 µg/ml
3201
kompatibel
حقن Tobramycin sulfate 5 mg/ml
حقن Amifostine 10 mg/ml
الجلوكوز %5 3
kompatibel
حقن Tobramycin sulfate 5 mg/ml
حقن Amiodarone hydrochloride 6 mg/ml
الجلوكوز %5 1611
kompatibel
حقن Tobramycin sulfate 0.8 mg/ml
حقن Amiodarone hydrochloride 4 mg/ml
كلوريد الصوديوم 0.9% 385
kompatibel
حقن Tobramycin sulfate 0.8 mg/ml
حقن Amiodarone hydrochloride 4 mg/ml
الجلوكوز %5 385
عدم الاستقرار الكيميائي غير متوافق
حقن Tobramycin sulfate
حقن Amoxicillin sodium
3527
عدم توافق غير محدد غير متوافق
حقن Tobramycin sulfate
حقن Amoxicillin sodium / clavulanic acid
3545
kompatibel
حقن Tobramycin sulfate 40 mg/ml
حقن Amoxicillin sodium / clavulanic acid 100/10 mg/ml
3824
هطول فوري غير متوافق
حقن Tobramycin sulfate 5 mg/ml
حقن Amphotericin B cholesteryl sulfate complex 0.83 mg/ml
الجلوكوز %5 921
kompatibel
حقن Tobramycin sulfate 5 mg/ml
حقن Amsacrine 1 mg/ml
الجلوكوز %5 253
kompatibel
حقن Tobramycin sulfate 5 mg/ml
حقن Anidulafungin 0.5 mg/ml
الجلوكوز %5 1982
هطول فوري غير متوافق
حقن Tobramycin sulfate 21 mg/ml
حقن Azithromycine 2 mg/ml
كلوريد الصوديوم 0.9% 1800
kompatibel
حقن Tobramycin sulfate 0.2 & 0.8 mg/ml
حقن Aztreonam 10 & 20 mg/ml
الجلوكوز %5 19
kompatibel
حقن Tobramycin sulfate 0.2 & 0.8 mg/ml
حقن Aztreonam 10 & 20 mg/ml
كلوريد الصوديوم 0.9% 19
kompatibel
حقن Tobramycin sulfate 5 mg/ml
حقن Aztreonam 40 mg/ml
الجلوكوز %5 99
kompatibel
حقن Tobramycin sulfate 5 mg/ml
حقن Bivalirudin 5 mg/ml
الجلوكوز %5 1713
kompatibel
حقن Tobramycin sulfate 40 mg/ml
حقن Caffeine 10 mg/ml
لا شيء 3964
غير متوافق
حقن Tobramycin sulfate
حقن Calcium gluconate
4964
عدم توافق غير محدد غير متوافق
حقن Tobramycin sulfate
حقن Calcium gluconate
3644
kompatibel
حقن Tobramycin sulfate 1 mg/ml
حقن Calcium gluconate 33 mg/ml
الجلوكوز %5 503
kompatibel
حقن Tobramycin sulfate 5 mg/ml
حقن Calcium gluconate 16 mg/ml
الجلوكوز %5 503
kompatibel
حقن Tobramycin sulfate 5 mg/ml
حقن Caspofungin acetate 0,7 mg/ml
كلوريد الصوديوم 0.9% 2247
هطول فوري غير متوافق
حقن Tobramycin sulfate
حقن Cefamandole nafate 2 >> 100 mg/ml
كلوريد الصوديوم 0.9% 612
هطول فوري غير متوافق
حقن Tobramycin sulfate
حقن Cefamandole nafate 2 >> 100 mg/ml
الجلوكوز %5 612
عدم توافق غير محدد غير متوافق
حقن Tobramycin sulfate
حقن Cefamandole nafate
3546
kompatibel
حقن Tobramycin sulfate 6 mg/ml
حقن Cefepime dihydrochloride 125 mg/ml
حقن المياه لل 2141
عدم توافق غير محدد غير متوافق
حقن Tobramycin sulfate
حقن Cefepime dihydrochloride
3548
هطول فوري غير متوافق
حقن Tobramycin sulfate 10 mg/ml
حقن Cefiderocol sulfate tosylate 20 mg/mL
الجلوكوز %5 4528
هطول فوري غير متوافق
حقن Tobramycin sulfate 10 mg/ml
حقن Cefiderocol sulfate tosylate 20 mg/mL
كلوريد الصوديوم 0.9% 4528
هطول فوري غير متوافق
حقن Tobramycin sulfate 0.8 mg/ml
حقن Cefoperazone sodium 10 & 40 mg/ml
الجلوكوز %5 1206
عدم توافق غير محدد غير متوافق
حقن Tobramycin sulfate
حقن Cefoperazone sodium
3544
عدم توافق غير محدد غير متوافق
حقن Tobramycin sulfate
حقن Cefpirome sulfate
3677
kompatibel
حقن Tobramycin sulfate 5 mg/ml
حقن Ceftaroline fosamil 2,22 mg/ml
كلوريد الصوديوم 0.9% 3249
kompatibel
حقن Tobramycin sulfate 5 mg/ml
حقن Ceftaroline fosamil 2,22 mg/ml
الجلوكوز %5 3249
kompatibel
حقن Tobramycin sulfate 5 mg/ml
حقن Ceftaroline fosamil 2,22 mg/ml
محلول رينجر  اللاكتات 3249
kompatibel
حقن Tobramycin sulfate 6 mg/ml
حقن Ceftazidime 83.3 mg/ml
1759
عدم توافق غير محدد غير متوافق
حقن Tobramycin sulfate
حقن Ceftazidime
3543
kompatibel
حقن Tobramycin sulfate 0.008 mg/ml
حقن Ceftazidime 0.125 mg/ml
Dianéal PD2 الجلوكوز%2.5 (باكستر) 2369
عدم توافق غير محدد غير متوافق
حقن Tobramycin sulfate
حقن Ceftazidime
3883
kompatibel
حقن Tobramycin sulfate 6 mg/ml
حقن Ceftazidime 125 mg/ml
حقن المياه لل 2141
هطول فوري غير متوافق
حقن Tobramycin sulfate 5 mg/ml
حقن Ceftobiprole medocaril sodium 2 mg/ml
محلول رينجر  اللاكتات 2269
عدم توافق غير محدد غير متوافق
حقن Tobramycin sulfate
حقن Ceftobiprole medocaril sodium
4650
هطول فوري غير متوافق
حقن Tobramycin sulfate 5 mg/ml
حقن Ceftobiprole medocaril sodium 2 mg/ml
الجلوكوز %5 2269
هطول فوري غير متوافق
حقن Tobramycin sulfate 5 mg/ml
حقن Ceftobiprole medocaril sodium 2 mg/ml
كلوريد الصوديوم 0.9% 2269
kompatibel
حقن Tobramycin sulfate 5 mg/ml
حقن Ceftolozane / tazobactam 10/5 mg/ml
الجلوكوز %5 3828
kompatibel
حقن Tobramycin sulfate 5 mg/ml
حقن Ceftolozane / tazobactam 10/5 mg/ml
كلوريد الصوديوم 0.9% 3828
عدم توافق غير محدد غير متوافق
حقن Tobramycin sulfate
حقن Ceftriaxone disodium
3523
عدم توافق غير محدد غير متوافق
حقن Tobramycin sulfate
حقن Cefuroxime sodium
3687
kompatibel
حقن Tobramycin sulfate 1.6 mg/ml
حقن Ciprofloxacin lactate 2 mg/ml
الجلوكوز %5 285
kompatibel
حقن Tobramycin sulfate 1 mg/ml
حقن Ciprofloxacin lactate 1.5 mg/ml
الجلوكوز %5 434
kompatibel
حقن Tobramycin sulfate 1 mg/ml
حقن Ciprofloxacin lactate 1.5 mg/ml
كلوريد الصوديوم 0.9% 434
kompatibel
حقن Tobramycin sulfate 1,6 mg/ml
حقن Ciprofloxacin lactate 1 mg/ml
الجلوكوز %5 500
kompatibel
حقن Tobramycin sulfate 1,6 mg/ml
حقن Ciprofloxacin lactate 1 mg/ml
كلوريد الصوديوم 0.9% 500
kompatibel
حقن Tobramycin sulfate 5 mg/ml
حقن Cisatracurium besylate 0.1 >> 5 mg/ml
الجلوكوز %5 299
عدم الاستقرار الكيميائي غير متوافق
حقن Tobramycin sulfate
حقن Cisplatin
3578
kompatibel
حقن Tobramycin sulfate
حقن Clindamycin phosphate
الجلوكوز %5 3526
kompatibel
حقن Tobramycin sulfate
حقن Clindamycin phosphate
كلوريد الصوديوم 0.9% 3526
هطول فوري غير متوافق
حقن Tobramycin sulfate 12 mg/ml
حقن Clindamycin phosphate 90 mg/ml
كلوريد الصوديوم 0.9% 639
هطول فوري غير متوافق
حقن Tobramycin sulfate 40 mg/ml
حقن Cloxacillin sodium 100 mg/ml
حقن المياه لل 3012
هطول فوري غير متوافق
حقن Tobramycin sulfate 10 mg/ml
حقن Defibrotide 8 mg/ml
كلوريد الصوديوم 0.9% 3728
kompatibel
حقن Tobramycin sulfate 5 mg/ml
حقن Dexmedetomidine 4 µg/ml
كلوريد الصوديوم 0.9% 1712
kompatibel
حقن Tobramycin sulfate 2.4 & 40 mg/ml
حقن Diltiazem hydrochloride 5 mg/ml
كلوريد الصوديوم 0.9% 198
kompatibel
حقن Tobramycin sulfate
حقن Dimenhydrinate
2087
kompatibel
حقن Tobramycin sulfate 5 mg/ml
حقن Docetaxel 0.9 mg/ml
الجلوكوز %5 1754
kompatibel
حقن Tobramycin sulfate 40 mg/ml
التغذية الوريدية (مع الدهون) 673
kompatibel
حقن Tobramycin sulfate 10 mg/ml
 التغذية الوريدية (خالية من الدهن) 316
kompatibel
حقن Tobramycin sulfate 5 mg/ml
التغذية الوريدية (مع الدهون) 1415
kompatibel
حقن Tobramycin sulfate 5 mg/ml
حقن Doripenem 5 mg/ml
الجلوكوز %5 2262
kompatibel
حقن Tobramycin sulfate 0,05 mg/ml
 التغذية الوريدية (خالية من الدهن) 4445
kompatibel
حقن Tobramycin sulfate 5 mg/ml
حقن Doripenem 5 mg/ml
كلوريد الصوديوم 0.9% 2262
kompatibel
حقن Tobramycin sulfate 5 mg/ml
حقن Doxorubicin hydrochloride liposome peg 0.4 mg/ml
الجلوكوز %5 251
kompatibel
حقن Tobramycin sulfate 5 mg/ml
حقن Eravacycline 0,6 mg/ml
كلوريد الصوديوم 0.9% 4434
kompatibel
حقن Tobramycin sulfate 5 mg/ml
حقن Fenoldopam mesylate 80 µg/ml
كلوريد الصوديوم 0.9% 1803
kompatibel
حقن Tobramycin sulfate 10 mg/ml
حقن Fentanyl citrate 50 µg/ml
الجلوكوز %5 63
kompatibel
حقن Tobramycin sulfate 10 & 40 mg/ml
 التغذية الوريدية (خالية من الدهن) 999
kompatibel
حقن Tobramycin sulfate 0.8 mg/ml
حقن Enalaprilate 0.05 mg/ml
كلوريد الصوديوم 0.9% 1315
عدم توافق غير محدد غير متوافق
حقن Tobramycin sulfate
حقن Erythromycin lactobionate
3674
kompatibel
حقن Tobramycin sulfate 0.8 mg/ml
حقن Esmolol hydrochloride 10 mg/ml
الجلوكوز %5 384
kompatibel
حقن Tobramycin sulfate 1.6 mg/ml
حقن Filgrastim 40 µg/ml
الجلوكوز %5 104
kompatibel
حقن Tobramycin sulfate 5 mg/ml
 التغذية الوريدية (خالية من الدهن) 301
kompatibel
حقن Tobramycin sulfate 5 mg/ml
حقن Etoposide phosphate 5 mg/ml
الجلوكوز %5 1410
kompatibel
حقن Tobramycin sulfate 5 mg/ml
حقن Filgrastim 30 µg/ml
الجلوكوز %5 244
kompatibel
حقن Tobramycin sulfate 40 mg/ml
محلول رينجر  اللاكتات 4603
هطول فوري غير متوافق
حقن Tobramycin sulfate
حقن Flucloxacillin sodium
3522
هطول الأمطار بعد 7 ساعات غير متوافق
حقن Tobramycin sulfate 8 mg/ml
حقن Flucloxacillin sodium 20 mg/ml
كلوريد الصوديوم 0.9% 1232
kompatibel
حقن Tobramycin sulfate 40 mg/ml
حقن Fluconazole 2 mg/ml
كلوريد الصوديوم 0.9% 496
kompatibel
حقن Tobramycin sulfate 5 mg/ml
حقن Fludarabine phosphate 1 mg/ml
الجلوكوز %5 492
kompatibel
حقن Tobramycin sulfate 40 mg/ml
حقن Foscarnet sodium 24 mg/ml
لا شيء 73
kompatibel
حقن Tobramycin sulfate 5 mg/ml
حقن Fosfomycin 30 mg/ml
الجلوكوز %5 4055
هطول الأمطار بعد 7 ساعات غير متوافق
حقن Tobramycin sulfate 8 mg/ml
حقن Furosemide 1 mg/ml
كلوريد الصوديوم 0.9% 1232
هطول فوري غير متوافق
حقن Tobramycin sulfate 1,6 mg/ml
حقن Furosemide 0,8 mg/ml
الجلوكوز %5 367
هطول فوري غير متوافق
حقن Tobramycin sulfate 1,6 mg/ml
حقن Furosemide 0,8 mg/ml
كلوريد الصوديوم 0.9% 367
عدم توافق غير محدد غير متوافق
حقن Tobramycin sulfate 0.8 mg/ml
حقن Heparin sodium 50 UI/ml
لا شيء 317
عدم توافق غير محدد غير متوافق
حقن Tobramycin sulfate
حقن Heparin sodium
3540
kompatibel
حقن Tobramycin sulfate
الجلوكوز %5 5086
kompatibel
حقن Tobramycin sulfate 5 mg/ml
حقن Fosfomycin 30 mg/ml
كلوريد الصوديوم 0.9% 4055
kompatibel
حقن Tobramycin sulfate 5 mg/ml
حقن Gemcitabine hydrochloride 10 mg/ml
كلوريد الصوديوم 0.9% 1423
kompatibel
حقن Tobramycin sulfate 5 mg/ml
حقن Granisetron hydrochloride 0.05 mg/ml
الجلوكوز %5 182
kompatibel
حقن Tobramycin sulfate 5 mg/ml
حقن Hetastarch 60 mg/ml
مذيب معين 1721
هطول فوري غير متوافق
حقن Tobramycin sulfate 0.8 mg/ml
حقن Hetastarch 60 mg/ml
كلوريد الصوديوم 0.9% 472
kompatibel
حقن Tobramycin sulfate 0.8 mg/ml
حقن Hydromorphone hydrochloride 0.2 mg/ml
الجلوكوز %5 405
هطول الأمطار بعد 15 دقيقة غير متوافق
حقن Tobramycin sulfate 1 mg/ml
حقن Indomethacin sodium trihydrate 0,5 & 1 mg/ml
الجلوكوز %5 1745
هطول فوري غير متوافق
حقن Tobramycin sulfate 1 mg/ml
حقن Indomethacin sodium trihydrate 0,5 & 1 mg/ml
الجلوكوز %5 494
kompatibel
حقن Tobramycin sulfate 1.6 & 2 mg/ml
حقن Insulin 0.2 UI/ml
كلوريد الصوديوم 0.9% 129
kompatibel
حقن Tobramycin sulfate 5 mg/ml
حقن Isavuconazonium sulfate 1.5 mg/ml
الجلوكوز %5 3829
kompatibel
حقن Tobramycin sulfate 5 mg/ml
حقن Isavuconazonium sulfate 1.5 mg/ml
كلوريد الصوديوم 0.9% 3829
kompatibel
حقن Tobramycin sulfate 40 mg/ml
حقن Ketamine hydrochloride 50 mg/ml
2109
kompatibel
حقن Tobramycin sulfate 0.8 mg/ml
حقن Labetalol hydrochloride 1 mg/ml
الجلوكوز %5 386
تغير اللون بعد 4 ساعات غير متوافق
حقن Tobramycin sulfate 5 mg/ml
حقن Lansoprazole 0.55 mg/ml
كلوريد الصوديوم 0.9% 1625
kompatibel
حقن Tobramycin sulfate 5 mg/ml
حقن Linezolid 2 mg/ml
لا شيء 1925
kompatibel
حقن Tobramycin sulfate 0,80 mg/ml
حقن Linezolid 1,80 mg/ml
2353
kompatibel
حقن Tobramycin sulfate 0.8 mg/ml
حقن Magnesium sulfate 16.67 >> 100 mg/ml
الجلوكوز %5 1047
kompatibel
حقن Tobramycin sulfate 5 mg/ml
حقن Melphalan 0.1 mg/ml
كلوريد الصوديوم 0.9% 169
kompatibel
حقن Tobramycin sulfate 40 mg/ml
حقن Meropenem 50 mg/ml
حقن المياه لل 4319
kompatibel
حقن Tobramycin sulfate 40 mg/ml
حقن Meropenem 50 mg/ml
4389
kompatibel
حقن Tobramycin sulfate 0.8 mg/ml
حقن Metronidazole 5 mg/ml
لا شيء 1035
kompatibel
حقن Tobramycin sulfate
حقن Metronidazole
3594
kompatibel
حقن Tobramycin sulfate 10 mg/ml
حقن Midazolam hydrochloride 1 mg/ml
الجلوكوز %5 176
kompatibel
حقن Tobramycin sulfate 1.6 >> 2.4 mg/ml
حقن Morphine sulfate 1 mg/ml
كلوريد الصوديوم 0.9% 406
kompatibel
حقن Tobramycin sulfate 0.8 mg/ml
حقن Morphine sulfate 1 mg/ml
الجلوكوز %5 405
kompatibel
حقن Tobramycin sulfate 40 mg/ml
حقن Naloxone hydrochloride 0.4 mg/ml
لا شيء 3408
kompatibel
حقن Tobramycin sulfate 0.8 mg/ml
حقن Nicardipine hydrochloride 0.1 mg/ml
كلوريد الصوديوم 0.9% 1490
kompatibel
حقن Tobramycin sulfate 0.8 mg/ml
حقن Nicardipine hydrochloride 0.1 mg/ml
الجلوكوز %5 1490
kompatibel
حقن Tobramycin sulfate 0,8 mg/ml
حقن Ofloxacin 2 mg/ml
لا شيء 889
kompatibel
حقن Tobramycin sulfate 5 mg/ml
حقن Oritavancin 0.8 >>2 mg/ml
الجلوكوز %5 3152
هطول فوري غير متوافق
حقن Tobramycin sulfate
حقن Pantoprazole sodium
2090
kompatibel
حقن Tobramycin sulfate 40 mg/ml
حقن Paracetamol 10 mg/ml
4742
هطول فوري غير متوافق
حقن Tobramycin sulfate 5 mg/ml
حقن Pemetrexed disodium 20 mg/ml
كلوريد الصوديوم 0.9% 1953
kompatibel
حقن Tobramycin sulfate 0.8 mg/ml
حقن Pethidine hydrochloride 10 mg/ml
الجلوكوز %5 405
kompatibel
حقن Tobramycin sulfate 1.6 >> 2.4 mg/ml
حقن Pethidine hydrochloride 10 mg/ml
كلوريد الصوديوم 0.9% 406
عدم الاستقرار الكيميائي غير متوافق
حقن Tobramycin sulfate
حقن Piperacillin sodium
1168
عدم الاستقرار الكيميائي غير متوافق
حقن Tobramycin sulfate
حقن Piperacillin sodium / tazobactam
3586
عدم استقرار فوري للمستحلب غير متوافق
حقن Tobramycin sulfate 2 mg/ml
حقن Propofol
660
هطول فوري غير متوافق
حقن Tobramycin sulfate 5 mg/ml
حقن Propofol 10 mg/ml
لا شيء 300
kompatibel
حقن Tobramycin sulfate 5 mg/ml
حقن Remifentanil hydrochloride 25 & 250 µg/ml
كلوريد الصوديوم 0.9% 59
هطول فوري غير متوافق
حقن Tobramycin sulfate 40 mg/ml
حقن Salbutamol sulfate 1 mg/ml
لا شيء 3216
هطول الأمطار بعد 4 ساعات غير متوافق
حقن Tobramycin sulfate 5 mg/ml
حقن Sargramostim 10 µg/ml
كلوريد الصوديوم 0.9% 335
kompatibel
حقن Tobramycin sulfate 2,4 mg/ml
حقن Sodium bicarbonate 40 mg/ml
لا شيء 3122
kompatibel
حقن Tobramycin sulfate 5 mg/ml
حقن Sulbactam/durlobactam 15/15 mg/ml
كلوريد الصوديوم 0.9% 4801
kompatibel
حقن Tobramycin sulfate 40 mg/ml
حقن Tacrolimus 1000 µg/ml
كلوريد الصوديوم 0.9% 479
التعكر الفوري غير متوافق
حقن Tobramycin sulfate 5 mg/ml
حقن Tedizolid phosphate 0.8 mg/ml
كلوريد الصوديوم 0.9% 3827
عدم توافق غير محدد غير متوافق
حقن Tobramycin sulfate
حقن Teicoplanine
3656
kompatibel
حقن Tobramycin sulfate 5 mg/ml
حقن Telavancin hydrochloride 7.5 mg/ml
كلوريد الصوديوم 0.9% 3254
kompatibel
حقن Tobramycin sulfate 5 mg/ml
حقن Telavancin hydrochloride 7.5 mg/ml
الجلوكوز %5 3254
kompatibel
حقن Tobramycin sulfate 6 mg/ml
حقن Temocilline 83.33 mg/ml
حقن المياه لل 2231
عدم توافق غير محدد غير متوافق
حقن Tobramycin sulfate
حقن Temocilline
2296
kompatibel
حقن Tobramycin sulfate 5 mg/ml
حقن Teniposide 0.1 mg/ml
الجلوكوز %5 905
kompatibel
حقن Tobramycin sulfate 0.8 mg/ml
حقن Theophylline 4 mg/ml
لا شيء 317
هطول فوري غير متوافق
حقن Tobramycin sulfate 40 mg/ml
حقن Thiopental sodium 25 mg/ml
كلوريد الصوديوم 0.9% 3767
kompatibel
حقن Tobramycin sulfate 5 mg/ml
حقن Thiotepa 1 mg/ml
الجلوكوز %5 249
kompatibel
حقن Tobramycin sulfate
كلوريد الصوديوم 0.9% 5086
عدم الاستقرار الكيميائي غير متوافق
حقن Tobramycin sulfate
حقن Ticarcillin / clavulanic acid
3587
kompatibel
حقن Tobramycin sulfate
حقن Tigecycline
كلوريد الصوديوم 0.9% 3332
kompatibel
حقن Tobramycin sulfate 6 mg/ml
حقن Vancomycin hydrochloride 10 mg/ml
الجلوكوز %5 3385
kompatibel
حقن Tobramycin sulfate 0.16 mg/ml
حقن Verapamil hydrochloride 0.08 mg/ml
كلوريد الصوديوم 0.9% 1057
kompatibel
حقن Tobramycin sulfate 0.16 mg/ml
حقن Verapamil hydrochloride 0.08 mg/ml
الجلوكوز %5 1057
kompatibel
حقن Tobramycin sulfate 5 mg/ml
حقن Vinorelbine tartrate 1 mg/ml
كلوريد الصوديوم 0.9% 84
kompatibel
حقن Tobramycin sulfate 2 mg/ml
حقن Zidovudine 4 mg/ml
الجلوكوز %5 337

  Mentions Légales