Dernière mise à jour :
27/04/2026
Antibiotique   Tobramycin sulfate  
injectable
Aérosol Collyre Solution buvable
Stabilité des solutions Stabilité en mélange Facteur influençant la stabilité Compatibilités Voie d’administration Bibliographie pdf
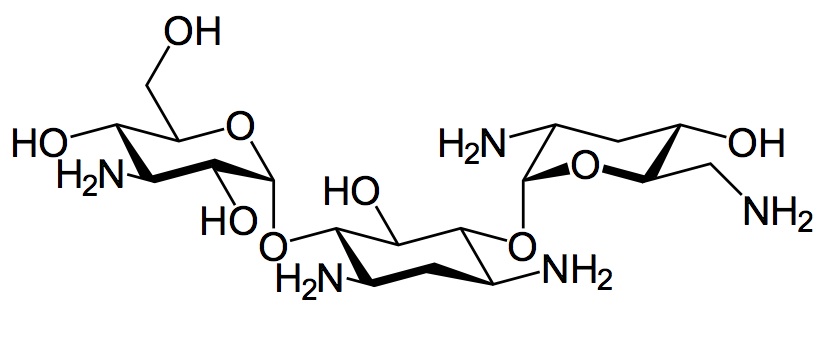
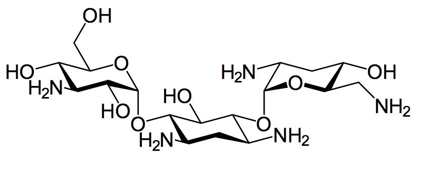
   Structure chimique  

Noms commerciaux   Noms commerciaux     

Les noms commerciaux sont donnés à titre indicatif et la composition en excipients peut être différente selon les pays et selon les laboratoires

Bactob Inde
Beltob Inde
Bramicil Italie
Brulamycin Hongrie, Malaisie, Slovénie
Eltol Inde
Fytobra Inde
Gernebcin Allemagne
Komitob Inde
Nebcin Arabie Saoudite, Egypte, Emirats Arabes Unis , Grande Bretagne, Grèce, Nouvelle Zélande
Nebcina Danemark, Maroc, Norvège, Suède
Nebcine France, Maroc, Slovénie
Nebicina Italie
Obracin Belgique, Luxembourg, Pays bas, Suisse
Tobracin Arabie Saoudite, Brésil, Egypte
Tobramicina Argentine, Brésil, Chili, Colombie, Equateur, Espagne, Italie, Portugal
Tobramina Brésil
Tobramycin Allemagne, Arabie Saoudite, Australie, Canada, Etats Unis d’Amérique, Grande Bretagne, Irlande, Norvège
Tobramycine France, Irlande, Pays bas
Tobrasix Autriche
Tobrazid Allemagne
Stabilité en mélange   injectable   Stabilité en mélange : Tobramycin sulfate     
Contenant Solvant Concentration Molécule Température Conservation Durée de stabilité Bibliographie
Verre Glucose 5% 3,2 mg/ml
injectable   Tobramycin sulfate   
injectable   Filgrastim 40 µg/ml
25°C
4 Heure
Non précisée 104
Niveau de preuve B
Verre Aucun 0,8 mg/ml
injectable   Tobramycin sulfate   
injectable   Ofloxacin 2 mg/ml
25°C
48 Heure
Non précisée 889
Niveau de preuve D
Polyvinyl chlorure Chlorure de sodium 0,9% 1,2 mg/ml
injectable   Tobramycin sulfate   
injectable   Clindamycin phosphate 9 mg/ml
-20°C
28 Jour
A l’abri de la lumière 565
Niveau de preuve D
Polyvinyl chlorure Chlorure de sodium 0,9% 1 mg/ml
injectable   Tobramycin sulfate   
injectable   Ciprofloxacin lactate 1,5 mg/ml
25°C
48 Heure
Lumière 434
Polyvinyl chlorure Chlorure de sodium 0,9% 0,2 & 0,8 mg/ml
injectable   Tobramycin sulfate   
injectable   Aztreonam 10 & 20 mg/ml
25°C
48 Heure
Non précisée 19
Niveau de preuve D
Polyvinyl chlorure Chlorure de sodium 0,9% 0,2 mg/ml
injectable   Tobramycin sulfate   
injectable   Aztreonam 10 & 20 mg/ml
4°C
7 Jour
A l’abri de la lumière 19
Niveau de preuve D
Polyvinyl chlorure Chlorure de sodium 0,9% 0,2 & 0,8 mg/ml
injectable   Tobramycin sulfate   
injectable   Aztreonam 10 & 20 mg/ml
4°C
7 Jour
A l’abri de la lumière 19
Niveau de preuve D
Polyvinyl chlorure Chlorure de sodium 0,9% 1 mg/ml
injectable   Tobramycin sulfate   
injectable   Ciprofloxacin lactate 1,5 mg/ml
4°C
48 Heure
A l’abri de la lumière 434
Polyvinyl chlorure Glucose 5% 1,2 mg/ml
injectable   Tobramycin sulfate   
injectable   Clindamycin phosphate 9 mg/ml
-20°C
14 Jour
A l’abri de la lumière 565
Niveau de preuve D
Polyvinyl chlorure Glucose 5% 1 mg/ml
injectable   Tobramycin sulfate   
injectable   Ciprofloxacin lactate 1,5 mg/ml
25°C
48 Heure
Lumière 434
Polyvinyl chlorure Glucose 5% 0,2 & 0,8 mg/ml
injectable   Tobramycin sulfate   
injectable   Aztreonam 10 & 20 mg/ml
25°C
48 Heure
Non précisée 19
Niveau de preuve D
Polyvinyl chlorure Glucose 5% 0,2 mg/ml
injectable   Tobramycin sulfate   
injectable   Aztreonam 10 & 20 mg/ml
4°C
7 Jour
A l’abri de la lumière 19
Niveau de preuve D
Polyvinyl chlorure Glucose 5% 0,2 & 0,8 mg/ml
injectable   Tobramycin sulfate   
injectable   Aztreonam 10 & 20 mg/ml
4°C
7 Jour
A l’abri de la lumière 19
Niveau de preuve D
Polyvinyl chlorure Glucose 5% 1 mg/ml
injectable   Tobramycin sulfate   
injectable   Ciprofloxacin lactate 1,5 mg/ml
4°C
48 Heure
A l’abri de la lumière 434
Polyvinyl chlorure Dianéal® PD2 2.5% glucose (Baxter) 0,008 mg/ml
injectable   Tobramycin sulfate   
injectable   Ceftazidime 0,125 mg/ml
24°C
16 Heure
Non précisée 2369
Niveau de preuve B
Polyvinyl chlorure Dianéal® PD2 2.5% glucose (Baxter) 0,008 mg/ml
injectable   Tobramycin sulfate   
injectable   Ceftazidime 0,125 mg/ml
37°C
8 Heure
Non précisée 2369
Niveau de preuve B
Polyolefine Aucun 0,80 mg/ml
injectable   Tobramycin sulfate   
injectable   Linezolid 1,80 mg/ml
23°C
1 Jour
A l’abri de la lumière 2353
Niveau de preuve B +
Polyolefine Aucun 0,80 mg/ml
injectable   Tobramycin sulfate   
injectable   Linezolid 1,80 mg/ml
4°C
7 Jour
A l’abri de la lumière 2353
Niveau de preuve B +

  Mentions Légales