Pēdējā atjaunošana :
27/04/2026
Antibiotika   Tobramycin sulfate  
Injekcija
Acu pilieni Aerosols Orāls šķīdums
Šķīduma stabilitāte Maisījuma stabilitāte Stabilitāti ietekmējoši faktori Saderība Levadīšanas veids Literatūras saraksts pdf
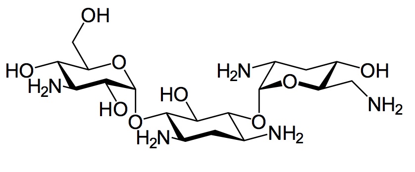
   Ķīmiskā uzbūve   

Oriģinālais nosaukums   Oriģinālais nosaukums     

Tirdzniecības nosaukumi ir apzīmējoši un palīgvielas var atšķirties dažādām valstīm un laboratorijām

Bactob Indija
Beltob Indija
Bramicil Itālija
Brulamycin Malaizija, Slovēnija, Ungārija
Eltol Indija
Fytobra Indija
Gernebcin Vācija
Komitob Indija
Nebcin Apvienotie Arābu Emirāti, Ēģipte, Grieķija, Jaunzēlande, Lielbritānija, Saūda Arābija
Nebcina Dānija, Maroka, Norvēģija, Zviedrija
Nebcine Francija, Maroka, Slovēnija
Nebicina Itālija
Obracin Beļģija, Holande, Luksemburga, Šveice
Tobracin Brazīlija, Ēģipte, Saūda Arābija
Tobramicina Argentīna, Brazīlija, Čīle, Ekvadora, Itālija, Kolumbija, Portugāle, Spānija
Tobramina Brazīlija
Tobramycin Amerikas Savienotās Valstis, Austrālija, Īrija, Kanāda, Lielbritānija, Norvēģija, Saūda Arābija, Vācija
Tobramycine Francija, Holande, Īrija
Tobrasix Austrija
Tobrazid Vācija
Saderība   Injekcija   Saderība : Tobramycin sulfate              
Šī tabula parāda zāļu saderību vai nesaderību, pēc iespējas arī nesaderības tipu (precipitācija, krāsas maiņa, emulsijas sadalīšanās utt). Parādītas šeit saderības ir pārsvarā tikai fizikālās, pēc iespējas tiek parādīta ķīmiskā stabilitāte katrai molekulai. Šo maisījumu analīze tikai veikta, lai izprastu iespējamību ievadīt zāles Y-savienojuma vietā sistēmā pacientam. Šie dati nevar tikt izmantoti, lai pagatavot zāļu maisījumus vēlākai lietošanai maisos vai šļircēs. Šī informācija ir pieejama sadaļā "Maisījuma stabilitāte".
Savienojums Šķīdinātājs Literatūras saraksts
Savietojams
Injekcija Tobramycin sulfate 1.6 mg/ml
Injekcija Aciclovir sodium 5 mg/ml
5% glikoze 336
Nokrišņi pēc 1 stundas Nesavienojams
Injekcija Tobramycin sulfate 5 mg/ml
Injekcija Allopurinol sodium 3 mg/ml
Nātrija hlorīds 0.9% 307
Savietojams
Injekcija Tobramycin sulfate 1 mg/ml
Injekcija Alprostadil 15 µg/ml
3201
Savietojams
Injekcija Tobramycin sulfate 5 mg/ml
Injekcija Amifostine 10 mg/ml
5% glikoze 3
Savietojams
Injekcija Tobramycin sulfate 5 mg/ml
Injekcija Amiodarone hydrochloride 6 mg/ml
5% glikoze 1611
Savietojams
Injekcija Tobramycin sulfate 0.8 mg/ml
Injekcija Amiodarone hydrochloride 4 mg/ml
Nātrija hlorīds 0.9% 385
Savietojams
Injekcija Tobramycin sulfate 0.8 mg/ml
Injekcija Amiodarone hydrochloride 4 mg/ml
5% glikoze 385
Ķīmiskā nestabilitāte Nesavienojams
Injekcija Tobramycin sulfate
Injekcija Amoxicillin sodium
3527
Neprecizēta nesaderība Nesavienojams
Injekcija Tobramycin sulfate
Injekcija Amoxicillin sodium / clavulanic acid
3545
Savietojams
Injekcija Tobramycin sulfate 40 mg/ml
Injekcija Amoxicillin sodium / clavulanic acid 100/10 mg/ml
3824
Tūlītēji nokrišņi Nesavienojams
Injekcija Tobramycin sulfate 5 mg/ml
Injekcija Amphotericin B cholesteryl sulfate complex 0.83 mg/ml
5% glikoze 921
Savietojams
Injekcija Tobramycin sulfate 5 mg/ml
Injekcija Amsacrine 1 mg/ml
5% glikoze 253
Savietojams
Injekcija Tobramycin sulfate 5 mg/ml
Injekcija Anidulafungin 0.5 mg/ml
5% glikoze 1982
Tūlītēji nokrišņi Nesavienojams
Injekcija Tobramycin sulfate 21 mg/ml
Injekcija Azithromycine 2 mg/ml
Nātrija hlorīds 0.9% 1800
Savietojams
Injekcija Tobramycin sulfate 0.2 & 0.8 mg/ml
Injekcija Aztreonam 10 & 20 mg/ml
5% glikoze 19
Savietojams
Injekcija Tobramycin sulfate 0.2 & 0.8 mg/ml
Injekcija Aztreonam 10 & 20 mg/ml
Nātrija hlorīds 0.9% 19
Savietojams
Injekcija Tobramycin sulfate 5 mg/ml
Injekcija Aztreonam 40 mg/ml
5% glikoze 99
Savietojams
Injekcija Tobramycin sulfate 5 mg/ml
Injekcija Bivalirudin 5 mg/ml
5% glikoze 1713
Savietojams
Injekcija Tobramycin sulfate 40 mg/ml
Injekcija Caffeine 10 mg/ml
Nekāds 3964
Nesavienojams
Injekcija Tobramycin sulfate
Injekcija Calcium gluconate
4964
Neprecizēta nesaderība Nesavienojams
Injekcija Tobramycin sulfate
Injekcija Calcium gluconate
3644
Savietojams
Injekcija Tobramycin sulfate 1 mg/ml
Injekcija Calcium gluconate 33 mg/ml
5% glikoze 503
Savietojams
Injekcija Tobramycin sulfate 5 mg/ml
Injekcija Calcium gluconate 16 mg/ml
5% glikoze 503
Savietojams
Injekcija Tobramycin sulfate 5 mg/ml
Injekcija Caspofungin acetate 0,7 mg/ml
Nātrija hlorīds 0.9% 2247
Tūlītēji nokrišņi Nesavienojams
Injekcija Tobramycin sulfate
Injekcija Cefamandole nafate 2 >> 100 mg/ml
Nātrija hlorīds 0.9% 612
Tūlītēji nokrišņi Nesavienojams
Injekcija Tobramycin sulfate
Injekcija Cefamandole nafate 2 >> 100 mg/ml
5% glikoze 612
Neprecizēta nesaderība Nesavienojams
Injekcija Tobramycin sulfate
Injekcija Cefamandole nafate
3546
Savietojams
Injekcija Tobramycin sulfate 6 mg/ml
Injekcija Cefepime dihydrochloride 125 mg/ml
Ūdens injekcijām 2141
Neprecizēta nesaderība Nesavienojams
Injekcija Tobramycin sulfate
Injekcija Cefepime dihydrochloride
3548
Tūlītēji nokrišņi Nesavienojams
Injekcija Tobramycin sulfate 10 mg/ml
Injekcija Cefiderocol sulfate tosylate 20 mg/mL
5% glikoze 4528
Tūlītēji nokrišņi Nesavienojams
Injekcija Tobramycin sulfate 10 mg/ml
Injekcija Cefiderocol sulfate tosylate 20 mg/mL
Nātrija hlorīds 0.9% 4528
Tūlītēji nokrišņi Nesavienojams
Injekcija Tobramycin sulfate 0.8 mg/ml
Injekcija Cefoperazone sodium 10 & 40 mg/ml
5% glikoze 1206
Neprecizēta nesaderība Nesavienojams
Injekcija Tobramycin sulfate
Injekcija Cefoperazone sodium
3544
Neprecizēta nesaderība Nesavienojams
Injekcija Tobramycin sulfate
Injekcija Cefpirome sulfate
3677
Savietojams
Injekcija Tobramycin sulfate 5 mg/ml
Injekcija Ceftaroline fosamil 2,22 mg/ml
Nātrija hlorīds 0.9% 3249
Savietojams
Injekcija Tobramycin sulfate 5 mg/ml
Injekcija Ceftaroline fosamil 2,22 mg/ml
5% glikoze 3249
Savietojams
Injekcija Tobramycin sulfate 5 mg/ml
Injekcija Ceftaroline fosamil 2,22 mg/ml
Ringera laktāta šķīdums 3249
Savietojams
Injekcija Tobramycin sulfate 6 mg/ml
Injekcija Ceftazidime 83.3 mg/ml
1759
Neprecizēta nesaderība Nesavienojams
Injekcija Tobramycin sulfate
Injekcija Ceftazidime
3543
Savietojams
Injekcija Tobramycin sulfate 0.008 mg/ml
Injekcija Ceftazidime 0.125 mg/ml
Dianéal® PD2 2.5% glucose (Baxter) 2369
Neprecizēta nesaderība Nesavienojams
Injekcija Tobramycin sulfate
Injekcija Ceftazidime
3883
Savietojams
Injekcija Tobramycin sulfate 6 mg/ml
Injekcija Ceftazidime 125 mg/ml
Ūdens injekcijām 2141
Tūlītēji nokrišņi Nesavienojams
Injekcija Tobramycin sulfate 5 mg/ml
Injekcija Ceftobiprole medocaril sodium 2 mg/ml
Ringera laktāta šķīdums 2269
Neprecizēta nesaderība Nesavienojams
Injekcija Tobramycin sulfate
Injekcija Ceftobiprole medocaril sodium
4650
Tūlītēji nokrišņi Nesavienojams
Injekcija Tobramycin sulfate 5 mg/ml
Injekcija Ceftobiprole medocaril sodium 2 mg/ml
5% glikoze 2269
Tūlītēji nokrišņi Nesavienojams
Injekcija Tobramycin sulfate 5 mg/ml
Injekcija Ceftobiprole medocaril sodium 2 mg/ml
Nātrija hlorīds 0.9% 2269
Savietojams
Injekcija Tobramycin sulfate 5 mg/ml
Injekcija Ceftolozane / tazobactam 10/5 mg/ml
5% glikoze 3828
Savietojams
Injekcija Tobramycin sulfate 5 mg/ml
Injekcija Ceftolozane / tazobactam 10/5 mg/ml
Nātrija hlorīds 0.9% 3828
Neprecizēta nesaderība Nesavienojams
Injekcija Tobramycin sulfate
Injekcija Ceftriaxone disodium
3523
Neprecizēta nesaderība Nesavienojams
Injekcija Tobramycin sulfate
Injekcija Cefuroxime sodium
3687
Savietojams
Injekcija Tobramycin sulfate 1.6 mg/ml
Injekcija Ciprofloxacin lactate 2 mg/ml
5% glikoze 285
Savietojams
Injekcija Tobramycin sulfate 1 mg/ml
Injekcija Ciprofloxacin lactate 1.5 mg/ml
5% glikoze 434
Savietojams
Injekcija Tobramycin sulfate 1 mg/ml
Injekcija Ciprofloxacin lactate 1.5 mg/ml
Nātrija hlorīds 0.9% 434
Savietojams
Injekcija Tobramycin sulfate 1,6 mg/ml
Injekcija Ciprofloxacin lactate 1 mg/ml
5% glikoze 500
Savietojams
Injekcija Tobramycin sulfate 1,6 mg/ml
Injekcija Ciprofloxacin lactate 1 mg/ml
Nātrija hlorīds 0.9% 500
Savietojams
Injekcija Tobramycin sulfate 5 mg/ml
Injekcija Cisatracurium besylate 0.1 >> 5 mg/ml
5% glikoze 299
Ķīmiskā nestabilitāte Nesavienojams
Injekcija Tobramycin sulfate
Injekcija Cisplatin
3578
Savietojams
Injekcija Tobramycin sulfate
Injekcija Clindamycin phosphate
5% glikoze 3526
Savietojams
Injekcija Tobramycin sulfate
Injekcija Clindamycin phosphate
Nātrija hlorīds 0.9% 3526
Tūlītēji nokrišņi Nesavienojams
Injekcija Tobramycin sulfate 12 mg/ml
Injekcija Clindamycin phosphate 90 mg/ml
Nātrija hlorīds 0.9% 639
Tūlītēji nokrišņi Nesavienojams
Injekcija Tobramycin sulfate 40 mg/ml
Injekcija Cloxacillin sodium 100 mg/ml
Ūdens injekcijām 3012
Tūlītēji nokrišņi Nesavienojams
Injekcija Tobramycin sulfate 10 mg/ml
Injekcija Defibrotide 8 mg/ml
Nātrija hlorīds 0.9% 3728
Savietojams
Injekcija Tobramycin sulfate 5 mg/ml
Injekcija Dexmedetomidine 4 µg/ml
Nātrija hlorīds 0.9% 1712
Savietojams
Injekcija Tobramycin sulfate 2.4 & 40 mg/ml
Injekcija Diltiazem hydrochloride 5 mg/ml
Nātrija hlorīds 0.9% 198
Savietojams
Injekcija Tobramycin sulfate
Injekcija Dimenhydrinate
2087
Savietojams
Injekcija Tobramycin sulfate 5 mg/ml
Injekcija Docetaxel 0.9 mg/ml
5% glikoze 1754
Savietojams
Injekcija Tobramycin sulfate 40 mg/ml
Parenterāla barošana (ar lipīdiem) 673
Savietojams
Injekcija Tobramycin sulfate 10 mg/ml
Parenterāla barošana (lipīdu-free) 316
Savietojams
Injekcija Tobramycin sulfate 5 mg/ml
Parenterāla barošana (ar lipīdiem) 1415
Savietojams
Injekcija Tobramycin sulfate 5 mg/ml
Injekcija Doripenem 5 mg/ml
5% glikoze 2262
Savietojams
Injekcija Tobramycin sulfate 0,05 mg/ml
Parenterāla barošana (lipīdu-free) 4445
Savietojams
Injekcija Tobramycin sulfate 5 mg/ml
Injekcija Doripenem 5 mg/ml
Nātrija hlorīds 0.9% 2262
Savietojams
Injekcija Tobramycin sulfate 5 mg/ml
Injekcija Doxorubicin hydrochloride liposome peg 0.4 mg/ml
5% glikoze 251
Savietojams
Injekcija Tobramycin sulfate 5 mg/ml
Injekcija Eravacycline 0,6 mg/ml
Nātrija hlorīds 0.9% 4434
Savietojams
Injekcija Tobramycin sulfate 5 mg/ml
Injekcija Fenoldopam mesylate 80 µg/ml
Nātrija hlorīds 0.9% 1803
Savietojams
Injekcija Tobramycin sulfate 10 mg/ml
Injekcija Fentanyl citrate 50 µg/ml
5% glikoze 63
Savietojams
Injekcija Tobramycin sulfate 10 & 40 mg/ml
Parenterāla barošana (lipīdu-free) 999
Savietojams
Injekcija Tobramycin sulfate 0.8 mg/ml
Injekcija Enalaprilate 0.05 mg/ml
Nātrija hlorīds 0.9% 1315
Neprecizēta nesaderība Nesavienojams
Injekcija Tobramycin sulfate
Injekcija Erythromycin lactobionate
3674
Savietojams
Injekcija Tobramycin sulfate 0.8 mg/ml
Injekcija Esmolol hydrochloride 10 mg/ml
5% glikoze 384
Savietojams
Injekcija Tobramycin sulfate 1.6 mg/ml
Injekcija Filgrastim 40 µg/ml
5% glikoze 104
Savietojams
Injekcija Tobramycin sulfate 5 mg/ml
Parenterāla barošana (lipīdu-free) 301
Savietojams
Injekcija Tobramycin sulfate 5 mg/ml
Injekcija Etoposide phosphate 5 mg/ml
5% glikoze 1410
Savietojams
Injekcija Tobramycin sulfate 5 mg/ml
Injekcija Filgrastim 30 µg/ml
5% glikoze 244
Savietojams
Injekcija Tobramycin sulfate 40 mg/ml
Ringera laktāta šķīdums 4603
Tūlītēji nokrišņi Nesavienojams
Injekcija Tobramycin sulfate
Injekcija Flucloxacillin sodium
3522
Nokrišņi pēc 7 stundām Nesavienojams
Injekcija Tobramycin sulfate 8 mg/ml
Injekcija Flucloxacillin sodium 20 mg/ml
Nātrija hlorīds 0.9% 1232
Savietojams
Injekcija Tobramycin sulfate 40 mg/ml
Injekcija Fluconazole 2 mg/ml
Nātrija hlorīds 0.9% 496
Savietojams
Injekcija Tobramycin sulfate 5 mg/ml
Injekcija Fludarabine phosphate 1 mg/ml
5% glikoze 492
Savietojams
Injekcija Tobramycin sulfate 40 mg/ml
Injekcija Foscarnet sodium 24 mg/ml
Nekāds 73
Savietojams
Injekcija Tobramycin sulfate 5 mg/ml
Injekcija Fosfomycin 30 mg/ml
5% glikoze 4055
Nokrišņi pēc 7 stundām Nesavienojams
Injekcija Tobramycin sulfate 8 mg/ml
Injekcija Furosemide 1 mg/ml
Nātrija hlorīds 0.9% 1232
Tūlītēji nokrišņi Nesavienojams
Injekcija Tobramycin sulfate 1,6 mg/ml
Injekcija Furosemide 0,8 mg/ml
5% glikoze 367
Tūlītēji nokrišņi Nesavienojams
Injekcija Tobramycin sulfate 1,6 mg/ml
Injekcija Furosemide 0,8 mg/ml
Nātrija hlorīds 0.9% 367
Neprecizēta nesaderība Nesavienojams
Injekcija Tobramycin sulfate 0.8 mg/ml
Injekcija Heparin sodium 50 UI/ml
Nekāds 317
Neprecizēta nesaderība Nesavienojams
Injekcija Tobramycin sulfate
Injekcija Heparin sodium
3540
Savietojams
Injekcija Tobramycin sulfate
5% glikoze 5086
Savietojams
Injekcija Tobramycin sulfate 5 mg/ml
Injekcija Fosfomycin 30 mg/ml
Nātrija hlorīds 0.9% 4055
Savietojams
Injekcija Tobramycin sulfate 5 mg/ml
Injekcija Gemcitabine hydrochloride 10 mg/ml
Nātrija hlorīds 0.9% 1423
Savietojams
Injekcija Tobramycin sulfate 5 mg/ml
Injekcija Granisetron hydrochloride 0.05 mg/ml
5% glikoze 182
Savietojams
Injekcija Tobramycin sulfate 5 mg/ml
Injekcija Hetastarch 60 mg/ml
īpašu šķīdinātāju 1721
Tūlītēji nokrišņi Nesavienojams
Injekcija Tobramycin sulfate 0.8 mg/ml
Injekcija Hetastarch 60 mg/ml
Nātrija hlorīds 0.9% 472
Savietojams
Injekcija Tobramycin sulfate 0.8 mg/ml
Injekcija Hydromorphone hydrochloride 0.2 mg/ml
5% glikoze 405
Nokrišņi pēc 15 minūtēm Nesavienojams
Injekcija Tobramycin sulfate 1 mg/ml
Injekcija Indomethacin sodium trihydrate 0,5 & 1 mg/ml
5% glikoze 1745
Tūlītēji nokrišņi Nesavienojams
Injekcija Tobramycin sulfate 1 mg/ml
Injekcija Indomethacin sodium trihydrate 0,5 & 1 mg/ml
5% glikoze 494
Savietojams
Injekcija Tobramycin sulfate 1.6 & 2 mg/ml
Injekcija Insulin 0.2 UI/ml
Nātrija hlorīds 0.9% 129
Savietojams
Injekcija Tobramycin sulfate 5 mg/ml
Injekcija Isavuconazonium sulfate 1.5 mg/ml
5% glikoze 3829
Savietojams
Injekcija Tobramycin sulfate 5 mg/ml
Injekcija Isavuconazonium sulfate 1.5 mg/ml
Nātrija hlorīds 0.9% 3829
Savietojams
Injekcija Tobramycin sulfate 40 mg/ml
Injekcija Ketamine hydrochloride 50 mg/ml
2109
Savietojams
Injekcija Tobramycin sulfate 0.8 mg/ml
Injekcija Labetalol hydrochloride 1 mg/ml
5% glikoze 386
Krāsas maiņa pēc 4 stundām Nesavienojams
Injekcija Tobramycin sulfate 5 mg/ml
Injekcija Lansoprazole 0.55 mg/ml
Nātrija hlorīds 0.9% 1625
Savietojams
Injekcija Tobramycin sulfate 5 mg/ml
Injekcija Linezolid 2 mg/ml
Nekāds 1925
Savietojams
Injekcija Tobramycin sulfate 0,80 mg/ml
Injekcija Linezolid 1,80 mg/ml
2353
Savietojams
Injekcija Tobramycin sulfate 0.8 mg/ml
Injekcija Magnesium sulfate 16.67 >> 100 mg/ml
5% glikoze 1047
Savietojams
Injekcija Tobramycin sulfate 5 mg/ml
Injekcija Melphalan 0.1 mg/ml
Nātrija hlorīds 0.9% 169
Savietojams
Injekcija Tobramycin sulfate 40 mg/ml
Injekcija Meropenem 50 mg/ml
Ūdens injekcijām 4319
Savietojams
Injekcija Tobramycin sulfate 40 mg/ml
Injekcija Meropenem 50 mg/ml
4389
Savietojams
Injekcija Tobramycin sulfate 0.8 mg/ml
Injekcija Metronidazole 5 mg/ml
Nekāds 1035
Savietojams
Injekcija Tobramycin sulfate
Injekcija Metronidazole
3594
Savietojams
Injekcija Tobramycin sulfate 10 mg/ml
Injekcija Midazolam hydrochloride 1 mg/ml
5% glikoze 176
Savietojams
Injekcija Tobramycin sulfate 1.6 >> 2.4 mg/ml
Injekcija Morphine sulfate 1 mg/ml
Nātrija hlorīds 0.9% 406
Savietojams
Injekcija Tobramycin sulfate 0.8 mg/ml
Injekcija Morphine sulfate 1 mg/ml
5% glikoze 405
Savietojams
Injekcija Tobramycin sulfate 40 mg/ml
Injekcija Naloxone hydrochloride 0.4 mg/ml
Nekāds 3408
Savietojams
Injekcija Tobramycin sulfate 0.8 mg/ml
Injekcija Nicardipine hydrochloride 0.1 mg/ml
Nātrija hlorīds 0.9% 1490
Savietojams
Injekcija Tobramycin sulfate 0.8 mg/ml
Injekcija Nicardipine hydrochloride 0.1 mg/ml
5% glikoze 1490
Savietojams
Injekcija Tobramycin sulfate 0,8 mg/ml
Injekcija Ofloxacin 2 mg/ml
Nekāds 889
Savietojams
Injekcija Tobramycin sulfate 5 mg/ml
Injekcija Oritavancin 0.8 >>2 mg/ml
5% glikoze 3152
Tūlītēji nokrišņi Nesavienojams
Injekcija Tobramycin sulfate
Injekcija Pantoprazole sodium
2090
Savietojams
Injekcija Tobramycin sulfate 40 mg/ml
Injekcija Paracetamol 10 mg/ml
4742
Tūlītēji nokrišņi Nesavienojams
Injekcija Tobramycin sulfate 5 mg/ml
Injekcija Pemetrexed disodium 20 mg/ml
Nātrija hlorīds 0.9% 1953
Savietojams
Injekcija Tobramycin sulfate 0.8 mg/ml
Injekcija Pethidine hydrochloride 10 mg/ml
5% glikoze 405
Savietojams
Injekcija Tobramycin sulfate 1.6 >> 2.4 mg/ml
Injekcija Pethidine hydrochloride 10 mg/ml
Nātrija hlorīds 0.9% 406
Ķīmiskā nestabilitāte Nesavienojams
Injekcija Tobramycin sulfate
Injekcija Piperacillin sodium
1168
Ķīmiskā nestabilitāte Nesavienojams
Injekcija Tobramycin sulfate
Injekcija Piperacillin sodium / tazobactam
3586
Tūlītēja emulsijas nestabilitāte Nesavienojams
Injekcija Tobramycin sulfate 2 mg/ml
Injekcija Propofol
660
Tūlītēji nokrišņi Nesavienojams
Injekcija Tobramycin sulfate 5 mg/ml
Injekcija Propofol 10 mg/ml
Nekāds 300
Savietojams
Injekcija Tobramycin sulfate 5 mg/ml
Injekcija Remifentanil hydrochloride 25 & 250 µg/ml
Nātrija hlorīds 0.9% 59
Tūlītēji nokrišņi Nesavienojams
Injekcija Tobramycin sulfate 40 mg/ml
Injekcija Salbutamol sulfate 1 mg/ml
Nekāds 3216
Nokrišņi pēc 4 stundām Nesavienojams
Injekcija Tobramycin sulfate 5 mg/ml
Injekcija Sargramostim 10 µg/ml
Nātrija hlorīds 0.9% 335
Savietojams
Injekcija Tobramycin sulfate 2,4 mg/ml
Injekcija Sodium bicarbonate 40 mg/ml
Nekāds 3122
Savietojams
Injekcija Tobramycin sulfate 5 mg/ml
Injekcija Sulbactam/durlobactam 15/15 mg/ml
Nātrija hlorīds 0.9% 4801
Savietojams
Injekcija Tobramycin sulfate 40 mg/ml
Injekcija Tacrolimus 1000 µg/ml
Nātrija hlorīds 0.9% 479
Tūlītēja duļķainība Nesavienojams
Injekcija Tobramycin sulfate 5 mg/ml
Injekcija Tedizolid phosphate 0.8 mg/ml
Nātrija hlorīds 0.9% 3827
Neprecizēta nesaderība Nesavienojams
Injekcija Tobramycin sulfate
Injekcija Teicoplanine
3656
Savietojams
Injekcija Tobramycin sulfate 5 mg/ml
Injekcija Telavancin hydrochloride 7.5 mg/ml
Nātrija hlorīds 0.9% 3254
Savietojams
Injekcija Tobramycin sulfate 5 mg/ml
Injekcija Telavancin hydrochloride 7.5 mg/ml
5% glikoze 3254
Savietojams
Injekcija Tobramycin sulfate 6 mg/ml
Injekcija Temocilline 83.33 mg/ml
Ūdens injekcijām 2231
Neprecizēta nesaderība Nesavienojams
Injekcija Tobramycin sulfate
Injekcija Temocilline
2296
Savietojams
Injekcija Tobramycin sulfate 5 mg/ml
Injekcija Teniposide 0.1 mg/ml
5% glikoze 905
Savietojams
Injekcija Tobramycin sulfate 0.8 mg/ml
Injekcija Theophylline 4 mg/ml
Nekāds 317
Tūlītēji nokrišņi Nesavienojams
Injekcija Tobramycin sulfate 40 mg/ml
Injekcija Thiopental sodium 25 mg/ml
Nātrija hlorīds 0.9% 3767
Savietojams
Injekcija Tobramycin sulfate 5 mg/ml
Injekcija Thiotepa 1 mg/ml
5% glikoze 249
Savietojams
Injekcija Tobramycin sulfate
Nātrija hlorīds 0.9% 5086
Ķīmiskā nestabilitāte Nesavienojams
Injekcija Tobramycin sulfate
Injekcija Ticarcillin / clavulanic acid
3587
Savietojams
Injekcija Tobramycin sulfate
Injekcija Tigecycline
Nātrija hlorīds 0.9% 3332
Savietojams
Injekcija Tobramycin sulfate 6 mg/ml
Injekcija Vancomycin hydrochloride 10 mg/ml
5% glikoze 3385
Savietojams
Injekcija Tobramycin sulfate 0.16 mg/ml
Injekcija Verapamil hydrochloride 0.08 mg/ml
Nātrija hlorīds 0.9% 1057
Savietojams
Injekcija Tobramycin sulfate 0.16 mg/ml
Injekcija Verapamil hydrochloride 0.08 mg/ml
5% glikoze 1057
Savietojams
Injekcija Tobramycin sulfate 5 mg/ml
Injekcija Vinorelbine tartrate 1 mg/ml
Nātrija hlorīds 0.9% 84
Savietojams
Injekcija Tobramycin sulfate 2 mg/ml
Injekcija Zidovudine 4 mg/ml
5% glikoze 337

  Mentions Légales