Ostatnia aktualizacja :
27/04/2026
Antybiotyk   Tobramycin sulfate  
Injekcje
Aerozol Krople oczne Roztwór doustny
Trwałość roztworów Trwałość w mieszaninie Czynnik wpływający na trwałość Zgodność Sposób podania Bibliografia pdf
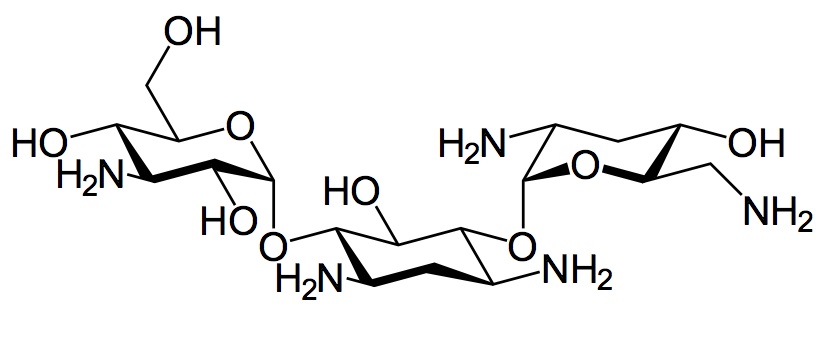
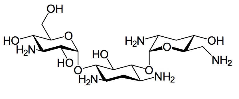
   Struktura chemiczna  

Nazwa handlowa   Nazwa handlowa     

Trade names are indicative and excipients composition can be different depending on the country and manufacturers

Bactob Indie
Beltob Indie
Bramicil Włochy
Brulamycin Malezja, Słowenia, Węgry
Eltol Indie
Fytobra Indie
Gernebcin Niemcy
Komitob Indie
Nebcin Arabia Saudyjska, Egipt, Grecja, nowa Zelandia, Wielka Brytania, Zjednoczone Emiraty Arabskie
Nebcina Dania, Maroko, Norwegia, Szwecja
Nebcine Francja , Maroko, Słowenia
Nebicina Włochy
Obracin Belgia, Holandia, Luksemburg, Szwajcaria
Tobracin Arabia Saudyjska, Brazylia, Egipt
Tobramicina Argentyna, Brazylia, Chile, Ekwador, Hiszpania, KolumbiaKolumbia, Portugalia, Włochy
Tobramina Brazylia
Tobramycin Arabia Saudyjska, Australia, Irlandia, Kanada, Niemcy, Norwegia, Stany Zjednoczone Ameryki, Wielka Brytania
Tobramycine Francja , Holandia, Irlandia
Tobrasix Austria
Tobrazid Niemcy
Zgodność   Injekcje   Zgodność : Tobramycin sulfate              
Ekran ten wskazuje na kompatybilności lub niezgodności z, w tym przypadku, rodzajem niezgodności (strącanie, zmiana koloru, modyfikacja emulsji, itp.). Przedstawione tutaj kompatybilności są głównie fizyczne, a stabilność chemiczna każdej cząsteczki jest rzadko oceniana. Ocenę tych mieszanin badano w celu rozważenia możliwości podania pacjentowi w miejscu Y. Dane te nie mogą być wykorzystywane do sporządzania mieszanin z wyprzedzeniem w workach lub strzykawkach. Tego typu informacje są dostępne na ekranie „Stabilność w mieszaninie”.
Związek Rozpuszczalnik Bibliografia
Zgodny
Injekcje Tobramycin sulfate 1.6 mg/ml
Injekcje Aciclovir sodium 5 mg/ml
Glukoza 5% 336
Opady po 1 godzinie Niekompatybilny
Injekcje Tobramycin sulfate 5 mg/ml
Injekcje Allopurinol sodium 3 mg/ml
Chlorek sodu 0,9% 307
Zgodny
Injekcje Tobramycin sulfate 1 mg/ml
Injekcje Alprostadil 15 µg/ml
3201
Zgodny
Injekcje Tobramycin sulfate 5 mg/ml
Injekcje Amifostine 10 mg/ml
Glukoza 5% 3
Zgodny
Injekcje Tobramycin sulfate 5 mg/ml
Injekcje Amiodarone hydrochloride 6 mg/ml
Glukoza 5% 1611
Zgodny
Injekcje Tobramycin sulfate 0.8 mg/ml
Injekcje Amiodarone hydrochloride 4 mg/ml
Chlorek sodu 0,9% 385
Zgodny
Injekcje Tobramycin sulfate 0.8 mg/ml
Injekcje Amiodarone hydrochloride 4 mg/ml
Glukoza 5% 385
Niestabilność chemiczna Niekompatybilny
Injekcje Tobramycin sulfate
Injekcje Amoxicillin sodium
3527
Nieokreślona niezgodność Niekompatybilny
Injekcje Tobramycin sulfate
Injekcje Amoxicillin sodium / clavulanic acid
3545
Zgodny
Injekcje Tobramycin sulfate 40 mg/ml
Injekcje Amoxicillin sodium / clavulanic acid 100/10 mg/ml
3824
Natychmiastowe opady Niekompatybilny
Injekcje Tobramycin sulfate 5 mg/ml
Injekcje Amphotericin B cholesteryl sulfate complex 0.83 mg/ml
Glukoza 5% 921
Zgodny
Injekcje Tobramycin sulfate 5 mg/ml
Injekcje Amsacrine 1 mg/ml
Glukoza 5% 253
Zgodny
Injekcje Tobramycin sulfate 5 mg/ml
Injekcje Anidulafungin 0.5 mg/ml
Glukoza 5% 1982
Natychmiastowe opady Niekompatybilny
Injekcje Tobramycin sulfate 21 mg/ml
Injekcje Azithromycine 2 mg/ml
Chlorek sodu 0,9% 1800
Zgodny
Injekcje Tobramycin sulfate 0.2 & 0.8 mg/ml
Injekcje Aztreonam 10 & 20 mg/ml
Glukoza 5% 19
Zgodny
Injekcje Tobramycin sulfate 0.2 & 0.8 mg/ml
Injekcje Aztreonam 10 & 20 mg/ml
Chlorek sodu 0,9% 19
Zgodny
Injekcje Tobramycin sulfate 5 mg/ml
Injekcje Aztreonam 40 mg/ml
Glukoza 5% 99
Zgodny
Injekcje Tobramycin sulfate 5 mg/ml
Injekcje Bivalirudin 5 mg/ml
Glukoza 5% 1713
Zgodny
Injekcje Tobramycin sulfate 40 mg/ml
Injekcje Caffeine 10 mg/ml
Żaden 3964
Niekompatybilny
Injekcje Tobramycin sulfate
Injekcje Calcium gluconate
4964
Nieokreślona niezgodność Niekompatybilny
Injekcje Tobramycin sulfate
Injekcje Calcium gluconate
3644
Zgodny
Injekcje Tobramycin sulfate 1 mg/ml
Injekcje Calcium gluconate 33 mg/ml
Glukoza 5% 503
Zgodny
Injekcje Tobramycin sulfate 5 mg/ml
Injekcje Calcium gluconate 16 mg/ml
Glukoza 5% 503
Zgodny
Injekcje Tobramycin sulfate 5 mg/ml
Injekcje Caspofungin acetate 0,7 mg/ml
Chlorek sodu 0,9% 2247
Natychmiastowe opady Niekompatybilny
Injekcje Tobramycin sulfate
Injekcje Cefamandole nafate 2 >> 100 mg/ml
Chlorek sodu 0,9% 612
Natychmiastowe opady Niekompatybilny
Injekcje Tobramycin sulfate
Injekcje Cefamandole nafate 2 >> 100 mg/ml
Glukoza 5% 612
Nieokreślona niezgodność Niekompatybilny
Injekcje Tobramycin sulfate
Injekcje Cefamandole nafate
3546
Zgodny
Injekcje Tobramycin sulfate 6 mg/ml
Injekcje Cefepime dihydrochloride 125 mg/ml
Woda do wstrzyknięć 2141
Nieokreślona niezgodność Niekompatybilny
Injekcje Tobramycin sulfate
Injekcje Cefepime dihydrochloride
3548
Natychmiastowe opady Niekompatybilny
Injekcje Tobramycin sulfate 10 mg/ml
Injekcje Cefiderocol sulfate tosylate 20 mg/mL
Glukoza 5% 4528
Natychmiastowe opady Niekompatybilny
Injekcje Tobramycin sulfate 10 mg/ml
Injekcje Cefiderocol sulfate tosylate 20 mg/mL
Chlorek sodu 0,9% 4528
Natychmiastowe opady Niekompatybilny
Injekcje Tobramycin sulfate 0.8 mg/ml
Injekcje Cefoperazone sodium 10 & 40 mg/ml
Glukoza 5% 1206
Nieokreślona niezgodność Niekompatybilny
Injekcje Tobramycin sulfate
Injekcje Cefoperazone sodium
3544
Nieokreślona niezgodność Niekompatybilny
Injekcje Tobramycin sulfate
Injekcje Cefpirome sulfate
3677
Zgodny
Injekcje Tobramycin sulfate 5 mg/ml
Injekcje Ceftaroline fosamil 2,22 mg/ml
Chlorek sodu 0,9% 3249
Zgodny
Injekcje Tobramycin sulfate 5 mg/ml
Injekcje Ceftaroline fosamil 2,22 mg/ml
Glukoza 5% 3249
Zgodny
Injekcje Tobramycin sulfate 5 mg/ml
Injekcje Ceftaroline fosamil 2,22 mg/ml
Roztwór Ringera z mleczanem sodowym 3249
Zgodny
Injekcje Tobramycin sulfate 6 mg/ml
Injekcje Ceftazidime 83.3 mg/ml
1759
Nieokreślona niezgodność Niekompatybilny
Injekcje Tobramycin sulfate
Injekcje Ceftazidime
3543
Zgodny
Injekcje Tobramycin sulfate 0.008 mg/ml
Injekcje Ceftazidime 0.125 mg/ml
Dianéal® PD2 2.5% glucose (Baxter) 2369
Nieokreślona niezgodność Niekompatybilny
Injekcje Tobramycin sulfate
Injekcje Ceftazidime
3883
Zgodny
Injekcje Tobramycin sulfate 6 mg/ml
Injekcje Ceftazidime 125 mg/ml
Woda do wstrzyknięć 2141
Natychmiastowe opady Niekompatybilny
Injekcje Tobramycin sulfate 5 mg/ml
Injekcje Ceftobiprole medocaril sodium 2 mg/ml
Roztwór Ringera z mleczanem sodowym 2269
Nieokreślona niezgodność Niekompatybilny
Injekcje Tobramycin sulfate
Injekcje Ceftobiprole medocaril sodium
4650
Natychmiastowe opady Niekompatybilny
Injekcje Tobramycin sulfate 5 mg/ml
Injekcje Ceftobiprole medocaril sodium 2 mg/ml
Glukoza 5% 2269
Natychmiastowe opady Niekompatybilny
Injekcje Tobramycin sulfate 5 mg/ml
Injekcje Ceftobiprole medocaril sodium 2 mg/ml
Chlorek sodu 0,9% 2269
Zgodny
Injekcje Tobramycin sulfate 5 mg/ml
Injekcje Ceftolozane / tazobactam 10/5 mg/ml
Glukoza 5% 3828
Zgodny
Injekcje Tobramycin sulfate 5 mg/ml
Injekcje Ceftolozane / tazobactam 10/5 mg/ml
Chlorek sodu 0,9% 3828
Nieokreślona niezgodność Niekompatybilny
Injekcje Tobramycin sulfate
Injekcje Ceftriaxone disodium
3523
Nieokreślona niezgodność Niekompatybilny
Injekcje Tobramycin sulfate
Injekcje Cefuroxime sodium
3687
Zgodny
Injekcje Tobramycin sulfate 1.6 mg/ml
Injekcje Ciprofloxacin lactate 2 mg/ml
Glukoza 5% 285
Zgodny
Injekcje Tobramycin sulfate 1 mg/ml
Injekcje Ciprofloxacin lactate 1.5 mg/ml
Glukoza 5% 434
Zgodny
Injekcje Tobramycin sulfate 1 mg/ml
Injekcje Ciprofloxacin lactate 1.5 mg/ml
Chlorek sodu 0,9% 434
Zgodny
Injekcje Tobramycin sulfate 1,6 mg/ml
Injekcje Ciprofloxacin lactate 1 mg/ml
Glukoza 5% 500
Zgodny
Injekcje Tobramycin sulfate 1,6 mg/ml
Injekcje Ciprofloxacin lactate 1 mg/ml
Chlorek sodu 0,9% 500
Zgodny
Injekcje Tobramycin sulfate 5 mg/ml
Injekcje Cisatracurium besylate 0.1 >> 5 mg/ml
Glukoza 5% 299
Niestabilność chemiczna Niekompatybilny
Injekcje Tobramycin sulfate
Injekcje Cisplatin
3578
Zgodny
Injekcje Tobramycin sulfate
Injekcje Clindamycin phosphate
Glukoza 5% 3526
Zgodny
Injekcje Tobramycin sulfate
Injekcje Clindamycin phosphate
Chlorek sodu 0,9% 3526
Natychmiastowe opady Niekompatybilny
Injekcje Tobramycin sulfate 12 mg/ml
Injekcje Clindamycin phosphate 90 mg/ml
Chlorek sodu 0,9% 639
Natychmiastowe opady Niekompatybilny
Injekcje Tobramycin sulfate 40 mg/ml
Injekcje Cloxacillin sodium 100 mg/ml
Woda do wstrzyknięć 3012
Natychmiastowe opady Niekompatybilny
Injekcje Tobramycin sulfate 10 mg/ml
Injekcje Defibrotide 8 mg/ml
Chlorek sodu 0,9% 3728
Zgodny
Injekcje Tobramycin sulfate 5 mg/ml
Injekcje Dexmedetomidine 4 µg/ml
Chlorek sodu 0,9% 1712
Zgodny
Injekcje Tobramycin sulfate 2.4 & 40 mg/ml
Injekcje Diltiazem hydrochloride 5 mg/ml
Chlorek sodu 0,9% 198
Zgodny
Injekcje Tobramycin sulfate
Injekcje Dimenhydrinate
2087
Zgodny
Injekcje Tobramycin sulfate 5 mg/ml
Injekcje Docetaxel 0.9 mg/ml
Glukoza 5% 1754
Zgodny
Injekcje Tobramycin sulfate 40 mg/ml
Żywienie pozajelitowe (lipidami) 673
Zgodny
Injekcje Tobramycin sulfate 10 mg/ml
Odżywianie pozajelitowe (mieszanina binarny) 316
Zgodny
Injekcje Tobramycin sulfate 5 mg/ml
Żywienie pozajelitowe (lipidami) 1415
Zgodny
Injekcje Tobramycin sulfate 5 mg/ml
Injekcje Doripenem 5 mg/ml
Glukoza 5% 2262
Zgodny
Injekcje Tobramycin sulfate 0,05 mg/ml
Odżywianie pozajelitowe (mieszanina binarny) 4445
Zgodny
Injekcje Tobramycin sulfate 5 mg/ml
Injekcje Doripenem 5 mg/ml
Chlorek sodu 0,9% 2262
Zgodny
Injekcje Tobramycin sulfate 5 mg/ml
Injekcje Doxorubicin hydrochloride liposome peg 0.4 mg/ml
Glukoza 5% 251
Zgodny
Injekcje Tobramycin sulfate 5 mg/ml
Injekcje Eravacycline 0,6 mg/ml
Chlorek sodu 0,9% 4434
Zgodny
Injekcje Tobramycin sulfate 5 mg/ml
Injekcje Fenoldopam mesylate 80 µg/ml
Chlorek sodu 0,9% 1803
Zgodny
Injekcje Tobramycin sulfate 10 mg/ml
Injekcje Fentanyl citrate 50 µg/ml
Glukoza 5% 63
Zgodny
Injekcje Tobramycin sulfate 10 & 40 mg/ml
Odżywianie pozajelitowe (mieszanina binarny) 999
Zgodny
Injekcje Tobramycin sulfate 0.8 mg/ml
Injekcje Enalaprilate 0.05 mg/ml
Chlorek sodu 0,9% 1315
Nieokreślona niezgodność Niekompatybilny
Injekcje Tobramycin sulfate
Injekcje Erythromycin lactobionate
3674
Zgodny
Injekcje Tobramycin sulfate 0.8 mg/ml
Injekcje Esmolol hydrochloride 10 mg/ml
Glukoza 5% 384
Zgodny
Injekcje Tobramycin sulfate 1.6 mg/ml
Injekcje Filgrastim 40 µg/ml
Glukoza 5% 104
Zgodny
Injekcje Tobramycin sulfate 5 mg/ml
Odżywianie pozajelitowe (mieszanina binarny) 301
Zgodny
Injekcje Tobramycin sulfate 5 mg/ml
Injekcje Etoposide phosphate 5 mg/ml
Glukoza 5% 1410
Zgodny
Injekcje Tobramycin sulfate 5 mg/ml
Injekcje Filgrastim 30 µg/ml
Glukoza 5% 244
Zgodny
Injekcje Tobramycin sulfate 40 mg/ml
Roztwór Ringera z mleczanem sodowym 4603
Natychmiastowe opady Niekompatybilny
Injekcje Tobramycin sulfate
Injekcje Flucloxacillin sodium
3522
Opady po 7 godzinach Niekompatybilny
Injekcje Tobramycin sulfate 8 mg/ml
Injekcje Flucloxacillin sodium 20 mg/ml
Chlorek sodu 0,9% 1232
Zgodny
Injekcje Tobramycin sulfate 40 mg/ml
Injekcje Fluconazole 2 mg/ml
Chlorek sodu 0,9% 496
Zgodny
Injekcje Tobramycin sulfate 5 mg/ml
Injekcje Fludarabine phosphate 1 mg/ml
Glukoza 5% 492
Zgodny
Injekcje Tobramycin sulfate 40 mg/ml
Injekcje Foscarnet sodium 24 mg/ml
Żaden 73
Zgodny
Injekcje Tobramycin sulfate 5 mg/ml
Injekcje Fosfomycin 30 mg/ml
Glukoza 5% 4055
Opady po 7 godzinach Niekompatybilny
Injekcje Tobramycin sulfate 8 mg/ml
Injekcje Furosemide 1 mg/ml
Chlorek sodu 0,9% 1232
Natychmiastowe opady Niekompatybilny
Injekcje Tobramycin sulfate 1,6 mg/ml
Injekcje Furosemide 0,8 mg/ml
Glukoza 5% 367
Natychmiastowe opady Niekompatybilny
Injekcje Tobramycin sulfate 1,6 mg/ml
Injekcje Furosemide 0,8 mg/ml
Chlorek sodu 0,9% 367
Nieokreślona niezgodność Niekompatybilny
Injekcje Tobramycin sulfate 0.8 mg/ml
Injekcje Heparin sodium 50 UI/ml
Żaden 317
Nieokreślona niezgodność Niekompatybilny
Injekcje Tobramycin sulfate
Injekcje Heparin sodium
3540
Zgodny
Injekcje Tobramycin sulfate
Glukoza 5% 5086
Zgodny
Injekcje Tobramycin sulfate 5 mg/ml
Injekcje Fosfomycin 30 mg/ml
Chlorek sodu 0,9% 4055
Zgodny
Injekcje Tobramycin sulfate 5 mg/ml
Injekcje Gemcitabine hydrochloride 10 mg/ml
Chlorek sodu 0,9% 1423
Zgodny
Injekcje Tobramycin sulfate 5 mg/ml
Injekcje Granisetron hydrochloride 0.05 mg/ml
Glukoza 5% 182
Zgodny
Injekcje Tobramycin sulfate 5 mg/ml
Injekcje Hetastarch 60 mg/ml
danego rozpuszczalnika 1721
Natychmiastowe opady Niekompatybilny
Injekcje Tobramycin sulfate 0.8 mg/ml
Injekcje Hetastarch 60 mg/ml
Chlorek sodu 0,9% 472
Zgodny
Injekcje Tobramycin sulfate 0.8 mg/ml
Injekcje Hydromorphone hydrochloride 0.2 mg/ml
Glukoza 5% 405
Opad po 15 minutach Niekompatybilny
Injekcje Tobramycin sulfate 1 mg/ml
Injekcje Indomethacin sodium trihydrate 0,5 & 1 mg/ml
Glukoza 5% 1745
Natychmiastowe opady Niekompatybilny
Injekcje Tobramycin sulfate 1 mg/ml
Injekcje Indomethacin sodium trihydrate 0,5 & 1 mg/ml
Glukoza 5% 494
Zgodny
Injekcje Tobramycin sulfate 1.6 & 2 mg/ml
Injekcje Insulin 0.2 UI/ml
Chlorek sodu 0,9% 129
Zgodny
Injekcje Tobramycin sulfate 5 mg/ml
Injekcje Isavuconazonium sulfate 1.5 mg/ml
Glukoza 5% 3829
Zgodny
Injekcje Tobramycin sulfate 5 mg/ml
Injekcje Isavuconazonium sulfate 1.5 mg/ml
Chlorek sodu 0,9% 3829
Zgodny
Injekcje Tobramycin sulfate 40 mg/ml
Injekcje Ketamine hydrochloride 50 mg/ml
2109
Zgodny
Injekcje Tobramycin sulfate 0.8 mg/ml
Injekcje Labetalol hydrochloride 1 mg/ml
Glukoza 5% 386
Zmiana koloru po 4 godzinach Niekompatybilny
Injekcje Tobramycin sulfate 5 mg/ml
Injekcje Lansoprazole 0.55 mg/ml
Chlorek sodu 0,9% 1625
Zgodny
Injekcje Tobramycin sulfate 5 mg/ml
Injekcje Linezolid 2 mg/ml
Żaden 1925
Zgodny
Injekcje Tobramycin sulfate 0,80 mg/ml
Injekcje Linezolid 1,80 mg/ml
2353
Zgodny
Injekcje Tobramycin sulfate 0.8 mg/ml
Injekcje Magnesium sulfate 16.67 >> 100 mg/ml
Glukoza 5% 1047
Zgodny
Injekcje Tobramycin sulfate 5 mg/ml
Injekcje Melphalan 0.1 mg/ml
Chlorek sodu 0,9% 169
Zgodny
Injekcje Tobramycin sulfate 40 mg/ml
Injekcje Meropenem 50 mg/ml
Woda do wstrzyknięć 4319
Zgodny
Injekcje Tobramycin sulfate 40 mg/ml
Injekcje Meropenem 50 mg/ml
4389
Zgodny
Injekcje Tobramycin sulfate 0.8 mg/ml
Injekcje Metronidazole 5 mg/ml
Żaden 1035
Zgodny
Injekcje Tobramycin sulfate
Injekcje Metronidazole
3594
Zgodny
Injekcje Tobramycin sulfate 10 mg/ml
Injekcje Midazolam hydrochloride 1 mg/ml
Glukoza 5% 176
Zgodny
Injekcje Tobramycin sulfate 1.6 >> 2.4 mg/ml
Injekcje Morphine sulfate 1 mg/ml
Chlorek sodu 0,9% 406
Zgodny
Injekcje Tobramycin sulfate 0.8 mg/ml
Injekcje Morphine sulfate 1 mg/ml
Glukoza 5% 405
Zgodny
Injekcje Tobramycin sulfate 40 mg/ml
Injekcje Naloxone hydrochloride 0.4 mg/ml
Żaden 3408
Zgodny
Injekcje Tobramycin sulfate 0.8 mg/ml
Injekcje Nicardipine hydrochloride 0.1 mg/ml
Chlorek sodu 0,9% 1490
Zgodny
Injekcje Tobramycin sulfate 0.8 mg/ml
Injekcje Nicardipine hydrochloride 0.1 mg/ml
Glukoza 5% 1490
Zgodny
Injekcje Tobramycin sulfate 0,8 mg/ml
Injekcje Ofloxacin 2 mg/ml
Żaden 889
Zgodny
Injekcje Tobramycin sulfate 5 mg/ml
Injekcje Oritavancin 0.8 >>2 mg/ml
Glukoza 5% 3152
Natychmiastowe opady Niekompatybilny
Injekcje Tobramycin sulfate
Injekcje Pantoprazole sodium
2090
Zgodny
Injekcje Tobramycin sulfate 40 mg/ml
Injekcje Paracetamol 10 mg/ml
4742
Natychmiastowe opady Niekompatybilny
Injekcje Tobramycin sulfate 5 mg/ml
Injekcje Pemetrexed disodium 20 mg/ml
Chlorek sodu 0,9% 1953
Zgodny
Injekcje Tobramycin sulfate 0.8 mg/ml
Injekcje Pethidine hydrochloride 10 mg/ml
Glukoza 5% 405
Zgodny
Injekcje Tobramycin sulfate 1.6 >> 2.4 mg/ml
Injekcje Pethidine hydrochloride 10 mg/ml
Chlorek sodu 0,9% 406
Niestabilność chemiczna Niekompatybilny
Injekcje Tobramycin sulfate
Injekcje Piperacillin sodium
1168
Niestabilność chemiczna Niekompatybilny
Injekcje Tobramycin sulfate
Injekcje Piperacillin sodium / tazobactam
3586
Natychmiastowa niestabilność emulsji Niekompatybilny
Injekcje Tobramycin sulfate 2 mg/ml
Injekcje Propofol
660
Natychmiastowe opady Niekompatybilny
Injekcje Tobramycin sulfate 5 mg/ml
Injekcje Propofol 10 mg/ml
Żaden 300
Zgodny
Injekcje Tobramycin sulfate 5 mg/ml
Injekcje Remifentanil hydrochloride 25 & 250 µg/ml
Chlorek sodu 0,9% 59
Natychmiastowe opady Niekompatybilny
Injekcje Tobramycin sulfate 40 mg/ml
Injekcje Salbutamol sulfate 1 mg/ml
Żaden 3216
Opady po 4 godzinach Niekompatybilny
Injekcje Tobramycin sulfate 5 mg/ml
Injekcje Sargramostim 10 µg/ml
Chlorek sodu 0,9% 335
Zgodny
Injekcje Tobramycin sulfate 2,4 mg/ml
Injekcje Sodium bicarbonate 40 mg/ml
Żaden 3122
Zgodny
Injekcje Tobramycin sulfate 5 mg/ml
Injekcje Sulbactam/durlobactam 15/15 mg/ml
Chlorek sodu 0,9% 4801
Zgodny
Injekcje Tobramycin sulfate 40 mg/ml
Injekcje Tacrolimus 1000 µg/ml
Chlorek sodu 0,9% 479
Natychmiastowe zmętnienie Niekompatybilny
Injekcje Tobramycin sulfate 5 mg/ml
Injekcje Tedizolid phosphate 0.8 mg/ml
Chlorek sodu 0,9% 3827
Nieokreślona niezgodność Niekompatybilny
Injekcje Tobramycin sulfate
Injekcje Teicoplanine
3656
Zgodny
Injekcje Tobramycin sulfate 5 mg/ml
Injekcje Telavancin hydrochloride 7.5 mg/ml
Chlorek sodu 0,9% 3254
Zgodny
Injekcje Tobramycin sulfate 5 mg/ml
Injekcje Telavancin hydrochloride 7.5 mg/ml
Glukoza 5% 3254
Zgodny
Injekcje Tobramycin sulfate 6 mg/ml
Injekcje Temocilline 83.33 mg/ml
Woda do wstrzyknięć 2231
Nieokreślona niezgodność Niekompatybilny
Injekcje Tobramycin sulfate
Injekcje Temocilline
2296
Zgodny
Injekcje Tobramycin sulfate 5 mg/ml
Injekcje Teniposide 0.1 mg/ml
Glukoza 5% 905
Zgodny
Injekcje Tobramycin sulfate 0.8 mg/ml
Injekcje Theophylline 4 mg/ml
Żaden 317
Natychmiastowe opady Niekompatybilny
Injekcje Tobramycin sulfate 40 mg/ml
Injekcje Thiopental sodium 25 mg/ml
Chlorek sodu 0,9% 3767
Zgodny
Injekcje Tobramycin sulfate 5 mg/ml
Injekcje Thiotepa 1 mg/ml
Glukoza 5% 249
Zgodny
Injekcje Tobramycin sulfate
Chlorek sodu 0,9% 5086
Niestabilność chemiczna Niekompatybilny
Injekcje Tobramycin sulfate
Injekcje Ticarcillin / clavulanic acid
3587
Zgodny
Injekcje Tobramycin sulfate
Injekcje Tigecycline
Chlorek sodu 0,9% 3332
Zgodny
Injekcje Tobramycin sulfate 6 mg/ml
Injekcje Vancomycin hydrochloride 10 mg/ml
Glukoza 5% 3385
Zgodny
Injekcje Tobramycin sulfate 0.16 mg/ml
Injekcje Verapamil hydrochloride 0.08 mg/ml
Chlorek sodu 0,9% 1057
Zgodny
Injekcje Tobramycin sulfate 0.16 mg/ml
Injekcje Verapamil hydrochloride 0.08 mg/ml
Glukoza 5% 1057
Zgodny
Injekcje Tobramycin sulfate 5 mg/ml
Injekcje Vinorelbine tartrate 1 mg/ml
Chlorek sodu 0,9% 84
Zgodny
Injekcje Tobramycin sulfate 2 mg/ml
Injekcje Zidovudine 4 mg/ml
Glukoza 5% 337

  Mentions Légales