Letztes “update” :
17/12/2025
Antibiotikum   Tobramycin sulfate  
Injektion
Aerosol Augentropfen Lösung zum Einnehmen
Stabilität der Lösung Gemengestabilität Stabilitätbeeinflussende Faktoren Kompatibilitäten Applikationsart Literaturverzeichnis pdf
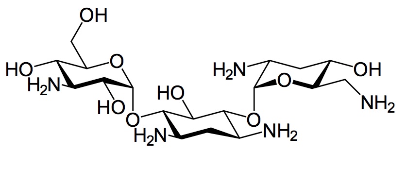
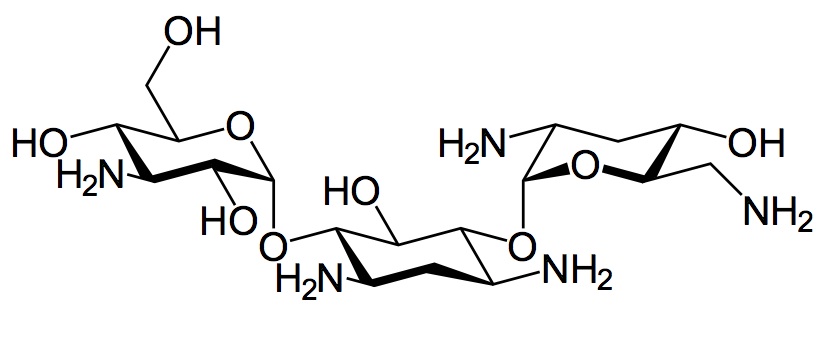
   Chemische Struktur  

Handelsmarke   Handelsmarke     

Handelsnamen sind als beispielhaft anzusehen. Sonstige Bestandteile können je nach Hersteller oder Land verschieden sein

Bactob Indien
Beltob Indien
Bramicil Italien
Brulamycin Malaysia, Slowenien, Ungarn
Eltol Indien
Fytobra Indien
Gernebcin Deutschland
Komitob Indien
Nebcin Ägypten, Griechenland, Großbritannien, Neuseeland, Saudi-Arabien, Vereinigte Arabische Emirate
Nebcina Dänemark, Marokko, Norwegen, Schweden
Nebcine Frankreich, Marokko, Slowenien
Nebicina Italien
Obracin Belgien, Luxemburg, Niederlande, Schweiz
Tobracin Ägypten, Brasilien, Saudi-Arabien
Tobramicina Argentinien, Brasilien, Chile, Ecuador, Italien, Kolumbien, Portugal, Spanien
Tobramina Brasilien
Tobramycin Australien, Deutschland, Großbritannien, Irland, Kanada, Norwegen, Saudi-Arabien, Vereinigte Staaten von Amerika
Tobramycine Frankreich, Irland, Niederlande
Tobrasix Österreich
Tobrazid Deutschland

Stabilitätbeeinflussende Faktoren   Injektion   Stabilitätbeeinflussende Faktoren : Tobramycin sulfate        
Keine Daten

  Mentions Légales