viimane versioon :
27/04/2026
antibiootikum   Tobramycin sulfate  
Süsteravim
aerosool Silmatilgad suukaudne lahus
Stabiilsus lahustes Stabiilsust mõjutavad tegurid stabiilsust mõjutavad faktorid Sobimatus Manustamis viis Viited pdf
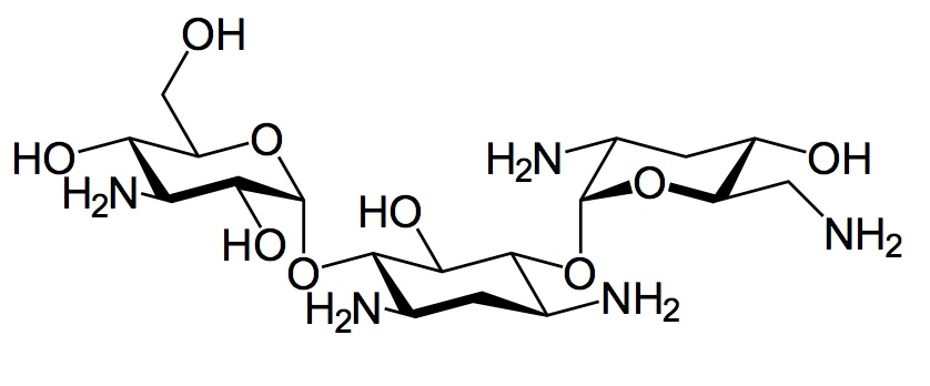
   keemiline struktuur  

Kaubanduslikud nimed erinevates maades   Kaubanduslikud nimed erinevates maades     

Preparaatide nimed on näitlikud ja abianete sisaldus võib erineda sõltuvalt riigist ja laborist

Bactob India
Beltob India
Bramicil Itaalia
Brulamycin Malaisia, Sloveenia, Ungari
Eltol India
Fytobra India
Gernebcin Saksamaa
Komitob India
Nebcin Araabia Ühendemiraadid, Egiptus, Kreeka, Saudi Araabia, Suurbritannia, uus-Meremaa
Nebcina Maroko, Norra, Rootsi, Taani
Nebcine Maroko, Prantsusmaa, Sloveenia
Nebicina Itaalia
Obracin Belgia, Holland, Luksemburg, Sveits
Tobracin Brasiilia, Egiptus, Saudi Araabia
Tobramicina Argentiina, Brasiilia, Ecuador, Hispaania, Itaalia, Kolumbia, Portugal, Tšiili
Tobramina Brasiilia
Tobramycin Ameerika ühendriigid, Austraalia, Iirimaa, Kanada, Norra, Saksamaa, Saudi Araabia, Suurbritannia
Tobramycine Holland, Iirimaa, Prantsusmaa
Tobrasix Austria
Tobrazid Saksamaa
Sobimatus   Süsteravim   Sobimatus : Tobramycin sulfate              
Sellel lehel kuvatakse sobimatusi ja sobimatuse tüüpi (sadenemine, värvuse muutus, emulsiooni modifitseerumine jne). Enamasti on siin lehel kuvatud füüsikalised sobimatused, kuna molekulide keemilist stabiilsust hinnatakse harva. Hinnatud on segude sobivust Y-liinis. Antud infot ei saa kasutada ravimite sobivuse hindamiseks juhul, kui ravimid on segatud süstaldes või infusioonikottides. See info on lehel « stabiilsus segudes ».
ingredient lahusti Viited
Ühilduv
Süsteravim Tobramycin sulfate 1.6 mg/ml
Süsteravim Aciclovir sodium 5 mg/ml
glükoos 5% 336
Sade 1 tunni pärast Sobimatu
Süsteravim Tobramycin sulfate 5 mg/ml
Süsteravim Allopurinol sodium 3 mg/ml
naatriumkloriid 0.9% 307
Ühilduv
Süsteravim Tobramycin sulfate 1 mg/ml
Süsteravim Alprostadil 15 µg/ml
3201
Ühilduv
Süsteravim Tobramycin sulfate 5 mg/ml
Süsteravim Amifostine 10 mg/ml
glükoos 5% 3
Ühilduv
Süsteravim Tobramycin sulfate 5 mg/ml
Süsteravim Amiodarone hydrochloride 6 mg/ml
glükoos 5% 1611
Ühilduv
Süsteravim Tobramycin sulfate 0.8 mg/ml
Süsteravim Amiodarone hydrochloride 4 mg/ml
naatriumkloriid 0.9% 385
Ühilduv
Süsteravim Tobramycin sulfate 0.8 mg/ml
Süsteravim Amiodarone hydrochloride 4 mg/ml
glükoos 5% 385
Keemiline ebastabiilsus Sobimatu
Süsteravim Tobramycin sulfate
Süsteravim Amoxicillin sodium
3527
Täpsustamata sobimatus Sobimatu
Süsteravim Tobramycin sulfate
Süsteravim Amoxicillin sodium / clavulanic acid
3545
Ühilduv
Süsteravim Tobramycin sulfate 40 mg/ml
Süsteravim Amoxicillin sodium / clavulanic acid 100/10 mg/ml
3824
Kohene sade Sobimatu
Süsteravim Tobramycin sulfate 5 mg/ml
Süsteravim Amphotericin B cholesteryl sulfate complex 0.83 mg/ml
glükoos 5% 921
Ühilduv
Süsteravim Tobramycin sulfate 5 mg/ml
Süsteravim Amsacrine 1 mg/ml
glükoos 5% 253
Ühilduv
Süsteravim Tobramycin sulfate 5 mg/ml
Süsteravim Anidulafungin 0.5 mg/ml
glükoos 5% 1982
Kohene sade Sobimatu
Süsteravim Tobramycin sulfate 21 mg/ml
Süsteravim Azithromycine 2 mg/ml
naatriumkloriid 0.9% 1800
Ühilduv
Süsteravim Tobramycin sulfate 0.2 & 0.8 mg/ml
Süsteravim Aztreonam 10 & 20 mg/ml
glükoos 5% 19
Ühilduv
Süsteravim Tobramycin sulfate 0.2 & 0.8 mg/ml
Süsteravim Aztreonam 10 & 20 mg/ml
naatriumkloriid 0.9% 19
Ühilduv
Süsteravim Tobramycin sulfate 5 mg/ml
Süsteravim Aztreonam 40 mg/ml
glükoos 5% 99
Ühilduv
Süsteravim Tobramycin sulfate 5 mg/ml
Süsteravim Bivalirudin 5 mg/ml
glükoos 5% 1713
Ühilduv
Süsteravim Tobramycin sulfate 40 mg/ml
Süsteravim Caffeine 10 mg/ml
mitte ükski 3964
Sobimatu
Süsteravim Tobramycin sulfate
Süsteravim Calcium gluconate
4964
Täpsustamata sobimatus Sobimatu
Süsteravim Tobramycin sulfate
Süsteravim Calcium gluconate
3644
Ühilduv
Süsteravim Tobramycin sulfate 1 mg/ml
Süsteravim Calcium gluconate 33 mg/ml
glükoos 5% 503
Ühilduv
Süsteravim Tobramycin sulfate 5 mg/ml
Süsteravim Calcium gluconate 16 mg/ml
glükoos 5% 503
Ühilduv
Süsteravim Tobramycin sulfate 5 mg/ml
Süsteravim Caspofungin acetate 0,7 mg/ml
naatriumkloriid 0.9% 2247
Kohene sade Sobimatu
Süsteravim Tobramycin sulfate
Süsteravim Cefamandole nafate 2 >> 100 mg/ml
naatriumkloriid 0.9% 612
Kohene sade Sobimatu
Süsteravim Tobramycin sulfate
Süsteravim Cefamandole nafate 2 >> 100 mg/ml
glükoos 5% 612
Täpsustamata sobimatus Sobimatu
Süsteravim Tobramycin sulfate
Süsteravim Cefamandole nafate
3546
Ühilduv
Süsteravim Tobramycin sulfate 6 mg/ml
Süsteravim Cefepime dihydrochloride 125 mg/ml
süstevesi 2141
Täpsustamata sobimatus Sobimatu
Süsteravim Tobramycin sulfate
Süsteravim Cefepime dihydrochloride
3548
Kohene sade Sobimatu
Süsteravim Tobramycin sulfate 10 mg/ml
Süsteravim Cefiderocol sulfate tosylate 20 mg/mL
glükoos 5% 4528
Kohene sade Sobimatu
Süsteravim Tobramycin sulfate 10 mg/ml
Süsteravim Cefiderocol sulfate tosylate 20 mg/mL
naatriumkloriid 0.9% 4528
Kohene sade Sobimatu
Süsteravim Tobramycin sulfate 0.8 mg/ml
Süsteravim Cefoperazone sodium 10 & 40 mg/ml
glükoos 5% 1206
Täpsustamata sobimatus Sobimatu
Süsteravim Tobramycin sulfate
Süsteravim Cefoperazone sodium
3544
Täpsustamata sobimatus Sobimatu
Süsteravim Tobramycin sulfate
Süsteravim Cefpirome sulfate
3677
Ühilduv
Süsteravim Tobramycin sulfate 5 mg/ml
Süsteravim Ceftaroline fosamil 2,22 mg/ml
naatriumkloriid 0.9% 3249
Ühilduv
Süsteravim Tobramycin sulfate 5 mg/ml
Süsteravim Ceftaroline fosamil 2,22 mg/ml
glükoos 5% 3249
Ühilduv
Süsteravim Tobramycin sulfate 5 mg/ml
Süsteravim Ceftaroline fosamil 2,22 mg/ml
Ringer laktaat 3249
Ühilduv
Süsteravim Tobramycin sulfate 6 mg/ml
Süsteravim Ceftazidime 83.3 mg/ml
1759
Täpsustamata sobimatus Sobimatu
Süsteravim Tobramycin sulfate
Süsteravim Ceftazidime
3543
Ühilduv
Süsteravim Tobramycin sulfate 0.008 mg/ml
Süsteravim Ceftazidime 0.125 mg/ml
Dianéal® PD2 2.5% glucose (Baxter) 2369
Täpsustamata sobimatus Sobimatu
Süsteravim Tobramycin sulfate
Süsteravim Ceftazidime
3883
Ühilduv
Süsteravim Tobramycin sulfate 6 mg/ml
Süsteravim Ceftazidime 125 mg/ml
süstevesi 2141
Kohene sade Sobimatu
Süsteravim Tobramycin sulfate 5 mg/ml
Süsteravim Ceftobiprole medocaril sodium 2 mg/ml
Ringer laktaat 2269
Täpsustamata sobimatus Sobimatu
Süsteravim Tobramycin sulfate
Süsteravim Ceftobiprole medocaril sodium
4650
Kohene sade Sobimatu
Süsteravim Tobramycin sulfate 5 mg/ml
Süsteravim Ceftobiprole medocaril sodium 2 mg/ml
glükoos 5% 2269
Kohene sade Sobimatu
Süsteravim Tobramycin sulfate 5 mg/ml
Süsteravim Ceftobiprole medocaril sodium 2 mg/ml
naatriumkloriid 0.9% 2269
Ühilduv
Süsteravim Tobramycin sulfate 5 mg/ml
Süsteravim Ceftolozane / tazobactam 10/5 mg/ml
glükoos 5% 3828
Ühilduv
Süsteravim Tobramycin sulfate 5 mg/ml
Süsteravim Ceftolozane / tazobactam 10/5 mg/ml
naatriumkloriid 0.9% 3828
Täpsustamata sobimatus Sobimatu
Süsteravim Tobramycin sulfate
Süsteravim Ceftriaxone disodium
3523
Täpsustamata sobimatus Sobimatu
Süsteravim Tobramycin sulfate
Süsteravim Cefuroxime sodium
3687
Ühilduv
Süsteravim Tobramycin sulfate 1.6 mg/ml
Süsteravim Ciprofloxacin lactate 2 mg/ml
glükoos 5% 285
Ühilduv
Süsteravim Tobramycin sulfate 1 mg/ml
Süsteravim Ciprofloxacin lactate 1.5 mg/ml
glükoos 5% 434
Ühilduv
Süsteravim Tobramycin sulfate 1 mg/ml
Süsteravim Ciprofloxacin lactate 1.5 mg/ml
naatriumkloriid 0.9% 434
Ühilduv
Süsteravim Tobramycin sulfate 1,6 mg/ml
Süsteravim Ciprofloxacin lactate 1 mg/ml
glükoos 5% 500
Ühilduv
Süsteravim Tobramycin sulfate 1,6 mg/ml
Süsteravim Ciprofloxacin lactate 1 mg/ml
naatriumkloriid 0.9% 500
Ühilduv
Süsteravim Tobramycin sulfate 5 mg/ml
Süsteravim Cisatracurium besylate 0.1 >> 5 mg/ml
glükoos 5% 299
Keemiline ebastabiilsus Sobimatu
Süsteravim Tobramycin sulfate
Süsteravim Cisplatin
3578
Ühilduv
Süsteravim Tobramycin sulfate
Süsteravim Clindamycin phosphate
glükoos 5% 3526
Ühilduv
Süsteravim Tobramycin sulfate
Süsteravim Clindamycin phosphate
naatriumkloriid 0.9% 3526
Kohene sade Sobimatu
Süsteravim Tobramycin sulfate 12 mg/ml
Süsteravim Clindamycin phosphate 90 mg/ml
naatriumkloriid 0.9% 639
Kohene sade Sobimatu
Süsteravim Tobramycin sulfate 40 mg/ml
Süsteravim Cloxacillin sodium 100 mg/ml
süstevesi 3012
Kohene sade Sobimatu
Süsteravim Tobramycin sulfate 10 mg/ml
Süsteravim Defibrotide 8 mg/ml
naatriumkloriid 0.9% 3728
Ühilduv
Süsteravim Tobramycin sulfate 5 mg/ml
Süsteravim Dexmedetomidine 4 µg/ml
naatriumkloriid 0.9% 1712
Ühilduv
Süsteravim Tobramycin sulfate 2.4 & 40 mg/ml
Süsteravim Diltiazem hydrochloride 5 mg/ml
naatriumkloriid 0.9% 198
Ühilduv
Süsteravim Tobramycin sulfate
Süsteravim Dimenhydrinate
2087
Ühilduv
Süsteravim Tobramycin sulfate 5 mg/ml
Süsteravim Docetaxel 0.9 mg/ml
glükoos 5% 1754
Ühilduv
Süsteravim Tobramycin sulfate 40 mg/ml
Parenteraalse toitmise (lipiidide) 673
Ühilduv
Süsteravim Tobramycin sulfate 10 mg/ml
Parenteraalse toitmise (lipiide tasuta) 316
Ühilduv
Süsteravim Tobramycin sulfate 5 mg/ml
Parenteraalse toitmise (lipiidide) 1415
Ühilduv
Süsteravim Tobramycin sulfate 5 mg/ml
Süsteravim Doripenem 5 mg/ml
glükoos 5% 2262
Ühilduv
Süsteravim Tobramycin sulfate 0,05 mg/ml
Parenteraalse toitmise (lipiide tasuta) 4445
Ühilduv
Süsteravim Tobramycin sulfate 5 mg/ml
Süsteravim Doripenem 5 mg/ml
naatriumkloriid 0.9% 2262
Ühilduv
Süsteravim Tobramycin sulfate 5 mg/ml
Süsteravim Doxorubicin hydrochloride liposome peg 0.4 mg/ml
glükoos 5% 251
Ühilduv
Süsteravim Tobramycin sulfate 5 mg/ml
Süsteravim Eravacycline 0,6 mg/ml
naatriumkloriid 0.9% 4434
Ühilduv
Süsteravim Tobramycin sulfate 5 mg/ml
Süsteravim Fenoldopam mesylate 80 µg/ml
naatriumkloriid 0.9% 1803
Ühilduv
Süsteravim Tobramycin sulfate 10 mg/ml
Süsteravim Fentanyl citrate 50 µg/ml
glükoos 5% 63
Ühilduv
Süsteravim Tobramycin sulfate 10 & 40 mg/ml
Parenteraalse toitmise (lipiide tasuta) 999
Ühilduv
Süsteravim Tobramycin sulfate 0.8 mg/ml
Süsteravim Enalaprilate 0.05 mg/ml
naatriumkloriid 0.9% 1315
Täpsustamata sobimatus Sobimatu
Süsteravim Tobramycin sulfate
Süsteravim Erythromycin lactobionate
3674
Ühilduv
Süsteravim Tobramycin sulfate 0.8 mg/ml
Süsteravim Esmolol hydrochloride 10 mg/ml
glükoos 5% 384
Ühilduv
Süsteravim Tobramycin sulfate 1.6 mg/ml
Süsteravim Filgrastim 40 µg/ml
glükoos 5% 104
Ühilduv
Süsteravim Tobramycin sulfate 5 mg/ml
Parenteraalse toitmise (lipiide tasuta) 301
Ühilduv
Süsteravim Tobramycin sulfate 5 mg/ml
Süsteravim Etoposide phosphate 5 mg/ml
glükoos 5% 1410
Ühilduv
Süsteravim Tobramycin sulfate 5 mg/ml
Süsteravim Filgrastim 30 µg/ml
glükoos 5% 244
Ühilduv
Süsteravim Tobramycin sulfate 40 mg/ml
Ringer laktaat 4603
Kohene sade Sobimatu
Süsteravim Tobramycin sulfate
Süsteravim Flucloxacillin sodium
3522
Sade 7 tunni pärast Sobimatu
Süsteravim Tobramycin sulfate 8 mg/ml
Süsteravim Flucloxacillin sodium 20 mg/ml
naatriumkloriid 0.9% 1232
Ühilduv
Süsteravim Tobramycin sulfate 40 mg/ml
Süsteravim Fluconazole 2 mg/ml
naatriumkloriid 0.9% 496
Ühilduv
Süsteravim Tobramycin sulfate 5 mg/ml
Süsteravim Fludarabine phosphate 1 mg/ml
glükoos 5% 492
Ühilduv
Süsteravim Tobramycin sulfate 40 mg/ml
Süsteravim Foscarnet sodium 24 mg/ml
mitte ükski 73
Ühilduv
Süsteravim Tobramycin sulfate 5 mg/ml
Süsteravim Fosfomycin 30 mg/ml
glükoos 5% 4055
Sade 7 tunni pärast Sobimatu
Süsteravim Tobramycin sulfate 8 mg/ml
Süsteravim Furosemide 1 mg/ml
naatriumkloriid 0.9% 1232
Kohene sade Sobimatu
Süsteravim Tobramycin sulfate 1,6 mg/ml
Süsteravim Furosemide 0,8 mg/ml
glükoos 5% 367
Kohene sade Sobimatu
Süsteravim Tobramycin sulfate 1,6 mg/ml
Süsteravim Furosemide 0,8 mg/ml
naatriumkloriid 0.9% 367
Täpsustamata sobimatus Sobimatu
Süsteravim Tobramycin sulfate 0.8 mg/ml
Süsteravim Heparin sodium 50 UI/ml
mitte ükski 317
Täpsustamata sobimatus Sobimatu
Süsteravim Tobramycin sulfate
Süsteravim Heparin sodium
3540
Ühilduv
Süsteravim Tobramycin sulfate
glükoos 5% 5086
Ühilduv
Süsteravim Tobramycin sulfate 5 mg/ml
Süsteravim Fosfomycin 30 mg/ml
naatriumkloriid 0.9% 4055
Ühilduv
Süsteravim Tobramycin sulfate 5 mg/ml
Süsteravim Gemcitabine hydrochloride 10 mg/ml
naatriumkloriid 0.9% 1423
Ühilduv
Süsteravim Tobramycin sulfate 5 mg/ml
Süsteravim Granisetron hydrochloride 0.05 mg/ml
glükoos 5% 182
Ühilduv
Süsteravim Tobramycin sulfate 5 mg/ml
Süsteravim Hetastarch 60 mg/ml
konkreetsed lahusti 1721
Kohene sade Sobimatu
Süsteravim Tobramycin sulfate 0.8 mg/ml
Süsteravim Hetastarch 60 mg/ml
naatriumkloriid 0.9% 472
Ühilduv
Süsteravim Tobramycin sulfate 0.8 mg/ml
Süsteravim Hydromorphone hydrochloride 0.2 mg/ml
glükoos 5% 405
Sademed 15 minuti pärast Sobimatu
Süsteravim Tobramycin sulfate 1 mg/ml
Süsteravim Indomethacin sodium trihydrate 0,5 & 1 mg/ml
glükoos 5% 1745
Kohene sade Sobimatu
Süsteravim Tobramycin sulfate 1 mg/ml
Süsteravim Indomethacin sodium trihydrate 0,5 & 1 mg/ml
glükoos 5% 494
Ühilduv
Süsteravim Tobramycin sulfate 1.6 & 2 mg/ml
Süsteravim Insulin 0.2 UI/ml
naatriumkloriid 0.9% 129
Ühilduv
Süsteravim Tobramycin sulfate 5 mg/ml
Süsteravim Isavuconazonium sulfate 1.5 mg/ml
glükoos 5% 3829
Ühilduv
Süsteravim Tobramycin sulfate 5 mg/ml
Süsteravim Isavuconazonium sulfate 1.5 mg/ml
naatriumkloriid 0.9% 3829
Ühilduv
Süsteravim Tobramycin sulfate 40 mg/ml
Süsteravim Ketamine hydrochloride 50 mg/ml
2109
Ühilduv
Süsteravim Tobramycin sulfate 0.8 mg/ml
Süsteravim Labetalol hydrochloride 1 mg/ml
glükoos 5% 386
Värvi muutus 4 tunni pärast Sobimatu
Süsteravim Tobramycin sulfate 5 mg/ml
Süsteravim Lansoprazole 0.55 mg/ml
naatriumkloriid 0.9% 1625
Ühilduv
Süsteravim Tobramycin sulfate 5 mg/ml
Süsteravim Linezolid 2 mg/ml
mitte ükski 1925
Ühilduv
Süsteravim Tobramycin sulfate 0,80 mg/ml
Süsteravim Linezolid 1,80 mg/ml
2353
Ühilduv
Süsteravim Tobramycin sulfate 0.8 mg/ml
Süsteravim Magnesium sulfate 16.67 >> 100 mg/ml
glükoos 5% 1047
Ühilduv
Süsteravim Tobramycin sulfate 5 mg/ml
Süsteravim Melphalan 0.1 mg/ml
naatriumkloriid 0.9% 169
Ühilduv
Süsteravim Tobramycin sulfate 40 mg/ml
Süsteravim Meropenem 50 mg/ml
süstevesi 4319
Ühilduv
Süsteravim Tobramycin sulfate 40 mg/ml
Süsteravim Meropenem 50 mg/ml
4389
Ühilduv
Süsteravim Tobramycin sulfate 0.8 mg/ml
Süsteravim Metronidazole 5 mg/ml
mitte ükski 1035
Ühilduv
Süsteravim Tobramycin sulfate
Süsteravim Metronidazole
3594
Ühilduv
Süsteravim Tobramycin sulfate 10 mg/ml
Süsteravim Midazolam hydrochloride 1 mg/ml
glükoos 5% 176
Ühilduv
Süsteravim Tobramycin sulfate 1.6 >> 2.4 mg/ml
Süsteravim Morphine sulfate 1 mg/ml
naatriumkloriid 0.9% 406
Ühilduv
Süsteravim Tobramycin sulfate 0.8 mg/ml
Süsteravim Morphine sulfate 1 mg/ml
glükoos 5% 405
Ühilduv
Süsteravim Tobramycin sulfate 40 mg/ml
Süsteravim Naloxone hydrochloride 0.4 mg/ml
mitte ükski 3408
Ühilduv
Süsteravim Tobramycin sulfate 0.8 mg/ml
Süsteravim Nicardipine hydrochloride 0.1 mg/ml
naatriumkloriid 0.9% 1490
Ühilduv
Süsteravim Tobramycin sulfate 0.8 mg/ml
Süsteravim Nicardipine hydrochloride 0.1 mg/ml
glükoos 5% 1490
Ühilduv
Süsteravim Tobramycin sulfate 0,8 mg/ml
Süsteravim Ofloxacin 2 mg/ml
mitte ükski 889
Ühilduv
Süsteravim Tobramycin sulfate 5 mg/ml
Süsteravim Oritavancin 0.8 >>2 mg/ml
glükoos 5% 3152
Kohene sade Sobimatu
Süsteravim Tobramycin sulfate
Süsteravim Pantoprazole sodium
2090
Ühilduv
Süsteravim Tobramycin sulfate 40 mg/ml
Süsteravim Paracetamol 10 mg/ml
4742
Kohene sade Sobimatu
Süsteravim Tobramycin sulfate 5 mg/ml
Süsteravim Pemetrexed disodium 20 mg/ml
naatriumkloriid 0.9% 1953
Ühilduv
Süsteravim Tobramycin sulfate 0.8 mg/ml
Süsteravim Pethidine hydrochloride 10 mg/ml
glükoos 5% 405
Ühilduv
Süsteravim Tobramycin sulfate 1.6 >> 2.4 mg/ml
Süsteravim Pethidine hydrochloride 10 mg/ml
naatriumkloriid 0.9% 406
Keemiline ebastabiilsus Sobimatu
Süsteravim Tobramycin sulfate
Süsteravim Piperacillin sodium
1168
Keemiline ebastabiilsus Sobimatu
Süsteravim Tobramycin sulfate
Süsteravim Piperacillin sodium / tazobactam
3586
Emulsiooni kohene ebastabiilsus Sobimatu
Süsteravim Tobramycin sulfate 2 mg/ml
Süsteravim Propofol
660
Kohene sade Sobimatu
Süsteravim Tobramycin sulfate 5 mg/ml
Süsteravim Propofol 10 mg/ml
mitte ükski 300
Ühilduv
Süsteravim Tobramycin sulfate 5 mg/ml
Süsteravim Remifentanil hydrochloride 25 & 250 µg/ml
naatriumkloriid 0.9% 59
Kohene sade Sobimatu
Süsteravim Tobramycin sulfate 40 mg/ml
Süsteravim Salbutamol sulfate 1 mg/ml
mitte ükski 3216
Sade 4 tunni pärast Sobimatu
Süsteravim Tobramycin sulfate 5 mg/ml
Süsteravim Sargramostim 10 µg/ml
naatriumkloriid 0.9% 335
Ühilduv
Süsteravim Tobramycin sulfate 2,4 mg/ml
Süsteravim Sodium bicarbonate 40 mg/ml
mitte ükski 3122
Ühilduv
Süsteravim Tobramycin sulfate 5 mg/ml
Süsteravim Sulbactam/durlobactam 15/15 mg/ml
naatriumkloriid 0.9% 4801
Ühilduv
Süsteravim Tobramycin sulfate 40 mg/ml
Süsteravim Tacrolimus 1000 µg/ml
naatriumkloriid 0.9% 479
Kohene hägusus Sobimatu
Süsteravim Tobramycin sulfate 5 mg/ml
Süsteravim Tedizolid phosphate 0.8 mg/ml
naatriumkloriid 0.9% 3827
Täpsustamata sobimatus Sobimatu
Süsteravim Tobramycin sulfate
Süsteravim Teicoplanine
3656
Ühilduv
Süsteravim Tobramycin sulfate 5 mg/ml
Süsteravim Telavancin hydrochloride 7.5 mg/ml
naatriumkloriid 0.9% 3254
Ühilduv
Süsteravim Tobramycin sulfate 5 mg/ml
Süsteravim Telavancin hydrochloride 7.5 mg/ml
glükoos 5% 3254
Ühilduv
Süsteravim Tobramycin sulfate 6 mg/ml
Süsteravim Temocilline 83.33 mg/ml
süstevesi 2231
Täpsustamata sobimatus Sobimatu
Süsteravim Tobramycin sulfate
Süsteravim Temocilline
2296
Ühilduv
Süsteravim Tobramycin sulfate 5 mg/ml
Süsteravim Teniposide 0.1 mg/ml
glükoos 5% 905
Ühilduv
Süsteravim Tobramycin sulfate 0.8 mg/ml
Süsteravim Theophylline 4 mg/ml
mitte ükski 317
Kohene sade Sobimatu
Süsteravim Tobramycin sulfate 40 mg/ml
Süsteravim Thiopental sodium 25 mg/ml
naatriumkloriid 0.9% 3767
Ühilduv
Süsteravim Tobramycin sulfate 5 mg/ml
Süsteravim Thiotepa 1 mg/ml
glükoos 5% 249
Ühilduv
Süsteravim Tobramycin sulfate
naatriumkloriid 0.9% 5086
Keemiline ebastabiilsus Sobimatu
Süsteravim Tobramycin sulfate
Süsteravim Ticarcillin / clavulanic acid
3587
Ühilduv
Süsteravim Tobramycin sulfate
Süsteravim Tigecycline
naatriumkloriid 0.9% 3332
Ühilduv
Süsteravim Tobramycin sulfate 6 mg/ml
Süsteravim Vancomycin hydrochloride 10 mg/ml
glükoos 5% 3385
Ühilduv
Süsteravim Tobramycin sulfate 0.16 mg/ml
Süsteravim Verapamil hydrochloride 0.08 mg/ml
naatriumkloriid 0.9% 1057
Ühilduv
Süsteravim Tobramycin sulfate 0.16 mg/ml
Süsteravim Verapamil hydrochloride 0.08 mg/ml
glükoos 5% 1057
Ühilduv
Süsteravim Tobramycin sulfate 5 mg/ml
Süsteravim Vinorelbine tartrate 1 mg/ml
naatriumkloriid 0.9% 84
Ühilduv
Süsteravim Tobramycin sulfate 2 mg/ml
Süsteravim Zidovudine 4 mg/ml
glükoos 5% 337

  Mentions Légales