Última actualización :
27/04/2026
Antibiótico   Tobramycin sulfate  
Inyectables
Aerosol Gotas oculares Solución Oral
Estabilidad en solucion Estabilidad en mezcla Factores que influyen sobre la estabilidad Compatibilidades método de inyección Bibliografía pdf
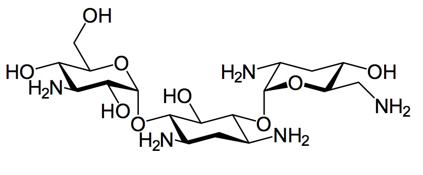
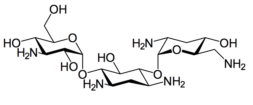
   Estructura química  

Nombre comercial   Nombre comercial     

Los nombres comerciales son orientativos y los excipientes de la formulación pueden ser distintos dependiendo del país y del laboratorio fabricante.

Bactob India
Beltob India
Bramicil Italia
Brulamycin Eslovenia, Hungría, Malasia
Eltol India
Fytobra India
Gernebcin Alemania
Komitob India
Nebcin Arabia Saudita, Egipto, Emiratos Árabes Unidos, Gran Bretaña, Grecia, Nueva Zelanda
Nebcina Dinamarca, Marruecos, Noruega, Suecia
Nebcine Eslovenia, Francia, Marruecos
Nebicina Italia
Obracin Bélgica, Luxemburgo, Países Bajos, Suiza
Tobracin Arabia Saudita, Brasil, Egipto
Tobramicina Argentina, Brasil, Chile, Colombia, Ecuador, España, Italia, Portugal
Tobramina Brasil
Tobramycin Alemania, Arabia Saudita, Australia, Canadá, Estados Unidos de América, Gran Bretaña, Irlanda, Noruega
Tobramycine Francia, Irlanda, Países Bajos
Tobrasix Austria
Tobrazid Alemania
Compatibilidades   Inyectables   Compatibilidades : Tobramycin sulfate              
Esta pantalla muestra las compatibilidades o incompatibilidades, así como el tipo de incompatibilidad (precipitación, cambio de color, modificación de una emulsión, etc). Las compatibilidades que se recogen aquí son fundamentalmente físicas, mostrando raramente la estabilidad química de la molécula. La evaluación de estas mezclas se estudió con el fin de de comprobar la posibilidad de administración en Y al paciente. Estos datos no pueden utilizarse en el caso de la preparación de mezclas dentro de bolsas o jeringas. Este tipo de información está disponible en la pantalla “Estabilidad en mezcla”.
Molécula Solvente Bibliografía
Compatible
Inyectables Tobramycin sulfate 1.6 mg/ml
Inyectables Aciclovir sodium 5 mg/ml
Glucosa 5% 336
Precipitación después de 1 hora Incompatible
Inyectables Tobramycin sulfate 5 mg/ml
Inyectables Allopurinol sodium 3 mg/ml
Cloruro de sodio 0,9% 307
Compatible
Inyectables Tobramycin sulfate 1 mg/ml
Inyectables Alprostadil 15 µg/ml
3201
Compatible
Inyectables Tobramycin sulfate 5 mg/ml
Inyectables Amifostine 10 mg/ml
Glucosa 5% 3
Compatible
Inyectables Tobramycin sulfate 5 mg/ml
Inyectables Amiodarone hydrochloride 6 mg/ml
Glucosa 5% 1611
Compatible
Inyectables Tobramycin sulfate 0.8 mg/ml
Inyectables Amiodarone hydrochloride 4 mg/ml
Cloruro de sodio 0,9% 385
Compatible
Inyectables Tobramycin sulfate 0.8 mg/ml
Inyectables Amiodarone hydrochloride 4 mg/ml
Glucosa 5% 385
Inestabilidad química Incompatible
Inyectables Tobramycin sulfate
Inyectables Amoxicillin sodium
3527
Incompatibilidad no especificada Incompatible
Inyectables Tobramycin sulfate
Inyectables Amoxicillin sodium / clavulanic acid
3545
Compatible
Inyectables Tobramycin sulfate 40 mg/ml
Inyectables Amoxicillin sodium / clavulanic acid 100/10 mg/ml
3824
Precipitación inmediata Incompatible
Inyectables Tobramycin sulfate 5 mg/ml
Inyectables Amphotericin B cholesteryl sulfate complex 0.83 mg/ml
Glucosa 5% 921
Compatible
Inyectables Tobramycin sulfate 5 mg/ml
Inyectables Amsacrine 1 mg/ml
Glucosa 5% 253
Compatible
Inyectables Tobramycin sulfate 5 mg/ml
Inyectables Anidulafungin 0.5 mg/ml
Glucosa 5% 1982
Precipitación inmediata Incompatible
Inyectables Tobramycin sulfate 21 mg/ml
Inyectables Azithromycine 2 mg/ml
Cloruro de sodio 0,9% 1800
Compatible
Inyectables Tobramycin sulfate 0.2 & 0.8 mg/ml
Inyectables Aztreonam 10 & 20 mg/ml
Glucosa 5% 19
Compatible
Inyectables Tobramycin sulfate 0.2 & 0.8 mg/ml
Inyectables Aztreonam 10 & 20 mg/ml
Cloruro de sodio 0,9% 19
Compatible
Inyectables Tobramycin sulfate 5 mg/ml
Inyectables Aztreonam 40 mg/ml
Glucosa 5% 99
Compatible
Inyectables Tobramycin sulfate 5 mg/ml
Inyectables Bivalirudin 5 mg/ml
Glucosa 5% 1713
Compatible
Inyectables Tobramycin sulfate 40 mg/ml
Inyectables Caffeine 10 mg/ml
Ninguno 3964
Incompatible
Inyectables Tobramycin sulfate
Inyectables Calcium gluconate
4964
Incompatibilidad no especificada Incompatible
Inyectables Tobramycin sulfate
Inyectables Calcium gluconate
3644
Compatible
Inyectables Tobramycin sulfate 1 mg/ml
Inyectables Calcium gluconate 33 mg/ml
Glucosa 5% 503
Compatible
Inyectables Tobramycin sulfate 5 mg/ml
Inyectables Calcium gluconate 16 mg/ml
Glucosa 5% 503
Compatible
Inyectables Tobramycin sulfate 5 mg/ml
Inyectables Caspofungin acetate 0,7 mg/ml
Cloruro de sodio 0,9% 2247
Precipitación inmediata Incompatible
Inyectables Tobramycin sulfate
Inyectables Cefamandole nafate 2 >> 100 mg/ml
Cloruro de sodio 0,9% 612
Precipitación inmediata Incompatible
Inyectables Tobramycin sulfate
Inyectables Cefamandole nafate 2 >> 100 mg/ml
Glucosa 5% 612
Incompatibilidad no especificada Incompatible
Inyectables Tobramycin sulfate
Inyectables Cefamandole nafate
3546
Compatible
Inyectables Tobramycin sulfate 6 mg/ml
Inyectables Cefepime dihydrochloride 125 mg/ml
Agua para preparación inyectable 2141
Incompatibilidad no especificada Incompatible
Inyectables Tobramycin sulfate
Inyectables Cefepime dihydrochloride
3548
Precipitación inmediata Incompatible
Inyectables Tobramycin sulfate 10 mg/ml
Inyectables Cefiderocol sulfate tosylate 20 mg/mL
Glucosa 5% 4528
Precipitación inmediata Incompatible
Inyectables Tobramycin sulfate 10 mg/ml
Inyectables Cefiderocol sulfate tosylate 20 mg/mL
Cloruro de sodio 0,9% 4528
Precipitación inmediata Incompatible
Inyectables Tobramycin sulfate 0.8 mg/ml
Inyectables Cefoperazone sodium 10 & 40 mg/ml
Glucosa 5% 1206
Incompatibilidad no especificada Incompatible
Inyectables Tobramycin sulfate
Inyectables Cefoperazone sodium
3544
Incompatibilidad no especificada Incompatible
Inyectables Tobramycin sulfate
Inyectables Cefpirome sulfate
3677
Compatible
Inyectables Tobramycin sulfate 5 mg/ml
Inyectables Ceftaroline fosamil 2,22 mg/ml
Cloruro de sodio 0,9% 3249
Compatible
Inyectables Tobramycin sulfate 5 mg/ml
Inyectables Ceftaroline fosamil 2,22 mg/ml
Glucosa 5% 3249
Compatible
Inyectables Tobramycin sulfate 5 mg/ml
Inyectables Ceftaroline fosamil 2,22 mg/ml
Ringer lactato 3249
Compatible
Inyectables Tobramycin sulfate 6 mg/ml
Inyectables Ceftazidime 83.3 mg/ml
1759
Incompatibilidad no especificada Incompatible
Inyectables Tobramycin sulfate
Inyectables Ceftazidime
3543
Compatible
Inyectables Tobramycin sulfate 0.008 mg/ml
Inyectables Ceftazidime 0.125 mg/ml
Dianéal® PD2 2.5% glucose (Baxter) 2369
Incompatibilidad no especificada Incompatible
Inyectables Tobramycin sulfate
Inyectables Ceftazidime
3883
Compatible
Inyectables Tobramycin sulfate 6 mg/ml
Inyectables Ceftazidime 125 mg/ml
Agua para preparación inyectable 2141
Precipitación inmediata Incompatible
Inyectables Tobramycin sulfate 5 mg/ml
Inyectables Ceftobiprole medocaril sodium 2 mg/ml
Ringer lactato 2269
Incompatibilidad no especificada Incompatible
Inyectables Tobramycin sulfate
Inyectables Ceftobiprole medocaril sodium
4650
Precipitación inmediata Incompatible
Inyectables Tobramycin sulfate 5 mg/ml
Inyectables Ceftobiprole medocaril sodium 2 mg/ml
Glucosa 5% 2269
Precipitación inmediata Incompatible
Inyectables Tobramycin sulfate 5 mg/ml
Inyectables Ceftobiprole medocaril sodium 2 mg/ml
Cloruro de sodio 0,9% 2269
Compatible
Inyectables Tobramycin sulfate 5 mg/ml
Inyectables Ceftolozane / tazobactam 10/5 mg/ml
Glucosa 5% 3828
Compatible
Inyectables Tobramycin sulfate 5 mg/ml
Inyectables Ceftolozane / tazobactam 10/5 mg/ml
Cloruro de sodio 0,9% 3828
Incompatibilidad no especificada Incompatible
Inyectables Tobramycin sulfate
Inyectables Ceftriaxone disodium
3523
Incompatibilidad no especificada Incompatible
Inyectables Tobramycin sulfate
Inyectables Cefuroxime sodium
3687
Compatible
Inyectables Tobramycin sulfate 1.6 mg/ml
Inyectables Ciprofloxacin lactate 2 mg/ml
Glucosa 5% 285
Compatible
Inyectables Tobramycin sulfate 1 mg/ml
Inyectables Ciprofloxacin lactate 1.5 mg/ml
Glucosa 5% 434
Compatible
Inyectables Tobramycin sulfate 1 mg/ml
Inyectables Ciprofloxacin lactate 1.5 mg/ml
Cloruro de sodio 0,9% 434
Compatible
Inyectables Tobramycin sulfate 1,6 mg/ml
Inyectables Ciprofloxacin lactate 1 mg/ml
Glucosa 5% 500
Compatible
Inyectables Tobramycin sulfate 1,6 mg/ml
Inyectables Ciprofloxacin lactate 1 mg/ml
Cloruro de sodio 0,9% 500
Compatible
Inyectables Tobramycin sulfate 5 mg/ml
Inyectables Cisatracurium besylate 0.1 >> 5 mg/ml
Glucosa 5% 299
Inestabilidad química Incompatible
Inyectables Tobramycin sulfate
Inyectables Cisplatin
3578
Compatible
Inyectables Tobramycin sulfate
Inyectables Clindamycin phosphate
Glucosa 5% 3526
Compatible
Inyectables Tobramycin sulfate
Inyectables Clindamycin phosphate
Cloruro de sodio 0,9% 3526
Precipitación inmediata Incompatible
Inyectables Tobramycin sulfate 12 mg/ml
Inyectables Clindamycin phosphate 90 mg/ml
Cloruro de sodio 0,9% 639
Precipitación inmediata Incompatible
Inyectables Tobramycin sulfate 40 mg/ml
Inyectables Cloxacillin sodium 100 mg/ml
Agua para preparación inyectable 3012
Precipitación inmediata Incompatible
Inyectables Tobramycin sulfate 10 mg/ml
Inyectables Defibrotide 8 mg/ml
Cloruro de sodio 0,9% 3728
Compatible
Inyectables Tobramycin sulfate 5 mg/ml
Inyectables Dexmedetomidine 4 µg/ml
Cloruro de sodio 0,9% 1712
Compatible
Inyectables Tobramycin sulfate 2.4 & 40 mg/ml
Inyectables Diltiazem hydrochloride 5 mg/ml
Cloruro de sodio 0,9% 198
Compatible
Inyectables Tobramycin sulfate
Inyectables Dimenhydrinate
2087
Compatible
Inyectables Tobramycin sulfate 5 mg/ml
Inyectables Docetaxel 0.9 mg/ml
Glucosa 5% 1754
Compatible
Inyectables Tobramycin sulfate 40 mg/ml
Nutrición parenteral (con lípidos) 673
Compatible
Inyectables Tobramycin sulfate 10 mg/ml
Nutrición parenteral (libre de lípidos) 316
Compatible
Inyectables Tobramycin sulfate 5 mg/ml
Nutrición parenteral (con lípidos) 1415
Compatible
Inyectables Tobramycin sulfate 5 mg/ml
Inyectables Doripenem 5 mg/ml
Glucosa 5% 2262
Compatible
Inyectables Tobramycin sulfate 0,05 mg/ml
Nutrición parenteral (libre de lípidos) 4445
Compatible
Inyectables Tobramycin sulfate 5 mg/ml
Inyectables Doripenem 5 mg/ml
Cloruro de sodio 0,9% 2262
Compatible
Inyectables Tobramycin sulfate 5 mg/ml
Inyectables Doxorubicin hydrochloride liposome peg 0.4 mg/ml
Glucosa 5% 251
Compatible
Inyectables Tobramycin sulfate 5 mg/ml
Inyectables Eravacycline 0,6 mg/ml
Cloruro de sodio 0,9% 4434
Compatible
Inyectables Tobramycin sulfate 5 mg/ml
Inyectables Fenoldopam mesylate 80 µg/ml
Cloruro de sodio 0,9% 1803
Compatible
Inyectables Tobramycin sulfate 10 mg/ml
Inyectables Fentanyl citrate 50 µg/ml
Glucosa 5% 63
Compatible
Inyectables Tobramycin sulfate 10 & 40 mg/ml
Nutrición parenteral (libre de lípidos) 999
Compatible
Inyectables Tobramycin sulfate 0.8 mg/ml
Inyectables Enalaprilate 0.05 mg/ml
Cloruro de sodio 0,9% 1315
Incompatibilidad no especificada Incompatible
Inyectables Tobramycin sulfate
Inyectables Erythromycin lactobionate
3674
Compatible
Inyectables Tobramycin sulfate 0.8 mg/ml
Inyectables Esmolol hydrochloride 10 mg/ml
Glucosa 5% 384
Compatible
Inyectables Tobramycin sulfate 1.6 mg/ml
Inyectables Filgrastim 40 µg/ml
Glucosa 5% 104
Compatible
Inyectables Tobramycin sulfate 5 mg/ml
Nutrición parenteral (libre de lípidos) 301
Compatible
Inyectables Tobramycin sulfate 5 mg/ml
Inyectables Etoposide phosphate 5 mg/ml
Glucosa 5% 1410
Compatible
Inyectables Tobramycin sulfate 5 mg/ml
Inyectables Filgrastim 30 µg/ml
Glucosa 5% 244
Compatible
Inyectables Tobramycin sulfate 40 mg/ml
Ringer lactato 4603
Precipitación inmediata Incompatible
Inyectables Tobramycin sulfate
Inyectables Flucloxacillin sodium
3522
Precipitación después de 7 horas. Incompatible
Inyectables Tobramycin sulfate 8 mg/ml
Inyectables Flucloxacillin sodium 20 mg/ml
Cloruro de sodio 0,9% 1232
Compatible
Inyectables Tobramycin sulfate 40 mg/ml
Inyectables Fluconazole 2 mg/ml
Cloruro de sodio 0,9% 496
Compatible
Inyectables Tobramycin sulfate 5 mg/ml
Inyectables Fludarabine phosphate 1 mg/ml
Glucosa 5% 492
Compatible
Inyectables Tobramycin sulfate 40 mg/ml
Inyectables Foscarnet sodium 24 mg/ml
Ninguno 73
Compatible
Inyectables Tobramycin sulfate 5 mg/ml
Inyectables Fosfomycin 30 mg/ml
Glucosa 5% 4055
Precipitación después de 7 horas. Incompatible
Inyectables Tobramycin sulfate 8 mg/ml
Inyectables Furosemide 1 mg/ml
Cloruro de sodio 0,9% 1232
Precipitación inmediata Incompatible
Inyectables Tobramycin sulfate 1,6 mg/ml
Inyectables Furosemide 0,8 mg/ml
Glucosa 5% 367
Precipitación inmediata Incompatible
Inyectables Tobramycin sulfate 1,6 mg/ml
Inyectables Furosemide 0,8 mg/ml
Cloruro de sodio 0,9% 367
Incompatibilidad no especificada Incompatible
Inyectables Tobramycin sulfate 0.8 mg/ml
Inyectables Heparin sodium 50 UI/ml
Ninguno 317
Incompatibilidad no especificada Incompatible
Inyectables Tobramycin sulfate
Inyectables Heparin sodium
3540
Compatible
Inyectables Tobramycin sulfate
Glucosa 5% 5086
Compatible
Inyectables Tobramycin sulfate 5 mg/ml
Inyectables Fosfomycin 30 mg/ml
Cloruro de sodio 0,9% 4055
Compatible
Inyectables Tobramycin sulfate 5 mg/ml
Inyectables Gemcitabine hydrochloride 10 mg/ml
Cloruro de sodio 0,9% 1423
Compatible
Inyectables Tobramycin sulfate 5 mg/ml
Inyectables Granisetron hydrochloride 0.05 mg/ml
Glucosa 5% 182
Compatible
Inyectables Tobramycin sulfate 5 mg/ml
Inyectables Hetastarch 60 mg/ml
específico disolvente 1721
Precipitación inmediata Incompatible
Inyectables Tobramycin sulfate 0.8 mg/ml
Inyectables Hetastarch 60 mg/ml
Cloruro de sodio 0,9% 472
Compatible
Inyectables Tobramycin sulfate 0.8 mg/ml
Inyectables Hydromorphone hydrochloride 0.2 mg/ml
Glucosa 5% 405
Precipitación después de 15 minutos Incompatible
Inyectables Tobramycin sulfate 1 mg/ml
Inyectables Indomethacin sodium trihydrate 0,5 & 1 mg/ml
Glucosa 5% 1745
Precipitación inmediata Incompatible
Inyectables Tobramycin sulfate 1 mg/ml
Inyectables Indomethacin sodium trihydrate 0,5 & 1 mg/ml
Glucosa 5% 494
Compatible
Inyectables Tobramycin sulfate 1.6 & 2 mg/ml
Inyectables Insulin 0.2 UI/ml
Cloruro de sodio 0,9% 129
Compatible
Inyectables Tobramycin sulfate 5 mg/ml
Inyectables Isavuconazonium sulfate 1.5 mg/ml
Glucosa 5% 3829
Compatible
Inyectables Tobramycin sulfate 5 mg/ml
Inyectables Isavuconazonium sulfate 1.5 mg/ml
Cloruro de sodio 0,9% 3829
Compatible
Inyectables Tobramycin sulfate 40 mg/ml
Inyectables Ketamine hydrochloride 50 mg/ml
2109
Compatible
Inyectables Tobramycin sulfate 0.8 mg/ml
Inyectables Labetalol hydrochloride 1 mg/ml
Glucosa 5% 386
Cambio de color después de 4 horas. Incompatible
Inyectables Tobramycin sulfate 5 mg/ml
Inyectables Lansoprazole 0.55 mg/ml
Cloruro de sodio 0,9% 1625
Compatible
Inyectables Tobramycin sulfate 5 mg/ml
Inyectables Linezolid 2 mg/ml
Ninguno 1925
Compatible
Inyectables Tobramycin sulfate 0,80 mg/ml
Inyectables Linezolid 1,80 mg/ml
2353
Compatible
Inyectables Tobramycin sulfate 0.8 mg/ml
Inyectables Magnesium sulfate 16.67 >> 100 mg/ml
Glucosa 5% 1047
Compatible
Inyectables Tobramycin sulfate 5 mg/ml
Inyectables Melphalan 0.1 mg/ml
Cloruro de sodio 0,9% 169
Compatible
Inyectables Tobramycin sulfate 40 mg/ml
Inyectables Meropenem 50 mg/ml
Agua para preparación inyectable 4319
Compatible
Inyectables Tobramycin sulfate 40 mg/ml
Inyectables Meropenem 50 mg/ml
4389
Compatible
Inyectables Tobramycin sulfate 0.8 mg/ml
Inyectables Metronidazole 5 mg/ml
Ninguno 1035
Compatible
Inyectables Tobramycin sulfate
Inyectables Metronidazole
3594
Compatible
Inyectables Tobramycin sulfate 10 mg/ml
Inyectables Midazolam hydrochloride 1 mg/ml
Glucosa 5% 176
Compatible
Inyectables Tobramycin sulfate 1.6 >> 2.4 mg/ml
Inyectables Morphine sulfate 1 mg/ml
Cloruro de sodio 0,9% 406
Compatible
Inyectables Tobramycin sulfate 0.8 mg/ml
Inyectables Morphine sulfate 1 mg/ml
Glucosa 5% 405
Compatible
Inyectables Tobramycin sulfate 40 mg/ml
Inyectables Naloxone hydrochloride 0.4 mg/ml
Ninguno 3408
Compatible
Inyectables Tobramycin sulfate 0.8 mg/ml
Inyectables Nicardipine hydrochloride 0.1 mg/ml
Cloruro de sodio 0,9% 1490
Compatible
Inyectables Tobramycin sulfate 0.8 mg/ml
Inyectables Nicardipine hydrochloride 0.1 mg/ml
Glucosa 5% 1490
Compatible
Inyectables Tobramycin sulfate 0,8 mg/ml
Inyectables Ofloxacin 2 mg/ml
Ninguno 889
Compatible
Inyectables Tobramycin sulfate 5 mg/ml
Inyectables Oritavancin 0.8 >>2 mg/ml
Glucosa 5% 3152
Precipitación inmediata Incompatible
Inyectables Tobramycin sulfate
Inyectables Pantoprazole sodium
2090
Compatible
Inyectables Tobramycin sulfate 40 mg/ml
Inyectables Paracetamol 10 mg/ml
4742
Precipitación inmediata Incompatible
Inyectables Tobramycin sulfate 5 mg/ml
Inyectables Pemetrexed disodium 20 mg/ml
Cloruro de sodio 0,9% 1953
Compatible
Inyectables Tobramycin sulfate 0.8 mg/ml
Inyectables Pethidine hydrochloride 10 mg/ml
Glucosa 5% 405
Compatible
Inyectables Tobramycin sulfate 1.6 >> 2.4 mg/ml
Inyectables Pethidine hydrochloride 10 mg/ml
Cloruro de sodio 0,9% 406
Inestabilidad química Incompatible
Inyectables Tobramycin sulfate
Inyectables Piperacillin sodium
1168
Inestabilidad química Incompatible
Inyectables Tobramycin sulfate
Inyectables Piperacillin sodium / tazobactam
3586
Inestabilidad inmediata de la emulsión Incompatible
Inyectables Tobramycin sulfate 2 mg/ml
Inyectables Propofol
660
Precipitación inmediata Incompatible
Inyectables Tobramycin sulfate 5 mg/ml
Inyectables Propofol 10 mg/ml
Ninguno 300
Compatible
Inyectables Tobramycin sulfate 5 mg/ml
Inyectables Remifentanil hydrochloride 25 & 250 µg/ml
Cloruro de sodio 0,9% 59
Precipitación inmediata Incompatible
Inyectables Tobramycin sulfate 40 mg/ml
Inyectables Salbutamol sulfate 1 mg/ml
Ninguno 3216
Precipitación después de 4 horas. Incompatible
Inyectables Tobramycin sulfate 5 mg/ml
Inyectables Sargramostim 10 µg/ml
Cloruro de sodio 0,9% 335
Compatible
Inyectables Tobramycin sulfate 2,4 mg/ml
Inyectables Sodium bicarbonate 40 mg/ml
Ninguno 3122
Compatible
Inyectables Tobramycin sulfate 5 mg/ml
Inyectables Sulbactam/durlobactam 15/15 mg/ml
Cloruro de sodio 0,9% 4801
Compatible
Inyectables Tobramycin sulfate 40 mg/ml
Inyectables Tacrolimus 1000 µg/ml
Cloruro de sodio 0,9% 479
Turbidez inmediata Incompatible
Inyectables Tobramycin sulfate 5 mg/ml
Inyectables Tedizolid phosphate 0.8 mg/ml
Cloruro de sodio 0,9% 3827
Incompatibilidad no especificada Incompatible
Inyectables Tobramycin sulfate
Inyectables Teicoplanine
3656
Compatible
Inyectables Tobramycin sulfate 5 mg/ml
Inyectables Telavancin hydrochloride 7.5 mg/ml
Cloruro de sodio 0,9% 3254
Compatible
Inyectables Tobramycin sulfate 5 mg/ml
Inyectables Telavancin hydrochloride 7.5 mg/ml
Glucosa 5% 3254
Compatible
Inyectables Tobramycin sulfate 6 mg/ml
Inyectables Temocilline 83.33 mg/ml
Agua para preparación inyectable 2231
Incompatibilidad no especificada Incompatible
Inyectables Tobramycin sulfate
Inyectables Temocilline
2296
Compatible
Inyectables Tobramycin sulfate 5 mg/ml
Inyectables Teniposide 0.1 mg/ml
Glucosa 5% 905
Compatible
Inyectables Tobramycin sulfate 0.8 mg/ml
Inyectables Theophylline 4 mg/ml
Ninguno 317
Precipitación inmediata Incompatible
Inyectables Tobramycin sulfate 40 mg/ml
Inyectables Thiopental sodium 25 mg/ml
Cloruro de sodio 0,9% 3767
Compatible
Inyectables Tobramycin sulfate 5 mg/ml
Inyectables Thiotepa 1 mg/ml
Glucosa 5% 249
Compatible
Inyectables Tobramycin sulfate
Cloruro de sodio 0,9% 5086
Inestabilidad química Incompatible
Inyectables Tobramycin sulfate
Inyectables Ticarcillin / clavulanic acid
3587
Compatible
Inyectables Tobramycin sulfate
Inyectables Tigecycline
Cloruro de sodio 0,9% 3332
Compatible
Inyectables Tobramycin sulfate 6 mg/ml
Inyectables Vancomycin hydrochloride 10 mg/ml
Glucosa 5% 3385
Compatible
Inyectables Tobramycin sulfate 0.16 mg/ml
Inyectables Verapamil hydrochloride 0.08 mg/ml
Cloruro de sodio 0,9% 1057
Compatible
Inyectables Tobramycin sulfate 0.16 mg/ml
Inyectables Verapamil hydrochloride 0.08 mg/ml
Glucosa 5% 1057
Compatible
Inyectables Tobramycin sulfate 5 mg/ml
Inyectables Vinorelbine tartrate 1 mg/ml
Cloruro de sodio 0,9% 84
Compatible
Inyectables Tobramycin sulfate 2 mg/ml
Inyectables Zidovudine 4 mg/ml
Glucosa 5% 337

  Mentions Légales