Letztes “update” :
27/04/2026
Antibiotikum   Tobramycin sulfate  
Injektion
Aerosol Augentropfen Lösung zum Einnehmen
Stabilität der Lösung Gemengestabilität Stabilitätbeeinflussende Faktoren Kompatibilitäten Applikationsart Literaturverzeichnis pdf
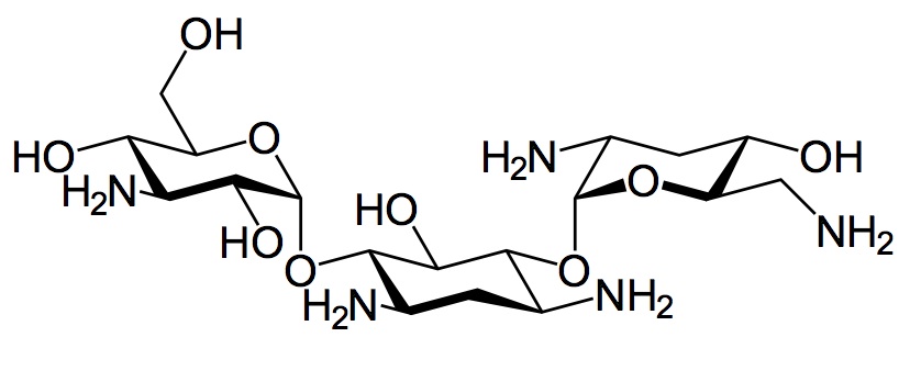
   Chemische Struktur  

Handelsmarke   Handelsmarke     

Handelsnamen sind als beispielhaft anzusehen. Sonstige Bestandteile können je nach Hersteller oder Land verschieden sein

Bactob Indien
Beltob Indien
Bramicil Italien
Brulamycin Malaysia, Slowenien, Ungarn
Eltol Indien
Fytobra Indien
Gernebcin Deutschland
Komitob Indien
Nebcin Ägypten, Griechenland, Großbritannien, Neuseeland, Saudi-Arabien, Vereinigte Arabische Emirate
Nebcina Dänemark, Marokko, Norwegen, Schweden
Nebcine Frankreich, Marokko, Slowenien
Nebicina Italien
Obracin Belgien, Luxemburg, Niederlande, Schweiz
Tobracin Ägypten, Brasilien, Saudi-Arabien
Tobramicina Argentinien, Brasilien, Chile, Ecuador, Italien, Kolumbien, Portugal, Spanien
Tobramina Brasilien
Tobramycin Australien, Deutschland, Großbritannien, Irland, Kanada, Norwegen, Saudi-Arabien, Vereinigte Staaten von Amerika
Tobramycine Frankreich, Irland, Niederlande
Tobrasix Österreich
Tobrazid Deutschland
Kompatibilitäten   Injektion   Kompatibilitäten : Tobramycin sulfate              
Dieser Bildschirm zeigt die Kompatibilitäten oder Inkompatibilitäten mit der Art der Inkompatibilität (hier: Ausfällung, Farbänderung, Modifikation einer Emulsion usw.) an. Die hier gezeigten Kompatibilitäten sind meist nur physikalisch, wobei die chemische Stabilität jedes Moleküls selten bewertet wird. Die Bewertung dieser Gemische wurde untersucht, um die Möglichkeit einer Verabreichung über eine Y-Verbindung zu berücksichtigen. Diese Daten können daher nicht zur Herstellung von Mischungen im Voraus in Beuteln oder Spritzen verwendet werden. Sie finden diese Informationen auf dem Bildschirm "Stabilität in Mischung».
Molekül Lösungsmittel Literaturverzeichnis
kompatibel
Injektion Tobramycin sulfate 1.6 mg/ml
Injektion Aciclovir sodium 5 mg/ml
5% Glucose 336
Niederschlag nach 1 Stunde nicht kompatibel
Injektion Tobramycin sulfate 5 mg/ml
Injektion Allopurinol sodium 3 mg/ml
0,9% Natriumchlorid 307
kompatibel
Injektion Tobramycin sulfate 1 mg/ml
Injektion Alprostadil 15 µg/ml
3201
kompatibel
Injektion Tobramycin sulfate 5 mg/ml
Injektion Amifostine 10 mg/ml
5% Glucose 3
kompatibel
Injektion Tobramycin sulfate 5 mg/ml
Injektion Amiodarone hydrochloride 6 mg/ml
5% Glucose 1611
kompatibel
Injektion Tobramycin sulfate 0.8 mg/ml
Injektion Amiodarone hydrochloride 4 mg/ml
0,9% Natriumchlorid 385
kompatibel
Injektion Tobramycin sulfate 0.8 mg/ml
Injektion Amiodarone hydrochloride 4 mg/ml
5% Glucose 385
Chemische Instabilität nicht kompatibel
Injektion Tobramycin sulfate
Injektion Amoxicillin sodium
3527
Nicht spezifizierte Inkompatibilität nicht kompatibel
Injektion Tobramycin sulfate
Injektion Amoxicillin sodium / clavulanic acid
3545
kompatibel
Injektion Tobramycin sulfate 40 mg/ml
Injektion Amoxicillin sodium / clavulanic acid 100/10 mg/ml
3824
Sofortiger Niederschlag nicht kompatibel
Injektion Tobramycin sulfate 5 mg/ml
Injektion Amphotericin B cholesteryl sulfate complex 0.83 mg/ml
5% Glucose 921
kompatibel
Injektion Tobramycin sulfate 5 mg/ml
Injektion Amsacrine 1 mg/ml
5% Glucose 253
kompatibel
Injektion Tobramycin sulfate 5 mg/ml
Injektion Anidulafungin 0.5 mg/ml
5% Glucose 1982
Sofortiger Niederschlag nicht kompatibel
Injektion Tobramycin sulfate 21 mg/ml
Injektion Azithromycine 2 mg/ml
0,9% Natriumchlorid 1800
kompatibel
Injektion Tobramycin sulfate 0.2 & 0.8 mg/ml
Injektion Aztreonam 10 & 20 mg/ml
5% Glucose 19
kompatibel
Injektion Tobramycin sulfate 0.2 & 0.8 mg/ml
Injektion Aztreonam 10 & 20 mg/ml
0,9% Natriumchlorid 19
kompatibel
Injektion Tobramycin sulfate 5 mg/ml
Injektion Aztreonam 40 mg/ml
5% Glucose 99
kompatibel
Injektion Tobramycin sulfate 5 mg/ml
Injektion Bivalirudin 5 mg/ml
5% Glucose 1713
kompatibel
Injektion Tobramycin sulfate 40 mg/ml
Injektion Caffeine 10 mg/ml
Kein 3964
nicht kompatibel
Injektion Tobramycin sulfate
Injektion Calcium gluconate
4964
Nicht spezifizierte Inkompatibilität nicht kompatibel
Injektion Tobramycin sulfate
Injektion Calcium gluconate
3644
kompatibel
Injektion Tobramycin sulfate 1 mg/ml
Injektion Calcium gluconate 33 mg/ml
5% Glucose 503
kompatibel
Injektion Tobramycin sulfate 5 mg/ml
Injektion Calcium gluconate 16 mg/ml
5% Glucose 503
kompatibel
Injektion Tobramycin sulfate 5 mg/ml
Injektion Caspofungin acetate 0,7 mg/ml
0,9% Natriumchlorid 2247
Sofortiger Niederschlag nicht kompatibel
Injektion Tobramycin sulfate
Injektion Cefamandole nafate 2 >> 100 mg/ml
0,9% Natriumchlorid 612
Sofortiger Niederschlag nicht kompatibel
Injektion Tobramycin sulfate
Injektion Cefamandole nafate 2 >> 100 mg/ml
5% Glucose 612
Nicht spezifizierte Inkompatibilität nicht kompatibel
Injektion Tobramycin sulfate
Injektion Cefamandole nafate
3546
kompatibel
Injektion Tobramycin sulfate 6 mg/ml
Injektion Cefepime dihydrochloride 125 mg/ml
Wasser für injektable präparate 2141
Nicht spezifizierte Inkompatibilität nicht kompatibel
Injektion Tobramycin sulfate
Injektion Cefepime dihydrochloride
3548
Sofortiger Niederschlag nicht kompatibel
Injektion Tobramycin sulfate 10 mg/ml
Injektion Cefiderocol sulfate tosylate 20 mg/mL
5% Glucose 4528
Sofortiger Niederschlag nicht kompatibel
Injektion Tobramycin sulfate 10 mg/ml
Injektion Cefiderocol sulfate tosylate 20 mg/mL
0,9% Natriumchlorid 4528
Sofortiger Niederschlag nicht kompatibel
Injektion Tobramycin sulfate 0.8 mg/ml
Injektion Cefoperazone sodium 10 & 40 mg/ml
5% Glucose 1206
Nicht spezifizierte Inkompatibilität nicht kompatibel
Injektion Tobramycin sulfate
Injektion Cefoperazone sodium
3544
Nicht spezifizierte Inkompatibilität nicht kompatibel
Injektion Tobramycin sulfate
Injektion Cefpirome sulfate
3677
kompatibel
Injektion Tobramycin sulfate 5 mg/ml
Injektion Ceftaroline fosamil 2,22 mg/ml
0,9% Natriumchlorid 3249
kompatibel
Injektion Tobramycin sulfate 5 mg/ml
Injektion Ceftaroline fosamil 2,22 mg/ml
5% Glucose 3249
kompatibel
Injektion Tobramycin sulfate 5 mg/ml
Injektion Ceftaroline fosamil 2,22 mg/ml
Ringer Lactat - Lösung 3249
kompatibel
Injektion Tobramycin sulfate 6 mg/ml
Injektion Ceftazidime 83.3 mg/ml
1759
Nicht spezifizierte Inkompatibilität nicht kompatibel
Injektion Tobramycin sulfate
Injektion Ceftazidime
3543
kompatibel
Injektion Tobramycin sulfate 0.008 mg/ml
Injektion Ceftazidime 0.125 mg/ml
Dianéal® PD2 2.5% glucose (Baxter) 2369
Nicht spezifizierte Inkompatibilität nicht kompatibel
Injektion Tobramycin sulfate
Injektion Ceftazidime
3883
kompatibel
Injektion Tobramycin sulfate 6 mg/ml
Injektion Ceftazidime 125 mg/ml
Wasser für injektable präparate 2141
Sofortiger Niederschlag nicht kompatibel
Injektion Tobramycin sulfate 5 mg/ml
Injektion Ceftobiprole medocaril sodium 2 mg/ml
Ringer Lactat - Lösung 2269
Nicht spezifizierte Inkompatibilität nicht kompatibel
Injektion Tobramycin sulfate
Injektion Ceftobiprole medocaril sodium
4650
Sofortiger Niederschlag nicht kompatibel
Injektion Tobramycin sulfate 5 mg/ml
Injektion Ceftobiprole medocaril sodium 2 mg/ml
5% Glucose 2269
Sofortiger Niederschlag nicht kompatibel
Injektion Tobramycin sulfate 5 mg/ml
Injektion Ceftobiprole medocaril sodium 2 mg/ml
0,9% Natriumchlorid 2269
kompatibel
Injektion Tobramycin sulfate 5 mg/ml
Injektion Ceftolozane / tazobactam 10/5 mg/ml
5% Glucose 3828
kompatibel
Injektion Tobramycin sulfate 5 mg/ml
Injektion Ceftolozane / tazobactam 10/5 mg/ml
0,9% Natriumchlorid 3828
Nicht spezifizierte Inkompatibilität nicht kompatibel
Injektion Tobramycin sulfate
Injektion Ceftriaxone disodium
3523
Nicht spezifizierte Inkompatibilität nicht kompatibel
Injektion Tobramycin sulfate
Injektion Cefuroxime sodium
3687
kompatibel
Injektion Tobramycin sulfate 1.6 mg/ml
Injektion Ciprofloxacin lactate 2 mg/ml
5% Glucose 285
kompatibel
Injektion Tobramycin sulfate 1 mg/ml
Injektion Ciprofloxacin lactate 1.5 mg/ml
5% Glucose 434
kompatibel
Injektion Tobramycin sulfate 1 mg/ml
Injektion Ciprofloxacin lactate 1.5 mg/ml
0,9% Natriumchlorid 434
kompatibel
Injektion Tobramycin sulfate 1,6 mg/ml
Injektion Ciprofloxacin lactate 1 mg/ml
5% Glucose 500
kompatibel
Injektion Tobramycin sulfate 1,6 mg/ml
Injektion Ciprofloxacin lactate 1 mg/ml
0,9% Natriumchlorid 500
kompatibel
Injektion Tobramycin sulfate 5 mg/ml
Injektion Cisatracurium besylate 0.1 >> 5 mg/ml
5% Glucose 299
Chemische Instabilität nicht kompatibel
Injektion Tobramycin sulfate
Injektion Cisplatin
3578
kompatibel
Injektion Tobramycin sulfate
Injektion Clindamycin phosphate
5% Glucose 3526
kompatibel
Injektion Tobramycin sulfate
Injektion Clindamycin phosphate
0,9% Natriumchlorid 3526
Sofortiger Niederschlag nicht kompatibel
Injektion Tobramycin sulfate 12 mg/ml
Injektion Clindamycin phosphate 90 mg/ml
0,9% Natriumchlorid 639
Sofortiger Niederschlag nicht kompatibel
Injektion Tobramycin sulfate 40 mg/ml
Injektion Cloxacillin sodium 100 mg/ml
Wasser für injektable präparate 3012
Sofortiger Niederschlag nicht kompatibel
Injektion Tobramycin sulfate 10 mg/ml
Injektion Defibrotide 8 mg/ml
0,9% Natriumchlorid 3728
kompatibel
Injektion Tobramycin sulfate 5 mg/ml
Injektion Dexmedetomidine 4 µg/ml
0,9% Natriumchlorid 1712
kompatibel
Injektion Tobramycin sulfate 2.4 & 40 mg/ml
Injektion Diltiazem hydrochloride 5 mg/ml
0,9% Natriumchlorid 198
kompatibel
Injektion Tobramycin sulfate
Injektion Dimenhydrinate
2087
kompatibel
Injektion Tobramycin sulfate 5 mg/ml
Injektion Docetaxel 0.9 mg/ml
5% Glucose 1754
kompatibel
Injektion Tobramycin sulfate 40 mg/ml
Parenterale Ernährung (mit Lipiden) 673
kompatibel
Injektion Tobramycin sulfate 10 mg/ml
Parenterale Ernährung (Lipid-frei) 316
kompatibel
Injektion Tobramycin sulfate 5 mg/ml
Parenterale Ernährung (mit Lipiden) 1415
kompatibel
Injektion Tobramycin sulfate 5 mg/ml
Injektion Doripenem 5 mg/ml
5% Glucose 2262
kompatibel
Injektion Tobramycin sulfate 0,05 mg/ml
Parenterale Ernährung (Lipid-frei) 4445
kompatibel
Injektion Tobramycin sulfate 5 mg/ml
Injektion Doripenem 5 mg/ml
0,9% Natriumchlorid 2262
kompatibel
Injektion Tobramycin sulfate 5 mg/ml
Injektion Doxorubicin hydrochloride liposome peg 0.4 mg/ml
5% Glucose 251
kompatibel
Injektion Tobramycin sulfate 5 mg/ml
Injektion Eravacycline 0,6 mg/ml
0,9% Natriumchlorid 4434
kompatibel
Injektion Tobramycin sulfate 5 mg/ml
Injektion Fenoldopam mesylate 80 µg/ml
0,9% Natriumchlorid 1803
kompatibel
Injektion Tobramycin sulfate 10 mg/ml
Injektion Fentanyl citrate 50 µg/ml
5% Glucose 63
kompatibel
Injektion Tobramycin sulfate 10 & 40 mg/ml
Parenterale Ernährung (Lipid-frei) 999
kompatibel
Injektion Tobramycin sulfate 0.8 mg/ml
Injektion Enalaprilate 0.05 mg/ml
0,9% Natriumchlorid 1315
Nicht spezifizierte Inkompatibilität nicht kompatibel
Injektion Tobramycin sulfate
Injektion Erythromycin lactobionate
3674
kompatibel
Injektion Tobramycin sulfate 0.8 mg/ml
Injektion Esmolol hydrochloride 10 mg/ml
5% Glucose 384
kompatibel
Injektion Tobramycin sulfate 1.6 mg/ml
Injektion Filgrastim 40 µg/ml
5% Glucose 104
kompatibel
Injektion Tobramycin sulfate 5 mg/ml
Parenterale Ernährung (Lipid-frei) 301
kompatibel
Injektion Tobramycin sulfate 5 mg/ml
Injektion Etoposide phosphate 5 mg/ml
5% Glucose 1410
kompatibel
Injektion Tobramycin sulfate 5 mg/ml
Injektion Filgrastim 30 µg/ml
5% Glucose 244
kompatibel
Injektion Tobramycin sulfate 40 mg/ml
Ringer Lactat - Lösung 4603
Sofortiger Niederschlag nicht kompatibel
Injektion Tobramycin sulfate
Injektion Flucloxacillin sodium
3522
Niederschlag nach 7 Stunden nicht kompatibel
Injektion Tobramycin sulfate 8 mg/ml
Injektion Flucloxacillin sodium 20 mg/ml
0,9% Natriumchlorid 1232
kompatibel
Injektion Tobramycin sulfate 40 mg/ml
Injektion Fluconazole 2 mg/ml
0,9% Natriumchlorid 496
kompatibel
Injektion Tobramycin sulfate 5 mg/ml
Injektion Fludarabine phosphate 1 mg/ml
5% Glucose 492
kompatibel
Injektion Tobramycin sulfate 40 mg/ml
Injektion Foscarnet sodium 24 mg/ml
Kein 73
kompatibel
Injektion Tobramycin sulfate 5 mg/ml
Injektion Fosfomycin 30 mg/ml
5% Glucose 4055
Niederschlag nach 7 Stunden nicht kompatibel
Injektion Tobramycin sulfate 8 mg/ml
Injektion Furosemide 1 mg/ml
0,9% Natriumchlorid 1232
Sofortiger Niederschlag nicht kompatibel
Injektion Tobramycin sulfate 1,6 mg/ml
Injektion Furosemide 0,8 mg/ml
5% Glucose 367
Sofortiger Niederschlag nicht kompatibel
Injektion Tobramycin sulfate 1,6 mg/ml
Injektion Furosemide 0,8 mg/ml
0,9% Natriumchlorid 367
Nicht spezifizierte Inkompatibilität nicht kompatibel
Injektion Tobramycin sulfate 0.8 mg/ml
Injektion Heparin sodium 50 UI/ml
Kein 317
Nicht spezifizierte Inkompatibilität nicht kompatibel
Injektion Tobramycin sulfate
Injektion Heparin sodium
3540
kompatibel
Injektion Tobramycin sulfate
5% Glucose 5086
kompatibel
Injektion Tobramycin sulfate 5 mg/ml
Injektion Fosfomycin 30 mg/ml
0,9% Natriumchlorid 4055
kompatibel
Injektion Tobramycin sulfate 5 mg/ml
Injektion Gemcitabine hydrochloride 10 mg/ml
0,9% Natriumchlorid 1423
kompatibel
Injektion Tobramycin sulfate 5 mg/ml
Injektion Granisetron hydrochloride 0.05 mg/ml
5% Glucose 182
kompatibel
Injektion Tobramycin sulfate 5 mg/ml
Injektion Hetastarch 60 mg/ml
spezifische Lösungsmittel 1721
Sofortiger Niederschlag nicht kompatibel
Injektion Tobramycin sulfate 0.8 mg/ml
Injektion Hetastarch 60 mg/ml
0,9% Natriumchlorid 472
kompatibel
Injektion Tobramycin sulfate 0.8 mg/ml
Injektion Hydromorphone hydrochloride 0.2 mg/ml
5% Glucose 405
Niederschlag nach 15 Minuten nicht kompatibel
Injektion Tobramycin sulfate 1 mg/ml
Injektion Indomethacin sodium trihydrate 0,5 & 1 mg/ml
5% Glucose 1745
Sofortiger Niederschlag nicht kompatibel
Injektion Tobramycin sulfate 1 mg/ml
Injektion Indomethacin sodium trihydrate 0,5 & 1 mg/ml
5% Glucose 494
kompatibel
Injektion Tobramycin sulfate 1.6 & 2 mg/ml
Injektion Insulin 0.2 UI/ml
0,9% Natriumchlorid 129
kompatibel
Injektion Tobramycin sulfate 5 mg/ml
Injektion Isavuconazonium sulfate 1.5 mg/ml
5% Glucose 3829
kompatibel
Injektion Tobramycin sulfate 5 mg/ml
Injektion Isavuconazonium sulfate 1.5 mg/ml
0,9% Natriumchlorid 3829
kompatibel
Injektion Tobramycin sulfate 40 mg/ml
Injektion Ketamine hydrochloride 50 mg/ml
2109
kompatibel
Injektion Tobramycin sulfate 0.8 mg/ml
Injektion Labetalol hydrochloride 1 mg/ml
5% Glucose 386
Farbwechsel nach 4 Stunden nicht kompatibel
Injektion Tobramycin sulfate 5 mg/ml
Injektion Lansoprazole 0.55 mg/ml
0,9% Natriumchlorid 1625
kompatibel
Injektion Tobramycin sulfate 5 mg/ml
Injektion Linezolid 2 mg/ml
Kein 1925
kompatibel
Injektion Tobramycin sulfate 0,80 mg/ml
Injektion Linezolid 1,80 mg/ml
2353
kompatibel
Injektion Tobramycin sulfate 0.8 mg/ml
Injektion Magnesium sulfate 16.67 >> 100 mg/ml
5% Glucose 1047
kompatibel
Injektion Tobramycin sulfate 5 mg/ml
Injektion Melphalan 0.1 mg/ml
0,9% Natriumchlorid 169
kompatibel
Injektion Tobramycin sulfate 40 mg/ml
Injektion Meropenem 50 mg/ml
Wasser für injektable präparate 4319
kompatibel
Injektion Tobramycin sulfate 40 mg/ml
Injektion Meropenem 50 mg/ml
4389
kompatibel
Injektion Tobramycin sulfate 0.8 mg/ml
Injektion Metronidazole 5 mg/ml
Kein 1035
kompatibel
Injektion Tobramycin sulfate
Injektion Metronidazole
3594
kompatibel
Injektion Tobramycin sulfate 10 mg/ml
Injektion Midazolam hydrochloride 1 mg/ml
5% Glucose 176
kompatibel
Injektion Tobramycin sulfate 1.6 >> 2.4 mg/ml
Injektion Morphine sulfate 1 mg/ml
0,9% Natriumchlorid 406
kompatibel
Injektion Tobramycin sulfate 0.8 mg/ml
Injektion Morphine sulfate 1 mg/ml
5% Glucose 405
kompatibel
Injektion Tobramycin sulfate 40 mg/ml
Injektion Naloxone hydrochloride 0.4 mg/ml
Kein 3408
kompatibel
Injektion Tobramycin sulfate 0.8 mg/ml
Injektion Nicardipine hydrochloride 0.1 mg/ml
0,9% Natriumchlorid 1490
kompatibel
Injektion Tobramycin sulfate 0.8 mg/ml
Injektion Nicardipine hydrochloride 0.1 mg/ml
5% Glucose 1490
kompatibel
Injektion Tobramycin sulfate 0,8 mg/ml
Injektion Ofloxacin 2 mg/ml
Kein 889
kompatibel
Injektion Tobramycin sulfate 5 mg/ml
Injektion Oritavancin 0.8 >>2 mg/ml
5% Glucose 3152
Sofortiger Niederschlag nicht kompatibel
Injektion Tobramycin sulfate
Injektion Pantoprazole sodium
2090
kompatibel
Injektion Tobramycin sulfate 40 mg/ml
Injektion Paracetamol 10 mg/ml
4742
Sofortiger Niederschlag nicht kompatibel
Injektion Tobramycin sulfate 5 mg/ml
Injektion Pemetrexed disodium 20 mg/ml
0,9% Natriumchlorid 1953
kompatibel
Injektion Tobramycin sulfate 0.8 mg/ml
Injektion Pethidine hydrochloride 10 mg/ml
5% Glucose 405
kompatibel
Injektion Tobramycin sulfate 1.6 >> 2.4 mg/ml
Injektion Pethidine hydrochloride 10 mg/ml
0,9% Natriumchlorid 406
Chemische Instabilität nicht kompatibel
Injektion Tobramycin sulfate
Injektion Piperacillin sodium
1168
Chemische Instabilität nicht kompatibel
Injektion Tobramycin sulfate
Injektion Piperacillin sodium / tazobactam
3586
Sofortige Instabilität der Emulsion nicht kompatibel
Injektion Tobramycin sulfate 2 mg/ml
Injektion Propofol
660
Sofortiger Niederschlag nicht kompatibel
Injektion Tobramycin sulfate 5 mg/ml
Injektion Propofol 10 mg/ml
Kein 300
kompatibel
Injektion Tobramycin sulfate 5 mg/ml
Injektion Remifentanil hydrochloride 25 & 250 µg/ml
0,9% Natriumchlorid 59
Sofortiger Niederschlag nicht kompatibel
Injektion Tobramycin sulfate 40 mg/ml
Injektion Salbutamol sulfate 1 mg/ml
Kein 3216
Niederschlag nach 4 Stunden nicht kompatibel
Injektion Tobramycin sulfate 5 mg/ml
Injektion Sargramostim 10 µg/ml
0,9% Natriumchlorid 335
kompatibel
Injektion Tobramycin sulfate 2,4 mg/ml
Injektion Sodium bicarbonate 40 mg/ml
Kein 3122
kompatibel
Injektion Tobramycin sulfate 5 mg/ml
Injektion Sulbactam/durlobactam 15/15 mg/ml
0,9% Natriumchlorid 4801
kompatibel
Injektion Tobramycin sulfate 40 mg/ml
Injektion Tacrolimus 1000 µg/ml
0,9% Natriumchlorid 479
Sofortige Trübung nicht kompatibel
Injektion Tobramycin sulfate 5 mg/ml
Injektion Tedizolid phosphate 0.8 mg/ml
0,9% Natriumchlorid 3827
Nicht spezifizierte Inkompatibilität nicht kompatibel
Injektion Tobramycin sulfate
Injektion Teicoplanine
3656
kompatibel
Injektion Tobramycin sulfate 5 mg/ml
Injektion Telavancin hydrochloride 7.5 mg/ml
0,9% Natriumchlorid 3254
kompatibel
Injektion Tobramycin sulfate 5 mg/ml
Injektion Telavancin hydrochloride 7.5 mg/ml
5% Glucose 3254
kompatibel
Injektion Tobramycin sulfate 6 mg/ml
Injektion Temocilline 83.33 mg/ml
Wasser für injektable präparate 2231
Nicht spezifizierte Inkompatibilität nicht kompatibel
Injektion Tobramycin sulfate
Injektion Temocilline
2296
kompatibel
Injektion Tobramycin sulfate 5 mg/ml
Injektion Teniposide 0.1 mg/ml
5% Glucose 905
kompatibel
Injektion Tobramycin sulfate 0.8 mg/ml
Injektion Theophylline 4 mg/ml
Kein 317
Sofortiger Niederschlag nicht kompatibel
Injektion Tobramycin sulfate 40 mg/ml
Injektion Thiopental sodium 25 mg/ml
0,9% Natriumchlorid 3767
kompatibel
Injektion Tobramycin sulfate 5 mg/ml
Injektion Thiotepa 1 mg/ml
5% Glucose 249
kompatibel
Injektion Tobramycin sulfate
0,9% Natriumchlorid 5086
Chemische Instabilität nicht kompatibel
Injektion Tobramycin sulfate
Injektion Ticarcillin / clavulanic acid
3587
kompatibel
Injektion Tobramycin sulfate
Injektion Tigecycline
0,9% Natriumchlorid 3332
kompatibel
Injektion Tobramycin sulfate 6 mg/ml
Injektion Vancomycin hydrochloride 10 mg/ml
5% Glucose 3385
kompatibel
Injektion Tobramycin sulfate 0.16 mg/ml
Injektion Verapamil hydrochloride 0.08 mg/ml
0,9% Natriumchlorid 1057
kompatibel
Injektion Tobramycin sulfate 0.16 mg/ml
Injektion Verapamil hydrochloride 0.08 mg/ml
5% Glucose 1057
kompatibel
Injektion Tobramycin sulfate 5 mg/ml
Injektion Vinorelbine tartrate 1 mg/ml
0,9% Natriumchlorid 84
kompatibel
Injektion Tobramycin sulfate 2 mg/ml
Injektion Zidovudine 4 mg/ml
5% Glucose 337

  Mentions Légales